Evaluation of Logistic Regression and Multivariate Adaptive Regression Spline Models for Groundwater Potential Mapping Using R and GIS
Abstract
:1. Introduction
2. Study Area
3. Materials and Methods
3.1. Data Preparation
3.1.1. Well Data
3.1.2. Groundwater Influencing Factors
3.2. Groundwater Potential Mapping
3.2.1. Logistic Regression
3.2.2. Multivariate Adaptive Regression Splines Model
4. Results
4.1. Preliminary Analysis
4.1.1. Multicollinearity Analysis
4.1.2. Spatial Relationship between Groundwater Wells and Influence Factors
4.2. Groundwater Potential Assessment and Mapping
4.2.1. Application of the Logistic Regression Model
4.2.2. Application of Multivariate Adaptive Regression Splines Model
4.2.3. Groundwater Potential Mapping
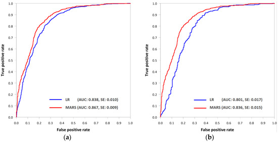
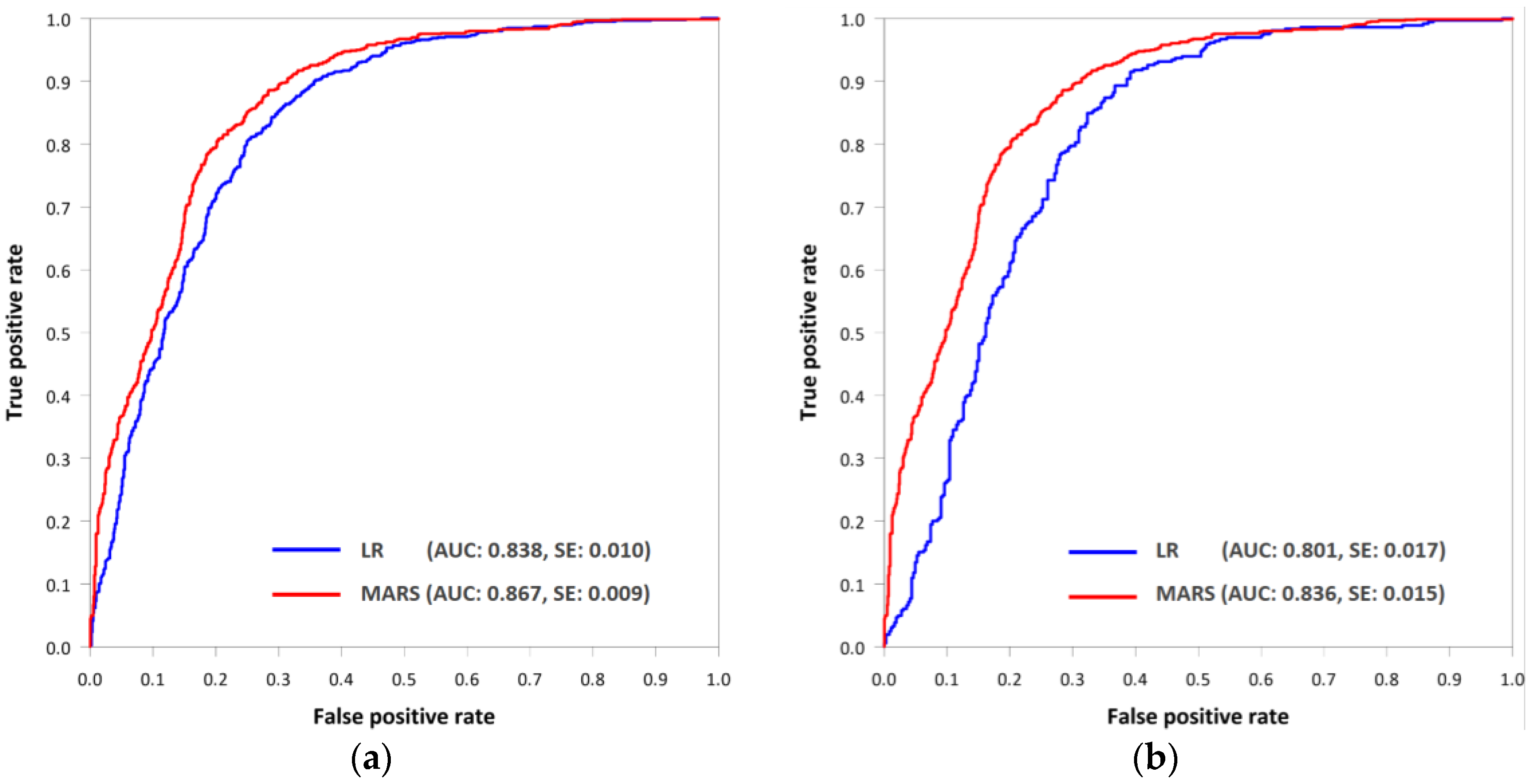
4.3. Validation and Comparison
5. Discussion and Conclusions
Acknowledgments
Author Contributions
Conflicts of Interest
References
- Fitts, C.R. Groundwater Science; Academic Press: San Diego, CA, USA, 2002. [Google Scholar]
- Shahid, S.; Nath, S.K.; Roy, J. Groundwater potential modeling in a soft rock area using a GIS. Int. J. Remote Sens. 2000, 21, 1919–1924. [Google Scholar] [CrossRef]
- Qadir, M.; Wichelns, D.; Raschid-Sally, L.; Minhas, P.S.; Drechsel, P.; Bahri, A.; McCornick, P.G.; Abaidoo, R.; Attia, F.; El-Guindy, S. Water for Food, Water for Life: A Comprehensive Assessment of Water Management in Agriculture; Molden, D., Ed.; IWMI & Earthscan: London, UK, 2007. [Google Scholar]
- Mannap, M.A.; Nampak, H.; Pradhan, B.; Lee, S.; Soleiman, W.N.A.; Ramli, M.F. Application of probabilistic-based frequency ratio model in groundwater potential mapping using remote sensing data and GIS. Arab. J. Geosci. 2014, 7, 711–724. [Google Scholar] [CrossRef]
- Bera, K.; Bandyopadhyay, J. Ground water potential mapping in Dulung watershed using remote sensing & GIS techniques, West Bengal, India. Int. J. Sci. Res. Publ. 2012, 2, 1–7. [Google Scholar]
- Sander, P.; Chesley, M.M.; Minor, T.B. Groundwater assessment using remote sensing and GIS in a rural groundwater project in Ghana: lessons learned. Hydrogeol. J. 1996, 4, 40–49. [Google Scholar] [CrossRef]
- Singh, A.K.; Prakash, S.R. An integrated approach of remote sensing, geophysics and GIS to evaluation of groundwater potentiality of Ojhala sub-watershed, Mirjapur district, UP, India. In Proceedings of the First Asian Conference on GIS, GPS, Aerial Photography and Remote Sensing, Bangkok, Thailand, 7–9 August 2002. [Google Scholar]
- Waikar, M.L.; Nilawar, A.P. Identification of groundwater potential zone using remote sensing and GIS technique. Int. J. Innov. Res. Sci. Eng. Technol. 2014, 3, 12163–12174. [Google Scholar]
- Naghibi, S.A.; Dashtpagerdi, M.M. Evaluation of four supervised learning methods for groundwater spring potential mapping in Khalkhal region (Iran) using GIS-based features. Hydrogeol. J. 2016, 1–21. [Google Scholar] [CrossRef]
- Reilly, T.E.; Dennehy, K.F.; Alley, W.M.; Cunningham, W.L. Ground-Water Availability in the United States; Circular 1323; U.S. Geological Survey: Reston, VA, USA, 2008.
- Elmahdy, S.I.; Mohamed, M.M. Probabilistic frequency ratio model for groundwater potential mapping in Al Jaww plain, UAE. Arab. J. Geosci. 2015, 8, 2405–2416. [Google Scholar] [CrossRef]
- Naghibi, S.A.; Pourghasemi, H.R.; Pourtaghi, Z.S.; Rezaei, A. Groundwater qanat potential mapping using frequency ratio and Shannon’s entropy models in the Moghan watershed, Iran. Earth Sci. Inform. 2015, 8, 171–186. [Google Scholar] [CrossRef]
- Oh, H.J.; Kim, Y.S.; Choi, J.K.; Park, E.; Lee, S. GIS mapping of regional probabilistic groundwater potential in the area of Pohang City, Korea. J. Hydrol. 2011, 399, 158–172. [Google Scholar] [CrossRef]
- Ozdemir, A. Using a binary logistic regression method and GIS for evaluating and mapping the groundwater spring potential in the Sultan Mountains (Aksehir, Turkey). J. Hydrol. 2011, 405, 123–136. [Google Scholar] [CrossRef]
- Pourtaghi, Z.S.; Pourghasemi, H.R. GIS-based groundwater spring potential assessment and mapping in the Birjand Township, southern Khorasan Province, Iran. Hydrogeol. J. 2014, 22, 643–662. [Google Scholar] [CrossRef]
- Corsini, A.; Cervi, F.; Ronchetti, F. Weight of evidence and artificial neural networks for potential groundwater spring mapping: An application to the Mt. Modino area (Northern Apennines, Italy). Geomorphology 2009, 111, 79–87. [Google Scholar] [CrossRef]
- Adiat, K.A.N.; Nawawi, M.N.M.; Abdullah, K. Assessing the accuracy of GIS-based elementary multi criteria decision analysis as a spatial prediction tool—A case of predicting potential zones of sustainable groundwater resources. J. Hydrol. 2012, 440, 75–89. [Google Scholar] [CrossRef]
- Razandi, Y.; Pourghasemi, H.R.; Neisani, N.S.; Rahmati, O. Application of analytical hierarchy process, frequency ratio, and certainty factor models for groundwater potential mapping using GIS. Earth Sci. Inform. 2015, 8, 867–883. [Google Scholar] [CrossRef]
- Mogaji, K.A.; Lim, H.S.; Abdullah, K. Regional prediction of groundwater potential mapping in a multifaceted geology terrain using GIS-based Dempster-Shafer model. Arab. J. Geosci. 2015, 8, 3235–3258. [Google Scholar] [CrossRef]
- Naghibi, S.A.; Pourghasemi, H.R. A comparative assessment between three machine learning models and their performance comparison by bivariate and multivariate statistical methods in groundwater potential mapping. Water Resour. Manag. 2015, 29, 5217–5236. [Google Scholar] [CrossRef]
- Nampak, H.; Pradhan, B.; Manap, M.A. Application of GIS based data driven evidential belief function model to predict groundwater potential zonation. J. Hydrol. 2014, 513, 283–300. [Google Scholar] [CrossRef]
- Al-Abadi, A.M.; Al-Temmeme, A.A.; Al-Ghanimy, M.A. A GIS-based combining of frequency ratio and index of entropy approaches for mapping groundwater availability zones at Badra–Al Al-Gharbi–Teeb areas, Iraq. Sustain. Water Resour. Manag. 2016, 2, 265–283. [Google Scholar] [CrossRef]
- Yao, D.; Yang, J.; Zhan, X. A novel method for disease prediction: hybrid of random forest and multivariate adaptive regression splines. J. Comput. 2013, 8, 170–177. [Google Scholar] [CrossRef]
- Hong, H.; Pourghasemi, H.R.; Pourtaghi, Z.S. Landslide susceptibility assessment in Lianhua County (China): A comparison between a random forest data mining technique and bivariate and multivariate statistical models. Geomorphology 2016, 259, 105–118. [Google Scholar] [CrossRef]
- Pham, B.T.; Pradhan, B.; Bui, D.T.; Prakash, I.; Dholakia, M.B. A comparative study of different machine learning methods for landslide susceptibility assessment: A case study of Uttarakhand area (India). Environ. Model. Softw. 2016, 84, 240–250. [Google Scholar] [CrossRef]
- Saito, H.; Nakayama, D.; Matsuyama, H. Comparison of landslide susceptibility based on a decision-tree model and actual landslide occurrence: The Akaishi Mountains, Japan. Geomorphology 2009, 109, 108–121. [Google Scholar] [CrossRef]
- Trigila, A.; Iadanza, C.; Esposito, C.; Scarascia-Mugnozza, G. Comparison of logistic regression and random forests techniques for shallow landslide susceptibility assessment in Giampilieri (NE Sicily, Italy). Geomorphology 2015, 249, 119–136. [Google Scholar] [CrossRef]
- Wu, X.; Ren, F.; Niu, R. Landslide susceptibility assessment using object mapping units, decision tree, and support vector machine models in the Three Gorges of China. Environ. Earth Sci. 2014, 71, 4725–4738. [Google Scholar] [CrossRef]
- Shruthi, R.B.; Kerle, N.; Jetten, V.; Stein, A. Object-based gully system prediction from medium resolution imagery using random forests. Geomorphology 2014, 216, 283–294. [Google Scholar] [CrossRef]
- Carranza, E.J.M.; Laborte, A.G. Random forest predictive modeling of mineral prospectivity with small number of prospects and data with missing values in Abra (Philippines). Comput. Geosci. 2015, 74, 60–70. [Google Scholar] [CrossRef]
- Leite, E.P.; de Souza Filho, C.R. Probabilistic neural networks applied to mineral potential mapping for platinum group elements in the Serra Leste region, Carajás Mineral Province, Brazil. Comput. Geosci. 2009, 35, 675–687. [Google Scholar] [CrossRef]
- Rigol-Sanchez, J.P.; Chica-Olmo, M.; Abarca-Hernandez, F. Artificial neural networks as a tool for mineral potential mapping with GIS. Int. J. Remote Sens. 2003, 24, 1151–1156. [Google Scholar] [CrossRef]
- Kisi, O.; Parmar, K.S. Application of least square support vector machine and multivariate adaptive regression spline models in long term prediction of river water pollution. J. Hydrol. 2016, 534, 104–112. [Google Scholar] [CrossRef]
- Lee, S.; Lee, C.W. Application of decision-tree model to groundwater productivity-potential mapping. Sustainability 2015, 7, 13416–13432. [Google Scholar] [CrossRef]
- Rahmati, O.; Pourghasemi, H.R.; Melesse, A.M. Application of GIS-based data driven random forest and maximum entropy models for groundwater potential mapping: A case study at Mehran Region, Iran. Catena 2016, 137, 360–372. [Google Scholar] [CrossRef]
- Gusyev, M.A.; Haitjema, H.M.; Carlson, C.P.; Gonzalez, M.A. Use of nested flow models and interpolation techniques for science-based management of the sheyenne national grassland, North Dakota, USA. Groundwater 2013, 51, 414–420. [Google Scholar] [CrossRef] [PubMed]
- Xu, T.; Valocchi, A.J.; Choi, J.; Amir, E. Use of machine learning methods to reduce predictive error of groundwater models. Groundwater 2014, 52, 448–460. [Google Scholar] [CrossRef] [PubMed]
- Yoon, H.; Jun, S.; Hyun, Y.; Bae, G.; Lee, K. A comparative study of artificial neural networks and support vector machines for predicting groundwater levels in a coastal aquifer. J. Hydrol. 2011, 396, 128–138. [Google Scholar] [CrossRef]
- Naghibi, S.A.; Pourghasemi, H.R.; Abbaspour, K. A comparison between ten advanced and soft computing models for groundwater qanat potential assessment in Iran using R and GIS. Theor. Appl. Climatol. 2017, 1–18. [Google Scholar] [CrossRef]
- Ramos-Cañón, A.M.; Prada-Sarmiento, L.F.; Trujillo-Vela, M.G.; Macías, J.P.; Santos-R, A.C. Linear discriminant analysis to describe the relationship between rainfall and landslides in Bogotá, Colombia. Landslides 2016, 13, 671–681. [Google Scholar] [CrossRef]
- Conoscenti, C.; Ciaccio, M.; Caraballo-Arias, N.A.; Gómez-Gutiérrez, Á.; Rotigliano, E.; Agnesi, V. Assessment of susceptibility to earth-flow landslide using logistic regression and multivariate adaptive regression splines: A case of the Belice River basin (western Sicily, Italy). Geomorphology 2015, 242, 49–64. [Google Scholar] [CrossRef]
- Wang, L.J.; Guo, M.; Sawada, K.; Lin, J.; Zhang, J. Landslide susceptibility mapping in Mizunami City, Japan: A comparison between logistic regression, bivariate statistical analysis and multivariate adaptive regression spline models. Catena 2015, 135, 271–282. [Google Scholar] [CrossRef]
- Eker, A.M.; Dikmen, M.; Cambazoğlu, S.; Düzgün, Ş.H.; Akgün, H. Evaluation and comparison of landslide susceptibility mapping methods: A case study for the Ulus district, Bartın, northern Turkey. Int. J. Geogr. Inf. Sci. 2015, 29, 132–158. [Google Scholar] [CrossRef]
- Buyeo-gun office. Statistical Yearbook of Buyeo-Gun; Buyeo-gun: Chungcheongnam-do, Korea, 2016. [Google Scholar]
- Ministry of Environment. Groundwater Annual Report; Ministry of Environment: Sejong-si, Korea, 2016.
- Aniya, M. Landslide-susceptibility mapping in the Amahata River basin, Japan. Ann. Assoc. Am. Geogr. 1985, 75, 102–114. [Google Scholar] [CrossRef]
- Moore, I.D.; Grayson, R.B.; Ladson, A.R. Digital terrain modelling: A review of hydrological, geomorphological, and biological applications. Hydrol. Process. 1991, 5, 3–30. [Google Scholar] [CrossRef]
- Wischmeier, W.H.; Smith, D.D. Predicting Rainfall Erosion Losses: A Guide to Conservation Planning; United States Department of Agriculture: Washington, DC, USA, 1978.
- Moore, I.D.; Burch, G.J. Sediment transport capacity of sheet and rill flow: application of unit stream power theory. Water Res. 1986, 22, 1350–1360. [Google Scholar] [CrossRef]
- Dinesh Kumar, P.K.; Gopinath, G.; Seralathan, P. Application of remote sensing and GIS for the demarcation of groundwater potential zones of a river basin in Kerala, southwest coast of India. Int. J. Remote Sens. 2007, 28, 5583–5601. [Google Scholar] [CrossRef]
- Koike, K.; Nagano, S.; Kawaba, K. Construction and analysis of interpreted fracture planes through combination of satellite-image derived lineaments and digital elevation model data. Comput. Geosci. 1998, 24, 573–583. [Google Scholar] [CrossRef]
- O’Leary, D.W.; Friedman, J.D.; Pohn, H.A. Lineament, linear, lineation: Some proposed new standards for old terms. Geol. Soc. Am. Bull. 1976, 87, 1463–1469. [Google Scholar] [CrossRef]
- Hosmer, D.W.; Lemeshow, S. Applied Logistic Regression, 2nd ed.; John Wiley and Sons Inc.: New York, NY, USA, 2000. [Google Scholar]
- Felicísimo, Á.M.; Cuartero, A.; Remondo, J.; Quirós, E. Mapping landslide susceptibility with logistic regression, multiple adaptive regression splines, classification and regression trees, and maximum entropy methods: A comparative study. Landslides 2013, 10, 175–189. [Google Scholar] [CrossRef]
- Gutiérrez, Á.G.; Schnabel, S.; Contador, J.F.L. Using and comparing two nonparametric methods (CART and MARS) to model the potential distribution of gullies. Ecol. Model. 2009, 220, 3630–3637. [Google Scholar] [CrossRef]
- Friedman, J.H. Multivariate adaptive regression splines. Ann. Stat. 1991, 19, 1–141. [Google Scholar] [CrossRef]
- Zhang, W.; Goh, A.T.; Zhang, Y. Multivariate adaptive regression splines application for multivariate geotechnical problems with big data. Geotech. Geol. Eng. 2016, 34, 193–204. [Google Scholar] [CrossRef]
- Zabihi, M.; Pourghasemi, H.R.; Pourtaghi, Z.S.; Behzadfar, M. GIS-based multivariate adaptive regression spline and random forest models for groundwater potential mapping in Iran. Environ. Earth Sci. 2016, 75, 1–19. [Google Scholar] [CrossRef]
- Menard, S. Applied Logistic Regression Analysis, 2nd ed.; SAGE University Series on Quantitative Applications in the Social Sciences; SAGE: Thousand Oaks, CA, USA, 1995. [Google Scholar]
- Ozdemir, A.; Altural, T. A comparative study of frequency ratio, weights of evidence and logistic regression methods for landslide susceptibility mapping: Sultan Mountains, SW Turkey. J. Asian Earth Sci. 2013, 64, 180–197. [Google Scholar] [CrossRef]
- Milborrow, S. Notes on the Earth Package. Available online: https://www.milbo.org/doc/earth-varmod.pdf (accessed on 23 June 2017).
- Swets, J.A. Measuring the accuracy of diagnostic systems. Science 1973, 240, 1285–1293. [Google Scholar] [CrossRef]
- Bui, D.T.; Pradhan, B.; Lofman, O.; Revhaug, I.; Dick, O.B. Landslide susceptibility mapping at Hoa Binh Province (Vietnam) using an adaptive neuro-fuzzy inference system and GIS. Comput. Geosci. 2012, 45, 199–211. [Google Scholar] [CrossRef]
- Yesilnacar, E.; Topal, T. Landslide susceptibility mapping: A comparison of logistic regression and neural networks methods in a medium scale study, Hendek region (Turkey). Eng. Geol. 2005, 79, 251–266. [Google Scholar] [CrossRef]
- Kennison, R.F.; Cox, J. Health and functional limitations predict depression scores in the health and retirement study: Results straight from MARS. Calif. J. Health Promot. 2013, 11, 97–108. [Google Scholar]





| Category | Factor | Source | Scale (Resolution) | GIS and Data Type |
|---|---|---|---|---|
| Well location | National research paper | Point | ||
| Local research paper | ||||
| Field survey | ||||
| Topographical factors | Altitude | Topographic digital map 1 | 1:5000 | Polyline, point |
| Slope degree | Digital elevation map | 10 × 10 m | Raster | |
| Slope aspect | ||||
| Plan curvature | ||||
| Profile curvature | ||||
| Hydrological factors | Topographic wetness index | Digital elevation map | 10 × 10 m | Raster |
| Stream power index | ||||
| Sediment transport index | ||||
| Distance from drainage | ||||
| Drainage density | ||||
| Geological factors | Lithology | Geology map 2 | 1:50,000 | Polygon |
| Distance from fault | Geology map | 1:50,000 | Polyline | |
| Fault density | ||||
| Distance from lineament | Hill-shaded map | 10 × 10 m | Raster | |
| Lineament density | ||||
| Land cover | Land cover | Land cover map 3 | 1:25,000 | Polygon |
| Factor | Tolerance | VIF |
|---|---|---|
| Altitude | 0.447 | 2.235 |
| Slope degree | 0.223 | 4.483 |
| Slope aspect | 0.522 | 1.916 |
| Plan curvature | 0.589 | 1.698 |
| Profile curvature | 0.747 | 1.338 |
| Topographic wetness index | 0.166 | 6.010 |
| Stream power index | 0.180 | 5.543 |
| Sediment transport index | 0.380 | 2.629 |
| Distance from drainage | 0.604 | 1.655 |
| Drainage density | 0.609 | 1.641 |
| Lithology | 0.943 | 1.061 |
| Distance from fault | 0.833 | 1.201 |
| Fault density | 0.762 | 1.312 |
| Distance from lineament | 0.492 | 2.031 |
| Lineament density | 0.497 | 2.012 |
| Land cover | 0.845 | 1.183 |
| Factor | Class | No. of Pixels for Domain | % of Domain | No. of Wells | % of Wells | Frequency Ratio |
|---|---|---|---|---|---|---|
| Altitude | 4–7 | 739,906 | 11.83 | 31 | 3.61 | 0.30 |
| 7–13 | 758,490 | 12.13 | 121 | 14.09 | 1.16 | |
| 13–23 | 694,227 | 11.10 | 192 | 22.35 | 2.01 | |
| 23–39 | 706,011 | 11.29 | 186 | 21.65 | 1.92 | |
| 39–59 | 685,604 | 10.96 | 118 | 13.74 | 1.25 | |
| Altitude | 59–85 | 671,769 | 10.74 | 76 | 8.85 | 0.82 |
| 85–124 | 673,522 | 10.77 | 53 | 6.17 | 0.57 | |
| 124–189 | 662,166 | 10.59 | 68 | 7.92 | 0.75 | |
| >189 | 661,265 | 10.58 | 14 | 1.63 | 0.15 | |
| Slope degree | 0.00 | 1,346,466 | 21.53 | 219 | 25.49 | 1.18 |
| 0.00–2.96 | 540,629 | 8.65 | 143 | 16.65 | 1.93 | |
| 2.96–6.72 | 848,902 | 13.58 | 341 | 39.70 | 2.92 | |
| 6.72–10.76 | 578,596 | 9.25 | 110 | 12.81 | 1.38 | |
| 10.76–14.52 | 584,424 | 9.35 | 26 | 3.03 | 0.32 | |
| 14.52–18.29 | 595,343 | 9.52 | 7 | 0.81 | 0.09 | |
| 18.29–22.05 | 570,843 | 9.13 | 7 | 0.81 | 0.09 | |
| 22.05–27.16 | 592,491 | 9.48 | 4 | 0.47 | 0.05 | |
| >27.16 | 595,266 | 9.52 | 2 | 0.23 | 0.02 | |
| Slope aspect | Flat | 1,346,466 | 21.53 | 219 | 25.49 | 1.18 |
| N | 550,564 | 8.80 | 47 | 5.47 | 0.62 | |
| NE | 666,731 | 10.66 | 96 | 11.18 | 1.05 | |
| E | 656,324 | 10.50 | 83 | 9.66 | 0.92 | |
| SE | 682,654 | 10.92 | 109 | 12.69 | 1.16 | |
| S | 635,319 | 10.16 | 82 | 9.55 | 0.94 | |
| SW | 664,071 | 10.62 | 107 | 12.46 | 1.17 | |
| W | 530,399 | 8.48 | 60 | 6.98 | 0.82 | |
| NW | 520,432 | 8.32 | 56 | 6.52 | 0.78 | |
| Plan curvature | Convex | 1,912,371 | 30.58 | 166 | 19.32 | 0.63 |
| Flat | 2,574,062 | 41.17 | 505 | 58.79 | 1.43 | |
| Concave | 1,766,527 | 28.25 | 188 | 21.89 | 0.77 | |
| Profile curvature | Convex | 2,035,086 | 32.55 | 212 | 24.68 | 0.76 |
| Flat | 1,992,425 | 31.86 | 381 | 44.35 | 1.39 | |
| Concave | 2,225,449 | 35.59 | 266 | 30.97 | 0.87 | |
| Topographic wetness index | −7.84–5.2 | 728,730 | 11.65 | 19 | 2.21 | 0.19 |
| −5.20–0.57 | 489,555 | 7.83 | 163 | 18.98 | 2.42 | |
| 0.57–1.65 | 1,308,964 | 20.93 | 57 | 6.64 | 0.32 | |
| 1.65–2.49 | 1,336,212 | 21.37 | 125 | 14.55 | 0.68 | |
| 2.49–3.45 | 717,823 | 11.48 | 176 | 20.49 | 1.78 | |
| 3.45–5.01 | 525,554 | 8.40 | 151 | 17.58 | 2.09 | |
| 5.01–7.89 | 649,627 | 10.39 | 104 | 12.11 | 1.17 | |
| 7.89–10.30 | 436,178 | 6.98 | 51 | 5.94 | 0.85 | |
| >10.30 | 60,317 | 0.96 | 13 | 1.51 | 1.57 | |
| Stream power index | −3.82–8.60 | 668,024 | 10.68 | 197 | 22.93 | 2.15 |
| −8.60–6.26 | 720,080 | 11.52 | 36 | 4.19 | 0.36 | |
| −6.26–3.26 | 713,700 | 11.41 | 125 | 14.55 | 1.27 | |
| −3.26–1.60 | 740,146 | 11.84 | 131 | 15.25 | 1.29 | |
| −1.60–0.71 | 713,224 | 11.41 | 92 | 10.71 | 0.94 | |
| −0.71–0.07 | 750,100 | 12.00 | 67 | 7.80 | 0.65 | |
| 0.07–0.73 | 674,154 | 10.78 | 66 | 7.68 | 0.71 | |
| 0.73–1.62 | 656,256 | 10.50 | 64 | 7.45 | 0.71 | |
| >1.62 | 617,276 | 9.87 | 81 | 9.43 | 0.96 | |
| Sediment transport index | 0.00 | 2,608,602 | 41.72 | 415 | 48.31 | 1.16 |
| 0.00–14.80 | 2,731,789 | 43.69 | 426 | 49.59 | 1.14 | |
| 14.80–29.60 | 731,160 | 11.69 | 15 | 1.75 | 0.15 | |
| 29.60–44.39 | 123,380 | 1.97 | 2 | 0.23 | 0.12 | |
| 44.39–59.19 | 32,564 | 0.52 | 1 | 0.12 | 0.22 | |
| 59.19–73.99 | 12,138 | 0.19 | 0 | 0.00 | 0.00 | |
| 73.99–103.59 | 7,863 | 0.13 | 0 | 0.00 | 0.00 | |
| 103.59–162.78 | 3,257 | 0.05 | 0 | 0.00 | 0.00 | |
| >162.78 | 2,207 | 0.04 | 0 | 0.00 | 0.00 | |
| Distance from drainage | 0–195.206 | 674,229 | 10.78 | 77 | 8.96 | 0.83 |
| 195.206–429.45 | 740,195 | 11.84 | 107 | 12.46 | 1.05 | |
| 429.45–663.70 | 705,573 | 11.28 | 90 | 10.48 | 0.93 | |
| 663.70–917.47 | 710,245 | 11.36 | 104 | 12.11 | 1.07 | |
| 917.47–1190.76 | 706,354 | 11.30 | 114 | 13.27 | 1.17 | |
| 1190.76–1483.56 | 674,175 | 10.78 | 89 | 10.36 | 0.96 | |
| 1483.56–1834.94 | 684,110 | 10.94 | 110 | 12.81 | 1.17 | |
| 1834.94–2342.47 | 694,454 | 11.11 | 105 | 12.22 | 1.10 | |
| >2342.47 | 663,625 | 10.61 | 63 | 7.33 | 0.69 | |
| Drainage density | 0.00–0.18 | 647,899 | 10.36 | 67 | 7.80 | 0.75 |
| 0.18–0.73 | 764,117 | 12.22 | 145 | 16.88 | 1.38 | |
| 0.73–1.24 | 696,058 | 11.13 | 121 | 14.09 | 1.27 | |
| 1.24–1.74 | 735,696 | 11.77 | 109 | 12.69 | 1.08 | |
| 1.74–2.47 | 692,591 | 11.08 | 81 | 9.43 | 0.85 | |
| 2.47–3.21 | 692,813 | 11.08 | 69 | 8.03 | 0.72 | |
| 3.21–4.31 | 687,447 | 10.99 | 92 | 10.71 | 0.97 | |
| 4.31–5.73 | 669,019 | 10.70 | 93 | 10.83 | 1.01 | |
| >5.73 | 667,320 | 10.67 | 82 | 9.55 | 0.89 | |
| Lithology | Metamorphic rock | 1,993,700 | 31.88 | 235 | 27.36 | 0.86 |
| Sedimentary rock A | 3,251,216 | 51.99 | 440 | 51.22 | 0.99 | |
| Sedimentary rock B | 86,184 | 1.38 | 1 | 0.12 | 0.08 | |
| Igneous rock | 892,839 | 14.28 | 174 | 20.26 | 1.42 | |
| Dike and talus | 29,019 | 0.46 | 9 | 1.05 | 2.26 | |
| Distance from fault | 0.00–777.23 | 680,735 | 10.89 | 38 | 4.42 | 0.41 |
| 777.23–1498.94 | 725,020 | 11.59 | 73 | 8.50 | 0.73 | |
| 1498.94–2220.65 | 738,889 | 11.82 | 78 | 9.08 | 0.77 | |
| 2220.65–2997.87 | 689,019 | 11.02 | 122 | 14.20 | 1.29 | |
| 2997.87–3997.16 | 684,571 | 10.95 | 195 | 22.70 | 2.07 | |
| 3997.16–5163.00 | 700,837 | 11.21 | 120 | 13.97 | 1.25 | |
| 5163.00–6550.90 | 675,093 | 10.80 | 84 | 9.78 | 0.91 | |
| 6550.90–8493.97 | 685,678 | 10.97 | 74 | 8.61 | 0.79 | |
| >8493.97 | 673,118 | 10.76 | 75 | 8.73 | 0.81 | |
| Fault density | 0.00 | 4,958,065 | 79.29 | 764 | 88.94 | 1.12 |
| 0.00–0.05 | 411,100 | 6.57 | 43 | 5.01 | 0.76 | |
| 0.05–0.13 | 145,678 | 2.33 | 12 | 1.40 | 0.60 | |
| Fault density | 0.13–0.28 | 137,777 | 2.20 | 13 | 1.51 | 0.69 |
| 0.28–0.47 | 128,683 | 2.06 | 5 | 0.58 | 0.28 | |
| 0.47–0.74 | 118,625 | 1.90 | 8 | 0.93 | 0.49 | |
| 0.74–1.13 | 118,172 | 1.89 | 5 | 0.58 | 0.31 | |
| 1.13–1.83 | 117,638 | 1.88 | 8 | 0.93 | 0.50 | |
| >1.83 | 117,222 | 1.87 | 1 | 0.12 | 0.06 | |
| Distance from lineament | 0.00–131.55 | 673,029 | 10.76 | 54 | 6.29 | 0.58 |
| 131.55–279.54 | 714,676 | 11.43 | 95 | 11.06 | 0.97 | |
| 279.54–443.97 | 750,304 | 12.00 | 120 | 13.97 | 1.16 | |
| 443.97–624.85 | 714,445 | 11.43 | 127 | 14.78 | 1.29 | |
| 624.85–855.05 | 722,406 | 11.55 | 92 | 10.71 | 0.93 | |
| 855.05–1151.03 | 698,358 | 11.17 | 100 | 11.64 | 1.04 | |
| 1151.03–1529.23 | 663,276 | 10.61 | 100 | 11.64 | 1.10 | |
| 1529.23–2022.53 | 658,337 | 10.53 | 92 | 10.71 | 1.02 | |
| >2022.53 | 658,129 | 10.53 | 79 | 9.20 | 0.87 | |
| Lineament density | 0.00 | 1,943,652 | 31.08 | 268 | 31.20 | 1.00 |
| 0.00–0.13 | 583,577 | 9.33 | 76 | 8.85 | 0.95 | |
| 0.13–0.23 | 578,400 | 9.25 | 85 | 9.90 | 1.07 | |
| 0.23–0.35 | 593,925 | 9.50 | 104 | 12.11 | 1.27 | |
| 0.35–0.46 | 540,809 | 8.65 | 48 | 5.59 | 0.65 | |
| 0.46–0.60 | 518,321 | 8.29 | 93 | 10.83 | 1.31 | |
| 0.60–0.80 | 517,855 | 8.28 | 83 | 9.66 | 1.17 | |
| 0.80–1.09 | 495,919 | 7.93 | 64 | 7.45 | 0.94 | |
| >1.09 | 480,502 | 7.68 | 38 | 4.42 | 0.58 | |
| Land cover | Urban | 322,571 | 5.16 | 110 | 12.81 | 2.48 |
| Farmland | 2,504,403 | 40.05 | 672 | 78.23 | 1.95 | |
| Forest | 2,941,173 | 47.04 | 53 | 6.17 | 0.13 | |
| Grassland | 134,727 | 2.15 | 6 | 0.70 | 0.32 | |
| Wetland | 67,362 | 1.08 | 1 | 0.12 | 0.11 | |
| Bare land | 52,777 | 0.84 | 13 | 1.51 | 1.79 | |
| Water | 229,947 | 3.68 | 4 | 0.47 | 0.13 |
| Factors | β | Std. Error | z Value | Pr (>|z|) |
|---|---|---|---|---|
| (Intercept) | 5.016 | 1.816 | 2.762 | 0.006 * |
| Altitude | 0.002 | 1.5 × 10−3 | 1.419 | 0.156 |
| Slope degree | −0.231 | 3.9 × 10−2 | −5.937 | 2.9 × 10−9 * |
| Slope aspect2 (N) | −1.412 | 1.015 | −1.391 | 0.164 |
| Slope aspect3 (NE) | −0.981 | 9.7 × 10−1 | −1.016 | 0.309 |
| Slope aspect4 (E) | −1.250 | 1.013 | −1.234 | 0.217 |
| Slope aspect5 (SE) | −1.286 | 9.5 × 10−1 | −1.351 | 0.177 |
| Slope aspect6 (S) | −1.126 | 1.013 | −1.112 | 0.266 |
| Slope aspect7 (SW) | −1.365 | 9.4 × 10−1 | −1.455 | 0.146 |
| Slope aspect8 (W) | −1.384 | 1.026 | −1.349 | 0.177 |
| Slope aspect9 (NW) | −1.498 | 9.8 × 10−1 | −1.532 | 0.126 |
| Plan curvature2 (Flat) | −0.036 | 2.7 × 10−1 | −0.135 | 0.893 |
| Plan curvature3 (Concave) | 0.278 | 2.5 × 10−1 | 1.132 | 0.258 |
| Profile curvatire2 (Flat) | 0.629 | 2.4 × 10−1 | 2.662 | 0.008 * |
| Profile curvature3 (Concave) | −0.051 | 1.9 × 10−1 | −0.272 | 0.785 |
| Topographic wetness index | −0.367 | 1.4 × 10−1 | −2.682 | 0.007 * |
| Stream power index | 0.351 | 1.4 × 10−1 | 2.557 | 0.011 * |
| Sediment transport index | −5.8 × 10−4 | 6.6 × 10−3 | −0.087 | 0.931 |
| Distance from drainage | 2.3 × 10−4 | 9.5 × 10−5 | 2.392 | 0.017 * |
| Drainage density | −0.020 | 3.3 × 10−2 | −0.609 | 0.543 |
| Lithology2 (Sedimentary rock A) | 0.172 | 1.5 × 10−1 | 1.165 | 0.244 |
| Lithology3 (Sedimentary rock B) | −2.873 | 1.077 | −2.668 | 0.008 * |
| Lithology4 (Igneous rock) | 0.581 | 1.9 × 10−1 | 3.059 | 0.002 * |
| Lithology5 (Dike and talus) | 0.187 | 6.5 × 10−1 | 0.287 | 0.774 |
| Distance from fault | −1.0 × 10−5 | 2.3 × 10−5 | −0.444 | 0.657 |
| Fault density | −0.717 | 3.0 × 10−1 | −2.43 | 0.015 * |
| Distance from lineament | −2.3 × 10−4 | 1.2 × 10−4 | −1.971 | 0.049 * |
| Lineament density | 0.227 | 2.4 × 10−1 | 0.938 | 0.348 |
| Land cover2 (Farmland) | −0.332 | 2.1 × 10−1 | −1.613 | 0.107 |
| Land cover3 (Forest) | −1.992 | 2.8 × 10−1 | −7.064 | 1.6 × 10−12 * |
| Land cover4 (Grassland) | −0.962 | 5.9 × 10−1 | −1.618 | 0.106 |
| Land cover5 (Wetland) | −3.055 | 1.068 | −2.86 | 0.004 * |
| Land cover6 (Bare land) | 0.980 | 7.4 × 10−1 | 1.321 | 0.187 |
| Land cover7 (Water) | −2.717 | 5.8 × 10−1 | −4.659 | 3.2 × 10−6 * |
| Factors | Nsubset | GCV | RSS |
|---|---|---|---|
| Land cover3 (Forest) | 24 | 100 | 100 |
| Altitude | 23 | 60.8 | 65.3 |
| Slope degree | 22 | 49.2 | 55.4 |
| Land cover7 (Water) | 18 | 22.6 | 34.3 |
| Distance from fault | 17 | 16.9 | 30.6 |
| Land cover5 (wetland) | 15 | 15.8 | 28.7 |
| Distance from lineament | 13 | 13.3 | 26 |
| Lineament density | 13 | 13.3 | 26 |
| Lithology3 (Sedimentary rock B) | 13 | 12.7 | 25.8 |
| Distance from drainage | 11 | 10.5 | 23.2 |
| Lithology2 (Sedimentary rock A) | 9 | 9.4 | 20.9 |
| Drainage density | 7 | 7.7 | 18.2 |
| Lithology4 (Igneous rock) | 3 | 5 | 11.9 |
| Fault density | 2 | 3.2 | 9.4 |
© 2017 by the authors. Licensee MDPI, Basel, Switzerland. This article is an open access article distributed under the terms and conditions of the Creative Commons Attribution (CC BY) license (http://creativecommons.org/licenses/by/4.0/).
Share and Cite
Park, S.; Hamm, S.-Y.; Jeon, H.-T.; Kim, J. Evaluation of Logistic Regression and Multivariate Adaptive Regression Spline Models for Groundwater Potential Mapping Using R and GIS. Sustainability 2017, 9, 1157. https://doi.org/10.3390/su9071157
Park S, Hamm S-Y, Jeon H-T, Kim J. Evaluation of Logistic Regression and Multivariate Adaptive Regression Spline Models for Groundwater Potential Mapping Using R and GIS. Sustainability. 2017; 9(7):1157. https://doi.org/10.3390/su9071157
Chicago/Turabian StylePark, Soyoung, Se-Yeong Hamm, Hang-Tak Jeon, and Jinsoo Kim. 2017. "Evaluation of Logistic Regression and Multivariate Adaptive Regression Spline Models for Groundwater Potential Mapping Using R and GIS" Sustainability 9, no. 7: 1157. https://doi.org/10.3390/su9071157
APA StylePark, S., Hamm, S.-Y., Jeon, H.-T., & Kim, J. (2017). Evaluation of Logistic Regression and Multivariate Adaptive Regression Spline Models for Groundwater Potential Mapping Using R and GIS. Sustainability, 9(7), 1157. https://doi.org/10.3390/su9071157
