Measuring Spatial Distribution Characteristics of Heavy Metal Contaminations in a Network-Constrained Environment: A Case Study in River Network of Daye, China
Abstract
:1. Introduction
2. Materials and Methods
2.1. Study Area and Data
2.2. Network Inverse Distance Weighted Interpolation
2.3. Local Indicators of Network-Constrained Clusters Approaches
3. Results and Discussions
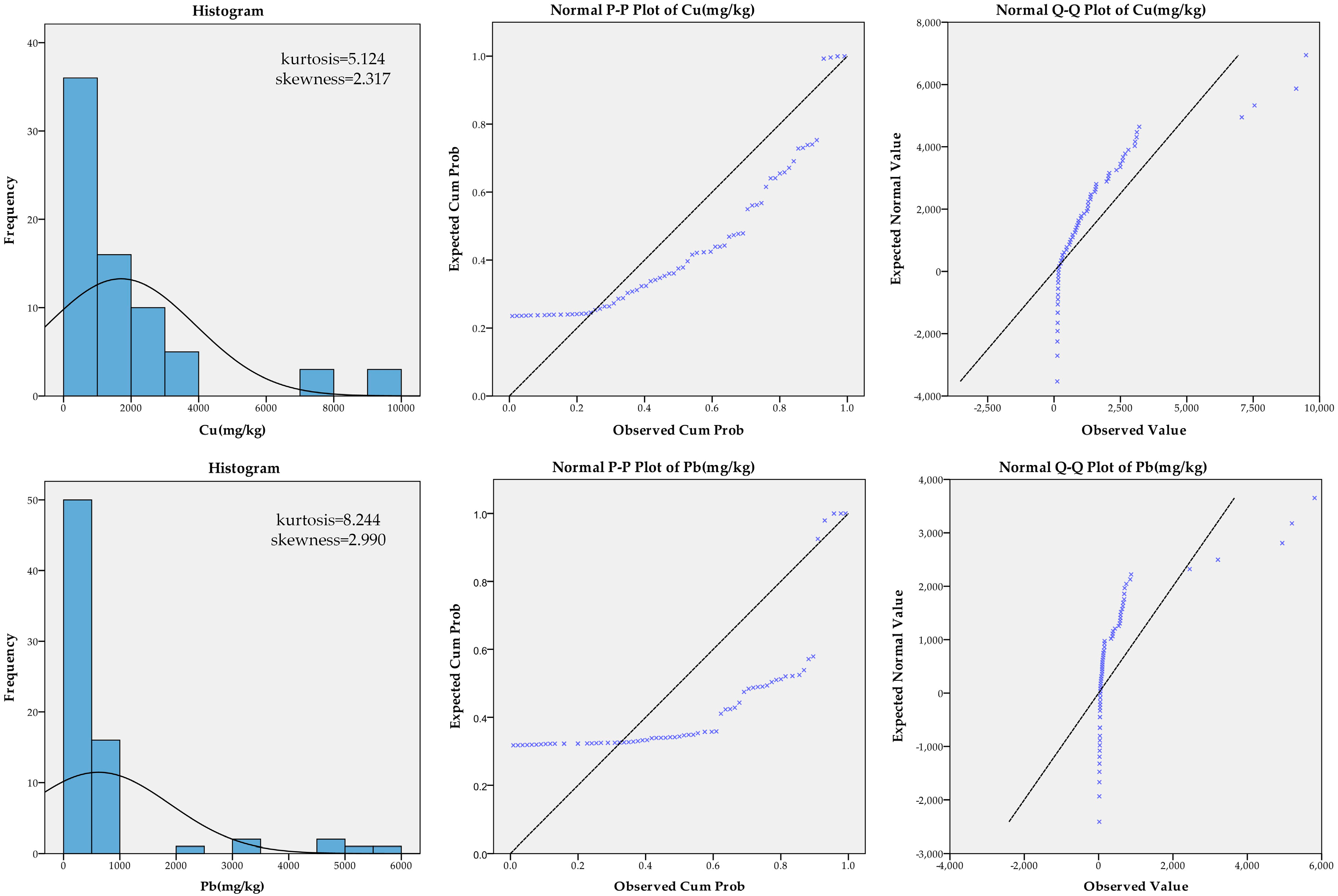
3.1. Sample Characteristics
3.2. Accuracy of Interpolation Methods
3.3. Spatial Variation of the Cu and Pb Contaminations
4. Conclusions
Acknowledgments
Author Contributions
Conflicts of Interest
References
- Wilson, B.; Pyatt, F.B. Heavy metal dispersion, persistance, and bioccumulation around an ancient copper mine situated in Anglesey, UK. Ecotoxicol. Environ. Saf. 2007, 66, 224–231. [Google Scholar] [CrossRef] [PubMed]
- Huang, J.; Li, F.; Zeng, G.; Liu, W.; Huang, X.; Xiao, Z.; Wu, H.; Gu, Y.; Li, X.; He, X. Integrating hierarchical bioavailability and population distribution into potential eco-risk assessment of heavy metals in road dust: A case study in Xiandao District, Changsha city, China. Sci. Total Environ. 2016, 541, 969–976. [Google Scholar] [CrossRef] [PubMed]
- Khan, S.; Cao, Q.; Zheng, Y.M.; Huang, Y.Z.; Zhu, Y.G. Health risks of heavy metals in contaminated soils and food crops irrigated with wastewater in Beijing, China. Environ. Pollut. 2008, 152, 686–692. [Google Scholar] [CrossRef] [PubMed]
- Zheng, N.; Liu, J.; Wang, Q.; Liang, Z. Health risk assessment of heavy metal exposure to street dust in the zinc smelting district, Northeast of China. Sci. Total Environ. 2010, 408, 726–733. [Google Scholar] [CrossRef] [PubMed]
- Li, Y.; Li, H.; Liu, Z.; Miao, C. Spatial Assessment of Cancer Incidences and the Risks of Industrial Wastewater Emission in China. Sustainability 2016, 8, 480. [Google Scholar] [CrossRef]
- Dong, J.; Yang, Q.; Sun, L.; Zeng, Q.; Liu, S.; Pan, J.; Liu, X. Assessing the concentration and potential dietary risk of heavy metals in vegetables at a Pb/Zn mine site, China. Environ. Earth Sci. 2011, 64, 1317–1321. [Google Scholar] [CrossRef]
- Peters, J.L.; Perlstein, T.S.; Perry, M.J.; McNeely, E.; Weuve, J. Cadmium exposure in association with history of stroke and heart failure. Environ. Res. 2010, 110, 199–206. [Google Scholar] [CrossRef] [PubMed]
- Li, F.; Zhang, J.; Jiang, W.; Liu, C.; Zhang, Z.; Zhang, C.; Zeng, G. Spatial health risk assessment and hierarchical risk management for mercury in soils from a typical contaminated site, China. Environ. Geochem. Health 2016, 1–12. [Google Scholar] [CrossRef] [PubMed]
- Wang, Q.; Cui, Y.; Liu, X. Instances of soil and crop heavy metal contamination in China. Soil Sediment Contam. 2001, 10, 497–510. [Google Scholar]
- Li, Z.; Ma, Z.; van der Kuijp, T.J.; Yuan, Z.; Huang, L. A review of soil heavy metal pollution from mines in China: Pollution and health risk assessment. Sci. Total Environ. 2014, 468–469, 843–853. [Google Scholar] [CrossRef] [PubMed]
- Hu, H.; Jin, Q.; Kavan, P. A Study of Heavy Metal Pollution in China: Current Status, Pollution-Control Policies and Countermeasures. Sustainability 2014, 6, 5820–5838. [Google Scholar] [CrossRef]
- Tang, W.; Shan, B.; Zhang, H.; Zhang, W.; Zhao, Y.; Ding, Y.; Rong, N.; Zhu, X. Heavy Metal Contamination in the Surface Sediments of Representative Limnetic Ecosystems in Eastern China. Sci. Rep. 2014, 4, 7152. [Google Scholar] [CrossRef] [PubMed]
- Liang, J.; Liu, J.; Yuan, X.; Zeng, G.; Lai, X.; Li, X.; Wu, H.; Yuan, Y.; Li, F. Spatial and temporal variation of heavy metal risk and source in sediments of Dongting Lake wetland, mid-south China. J. Environ. Sci. Health A 2015, 50, 100–108. [Google Scholar] [CrossRef] [PubMed]
- Li, F.; Huang, J.; Zeng, G.; Yuan, X.; Li, X.; Liang, J.; Wang, X.; Tang, X.; Bai, B. Spatial risk assessment and sources identification of heavy metals in surface sediments from the Dongting Lake, Middle China. J. Geochem. Explor. 2013, 132, 75–83. [Google Scholar] [CrossRef]
- Xie, Y.; Chen, T.; Lei, M.; Yang, J.; Guo, Q.; Song, B.; Zhou, X. Spatial distribution of soil heavy metal pollution estimated by different interpolation methods: Accuracy and uncertainty analysis. Chemosphere 2011, 82, 468–476. [Google Scholar] [CrossRef] [PubMed]
- Fan, J.; Wang, Y.; Zhou, Z.; You, N.; Meng, J. Dynamic Ecological Risk Assessment and Management of Land Use in the Middle Reaches of the Heihe River Based on Landscape Patterns and Spatial Statistics. Sustainability 2016, 8, 536. [Google Scholar] [CrossRef]
- Her, J.; Park, S.; Lee, J.S. The Effects of Bus Ridership on Airborne Particulate Matter (PM10) Concentrations. Sustainability 2016, 8, 636. [Google Scholar] [CrossRef]
- Chen, Y.; Liu, Y.; Liu, Y.; Lin, A.; Kong, X.; Liu, D.; Li, X.; Zhang, Y.; Gao, Y.; Wang, D. Mapping of Cu and Pb Contaminations in Soil Using Combined Geochemistry, Topography, and Remote Sensing: A Case Study in the Le’an River Floodplain, China. Int. J. Environ. Res. Public Health. 2012, 9, 1874–1886. [Google Scholar] [CrossRef] [PubMed]
- Okabe, A.; Sugihara, K. Spatial Analysis along Networks: Statistical and Computational Methods; John Wiley & Sons: Hoboken, NJ, USA, 2012. [Google Scholar]
- Wang, Z.; Du, Q.; Liang, S.; Nie, K.; Lin, D.; Chen, Y.; Li, J. Analysis of the Spatial Variation of Hospitalization Admissions for Hypertension Disease in Shenzhen, China. Int. J. Environ. Res. Public Health 2014, 11, 713–733. [Google Scholar] [CrossRef] [PubMed]
- Wang, Z.; Yue, Y.; Li, Q.; Nie, K.; Yu, C. Analysis of the Spatial Variation of Network-Constrained Phenomena Represented by a Link Attribute Using a Hierarchical Bayesian Model. ISPRS Int. J. Geo-Inf. 2017, 2, 44. [Google Scholar] [CrossRef]
- Illian, J.; Penttinen, A.; Stoyan, H.; Stoyan, D. Statistical Analysis and Modelling of Spatial Point Patterns; John Wiley & Sons: Hoboken, NJ, USA, 2008. [Google Scholar]
- Haining, R.P. Spatial Data analysis: Theory and Practice; Cambridge University Press: Cambridge, UK, 2003. [Google Scholar]
- Fu, J.; Zhao, C.; Luo, Y.; Liu, C.; Kyzas, G.Z.; Luo, Y.; Zhao, D.; An, S.; Zhu, H. Heavy metals in surface sediments of the Jialu River, China: Their relations to environmental factors. J. Hazard. Mater. 2014, 270, 102–109. [Google Scholar] [CrossRef] [PubMed]
- Kimbrough, S.; Baldauf, R.W.; Hagler, G.S.W.; Shores, R.C.; Mitchell, W.; Whitaker, D.A.; Croghan, C.W.; Vallero, D.A. Long-term continuous measurement of near-road air pollution in Las Vegas: Seasonal variability in traffic emissions impact on local air quality. Air Qual. Atmos. Hlth. 2013, 6, 295–305. [Google Scholar] [CrossRef]
- Nourani, V.; Ejlali, R.G.; Alami, M.T. Spatiotemporal Groundwater Level Forecasting in Coastal Aquifers by Hybrid Artificial Neural Network-Geostatistics Model: A Case Study. Environ. Eng. Sci. 2011, 28, 217–228. [Google Scholar] [CrossRef]
- Okabe, A.; Satoh, T.; Sugihara, K. A kernel density estimation method for networks, its computational method and a GIS-based tool. Int. J. Geogr. Inf. Sci. 2009, 23, 7–32. [Google Scholar] [CrossRef]
- Zhang, J.; Li, Z.H.; Chen, J.; Wang, M.; Tao, R.; Liu, D. Assessment of heavy metal contamination status in sediments and identification of pollution source in Daye Lake, Central China. Environ. Earth Sci. 2014, 72, 1279–1288. [Google Scholar] [CrossRef]
- Deng, H.; Ye, Z.H.; Wong, M.H. Accumulation of lead, zinc, copper and cadmium by 12 wetland plant species thriving in metal-contaminated sites in China. Environ. Pollut. 2004, 132, 29–40. [Google Scholar] [CrossRef] [PubMed]
- Zhang, X.; Hu, M.; Zhao, Y.; Zhao, B. A Survey of Heavy Metals Pollution in Daye Tieshan Area. Enuivon. Sci. Technol. 2005, 28, 40–43. [Google Scholar]
- Yamada, I.; Thill, J. Local indicators of network-constrained clusters in spatial patterns represented by a link attribute. Ann. Assoc. Am. Geogr. 2010, 100, 269–285. [Google Scholar] [CrossRef]
- Anselin, L. Local Indicators of Spatial Association—LISA. Geogr. Anal. 1995, 27, 93–115. [Google Scholar] [CrossRef]
- Getis, A.; Ord, J.K. The Analysis of Spatial Association by Use of Distance Statistics. Geogr. Anal. 1992, 24, 189–206. [Google Scholar] [CrossRef]
- Loo, B.P.Y.; Yao, S. The identification of traffic crash hot zones under the link-attribute and event-based approaches in a network-constrained environment. Comput. Environ. Urban Syst. 2013, 41, 249–261. [Google Scholar] [CrossRef]
- Rey, S.J.; Anselin, L.; Pahle, R.; Kang, X.; Stephens, P. Parallel optimal choropleth map classification in PySAL. Int. J. Geogr. Inf. Sci. 2013, 27, 1023–1039. [Google Scholar] [CrossRef]
- Erdogan, S. A comparision of interpolation methods for producing digital elevation models at the field scale. Earth Surf. Proc. Land. 2009, 34, 366–376. [Google Scholar] [CrossRef]
- Ling, Q.; Yan, S.; Bao, Z. The environmental pollution character and its ecological effect of a large scale smelter. China Environ. Sci. 2006, 26, 603–608. [Google Scholar] [CrossRef]
- Guidance on Choosing a Sampling Design for Environmental Data Collection. Available online: https://www.epa.gov/sites/production/files/2015-06/documents/g5s-final.pdf (accessed on 1 June 2017).
- Kravchenko, A.N. Influence of spatial structure on accuracy of interpolation methods. Soil Sci. Soc. Am. J. 2003, 67, 1564–1571. [Google Scholar] [CrossRef]




| Heavy Metal Content | Min | Max | Mean | Median | Standard Deviation | Background Value |
|---|---|---|---|---|---|---|
| Cu (mg/kg) | 121.00 | 9490.00 | 1705.92 | 1007.00 | 2195.42 | 20.7 1 |
| Pb (mg/kg) | 18.50 | 5810.00 | 621.15 | 109.00 | 1270.96 | 23.5 1 |
| Methods | Mean Absolute Error (MAE) | Root Mean Squared Error (RMSE) | ||
|---|---|---|---|---|
| Cu | Pb | Cu | Pb | |
| netIDW4 | 4.099 | 1.360 | 7.432 | 3.583 |
| netIDW5 | 3.251 | 1.066 | 5.993 | 2.882 |
| netIDW6 | 3.616 | 1.213 | 6.676 | 3.283 |
| netIDW7 | 3.580 | 1.116 | 6.543 | 2.044 |
| IDW1 | 131.107 | 50.370 | 171.801 | 78.105 |
| IDW2 | 7.415 | 3.410 | 15.946 | 6.903 |
| IDW3 | 7.318 | 3.509 | 16.672 | 9.532 |
| IDW4 | 7.530 | 3.610 | 17.747 | 8.636 |
| LP1 | 554.623 | 263.887 | 913.455 | 479.400 |
| LP2 | 465.478 | 205.400 | 825.466 | 444.118 |
| LP3 | 305.627 | 136.610 | 598.253 | 332.665 |
| RBF-CRS | 23.405 | 8.102 | 37.788 | 12.566 |
| RBF-IMQ | 24.315 | 8.339 | 38.999 | 12.752 |
| RBF-MQ | 22.719 | 8.030 | 37.000 | 13.300 |
| RBF-ST | 18.594 | 6.450 | 28.288 | 9.902 |
| RBF-TPS | 24.320 | 8.505 | 35.192 | 12.580 |
© 2017 by the authors. Licensee MDPI, Basel, Switzerland. This article is an open access article distributed under the terms and conditions of the Creative Commons Attribution (CC BY) license (http://creativecommons.org/licenses/by/4.0/).
Share and Cite
Wang, Z.; Nie, K. Measuring Spatial Distribution Characteristics of Heavy Metal Contaminations in a Network-Constrained Environment: A Case Study in River Network of Daye, China. Sustainability 2017, 9, 986. https://doi.org/10.3390/su9060986
Wang Z, Nie K. Measuring Spatial Distribution Characteristics of Heavy Metal Contaminations in a Network-Constrained Environment: A Case Study in River Network of Daye, China. Sustainability. 2017; 9(6):986. https://doi.org/10.3390/su9060986
Chicago/Turabian StyleWang, Zhensheng, and Ke Nie. 2017. "Measuring Spatial Distribution Characteristics of Heavy Metal Contaminations in a Network-Constrained Environment: A Case Study in River Network of Daye, China" Sustainability 9, no. 6: 986. https://doi.org/10.3390/su9060986
APA StyleWang, Z., & Nie, K. (2017). Measuring Spatial Distribution Characteristics of Heavy Metal Contaminations in a Network-Constrained Environment: A Case Study in River Network of Daye, China. Sustainability, 9(6), 986. https://doi.org/10.3390/su9060986
