Agronomic Factors Affecting the Potential of Sorghum as a Feedstock for Bioethanol Production in the Kanto Region, Japan
Abstract
:1. Introduction
2. Materials and Methods
2.1. Field Experiments
2.2. Sampling and Analysis
2.3. Statistical Analysis and Simulation
3. Results
3.1. Weather
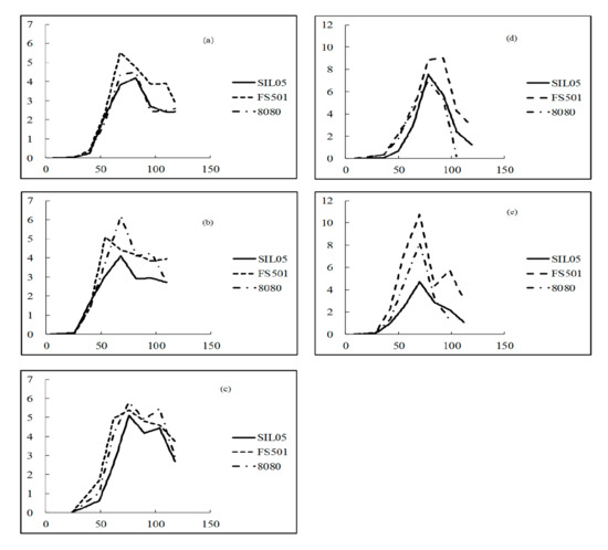
3.2. Leaf Area Index (LAI)
3.3. DM Yield and Brix
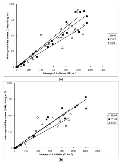
3.4. Estimation of Radiation Use Efficiency (RUE)
3.5. Estimation of Biomass Yield
3.7. Estimation of Ethanol Yield
4. Discussion
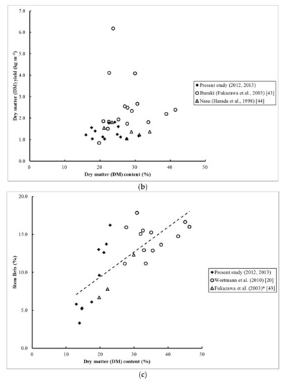
4.1. Yield and Brix
4.2. RUE
4.3. Estimation of Potential Yield and Ethanol Yield
4.4. Implication for Field Management
4.4.1. Seed Rates and Weeds Infestation
4.4.2. Aphids
4.4.3. Typhoons
4.4.4. Future Perspective
5. Conclusions
Acknowledgments
Author Contributions
Conflicts of Interest
References
- Nakashima, T.; Ishikawa, S. Energy inputs and greenhouse gas emissions associated with small-scale farmer sugarcane cropping systems and subsequent bioethanol production in Japan. NJAS Wagen. J. Life Sci. 2016, 76, 43–53. [Google Scholar] [CrossRef]
- Saga, K.; Imou, K.; Yokoyama, S.; Fujimoto, S.; Yanagida, T.; Minowa, T. Study on rice straw collection system for bioethanol production. J. Jpn. Soc. Energy Resour. 2008, 29, 8–13. [Google Scholar]
- Kanai, G.; Takekura, K.; Kato, H.; Kobayashi, Y.; Yakushido, K. Effect of biomass collection-center location on transportation efficiency (Part 2)—Examining the route length using GIS. J. Soc. Agric. Struct. Jpn. 2011, 42, 65–72. [Google Scholar]
- Park, J.; Shiroma, R.; Al-Haq, M.I.; Zhang, Y.; Ike, M.; Arai-Sanoh, Y.; Ida, A.; Kondo, M.; Tokuyasu, K. A novel lime pretreatment for subsequent bioethanol production from rice straw—Calcium capturing by carbonation (CaCCO) process. Bioresour. Technol. 2010, 101, 6805–6811. [Google Scholar] [CrossRef] [PubMed]
- Shiroma, R.; Park, J.; Al-Haq, M.I.; Arakane, M.; Ike, M.; Tokuyasu, K. RT-CaCCO process: An improved CaCCO process for rice straw by its incorporation with a step of lime pretreatment at room temperature. Bioresour. Technol. 2011, 102, 2943–2949. [Google Scholar] [CrossRef] [PubMed]
- Kramer, R.; Belanger, H. Fermentation-based biofuels. In Plant Biomass Conversion; Hood, E.E., Nelson, P., Powell, R., Eds.; Wiley-Blackwell: West Sussex, UK, 2011; pp. 255–274. [Google Scholar]
- Wilkie, A.C.; Riedesel, K.J.; Owens, J.M. Stillage characterization and anaerobic treatment of ethanol stillage from conventional and cellulosic feedstocks. Biomass Bioenergy 2000, 19, 63–102. [Google Scholar] [CrossRef]
- Janke, L.; Leite, A.F.; Batista, K.; Silva, W.; Nikolausz, M.; Nelles, M.; Stinner, W. Enhancing biogas production from vinasse in sugarcane biorefineries: Effects of urea and trace elements supplementation on process performance and stability. Bioresour. Technol. 2016, 217, 10–20. [Google Scholar] [CrossRef] [PubMed]
- Tavella, C.M.; Verges, R.P.; Kohli, M.M. Progress in Development of Double Purpose Wheats in Uruguay. Available online: http://knowledgecenter.cimmyt.org/cgi-bin/koha/opac-detail.pl?biblionumber=3431&shelfbrowse_itemnumber=4497 (accessed on 9 May 2017).
- Moreira, J.R.; Goldemberg, J. The alcohol program. Energy Policy 1999, 27, 229–245. [Google Scholar] [CrossRef]
- Butterbach-Bahl, K.; Kiese, R. Biofuel production on the margins. Nature 2013, 493, 483–485. [Google Scholar] [CrossRef] [PubMed]
- Yoshida, T. Production and breeding of sorghum and pearl millet. Jpn. J. Crop Sci. 2002, 71, 147–153. [Google Scholar] [CrossRef]
- Vasilakoglou, I.; Dhima, K.; Karagiannidis, N.; Gatsis, T. Sweet sorghum productivity for biofuels under increased soil salinity and reduced irrigation. Field Crops Res. 2011, 120, 38–46. [Google Scholar] [CrossRef]
- Stewart, F.L. Sorghum and Its Products: An Account of Recent Investigations Concerning the Value of Sorghum in Sugar Production, Together with a Description of a New Method of Making Sugar and Refined Syrup from This Plant. Adapted to Common Use; J.B. Lippincott & Co.: Philadelphia, PA, USA, 1867; p. 240. [Google Scholar]
- Rooney, W.L. Sorghum improvement—Integrating traditional and new technology to produce improved genotypes. Adv. Agron. 2004, 83, 37–109. [Google Scholar]
- Hoshikawa, K. Sweet sorghum as biomass. Agric. Hort. 1981, 56, 497–503. [Google Scholar]
- Hoshikawa, K. Sweet sorghum as a hopeful biomass crop. JATAFF J. 1985, 8, 22–26. [Google Scholar]
- Goto, Y.; Nakamura, S.; Sakai, K.; Hoshikawa, K. Analysis of elongation and thickening of internodes in sweet sorghum (Sorghum bicolor Moench). Jpn. J. Crop Sci. 1994, 63, 473–479. [Google Scholar] [CrossRef]
- United Nations Framework Convention on Climate Change. Available online: https://unfccc.int/kyoto_protocol/items/2830.php (accessed on 9 May 2017).
- Wortmann, C.S.; Liska, A.J.; Ferguson, R.B.; Lyon, D.J.; Klein, R.N.; Dweikat, I. Dryland performance of sweet sorghum and grain crops for biofuel in Nebraska. Agron. J. 2010, 102, 319–326. [Google Scholar] [CrossRef]
- Goff, B.M.; Moore, K.J.; Fales, S.L.; Heaton, E.A. Double-cropping sorghum for biomass. Agron. J. 2010, 102, 1586–1592. [Google Scholar] [CrossRef]
- Anfinrud, R.; Cihacek, L.; Johnson, B.L.; Ji, Y.; Berti, M.T. Sorghum and kenaf biomass yield and quality response to nitrogen fertilization in the Northern Great Plains of the USA. Ind. Crop Prod. 2013, 50, 159–165. [Google Scholar] [CrossRef]
- Erickson, J.E.; Helsel, Z.R.; Woodard, K.R.; Vendramini, M.B.; Wang, Y.; Sollenberger, L.E.; Gilbert, R.A. Planting date affects biomass and brix of sweet sorghum grown for biofuel across Florida. Agron. J. 2011, 103, 1827–1833. [Google Scholar] [CrossRef]
- Han, K.J.; Alison, M.W.; Pitman, W.D.; Day, D.F.; Kim, M.; Madsen, L. Planting date and harvest maturity impact on biofuel feedstock productivity and quality of sweet sorghum grown under temperate Louisiana conditions. Agron. J. 2012, 104, 1618–1624. [Google Scholar] [CrossRef]
- Zhao, Y.L.; Steinberger, Y.; Shi, M.; Han, L.P.; Xie, G.H. Changes in stem composition and harvested produce of sweet sorghum during the period from maturity to a sequence of delayed harvest dates. Biomass Bioenergy 2012, 39, 261–273. [Google Scholar] [CrossRef]
- Xuan, T.D.; Phuong, N.T.; Khang, D.T.; Khanh, T.D. Influence of sowing times, densities, and soils to biomass and ethanol yield of sweet sorghum. Sustainability 2015, 7, 11657–11678. [Google Scholar] [CrossRef]
- Inuyama, S.; Kaneko, K.; Ogihara, H. Sweet sorghum production in Kanto district of Japan. Res. Rep. Biomass Convers. Program 1988, 10, 51–58. [Google Scholar]
- Tateno, K.; Ojima, M. Growth analysis of grain sorghum as affected by planting density and amount of nitrogen. Proc. Crop Sci. Soc. Jpn. 1973, 42, 555–559. [Google Scholar] [CrossRef]
- Inuyama, S. Effect of the amount of irrigation water on growth and grain yield of grain sorghum. Jpn. J. Crop Sci. 1980, 49, 226–231. [Google Scholar] [CrossRef]
- Hoshikawa, K.; Nakamura, S.; Goto, Y.; Tanaka, M.; Kabeya, Y. Relationships between changes in the heading date and yield-related traits of sweet sorghum (Sorghum bicolor Moench) in the northern area of Japan. Jpn. J. Crop Sci. 1994, 63, 610–615. [Google Scholar] [CrossRef]
- Nakamura, S.; Goto, Y.; Hoshikawa, K. Analysis of yield production process in sweet sorghum (Sorghum bicolor Moench). I. Elongation patterns of leaf blade, leaf sheath and elongated internode. Jpn. J. Crop Sci. 1995, 64, 43–49. [Google Scholar] [CrossRef]
- Wu, L.; Gau, M.; Takai, T.; Kasuga, S.; Yun, M.; Tokuyasu, K. Sorghum as whole-crop feedstock for integrated production of fermentable sugars. Ind. Crop Prod. 2013, 49, 645–647. [Google Scholar] [CrossRef]
- Yasui, K. Soluble solid and sugar contents in the pressed juice of stalk of sweet sorghum [Sorghum bicolor (L.) Moench] as influenced by cultivar, seeding and harvesting time. Rep. Natl. Food Res. Inst. 1985, 46, 1–8. [Google Scholar]
- Yasui, K. Soluble solid and sugar contents in the pressed juice of stalk of sweet sorghum [Sorghum bicolor (L.) Moench] as affected by planting density and manuring. Rep. Natl. Food Res. Inst. 1985, 47, 11–15. [Google Scholar]
- Monsi, M.; Saeki, T. Über den Lichtfaktor in den Pflanzengesellschaften und seine Bedeutung für die Stoffproduktion. Jpn. J. Bot. 1953, 14, 22–52. [Google Scholar]
- Hammer, G.L.; Van Oosterom, E.; McLean, G.; Chapman, S.C.; Broad, I.; Harland, P.; Muchow, R.C. Adapting APSIM to model the physiology and genetics of complex adaptive traits in field crops. J. Exp. Bot. 2010, 61, 2185–2202. [Google Scholar] [CrossRef] [PubMed]
- Ceotte, E.; Di Candilo, M.; Castelli, F.; Badeck, F.W.; Rizza, F.; Soave, C.; Volta, A.; Villani, G.; Marletto, V. Comparing solar radiation interception and use efficiency for the energy crops giant reed (Arundo donax L.) and sweet sorghum (Sorghum bicolor L. Moench). Field Crops Res. 2013, 149, 159–166. [Google Scholar] [CrossRef]
- Lövenstein, H.; Lantinga, E.A.; Rabbinge, R.; Van Keulen, H. Principles of Production Ecology; Department of Theoretical Production Ecology, Wageningen Agricultural University: Wageningen, The Netherlands, 1995; p. 121. [Google Scholar]
- Hirose, T. Development of the Monsi-Saeki theory on canopy structure and function. Ann. Bot. 2005, 95, 483–494. [Google Scholar] [CrossRef] [PubMed]
- Narayanan, S.; Aiken, R.M.; Prasad, P.V.V.; Xin, Z.; Yu, J. Water and radiation use efficiencies in sorghum. Agron. J. 2013, 105, 649–657. [Google Scholar] [CrossRef]
- Okinawa General Bureau. Available online: http://www.ogb.go.jp/nousui/kankyo/8169/007568.html (accessed on 9 May 2017).
- Maughan, M.; Voigt, T.; Parrish, A.; Bollero, G.; Rooney, W.; Lee, D.K. Forage and energy sorghum responses to nitrogen fertilization in Central and Southern Illinois. Agron J. 2012, 104, 1032–1040. [Google Scholar]
- Fukazawa, Y.; Yoshio, T.; Tsuda, K. Characteristics of sorghum (Sorghum bicolor Moench.) cultivars. Bull. Ibaraki Pref. Livest. Res. Cent. 2003, 35, 15–20. [Google Scholar]
- Harada, H.; Sunaga, Y.; Hatanaka, T. Variety difference of nitrate nitrogen concentration of sorghum under a large amount of nitrogen fertilizer application. Grassl. Sci. 1998, 43, 449–451. [Google Scholar]
- Kamiyama, A.; Yoji, N.; Homma, T.; Umehara, R.; Kobayashi, R.; Matsuda, T.; Nakamura, S.; Goto, Y.; Inoue, E.; Narisawa, K.; et al. Effect of weather condition on sugar yield in sweet sorghum (Sorghum bicolor (L.) Moench) stem. Tohoku J. Crop Sci. 2009, 52, 39–40. [Google Scholar]
- Kawahigashi, H.; Kasuga, S.; Okuizumi, H.; Hiradate, S.; Yonemaru, J. Evaluation of Brix and sugar content in stem juice from sorghum varieties. Grassl. Sci. 2013, 59, 11–19. [Google Scholar] [CrossRef]
- Monteith, J.L. Climate and the efficiency of crop production in Britain. Philos. Trans. R. Soc. Lond. B 1977, 281, 277–294. [Google Scholar] [CrossRef]
- Sinclair, T.R.; Muchow, R.C. Radiation use efficiency. Adv. Agron. 1999, 65, 215–265. [Google Scholar]
- Horie, T.; Okada, M. Development of modeling procedure for evaluating biomass resources in a cultivated field. Res. Rep. Biomass Convers. Program 1986, 2, 18–26. [Google Scholar]
- Monteith, J.L. A reassessment of maximum growth rates for C3 and C4 crops. Exp. Agric. 1978, 14, 1–5. [Google Scholar] [CrossRef]
- Kihara, Y.; Nemoto, K.; Suzuki, H.; Kaketa, M. Studies on mixed cropping of corn and sorghum. Bull. Kanagawa Livest. Exp. Stat. 1991, 81, 20–31. [Google Scholar]
- Hoshikawa, K. Saibai shokubutsu No Kigen to Denpa. Available online: https://www.amazon.com/Saibai-shokubutsu-no-kigen-denpa/dp/4817600721 (accessed on 9 May 2017).
- Terauchi, T.; Nakagawa, H.; Matsuoka, M.; Nakano, H.; Sugimoto, A. Comparison of the early growth between sugarcane and sweet sorghum. Jpn. J. Crop Sci. 1999, 68, 414–418. [Google Scholar] [CrossRef]
- Ishikawa, S.; Terauchi, T.; Sakaigaichi, T.; Hattori, T.; Matsuoka, M.; Ujihara, K.; Irei, S.; Terajima, Y.; Sugimoto, A.; Komaki, Y.; et al. New Early Maturing Sugarcane ‘KN00–114’. Bull. NARO Kyushu Okinawa Agric. Res. Cent. (NARO/KARC) 2014, 61, 1–16. [Google Scholar]
- Setokuchi, O. Ecology of Longiunguis sacchari (ZEHTNER) (Homoptera: Aphididae). Bull. Kagoshima Agric. Exp. Stat. 1980, 8, 1–41. [Google Scholar]
- Japan Meteorological Agency. Available online: http://www.data.jma.go.jp/obd/stats/etrn/index.php (accessed on 9 May 2017).
- Ishikawa, S.; Ando, S.; Sakaigaichi, T.; Terajima, Y.; Matsuoka, M. Effects of high nitrogen application on the dry matter yield, nitrogen content and nitrate-N concentration of sugarcane. Soil Sci. Plant Nutr. 2009, 55, 485–495. [Google Scholar] [CrossRef]
- MAFF. Available online: http://www.maff.go.jp/j/seisan/kankyo/hozen_type/h_sehi_kizyun/ (accessed on 9 May 2017).
- Lingle, S.E.; Tew, T.L.; Rukavina, H.; Boykin, D.L. Post-harvest changes in sweet sorghum I: Brix and sugars. Bioenergy Res. 2012, 5, 158–167. [Google Scholar] [CrossRef]
- Ishikawa, S.; Hare, M.C.; Kettlewell, P.S. Effects of strobilurin fungicide programmes and fertilizer nitrogen rates on winter wheat: Leaf area, dry matter yield and nitrogen yield. J. Agric. Sci. 2012, 150, 427–441. [Google Scholar] [CrossRef]
- Grimmer, O.P.; Masiunas, J.B. The weed control potential of oat cultivars. HortTechnology 2005, 15, 140–144. [Google Scholar]
- Wang, Y.; Wu, F.; Liu, S. Allelopathic effects of root exudates from wheat, oat and soybean on seed germination and growth of cucumber. Allelopath. J. 2009, 24, 103–112. [Google Scholar]








| Cultivar | Seed Rate (m−2) | ||||
|---|---|---|---|---|---|
| 2012 | 2013 | ||||
| 17 May | 7 June | 26 June | 13 May | 28 May | |
| SIL05 | 21.7 | 26.5 | 34.2 | 32.4 | 32.5 |
| FS501 | 10.7 | 10.8 | 15.9 | 16.1 | 14.8 |
| 8080 | 11.4 | 10.7 | 16.5 | 16.5 | 13.3 |
| Year | Sowing Date | N | P2O5 | K2O |
|---|---|---|---|---|
| 2012 | 17 May 7 June 26 June | 12.2 11.6 9.3 | 12.2 11.6 9.3 | 12.2 11.6 9.3 |
| 2013 | 13 May 28 May | 10.7 10.6 | 10.7 10.6 | 10.7 10.6 |
| Year | 2012 | 2013 | ||||||||
|---|---|---|---|---|---|---|---|---|---|---|
| Sowing (Date) | Early (17 May) | Medium (7 June) | Late (26 June) | Early (13 May) | Medium (28 May) | |||||
| Sampling | Date | DAS | Date | DAS | Date | DAS | Date | DAS | Date | DAS |
| 1st | 12 June | 26 | 3 July | 26 | 26 July | 30 | 18 June | 36 | 25 June | 28 |
| 2nd | 26 June | 40 | 17 July | 40 | 8 August | 43 | 2 July | 50 | 9 July | 42 |
| 3rd | 10 July | 54 | 31 July | 54 | 22 August | 57 | 16 July | 64 | 22 July | 55 |
| 4th | 24 July | 68 | 14 August | 68 | 5 September | 71 | 30 July | 78 | 6 August | 70 |
| 5th | 7 August | 82 | 28 August | 82 | 19 September | 85 | 13 August | 92 | 20 August | 84 |
| 6th | 21 August | 96 | 11 September | 96 | 3 October * | 99 | 26 August | 105 | 3 September | 98 |
| 7th | 4 September | 110 | 25 September * | 110 | 9 September * | 119 | 17 September * | 112 | ||
| 8th | 12 September * | 118 | ||||||||
| Month | 2012 | 2013 | ||||
|---|---|---|---|---|---|---|
| Temperature (°C) | Rainfall (mm) | Solar Radiation (MJ) | Temperature (°C) | Rainfall (mm) | Solar Radiation (MJ) | |
| May | 18.0 | 194 | 597 | 17.5 | 49 | 686 |
| June | 19.7 | 177 | 565 | 21.1 | 110 | 496 |
| July | 25.2 | 115 | 593 | 25.3 | 43 | 586 |
| August | 27.6 | 11 | 663 | 27.5 | 61 | 615 |
| September | 24.5 | 136 | 449 | 23.2 | 154 | 459 |
| October | 17.3 | 131 | 375 | 18.1 | 429 | 311 |
| Mean | 22.1 | 127 | 540 | 22.1 | 141 | 525 |
| Year | Sowing | Cultivar | Height (cm) | LAI | Efftiller (m−2) | DM Yield | DM Content | Brix (%) | |||
|---|---|---|---|---|---|---|---|---|---|---|---|
| LS + Stem (kg·m−2) | LB (kg·m−2) | Panicle (kg·m−2) | Above-Ground (kg·m−2) | Above-Ground (%) | |||||||
| 2012 | Early | SIL05 FS501 8080 | 325 318 151 | 2.42 2.89 2.59 | 13.6 11.4 12.9 | 1.31 1.08 0.35 | 0.38 0.42 0.47 | 0.12 0.11 0.37 | 1.82 1.61 1.18 | 24.1 25.2 31.0 | 12.6 13.7 |
| Medium | SIL05 FS501 8080 | 269 308 141 | 2.09 3.94 1.95 | 14.3 12.9 10.8 | 0.88 0.97 0.22 | 0.25 0.47 0.44 | 0.12 0.33 0.46 | 1.24 1.77 1.12 | 24.9 22.5 25.9 | 16.2 6.1 | |
| Late | SIL05 FS501 8080 | 286 337 146 | 2.58 3.74 2.90 | 15.7 12.9 15.0 | 0.78 0.79 0.20 | 0.28 0.42 0.38 | 0.08 0.19 0.46 | 1.13 1.40 1.04 | 20.8 18.6 27.6 | 13.0 5.2 | |
| 2013 | Early | SIL05 FS501 8080 | 309 329 151 | 1.25 2.92 0.19 | 11.4 15.0 12.9 | 0.64 0.92 0.21 | 0.30 0.52 0.42 | 0.10 0.12 0.23 | 1.04 1.56 0.86 | 17.8 17.6 25.8 | 5.3 3.3 |
| Medium | SIL05 FS501 8080 | 284 276 131 | 1.07 3.06 1.36 | 16.4 11.5 15.0 | 0.76 0.77 0.15 | 0.21 0.39 0.46 | 0.05 0.05 0.08 | 1.0 31.2 20.70 | 21.3 16.0 22.9 | 9.6 5.8 | |
| Factor Year (Y) Sowing (S) Cultivar (C) Y * S Y * C S * C Block Residual Total | df 1 2 2 2 2 4 1 15 29 | df (Brix) 1 2 1 2 1 2 1 9 19 | ns * *** ns ns ns | ** ns *** ns ns ns | ns ns ns ns ns ns | * ns *** ns ns ns | ns ns ** ns ns ns | *** ns *** ** * ns | * ns * ns ns ns | *** ** *** ns ns * | *** ns ** * ns * |
| Leaf Dry Matter (DM) Yield | Panicle DM Yield | Stem DM Content | Stem Brix | |
|---|---|---|---|---|
| Stem DM yield | NS | −0.41 * | 0.56 ** | 0.44 * |
| Leaf DM yield | 0.38 * | NS | −0.45 * | |
| Panicle DM yield | NS | 0.46 * | ||
| Stem DM content | 0.86 ** |
| Year | k | Cultivar | p | R2 | Coefficient (RUE) | |
|---|---|---|---|---|---|---|
| p | g MJ−1 | |||||
| 2012 | 0.37 | SIL05 FS501 8080 | <0.001 <0.001 <0.001 | 0.97 0.97 0.98 | <0.001 <0.001 <0.001 | 1.58 1.45 1.18 |
| 0.60 | SIL05 FS501 8080 | <0.001 <0.001 <0.001 | 0.97 0.97 0.98 | <0.001 <0.001 <0.001 | 1.27 1.21 0.98 | |
| 2013 | 0.37 | SIL05 FS501 8080 | <0.001 <0.001 <0.001 | 0.96 0.98 0.96 | <0.001 <0.001 <0.001 | 1.26 1.23 1.01 |
| 0.60 | SIL05 FS501 8080 | <0.001 <0.001 <0.001 | 0.96 0.98 0.96 | <0.001 <0.001 <0.001 | 1.03 1.08 0.85 | |
| Year | k | Sowing | Cultivar | Gross Assimilation g (CH2O)n m−2 | Respiration g (CH2O)n m−2 | Net Assimilation g (CH2O)n m−2 |
|---|---|---|---|---|---|---|
| 2012 | 0.37 | Early | SIL05 FS501 | 2808 3228 | 890 1022 | 1918 2206 |
| Medium | SIL05 FS501 | 2758 3098 | 857 963 | 1902 2136 | ||
| Late | SIL05 FS501 | 2657 3219 | 821 995 | 1835 2224 | ||
| 0.60 | Early | SIL05 FS501 | 3521 3857 | 1117 1222 | 2405 2635 | |
| Medium | SIL05 FS501 | 3464 3689 | 1076 1146 | 2389 2543 | ||
| Late | SIL05 FS501 | 3233 3806 | 1000 1177 | 2233 2629 | ||
| 2013 | 0.37 | Early | SIL05 FS501 | 2681 3400 | 842 1075 | 1840 2326 |
| Medium | SIL05 FS501 | 2347 3433 | 738 1088 | 1609 2345 | ||
| 0.60 | Early | SIL05 FS501 | 3209 3888 | 1011 1231 | 2199 2657 | |
| Medium | SIL05 FS501 | 2996 3858 | 944 1226 | 2052 2632 |
| Region/Country | Location | Latitude (°N) | Year | Temperature (°C) | Radiation (MJ m−2) | Rainfall (mm) | Estimated Biomass Production (Mg ha−1) | ||||
|---|---|---|---|---|---|---|---|---|---|---|---|
| Temperature | Radiation | Rainfall | Radiation | Rainfall | |||||||
| the Kanto region | Tsukuba (Kannondai) | 36.02 | 2012 | 23.0 22.9 | 2867 2842 | 633 417 | 40.1 39.8 | 31.7 20.8 | |||
| 2013 | |||||||||||
| Tsukuba (Tateno) Utsunomiya Choshi Tokyo | 36.03 36.33 35.44 35.41 | 1981–2010 † | 21.7 † 21.9 † 21.5 † 23.6 † | 2418 † 2181 † 2599 † 2179 † | 694 † 957 † 751 † 837 † | 33.8 30.5 36.4 30.5 | 34.7 47.9 37.5 41.9 | ||||
| 1981–2010 † | |||||||||||
| 1981–2010 † | |||||||||||
| 1981–2010 † | |||||||||||
| the Shikoku region | Takamatsu | 34.20 | 1981–2010 † | 24.3 † | 2653 † | 637 † | 37.1 | 31.9 | |||
| the Nansei region | Naha | 26.13 | 1981–2010 † | 27.2 † | 2795 † | 1122 † | 39.1 | 56.1 | |||
| USA | Nebraska Illinois Louisiana | 41.98 39.83 30.53 | 1961–1990 ‡ | 2007–2008 a | 20.3 ‡ 21.5 ‡ 26.4 ‡ | 3229 ‡ 3151 ‡ 2964 ‡ | 245–563 a 307–876 b 357–727 c | 45.2 44.1 41.5 | 12.3–28.2 15.4–43.8 17.9–36.4 | ||
| 1961–1990 ‡ | 2009–2010 b | ||||||||||
| 1961–1990 ‡ | 2010–2011 c | ||||||||||
| Year | Sowing | Cultivar | Wortmann et al. (2010) [20] | Zhao et al. (2012) [25] | Okinawa General Bureau (2010) [41] | |||
|---|---|---|---|---|---|---|---|---|
| Ethanol Yield (L Mg−1 FS *) | Ethanol Production (L ha−1) | Ethanol Yield (L Mg−1 FS *) | Ethanol Production (L ha−1) | Ethanol Yield (L Mg−1 FS *) | Ethanol Production (L ha−1) | |||
| 2012 | Early | SIL05 FS501 | 42–44 45–49 | 2421–2970 2187–2458 | 34–35 36–39 | 1958–2333 1770–1934 | 35–36 38–40 | 2033–2421 183–2008 |
| Medium | SIL05 FS501 | 56 17–24 | 1015–3487 901–1404 | 43–46 14–20 | 827–2712 707–1139 | 45–47 14–20 | 859–2815 734–1182 | |
| Late | SIL05 FS501 | 40–52 15–22 | 1631–1997 690–1365 | 31–40 12–17 | 1275–1552 540–1049 | 32–42 12–17 | 1323–1612 561–1089 | |
| 2013 | Early | SIL05 FS501 | 15–22 11–12 | 782–818 712–801 | 12–17 8–10 | 602–639 553–626 | 12–18 9–10 | 625–663 574–650 |
| Medium | SIL05 FS501 | 24–42 15–27 | 804–1871 1041–1141 | 20–33 12–20 | 661–1455 762–895 | 20–341 2–21 | 686–1511 791–929 | |
© 2017 by the authors. Licensee MDPI, Basel, Switzerland. This article is an open access article distributed under the terms and conditions of the Creative Commons Attribution (CC BY) license (http://creativecommons.org/licenses/by/4.0/).
Share and Cite
Ishikawa, S.; Tsukamoto, T.; Kato, H.; Shigeta, K.; Yakushido, K.-i. Agronomic Factors Affecting the Potential of Sorghum as a Feedstock for Bioethanol Production in the Kanto Region, Japan. Sustainability 2017, 9, 937. https://doi.org/10.3390/su9060937
Ishikawa S, Tsukamoto T, Kato H, Shigeta K, Yakushido K-i. Agronomic Factors Affecting the Potential of Sorghum as a Feedstock for Bioethanol Production in the Kanto Region, Japan. Sustainability. 2017; 9(6):937. https://doi.org/10.3390/su9060937
Chicago/Turabian StyleIshikawa, Shoko, Takayuki Tsukamoto, Hitoshi Kato, Kazuto Shigeta, and Ken-ichi Yakushido. 2017. "Agronomic Factors Affecting the Potential of Sorghum as a Feedstock for Bioethanol Production in the Kanto Region, Japan" Sustainability 9, no. 6: 937. https://doi.org/10.3390/su9060937
APA StyleIshikawa, S., Tsukamoto, T., Kato, H., Shigeta, K., & Yakushido, K.-i. (2017). Agronomic Factors Affecting the Potential of Sorghum as a Feedstock for Bioethanol Production in the Kanto Region, Japan. Sustainability, 9(6), 937. https://doi.org/10.3390/su9060937

