Stochastic Characteristics of Manual Solar Shades and their Influence on Building Energy Performance
Abstract
:1. Introduction
2. Methodology
2.1. Stochastic Model
2.2. Statistic Analysis
3. Results and Discussion
3.1. Sc Distribution
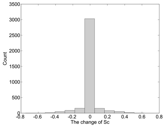
3.2. Sc Change
3.3. Seasonal difference
3.4. Energy Performance
4. Conclusions
Acknowledgments
Author Contributions
Conflicts of Interest
References
- Tzifa, V.; Papadakos, G.; Papadopoulou, A.G.; Marinakis, V.; Psarras, J. Uncertainty and method limitations in a short-time measurement of the effective thermal transmittance on a building envelope using an infrared camera. Int. J. Sustain. Energy 2017, 36, 28–46. [Google Scholar] [CrossRef]
- Zheng, R.; Yao, J. The optimum energy saving measures for retrofitting residential buildings. Open House Int. 2016, 41, 88–92. [Google Scholar]
- Marinakis, V.; Doukas, H.; Karakosta, C.; Psarras, J. An integrated system for buildings’ energy-efficient automation: Application in the tertiary sector. Appl. Energy 2013, 101, 6–14. [Google Scholar] [CrossRef]
- Echenagucia, T.M.; Capozzoli, A.; Cascone, Y.; Sassone, M. The early design stage of a building envelope: Multi-objective search through heating, cooling and lighting energy performance analysis. Appl. Energy 2015, 154, 577–591. [Google Scholar] [CrossRef]
- Raeissi, S.; Taheri, M. Optimum overhang dimensions for energy saving. Build. Environ. 1998, 33, 293–302. [Google Scholar] [CrossRef]
- Valladares-Rendón, L.G.; Lo, S. Passive shading strategies to reduce outdoor insolation and indoor cooling loads by using overhang devices on a building. Build. Simul. 2014, 7, 671–681. [Google Scholar] [CrossRef]
- Ebrahimpour, A.; Maerefat, M. Application of advanced glazing and overhangs in residential buildings. Energy Convers. Manag. 2011, 52, 212–219. [Google Scholar] [CrossRef]
- Aldawoud, A. Conventional fixed shading devices in comparison to an electrochromic glazing system in hot, dry climate. Energy Build. 2013, 59, 104–110. [Google Scholar] [CrossRef]
- Datta, G. Effect of fixed horizontal louver shading devices on thermal perfomance of building by TRNSYS simulation. Renew. Energy 2001, 23, 497–507. [Google Scholar] [CrossRef]
- Bakker, L.G.; Hoes-van Oeffelen, E.C.M.; Loonen, R.C.G.M.; Hensen, J.L.M. User satisfaction and interaction with automated dynamic facades: A pilot study. Build. Environ. 2014, 78, 44–52. [Google Scholar] [CrossRef]
- Tzempelikos, A.; Athienitis, A.K. The impact of shading design and control on building cooling and lighting demand. Solar Energy 2007, 81, 369–382. [Google Scholar] [CrossRef]
- Lee, E.S.; Selkowitz, S.E. The Design and Evaluation of Integrated Envelope and Lighting Control Strategies for Commercial Buildings. Available online: https://www.osti.gov/scitech/biblio/10107748 (accessed on 19 June 2017).
- Sun, L.; Lu, L.; Yang, H. Optimum design of shading-type building-integrated photovoltaic claddings with different surface azimuth angles. Appl. Energy 2012, 90, 233–240. [Google Scholar] [CrossRef]
- Dyke, C.; Van Den Wymelenberg, K.; Djunaedy, E.; Steciak, J. Comparing Whole Building Energy Implications of Sidelighting Systems with Alternate Manual Blind Control Algorithms. Buildings 2015, 5, 467–496. [Google Scholar] [CrossRef]
- Yao, J. Determining the energy performance of manually controlled solar shades: A stochastic model based co-simulation analysis. Appl. Energy 2014, 127, 64–80. [Google Scholar] [CrossRef]
- Nicol, J.F. Characterising Occupant Behaviour in Buildings: Towards a Stochastic Model of Occupant Use of Windows, Lights, Blinds, Heaters and Fans. Available online: http://www.ibpsa.org/proceedings/BS2001/BS01_1073_1078.pdf (accessed on 19 June 2017).
- Haldi, F.; Robinson, D. On the behaviour and adaptation of office occupants. Build. Environ. 2008, 43, 2163–2177. [Google Scholar] [CrossRef]
- Haldi, F.; Robinson, D. Adaptive actions on shading devices in response to local visual stimuli. J. Build. Perform. Simul. 2010, 3, 135–153. [Google Scholar] [CrossRef]
- Birdsall, B.E.; Buhl, W.F.; Curtis, R.B.; Erdem, A.E.; Eto, J.H.; Hirsch, J.J.; Olson, K.H.; Winkelmann, F.C. The DOE-2 computer program for thermal simulation of buildings. AIP Conf. Proc. 1985, 135, 642–649. [Google Scholar] [CrossRef]
- Crawley, D.B.; Lawrie, L.K.; Winkelmann, F.C.; Buhl, W.F.; Huang, Y.J.; Pedersen, C.O.; Strand, R.K.; Liesen, R.J.; Fisher, D.E.; Witte, M.J.; et al. EnergyPlus: creating a new-generation building energy simulation program. Energy Build. 2001, 33, 319–331. [Google Scholar] [CrossRef]
- Beckman, W.A.; Broman, L.; Fiksel, A.; Klein, S.A.; Lindberg, E.; Schuler, M.; Thornton, J. TRNSYS The most complete solar energy system modeling and simulation software. Renew. Energy 1994, 5, 486–488. [Google Scholar] [CrossRef]
- Strachan, P.A.; Kokogiannakis, G.; Macdonald, I.A. History and development of validation with the ESP-r simulation program. Build. Environ. 2008, 43, 601–609. [Google Scholar] [CrossRef]
- Yan, D.; Xia, J.; Tang, W.; Song, F.; Zhang, X.; Jiang, Y. DeST—An integrated building simulation toolkit Part I: Fundamentals. Build. Simul. 2008, 1, 95–110. [Google Scholar] [CrossRef]
- Zhang, X.; Xia, J.; Jiang, Z.; Huang, J.; Qin, R.; Zhang, Y.; Liu, Y.; Jiang, Y. DeST—An integrated building simulation toolkit Part II: Applications. Build. Simul. 2008, 1, 193–209. [Google Scholar] [CrossRef]
- Yao, J.; Chow, D.H.C.; Zheng, R.Y.; Yan, C.W. Occupants’ impact on indoor thermal comfort: A co-simulation study on stochastic control of solar shades. J. Build. Perform. Simul. 2016, 9, 272–287. [Google Scholar] [CrossRef]
- Yao, J.; Chow, D.; Chi, Y. Impact of Manually Controlled Solar Shades on Indoor Visual Comfort. Sustainability 2016, 8, 727. [Google Scholar] [CrossRef]
- Berardi, U.; Wang, T. Daylighting in an atrium-type high performance house. Build. Environ. 2014, 76, 92–104. [Google Scholar] [CrossRef]
- Rea, M.S. Window blind occlusion: a pilot study. Build. Environ. 1984, 19, 133–137. [Google Scholar] [CrossRef]
- Rubin, A.I.; Collins, B.L.; Tibbott, R.L. Window Blinds as a Potential Energy Saver: A Case Study. Available online: https://www.ncjrs.gov/pdffiles1/Digitization/64368NCJRS.pdf (accessed on 19 June 2017).
- Zhang, Y.; Barrett, P. Factors influencing the occupants’ window opening behaviour in a naturally ventilated office building. Build. Environ. 2012, 50, 125–134. [Google Scholar] [CrossRef]
- Inoue, T.; Kawase, T.; Ibamoto, T.; Takakusa, S.; Matsuo, Y. The development of an optimal control system for window shading devices based on investigations in office buildings. ASHRAE Trans. 1988, 104, 1034–1049. [Google Scholar]
- Inkarojrit, V. Balancing Comfort: Occupants’ Control of Window Blinds in Private Offices. Available online: http://escholarship.org/uc/item/3rd2f2bg#page-1 (accessed on 19 June 2017).
- BCVTB. Building Controls Virtual Test Bed. Available online: http://simulationresearch.lbl.gov/bcvtb (accessed on 19 June 2017).
















| Parameter | Value |
|---|---|
| Orientation | West |
| Dimension | Room: 4 × 4 × 3 m, Window: 3.8 × 2.8 m |
| Building envelope | U-value for external wall: 1 W/m2K, and adiabatic for internal walls, roof and floor; Two window settings for comparison: (1) clear double-pane window (U-value: 3.6 W/m2K) + manually controlled solar shades (MShade); (2) clear double-pane window (U-value: 3.6 W/m2K) + automatically controlled solar shades (AShade) |
| Work time | 8:00–17:00 |
| HVAC | Temperature: 20–26 °C, run time: 8:00–17:00 |
| Interior heat generation | Light density: 11 W/m2; equipment: 20 W/m2 |
| Fresh air | 40 m3/h·p |
| Season | Time | Shading Sate | The Aim of the Control |
|---|---|---|---|
| Summer | Daytime | Shade 2/3 of window area | Block excessive solar gain and keep enough daylight |
| Nighttime | Fully open | Enable natural ventilation to decrease indoor temperature | |
| Transition | All time | Shade 1/2 of window area | Try to get a balance between solar radiation and daylight |
| Winter | Daytime | Fully open | Admit solar heat to warm indoor space |
| Nighttime | Fully closed | Reduce heat loss |
© 2017 by the authors. Licensee MDPI, Basel, Switzerland. This article is an open access article distributed under the terms and conditions of the Creative Commons Attribution (CC BY) license (http://creativecommons.org/licenses/by/4.0/).
Share and Cite
Yao, J.; Zheng, R. Stochastic Characteristics of Manual Solar Shades and their Influence on Building Energy Performance. Sustainability 2017, 9, 1070. https://doi.org/10.3390/su9061070
Yao J, Zheng R. Stochastic Characteristics of Manual Solar Shades and their Influence on Building Energy Performance. Sustainability. 2017; 9(6):1070. https://doi.org/10.3390/su9061070
Chicago/Turabian StyleYao, Jian, and Rongyue Zheng. 2017. "Stochastic Characteristics of Manual Solar Shades and their Influence on Building Energy Performance" Sustainability 9, no. 6: 1070. https://doi.org/10.3390/su9061070
APA StyleYao, J., & Zheng, R. (2017). Stochastic Characteristics of Manual Solar Shades and their Influence on Building Energy Performance. Sustainability, 9(6), 1070. https://doi.org/10.3390/su9061070

