Using an AHP-ISM Based Method to Study the Vulnerability Factors of Urban Rail Transit System
Abstract
:1. Introduction
2. Vulnerability Factors of Rail Transit System
3. Research Methodology
3.1. Analytical Hierarchy Process (AHP)
3.2. Interpretative Structural Modeling (ISM)
- (1)
- For the relationship , if i has an impact on j, ; if not, and vice versa;
- (2)
- If the two factors do not impact each other, then ;
- (3)
- If the two factors impact each other, then ;
- (4)
- When , then .
3.3. The Integrated Methodology
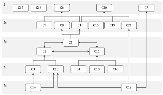
4. Results
5. Discussion
6. Conclusions
Acknowledgments
Author Contributions
Conflicts of Interest
References
- Li, Q.M.; Song, L.L.; List, G.; Deng, Y.L.; Zhou, Z.P.; Liu, P. A new approach to understand metro operation safety by exploring metro operation hazard network (mohn). Saf. Sci. 2017, 93, 50–61. [Google Scholar] [CrossRef]
- National Bureau of Statistic of China. 2016. Available online: http://www.stats.gov.cn/english/Statisticaldata/AnnualData (accessed on 15 May 2017).
- Kyriakidis, M.; Majumdar, A.; Grote, G.; Ochieng, W. Development and assessment of taxonomy for performance-shaping factors for railway operations. Transp. Res. Rec. 2012, 2289, 145–153. [Google Scholar] [CrossRef]
- Kyriakidis, M.; Majumdar, A.; Ochieng, W.Y. Data based framework to identify the most significant performance shaping factors in railway operations. Saf. Sci. 2015, 78, 60–76. [Google Scholar] [CrossRef]
- Song, X.M.; Li, C.Y. Subway Station Operational Safety Analysis Method Based on Spatial and Temporal Resource Analysis. In Proceedings of the CICTP 2014: Safe, Smart, and Sustainable Multimodal Transportation Systems, Changsha, China, 4–7 July 2014; pp. 2660–2665. [Google Scholar]
- Rausand, M. Risk Assessment: Theory, Methods, and Applications; John Wiley & Sons: Hoboken, NJ, USA, 2011. [Google Scholar]
- Lou, Y.Y.; Zhang, L.H. Defending transportation networks against random and targeted attacks. Transp. Res. Rec. 2011, 2234, 31–40. [Google Scholar] [CrossRef]
- Lownes, N.E.; Wang, Q.X.; Ibrahim, S.; Ammar, R.A.; Rajasekaran, S.; Sharma, D. Many-to-many game-theoretic approach for the measurement of transportation network vulnerability. Transp. Res. Rec. 2011, 2263, 1–8. [Google Scholar] [CrossRef]
- Deng, Y.L.; Li, Q.M.; Lu, Y. A research on subway physical vulnerability based on network theory and fmeca. Saf. Sci. 2015, 80, 127–134. [Google Scholar] [CrossRef]
- Wan, X.; Li, Q.M.; Yuan, J.F.; Schonfeld, P.M. Metro passenger behaviors and their relations to metro incident involvement. Accid. Anal. Prev. 2015, 82, 90–100. [Google Scholar] [CrossRef] [PubMed]
- Zimmerman, R. Mass transit infrastructure and urban health. J. Urban Health 2005, 82, 21–32. [Google Scholar] [CrossRef] [PubMed]
- Sun, D.; Zhao, Y.; Lu, Q.C. Vulnerability analysis of urban rail transit networks: A case study of shanghai, china. Sustainability 2015, 7, 6919. [Google Scholar] [CrossRef]
- Albert, R.; Albert, I.; Nakarado, G.L. Structural vulnerability of the north american power grid. Phys. Rev. E 2004, 69. [Google Scholar] [CrossRef] [PubMed]
- Kamara, S.; Fahmy, S.; Schultz, E.; Kerschbaum, F.; Frantzen, M. Analysis of vulnerabilities in internet firewalls. Comput. Secur. 2003, 22, 214–232. [Google Scholar] [CrossRef]
- Srinivasan, K. Transportation Network Vulnerability Assessment: A Quantitative Framework; Transportation Security Papers 2002; Southeastern Transportation Center: Knoxville, TN, USA, 2002; pp. 63–82. [Google Scholar]
- Grubesic, T.H.; Matisziw, T.C. A typological framework for categorizing infrastructure vulnerability. GeoJournal 2013, 78, 287–301. [Google Scholar] [CrossRef]
- Berdica, K. An introduction to road vulnerability: What has been done, is done and should be done. Transp. Policy 2002, 9, 117–127. [Google Scholar] [CrossRef]
- Erath, A.; Birdsall, J.; Axhausen, K.W.; Hajdin, R. Vulnerability assessment methodology for swiss road network. Transp. Res. Rec. 2009, 2137, 118–126. [Google Scholar] [CrossRef]
- Haimes, Y.Y. On the definition of vulnerabilities in measuring risks to infrastructures. Risk Anal. 2006, 26, 293–296. [Google Scholar] [CrossRef] [PubMed]
- Johansson, J.; Hassel, H. An approach for modelling interdependent infrastructures in the context of vulnerability analysis. Reliab. Eng. Syst. Saf. 2010, 95, 1335–1344. [Google Scholar] [CrossRef]
- Tampere, C.M.J.; Stada, J.; Immers, B.; Peetermans, E.; Organe, K. Methodology for identifying vulnerable network sections in a national road. Transp. Res. Rec. 2007, 2012, 1–10. [Google Scholar] [CrossRef]
- Apostolakis, G.E.; Lemon, D.M. A screening methodology for the identification and ranking of infrastructure vulnerabilities due to terrorism. Risk Anal. 2005, 25, 361–376. [Google Scholar] [CrossRef] [PubMed]
- Aven, T. A unified framework for risk and vulnerability analysis covering both safety and security. Reliab. Eng. Syst. Saf. 2007, 92, 745–754. [Google Scholar] [CrossRef]
- Schuchmann, G. Road network vulnerability-evaluation of measures in ranking damages and developments. Period Polytech. Civ. Eng. 2010, 54, 61–65. [Google Scholar] [CrossRef]
- Johansson, J.; Hassel, H.; Zio, E. Reliability and vulnerability analyses of critical infrastructures: Comparing two approaches in the context of power systems. Reliab. Eng. Syst. Saf. 2013, 120, 27–38. [Google Scholar] [CrossRef]
- Lu, Y.; Li, Q.; Song, L. Safety risk analysis on subway operation based on socio-technical systems. In Proceedings of the 2012 International Conference on Quality, Reliability, Risk, Maintenance, and Safety Engineering (ICQR2MSE), Chengdu, China, 15–18 June 2012; pp. 180–184. [Google Scholar]
- Lu, Y.; Li, Q.; Xiao, W. Case-based reasoning for automated safety risk analysis on subway operation: Case representation and retrieval. Saf. Sci. 2013, 57, 75–81. [Google Scholar] [CrossRef]
- Kyriakidis, M.; Hirsch, R.; Majumdar, A. Metro railway safety: An analysis of accident precursors. Saf. Sci. 2012, 50, 1535–1548. [Google Scholar] [CrossRef]
- Gershon, R.R.M.; Qureshi, K.A.; Barrera, M.A.; Erwin, M.J.; Goldsmith, F. Health and safety hazards associated with subways: A review. J. Urban Health 2005, 82, 10–20. [Google Scholar] [CrossRef] [PubMed]
- Song, L.L.; Li, Q.M.; Lu, Y.; Deng, Y.F. Research on factors affecting vulnerability of subway system. China Saf. Sci. J. 2016, 26, 64–69. [Google Scholar]
- Derrible, S.; Kennedy, C. Network analysis of world subway systems using updated graph theory. Transp. Res. Rec. 2009, 2112, 17–25. [Google Scholar] [CrossRef]
- Derrible, S.; Kennedy, C. Evaluating, comparing, and improving metro networks application to plans for toronto, canada. Transp. Res. Rec. 2010, 2146, 43–51. [Google Scholar] [CrossRef]
- Pederson, P.; Dudenhoeffer, D.; Hartley, S.; Permann, M. Critical Infrastructure Interdependency Modeling: A Survey of Us and International Research; Technical Report INL/EXT-06-11464; Idaho National Laboratory: Idaho Falls, ID, USA, 2006.
- Khalil, N.; Kamaruzzaman, S.N.; Baharum, M.R. Ranking the indicators of building performance and the users’ risk via analytical hierarchy process (ahp): Case of malaysia. Ecol. Indic. 2016, 71, 567–576. [Google Scholar] [CrossRef]
- Mohanty, M.; Shankar, R. Modelling uncertainty in sustainable integrated logistics using fuzzy-tism. Transp. Res. Part D 2017, 53, 471–491. [Google Scholar] [CrossRef]
- Saaty, T.L. The modern science of multicriteria decision making and its practical applications: The ahp/anp approach. Oper. Res. 2013, 61, 1101–1118. [Google Scholar] [CrossRef]
- Warfield, J.N. Toward interpretation of complex structural models. IEEE Trans. Syst. Man Cybern. 1974, 4, 405–417. [Google Scholar] [CrossRef]
- Bolger, F.; Rowe, G. The aggregation of expert judgment: Do good things come to those who weight? Risk Anal. 2015, 35, 5–11. [Google Scholar] [CrossRef] [PubMed]
- Morgan, M.G. Use (and abuse) of expert elicitation in support of decision making for public policy. Proc. Natl. Acad. Sci. USA 2014, 111, 7176–7184. [Google Scholar] [CrossRef] [PubMed]
- Zhang, G.; Thai, V.V. Expert elicitation and bayesian network modeling for shipping accidents: A literature review. Saf. Sci. 2016, 87, 53–62. [Google Scholar] [CrossRef]
- Maniram Kumar, A.; Rajakarunakaran, S.; Arumuga Prabhu, V. Application of fuzzy heart and expert elicitation for quantifying human error probabilities in lpg refuelling station. J. Loss Prev. Process Ind. 2017, 48, 186–198. [Google Scholar] [CrossRef]
- Ma, Y.; Zhao, Q.; Xi, M. Decision-makings in safety investment: An opportunity cost perspective. Saf. Sci. 2016, 83, 31–39. [Google Scholar] [CrossRef]





| Dimension | Factors | Explanation | References |
|---|---|---|---|
| Individual (B1) | Individual technical capability (C1) | Technical capability depends on professional personnel knowledge, skill, and experience. Experienced staff tend to make fewer mistakes and are capable of dealing with and solving unexpected problems. | [3,4] |
| Individual security awareness (C2) | Security awareness is an individual’s sensitivity to danger and is correlated with alertness. It depends on the attention devoted to sensing warnings and information regarding the safety conditions. | [3,4] | |
| Individual discipline (C3) | Each staff member’s positive attitude, healthy personality, and sense of responsibility can make the system safer and more efficient. | [26,27] | |
| Individual workload and stress (C4) | Over workload and stress can cause loss of concentration, unstable mood, and physical fatigue to subway staff, especially when they are engaged in repetitive work. | [3,26,27] | |
| Individual physical and physiological state (C5) | Staff that are in good physical and physiological condition can keep a positive attitude toward work and achieve higher performance. | [3,26,27] | |
| Equipment/facility (B2) | Equipment/facility condition (C6) | The condition of equipment and facilities is affected by service times and maintenance. Accidents are likely to occur if the equipment and facilities are not in appropriate state. | [16,28] |
| Equipment/facility performance (C7) | Equipment and facility performance depends on reliability and the adoption of advanced technology and materials for the system. | [16,28,29] | |
| Equipment/facility protection (C8) | The protection of the equipment and facilities can reduce the impact of disruptive events to the system. For example, installing platform screen doors can keep passengers from falling onto the tracks or attempting suicide. | [16,28,29] | |
| Environment (B3) | Natural environment (C9) | Natural disasters, such as earthquakes, strong winds, and snowstorms, can impair the safe operation of the system. | [16,29] |
| Social environment (C10) | A subway system is especially vulnerable to terrorist threats or attacks because it can be accessed easily by the general public. A favorable social environment can limit such events. | [16,29] | |
| Operating environment (C11) | The operating environment includes the travel conditions for passengers and the working conditions for the staff. | [29,30] | |
| Management (B4) | Safety investment (C12) | Safety investment is the essential funding to ensure safe operation of subway system, which could be in form of introducing new technology, safety training, safety incentives or other activities. | [26,28,30] |
| Education and training (C13) | Staff can continuously improve their operational capability by education and training, including technical training and emergency drills. | [26,28,29] | |
| Rules and regulations (C14) | Rules and regulations can make staff and departmental responsibilities clear which contribute a lot to increase the safety of operating the system. | [26,30] | |
| Organizational structure (C15) | Organizational structure defines how activities or tasks are to be allocated, coordinated, and supervised to assist in safe operation, which is particularly important to subway systems for its direct impact on the communication and cooperation between different departments. | [3,26,30] | |
| Structure (B5) | Station layout (C16) | Scientific station layouts can create a safe, convenient, and comfortable environment for passengers. They can also improve the efficiency of mustering and evacuating, which exert the positive influence on mitigating the consequences of disruptive events. | [30] |
| Network topology (C17) | The consequences of an accident can spread through a network. For instance, the loss of a single node or link can paralyze the whole network. The topology of the network affects the rate at which these consequences spread, what portions of the system they affect, and the extent of the impacts. | [16,31,32] | |
| Equipment/facility interdependency (C18) | Equipment/facility interdependency is a relationship between two subsystems by which the state of each subsystem influences or is correlated to the state of the other. Such interdependencies can exacerbate the system’s vulnerability and further aggravate the impact of accidents. | [16,33] | |
| Emergency (B6) | Emergency management plan (C19) | An emergency management plan is a course of action developed to mitigate the damage of potential events that could endanger the system’s ability to function. | [29,30] |
| Emergency response execution (C20) | Accurate action taken in the initial minutes of an incident can help control the incident and minimize the damage to the system. The more efficient and timely the actions, the less will be the impact of the accident. | [29,30] | |
| Emergency support system setup (C21) | Well-designed, well-equipped and maintained systems that are used in emergencies can have a significant impact on impact mitigation. | [29,30] |
| Intensity of Importance | Definition | Explanation |
|---|---|---|
| 1 | Equally | Two factors contribute equally to the objective |
| 3 | Moderately | Experience and judgment slightly favor one factor over the other |
| 5 | Strongly | Experience and judgment strongly favor one activity over the other |
| 7 | Very strongly | Experience and judgment very strongly favor one over the other |
| 9 | Extremely | The evidence favoring one over another is of the highest possible order of affirmation |
| 2, 4, 6, 8 | Intermediately | Used to represent compromises between the preferences in weights 1, 3, 5, 7 and 9 |
| Reciprocals | Opposites | Used for inverse comparison |
| N | 1 | 2 | 3 | 4 | 5 | 6 | 7 | 8 | 9 | 10 |
|---|---|---|---|---|---|---|---|---|---|---|
| RI | 0 | 0 | 0.525 | 0.882 | 1.115 | 1.252 | 1.341 | 1.404 | 1.452 | 1.484 |
| Factor | B1 | B2 | B3 | B4 | B5 | B6 | CI | CR | Weight | Rank |
|---|---|---|---|---|---|---|---|---|---|---|
| 0.30552 | 0.08204 | 0.03924 | 0.31203 | 0.09710 | 0.16408 | |||||
| C1 | 0.33493 | 0.00347 | 0.00311 | 0.1023 | 3 | |||||
| C2 | 0.32337 | 0.0989 | 4 | |||||||
| C3 | 0.10572 | 0.0323 | 11 | |||||||
| C4 | 0.05797 | 0.0177 | 18 | |||||||
| C5 | 0.17801 | 0.0544 | 7 | |||||||
| C6 | 0.59537 | 0.00279 | 0.00532 | 0.0488 | 9 | |||||
| C7 | 0.12828 | 0.0105 | 20 | |||||||
| C8 | 0.27635 | 0.0227 | 15 | |||||||
| C9 | 0.16341 | 0.00449 | 0.00885 | 0.0064 | 21 | |||||
| C10 | 0.29696 | 0.0117 | 19 | |||||||
| C11 | 0.53963 | 0.0212 | 16 | |||||||
| C12 | 0.35767 | 0.00122 | 0.00233 | 0.1116 | 2 | |||||
| C13 | 0.37881 | 0.1182 | 1 | |||||||
| C14 | 0.17883 | 0.0558 | 6 | |||||||
| C15 | 0.08469 | 0.0264 | 12 | |||||||
| C16 | 0.25001 | 0 | 0 | 0.0242 | 13 | |||||
| C17 | 0.49999 | 0.0485 | 10 | |||||||
| C18 | 0.25001 | 0.0243 | 14 | |||||||
| C19 | 0.30900 | 0.00186 | 0.00355 | 0.0507 | 8 | |||||
| C20 | 0.58155 | 0.0954 | 5 | |||||||
| C21 | 0.10945 | 0.0180 | 17 |
| Factor | C1 | C2 | C3 | C4 | C5 | C6 | C7 | C8 | C9 | C10 | C11 | C12 | C13 | C14 | C15 | C16 | C17 | C18 | C19 | C20 | C21 |
|---|---|---|---|---|---|---|---|---|---|---|---|---|---|---|---|---|---|---|---|---|---|
| C1 | 1 | 0 | 0 | 0 | 0 | 1 | 0 | 0 | 0 | 0 | 0 | 0 | 0 | 0 | 0 | 0 | 0 | 0 | 0 | 1 | 0 |
| C2 | 1* | 1 | 0 | 0 | 1* | 1* | 0 | 1 | 0 | 0 | 1 | 0 | 0 | 0 | 0 | 0 | 0 | 0 | 0 | 1 | 0 |
| C3 | 1 | 1 | 1 | 0 | 1* | 1* | 0 | 1* | 0 | 0 | 1* | 0 | 0 | 0 | 0 | 0 | 0 | 0 | 0 | 1* | 0 |
| C4 | 1* | 1* | 0 | 1 | 1 | 1* | 0 | 1* | 0 | 0 | 1* | 0 | 0 | 0 | 0 | 0 | 0 | 0 | 0 | 1* | 0 |
| C5 | 1 | 1 | 0 | 0 | 1 | 1* | 0 | 1* | 0 | 0 | 1* | 0 | 0 | 0 | 0 | 0 | 0 | 0 | 0 | 1* | 0 |
| C6 | 0 | 0 | 0 | 0 | 0 | 1 | 0 | 0 | 0 | 0 | 0 | 0 | 0 | 0 | 0 | 0 | 0 | 0 | 0 | 0 | 0 |
| C7 | 0 | 0 | 0 | 0 | 0 | 0 | 1 | 0 | 0 | 0 | 0 | 0 | 0 | 0 | 0 | 0 | 0 | 0 | 0 | 0 | 0 |
| C8 | 0 | 0 | 0 | 0 | 0 | 1 | 0 | 1 | 0 | 0 | 0 | 0 | 0 | 0 | 0 | 0 | 0 | 0 | 0 | 0 | 0 |
| C9 | 0 | 0 | 0 | 0 | 0 | 1 | 0 | 0 | 1 | 0 | 0 | 0 | 0 | 0 | 0 | 0 | 0 | 0 | 0 | 0 | 0 |
| C10 | 1* | 1* | 0 | 0 | 1* | 1* | 0 | 0 | 0 | 1 | 1 | 0 | 0 | 0 | 0 | 0 | 0 | 0 | 0 | 1* | 0 |
| C11 | 1* | 1* | 0 | 0 | 1 | 1* | 0 | 0 | 0 | 0 | 1 | 0 | 0 | 0 | 0 | 0 | 0 | 0 | 0 | 1* | 0 |
| C12 | 1* | 1* | 0 | 0 | 1* | 1* | 1 | 1 | 0 | 0 | 0 | 1 | 1 | 0 | 0 | 0 | 0 | 0 | 0 | 1* | 1 |
| C13 | 1 | 1 | 0 | 0 | 1* | 1* | 0 | 1* | 0 | 0 | 0 | 0 | 1 | 0 | 0 | 0 | 0 | 0 | 0 | 1 | 0 |
| C14 | 1* | 1* | 1 | 0 | 1* | 1* | 0 | 1* | 0 | 0 | 0 | 0 | 1 | 1 | 0 | 0 | 0 | 0 | 0 | 1* | 0 |
| C15 | 0 | 0 | 0 | 0 | 0 | 0 | 0 | 0 | 0 | 0 | 0 | 0 | 0 | 0 | 1 | 0 | 0 | 0 | 0 | 1 | 0 |
| C16 | 1* | 1* | 0 | 0 | 1* | 1* | 0 | 1* | 0 | 0 | 1 | 0 | 0 | 0 | 0 | 1 | 0 | 0 | 0 | 1 | 0 |
| C17 | 0 | 0 | 0 | 0 | 0 | 0 | 0 | 0 | 0 | 0 | 0 | 0 | 0 | 0 | 0 | 0 | 1 | 0 | 0 | 0 | 0 |
| C18 | 0 | 0 | 0 | 0 | 0 | 0 | 0 | 0 | 0 | 0 | 0 | 0 | 0 | 0 | 0 | 0 | 0 | 1 | 0 | 0 | 0 |
| C19 | 0 | 0 | 0 | 0 | 0 | 0 | 0 | 0 | 0 | 0 | 0 | 0 | 0 | 0 | 0 | 0 | 0 | 0 | 1 | 1 | 0 |
| C20 | 0 | 0 | 0 | 0 | 0 | 0 | 0 | 0 | 0 | 0 | 0 | 0 | 0 | 0 | 0 | 0 | 0 | 0 | 0 | 1 | 0 |
| C21 | 0 | 0 | 0 | 0 | 0 | 0 | 0 | 0 | 0 | 0 | 0 | 0 | 0 | 0 | 0 | 0 | 0 | 0 | 0 | 1 | 1 |
| Factor | Reachability Set | Antecedent Set | Intersectionet |
|---|---|---|---|
| . | |||
| C1 | 1,6,20 | 1,2,3,4,5,10,11,12,13,14,16 | 1 |
| C2 | 1,2,5,6,8,11,20 | 2,3,4,5,10,11,12,13,14,16 | 2,5,11 |
| C3 | 1,2,3,5,6,8,11,20 | 3,14 | 3 |
| C4 | 1,2,4,5,6,8,11,20 | 4 | 4 |
| C5 | 1,2,5,6,8,11,20 | 2,3,4,5,10,11,12,13,14,16 | 2,5,11 |
| C6 | 6 | 1,2,3,4,5,6,8,9,10,11,12,13,14,16 | 6 |
| C7 | 7 | 7,12 | 7 |
| C8 | 6,8 | 2,3,4,5,8,10,11,12,13,14,16 | 8 |
| C9 | 6,9 | 9 | 9 |
| C10 | 1,2,5,6,8,10,11,20 | 10 | 10 |
| C11 | 1,2,5,6,8,11,20 | 2,3,4,5,10,11,12,13,14,16 | 2,5,11 |
| C12 | 1,2,5,6,7,8,11,12,13,20,21 | 12 | 12 |
| C13 | 1,2,5,6,8,11,13,20 | 12,13,14 | 13 |
| C14 | 1,2,5,6,8,11,13,14,20 | 14 | 14 |
| C15 | 15,20 | 15 | 15 |
| C16 | 1,2,5,6,8,11,16,20 | 16 | 16 |
| C17 | 17 | 17 | 17 |
| C18 | 18 | 18 | 18 |
| C19 | 19,20 | 19 | 19 |
| C20 | 20 | 1,2,3,4,5,10,11,12,13,14,15,16,19,20,21 | 20 |
| C21 | 20,21 | 12,21 | 21 |
| C1 | 1 | 1,2,3,4,5,10,11,12,13,14,16 | 1 |
| C2 | 1,2,5,8,11 | 2,3,4,5,10,11,12,13,14,16 | 2,5,11 |
| C3 | 1,2,3,5,8,11 | 3,14 | 3 |
| C4 | 1,2,4,5,8,11 | 4 | 4 |
| C5 | 1,2,5,8,11 | 2,3,4,5,10,11,12,13,14,16 | 2,5,11 |
| C8 | 8 | 2,3,4,5,8,10,11,12,13,14,16 | 8 |
| C9 | 9 | 9 | 9 |
| C10 | 1,2,5,8,10,11 | 10 | 10 |
| C11 | 1,2,5,8,11 | 2,3,4,5,10,11,12,13,14,16 | 2,5,11 |
| C12 | 1,2,5,8,11,12,13,21 | 12 | 12 |
| C13 | 1,2,5,8,11,13 | 12,13,14 | 13 |
| C14 | 1,2,3,5,8,11,13,14 | 14 | 14 |
| C15 | 15 | 15 | 15 |
| C16 | 1,2,5,8,11,16 | 16 | 16 |
| C19 | 19 | 19 | 19 |
| C21 | 21 | 12,21 | 21 |
| C2 | 2,5,11 | 2,3,4,5,10,11,12,13,14,16 | 2,5,11 |
| C3 | 2,3,5,11 | 3,14 | 3 |
| C4 | 2,4,5,11 | 4 | 4 |
| C5 | 2,5,11 | 2,3,4,5,10,11,12,13,14,16 | 2,5,11 |
| C10 | 2,5,10,11 | 10 | 10 |
| C11 | 2,5, 11 | 2,3,4,5,10,11,12,13,14,16 | 2,5,11 |
| C12 | 2,5,11,12,13 | 12 | 12 |
| C13 | 2,5,11,13 | 12,13,14 | 13 |
| C14 | 2,3,5,11,13,14 | 14 | 14 |
| C16 | 2,5,11,16 | 16 | 16 |
| C3 | 3 | 3,14 | 3 |
| C4 | 4 | 4 | 4 |
| C10 | 10 | 10 | 10 |
| C12 | 12,13 | 12 | 12 |
| C13 | 13 | 12,13,14 | 13 |
| C14 | 3,13,14 | 14 | 14 |
| C16 | 16 | 16 | 16 |
| C12 | 12 | 12 | 12 |
| C14 | 14 | 14 | 14 |
© 2017 by the authors. Licensee MDPI, Basel, Switzerland. This article is an open access article distributed under the terms and conditions of the Creative Commons Attribution (CC BY) license (http://creativecommons.org/licenses/by/4.0/).
Share and Cite
Song, L.; Li, Q.; List, G.F.; Deng, Y.; Lu, P. Using an AHP-ISM Based Method to Study the Vulnerability Factors of Urban Rail Transit System. Sustainability 2017, 9, 1065. https://doi.org/10.3390/su9061065
Song L, Li Q, List GF, Deng Y, Lu P. Using an AHP-ISM Based Method to Study the Vulnerability Factors of Urban Rail Transit System. Sustainability. 2017; 9(6):1065. https://doi.org/10.3390/su9061065
Chicago/Turabian StyleSong, Liangliang, Qiming Li, George F. List, Yongliang Deng, and Ping Lu. 2017. "Using an AHP-ISM Based Method to Study the Vulnerability Factors of Urban Rail Transit System" Sustainability 9, no. 6: 1065. https://doi.org/10.3390/su9061065
APA StyleSong, L., Li, Q., List, G. F., Deng, Y., & Lu, P. (2017). Using an AHP-ISM Based Method to Study the Vulnerability Factors of Urban Rail Transit System. Sustainability, 9(6), 1065. https://doi.org/10.3390/su9061065
