The Emissions of Carbon Dioxide, Methane, and Nitrous Oxide during Winter without Cultivation in Local Saline-Alkali Rice and Maize Fields in Northeast China
Abstract
:1. Introduction
2. Materials and Methods
2.1. Study Site
2.2. Sampling and Measurement of CO2, CH4, and N2O Fluxes
2.3. Statistical Methods
3. Results
3.1. Variations in Snow and Temperatures
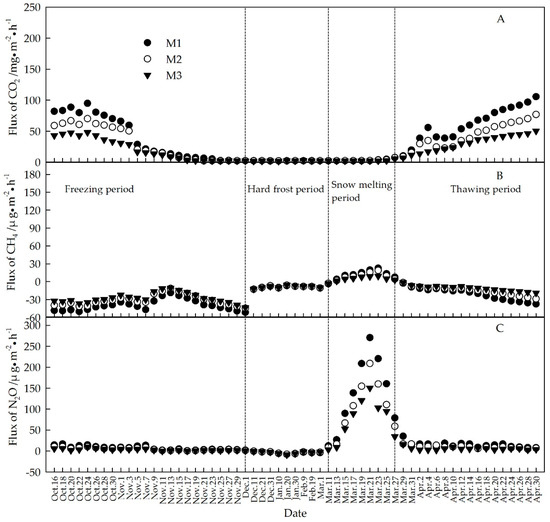
3.2. Variations in the Flux of CO2, CH4, and N2O
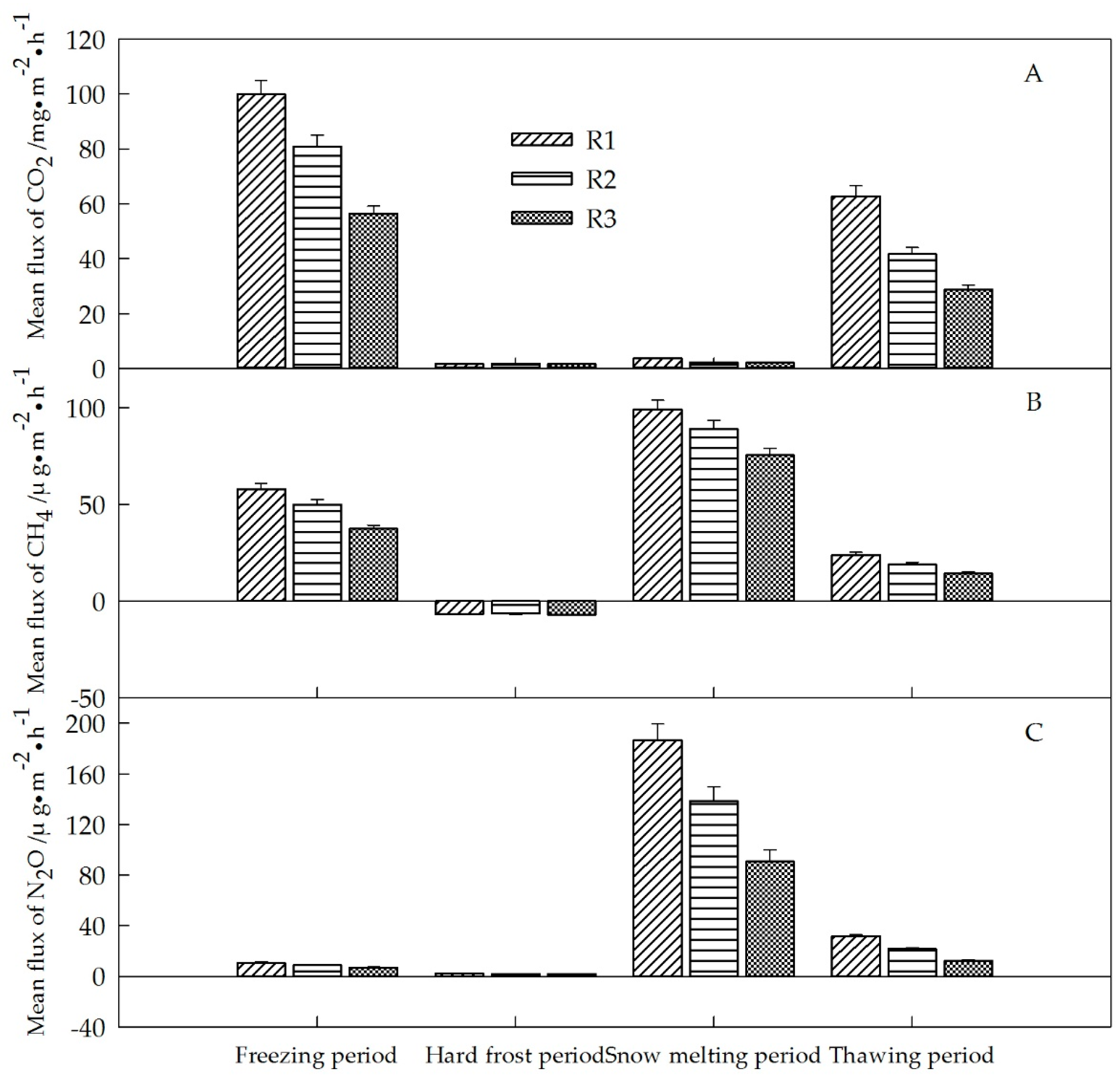
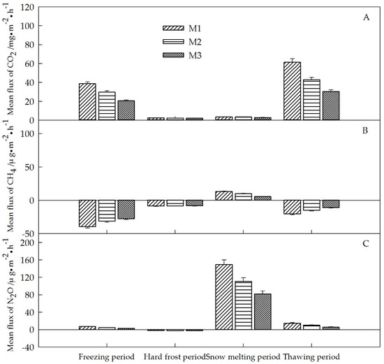
3.3. Mean Flux of CO2, CH4, and N2O during the Different Periods
3.4. Cumulative Emissions, Contribution Rates, and GWPs of CO2, CH4, and N2O
3.5. Pearson Correlation Analysis between CO2, CH4, and N2O Flux and Temperatures during Winter
4. Discussion
4.1. CO2 Flux
4.2. CH4 Flux
4.3. N2O Flux
5. Conclusions
Acknowledgments
Author Contributions
Conflicts of Interest
References
- IPCC. Climate Change 2013: The Physical Science Basis. Contribution of Working Group I to the Fifth Assessment Report of the Intergovernmental Panel on Climate Change; Cambridge University Press: Cambridge, UK; New York, NY, USA, 2013; p. 1535. [Google Scholar]
- Kong, Y.; Nagano, H.; Kátai, J.; Vágó, I.; Oláh, Á.Z.; Yashima, M.; Inubushi, K. CO2, N2O and CH4 production/consumption potentials of soils under different land-use types in central Japan and eastern Hungary. Soil Sci. Plant Nutr. 2013, 59, 455–462. [Google Scholar] [CrossRef]
- Solomon, S.; Qin, D.; Manning, M.; Chen, Z.; Marquis, M.; Averyt, K.B.; Tignor, M.; Miller, H.L. Climate Change 2007: The Physical Science Basis, Contribution of Working Group I to the Fourth Assessment Report of the Intergovernmental Panel on Climate Change, 1st ed.; Cambridge University Press: Cambridge, UK; New York, NY, USA, 2007; pp. 2–18. [Google Scholar]
- Friedlingstein, P.; Cox, P.; Betts, R.; Bopp, L.; Von Bloh, W.; Brovkin, V.; Cadule, P.; Doney, S.; Eby, M.; Fung, I.; et al. Climate-carbon cycle feedback analysis, results from the C4MIP model intercomparison. J. Clim. 2006, 19, 3337–3353. [Google Scholar] [CrossRef]
- Smith, P.; Martino, D.; Cai, Z.; Gwary, D.; Janzen, H.; Kumar, P.; McCarl, B.; Ogle, S.; O’Mara, F.; Rice, C.; et al. Greenhouse gas mitigation in agriculture. Philos. Trans. R. Soc. Lond. B Biol. Sci. 2008, 363, 789–813. [Google Scholar] [CrossRef] [PubMed]
- Ussiri, D.A.N.; Lal, R.; Jarecki, M.K. Nitrous oxide and methane emissions from long-term tillage under a continuous corn cropping system in Ohio. Soil Tillage Res. 2009, 104, 247–255. [Google Scholar] [CrossRef]
- Liu, X.J.; Mosier, A.R.; Halvorson, A.D.; Reule, C.A.; Zhang, F.S. Dinitrogen and N2O emissions in arable soils: Effect of tillage, N source and soil moisture. Soil Biol. Biochem. 2007, 39, 2362–2370. [Google Scholar] [CrossRef]
- Omonode, R.A.; Vyn, T.J.; Smith, D.R.; Hegymegi, P.; Gál, A. Soil carbon dioxide and methane fluxes from long-term tillage systems in continuous corn and corn-soybean rotations. Soil Tillage Res. 2007, 95, 182–195. [Google Scholar] [CrossRef]
- Hwang, H.Y.; Kim, G.W.; Kim, S.Y.; Mozammel Haque, M.; Khan, M.I.; Kim, P.J. Effect of cover cropping on the net global warming potential of rice paddy soil. Geoderma 2017, 292, 49–58. [Google Scholar] [CrossRef]
- Bhattacharyya, P.; Nayak, A.K.; Mohanty, S.; Tripathi, R.; Shahid, M.; Kumar, A.; Raja, R.; Panda, B.B.; Roy, K.S.; Neogi, S.; et al. Greenhouse gas emission in relation to labile soil C, N pools and functional microbial diversity as influenced by 39 years long-term fertilizer management in tropical rice. Soil Tillage Res. 2013, 129, 93–105. [Google Scholar] [CrossRef]
- Zhang, X.X.; Yin, S.; Li, Y.S.; Zhuang, H.L.; Li, C.H.; Liu, C.J. Comparison of greenhouse gas emissions from rice paddy fields under different nitrogen fertilization loads in Chongming Island, Eastern China. Sci. Total Environ. 2014, 472, 381–388. [Google Scholar] [CrossRef] [PubMed]
- Maris, S.C.; Teira-Esmatges, M.R.; Arbonés, A.; Rufat, J. Effect of irrigation, nitrogen application, and a nitrification inhibitor on nitrous oxide, carbon dioxide and methane emissions from an olive (Olea europaea L.) orchard. Sci. Total Environ. 2015, 538, 966–978. [Google Scholar] [CrossRef] [PubMed]
- Shah, A.; Lamers, M.; Streck, T. N2O and CO2 emissions from South German arable soil after amendment of manures and composts. Environ. Earth Sci. 2016, 75, 1–12. [Google Scholar] [CrossRef]
- Bhattacharyya, P.; Roy, K.S.; Neogi, S.; Dash, P.K.; Nayak, A.K.; Mohanty, S.; Baig, M.J.; Sarkar, R.K.; Rao, K.S. Impact of elevated CO2 and temperature on soil C and N dynamics in relation to CH4 and N2O emissions from tropical flooded rice (Oryza sativa L.). Sci. Total Environ. 2013, 461–462, 601–611. [Google Scholar] [CrossRef] [PubMed]
- Jiang, B.; Yang, S.Y.; Yang, X.B.; Ma, Y.H.; Chen, X.L.; Zuo, H.F.; Fan, D.F.; Gao, L.; Yu, Q.; Yang, W. Effect of controlled drainage in the wheat season on soil CH4 and N2O emissions during the rice season. Int. J. Plant Prod. 2015, 9, 273–290. [Google Scholar]
- Wang, G.S.; Liang, Y.P.; Zhang, Q.; Jha, S.K.; Gao, Y.; Shen, X.J.; Sun, J.S.; Duan, A.W. Mitigated CH4 and N2O emissions and improved irrigation water use efficiency in winter wheat field with surface drip irrigation in the North China Plain. Agric. Water Manag. 2016, 163, 403–407. [Google Scholar] [CrossRef]
- Wang, Y.Y.; Hu, C.S.; Ming, H.; Oenema, O.; Schaefer, D.A.; Dong, W.X.; Zhang, Y.M.; Li, X.X. Methane, carbon dioxide and nitrous oxide fluxes in soil profile under a winter wheat-summer maize rotation in the North China Plain. PLoS ONE 2014, 9, e98445. [Google Scholar] [CrossRef] [PubMed]
- Tang, J.; Liang, S.; Li, Z.Y.; Zhang, H.; Wang, S.N.; Zhang, N. Emission laws and influence factors of greenhouse gases in Saline-Alkali paddy fields. Sustainability 2016, 8, 163. [Google Scholar] [CrossRef]
- Song, C.C.; Wang, Y.S.; Wang, Y.Y.; Zhao, Z.C. Emission of CO2, CH4 and N2O from freshwater marsh during freeze-thaw period in Northeast of China. Atmos. Environ. 2006, 40, 6879–6885. [Google Scholar] [CrossRef]
- Tang, H.; Xiao, X.; Tang, W.; Wang, K.; Sun, J.; Li, W.; Yang, G. Effects of winter covering crop residue incorporation on CH4 and N2O emission from double-cropped paddy fields in southern China. Environ. Sci. Pollut. Res. 2015, 22, 12689–12698. [Google Scholar] [CrossRef] [PubMed]
- Merbold, L.; Steinlin, C.; Hagedorn, F. Winter greenhouse gas fluxes (CO2, CH4 and N2O) from a subalpine grassland. Biogeosciences 2013, 10, 3185–3203. [Google Scholar] [CrossRef]
- Hao, Q.J.; Wang, Y.S.; Song, C.C.; Huang, Y. Contribution of winter fluxes to the annual CH4, CO2 and N2O emissions from freshwater marshes in the Sanjiang Plain. J. Environ. Sci. 2006, 18, 270–275. [Google Scholar]
- Kurganova, I.N.; Lopes de Gerenyu, V.O. Contribution of abiotic factors to CO2 emission from soils in the freeze–thaw cycles. Eurasian Soil Sci. 2015, 48, 1009–1015. [Google Scholar] [CrossRef]
- Liang, W.; Shu, Y.; Zhang, H.; Yue, J.; Huang, G.H. Greenhouse Gas Emissions from Northeast China Rice Fields in Fallow Season. Pedosphere 2007, 17, 630–638. [Google Scholar] [CrossRef]
- Sehy, U.; Dyckmans, J.; Ruser, R.; Munch, J.C. Adding dissolved organic carbon to simulate freeze–thaw related N2O emissions from soil. J. Plant Nutr. Soil Sci. 2004, 167, 471–478. [Google Scholar] [CrossRef]
- Mastepanov, M.; Sigsgaard, C.; Dlugokencky, E.J.; Houweling, S.; Ström, L.; Tamstorf, M.P.; Christensen, T.R. Large tundra methane burst during onset of freezing. Nature 2008, 456, 628–630. [Google Scholar] [CrossRef] [PubMed]
- Liu, X.; Qi, Z.M.; Wang, Q.; Ma, Z.W.; Li, L.H. Effects of biochar addition on CO2 and CH4 emissions from a cultivated sandy loam soil during freeze–thaw cycles. Plant Soil Environ. 2017, 63, 243–249. [Google Scholar]
- Kurganova, I.N.; Lopes de Gerenyu, V.O. Effect of the temperature and moisture on the N2O emission from some arable soils. Eurasian Soil Sci. 2010, 43, 919–928. [Google Scholar] [CrossRef]
- Pelster, D.E.; Chantigny, M.H.; Rochette, P.; Angers, D.A.; Laganiere, J.; Zebarth, B.J.; Goyer, C. Crop residue incorporation alters soil nitrous oxide emissions during freeze–thaw cycles. Can. J. Soil Sci. 2013, 93, 415–425. [Google Scholar] [CrossRef]
- Bandibas, J.; Vermoesen, A.; Degroot, C.J.; Vancleemput, O. The effect of different moisture regimes and soil characteristics on nitrous oxide emission and consumption by different soils. Soil Sci. 1994, 158, 106–114. [Google Scholar] [CrossRef]
- Nyborg, M.; Laidlaw, J.W.; Solberg, E.D.; Malhi, S.S. Denitrification and nitrous oxide emissions from a Black Chernozemic soil during spring thaw in Alberta. Can. J. Soil Sci. 1997, 77, 153–160. [Google Scholar] [CrossRef]
- Pankhurst, C.E.; Yu, S.; Hawke, B.G.; Harch, B.D. Capacity of fatty acid profiles and substrate utilization patterns to describe differences in soil microbial communities associated with increased salinity or alkalinity at three locations in South Australia. Biol. Fertil. Soils 2001, 33, 204–217. [Google Scholar] [CrossRef]
- Sardinha, M.; Müller, T.; Schmeisky, H.; Joergensen, R.G. Microbial performance in soils along a salinity gradient under acidic conditions. Appl. Soil Ecol. 2003, 23, 237–244. [Google Scholar] [CrossRef]
- Pathak, H.; Rao, D.L.N. Carbon and nitrogen mineralization from added organic matter in saline and alkali soils. Soil Biol. Biochem. 1998, 30, 695–702. [Google Scholar] [CrossRef]
- Batra, L.; Manna, M.C. Dehydrogenase activity and microbial biomass carbon in salt-affected soils of semiarid and arid regions. Arid Soil Res. Rehabil. 1997, 11, 295–303. [Google Scholar] [CrossRef]
- Tang, J.; Liang, S.; Li, Z.; Zhang, H.; Lou, Y.; Wang, J. Effect of freeze–thaw cycles on carbon stocks of saline–alkali paddy soil. Arch. Agron. Soil Sci. 2016, 62, 1640–1653. [Google Scholar] [CrossRef]
- Bissett, A.; Abell, G.C.J.; Bodrossy, L.; Richardson, A.E.; Thrall, P.H. Methanotrophic communities in Australian woodland soils of varying salinity. FEMS Microbiol. Ecol. 2012, 80, 685–695. [Google Scholar] [CrossRef] [PubMed]
- Lin, X.W.; Wang, S.P.; Ma, X.Z.; Xu, G.P.; Luo, C.Y.; Li, Y.N.; Jiang, G.M.; Xie, Z.B. Fluxes of CO2, CH4, and N2O in an alpine meadow affected by yak excreta on the Qinghai-Tibetan plateau during summer grazing periods. Soil Biol. Biochem. 2009, 41, 718–725. [Google Scholar] [CrossRef]
- Zhang, J.B.; Song, C.C.; Yang, W.Y. Cold season CH4, CO2 and N2O fluxes from freshwater marshes in northeast China. Chemosphere 2005, 59, 1703–1705. [Google Scholar] [CrossRef] [PubMed]
- Li, H.J.; Yan, J.X.; Yue, X.F.; Wang, M.B. Significance of soil temperature and moisture for soil respiration in a Chinese mountain area. Agric. For. Meteorol. 2008, 148, 490–503. [Google Scholar] [CrossRef]
- Zhang, H.; Tang, J.; Liang, S. Effects of snow cover plus straw mulching on microorganisms in paddy soil during winter. Appl. Soil Ecol. 2017, 119, 339–344. [Google Scholar] [CrossRef]
- Larsen, K.S.; Jonasson, S.; Michelsen, A. Repeated freeze-thaw cycles and their effects on biological processes in two arctic ecosystem types. Appl. Soil Ecol. 2002, 21, 187–195. [Google Scholar] [CrossRef]
- Certini, G.; Scalenghe, R. Soils: Basic Concepts and Future Challenges; Cambridge University Press: Cambridge, UK; New York, NY, USA, 2006; pp. 75–85. [Google Scholar]
- Groffman, P.M.; Driscoll, C.T.; Fahey, T.J.; Hardy, J.P.; Fitzhugh, R.D.; Tierney, G.L. Effects of mild winter freezing on soil nitrogen and carbon dynamics in a northern hardwood forest. Biogeochemistry 2001, 56, 191–213. [Google Scholar] [CrossRef]
- Bechmann, M.E.; Kleinman, P.J.A.; Sharpley, A.N.; Saporito, L.S. Freeze–Thaw Effects on Phosphorus Loss in Runoff from Manured and Catch-Cropped Soils. J. Environ. Qual. 2005, 34, 2301–2309. [Google Scholar] [CrossRef] [PubMed]
- Fuss, C.B.; Driscoll, C.T.; Groffman, P.M.; Campbell, J.L.; Christenson, L.M.; Fahey, T.J.; Fisk, M.C.; Mitchell, M.J.; Templer, P.H.; Durán, J.; et al. Nitrate and dissolved organic carbon mobilization in response to soil freezing variability. Biogeochemistry 2016, 131, 35–47. [Google Scholar] [CrossRef]
- Tripathi, S.; Kumari, S.; Chakraborty, A.; Gupta, A.; Chakrabarti, K.; Bandyapadhyay, B.K. Microbial biomass and its activities in salt-affected coastal soils. Biol. Fertil. Soils 2006, 42, 273–277. [Google Scholar] [CrossRef]
- Yuan, B.C.; Li, Z.Z.; Liu, H.; Gao, M.; Zhang, Y.Y. Microbial biomass and activity in salt affected soils under arid conditions. Appl. Soil Ecol. 2007, 35, 319–328. [Google Scholar] [CrossRef]
- Wichern, J.; Wichern, F.; Joergensen, R.G. Impact of salinity on soil microbial communities and the decomposition of maize in acidic soils. Geoderma 2006, 137, 100–108. [Google Scholar] [CrossRef]
- Mamilov, A.; Dilly, O.M.; Mamilov, S.; Inubushi, K. Microbial eco-physiology of degrading Aral Sea wetlands: Consequences for C-cycling. Soil Sci. Plant Nutr. 2004, 50, 839–842. [Google Scholar] [CrossRef]
- Xie, J.X.; Li, Y.; Zhai, C.X.; Li, C.H.; Lan, Z.D. CO2 absorption by alkaline soils and its implication to the global carbon cycle. Environ. Geol. 2009, 56, 953–961. [Google Scholar] [CrossRef]
- Brummell, M.E.; Farrell, R.E.; Siciliano, S.D. Greenhouse gas soil production and surface fluxes at a high arctic polar oasis. Soil Biol. Biochem. 2012, 52, 1–12. [Google Scholar] [CrossRef]
- Wang, W.F.; Chen, X.; Pu, Z.; Yuan, X.L.; Ma, J.L. Negative soil respiration fluxes in unneglectable arid regions. Polish J. Environ. Stud. 2016, 24, 905–908. [Google Scholar] [CrossRef]
- Houghton, J.T.; Ding, Y.; Griggs, D.J.; Noguer, M.; van der Linden, P.J.; Dai, X.; Maskell, M.; Johnson, C.A. Climate Change 2001: The Scientific Basis; Cambridge University Press: Cambridge, UK, 2001. [Google Scholar]
- Keppler, F.; Hamilton, J.T.; Brass, M.; Rockmann, T. Methane emissions from terrestrial plants under aerobic conditions. Nature 2006, 439, 187–191. [Google Scholar] [CrossRef] [PubMed]
- Fey, A.; Conrad, R. Effect of temperature on carbon and electron flow and on the archaeal community in methanogenic rice field soil. Appl. Environ. Microbiol. 2000, 66, 4790–4797. [Google Scholar] [CrossRef] [PubMed]
- Zhuang, Q.L.; Chen, M.; Xu, K.; Tang, J.Y.; Saikawa, E.; Lu, Y.Y.; Melillo, J.M.; Prinn, R.G.; McGuire, A.D. Response of global soil consumption of atmospheric methane to changes in atmospheric climate and nitrogen deposition. Glob. Biogeochem. Cycles 2013, 27, 650–663. [Google Scholar] [CrossRef]
- Sjogersten, S.; Wookey, P.A. Spatio-temporal variability and environmental controls of methane fluxes at the forest-tundra ecotone in the Fennoscandian Mountains. Glob. Chang. Biol. 2002, 8, 885–894. [Google Scholar] [CrossRef]
- Hart, S.C. Potential impacts of climate change on nitrogen transformations and greenhouse gas fluxes in forests: A soil transfer study. Glob. Chang. Biol. 2006, 12, 1032–1046. [Google Scholar] [CrossRef]
- Kerbrat, M.; Pinzer, B.; Huthwelker, T.; Gäggeler, H.W.; Ammann, M.; Schneebeli, M. Measuring the specific surface area of snow with X-ray tomography and gas adsorption: Comparison and implications for surface smoothness. Atmos. Chem. Phys. Discuss. 2007, 7, 10287–10322. [Google Scholar] [CrossRef]
- Smagin, A.V.; Shnyrev, N.A. Methane fluxes during the cold season: Distribution and mass transfer in the snow cover of bogs. Eurasian Soil Sci. 2015, 48, 823–830. [Google Scholar] [CrossRef]
- Wang, Z.P.; Lindau, C.W.; Delaune, R.D.; Patrick, W.H.J. Methane emission and entrapment in flooded rice soils as affected by soil properties. Biol. Fertil. Soils 1993, 16, 163–168. [Google Scholar] [CrossRef]
- Denier van der Gon, H.A.C.; Neue, H.U. Methane emission from a wetland rice field as affected by salinity. Plant Soil 1995, 170, 307–313. [Google Scholar] [CrossRef]
- Magenheimer, J.F.; Moore, T.R.; Chmura, G.L.; Daoust, R.J. Methane and carbon dioxide flux from a macrotidal salt marsh, Bay of Fundy, New Brunswick. Estuaries 1996, 19, 139–145. [Google Scholar] [CrossRef]
- Menéndez, S.; Barrena, I.; Setien, I.; González-Murua, C.; Estavillo, J.M. Efficiency of nitrification inhibitor DMPP to reduce nitrous oxide emissions under different temperature and moisture conditions. Soil Biol. Biochem. 2012, 53, 82–89. [Google Scholar] [CrossRef]
- Datta, A.; Santra, S.C.; Adhya, T.K. Effect of inorganic fertilizers (N, P, K) on methane emission from tropical rice field of India. Atmos. Environ. 2013, 66, 123–130. [Google Scholar] [CrossRef]
- Smith, N.R.; Kishchuk, B.E.; Mohn, W.W. Effects of wildfire and harvest disturbances on forest soil bacterial communities. Appl. Environ. Microbiol. 2008, 74, 216–224. [Google Scholar] [CrossRef] [PubMed]
- Osudar, R.; Matoušů, A.; Alawi, M.; Wagner, D.; Bussmann, I. Environmental factors affecting methane distribution and bacterial methane oxidation in the German Bight (North Sea). Estuar. Coast. Shelf Sci. 2015, 160, 10–21. [Google Scholar] [CrossRef]
- Serrano-Silva, N.; Valenzuela-Encinas, C.; Marsch, R.; Dendooven, L.; Alcántara-Hernández, R.J. Changes in methane oxidation activity and methanotrophic community composition in saline alkaline soils. Extremophiles 2014, 18, 561–571. [Google Scholar] [CrossRef] [PubMed]
- Chambers, L.G.; Reddy, K.R.; Osborne, T.Z. Short-Term Response of Carbon Cycling to Salinity Pulses in a Freshwater Wetland. Soil Sci. Soc. Am. J. 2011, 75, 2000–2007. [Google Scholar] [CrossRef]
- Koponen, H.T.; Flöjt, L.; Martikainen, P.J. Nitrous oxide emissions from agricultural soils at low temperatures: A laboratory microcosm study. Soil Biol. Biochem. 2004, 36, 757–766. [Google Scholar] [CrossRef]
- Chapuis-lardy, L.; Wrage, N.; Metay, A.; Chotte, J.L.; Bernoux, M. Soils, a sink for N2O? A review. Glob. Chang. Biol. 2007, 13, 1–17. [Google Scholar] [CrossRef]
- Goldberg, S.D.; Gebauer, G. N2O and NO fluxes between a Norway spruce forest soil and atmosphere as affected by prolonged summer drought. Soil Biol. Biochem. 2009, 41, 1986–1995. [Google Scholar] [CrossRef]
- Ludwig, B.; Wolf, I.; Teepe, R. Contribution of nitrification and denitrification to the emission of N2O in a freeze-thaw event in an agricultural soil. J. Plant Nutr. Soil Sci. 2004, 167, 678–684. [Google Scholar] [CrossRef]
- Zhang, X.R.; Bai, W.; Gilliam, F.S.; Wang, Q.D.; Han, X.; Li, L. Effects of in situ freezing on soil net nitrogen mineralization and net nitrification in fertilized grassland of northern China. Grass Forage Sci. 2011, 66, 391–401. [Google Scholar] [CrossRef]
- Khalil, K.; Renault, P.; Mary, B. Effects of transient anaerobic conditions in the presence of acetylene on subsequent aerobic respiration and N2O emission by soil aggregates. Soil Biol. Biochem. 2005, 37, 1333–1342. [Google Scholar] [CrossRef]
- Cai, Y.J.; Ding, W.X.; Zhang, X.L.; Yu, H.Y.; Wang, L.F. Contribution of Heterotrophic Nitrification to Nitrous Oxide Production in a Long-Term N-Fertilized Arable Black Soil. Commun. Soil Sci. Plant Anal. 2010, 41, 2264–2278. [Google Scholar] [CrossRef]
- Mulvaney, R.L.; Khan, S.A.; Mulvaney, C.S. Nitrogen fertilizers promote denitrification. Biol. Fertil. Soils 1997, 24, 211–220. [Google Scholar] [CrossRef]
- Badía, D. Potential nitrification rates of semiarid cropland soils from the Central Ebro Valley, Spain. Arid Soil Res. Rehabil. 2000, 14, 281–292. [Google Scholar] [CrossRef]







| pH | Salinity (%) | Moisture (%) | Bulk Density (g·cm−3) | Nitrate−N (mg·kg−1) | Total N (g·kg−1) | Soil Organic C (g·kg−1) | ||
|---|---|---|---|---|---|---|---|---|
| Rice Field (Silty Loam) | R1 | 7.6 | 0.16 | 28.68 | 1.28 | 3.87 | 2.11 | 22.45 |
| R2 | 8.6 | 0.27 | 28.35 | 1.33 | 2.45 | 1.79 | 17.58 | |
| R3 | 9.1 | 0.41 | 27.98 | 1.34 | 1.86 | 0.75 | 13.46 | |
| Maize Field (Silty Loam) | M1 | 7.34 | 0.10 | 15.93 | 1.36 | 8.65 | 1.87 | 17.23 |
| M2 | 7.76 | 0.19 | 15.44 | 1.29 | 7.86 | 1.24 | 12.24 | |
| M3 | 8.43 | 0.25 | 15.16 | 1.37 | 3.36 | 0.89 | 8.65 |
| Freezing Period | Hard Frost Period | Snow-Melting Period | Thawing Period | Total | ||
|---|---|---|---|---|---|---|
| CO2 (kg·ha−1) | R1 | 1103.2 | 45.7 | 13.0 | 482.6 | 1644.5 |
| R2 | 893.7 | 46.2 | 7.9 | 319.7 | 1267.5 | |
| R3 | 621.7 | 42.2 | 7.4 | 220.9 | 892.3 | |
| M1 | 425.7 | 61.0 | 12.6 | 471.6 | 970.8 | |
| M2 | 327.7 | 58.6 | 11.9 | 329.3 | 727.6 | |
| M3 | 226.2 | 59.9 | 9.9 | 232.7 | 528.8 | |
| CH4 (g·ha−1) | R1 | 638.9 | −174.8 | 356.0 | 183.5 | 1003.7 |
| R2 | 550.7 | −170.8 | 320.0 | 144.9 | 844.9 | |
| R3 | 412.1 | −182.2 | 270.9 | 109.5 | 610.4 | |
| M1 | −437.1 | −223.3 | 47.0 | −158.1 | −771.6 | |
| M2 | −344.4 | −221.2 | 35.2 | −116.5 | −646.9 | |
| M3 | −304.4 | −215.2 | 20.1 | −84.6 | −584.1 | |
| N2O (g·ha−1) | R1 | 119.6 | 61.8 | 670.8 | 244.0 | 1096.1 |
| R2 | 96.4 | 51.0 | 498.3 | 166.9 | 812.5 | |
| R3 | 74.9 | 49.1 | 327.1 | 94.0 | 545.1 | |
| M1 | 78.6 | −62.3 | 537.2 | 111.8 | 665.2 | |
| M2 | 51.7 | −62.9 | 397.8 | 75.8 | 462.5 | |
| M3 | 32.8 | −78.4 | 294.0 | 41.5 | 289.8 |
| R1 | R2 | R3 | M1 | M2 | M3 | |
|---|---|---|---|---|---|---|
| GWP (kg CO2 eq·ha−1) | 1996.2 | 1530.8 | 1070.0 | 1149.8 | 849.2 | 600.5 |
| Temperature Location | R1 | R2 | R3 | M1 | M2 | M3 | |
|---|---|---|---|---|---|---|---|
| CO2 | Surface Soil | 0.840 ** | 0.784 ** | 0.789 ** | 0.927 ** | 0.923 ** | 0.929 ** |
| 15 cm Depth | 0.401 ** | 0.336 ** | 0.341 ** | 0.708 ** | 0.682 ** | 0.693 ** | |
| CH4 | Surface Soil | 0.361 ** | 0.339 ** | 0.308 * | −0.602 ** | −0.552 ** | −0.463 ** |
| 15 cm Depth | 0.309 * | 0.295 * | 0.313 * | −0.151 | −0.101 | 0.003 | |
| N2O | Surface Soil | −0.182 | −0.187 | −0.182 | −0.217 | −0.22 | −0.224 |
| 15 cm Depth | 0.164 | 0.144 | 0.135 | 0.118 | 0.113 | 0.111 |
© 2017 by the authors. Licensee MDPI, Basel, Switzerland. This article is an open access article distributed under the terms and conditions of the Creative Commons Attribution (CC BY) license (http://creativecommons.org/licenses/by/4.0/).
Share and Cite
Zhang, H.; Tang, J.; Liang, S.; Li, Z.; Yang, P.; Wang, J.; Wang, S. The Emissions of Carbon Dioxide, Methane, and Nitrous Oxide during Winter without Cultivation in Local Saline-Alkali Rice and Maize Fields in Northeast China. Sustainability 2017, 9, 1916. https://doi.org/10.3390/su9101916
Zhang H, Tang J, Liang S, Li Z, Yang P, Wang J, Wang S. The Emissions of Carbon Dioxide, Methane, and Nitrous Oxide during Winter without Cultivation in Local Saline-Alkali Rice and Maize Fields in Northeast China. Sustainability. 2017; 9(10):1916. https://doi.org/10.3390/su9101916
Chicago/Turabian StyleZhang, Hao, Jie Tang, Shuang Liang, Zhaoyang Li, Ping Yang, Jingjing Wang, and Sining Wang. 2017. "The Emissions of Carbon Dioxide, Methane, and Nitrous Oxide during Winter without Cultivation in Local Saline-Alkali Rice and Maize Fields in Northeast China" Sustainability 9, no. 10: 1916. https://doi.org/10.3390/su9101916
APA StyleZhang, H., Tang, J., Liang, S., Li, Z., Yang, P., Wang, J., & Wang, S. (2017). The Emissions of Carbon Dioxide, Methane, and Nitrous Oxide during Winter without Cultivation in Local Saline-Alkali Rice and Maize Fields in Northeast China. Sustainability, 9(10), 1916. https://doi.org/10.3390/su9101916
