Next Article in Journal
The Emissions of Carbon Dioxide, Methane, and Nitrous Oxide during Winter without Cultivation in Local Saline-Alkali Rice and Maize Fields in Northeast China
Previous Article in Journal
Using TRIZ to Improve the Procurement Process of Spare Parts in the Taiwan Navy
 
 
Font Type:
Arial Georgia Verdana
Font Size:
Aa Aa Aa
Line Spacing:
Column Width:
Background:
Article

Coordination of Cooperative Knowledge Creation for Agricultural Technology Diffusion in China’s “Company Plus Farmers” Organizations

1
School of Management, Nanchang University, Nanchang 330031, Jiangxi, China
2
School of Economics and Management, Jiangxi Science & Technology Normal University, Nanchang 330038, Jiangxi, China
*
Author to whom correspondence should be addressed.
Sustainability 2017, 9(10), 1906; https://doi.org/10.3390/su9101906
Submission received: 27 September 2017 / Revised: 20 October 2017 / Accepted: 21 October 2017 / Published: 22 October 2017
(This article belongs to the Section Sustainable Agriculture)

Abstract

:
Cooperative knowledge creation is important for the promotion of agricultural technology diffusion in “company plus farmers” alliance organizations in China. A coordination mechanism is necessary to improve cooperative knowledge creation. A game model was developed to explain the mechanism. The model’s equilibrium was analyzed in noncoordination and coordination scenarios. Eight propositions and two corollaries were proposed and then verified by numeric analysis. We found that (1) the coordination of cooperative knowledge creation is valuable for increasing profit in agricultural technology diffusion; (2) companies and farmers are playing a game, and subsidy coefficients and degree of effort mainly influence their decisions; (3) key factors in the game are success probability and profit sharing proportion that influence the profits of a company and the farmers; (4) discount factors also influence profits, but do not influence the total profit in the coordination scenario; and (5) enhancing success probability, choosing a proper profit sharing proportion, and improving other parameters would be beneficial to the development of knowledge creation, as well as agricultural knowledge diffusion. This research provides a novel illustration of the coordination mechanism for cooperative knowledge creation for increasing the efficiency of agricultural technology diffusion in the future.

1. Introduction

Agriculture is becoming increasingly dependent on the development of technology [1,2]. Through the application of more productive technologies, farmers can benefit unequivocally from lower marginal production costs [3]. The adoption and diffusion of new agricultural technologies are necessary for the development of potential productivity gains [4]. Therefore, analyzing the influencing factors and understanding the mechanism of technological diffusion has become critical for the economic growth of agriculture.
In China, “company plus farmers” is one of the most popular alliance organizations for agricultural technological diffusion [5]. It is a type of network organization composed of leading agricultural companies and farmers through technological and economic cooperation [6]. Company plus farmers has many strengths, such as directly linking farmers from vast rural areas to the agricultural product market, establishing a communication channel for transferring up-to-date technologies from researchers to farmers, promoting agricultural cooperation among farmers, as well as reducing the inherent risks in the process of modern agricultural production. Many successful cases in China have proven the effectiveness of this organization [7]. Because of its potential, it will be promoted by the Chinese government in the future [8].
In essence, cooperation between companies and farmers is a process of technology diffusion and knowledge creation. New technologies are transferred from researchers to farmers via the intermediate company. New agricultural technologies are then rapidly diffused, promoted, and applied by numerous farmers under the guidance and sponsorship of the company. At the same time, new technologies are further improved and evolve in the application process, whereby new knowledge is created by meeting the requirements of different production conditions. The company provides the technology base while farmers provide production experience and testing fields for knowledge creation [9].
However, the Chinese practice of company plus farmers implies that many barriers, in terms of contracts and cooperation, has caused inefficiencies in agricultural technology diffusion. Since cooperative knowledge creation significantly contributes to agricultural technology diffusion, a coordination mechanism is urgently required to guarantee its performance, especially as this has not been widely discussed in the past. Consequently, we built a model for explaining the laws of knowledge creation and technology diffusion with game analysis, and compared the differences in terms of technological diffusion effectiveness under coordination and noncoordination scenarios. This work will help explain the mechanism that leads cooperative knowledge creation and accelerates agricultural technology diffusion. The research questions we aimed to answer were: (1) what role does the coordination of cooperative knowledge creation play in the process of agricultural technology diffusion? (2) How can agricultural technology diffusion be promoted from the perspective of coordinating the cooperative knowledge creation in company plus farmers organizations?
The remainder of this article is structured as follows. Section 2 presents a literature review to explain the related studies and emphasize the innovation of this study. Section 3 provides the parameters and the game analysis model. Section 4 presents the equilibrium analysis under both noncoordination and coordination scenarios of cooperative knowledge creation. Numeric analysis is presented in Section 5. Finally, the findings, conclusions, and implications are summarized and discussed in Section 6.

2. Literature Review

Technology diffusion is a spontaneous process from farmer to farmer or from one field to another [10]. In the literature, farmers were found to effectively learn from neighbors and geographic clustering of innovators [11,12,13]. As noted by Qin and Wang [14], knowledgeable and skillful farmers are essential to the success of modern agriculture. Several factors about the farmer, including social learning and knowledge sharing, would influence the technology adoption decisions made by farmers [11,15]. Many researchers focused on the micromechanism of agricultural technology diffusion from the farmer’s perspective. For example, Alene and Manyong [16] examined the factors that influenced the efficiency of farmer-to-farmer technology diffusion, and revealed important efficiency differences between lead farmers and follower farmers. Todo et al. [17] investigated the impacts of farmer-to-farmer social network structure on the diffusion of agricultural technologies using household-level panel data from Ethiopia. Using an ordered probit model, Vidogbena et al. [18] explored factors that influenced farmers’ opinions of the adoption of eco-friendly nets for vegetable production. Zheng and Huang [19] built a game model to analyze the mechanism of agricultural technology diffusion led by both the government and the market. Moglia et al. [20] developed a Bayesian network model to study the mechanism of technology diffusion among rice farmers in southern Laos.
Company plus farmers is a distinctive organization in China. A series of publications contributed by Chinese scholars focused on relevant topics. For instance, Fu et al. [5] explored the impact of different information sharing factors among partners in company plus farmers organizations, and found that trust and relationship commitment significantly and positively impacted the performance of these organizations. Lin et al. [6] built a structural equation model to examine the stability of the organization and highlighted the positive relationship between organizational performance and stability. Furthermore, this research team evaluated the organizations’ results by using indices such as income increase and cost reduction [8]. A few studies also focused on the systematic management of these organizations. Jia et al. [21] developed a new method, based on a feedback archetype generating set, to analyze the management system for companies that were combined with farmers from the advantage and restriction factors perspectives. Wang [22] historically evaluated and systematically rethought Chinese organizations of company plus farmers from a theoretical perspective. Fu et al. [23] embedded these organizations in agricultural supply chains and the authors tried to explore systematic approaches for managing social responsibilities. Moreover, the coordination mechanism used by company plus farmers has been repeatedly studied. Ye et al. [24] used the Conditional Value at Risk (CVaR) method to discuss the supply chain coordination approaches for contract framing with a combination of companies and farmers. Li and Yang [25] discussed similar questions and developed a coordination model using the system dynamics method, and they determined that policies concerning protective price, option, cooperation, and caution money may be beneficial for improving the organizational supply chain performance. In the same year, the coordination mechanism was explored once again by Lin and Ye [26] using the Nash negotiation model.
Within the company plus farmers organization, the nature of agricultural technology diffusion is knowledge creation, development, and application based on the cooperation of the company and farmers [27]. Some researchers have argued that new technologies for farmers were usually adopted either from farmers’ experience or formal sector intervention, and thus farmers’ actions, such as knowledge acquisition, learning, sharing, and creation in social networks, contributed to agricultural technology diffusion [13,28,29]. In general, compared to the research completed in terms of agricultural technology diffusion and company plus farmers organizations, little research exists about cooperative knowledge creation by companies and farmers. Papers discussing the coordination mechanism of cooperative knowledge creation do not currently exist.

3. Modeling

We examined agricultural technology diffusion systems in company plus farmers organizations. In this situation, a company provides a new agricultural technology, and many farmers choose to adopt this technology. If some of them start to apply the technology, those farmers need to cooperatively create knowledge along with the company, on either through coordination or noncoordination. In this paper, the coordination mechanism involves one company and one farmer. This means the coordination mechanism plays a role between the company and the farmer, rather than among farmers, because the principal contradiction between farmers may focus more on knowledge sharing rather than knowledge creation, and the former should therefore be excluded from the theme of this research.
In the noncoordination scenario, the company and farmers, who are rational decision-makers, aim to maximize individual profit. Each individual would try to gain the most benefit from the application of the new technology and try to pay the lowest price. Most of the time, the performance of cooperative knowledge creation would not be optimal in this situation. However, the company and farmers would make alliance decisions in a coordination situation with the goal of maximization overall profit. Through teamwork, they would realize the best performance of cooperative knowledge creation. Finally each individual would profit more through a reasonable profit-sharing arrangement.
The coordination process of cooperative knowledge creation is described as follows. First, the company and farmers come to an economic agreement. According to this contract, the company provides new agricultural technology and farmers learn and apply this technology. In the future, the company would buy the products from the farmers at a set price outlined in the contract. Second, as new technology needs improvement, knowledge creation by farmers is required to ensure production effectiveness and efficiency. The company and farmers would come to a second agreement, which is a technological alliance contract. The farmers create knowledge for improving the new technology with the sponsorship of the company. Lastly, the technology is improved by cooperative knowledge creation and the production efficiency is enhanced. The company’s profits improve and the farmers receive subsidies from the company.
The parameters of the model were set as follows:
  • There is a perfect competition market for farm products. Its price, P, is stable in the short term.
  • The cost of a farmer’s knowledge creation is I θ 2 [30], where I is a stable cost parameter of knowledge creation, and θ is the farmer’s effort degree, which is decided by knowledge creation will, capability, experience, and resources constraint. θ [ 0 , 1 ] .
  • The probability of farmer knowledge creation success is η ( η [ 0 , 1 ] ). Where η < 1 means there are risks for farmer knowledge creation.
  • At the beginning of knowledge creation, the company gives the farmer a fixed research fund Φ as support. Regardless of the result of the creation performance, this fund will not be returned.
  • After the cooperative knowledge creation is finished, the company offers the farmer a subsidy of its costs according to the degree of success of the farmer’s knowledge creation. The subsidy coefficient per knowledge creation success degree is t.
  • The company’s production output by applying the new technology without knowledge creation is D. If the knowledge creation succeeds, the output will increase according to the success probability and effort degree. That is, the output of the company changes to D = D ( 1 + η θ ) .
  • Since the farmer’s output is low relative to the company’s output, the direct benefit of every tiny knowledge creation can be ignored. That is, the increase of an individual farmer’s output is zero.
  • While the company benefits from knowledge creation, it will share the benefit with proportion ρ and 1 – ρ between itself and the farmer. The contract ensures the benefit proportion allocation will be carried out.
Consequently, the total profit function of company and farmers, company’s profit function, and individual farmer’s profit function are indicated respectively by π , π c , and π f :
π = η θ D P I θ 2
π c = ρ η θ D P I θ 2 η t ϕ
π f = ( 1 ρ ) η θ D P I θ 2 ( 1 η t ) + ϕ
The company and farmer make rational decisions for new agricultural technological knowledge creation with the target of profit maximization.

4. Equilibrium Analysis

4.1. Scenario I: Noncoordination

Since the company is the activator and farmers are the respondents of agricultural technological knowledge creation, a sequential noncooperative game model can be built and its equilibrium can be analyzed in the following steps. First, the company provides the farmer with a subsidy as coefficient t, shares the benefits as proportion ρ, and provides a fixed fund Φ for knowledge creation to the contracted farmer, according to the contract requirements. Then the farmer can choose their degree of effort θ.
According the solution of Stackelberg’s game model equilibrium analysis, the maximization of the farmer’s profit function can be firstly quantified by using the backward induction method [31]. By letting π f / θ = 0 , we obtain:
( 1 ρ ) η D P 2 I θ ( 1 η t ) = 0
The solution of Equation (4) is:
θ * = ( 1 ρ ) η D P 2 I ( 1 η t )
Inserting θ * in Equation (2), and setting π c / t = 0 , we obtain:
π c t = ( 1 ρ ) I η 3 D 2 P 2 [ 2 I ( 1 η t ) ] 2 [ ( 3 ρ 1 ) 1 ρ 1 / η t 1 ] = 0
Because ( 1 ρ ) I η 3 D 2 P 2 [ 2 I ( 1 η t ) ] 2 > 0 , we obtain the solution:
t * = 3 ρ 1 2 ρ η     ρ > 1 3
It can be found that t η < 0 and t ρ = 1 2 η ρ 2 > 0 .
Proposition 1.
The farmer will be motivated if the success probability of knowledge creation is high.
Proposition 2.
When the company can gain a larger proportion of the knowledge creation benefit according to the contract, it is more willing to provide high subsidies to farmers.
Proposition 3.
Only when the company can gain more than one third of the benefit, will it be willing to provide cost subsidies for supporting knowledge creation.
Inserting Equation (7) into the Equation (5), we obtain the proper degree of effort of the farmer:
θ * = ρ η D P I
Hence, the Stackelberg equilibrium solution of the company and farmer, in the noncoordination situation is as follows:
( t * , θ * ) = ( 3 ρ 1 2 ρ η , ρ η D P I )
The profits of the company and farmer, and the total profit under the scenario I, respectively, are shown as follows:
π c ( I ) = ( 1 ρ ) ρ η 2 D 2 P 2 2 I Φ
π f ( I ) = ( 1 ρ ) ρ η 2 D 2 P 2 2 I + Φ
π ( I ) = ( 1 ρ ) ρ η 2 D 2 P 2 I
From above analysis results, the fixed fund Φ cannot be too high or else the farmer would have low motivation to enhance their degree of knowledge creation effort. From the company’s viewpoint, high fixed supporting funds mean low profit, and the company would have a lack of willingness to support the farmer’s knowledge creation.
If there is no fixed fund Φ, both the company and the farmer gain half of the total profit. However, in this circumstance, the farmer must assume all the risks from the potential failure of knowledge creation. To some extent, the fixed fund #x3A6; is an economic subsidy of the company to the farmer for their assumed failure risks.
Proposition 4.
The total profit of knowledge creation is shared by the company and farmer equally. However, because the farmer assumes the total risk of knowledge creation, they would be compensated by the company with a fixed fund Φ.

4.2. Scenario II: Coordination

With the coordination of cooperative knowledge creation, the company and farmer play a type of cooperative game. They make the decision of θ and t together, with the goal of maximizing the total profit, and then share the profit according to the contract. Let π / θ = 0 , we obtain:
θ * = η D P 2 I
Inserting Equation (13) in Equation (1), Equation (2), and Equation (3), the profits are:
π c ( II ) = η 2 D 2 P 2 4 I ( 2 ρ η t ) Φ
π f ( II ) = η 2 D 2 P 2 4 I [ 1 ( 2 ρ η t ) ] + Φ
π ( II ) = η 2 D 2 P 2 4 I
Proposition 5.
The total profit level created through cooperative knowledge creation in a coordination situation is higher than in the noncoordination scenario.
Proof of Proposition 5:
π ( I ) = ( 1 ρ ) ρ η 2 D 2 P 2 I = η 2 D 2 P 2 I ( 1 4 1 4 + ρ ρ 2 )     = η 2 D 2 P 2 I [ 1 4 ( 1 2 ρ ) 2 ] η 2 D 2 P 2 4 I = π ( II )
only when ρ = 0.5 , π ( I ) = π ( II ) .
Corollary 1.
Compared to noncoordination cooperative knowledge creation, the company and the farmer are prior to coordinated co-creation of knowledge.
Corollary 2.
In the noncoordination mechanism of cooperative knowledge creation, it is the best scheme to divide total profit equally for the company and the farmer. Because this scheme means that the farmer’s bargaining ability is as strong as the company’s bargaining ability, the effect would be the same as in the coordination scenario.
According to the efficient Pareto improvement set [32], the following condition should be satisfied:
N ( t * , θ * ) = { ( t * , θ * ) | π c ( II ) ( t * , θ * ) π c ( I ) , π f ( II ) ( t * , θ * ) π f ( I ) }
That is,
{ η 2 D 2 P 2 4 I ( 2 ρ η t ) Φ ( 1 ρ ) ρ η 2 D 2 P 2 2 I Φ η 2 D 2 P 2 4 I [ 1 ( 2 ρ η t ) ] + Φ ( 1 ρ ) ρ η 2 D 2 P 2 2 I + Φ
Solving the equation set, the solution is:
1 2 ( ρ 1 ) 2 η t 2 ρ 2 η
This solution is meaningful because
2 ρ 2 [ 1 2 ( ρ 1 ) 2 ] = 4 ρ 2 4 ρ + 1 = ( 2 ρ 1 ) 2 0
Only ρ = 0.5 is obtained for equality.
Then, the game equilibrium solution for the coordination scenario is:
N ( t * , θ * ) = { ( t * , θ * ) | 1 2 ( ρ 1 ) 2 η t * 2 ρ 2 η , θ * = η D P 2 I }
where the value of t * depends on the company’s funding policy for cooperative knowledge creation and relative bargaining abilities of the company and the farmer. If the supporting power is large or the farmer’s bargaining ability is strong, t * will be high. In contrast, if the company’s bargaining ability is strong, the cost subsidy coefficient t * will be relatively low.
Given N ( t * , θ * ) , the following excess profit will be shared:
Δ π = π ( II ) π ( I ) = η 2 D 2 P 2 4 I ( 1 ρ ) ρ η 2 D 2 P 2 I = η 2 D 2 P 2 I ( ρ 1 2 ) 2
According to the bargaining game model of Osborne and Rubinstein [33], a sole outcome of subgame perfect equilibrium in the limitless counteroffer game exists:
r c = 1 δ c 1 δ c δ f
where r c is the proportion of excess profit for the company; and δ c and δ f are discount factors of the company and the farmer, respectively. Discount factors depend on bargaining ability and attitudes toward risk.
Then, the cost subsidy coefficient t * for cooperative knowledge creation on the condition of Pareto Optimum is:
t * = t max r c Δ π η C = t min + ( 1 r c ) Δ π η C = 2 η [ ρ 2 2 ( 1 δ c ) 1 δ c δ f ( ρ 1 2 ) 2 ]
where, t max = 2 ρ 2 η , t min = 1 2 ( ρ 1 ) 2 η , C = I θ 2 = I * ( η D P 2 I ) 2 = η 2 D 2 P 2 4 I .
Hence, for long-term knowledge creation in the coordination scenario, the equilibrium solution of the game is:
( t * , θ * ) = ( 2 η [ ρ 2 2 ( 1 δ c ) 1 δ c δ f ( ρ 1 2 ) 2 ] , η D P 2 I )
Profits of the company and the farmer are as follows:
π c ( II ) = η 2 D 2 P 2 2 I [ 1 4 δ c ( 1 δ f ) 1 δ c δ f ( ρ 1 2 ) 2 ] Φ
π f ( II ) = η 2 D 2 P 2 2 I [ 1 4 + δ c ( 1 δ f ) 1 δ c δ f ( ρ 1 2 ) 2 ] + Φ
It can be easily proved that π c ( II ) π c ( I ) , π f ( II ) π f ( I ) , and π f ( II ) π c ( II ) . When δ c = 1 and δ f = 0 , the first two inequalities come into the equation and the equality conditions of the third inequality require Φ = 0 as well. It also can be easily proved that π f ( II ) π c ( II ) π f ( I ) π c ( I ) . Only when δ c = 1 , δ f = 0 and Φ = 0 , will this inequality come into equation. However, π ( II ) is a constant which is independent of δ c and δ f .
Proposition 6.
Coordination of cooperative knowledge creation is better than noncoordination, since the company and farmers could earn additional profits from the coordination.
Proposition 7.
Farmers can gain more profits from the coordination of cooperative knowledge creation, because they not only create knowledge and take risks for applying new technology, but they also support the coordination with the company and to create a win-win situation.
Proposition 8.
The coordination mechanism is irrelevant with discount factors. The total profit of knowledge creation mainly depends on the parameter η. That is, in the coordination system of cooperative knowledge creation, the success probability is the most influential factor.
From the above analysis, the level of total profit created by coordination of cooperative knowledge creation is higher than in a noncoordination scenario. In the cooperative knowledge creation system, the company needs to coordinate with farmers and support them with cost subsidies and fixed funds for starting research. To gain additional profits from knowledge creation, the farmer creation degree of effort θ should be increased and the cost subsidy t needs to be adequate.

5. Numerical Analysis

Several numeric examples are introduced to illustrate and verify the effects of different parameters on the performance of knowledge creation and technology diffusion, and to compare the equilibrium results in the two models. The default values of the parameters were originally assumed as follows: D = 100 , P = 1 , I = 50 , and Φ = 10 . The variances, such as η , δ c , and δ f , vary in the range of [ 0 , 1 ] . ρ varies in the range of [ 0.34 , 1 ] , because it must be bigger than one third. Whereas some of them need to be fixed, the variances ρ , η , δ c , and δ f are set 0.4, 0.4, 0.4, and 0.6 as constants, respectively. The number 0.5 is avoided because the results under both scenarios may be the same with this number.

5.1. Effects of Variance on Optimal Decisions

The effect of success probability η on optimal decisions of the company’s subsidy coefficient t and the farmer’s degree of effort θ are illustrated in Figure 1. The decisions of the company and the farmers depend on the success probability of the cooperative knowledge creation under either the noncoordination or coordination scenario. Figure 1a shows that the company’s subsidy coefficient decreases when the success probability continuously increases because the farmer would be self-motivated to create knowledge instead of being motivated by the company. In contrast, Figure 1b shows that the farmer’s degree of effort increases with success probability, meaning that the farmer is self-motivated by the success probability as well. This verifies Proposition 1.
Figure 1 also illustrates that although the change trends of t and θ are similar, the numbers of these two decision variances are different under different conditions. The values of t and θ in the coordination scenario are bigger than those in the noncoordination scenario. This shows that coordination would motivate company and farmers to make progress in knowledge creation. To some extent, it explains the rationality of Proposition 5 and Proposition 6.
The effects of the proportion of a company sharing profit ρ on the optimal decisions of company’s subsidy coefficient t and farmer’s degree of effort θ are illustrated in Figure 2. Decisions would be changed when parameters change or when scenarios change. Figure 2a shows that the subsidy coefficient tends to increase when the proportion increases. That means the company is more willing to provide larger subsidies for farmers when it receives a larger proportion of the knowledge creation benefit. Then, Proposition 2 is verified. In the coordination scenario, the subsidy coefficient is higher than in the noncoordination scenario because δ c does not equal zero and so the company is required to compensate farmers for their contribution. To some extent, it explains the rationale in Proposition 7. In Figure 2a, the subsidy coefficient is close to 0 when parameter ρ is close to 1/3. It is a valid proof for Proposition 3.
Figure 2b illustrates that the farmer’s degree of effort would increase with an increase in the company’s sharing profit proportion in the noncoordination scenario. To some extent, this is rational because farmers are required to enhance their degree of effort to earn the same profit when the company shares a high proportion of the profit. However, this trend does not occur in the coordination scenario, because the farmer’s degree of effort depends on the coordination mechanism instead of individual parameters. Hence, the farmer’s degree of effort is stable in the coordination scenario.
As mentioned above, the subsidy coefficient in the coordination scenario depends on the relative relationship between δ c and δ f . Figure 3 shows that the subsidy coefficient would change with a similar trend as the discount factor of the company δ c but with an opposite trend of the discount factor of farmers δ f . To some extent, the nature of the discount factor of the company δ c is a subsidy policy. When subsidy power increases, the discount factor of a company’s profit naturally increases, and then the discount factor of the farmers decreases. This phenomenon indicates that the mechanism of cooperative knowledge creation in both scenarios follow similar principles.

5.2. Effects of Variance on the Profits of Knowledge Creation

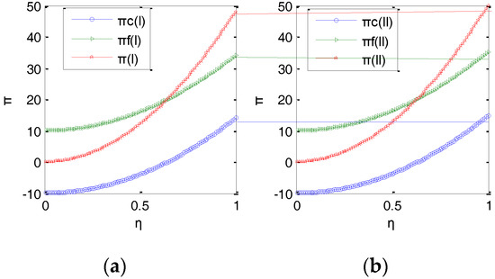
The effects of success probability η on the company’s and farmer’s profits are illustrated in Figure 4. The change trend of the curves shown in Figure 4a is similar to the trend in Figure 4b. This means that the cooperative mechanisms are similar in nature under both the noncoordination and coordination scenarios. However, the amounts of profit in the two scenarios are different. Companies and farmers can earn higher profits with coordination than with noncoordination. Proposition 5, Proposition 6, and Corollary 1 were tested successfully. The gap is not as large as expected because parameters δ c and δ f were set as 0.4 and 0.6 in the coordination scenario, which are close to the values 0.5 and 0.5 in the noncoordination scenario.
From Figure 4, when the success probability increases, profits increase. However, the profit level of the company is always 20, which is lower than the profit level of the farmers, because the company is required to give farmers 10 fixed funds as compensation for risk. Consequently, Proposition 4 is proven to be true. If the success probability is smaller than a critical value, the profit of a company may be negative, and the company would have no willingness to take part in cooperative knowledge creation.
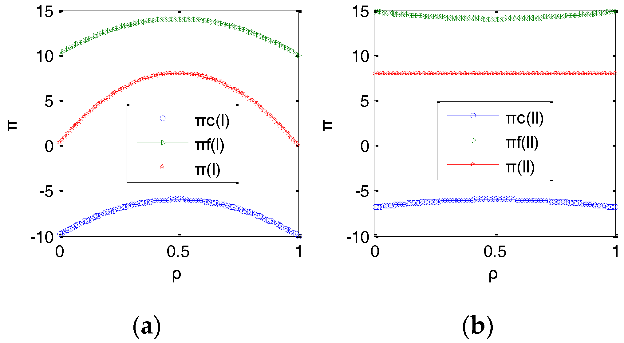
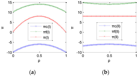
The effects of the proportion of company sharing profit ρ on profit level are displayed in Figure 5. It shows that profits increase when the proportion varies in the range of 0 to 0.5, but decrease when the proportion changes in the set [0.5,1]. That means that a ρ value of 0.5 is the best scheme in the noncoordination scenario. In this scenario, the performance would be the same as in the coordination scenario. Then, Corollary 2 is proven true.
Total profit in the coordination scenario is stable because the proportion has been agreed upon in the contract, so it would not influence the results of the coordination. The figure also indicates that even in the coordination scenario, the company should set the proportion of sharing profit to 0.5, because larger or smaller proportions are not good for motivating farmers. Nevertheless, companies and farmers could earn more profits in the coordination scenario than in noncoordination. Hence, Proposition 5 and Proposition 6 are again proven true.
In Figure 5b farmers could earn 20 units more profit than the company in most instances. It is a good explanation of Proposition 7. This is explained by the profits of the company being negative when the probability of success is not high enough.
The effects of discount factors δ c and δ f on the profits for companies and farmers in the coordination scenario are shown in Figure 6. The company’s best choice is that δ c and δ f equal zero at the same time. However, this proposition is invalid. Hence, the balanced result is to make δ c and δ f eligible and earn a satisfied profit. The farmer’s optimal situation is for δ f = 0 and δ c = 1 , which match the condition. The profit images of companies and farmers are complementary, and total profit is a stable constant. That means that Proposition 8 is proven true.

6. Conclusions

The cooperation between farmers and an agricultural technology company is a special business model in China. Currently, company plus farmers is a vigorously promoted organization for Chinese agricultural economic development as well as for progress in agricultural technology. The study of the mechanism of technology diffusion through the company plus farmers organization is meaningful in practice. In the knowledge economy era, farmers’ knowledge is required for management purposes. Since previous research has not focused on the coordination of cooperative knowledge creation between a company and farmers, this study attempted to fill this gap.
A game model was constructed to research the coordination mechanism. Taking noncoordination and coordination into consideration, different profit levels for the company and farmers were comparatively studied. The coordination mechanism created excess profits for both the company and farmers. Improvement measures for the coordination mechanism are required.
Through equilibrium analysis of the game model, eight propositions and two corollaries were proposed. They were all tested with numeric analysis and proved true. Based on the game model, the coordination mechanism for cooperative knowledge creation in agricultural technology diffusion is more distinct. The main findings of this research are as follows: first, coordination of cooperative knowledge creation would be valuable to the improve the performance of agricultural technology diffusion; second, the coordination mechanism is a game in nature between the company and farmers; third, key influential factors in the game model are the success probability and the proportion of company sharing profits; fourth, to promote knowledge creation, some preconditions exist, such as the proportion of company sharing profits should be larger than 1/3; fifth, in the coordination mechanism, discount factors are key factors that decide the profit level of the company and farmers; sixth, several methods can promote a farmer’s degree of effort and in turn, promote technology diffusion, such as enhancing success probability through education, training, or information; seventh, some suggestions can be applied for improving a company’s decisions in the process of cooperative knowledge creation; and finally, to enhance the probability of success, choosing a proper profit-sharing proportion and improving other parameters would be beneficial to the development of knowledge creation and agricultural knowledge diffusion.
The main implications of this coordination model are for professionals addressing the practical optimization for an agricultural technology diffusion system, from a totally novel perspective of knowledge creation. Agricultural technology diffusion is not only a process of technological communication or application, but also a process of technological creation and improvement. Furthermore, the performance of agricultural technology diffusion not only depends on the adoption behavior of farmers, but also on the how the technology is promoted. The improvement of mechanism, optimization of system, and enhancement of cooperative capability are all important to guarantee the effectiveness and efficiency of agricultural technology diffusion. The main implications are as follows:
  • The optimization of the system is essential for the promotion of agricultural technology diffusion. According to past experiences of agricultural technology promotion, the adoption decisions of farmers attracted most of the focus. The functions of the agricultural technology company, local government, and technology service agency were not studied. Many kinds of agricultural technology diffusion systems exist, and some of them require the active participation of other relevant service institutions. For example, the company plus farmers organization of agricultural technology diffusion, which is mentioned in this paper, needs to properly coordinate the cooperative relationship between the agricultural technology company and many farmers. Hence, the first task for practitioners is to expand the agricultural technology diffusion system to include more types of diffusion, more participants, and more complicated and diversified diffusion patterns.
  • The improvement of the mechanism is especially important for agricultural technology diffusion systems. In the past, many researchers focused on the time characteristics or the spatial features of the agricultural technology diffusion process, but they almost completely ignored the internal mechanism that led the diffusion process. However, the system involves multidimensional benefits and multi-sourced risks. The distribution of these benefits and risks is key to the coordination mechanism. The effectiveness and efficiency of agricultural technology diffusion are guaranteed by the willingness of participants, whereas their willingness is dependent on the balancing the benefits and risks amongst themselves. Taking the company plus farmers organization as an example, the measures to improve the coordination mechanism include providing farmers an adequate prepaid support for risk compensation, setting a proper benefit distribution proportion, and choosing an appropriate subsidy coefficient for incentive. All parameters should be determined in advance and written into the cooperation contract.
  • Improving the cooperative ability is necessary for the success of knowledge creation and agricultural technology diffusion. Farmers’ and companies’ abilities are must be enhanced to improve the probability of success. The ability of farmers relies on education level, experience, skills, and the ability to learn new information. Consequently, devoting effort to rural education, professional and technical training, and rural information development is critical. A company’s ability is reflected in four aspects: the quality of new technology, promotion ability, knowledge imparting ability, and coordination ability. The quality of new technology provided by the company is the basis of knowledge creation and technology application. The latter three abilities are involved in the efficiency of subsequent knowledge communication and creation. Hence, it is important to invest in the improvement of technological innovation ability, as well as communication and coordination abilities.
  • Notably, not only the company has technologies and knowledge, but the farmers’ knowledge is worthy of attention in the knowledge economy era. In the past, farmers were known as a kind of labor force linked to physical work. The knowledge and experience of farmers were not respected. However, modern farmers are knowledgeable and creative. Many farmers have begun to take part in activities such as agricultural technology research and development, agricultural organization management, and business operation in the agricultural industry. Their knowledge and experience play a significant role in many activities including technology diffusion. A farmer’s knowledge reflects the importance of two aspects: decision-making in technology adoption and the creation of knowledge integration. The technologies and knowledge of a company are also important elements of knowledge creation. Overall, in the knowledge economy era, practitioners should pay attention to potential knowledge from every source. Added value may come from any one process of knowledge integration or creation.
It should be noted that the game model is limited to a static game in which the company and farmers make decisions in a perfectly rational situation. Another limitation is that the decision factors are the only main affecting elements; in reality, the system is more comprehensive and complicated. In the future, more parameters and comprehensive decision mechanisms could be introduced into the model, and the model could be extended into cooperative knowledge creation for other alliance organizations.

Acknowledgments

This work was supported by the National Natural Science Foundation of China (Grants No. 71563027; 71201072).

Author Contributions

Dengke Yu designed and performed the research; Rong Zhou wrote the paper; all authors reviewed, edited and approved the final manuscript.

Conflicts of Interest

The authors declare no conflict of interest.

References

  1. Mafimisebi, T.E. Technology adoption and economic development: Trajectories within the African agricultural industry. In Nanotechnology and Microelectronics: Global Diffusion, Economics and Policy; Ekekwe, N., Ed.; Information Science Reference: Hershey, NY, USA, 2010. [Google Scholar]
  2. Alexandre, M.D.S. Carrying capacity in agriculture: Environmental significance and some related patents. Recent Patients Food Nutr. Agric. 2009, 1, 100–103. [Google Scholar]
  3. Igbokw, E.M.; Ozor, N. Technology transfer and diffusion in developing economies: Perspectives from agricultural technology. In Nanotechnology and Microelectronics: Global Diffusion, Economics and Policy; Ekekwe, N., Ed.; Information Science Reference: Hershey, NY, USA, 2010. [Google Scholar]
  4. Lyon, C.C. Learning, irreversible investment, and the intrafirm diffusion of a new agricultural technology. Ph.D. Thesis, Philosophy University of Minnesota, Minneapolis, MN, USA, 1993. [Google Scholar]
  5. Fu, S.; Hu, X.; Lin, J.; Mi, Y. An empirical study of impact factors of information sharing among partners of “a company + farmers” from Chinese data. J. Appl. Sci. 2013, 13, 5600–5605. [Google Scholar]
  6. Lin, J.; Sun, L.; Xi, Y.; Fu, S. An empirical examination of the stability of the alliance of “a company + farmers”. Chin. Manag. Stud. 2013, 7, 382–402. [Google Scholar]
  7. Zhang, Y. A study on operating mechanism of the model of “company plus farmers” in agricultural integration. Master’s Thesis, South China Agricultural University, Guangzhou, China, June 2001. [Google Scholar]
  8. Fu, S.; Lin, J.; Hu, X.; Wen, X. The alliance performance and stability of “a company + farmers”: From the perspective of company. J. Appl. Sci. 2013, 13, 1281–1288. [Google Scholar] [CrossRef]
  9. Macmillan, T.; Benton, T.G. Engage farmers in research. Nature 2014, 509, 25–27. [Google Scholar] [CrossRef] [PubMed]
  10. Sanyang, S.E. Technology development and transfer: Lessons from agriculture. In Nanotechnology and Microelectronics: Global Diffusion, Economics and Policy; Ekekwe, N., Ed.; Information Science Reference: Hershey, NY, USA, 2010. [Google Scholar]
  11. Abdulai, A.; Huffman, W.E. The diffusion of new agricultural technologies: The case of crossbred-cow technology in Tanzania. Am. J. Agric. Econ. 2005, 87, 645–659. [Google Scholar] [CrossRef]
  12. Foster, A.; Rosenzweig, M. Learning by doing and learning from others: Human capital and technical change in agriculture. J. Political Econ. 1995, 103, 1176–1209. [Google Scholar] [CrossRef]
  13. Cameron, L.A. The importance of learning in the adoption of high-yielding variety seeds. Am. J. Agric. Econ. 1999, 81, 83–94. [Google Scholar] [CrossRef]
  14. Qin, W.L.; Wang, H.J. Research to the influence of farmer quality on diffusion of agricultural technology. J. Hebei Agric. Sci. 2004, 1, 54–57. [Google Scholar]
  15. Cohen, W.M.; Levinthal, D.A. Absorptive capacity: A new perspective on learning and innovation. Adm. Sci. Q. 1990, 35, 128–152. [Google Scholar] [CrossRef]
  16. Alene, A.D.; Manyong, V.M. Farmer-to-farmer technology diffusion and yield variation among adopters: The case of improved cowpea in northern Nigeria. Agric. Econ. 2006, 35, 203–211. [Google Scholar] [CrossRef]
  17. Todo, Y.; Matous, P.; Mojo, D. Effects of social network structure on the diffusion and adoption of agricultural technology: Evidence from rural Ethiopia. SSRN Electron. J. 2015, 9, 231–234. [Google Scholar] [CrossRef]
  18. Vidogbéna, F.; Adégbidi, A.; Tossou, R.; Assogba-Komlan, F.; Martin, T.; Ngouajio, M.; Simon, S.; Parrot, L.; Garnett, S.T.; Zander, K.K. Exploring factors that shape small-scale farmers’ opinions on the adoption of eco-friendly nets for vegetable production. Environ. Dev. Sustain. 2016, 18, 1749–1770. [Google Scholar] [CrossRef]
  19. Zheng, C.-H.; Huang, H.-L. Analysis of technology diffusion among agricultural industry clusters by game theory. In Frontier Computing; Hung, J.C., Yen, N.Y., Li, K.-C., Eds.; Springer: Singapore, 2016. [Google Scholar]
  20. Moglia, M.; Alexander, K.; Connell, J. Developing a Bayesian Network Model to Describe Technology Adoption by Rice Farmers in Southern Laos; CSIRO: Canberra, Australia, 2016. [Google Scholar]
  21. Jia, R.A.; Tu, G.P.; Deng, Q.Z.; Jia, X.J.; Jia, W.Q. Analysis of the company and farmer management system by the feedback archetype generating set. Syst. Eng. Theory Pract. 2005, 25, 107–117. [Google Scholar]
  22. Wang, A.Z. Historical evaluation and system rethinking of company plus farmer. J. Anhui Agric. Sci. 2009, 37, 4819–4821. [Google Scholar]
  23. Fu, S.; Zhan, Y.; Tan, K. Managing social responsibility in Chinese agriculture supply chains through the “a company + farmers” model. Eur. Bus. Rev. 2017, 29, 344–359. [Google Scholar] [CrossRef]
  24. Ye, F.; Lin, Q.; Li, Y.N. Supply chain coordination for “company + farmer” contract-farming with CVaR criterion. Syst. Eng. Theory Pract. 2011, 31, 450–460. [Google Scholar]
  25. Li, J.-M.; Yang, Y. The coordination mechanism of “company & farmers” supply chain based on system dynamics. J. Kunming Univ. Sci. Technol. 2014, 4, 61–68. [Google Scholar]
  26. Lin, Q.; Ye, F. Coordination for “company + farmer” contract-farming supply chain under Nash negotiation model. Syst. Eng. Theory Pract. 2014, 34, 1769–1778. [Google Scholar]
  27. Zhou, R.; Yu, D.; Tu, G. Farmers’ knowledge behaviors in the agriculture technology diffusion process of “corporation & farmer” mode. J. Anhui Agric. Sci. 2015, 43, 387–392. [Google Scholar]
  28. Colombo, M.G.; Mosconi, R. Complementary and cumulative learning effects in the early diffusion of multiple technologies. J. Ind. Econ. 1995, 43, 13–48. [Google Scholar] [CrossRef]
  29. Wozniak, G. Joint information acquisition and new technology adoption: Late versus early adoption. Rev. Econ. Stat. 1993, 75, 438–445. [Google Scholar] [CrossRef]
  30. Gavious, A.; Lowengart, O. Price-quality relationship in the presence of asymmetric dynamic reference quality effects. Mark. Lett. 2012, 23, 137–161. [Google Scholar] [CrossRef]
  31. Stackelberg, H.V. Market Structure and Equilibrium; Springer: New York City, NY, USA, 2011. [Google Scholar]
  32. Gao, D.; Zhao, X.; Geng, W. A delay-in-payment contract for Pareto improvement of a supply chain with stochastic demand. Omega 2014, 49, 60–68. [Google Scholar] [CrossRef]
  33. Osborne, M.J.; Rubinstein, A. A Course in Game Theory; MIT Press: Cambridge, UK, 1994. [Google Scholar]
Figure 1. The effects of success probability (η) on optimal decisions of (a) company’s subsidy coefficient (t) and (b) the farmer’s degree of effort (θ).
Figure 1. The effects of success probability (η) on optimal decisions of (a) company’s subsidy coefficient (t) and (b) the farmer’s degree of effort (θ).
Sustainability 09 01906 g001
Figure 2. The effects of the proportion of a company’s sharing profit ρ on optimal decisions of (a) t and (b) θ.
Figure 2. The effects of the proportion of a company’s sharing profit ρ on optimal decisions of (a) t and (b) θ.
Sustainability 09 01906 g002
Figure 3. The effects of (a) the discount factor of the company δc, and (b) the discount factor of the farmers δf on optimal decision of t.
Figure 3. The effects of (a) the discount factor of the company δc, and (b) the discount factor of the farmers δf on optimal decision of t.
Sustainability 09 01906 g003
Figure 4. The effects of η on profits for company and farmers in (a) noncoordination and (b) coordination situations.
Figure 4. The effects of η on profits for company and farmers in (a) noncoordination and (b) coordination situations.
Sustainability 09 01906 g004
Figure 5. The effects of ρ on the profits for companies and farmers in (a) noncoordination and (b) coordination scenarios.
Figure 5. The effects of ρ on the profits for companies and farmers in (a) noncoordination and (b) coordination scenarios.
Sustainability 09 01906 g005
Figure 6. The effects of the discount factors in the coordination scenario on (a) the company’s profit and (b) the farmers’ profit.
Figure 6. The effects of the discount factors in the coordination scenario on (a) the company’s profit and (b) the farmers’ profit.
Sustainability 09 01906 g006

Share and Cite

MDPI and ACS Style

Yu, D.; Zhou, R. Coordination of Cooperative Knowledge Creation for Agricultural Technology Diffusion in China’s “Company Plus Farmers” Organizations. Sustainability 2017, 9, 1906. https://doi.org/10.3390/su9101906

AMA Style

Yu D, Zhou R. Coordination of Cooperative Knowledge Creation for Agricultural Technology Diffusion in China’s “Company Plus Farmers” Organizations. Sustainability. 2017; 9(10):1906. https://doi.org/10.3390/su9101906

Chicago/Turabian Style

Yu, Dengke, and Rong Zhou. 2017. "Coordination of Cooperative Knowledge Creation for Agricultural Technology Diffusion in China’s “Company Plus Farmers” Organizations" Sustainability 9, no. 10: 1906. https://doi.org/10.3390/su9101906

APA Style

Yu, D., & Zhou, R. (2017). Coordination of Cooperative Knowledge Creation for Agricultural Technology Diffusion in China’s “Company Plus Farmers” Organizations. Sustainability, 9(10), 1906. https://doi.org/10.3390/su9101906

Note that from the first issue of 2016, this journal uses article numbers instead of page numbers. See further details here.

Article Metrics

Back to TopTop