Characteristic Rain Events: A Methodology for Improving the Amenity Value of Stormwater Control Measures
Abstract
1. Introduction
1.1. Utility, Amenity and the Staging of Rainwater
1.2. Tools to Support Amenity Design
1.3. Tools to Support Utility Design
1.4. Bridging between Amenity and Utility Designs
1.5. Aim and Content
2. Methodology
2.1. Analysis of Rainfall Records
2.1.1. Rainfall Data and Aggregation of Rain Events
2.1.2. Categorization of Rain Events
- (1).
- From 1 mm to once per week;
- (2).
- From once per week to twice per month;
- (3).
- From twice per month to once per month;
- (4).
- From once per month to once every two months; and
- (5).
- From once every two months to once every 10 years.
- (1).
- Under 6 h;
- (2).
- Between 6 and 24 h; and
- (3).
- Above 24 h.
2.1.3. Selection of Characteristic Rain Events (CREs)
2.2. Case Study
2.2.1. Context of Case Study and Design Suggested
2.2.2. Hydrological Model of Rainwater Flow through Retention Units
- (1).
- Rain falls on a roof surface, where it is first “lost” to initial wetting of the surface; excess water is conveyed to the ditch.
- (2).
- In the ditch, runoff from the roof is added to rainwater falling directly in the ditch; again, water is first “lost” to wetting of the surface and the uppermost layer of the soil due to infiltration. Excess water is conveyed to the lowest, level 1 of the retention area.
- (3).
- In level 1 of the retention area, water from the ditch is added to rainwater falling directly in the retention area. Again, an initial “loss” to wetting of the surface and the uppermost soil layer is removed first. Excess water is infiltrated into the deeper soil, at a rate that is not allowed to exceed the hydraulic conductivity of the native soil multiplied with the bottom area of the level. Excess water is accumulated in the level.
- (4).
- If the accumulated rainwater in the retention level 1 exceeds the maximum depth of the level, it spills over to the larger level 2, where the same (area-adjusted) processes of wetting and infiltration take place.
- (5).
- Similarly, if the accumulated water in retention level 2 exceeds the maximum depth of the level, it spills over to level 3, where the same processes of wetting and infiltration take place.
3. Results
3.1. Categorization of Rainfall Depths
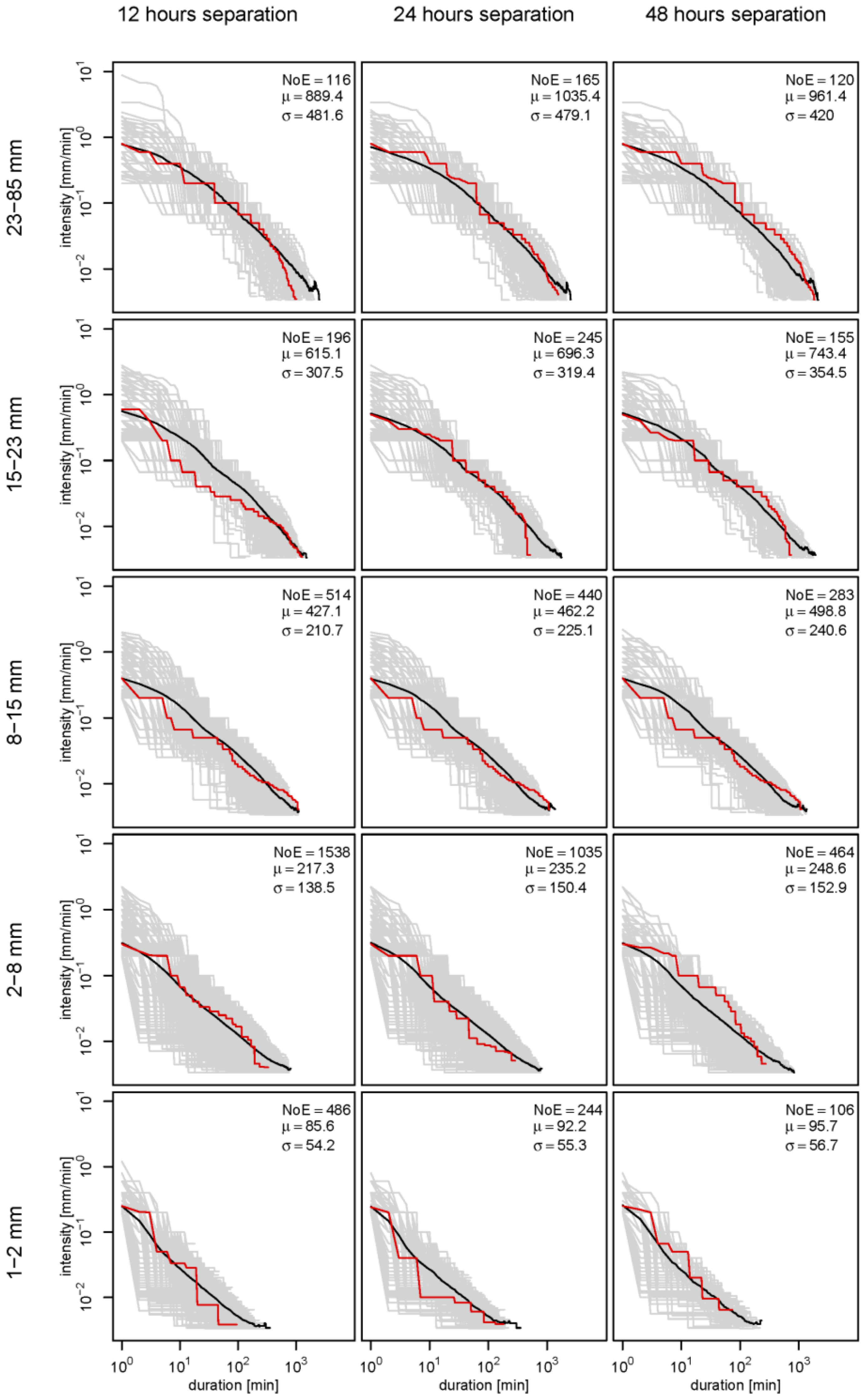
3.2. The Influence of Aggregation Threshold
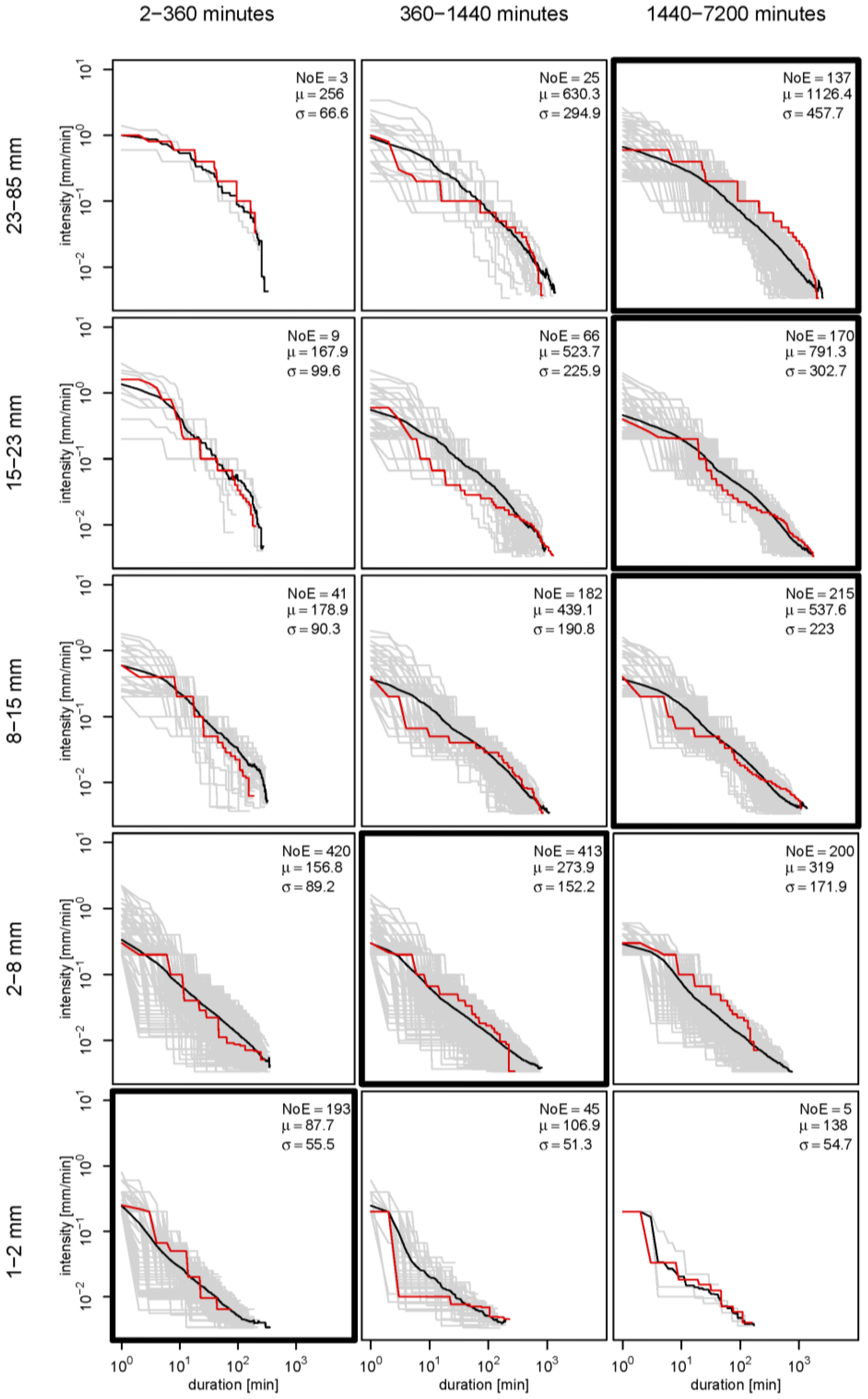
3.3. Selection of CREs
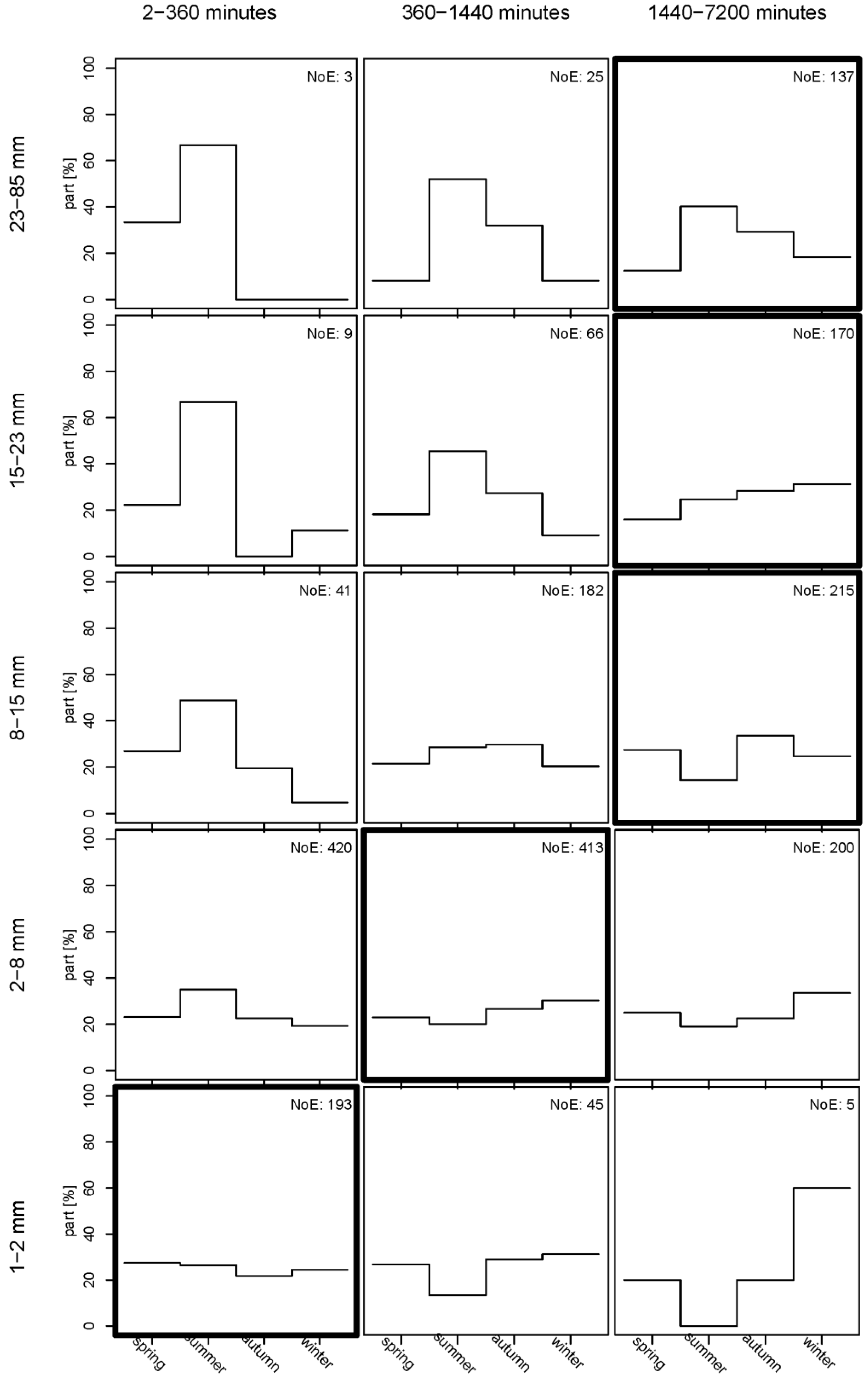
3.4. Check for Seasonal Distribution
3.5. Flow of CREs through a Retention Unit
4. Discussion
4.1. Selection of CREs
4.2. Simulating Flow of a CRE in an SCM
4.3. Usefulness of CREs
- (1).
- A simple table such as Table 1 will provide useful key figures that can aid the designer in proportioning different sub-volumes within an SCM that can stage frequent rain events.
- (2).
- Taking a step further from summary properties of CREs to inspection of a graphical chronology of the different CREs, as included in Figure 7, may add further benefits. For example, it promotes an understanding of rain events in the context of SCMs as being aggregated over longer periods of alternating rain/no rain rather than being single “showers”. Furthermore, such a chronology gives an idea about the varying rainfall intensities during frequent rain events, which are generally much lower than those used to set the overall dimensions of the transport elements of the SCM. This knowledge can be used to design transport elements that stage also frequent flows.
- (3).
- Taking the last step from inspection of the chronology of the CREs to simulating the resulting chronology of visible water in an SCM design gives the designer a powerful interactive tool to optimize the design. Small changes in the shape of an SCM can lead to large improvements in how often water is visible. The case study was already designed with the goal of staging frequent rains, by making “depressions within depressions”, i.e., sub-volumes, and the simulation shows that this was successfully achieved.
5. Conclusions
Acknowledgments
Author Contributions
Conflicts of Interest
References
- Fletcher, T.D.; Shuster, W.; Hunt, W.F.; Ashley, R.; Butler, D.; Arthur, S.; Trowsdale, S.; Barraud, S.; Semadeni-Davies, A.; Bertrand-Krajewski, J.-L.; et al. SUDS, LID, BMPs, WSUD and more—The evolution and application of terminology surrounding urban drainage. Urban Water J. 2015, 12, 525–542. [Google Scholar] [CrossRef]
- De Sousa, M.R.C.; Montalto, F.; Spatari, S. Using Life Cycle Assessment to Evaluate Green and Grey Combined Sewer Overflow Control Strategies. J. Ind. Ecol. 2012, 16, 901–913. [Google Scholar] [CrossRef]
- Moore, T.L.; Hunt, W.F. Ecosystem service provision by stormwater wetlands and ponds—A means for evaluation? Water Res. 2012, 46, 6811–6823. [Google Scholar] [CrossRef] [PubMed]
- Sarkar, C.; Webster, C.; Pryor, M.; Tang, D.; Melbourne, S.; Zhang, X.; Jianzheng, L. Exploring associations between urban green, street design and walking: Results from the Greater London boroughs. Landsc. Urban Plan. 2015, 143, 112–125. [Google Scholar] [CrossRef]
- Belmeziti, A.; Cherqui, F.; Tourne, A.; Granger, D.; Werey, C.; Le Gauffre, P.; Chocat, B. Transitioning to sustainable urban water management systems: How to define expected service functions? Civ. Eng. Environ. Syst. 2015, 1–19. [Google Scholar] [CrossRef]
- Zhou, Q. A Review of Sustainable Urban Drainage Systems Considering the Climate Change and Urbanization Impacts. Water 2014, 6, 976–992. [Google Scholar] [CrossRef]
- Echols, S.; Pennypacker, E. From Stormwater Management to Artful Rainwater Design. Landscape 2008, 27, 268–290. [Google Scholar] [CrossRef]
- Zhou, Q.; Panduro, T.E.; Thorsen, B.J.; Arnbjerg-Nielsen, K. Adaption to extreme rainfall with open urban drainage system: An integrated hydrological cost-benefit analysis. Environ. Manag. 2013, 51, 586–601. [Google Scholar] [CrossRef] [PubMed]
- Backhaus, A.; Fryd, O. The aesthetic performance of urban landscape-based stormwater management systems: A review of twenty projects in Northern Europe. J. Landsc. Archit. 2013, 8, 52–63. [Google Scholar] [CrossRef]
- Backhaus, A.; Dam, T.; Jensen, M.B. Stormwater management challenges as revealed through a design experiment with professional landscape architects. Urban Water J. 2012, 9, 29–43. [Google Scholar] [CrossRef]
- Bolund, P.; Hunhammar, S. Ecosystem services in urban areas. Ecol. Econ. 1999, 29, 293–301. [Google Scholar] [CrossRef]
- Fisher, B.; Turner, R.K.; Morling, P. Defining and classifying ecosystem services for decision making. Ecol. Econ. 2009, 68, 643–653. [Google Scholar] [CrossRef]
- Gómez-Baggethun, E.; Barton, D.N. Classifying and valuing ecosystem services for urban planning. Ecol. Econ. 2013, 86, 235–245. [Google Scholar] [CrossRef]
- Tzoulas, K.; Korpela, K.; Venn, S.; Yli-Pelkonen, V.; Kamierczak, A.; Niemela, J.; James, P. Promoting ecosystem and human health in urban areas using Green Infrastructure: A literature review. Landsc. Urban Plan. 2007, 81, 167–178. [Google Scholar] [CrossRef]
- City of Copenhagen. Climate Adaptation & Urban Nature; City of Copenhagen: Copenhagen, Denmark, 2016; p. 152. Available online: http://www.ameko.dk/blog/2016/6/20/copenhagen-think-tank-on-climate-adaption-urban-nature (accessed on 17 August 2017).
- Echols, S.; Pennypacker, E. Artful Rainwater Design: Creative Ways to Manage Stormwater, 1st ed.; Island Press: Washington, DC, USA, 2015. [Google Scholar]
- Rittel, H.W.J.; Webber, M.M. Dilemmas in a general theory of planning. Policy Sci. 1973, 4, 155–169. [Google Scholar] [CrossRef]
- Andersson, S.I. Landscape architecture at the Royal Danish Academy of Fine Arts, Copenhagen, Denmark. Landsc. Urban Plan. 1994, 30, 169–177. [Google Scholar] [CrossRef]
- Lawson, B. How Designers Think—The Design Process Demystified; Architectural Press: Oxford, UK, 2006. [Google Scholar]
- Schön, D.A. The Reflective Practitioner—How Professionals Think in Action; Ashgate Publishing Limited: London, UK, 2003. [Google Scholar]
- Von Seggern, H.; Werner, J.; Grosse-Bächle, L. Creating Knowledge—Innovation Strategies for Designing Urban Landscapes; Jovis Verlag: Berlin, Germany, 2008. [Google Scholar]
- Gehl, J.; Svarre, B. How to Study Public Life; Island Press: Washington, DC, USA, 2013. [Google Scholar]
- Lynch, K. The Image of the City; Harvard University Press: Cambridge, MA, USA, 1960. [Google Scholar]
- Dreiseitl, H.; Grau, D.; Ludwig, K.H.C. Waterscapes—Planning, Building and Designing with Water; Birkhäuser Verlag: Basel, Switzerland, 2001. [Google Scholar]
- Sieker, H.; Sieker, F.; Kaiser, M. Dezentrale Regenwasserbewirtschaftung im Privaten, Gewerblichen und Kommunalen Bereich-Grundlagen und Ausführungsbeispiele; Fraunhofer IRB Verlag: Stuttgard, Germany, 2006. [Google Scholar]
- Dubois, C.; Cloutier, G.; Potvin, A.; Adolphe, L.; Joerin, F. Design support tools to sustain climate change adaptation at the local level: A review and reflection on their suitability. Front. Archit. Res. 2015, 4, 1–11. [Google Scholar] [CrossRef]
- Woods-Ballard, B.; Kellagher, R.; Martin, P.; Jefferies, C.; Bray, R.; Shaffer, P. The SUDS Manual; CIRIA Classic House: London, UK, 2007. [Google Scholar]
- Elliott, A.; Trowsdale, S. A review of models for low impact urban stormwater drainage. Environ. Model. Softw. 2007, 22, 394–405. [Google Scholar] [CrossRef]
- Jayasooriya, V.M.; Ng, A.W.M. Tools for Modeling of Stormwater Management and Economics of Green Infrastructure Practices: A Review. Water Air Soil Pollut. 2014, 225, 2055. [Google Scholar] [CrossRef]
- Lerer, S.M.; Arnbjerg-Nielsen, K.; Mikkelsen, P.S. A Mapping of Tools for Informing Water Sensitive Urban Design Planning Decisions—Questions, Aspects and Context Sensitivity. Water 2015, 7, 993–1012. [Google Scholar] [CrossRef]
- Sørup, H.J.D.; Georgiadis, S.; Gregersen, I.B.; Arnbjerg-Nielsen, K. Formulating and testing a method for perturbing precipitation time series to reflect anticipated climatic changes. Hydrol. Earth Syst. Sci. 2017, 21, 345–355. [Google Scholar] [CrossRef]
- Koutsoyiannis, D.; Baloutsos, G. Analysis of a long record of annual maximum rainfall in Athens, Greece, and design rainfall inferences. Nat. Hazards 2000, 22, 29–48. [Google Scholar] [CrossRef]
- Ahern, J. From fail-safe to safe-to-fail: Sustainability and resilience in the new urban world. Landsc. Urban Plan. 2011, 100, 341–343. [Google Scholar] [CrossRef]
- Gallo, C.; Moore, A.; Wywrot, J. Comparing the adaptability of infiltration based BMPs to various U.S. regions. Landsc. Urban Plan. 2012, 106, 326–335. [Google Scholar] [CrossRef]
- Rivard, G. Small Storm Hydrology and BMP Modeling with SWMM5. J. Water Manag. Model. 2010. [Google Scholar] [CrossRef]
- Fratini, C.F.; Geldof, G.D.; Kluck, J.; Mikkelsen, P.S. Three Points Approach (3PA) for urban flood risk management: A tool to support climate change adaptation through transdisciplinarity and multifunctionality. Urban Water J. 2012, 9, 317–331. [Google Scholar] [CrossRef]
- Sørup, H.J.D.; Lerer, S.M.; Arnbjerg-Nielsen, K.; Mikkelsen, P.S.; Rygaard, M. Efficiency of stormwater control measures for combined sewer retrofitting under varying rain conditions: Quantifying the Three Points Approach (3PA). Environ. Sci. Policy 2016, 63, 19–26. [Google Scholar] [CrossRef]
- Beecham, S.; Chowdhury, R. Effects of changing rainfall patterns on WSUD in Australia. Proc. Inst. Civ. Eng. 2012, 165, 285–298. [Google Scholar] [CrossRef]
- Rosbjerg, D. Defence of the Median Plotting Position, Progress Report—Institute of Hydrodynamics and Hydraulic Engineering; Technical University of Denmark: Lyngby, Denmark, 1988. [Google Scholar]
- Water Pollution Committee of the Society of Danish Engineers. Sizing of SCMs. Dimensionering af LAR-anlæg. Available online: https://ida.dk/sites/default/files/SVK_LAR-Dimensionering_v1_0.pdf (accessed on 1 September 2017).
- DHI. Mike Urban Collection System; DHI: Hørsholm, Denmark, 2016. [Google Scholar]
- eWater. MUSIC Documentation and Help 6.0; eWater: Melbourne, Australia, 2014. [Google Scholar]
- Rossman, L.A. Modeling Low Impact Development Alternatives with SWMM. J. Water Manag. Model. 2010, 167–182. [Google Scholar] [CrossRef]
- Brown, R.A.; Skaggs, R.W.; Hunt, W.F. Calibration and validation of DRAINMOD to model bioretention hydrology. J. Hydrol. 2013, 486, 430–442. [Google Scholar] [CrossRef]
- Roy-Poirier, A.; Filion, Y.; Champagne, P. An event-based hydrologic simulation model for bioretention systems. Water Sci. Technol. 2015, 72, 1524–1533. [Google Scholar] [CrossRef] [PubMed]







| Category Description | Tmax (Year) | Depth Interval (mm) |
|---|---|---|
| A rain event that occurs between once every two months and once every 10 years (upper limit of domain B) | 10 | 23–85 mm |
| A rain event that occurs between once per month and once every two months (lower limit of Domain B and upper limit of domain A) | 0.2 | 15–23 mm |
| A rain event that occurs between twice per month and once per month | 0.1 | 8–15 mm |
| A rain event that occurs between once per week and twice per month | 0.05 | 2–8 mm |
| A rain event that occurs once per week or more often | 0.02 | 1–2 mm |
| CRE | Tmax (Year) | Share of Events (%) | Depth (mm) | Duration (min) | Duration (day:h:min) |
|---|---|---|---|---|---|
| 5 | 10 | 8 | 42.4 | 2642 | 1:20:02 |
| 4 | 0.2 | 11 | 21.4 | 4396 | 3:01:16 |
| 3 | 0.1 | 21 | 13.4 | 2144 | 1:11:44 |
| 2 | 0.05 | 49 | 6.0 | 937 | 0:15:37 |
| 1 | 0.02 | 11 | 1.8 | 74 | 0:01:14 |
© 2017 by the authors. Licensee MDPI, Basel, Switzerland. This article is an open access article distributed under the terms and conditions of the Creative Commons Attribution (CC BY) license (http://creativecommons.org/licenses/by/4.0/).
Share and Cite
Smit Andersen, J.; Lerer, S.M.; Backhaus, A.; Bergen Jensen, M.; Danielsen Sørup, H.J. Characteristic Rain Events: A Methodology for Improving the Amenity Value of Stormwater Control Measures. Sustainability 2017, 9, 1793. https://doi.org/10.3390/su9101793
Smit Andersen J, Lerer SM, Backhaus A, Bergen Jensen M, Danielsen Sørup HJ. Characteristic Rain Events: A Methodology for Improving the Amenity Value of Stormwater Control Measures. Sustainability. 2017; 9(10):1793. https://doi.org/10.3390/su9101793
Chicago/Turabian StyleSmit Andersen, Jonas, Sara Maria Lerer, Antje Backhaus, Marina Bergen Jensen, and Hjalte Jomo Danielsen Sørup. 2017. "Characteristic Rain Events: A Methodology for Improving the Amenity Value of Stormwater Control Measures" Sustainability 9, no. 10: 1793. https://doi.org/10.3390/su9101793
APA StyleSmit Andersen, J., Lerer, S. M., Backhaus, A., Bergen Jensen, M., & Danielsen Sørup, H. J. (2017). Characteristic Rain Events: A Methodology for Improving the Amenity Value of Stormwater Control Measures. Sustainability, 9(10), 1793. https://doi.org/10.3390/su9101793

