Assessment of Environmental and Economic Impacts of Vine-Growing Combining Life Cycle Assessment, Life Cycle Costing and Multicriterial Analysis
Abstract
:1. Introduction
2. Methodological Background
3. Materials and Methods
3.1. Case Study
3.2. Data Collection
3.3. Life Cycle Assessment Implementation
- Planting Stage, that considers all operations from vineyard design to plantation of trees;
- Training Stage, from the 1st to the 3th year, as unproductive stage that includes all operations necessary for training system formation;
- Production Stage from the 4th to the 25th year, that includes three different sub-stages: increasing production stage (from 4th to 7th year), constant production stage (from 8th to 22th year) and decreasing production stage (from 23th to 25th);
- Disposal Stage at 25th year, in which plantation and supporting systems are removed.
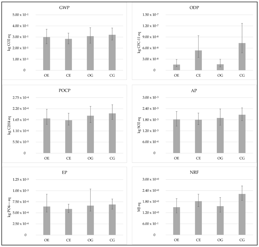
3.4. LCC Implementation
- j = 0, …, n represents years of useful life (TH = 25);
- Total Vineyard Cost;
- Vineyard Design Cost “Planting stage”;
- Vineyard Plantation Cost “Planting stage”;
- Vineyard Operating Cost “Training stage”;
- Vineyard Operating Cost “Increasing production stage”;
- Vineyard Operating Cost “Constant production stage”;
- Vineyard Operating Cost “Decreasing production stage”;
- Vineyard Disposal Useful.
3.5. Implementation of MultiCriteria Decision Analysis (MCDA)
- represents the alternative S1, S2, …, Sm;
- represents the criteria C1, C2, …, Cn with which alternative performances are measured;
- is the performance score of relative to Cj;
- is the weight of Cj;
- and are respectively the best and the worst value of ideal point relative to Cj.
- ; ;
- ; ;
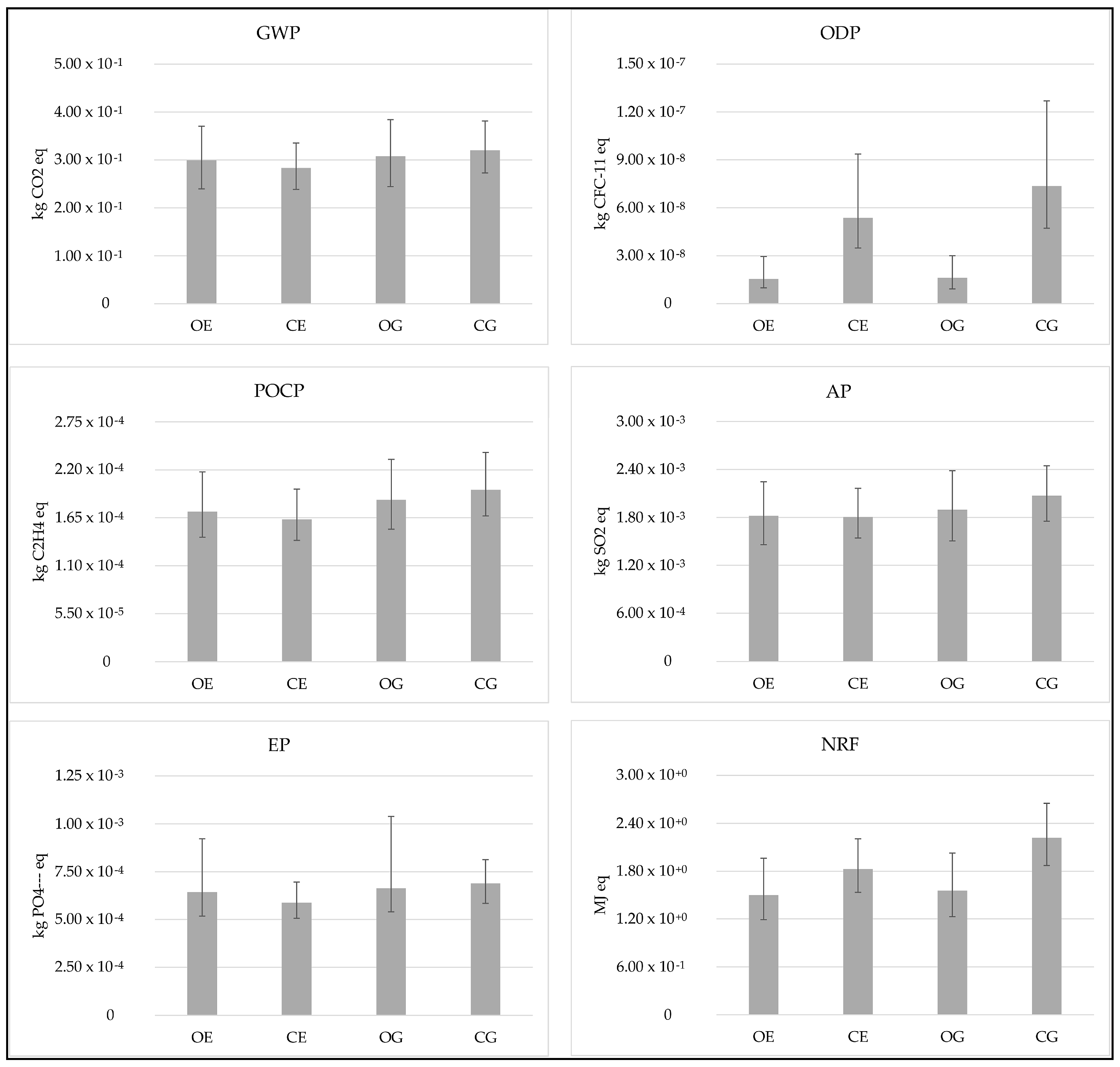
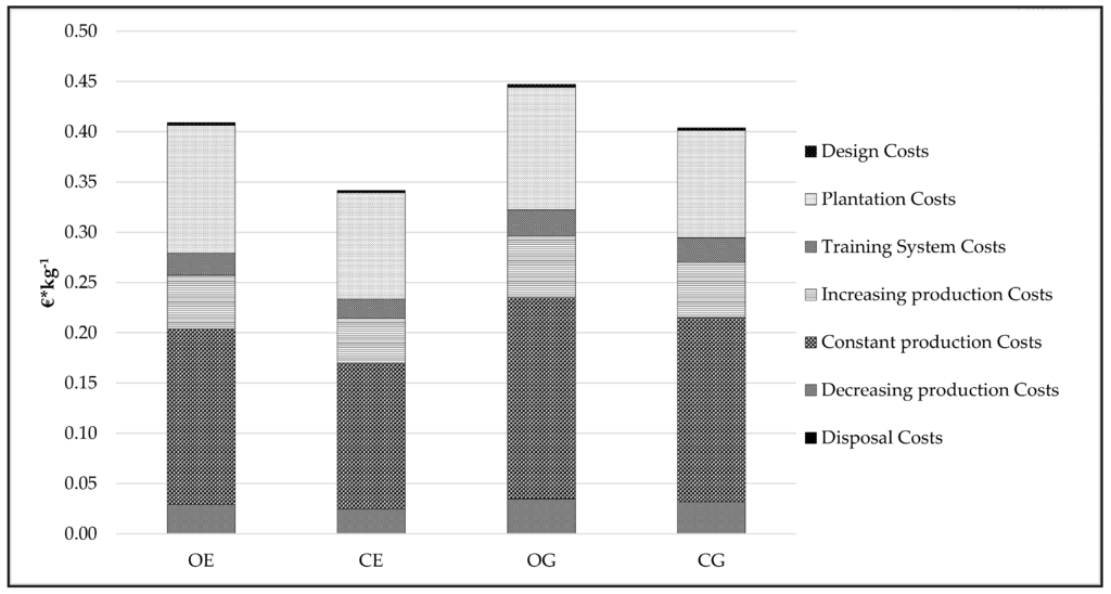
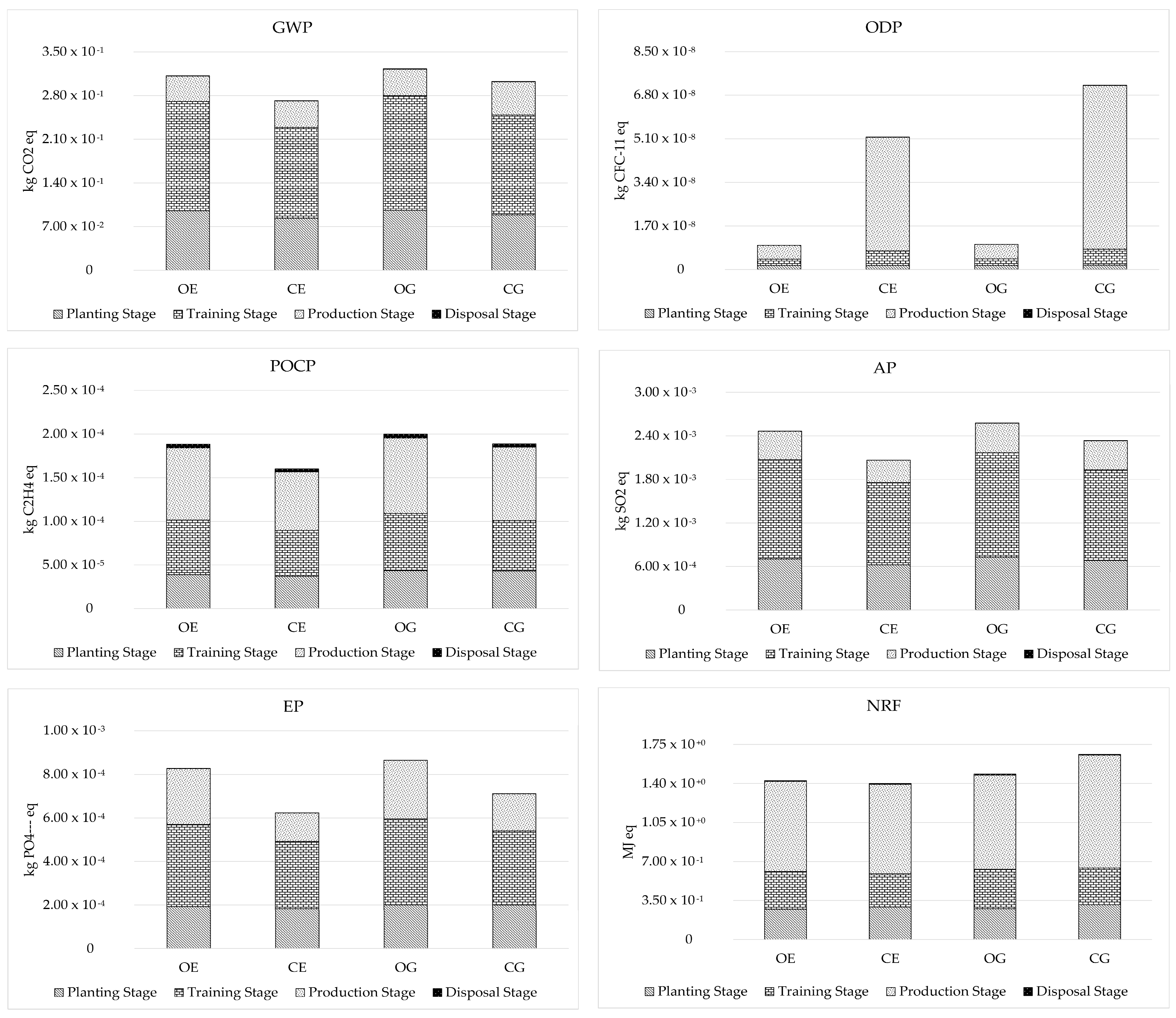
4. Results
5. Discussion
6. Conclusions
Supplementary Files
Supplementary File 1Acknowledgments
Author Contributions
Conflicts of Interest
References
- Weil, R.R. Defining and using the concept of sustainable agriculture. J. Agron. Educ. 1990, 19, 126–130. [Google Scholar]
- De Luca, A.I.; Molari, G.; Seddaiu, G.; Toscano, A.; Bombino, G.; Ledda, L.; Milani, M.; Vittuari, M. Multidisciplinary and innovative methodologies for sustainable management in agricultural systems. Environ. Eng. Manag. J. 2015, 14, 1571–1581. [Google Scholar]
- Kajikawa, Y.; Tacoa, F.; Yamaguchi, K. Sustainability science: The changing landscape of sustainability research. Sustain. Sci. 2014, 9, 431–438. [Google Scholar] [CrossRef]
- European Commission. Communication from the Commission EUROPE 2020: A Strategy for Smart, Sustainable and Inclusive Growth; COM (2010) 2020; European Commission: Brussels, Belgium, 2010. [Google Scholar]
- Beccali, M.; Cellura, M.; Iudicello, M.; Mistretta, M. Resource consumption and environmental impacts of the agrofood sector: Life cycle assessment of Italian citrus-based products. Environ. Manag. 2009, 43, 707–724. [Google Scholar] [CrossRef] [PubMed]
- EEA (European Environment Agency). Annual European Community Greenhouse Gas Inventory Report 2014; Version 27; Technical Report No. 9; Submission to the UNFCCC Secretariat 2014; EEA: Copenhagen, Denmark, 2014. [Google Scholar]
- EEA. Environmental Indicator Report 2012—Ecosystem Resilience and Resource Efficiency in a Green Economy in Europe; EEA: Copenhagen, Denmark, 2012. [Google Scholar]
- San Cristóbal, J.R. Multi-criteria decision-making in the selection of a renewable energy project in Spain: The Vikor method. Renew. Energy 2011, 36, 498–502. [Google Scholar] [CrossRef]
- Mariani, A.; Vastola, A. Sustainable winegrowing: Current perspectives. Int. J. Wine Res. 2015, 7, 37–48. [Google Scholar] [CrossRef]
- Sogari, G.; Corbo, C.; Macconi, M.; Menozzi, D.; Mora, C. Consumer attitude towards sustainable-labelled wine: An exploratory approach. Int. J. Wine Bus. Res. 2015, 27, 312–328. [Google Scholar] [CrossRef]
- OIV Guidelines for Sustainable Vitiviniculture: Production, Processing and Packaging of Products, CST 1-2008. Available online: http://www.oiv.int/public/medias/2089/cst-1-2008-en.pdf (accessed on 18 May 2016).
- Guinée, J.B. (Ed.) Handbook on Life Cycle Assessment—Operational Guide to the ISO Standards; Kluwer Academic Publishers: Dordrecht, The Netherlands, 2002.
- Remmen, A.; Jensen, A.A.; Frydendal, J. Life Cycle Management—A Business Guide to Sustainability; UNEP and Danish Standards; United Nations Environment Programme (UNEP): Nairobi, Kenya, 2007. [Google Scholar]
- International Organization for Standardization. ISO 14040:2006 Environmental Management—Life Cycle Assessment—Principles and Framework; International Organization for Standardization (ISO): Geneva, Switzerland, 2006. [Google Scholar]
- International Organization for Standardization. ISO 14044:2006 Environmental Management—Life Cycle Assessment—Requirements and Guidelines; International Organization for Standardization (ISO): Geneva, Switzerland, 2006. [Google Scholar]
- International Organization for Standardization. ISO 15686-5:2008 Buildings and Constructed Assets-Service Life Planning-Life Cycle Costing; International Organization for Standardization (ISO): Geneva, Switzerland, 2008. [Google Scholar]
- De Luca, A.I.; Iofrida, N.; Strano, A.; Falcone, G.; Gulisano, G. Social life cycle assessment and participatory approaches: A methodological proposal applied to citrus farming in Southern Italy. Integr. Environ. Assess. Manag. 2015, 11, 383–396. [Google Scholar] [CrossRef] [PubMed]
- Linkov, I.; Satterstrom, F.K.; Kiker, G.; Batchelor, C.; Bridges, T.; Ferguson, E. From comparative risk assessment to multi-criteria decision analysis and adaptive management: Recent developments and applications. Environ. Int. 2006, 32, 1072–1093. [Google Scholar] [CrossRef] [PubMed]
- Linkov, I.; Seager, T. Coupling multi-criteria decision analysis, life cycle assessment and risk assessment for emerging threats. Environ. Sci. Technol. 2011, 45, 5068–5074. [Google Scholar] [CrossRef] [PubMed]
- De Luca, A.I.; Romeo, G.; Falcone, G.; Stillitano, T.; Strano, A. Una metodologia multicriteriale per la valutazione integrata della sostenibilità di sistemi produttivi cerealicoli. In Proceedings of the VIII Convegno Scientifico Dell’Associazione Rete Italiana LCA I Nuovi Orizzonti dell’LCA: Verso un Approccio Sistemico e Integrato Alla Progettazione di Prodotti, Processi e Servizi, Firenze, Italy, 19–20 June 2014; Scalbi, S., Dominici Lopireno, A., Eds.; Enea Agenzia Nazionale per le Nuove Tecnologie: Rome, Italy, 2014; pp. 8–14. [Google Scholar]
- Falcone, G.; De Luca, A.I.; Romeo, G.; Stillitano, T.; Strano, A.; Gulisano, G. Integrated sustainability assessment of agricultural processes using the multi-criteria technique vikor. In Proceedings of the Ecomondo 19a Fiera Internazionale dello Sviluppo Sostenibile, Rimini, Italy, 5–8 November 2014.
- Ren, J.; Manzardo, A.; Mazzi, A.; Zuliani, F.; Scipioni, A. Prioritization of bioethanol production pathways in China based on life cycle sustainability assessment and multicriteria decision-making. Int. J. Life Cycle Assess. 2015, 20, 842–853. [Google Scholar] [CrossRef]
- Ayman, M.M. Performance Evaluation and Improvement Technique for Organizations. Master’s Thesis, Fayoum University, Fayoum, Egypt, 2014. [Google Scholar]
- Opricovic, S. A compromise solution in water resources planning. Int. Ser. Prog. Wat. Res. 2009, 23, 1549–1561. [Google Scholar] [CrossRef]
- De Luca, A.I.; Falcone, G.; Iofrida, N.; Stillitanto, T.; Strano, A.; Gulisano, G. Life cycle methodologies to improve agri-food systems sustainability. Riv. Studi Sulla Sosten. 2015, 1, 135–150. [Google Scholar] [CrossRef]
- Notarnicola, B.; Salomone, R.; Petti, L.; Renzulli, P.A.; Roma, R.; Cerutti, A.K. (Eds.) Life Cycle Assessment in the Agri-Food Sector Case Studies, Methodological Issues and Best Practices; Springer: Basel, Switzerland, 2015.
- Poritosh, R.; Daisuke, N.; Takairo, O.; Qingyi, X.; Hiroshi, O.; Nobutaka, N.; Takeo, S. A review of Life Cycle Assessment (LCA) on some food products. J. Food Eng. 2009, 90, 1–10. [Google Scholar]
- Sanjuan, N.; Ubeda, L.; Clemente, G.; Mulet, A.; Girona, F. LCA of integrated orange production in the Comunidad Valenciana (Spain). Int. J. Agric. Resour. Gov. Ecol. 2005, 4, 163–177. [Google Scholar] [CrossRef]
- Petti, L.; Arzoumanidis, I.; Benedetto, G.; Bosco, S.; Cellura, M.; De Camillis, C.; Fantin, V.; Masotti, P.; Pattara, C.; Raggi, A.; et al. Life cycle assessment in the wine sector. In Life Cycle Assessment in the Agri-Food Sector Case Studies, Methodological Issues and Best Practices; Notarnicola, B., Salomone, R., Petti, L., Renzulli, P.A., Roma, R., Cerutti, A.K., Eds.; Springer International Publishing: Basel, Switzerland, 2015; pp. 123–184. [Google Scholar]
- Arzoumanidis, I.; Petti, L.; Raggi, A.; Zamagni, A. Life Cycle Assessment (LCA) for the Agri-Food Sector. In Product-Oriented Environmental Management System (POEMS)—Improving Sustainability and Competitiveness in the Agri-Food Chain with Innovative Environmental Management Tools; Salomone, R., Clasadonte, M.T., Proto, M., Raggi, A., Eds.; Springer International Publishing: Dordrecht, The Netherlands, 2013; pp. 105–122. [Google Scholar]
- Pattara, C.; Cichelli, A.; Civitarese, C.; Di Martino, M. A comparison of carbon footprints in wine production: The case of two cooperative wineries in central Italy. Bull. L’OIV 2012, 85, 307–316. [Google Scholar]
- Petti, L.; Ardente, F.; Bosco, S.; De Camillis, C.; Masotti, P.; Pattara, C.; Raggi, A.; Tassielli, G. In stato dell’arte della Life Cycle Assessment (LCA) nel comparto vitivinicolo. In Proceedings of the Scientific Convention of Rete Italiana LCA “La Metodologia LCA: Approccio Proattivo per le Tecnologie Ambientali. Casi Studio ed esperienze Applicative”, Padova, Italy, 22 April 2010.
- Barberini, M.; Cecchini, F.; Della Giovanpaola, M.; Franchini, F.; Mangani, F.; Neri, P.; Parmeggiani, G.; Tosi, M. Analisi del Ciclo di Vita del Vino: Confronto tra la Produzione Convenzionale e Quella Biologica. Master’s Thesis, Università di Urbino and ENEA, Urbino, Italy, 2004. [Google Scholar]
- Cecchini, F.; Neri, P.; Franchini, F.; Catto, G.; Feoli, E.; Altobelli, A. Analisi Ambientale Della Filiera Vitivinicola del Cabernet Sauvignon in Friuli Venezia Giulia Secondo il Metodo LCA. Master’s Thesis, Università Degli Studi di Trieste and ENEA, Trieste, Italy, 2005. [Google Scholar]
- Kavargiris, S.E.; Mamolos, A.P.; Tsatsarelis, C.A.; Nikolaidou, A.E.; Kalburtji, K.L. Energy resources’ utilization in organic and conventional vineyards: Energy flow, greenhouse gas emissions and biofuel production. Biomass Bioenergy 2009, 33, 1239–1250. [Google Scholar] [CrossRef]
- Niccolucci, V.; Galli, A.; Kitzes, J.; Pulselli, R.M.; Borsa, S.; Marchettini, N. Ecological footprint analysis applied to the production of two Italian wines. Agric. Ecosyst. Environ. 2008, 128, 162–166. [Google Scholar] [CrossRef]
- Villanueva-Rey, P.; Vázquez-Rowe, I.; Moreira, M.T.; Feijoo, G. Comparative Life Cycle Assessment in the wine sector: Biodynamic vs. conventional viticulture activities in NW Spain. J. Clean. Prod. 2014, 65, 330–341. [Google Scholar] [CrossRef]
- Fusi, A.; Guidetti, R.; Benedetto, G. Delving into the environmental aspect of a Sardinian white wine: From partial to total life cycle assessment. Sci. Total Environ. 2014, 472, 989–1000. [Google Scholar] [CrossRef] [PubMed]
- Arcese, G.; Lucchetti, M.C.; Martucci, O. Analysis of sustainability based on Life Cycle Assessment: An empirical study of wine production. J. Environ. Sci. Health B 2012, 1, 682–689. [Google Scholar]
- Strano, A.; De Luca, A.I.; Falcone, G.; Iofrida, N.; Stillitano, T.; Gulisano, G. Economic and environmental sustainability assessment of wine grape production scenarios in Southern Italy. Agric. Sci. 2013, 4, 12–20. [Google Scholar] [CrossRef]
- Ardente, F.; Beccali, G.; Cellura, M.; Marvuglia, A. POEMS: A case study of an Italian wine-producing firm. Environ. Manag. 2006, 38, 350–364. [Google Scholar] [CrossRef] [PubMed]
- Gazulla, C.; Raugei, M.; Fullana-i-Palmer, P. Taking a life cycle look at crianza wine production in Spain: Where are the bottlenecks. Int. J. Life Cycle Assess. 2010, 15, 330–337. [Google Scholar] [CrossRef]
- Neto, B.; Dias, A.C.; Machado, M. Life Cycle Assessment of the supply chain of a Portuguese wine: From viticulture to distribution. Int. J. Life Cycle Assess. 2013, 18, 590–602. [Google Scholar] [CrossRef]
- Notarnicola, B.; Tassielli, G.; Nicoletti, G.M. Life cycle assessment (LCA) of wine production. In Environmentally-Friendly Food Processing; Mattsonn, B., Sonesson, U., Eds.; Woodhead Publishing Limited: Cambridge, UK, 2003; pp. 306–326. [Google Scholar]
- Benedetto, G. The environmental impact of a Sardinian wine by partial life cycle assessment. Wine Econ. Policy 2013, 2, 33–41. [Google Scholar] [CrossRef]
- Bosco, S.; Massai, R.; Di Bene, C.; Bonari, E.; Galli, M.; Remorini, D. Greenhouse gas emissions in the agricultural phase of wine production in the Maremma rural district in Tuscany, Italy. Ital. J. Agron. 2011, 6, 93–100. [Google Scholar] [CrossRef]
- Cerutti, A.K.; Beccaro, G.L.; Bosco, S.; De Luca, A.I.; Falcone, G.; Fiore, A.; Iofrida, N.; Lo Giudice, A.; Strano, A. Life Cycle Assessment in the Fruit Sector. In Life Cycle Assessment in the Agri-Food Sector Case Studies, Methodological Issues and Best Practices; Notarnicola, B., Salomone, R., Petti, L., Renzulli, P.A., Roma, R., Cerutti, A.K., Eds.; Springer: Cham, Switzerland, 2015; pp. 333–388. [Google Scholar]
- Vázquez-Rowe, I.; Villanueva-Rey, P.; Iribarren, D.; Moreira, M.T.; Feijoo, G. Joint life cycle assessment and data envelopment analysis of grape production for vinification in the Rías Baixas appellation (NW Spain). J. Clean. Prod. 2012, 27, 92–102. [Google Scholar] [CrossRef]
- BIER (Beverage Industry Environmental Roundtable). Research on the Carbon Footprint of Wine. Available online: http://media.wix.com/ugd/49d7a0_4d74ddfdfbd64d3a8c1b27c17f460e36.pdf (accessed on 8 August 2016).
- Bosco, S.; Di Bene, C.; Galli, M.; Remorini, D.; Massai, R.; Bonari, E. Soil organic matter accounting in the carbon footprint analysis of the wine chain. Int. J. Life Cycle Assess. 2013, 18, 973–989. [Google Scholar] [CrossRef]
- Soosay, C.; Fearne, A.; Dent, B. Sustainable value chain analysis – a case study of Oxford Landing from “vine to dine”. Supply Chain Manag. Int. J. 2012, 17, 68–77. [Google Scholar]
- Pattara, C.; Raggi, A.; Cichelli, A. Life Cycle Assessment and carbon footprint in the wine supply-chain. Environ. Manag. 2012, 49, 1247–1258. [Google Scholar] [CrossRef] [PubMed]
- Vázquez-Rowe, I.; Rugani, B.; Benetto, E. Tapping carbon footprint variations in the European wine sector. J. Clean. Prod. 2013, 43, 146–155. [Google Scholar] [CrossRef]
- Ene, S.A.; Teodosiu, C.; Robu, B.; Volf, I. Water footprint assessment in the winemaking industry: A case study for a Romanian medium size production plant. J. Clean. Prod. 2013, 43, 122–135. [Google Scholar] [CrossRef]
- Pina, L.; Dias, A.; Neto, B.; Arroja, L.; Quinteiro, P. The water footprint of wine production in Portugal: A case study on vinho verde. In Proceedings of the Poster Session 6th International Conference on Industrial Ecology (ISIE 2011 Conference), Berkeley, CA, USA, 7–10 June 2011.
- Klöpffer, W. Life cycle sustainability assessment of products. Int. J. Life Cycle Assess. 2008, 13, 89–95. [Google Scholar] [CrossRef]
- Swarr, T.E.; Hunkeler, D.; Klöpffer, W.; Pesonen, H-L.; Ciroth, A.; Brent, A.C.; Pagan, R. Environmental life cycle costing: A code of practice. Int. J. Life Cycle Assess. 2011, 16, 389–391. [Google Scholar] [CrossRef]
- Dhillon, B.S. Life Cycle Costing: Techniques, Models, and Applications; Gordon and Breach Science Publishers: New York, NY, USA, 1989. [Google Scholar]
- Gluch, P.; Baumann, H. The life cycle costing (LCC) approach: A conceptual discussion of its usefulness for environmental decision-making. Build. Environ. 2004, 39, 571–580. [Google Scholar] [CrossRef]
- Huppes, G.; van Rooijen, M.; Kleijn, R.; Heijungs, R.; de Koning, A.; van Oers, L. Life Cycle Costing and the Environment; Report of a project commissioned by the Ministry of VROM-DGM for the RIVM Expertise Centre LCA; Ministry of Housing, Spatial, Planning and the Environment (VROM): Den Haag, The Netherlands, 2004. [Google Scholar]
- Hunkeler, D.; Lichtenvort, K.; Rebitzer, G. Environmental Life Cycle Costing; SETAC: Pensacola, FL, USA, 2008. [Google Scholar]
- Lichtenvort, K.; Rebitzer, G.; Huppes, G.; Ciroth, A.; Seuring, S.; Schmidt, W.-P.; Günther, E.; Hoppe, H.; Swarr, T.; Hunkeler, D. History of life cycle costing, its categorization, and its basic framework. In Environmental Life Cycle Costing; Hunkeler, D., Lichtenvort, K., Rebitzer, G., Eds.; SETAC-CRC: Pensacola, FL, USA, 2008; pp. 1–16. [Google Scholar]
- Ciroth, A.; Hildenbrand, J.; Steen, B. Life cycle costing. In Sustainability Assessment of Renewables-Based Products: Methods and Case Studies, 1st ed.; Dewulf, J., De Meester, S., Alvarenga, R.A.F., Eds.; John Wiley and Sons: Chichester, UK, 2016; pp. 215–228. [Google Scholar]
- Neugebauer, S.; Forin, S.; Finkbeiner, M. From life cycle costing to economic life cycle assessment—Introducing an economic impact pathway. Sustainability 2016, 8, 428. [Google Scholar] [CrossRef]
- Settanni, E.; Notarnicola, B.; Tassielli, G. Combining Life cycle assessment of food products with economic tools. In Environmental Assessment and Management in the Food Industry. Life Cycle Assessment and Related Approaches; Sonesson, U., Berlin, J., Ziegler, F., Eds.; Woodhead Publishing Limited: Cambridge, UK, 2010; pp. 207–216. [Google Scholar]
- Norris, G.A. Integrating life cycle cost analysis and LCA. Int. J. Life Cycle Assess 2001, 6, 118–120. [Google Scholar]
- Schmidt, W.-P. Life cycle costing as part of design for environment environmental business cases. Int. J. Life Cycle Assess. 2003, 8, 167–174. [Google Scholar] [CrossRef]
- Rebitzer, G.; Hunkeler, D. Life Cycle Costing in LCM: Ambitions, Opportunities and Limitations. Int. J. Life Cycle Assess. 2003, 8, 253–256. [Google Scholar] [CrossRef]
- Settanni, E. The need for a computational structure of LCC. Int. J. Life Cycle Assess. 2008, 13, 526–531. [Google Scholar] [CrossRef]
- Ciroth, A.; Franze, J. Life Cycle Costing in SimaPro. 2009. Available online: http://www.simapro.de/uploads/media/LCCinSimaPro_english.pdf (accessed on 8 August 2016).
- Heijungs, R.; Settanni, E.; Guinée, J. Toward a computational structure for life cycle sustainability analysis: unifying LCA and LCC. Int. J. Life Cycle Assess. 2013, 18, 1722–1733. [Google Scholar] [CrossRef]
- Moreau, V.; Weidema, B.P. The computational structure of environmental life cycle costing. Int. J. Life Cycle Assess. 2015, 20, 1359–1363. [Google Scholar] [CrossRef]
- Roy, P.; Nei, D.; Orikasa, T.; Xu, Q.; Okadome, H.; Nakamura, N.; Shiina, T. A review of life cycle assessment (LCA) on some food products. J. Food Eng. 2009, 90, 1–10. [Google Scholar] [CrossRef]
- Notarnicola, B.; Tassielli, G.; Nicoletti, G.M. Environmental and economic analysis of the organic and conventional extra-virgin olive oil. New Medit. 2004, 3, 28–34. [Google Scholar]
- De Gennaro, B.; Notarnicola, B.; Roselli, L.; Tassielli, G. Innovative olive-growing models: An environmental and economic assessment. J. Clean. Prod. 2012, 28, 70–80. [Google Scholar] [CrossRef]
- Mohamad, R.S.; Verrastro, V.; Cardone, G.; Bteich, M.R.; Favia, M.; Moretti, M.; Roma, R. Optimization of organic and conventional olive agricultural practices from a Life Cycle Assessment and Life Cycle Costing perspectives. J. Clean. Prod. 2014, 70, 78–89. [Google Scholar] [CrossRef]
- De Luca, A.I.; Falcone, G.; Stillitano, T.; Strano, A.; Gulisano, G. Sustainability assessment of quality-oriented citrus growing systems in Mediterranean area. Q. Access Success 2014, 15, 103–108. [Google Scholar]
- Pergola, M.; D’Amico, M.; Celano, G.; Palese, A.M.; Scuderi, A.; Di Vita, G.; Pappalardo, G.; Inglese, P. Sustainability evaluation of Sicily’s lemon and orange production: An energy, economic and environmental analysis. J. Environ. Manag. 2013, 128, 674–682. [Google Scholar] [CrossRef] [PubMed]
- Amienyo, D. Life Cycle Sustainability Assessment in the UK Beverage Sector. Master’s Thesis, The University of Manchester, Manchester, UK, 2012. [Google Scholar]
- Falcone, G.; Strano, A.; Stillitano, T.; De Luca, A.I.; Iofrida, N.; Gulisano, G. Integrated sustainability appraisal of wine-growing management systems through LCA and LCC methodologies. Chem. Eng. Trans. 2015, 44, 223–228. [Google Scholar]
- Bates, T.; Morris, J. mechanical cane pruning and crop adjustment decreases labor costs and maintains fruit quality in New York ‘concord’ grape production. Hort. Technol. 2009, 19, 247–253. [Google Scholar]
- García García, J.; Martínez-Cutillas, A.; Romero, P. Financial analysis of wine grape production using regulated deficit irrigation and partial-root zone drying strategies. Irrig. Sci. 2012, 30, 179–188. [Google Scholar] [CrossRef]
- Tudisca, S.; Di Trapani, A.M.; Sgroi, F.; Testa, R. The cost advantage of Sicilian wine farms. Am. J. Appl. Sci. 2013, 10, 1529–1536. [Google Scholar] [CrossRef]
- Di Vita, G.; D’Amico, M. Origin designation and profitability for small wine grape growers: Evidence from a comparative study. Econ. Agric. 2013, 60, 7–24. [Google Scholar]
- Marone, E.; Bertocci, M.; Marinelli, N.; Boncinelli, F. Full cost analysis for the creation of managerial benchmarks in the wine sector: A case study in Tuscany. In Proceedings of the 8th International Conference, Academy of Wine Business Research, Geisenheim, Germany, 28–30 June 2014.
- Santiago-Brown, I.; Metcalfe, A.; Jerram, C.; Collins, C. Sustainability assessment in wine-grape growing in the new world: Economic, environmental, and social indicators for agricultural businesses. Sustainability 2015, 7, 8178–8204. [Google Scholar] [CrossRef]
- Zhou, Z.; Jiang, H.; Qin, L. Life cycle sustainability assessment of fuels. Fuel 2007, 86, 256–263. [Google Scholar] [CrossRef]
- Ahmed, S.; Hammond, J.; Ibarrola, R.; Shackley, S.; Haszeldine, S. The potential role of biochar in combating climate change in Scotland: An analysis of feedstocks, life cycle assessment and spatial dimensions. J. Environ. Plan. Manag. 2012, 55, 487–505. [Google Scholar] [CrossRef]
- Castellini, C.; Boggia, A.; Cortina, C.; Dal Bosco, A.; Paolotti, L.; Novelli, E.; Mugnai, C. A multicriteria approach for measuring the sustainability of different poultry production systems. J. Clean. Prod. 2012, 37, 192–201. [Google Scholar] [CrossRef]
- Pastare, L.; Romagnoli, F.; Lauka, D.; Dzene, I.; Kuznecova, T. Sustainable use of macro-algae for biogas production in Latvian conditions: A preliminary study through an integrated MCA and LCA approach. Environ. Clim. Technol. 2014, 13, 44–56. [Google Scholar] [CrossRef]
- Myllyviita, T.; Holma, A.; Antikainen, R.; Lähtinen, K.; Leskinen, P. Assessing environmental impacts of biomass production chains—Application of life cycle assessment (LCA) and multi-criteria decision analysis (MCDA). J. Clean. Prod. 2012, 29–30, 238–245. [Google Scholar] [CrossRef]
- Kralisch, D.; Staffel, C.; Ott, D.; Bensaid, S.; Saracco, G.; Bellantoni, P.; Loeb, P. Process design accompanying life cycle management and risk analysis as a decision support tool for sustainable biodiesel production. Green Chem. 2013, 15, 463–477. [Google Scholar] [CrossRef]
- Miettinen, P.; Hamalainen, R.P. How to benefit from decision analysis in environmental life cycle assessment (LCA). Eur. J. Oper. Res. 1997, 102, 279–294. [Google Scholar] [CrossRef]
- Gaudreault, C.; Samson, R.; Stuart, P. Implications of choices and interpretation in LCA for multi-criteria process design: De-inked pulp capacity and cogeneration at a paper mill case study. J. Clean. Prod. 2009, 17, 1535–1546. [Google Scholar] [CrossRef]
- Milani, A.S.; Eskicioglu, C.; Robles, K.; Bujun, K.; Hosseini-Nasab, H. Multiple criteria decision making with life cycle assessment for material selection of composites. Express Polym. Lett. 2011, 5, 1062–1074. [Google Scholar] [CrossRef]
- Ammar, M.; Zayed, T.; Moselhi, O. Fuzzy-based life-cycle cost model for decision making under subjectivity. J. Constr. Eng. Manag. 2013, 139, 556–563. [Google Scholar] [CrossRef]
- Hermann, B.G.; Kroeze, C.; Jawjit, W. Assessing environmental performance by combining life cycle assessment, multi-criteria analysis and environmental performance indicators. J. Clean. Prod. 2007, 15, 1787–1796. [Google Scholar] [CrossRef]
- Opricovic, S.; Tzeng, G.H. Multicriteria planning of post-earthquake sustainable reconstruction. Comput. Aided Civ. Inf. Eng. 2002, 17, 211–220. [Google Scholar] [CrossRef]
- Opricovic, S.; Tzeng, G.H. Compromise solution by MCDM methods: A comparative analysis of VIKOR and TOPSIS. Eur. J. Oper. Res. 2004, 156, 445–455. [Google Scholar] [CrossRef]
- Mardani, A.; Zavadskas, E.K.; Govindan, K.; Senin, A.A.; Jusoh, A. VIKOR Technique: A systematic review of the state of the art literature on methodologies and applications. Sustainability 2016, 8, 37. [Google Scholar] [CrossRef]
- Opricovic, S.; (Faculty of Civil Engineering, Belgrade, Serbia) Multicriteria Optimization of Civil Engineering Systems. Personal communication, 1998.
- OIV (International Organization of Vine and Wine). Statistical Report on World Vitiviniculture; International Organisation of Vine and Wine, Intergovernmental Organisation: Paris, France, 2013. [Google Scholar]
- Di Vita, G.; Chinnici, G.; D’Amico, M. Clustering attitudes and behaviours of Italian wine consumers. Q. Access Success 2014, 15, 54–61. [Google Scholar]
- ISTAT. 6th Italian Agriculture Census. Available online: http://www.istat.it/it/censimento-agricoltura/agricoltura-2010 (accessed on 8 August 2016).
- MIPAAF. DM 30.11.2011, Disciplinare di Produzione dei Vini a Denominazione di Origine Controllata «Cirò»; Ministero delle Politiche Agricole, Alimentari e Forestali: Rome, Italy, 2011. [Google Scholar]
- ARPACAL. Centro Funzionale Multirischi. Stazioni di Monitoraggio. Available online: http://www.cfd.calabria.it/index.php?option=com_wrapper&view=wrapper&Itemid=27 (accessed on 23 May 2015).
- Aramini, G.; Colloca, C.; Corea, A.M.; Paone, R. La zonazione viticola del Cirò DOC. Inf. Agrario Suppl. Merid. 2003, 3, 8. [Google Scholar]
- Mourad, A.L.; Coltro, L.; Oliveira, P.A.P.L.V.; Kletecke, R.M.; Baddini, J.P.O.A. A Simple Methodology for Elaborating the Life Cycle Inventory of Agricultural Products. Int. J. Life Cycle Assess. 2007, 12, 408–413. [Google Scholar] [CrossRef]
- Girgenti, V.; Peano, C.; Bounous, M.; Baudino, C. A life cycle assessment of non-renewable energy use and greenhouse gas emissions associated with blueberry and raspberry production in northern Italy. Sci. Total Environ. 2013, 458–460, 414–418. [Google Scholar] [CrossRef] [PubMed]
- Khoshnevisan, B.; Rafiee, S.; Mousazadeh, H. Environmental impact assessment of open field and greenhouse strawberry production. Eur. J. Agron. 2013, 50, 29–37. [Google Scholar] [CrossRef]
- Cerutti, A.K.; Beccaro, G.L.; Bruun, S.; Bosco, S.; Donno, D.; Notarnicola, B.; Bounous, G. Life cycle assessment application in the fruit sector: State of the art and recommendations for environmental declarations of fruit products. J. Clean. Prod. 2014, 73, 125–135. [Google Scholar] [CrossRef]
- Nemecek, T.; Kägi, T. Life Cycle Inventories of Swiss and European Agricultural Production Systems; Final Report Ecoinvent V2.0 No. 15a; Agroscope Reckenholz-Taenikon Research Station ART, Swiss Centre of Life Cycle Inventories: Zurich, Switzerland; Dübendorf, Switzerland, 2007. [Google Scholar]
- Brentrup, F.; Küsters, J.; Lammel, J.; Kuhlmann, H. Methods to estimate on-field nitrogen emission from crop production as an input to LCA studies in the agricultural sector. Int. J. Life Cycle Assess. 2000, 5, 349–357. [Google Scholar] [CrossRef]
- Margni, M.; Rossier, D.; Crettaz, P.; Jolliet, O. Life cycle impact assessment of pesticides on human health and ecosystems. Agric. Ecosyst. Environ. 2002, 93, 379–392. [Google Scholar] [CrossRef]
- PRè—Product Ecology Consultants. SimaPro Database Manual—Methods Library; PRé Consultants bv: Amersfoort, The Netherlands, 2010. [Google Scholar]
- Frischknecht, R.; Jungbluth, N.; Althaus, H.-J.; Doka, G.; Heck, T.; Hellweg, S.; Hischier, R.; Nemecek, T.; Rebitzer, G.; Spielmann, M.; et al. Overview and Methodology; Ecoinvent Report No. 1; Swiss Center for Life Cycle Inventories: Dübendorf, Switzerland, 2007. [Google Scholar]
- Cellura, M.; Ardente, F.; Longo, S. From the LCA of food products to the environmental assessment of protected crops districts: A case-study in the south of Italy. J. Environ. Manag. 2012, 93, 194–208. [Google Scholar] [CrossRef] [PubMed]
- Russo, G.; Scarascia Mugnozza, G. LCA methodology applied to various typology of greenhouses. Acta Hortic. 2005, 691, 837–843. [Google Scholar] [CrossRef]
- IEC (The International EPD Cooperation). General Programme Instructions for Environmental Product Declarations; EPD Version 1.0; EPD international AB: Stockholm, Sweden, 2008. [Google Scholar]
- Del Borghi, A.; Gallo, M.; Strazza, C.; Del Borghi, M. An evaluation of environmental sustainability in the food industry through Life Cycle Assessment: The case study of tomato products supply chain. J. Clean. Prod. 2014, 78, 121–130. [Google Scholar] [CrossRef]
- Fantin, V.; Buttol, P.; Pergreffi, R.; Masoni, P. Life cycle assessment of Italian high quality milk production. A comparison with an EPD study. J. Clean. Prod. 2012, 28, 150–159. [Google Scholar] [CrossRef]
- Goedkoop, M.; Heijungs, R.; Huijbregts, M.A.J.; De Schryver, A.; Struijs, J.; Van Zelm, R. ReCiPe 2008, A Life Cycle Impact Assessment Method which Comprises Harmonised Category Indicators at the Midpoint and the Endpoint Level, 1st ed.; Version 1.08; Report I: Characterisation, RIVM Report; Ministry of Housing, Spatial, Planning and the Environment (VROM): Den Haag, The Netherlands, 2013. [Google Scholar]
- Sonnemann, G.W.; Schuhmacher, M.; Castells, F. Uncertainty assessment by a Monte Carlo simulation in a life cycle inventory of electricity produced by a waste incinerator. J. Clean. Prod. 2003, 11, 279–292. [Google Scholar] [CrossRef]
- Niero, M.; Ingvordsen, C.H.; Jørgensen, R.B.; Hauschild, M.Z. How to manage uncertainty in future Life Cycle Assessment (LCA) scenarios addressing the effect of climate change in crop production. J. Clean. Prod. 2015, 107, 693–706. [Google Scholar] [CrossRef]
- Niero, M.; Pizzol, M.; Bruun, H.G.; Thomsen, M. Comparative life cycle assessment of wastewater treatment in Denmark including sensitivity and uncertainty analysis. J. Clean. Prod. 2014, 68, 25–35. [Google Scholar] [CrossRef]
- Notarnicola, B.; Settanni, E.; Tassielli, G. Approcci all’integrazione dei costi in LCA: Life cycle costing, analisi input-output. In Proceedings of the Convegno Scientifico Della Rete Italiana LCA, Palermo, Italy, 11–12 June 2009; Cappellaro, F., Scalbi, S., Eds.; Enea: Rome, Italy, 2009; pp. 17–25. [Google Scholar]
- Rebitzer, G.; Seuring, S. Methodology and application of life cycle costing. Int. J. Life Cycle Assess. 2003, 8, 110–111. [Google Scholar] [CrossRef]
- Strano, A.; Stillitano, T.; De Luca, A.I.; Falcone, G.; Gulisano, G. Profitability analysis of small-scale beekeeping firms by using life cycle costing (LCC) methodology. Am. J. Agric. Biol. Sci. 2015, 10, 116–127. [Google Scholar] [CrossRef]
- Zeleny, M. The theory of the displaced ideal. In Lecture Notes in Economics and Mathematical Systems. Multiple Criteria Decision Making Kyoto 1975; Zeleny, M., Ed.; Springer-Verlag: Berlin, Germany; Heidelberg, Germany, 1976; pp. 153–206. [Google Scholar]
- Mattsson, B. Environmental Life Cycle Assessment (LCA) of Agricultural Food Product; Swedish Institute for Food and Biotechnology SIK: Gothenburg, Sweden, 1999. [Google Scholar]
- Nicoletti, G.M.; Notarnicola, B.; Tassielli, G. Comparison of conventional and organic wine. In Proceedings of the International Conference LCA in Foods, Goteborg, Sweden, 26–27 April 2001.
- Point, E.; Tyedmers, P.; Naugler, C. Life cycle environmental impacts of wine production and consumption in Nova Scotia, Canada. J. Clean. Prod. 2012, 27, 11–20. [Google Scholar] [CrossRef]
- Vázquez-Rowe, I.; Villanueva-Rey, P.; Moreira, M.T.; Feijoo, G. Environmental analysis of Ribeiro wine from a timeline perspective: Harvest year matters when reporting environmental impacts. J. Environ. Manag. 2012, 98, 73–83. [Google Scholar] [CrossRef] [PubMed]
- Komárek, M.; Cadkováa, E.; Chrastnýc, V.; Bordasb, F.; Bollinger, J.C. Contamination of vineyard soils with fungicides: A review of environmental and toxicological aspects. Environ. Int. 2010, 36, 138–151. [Google Scholar] [CrossRef] [PubMed]
- Gambella, F.; Sartori, L. Comparison of mechanical and manual cane pruning operations on three varieties of grape (Cabernet Sauvignon, Merlot, and Prosecco) in Italy. Trans. ASABE 2014, 57, 701–707. [Google Scholar]











| Technical Parameters and Agricultural Operations | OE | CE | OG | CG |
|---|---|---|---|---|
| Vineyard lifecycle | 25 years | 25 years | 25 years | 25 years |
| Planting spacing | 250 cm × 80 cm | 250 cm × 80 cm | 250 cm × 80 cm | 250 cm × 80 cm |
| Planting density | 5000 plants ha−1 | 5000 plants ha−1 | 5000 plants ha−1 | 5000 plants ha−1 |
| Fertilization | Organic fertilizer from Planting to Training Stage | Chemical fertilizer at Planting Stage and Organic fertilizer during Training Stage | Organic fertilizer from Planting to Training Stage | Chemical fertilizer at Planting Stage and Organic fertilizer during Training Stage |
| Tillage | Deep rotary tillage from 1st to 25th year | Deep rotary tillage from 1st to 25th year | Deep rotary tillage from 1st to 25th year | Deep rotary tillage from 1st to 25th year |
| Pest Control | Copper compounds, sulphur and biological control from 1st to 25th year | Chemical from 1st to 25th year | Copper compounds, sulphur and biological control from 1st to 25th year | Chemical from 1st to 25th year |
| Pruning | Manual from 1st to 25th year | Manual from 1st to 25th year | Manual from 1st to 25th year | Manual from 1st to 25th year |
| Irrigation | Rescue irrigation by tractor and tank | Rescue irrigation by tractor and tank | Rescue irrigation by tractor and tank | Rescue irrigation by tractor and tank |
| Harvesting | Manual from 4th to 25th year | Manual from 4th to 25th year | Manual from 4th to 25th year | Manual from 4th to 25th year |
| Total grape-vine production | 197,500 kg·ha−1 | 240,000 kg·ha−1 | 188,500 kg·ha−1 | 218,000 kg·ha−1 |
| Life Cycle Stage | Planting | Training System | ||||||||||||||||||||||
| Operation | Machinery consumption | Fertilization | Supporting structures and planting | Pest control | Irrigation | Machinery consumption | Fertilization | Pest control | Irrigation | Pruning Wastes | ||||||||||||||
| Input and output | Gasoil | Manure N 0.0031% | P2O5 | K2O | Iron | Wood | Concrete | Water | Glyphosate 71.7% | Water | Gasoil | Manure N 0.0031% | Water | Glyphosate | Copper Oxycloride 16% | Sulphur 40% | Bacillus thuringiensis subsp. Kurstaki | Azoxystrobin 22.9% | Metalaxil-M 2% + Copper Oxicloride 14.19% | Emamectin Benzoate 0.95% | Water | Wood | ||
| Unit × kg−1 | Unit × kg−1 | |||||||||||||||||||||||
| Type of data | Farm | Cultivated Area (ha) | mL | kg | g | g | g | dm3 | dm3 | dm3 | mL | dm3 | mL | g | dm3 | ml | g | g | g | mL | mL | mL | dm3 | dm3 |
| Average data | OE | 15.74 | 1.24 | 0.27 | - | - | 3.21 | 0.01 | 0.02 | - | - | 0.91 | 0.41 | 2.67 | 0.04 | - | 0.10 | 0.10 | 0.07 | - | - | - | 0.91 | 0.01 |
| OG | 16.38 | 1.26 | 0.27 | - | - | 1.24 | 0.03 | - | - | - | 0.74 | 0.41 | 2.66 | 0.05 | - | 0.10 | 0.10 | 0.07 | - | - | - | 0.74 | 0.01 | |
| CE | 17.14 | 1.03 | 0.21 | 2.11 | 0.80 | 2.62 | 0.00 | 0.01 | 0.02 | 0.02 | 0.65 | 0.32 | 2.06 | 0.03 | 0.02 | - | - | - | 0.01 | 0.06 | 0.02 | 0.65 | 0.00 | |
| CG | 15.96 | 1.17 | 0.24 | 2.40 | 0.97 | 1.09 | 0.02 | - | 0.02 | 0.02 | 0.74 | 0.36 | 2.40 | 0.04 | 0.02 | - | - | - | 0.01 | 0.07 | 0.02 | 0.74 | 0.00 | |
| Min | OE | 13.00 | 1.14 | 0.25 | 0.00 | 0.00 | 3.15 | 0.01 | 0.02 | 0.00 | 0.00 | 0.00 | 0.31 | 2.50 | 0.04 | 0.00 | 0.09 | 0.09 | 0.07 | 0.00 | 0.00 | 0.00 | 0.00 | 0.00 |
| OG | 15.00 | 1.10 | 0.21 | 0.00 | 0.00 | 1.22 | 0.03 | 0.00 | 0.00 | 0.00 | 0.00 | 0.35 | 2.08 | 0.03 | 0.00 | 0.08 | 0.09 | 0.07 | 0.00 | 0.00 | 0.00 | 0.00 | 0.00 | |
| CE | 15.00 | 0.87 | 0.18 | 1.82 | 0.61 | 2.51 | 0.00 | 0.01 | 0.01 | 0.01 | 0.49 | 0.28 | 1.82 | 0.03 | 0.01 | 0.00 | 0.00 | 0.00 | 0.00 | 0.04 | 0.02 | 0.49 | 0.00 | |
| CG | 14.50 | 1.09 | 0.23 | 2.27 | 0.69 | 1.04 | 0.02 | 0.00 | 0.01 | 0.02 | 0.45 | 0.31 | 2.27 | 0.03 | 0.02 | 0.00 | 0.00 | 0.00 | 0.01 | 0.05 | 0.02 | 0.45 | 0.00 | |
| Max | OE | 18.20 | 1.31 | 0.28 | 0.00 | 0.00 | 3.26 | 0.01 | 0.02 | 0.00 | 0.00 | 1.79 | 0.48 | 2.82 | 0.05 | 0.00 | 0.10 | 0.10 | 0.07 | 0.00 | 0.00 | 0.00 | 1.79 | 0.01 |
| OG | 19.40 | 1.35 | 0.30 | 0.00 | 0.00 | 1.26 | 0.03 | 0.00 | 0.00 | 0.00 | 1.08 | 0.46 | 2.97 | 0.05 | 0.00 | 0.12 | 0.11 | 0.08 | 0.00 | 0.00 | 0.00 | 1.08 | 0.01 | |
| CE | 20.00 | 1.26 | 0.25 | 2.76 | 1.15 | 2.86 | 0.00 | 0.01 | 0.02 | 0.03 | 1.01 | 0.43 | 2.53 | 0.04 | 0.03 | 0.00 | 0.00 | 0.00 | 0.01 | 0.08 | 0.02 | 1.01 | 0.01 | |
| CG | 18.00 | 1.25 | 0.26 | 2.57 | 1.17 | 1.12 | 0.02 | 0.00 | 0.02 | 0.03 | 1.40 | 0.45 | 2.57 | 0.05 | 0.03 | 0.00 | 0.00 | 0.00 | 0.01 | 0.09 | 0.02 | 1.40 | 0.01 | |
| Life Cycle Stage | Production | Disposal | ||||||||||||||||||||||
| Operation | Machinery consumption | Pest control | Irrigation | Pruning Wastes | Machinery consumption | Supporting structures removal | ||||||||||||||||||
| Input and output | Gasoil | Water | Glyphosate | Copper Oxycloride 16% | Sulphur | Bacillus thuringiensis subsp. Kurstaki | Azoxystrobin 22.9% | Metalaxil-M 2% + Copper Oxicloride 14.19% | Emamectin Benzoate 0.95% | Water | Wood | Gasoil | Metal structure | Wood structure | Concrete structure | |||||||||
| Unit × kg−1 | Unit × kg−1 | |||||||||||||||||||||||
| Type of data | Farm | Cultivated Area (ha) | mL | dm3 | mL | g | g | g | mL | mL | mL | dm3 | dm3 | mL | g | dm3 | dm3 | |||||||
| Average data | OE | 15.74 | 0.51 | 0.07 | - | 0.16 | 0.16 | 0.12 | - | - | - | 0.91 | 0.01 | 0.10 | 3.21 | 0.01 | 0.02 | |||||||
| OG | 16.38 | 0.52 | 0.07 | - | 0.16 | 0.17 | 0.12 | - | - | - | 0.74 | 0.01 | 0.07 | 1.24 | 0.03 | - | ||||||||
| CE | 17.14 | 0.36 | 0.03 | 0.02 | - | - | - | 0.01 | 0.06 | 0.02 | 0.65 | 0.00 | 0.09 | 2.62 | 0.00 | 0.01 | ||||||||
| CG | 15.96 | 0.39 | 0.04 | 0.02 | - | - | - | 0.01 | 0.10 | 0.03 | 0.74 | 0.00 | 0.06 | 1.09 | 0.02 | - | ||||||||
| Min | OE | 13.00 | 0.43 | 0.05 | 0.00 | 0.15 | 0.15 | 0.10 | 0.00 | 0.00 | 0.00 | 0.00 | 0.00 | 0.10 | 3.15 | 0.01 | 0.02 | |||||||
| OG | 15.00 | 0.47 | 0.06 | 0.00 | 0.13 | 0.16 | 0.12 | 0.00 | 0.00 | 0.00 | 0.00 | 0.00 | 0.06 | 1.22 | 0.03 | 0.00 | ||||||||
| CE | 15.00 | 0.30 | 0.03 | 0.01 | 0.00 | 0.00 | 0.00 | 0.00 | 0.04 | 0.02 | 0.49 | 0.00 | 0.08 | 2.51 | 0.00 | 0.01 | ||||||||
| CG | 14.50 | 0.34 | 0.03 | 0.02 | 0.00 | 0.00 | 0.00 | 0.01 | 0.07 | 0.02 | 0.45 | 0.00 | 0.06 | 1.04 | 0.02 | 0.00 | ||||||||
| Max | OE | 18.20 | 0.57 | 0.08 | 0.00 | 0.17 | 0.17 | 0.13 | 0.00 | 0.00 | 0.00 | 1.79 | 0.01 | 0.11 | 3.26 | 0.01 | 0.02 | |||||||
| OG | 19.40 | 0.57 | 0.08 | 0.00 | 0.20 | 0.18 | 0.13 | 0.00 | 0.00 | 0.00 | 1.08 | 0.01 | 0.08 | 1.26 | 0.03 | 0.00 | ||||||||
| CE | 20.00 | 0.45 | 0.04 | 0.03 | 0.00 | 0.00 | 0.00 | 0.01 | 0.08 | 0.02 | 1.01 | 0.01 | 0.09 | 2.86 | 0.00 | 0.01 | ||||||||
| CG | 18.00 | 0.47 | 0.05 | 0.03 | 0.00 | 0.00 | 0.00 | 0.02 | 0.12 | 0.04 | 1.40 | 0.01 | 0.06 | 1.12 | 0.02 | 0.00 | ||||||||
| Agricoltural Operation | Input | Unit | Planting STAGE | Training System Stage | Production Stage | Disposal Stage | ||||||||||||
|---|---|---|---|---|---|---|---|---|---|---|---|---|---|---|---|---|---|---|
| OE | CE | OG | CG | OE | CE | OG | CG | OE | CE | OG | CG | OE | CE | OG | CG | |||
| Vineyard Design | Work | € kg−1 | 2.8 × 10−3 | 2.3 × 10−3 | 2.9 × 10−3 | 2.5 × 10−3 | - | - | - | - | - | - | - | - | - | - | - | - |
| Tillage | Work | € kg−1 | 2.7 × 10−4 | 2.2 × 10−4 | 2.8 × 10−4 | 2.5 × 10−4 | 5.4 × 10−4 | 4.5 × 10−4 | 5.7 × 10−4 | 4.9 × 10−4 | 5.4 × 10−4 | 4.5 × 10−4 | 5.7 × 10−4 | 4.9 × 10−4 | - | - | - | - |
| Gasoil | € kg−1 | 1.2 × 10−4 | 1.0 × 10−4 | 1.3 × 10−4 | 1.1 × 10−4 | 1.2 × 10−4 | 1.0 × 10−4 | 1.3 × 10−4 | 1.1 × 10−4 | 1.2 × 10−4 | 1.0 × 10−4 | 1.3 × 10−4 | 1.1 × 10−4 | - | - | - | - | |
| Outsourced | € kg−1 | 2.3 × 10−3 | 1.9 × 10−3 | 2.4 × 10−3 | 2.1 × 10−3 | - | - | - | - | - | - | - | - | - | - | - | - | |
| Fertilization | Work | € kg−1 | 1.4 × 10−4 | 1.1 × 10−4 | 1.4 × 10−4 | 1.2 × 10−4 | 1.4 × 10−4 | 1.1 × 10−4 | 1.4 × 10−4 | 1.2 × 10−4 | - | - | - | - | - | - | - | - |
| Gasoil | € kg−1 | 6.1 × 10−5 | 5.0 × 10−5 | 6.4 × 10−5 | 5.5 × 10−5 | 6.1 × 10−5 | 5.0 × 10−5 | 6.4 × 10−5 | 5.5 × 10−5 | - | - | - | - | - | - | - | - | |
| Fertilizer | € kg−1 | 1.5 × 10−3 | 2.2 × 10−3 | 1.6 × 10−3 | 2.5 × 10−3 | 2.5 × 10−5 | 2.1 × 10−5 | 2.7 × 10−5 | 2.3 × 10−5 | - | - | - | - | - | - | - | - | |
| Supporting structures and planting | Work | € kg−1 | 1.0 × 10−4 | 8.3 × 10−5 | 1.1 × 10−3 | 9.5 × 10−4 | - | - | - | - | - | - | - | - | - | - | - | - |
| Gasoil | € kg−1 | 1.3 × 10−3 | 1.1 × 10−3 | - | - | - | - | - | - | - | - | - | - | - | - | - | - | |
| Grapevine | € kg−1 | 7.3 × 10−2 | 6.0 × 10−2 | 7.7 × 10−2 | 6.7 × 10−2 | - | - | - | - | - | - | - | - | - | - | - | - | |
| Iron | € kg−1 | 1.0 × 10−2 | 8.5 × 10−3 | 5.8 × 10−3 | 5.0 × 10−3 | - | - | - | - | - | - | - | - | - | - | - | - | |
| Wood | € kg−1 | 2.5 × 10−3 | 2.1 × 10−3 | 5.2 × 10−3 | 4.5 × 10−3 | - | - | - | - | - | - | - | - | - | - | - | - | |
| Concrete | € kg−1 | 7.5 × 10−3 | 6.2 × 10−3 | - | - | - | - | - | - | - | - | - | - | - | - | - | - | |
| Pest control | Work | € kg−1 | 1.4 × 10−4 | 1.1 × 10−4 | 1.4 × 10−4 | 1.2 × 10−4 | 8.5 × 10−4 | 7.0 × 10−4 | 8.9 × 10−4 | 7.7 × 10−4 | 1.1 × 10−3 | 7.0 × 10−4 | 1.1 × 10−3 | 8.6 × 10−4 | - | - | - | - |
| Gasoil | € kg−1 | 6.1 × 10−5 | 5.0 × 10−5 | 6.4 × 10−5 | 5.5 × 10−5 | 1.8 × 10−4 | 1.5 × 10−4 | 1.9 × 10−4 | 1.7 × 10−4 | 3.0 × 10−4 | 1.5 × 10−4 | 3.2 × 10−4 | 2.2 × 10−4 | - | - | - | - | |
| Pesticide | € kg−1 | 9.1 × 10−4 | 7.6 × 10−4 | 9.6 × 10−4 | 8.4 × 10−4 | 1.3 × 10−3 | 1.7 × 10−3 | 1.3 × 10−3 | 1.9 × 10−3 | 1.6 × 10−3 | 1.7 × 10−3 | 1.7 × 10−3 | 2.4 × 10−3 | - | - | - | - | |
| Irrigation | Work | € kg−1 | 2.3 × 10−4 | 1.9 × 10−4 | 2.4 × 10−4 | 2.1 × 10−4 | 2.3 × 10−4 | 1.9 × 10−4 | 2.4 × 10−4 | 2.1 × 10−4 | 2.3 × 10−4 | 1.9 × 10−4 | 2.4 × 10−4 | 2.1 × 10−4 | - | - | - | - |
| Diesel | € kg−1 | 5.3 × 10−5 | 4.3 × 10−5 | 5.5 × 10−5 | 4.8 × 10−5 | 5.3 × 10−5 | 4.3 × 10−5 | 5.5 × 10−5 | 4.8 × 10−5 | 5.3 × 10−5 | 4.3 × 10−5 | 5.5 × 10−5 | 4.8 × 10−5 | - | - | - | - | |
| Pruning | Work | € kg−1 | - | - | - | - | 1.6 × 10−3 | 1.3 × 10−3 | 2.8 × 10−3 | 2.4 × 10−3 | 2.0 × 10−3 | 1.6 × 10−3 | 3.1 × 10−3 | 2.7 × 10−3 | - | - | - | - |
| Pruning wastes removal | Work | € kg−1 | - | - | - | - | 6.5 × 10−5 | 5.4 × 10−5 | 6.8 × 10−5 | 5.9 × 10−5 | 6.5 × 10−5 | 5.4 × 10−5 | 6.8 × 10−5 | 5.9 × 10−5 | - | - | - | - |
| Gasoil | € kg−1 | - | - | - | - | 2.0 × 10−5 | 1.7 × 10−5 | 2.1 × 10−5 | 1.8 × 10−5 | 2.0 × 10−5 | 1.7 × 10−5 | 2.1 × 10−5 | 1.8 × 10−5 | - | - | - | - | |
| Harvesting | Work | € kg−1 | - | - | - | - | - | - | - | - | 2.6 × 10−3 | 2.1 × 10−3 | 3.0 × 10−3 | 2.6 × 10−3 | - | - | - | - |
| Transporting grapes | Gasoil | € kg−1 | - | - | - | - | - | - | - | - | 4.9 × 10−5 | 4.0 × 10−5 | 5.1 × 10−5 | 4.4 × 10−5 | - | - | - | - |
| Other Costs | Interest, Tax, Labour etc. | € kg−1 | - | - | - | - | 6.4 × 10−3 | 5.3 × 10−3 | 6.7 × 10−3 | 5.8 × 10−3 | 6.4 × 10−3 | 5.3 × 10−3 | 6.8 × 10−3 | 5.9 × 10−3 | - | - | - | - |
| Supporting structures removal | Gasoil | € kg−1 | - | - | - | - | - | - | - | - | - | - | - | - | 6.3 × 10−5 | 5.2 × 10−5 | 6.6 × 10−5 | 5.7 × 10−5 |
| Vines extirpation | Work | € kg−1 | - | - | - | - | - | - | - | - | - | - | - | - | 2.3 × 10−4 | 1.9 × 10−4 | 2.4 × 10−4 | 2.1 × 10−4 |
| Gasoline | € kg−1 | - | - | - | - | - | - | - | - | - | - | - | - | 8.1 × 10−5 | 6.7 × 10−5 | 8.5 × 10−5 | 7.3 × 10−5 | |
| Disposal Useful | Metal structure | € kg−1 | - | - | - | - | - | - | - | - | - | - | - | - | 3.2 × 10−3 | 2.7 × 10−3 | 2.3 × 10−4 | 2.0 × 10−4 |
| Wood structure | € kg−1 | - | - | - | - | - | - | - | - | - | - | - | - | 5.1 × 10−4 | 4.2 × 10−4 | 5.3 × 10−4 | 4.6 × 10−4 | |
| Code | Criterion | Formula | Unit | Objective |
|---|---|---|---|---|
| NPV | Net Present Value | € kg−1 | Maximizing | |
| IIC | Initial Investment Cost | % | Minimizing | |
| LCU | Life Cost Unit | € kg−1 | Minimizing | |
| L | Labour per Production Unit | H kg−1 | Minimizing | |
| LTRU | Life Total Return Unit | € kg−1 | Maximizing | |
| LNRU | Life Net Return Unit | € kg−1 | Maximizing |
| Impact Categories | Unit of Measurement | OE | CE | OG | CG |
|---|---|---|---|---|---|
| GWP | kg CO2 eq | 11.21% | 8.73% | 11.43% | 8.67% |
| ODP | kg CFC-11 eq | 31.32% | 26.35% | 30.36% | 27.48% |
| POCP | kg C2H4 eq | 10.87% | 9.07% | 10.87% | 9.35% |
| AP | kg SO2 eq | 11.23% | 8.77% | 11.69% | 8.42% |
| EP | kg PO4 eq | 61.40% | 8.32% | 19.09% | 8.78% |
| NRF | MJ eq | 13.04% | 9.37% | 13.17% | 8.99% |
| Scenarios | HTP | |||
| Average | 2.5% | 97.5% | CV | |
| OE | 1.46 × 10−1 | −1.05 | 1.36 | 418.88% |
| CE | 6.04 × 10−2 | −1.02 | 1.13 | 880.38% |
| OG | 1.21 × 10−1 | −4.25 | 5.25 | 1900.56% |
| CG | 5.53 × 10−3 | −4.15 | 4.59 | 38,654.60% |
| TETP | ||||
| Average | 2.5% | 97.5% | CV | |
| OE | 2.85 × 10−5 | −6.49 × 10−5 | 1.15 × 10−4 | 149.23% |
| CE | 1.25 × 10−3 | 7.94 × 10−4 | 1.66 × 10−3 | 18.14% |
| OG | 3.13 × 10−5 | −1.01 × 10−4 | 1.81 × 10−4 | 217.91% |
| CG | 1.77 × 10−3 | 1.15 × 10−3 | 2.35 × 10−3 | 17.85% |
| FAETP | ||||
| Average | 2.5% | 97.5% | CV | |
| OE | 2.32 × 10−3 | −2.45 × 10−3 | 7.63 × 10−3 | 106.15% |
| CE | 2.10 × 10−3 | −1.78 × 10−3 | 6.05 × 10−3 | 95.11% |
| OG | 2.23 × 10−3 | −1.38 × 10−2 | 2.13 × 10−2 | 384.39% |
| CG | 2.47 × 10−3 | −1.29 × 10−2 | 1.94 × 10−2 | 321.69% |
| MAETP | ||||
| Average | 2.5% | 97.5% | CV | |
| OE | 2.40 × 10−3 | −1.51 × 10−3 | 6.80 × 10−3 | 83.95% |
| CE | 1.27 × 10−3 | −1.93 × 10−3 | 4.50 × 10−3 | 127.64% |
| OG | 2.34 × 10−3 | −1.06 × 10−2 | 1.78 × 10−2 | 297.21% |
| CG | 1.34 × 10−3 | −1.10 × 10−2 | 1.50 × 10−2 | 479.34% |
© 2016 by the authors; licensee MDPI, Basel, Switzerland. This article is an open access article distributed under the terms and conditions of the Creative Commons Attribution (CC-BY) license (http://creativecommons.org/licenses/by/4.0/).
Share and Cite
Falcone, G.; De Luca, A.I.; Stillitano, T.; Strano, A.; Romeo, G.; Gulisano, G. Assessment of Environmental and Economic Impacts of Vine-Growing Combining Life Cycle Assessment, Life Cycle Costing and Multicriterial Analysis. Sustainability 2016, 8, 793. https://doi.org/10.3390/su8080793
Falcone G, De Luca AI, Stillitano T, Strano A, Romeo G, Gulisano G. Assessment of Environmental and Economic Impacts of Vine-Growing Combining Life Cycle Assessment, Life Cycle Costing and Multicriterial Analysis. Sustainability. 2016; 8(8):793. https://doi.org/10.3390/su8080793
Chicago/Turabian StyleFalcone, Giacomo, Anna Irene De Luca, Teodora Stillitano, Alfio Strano, Giuseppa Romeo, and Giovanni Gulisano. 2016. "Assessment of Environmental and Economic Impacts of Vine-Growing Combining Life Cycle Assessment, Life Cycle Costing and Multicriterial Analysis" Sustainability 8, no. 8: 793. https://doi.org/10.3390/su8080793
APA StyleFalcone, G., De Luca, A. I., Stillitano, T., Strano, A., Romeo, G., & Gulisano, G. (2016). Assessment of Environmental and Economic Impacts of Vine-Growing Combining Life Cycle Assessment, Life Cycle Costing and Multicriterial Analysis. Sustainability, 8(8), 793. https://doi.org/10.3390/su8080793

