Wetland Transitions and Protection under Rapid Urban Expansion: A Case Study of Pearl River Estuary, China
Abstract
:1. Introduction
2. Materials and Methods
2.1. Study Area
2.2. Data Sources
2.3. Data Processing
2.3.1. Satellite Images Pre-Processing
2.3.2. Classification of Satellite Images
2.3.3. Monitoring Indices of Wetland Transition and Urban Expansion
3. Results
3.1. Patterns of Wetland Transitions
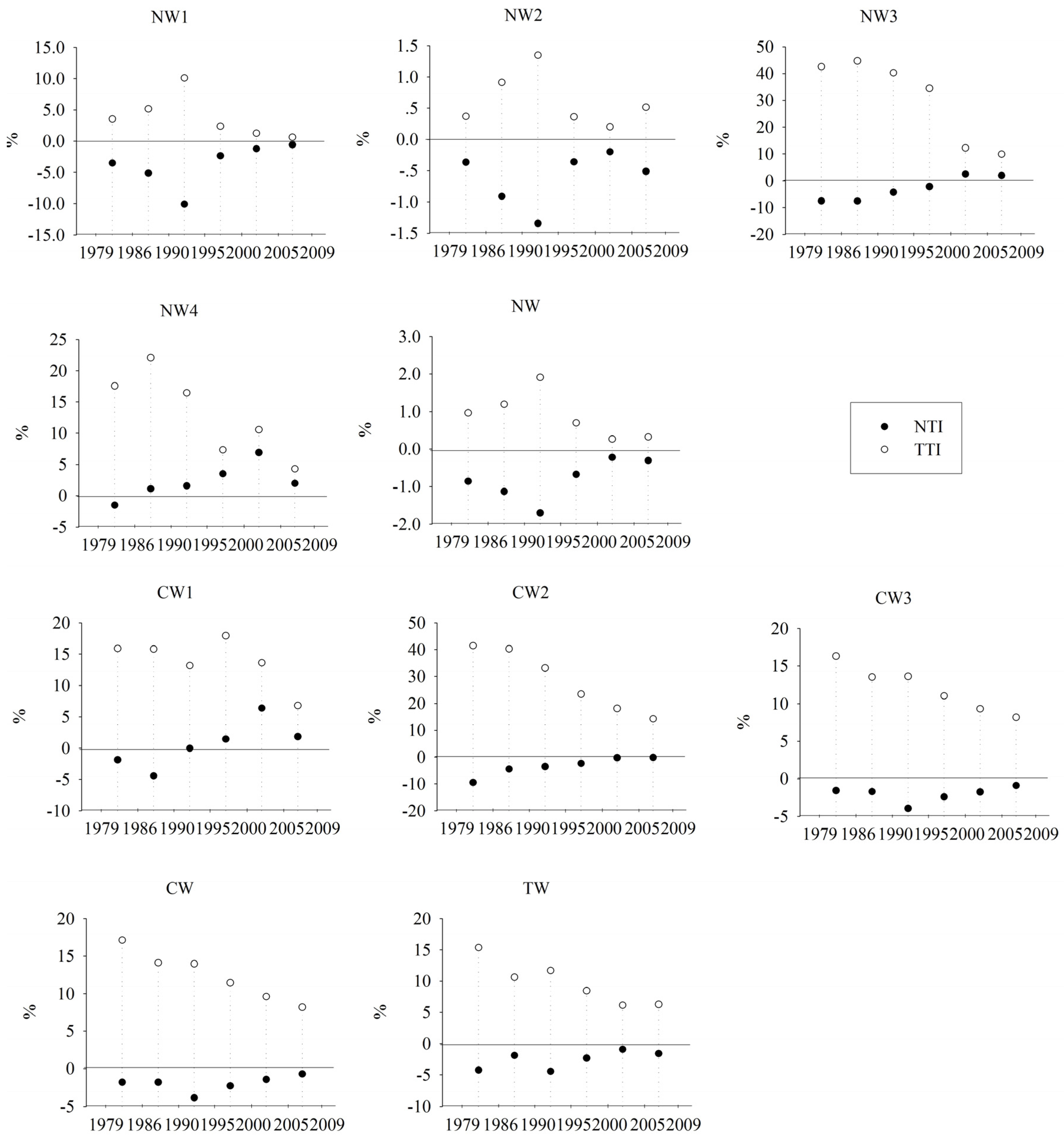
3.2. Amounts of Wetland Transitions (NTI and TTI)
3.3. Divided Zones to Reduce Wetland Transitions
4. Discussion
4.1. Characteristics of Wetland Transitions under Rapid Urban Expansion
4.2. Implications for Wetland Management
5. Conclusions
Acknowledgments
Author Contributions
Conflicts of Interest
References
- Robert, P.B.; Denice, H.W.; Charles, A.C. Are we purveyors of wetland homogeneity? A model of degradation and restoration to improve wetland mitigation performance. Ecol. Eng. 2005, 24, 331–340. [Google Scholar]
- Vela, A.; Pasqualini, V.; Leoni, V.; Djelouli, A.; Langar, H.; Pergent, G.; Pergent-Martini, C.; Ferrat, L.; Ridha, M.; Djabou, H. Use of SPOT 5 and IKONOS imagery for mapping biocenoses in a Tunisian Coastal Lagoon (Mediterranean Sea). Estuar. Coast Shelf Sci. 2008, 79, 591–598. [Google Scholar] [CrossRef]
- Marieke, A.E.; Reinold, P.; Hendrik, J.V.; Julie, D.P. Remotely sensed seasonality in the spatial distribution of sea-surface suspended particulate matter in the southern North Sea. Estuar. Coast Shelf Sci. 2008, 80, 103–113. [Google Scholar]
- Li, Y.; Zhu, X.; Sun, X.; Wang, F. Landscape effects of environmental impact on bay-area wetlands under rapid urban expansion and development policy: A case study of Lianyungang, China. Landsc. Urban Plan. 2010, 94, 218–227. [Google Scholar] [CrossRef]
- Santiago, S.; Christine, E.; Coralie, M.; Monica, R.-F. Network analysis to assess landscape connectivity trends: Application to European Forests (1990–2000). Ecol. Indic. 2011, 11, 407–416. [Google Scholar]
- Gabriella, B.; Santiago, S.; Janos, P.; Ferenc, J. Contribution of habitat patches to network connectivity: Redundancy and uniqueness of topological indices. Ecol. Indic. 2011, 11, 1301–1310. [Google Scholar]
- Zhang, Y.S.; Zhao, L.; Liu, J.Y.; Liu, Y.L.; Li, C.S. The impact of land cover change on ecosystem service values in urban agglomerations along the coast of the Bohai Rim, China. Sustain. Basel 2015, 7, 10365–10387. [Google Scholar] [CrossRef]
- Wang, W.; Pilgrim, M.; Liu, J.N. The evolution of river-lake and urban compound systems: A case study in Wuhan, China. Sustain. Basel 2016, 8, 15. [Google Scholar] [CrossRef]
- Biondini, M.; Kandus, P. Transition matrix analysis of land-cover change in the accretion area of the lower delta of the Parana River (Argentina) reveals two succession pathways. Wetlands 2006, 26, 981–991. [Google Scholar] [CrossRef]
- Ivan, S.; Sonja, L.; Mladen, J.; Esad, P. Mechanism of land-sea interactions-the distribution of metals and sedimentary organic matter in sediments of a river dominated Mediterranean Karstic Estuary. Estuar. Coast Shelf Sci. 2008, 80, 12–20. [Google Scholar]
- Xue, B.; Yan, C.L.; Lu, H.L.; Bai, Y. Mangrove-derived organic carbon in sediment from Zhangjiang Estuary (China) Mangrove Wetlands. J. Coast. Res. 2009, 25, 949–956. [Google Scholar] [CrossRef]
- Liu, H.; Zhang, S.; Li, Z.; Lu, X.; Yang, Q. Impacts on wetlands of large-scale land-use changes by agricultural development: The small Sanjiang plain, China. Ambio 2004, 33, 306–310. [Google Scholar] [CrossRef] [PubMed]
- Lee, S.Y.; Dunn, R.J.K.; Young, R.A.; Connolly, R.M.; Dale, P.E.R.; Dehayr, R.; Lemckert, C.J.; McKinnon, S.; Powell, B.; Teasdale, P.R.; et al. Impact of urbanization on coastal wetland structure and function. Austral Ecol. 2006, 31, 149–163. [Google Scholar] [CrossRef]
- Antos, M.J.; Ehmke, G.C.; Tzaros, C.L.; Weston, M.A. Unauthorized human use of an urban coastal wetland sanctuary: Current and future patterns. Landsc. Urban Plan. 2007, 80, 173–183. [Google Scholar] [CrossRef]
- Grossinger, R. Documenting local landscape change: The San Francisco Bay area project. In The Historical Ecology Handbook: A Restorationist’s Guide to Reference Ecosystems; Egan, D., Howell, E., Eds.; Island Press: Washington, DC, USA, 2001; pp. 34–65. [Google Scholar]
- Duan, L.J.; Li, S.Y.; Liu, Y.; Moreau, J.; Christensen, V. Modeling changes in the coastal ecosystem of the Pearl River Estuary from 1981 to 1998. Ecol. Model 2009, 220, 2802–2818. [Google Scholar] [CrossRef]
- Yu, G.M.; Zeng, Q.; Yang, S.; Hu, L.M.; Lin, X.W.; Che, Y.; Zheng, Y.G. On the intensity and type transition of land use at the basin scale using RS/GIS: A case study of the Hanjiang River Basin. Environ. Monit. Assess. 2010, 160, 169–179. [Google Scholar] [CrossRef] [PubMed]
- Xie, Z.L.; Xu, X.G.; Yan, L. Analyzing qualitative and quantitative changes in coastal wetland associated to the effects of natural and anthropogenic factors in a part of Tianjin, China. Estuar. Coast Shelf Sci. 2010, 86, 379–386. [Google Scholar] [CrossRef]
- Spathelf, P.; Durlo, M.A. Transition matrix for modeling the dynamics of a subtropical seminatural forest in southern Brazil. For. Ecol. Manag. 2001, 151, 139–149. [Google Scholar] [CrossRef]
- Takada, T.; Miyamoto, A.; Hasegawa, S.F. Derivation of a yearly transition probability matrix for land-use dynamics and its applications. Landsc. Ecol. 2010, 2, 561–572. [Google Scholar] [CrossRef]
- Liu, J.Y.; Zhan, J.Y.; Deng, X.Z. Spatio-temporal patterns and driving forces of urban land expansion in china during the economic reform era. Ambio 2005, 34, 450–455. [Google Scholar] [CrossRef] [PubMed]
- Ichikawa, K.; Okubo, N.; Okubo, S.; Takeuchi, K. Transition of the satoyama landscape in the urban fringe of the Tokyo metropolitan area from 1880 to 2001. Landsc. Urban Plan. 2006, 78, 398–410. [Google Scholar] [CrossRef]
- Zha, Y.; Liu, Y.S.; Deng, X.Z. A landscape approach to quantifying land cover changes in Yulin, Northwest Chin. Environ. Monit. Assess. 2010, 86, 379–386. [Google Scholar]
- Bendor, T. A dynamic analysis of the wetland mitigation process and its effects on no net loss policy. Landsc. Urban Plan. 2009, 89, 17–27. [Google Scholar] [CrossRef]
- Zhang, W.; Yan, Y.; Zheng, J.; Li, L.; Dong, X.; Cai, H. Temporal and spatial variability of annual extreme water level in the Pearl River Delta region, China. Glob. Planet Chang. 2009, 69, 35–47. [Google Scholar] [CrossRef]
- Seto, K.C.; Woodcock, C.E.; Song, C.; Huang, X. Monitoring land-use change in the Pearl River delta using Landsat TM. Int. J. Remote Sens. 2002, 23, 1985–2004. [Google Scholar] [CrossRef]
- Yu, X.J.; Ng, C.N. Spatial and temporal dynamics of urban sprawl along two urban–rural transects: A case study of Guangzhou, China. Landsc. Urban Plan. 2007, 79, 96–109. [Google Scholar] [CrossRef]
- The Global Land Cover Facility at the University of Maryland. Available online: http://glcfapp.glcf.umd.edu:8080/esdi/index.jsp (accessed on 3 February 2009).
- Yang, Y.Y.; Zhang, S.W.; Wang, D.Y.; Yang, J.C.; Xing, X.S. Spatiotemporal changes of farming-pastoral ecotone in Northern China, 1954–2005: A case study in Zhenlai County, Jilin Province. Sustain. Basel 2015, 7, 1–22. [Google Scholar] [CrossRef]
- Campbell, J.B. Introduction to Remote Sensing, 3rd ed.; The Guilford Press: New York, NY, USA, 2002. [Google Scholar]
- Fonji, S.F.; Taff, G.N. Using satellite data to monitor land-use/land-cover change in North-Eastern Latvia. Springerplus 2014, 3, 61. [Google Scholar] [CrossRef] [PubMed]
- Ikiel, C.; Ustaoglu, B.; Dutucu, A.A.; Kilic, D.E. Remote sensing and GIS-based integrated analysis of land cover change in Duzce plain and its surroundings (north western Turkey). Environ. Monit. Assess. 2013, 18, 1699–1709. [Google Scholar] [CrossRef] [PubMed]
- Dang, A.R. Erdas Imagine: Processing Method of Remote Sensing Image; Tsinghua University Press: Beijing, China, 2003. [Google Scholar]
- Richards, J.A.; Jia, X. Remote Sensing Digital Image Analysis: An Introduction, 3rd ed.; Springer: Berlin, Germany, 1999. [Google Scholar]
- Guler, M.; Yomralioglu, T.; Reis, S. Using landsat data to determine land use/land cover changes in Samsun, Turkey. Environ. Monit. Assess. 2007, 127, 155–167. [Google Scholar] [CrossRef] [PubMed]
- Alrababah, M.A.; Alhamad, M.N. Land use/cover classification of arid and semi-arid Mediterranean landscapes using Landsat ETM. Int. J. Remote Sens. 2006, 27, 2703–2718. [Google Scholar] [CrossRef]
- Tate, C.M.; Cuffney, T.F.; Mcmahon, G.; Giddings, E.M.P.; Coles, J.F.; Zappia, H. Use of an urban intensity index to assess urban effects on streams in three contrasting environmental settings. Am. Fish. Soc. Symp. 2005, 47, 291–315. [Google Scholar]
- Bartlett, D.J.; Smith, J.L. GIS for Coastal Zone Management; CRC Press: Boca Raton, FL, USA; London, UK; New York, NY, USA; Washington, DC, USA, 2005. [Google Scholar]
- Schulte-Hosteddea, B.; Waltersb, D.; Powellc, C.; Shrubsole, D. Wetland management: An analysis of past practice and recent policy changes in Ontario. J. Environ. Manag. 2007, 82, 83–94. [Google Scholar] [CrossRef] [PubMed]
- Fletcher, S.; Kawabe, M.; Rewhorn, S. Wetland conservation and sustainable coastal governance in Japan and England. Mar. Pollut. Bull. 2011, 62, 956–962. [Google Scholar] [CrossRef] [PubMed]






| Data Used (Path/Row) | Time | Landsat Instruments |
|---|---|---|
| 130/44 | 30 September 1979 | MSS |
| 130/45 | 30 September 1979 | MSS |
| 131/43 | 19 October 1979 | MSS |
| 131/44 | 19 October 979 | MSS |
| 131/45 | 25 December 1973 | MSS |
| 132/44 | 20 October 1979 | MSS |
| 132/45 | 20 October 1979 | MSS |
| 121/44 | 18 October 1986, 9 October 1991, 26 March 1995, | TM and ETM+ |
| 28 December 2000, 12 October 2004, 11 January 2009 | ||
| 121/45 | 18 October 1986, 9 October 1991, 26 March 1995, | TM and ETM+ |
| 28 December 2000, 12 October 2004, 14 January 2010 | ||
| 122/43 | 3 November 1986, 24 December 1990, 30 December 1995, | TM and ETM+ |
| 14 September 2000, 23 November 2005, 2 January 2009 | ||
| 122/44 | 3 November 1986, 13 October 1990, 30 December 1995, | TM and ETM+ |
| 14 September 2000, 23 November 2005, 2 January 2009 | ||
| 122/45 | 3 November 1986, 13 October 1990, 30 December 1995, | TM and ETM+ |
| 14 September 2000, 23 November 2005, 2 January 2009 | ||
| 123/44 | 21 September 1986, 21 September 1991, 25 August 1993, | TM and ETM+ |
| 24 December 1999, 13 December 2004, 25 November 2009 | ||
| 123/45 | 21 September 1986, 2 September 1990, 25 August 1993, | TM and ETM+ |
| 24 December 1999, 19 December 2006, 9 January 2009 |
| First Class Level | Second Class Level | Meaning |
|---|---|---|
| Natural wetlands (NW) | Shallow marine water (NW1) | Ocean area, intertidal and shallow (<6 m at low tide) sub-tidal soft sediment areas, including sea bays and straits, including water of estuaries and estuarine systems of deltas. |
| River, stream, or creek (NW2) | River network with submerged, floating-leaved and emerging plants, including permanent (seasonal, intermittent, irregular) rivers, streams and creeks. | |
| Intertidal mud and sand (NW3) | Sand, shingle or pebble shores; sand bars, spits and sandy islets, including dune systems and humid dune slacks; salt marshes, salt meadows, saltings, raised salt marshes; tidal brackish and freshwater marshes. | |
| Mangrove wetlands (NW4) | Mangrove swamps, nipah swamps and tidal freshwater swamp forests. | |
| Constructed wetlands (CW) | Reservoir (CW1) | Stock ponds, small tanks (generally <8 ha). |
| Aquaculture pond (CW2) | Land used to feed fish and shrimp, including fishponds and aquafarms. | |
| Paddy fields (CW3) | Irrigation channels and rice fields. | |
| Urban land (UL) | Urban land (UL1) | Land covered by buildings, residential areas, and other man-made structures. |
| Construction land (UL2) | Land, outside the town, is independent of mines, large industrial zones, oil fields, salt fields, quarry lands, traffic roads, airports, etc. | |
| Other land (OL) | Forest (OL1) | Land dominated by trees, with a percent canopy cover of >10% |
| Grassland (OL2) | Land dominated by herbaceous types, or tree and shrub cover is <10%. | |
| Dry farmland (OL3) | Land covered with temporary crops followed by harvest and a bare soil period (e.g., single and multiple cropping systems). Note that perennial woody crops will be classified as the appropriate forest or shrub land cover type. |
| Zone | Scope | Distinction | District | Protection Measures |
|---|---|---|---|---|
| Key Wetland Protection Zone | TTI ≥ 25%; | Where the high rapid and the largest-scale transformation of wetlands exists; wetlands are vulnerable to outside interference, especially for constructed wetlands. | Nanhai District, Shancheng District, Shunde District, Doumen District, Jinwan District, Zhongshan City, Panyu District, Nansha District | Restriction of occupation for constructed wetlands; implementation of restoration projects for threatened natural wetlands; control of disturbance of urban land expansion to constructed wetlands; selection of environmentally friendly industry only. |
| Important Wetland Protection Zone | 25% > TTI ≥ 20%; UII ≥ 0.6% | Where the rapid and larger-scale transformation of wetlands exists. | Baiyun District, Luogang District, Tianhe District, Huangpu District, Haizhu District, Yuexiu District, Liwan District, Nanshan District, Futian District, Luohu District, Yantian District, Longgang District, Bao’an District, Xiangzhou District, Dongguan City | Stop occupation for natural wetlands; restriction of disturbance of urban land expansion to constructed wetlands; experiment with restoration project for threatened natural wetlands; selection of environmentally friendly industry mainly. |
| General Wetland Maintenance Zone | 20% > TTI ≥ 10%; 0.6% > UII ≥ 0.3% | Where both moderate-scale transformation and moderate urban expansion of wetlands exist. | Huadu District, Conghua District, Zengcheng District, Jianghai District, Pengjiang District, Xinhui District | Stop occupation for natural wetlands; selection of environmentally friendly industry partly; wise consumption of resources and reduction of excessive emission of pollutants. |
| Optimized Urban Development Zone | 10% > TTI 0.3% > UII | Where both low-scale transformation of wetlands and low urban expansion exist. | Sanshui District, Gaoming District, District, Taishan District, Kaiping District, Enping District. | Improvement of investment and business environment; wise consumption of resources and reduction of excessive emission of pollutants. |
| Natural Wetland Restoration Zone | Especial protection to intertidal wetlands TTI >> NTI | Where intertidal wetlands transfer intensively; great loss of shallow marine water and mangroves; the disaster of biodiversity loss may occur if no restoration is undertaken. | Special wetland transition zone | Stop occupation for intertidal wetlands; control of urban development; implementation of restoration programs and construction of wetland reserves; restoration of mangrove and regional endemic species. |
© 2016 by the authors; licensee MDPI, Basel, Switzerland. This article is an open access article distributed under the terms and conditions of the Creative Commons Attribution (CC-BY) license (http://creativecommons.org/licenses/by/4.0/).
Share and Cite
Zhao, H.; Wang, X.; Cai, Y.; Liu, W. Wetland Transitions and Protection under Rapid Urban Expansion: A Case Study of Pearl River Estuary, China. Sustainability 2016, 8, 471. https://doi.org/10.3390/su8050471
Zhao H, Wang X, Cai Y, Liu W. Wetland Transitions and Protection under Rapid Urban Expansion: A Case Study of Pearl River Estuary, China. Sustainability. 2016; 8(5):471. https://doi.org/10.3390/su8050471
Chicago/Turabian StyleZhao, Hui, Xiaodan Wang, Yanjiang Cai, and Weilong Liu. 2016. "Wetland Transitions and Protection under Rapid Urban Expansion: A Case Study of Pearl River Estuary, China" Sustainability 8, no. 5: 471. https://doi.org/10.3390/su8050471
APA StyleZhao, H., Wang, X., Cai, Y., & Liu, W. (2016). Wetland Transitions and Protection under Rapid Urban Expansion: A Case Study of Pearl River Estuary, China. Sustainability, 8(5), 471. https://doi.org/10.3390/su8050471

