The Design of a Sustainable Location-Routing-Inventory Model Considering Consumer Environmental Behavior
Abstract
:1. Introduction
2. Literature Review
3. Description and Assumptions
3.1. Problem Description
3.2. Assumptions
- (i)
- In this paper, the CEB choices focus on the carbon emissions from the LRI, including sourcing, production and/or recovery. It is reasonable to choose supply chain services as the study object, as they represent a major source of carbon emissions.
- (ii)
- There is no difference among delivery routes, and the road conditions are nearly the same. In other words, the carbon emissions and costs are only affected by the distance travelled.
- (iii)
- Each warehouse is assumed to follow a inventory policy. That is, when the inventory of a warehouse reaches the reorder point , a fixed quantity is ordered from the upper stream plant.
- (iv)
- The discussed products/services are in an oversupplied market. CEBs are in positive correlation with market demand. We assume the consumer demand function is expressed as:
4. The Model
4.1. A Multi-Objective Model for Cost and Carbon Emissions
- (i)
- Location decisions—how many warehouses should be opened, and where to locate the opened warehouses.
- (ii)
- Routing decisions—how to assign the vehicle routes from manufacturers to warehouses (M-to-W) and from warehouses to Retailers (W-to-R).
- (iii)
- Inventory decisions—what is the order quantity, and how many safety stocks should be maintained?
- (iv)
- What is the most appropriate level of green to choose?
- (i)
- Location cost. The cost of warehouse location is , where is the single cost of opening warehouse .
- (ii)
- Routing cost occurs in the distribution from M-to-W and from warehouse to retailer (W-to-R), which are and , respectively, where is the M-to-W routing cost per distance; is the distance from manufacturer to warehouse ; is W-to-R routing cost per distance; and is the distance from warehouse (or retailer ) to retailer
- (iii)
- Inventory cost. Working inventory is , and safety stock is [22], where is the ordering cost, is the demand by retailer , is the hold cost per unit; is the lead time of DC ; is left -percentile of standard normal random variable , i.e., ( is the desired percentage of retailers’ orders that should be satisfied); is the variance of demand from retailer .
- (i)
- Carbon emissions from facilities. The carbon emissions of a warehouse location can be denoted as , where is the carbon emissions of building warehouse .
- (ii)
- Carbon emissions from routing. The routing emissions from the M-to-W and W-to-R transportations are denoted as and , respectively, where is the M-to-W carbon emissions per distance, and is the carbon emissions per distance from warehouse (or retailer ) to retailer .
- (iii)
- Carbon emissions from inventory. The inventory emissions come from the working inventory and safety stock, which are and , respectively, where is the carbon emissions per holding inventory. It is worth mentioning that carbon emissions from inventory mainly refer to the energy consumption and product emissions during storage.
- (iv)
- Other emissions, including emissions from purchasing, production and recovery. The purchasing emission is , where is carbon emissions from purchase per unit. The production emission is , where is carbon emissions from production per unit. The recovery emission is , where is carbon emissions from recovery per unit.
4.2. The Revenue Model Considering CEBs
5. Solving Approach
5.1. Particle Swarm Optimization Algorithm
5.2. The Hybrid PSO
5.3. An Improved Constraint of the MOPSO
5.4. Selecting the Optimal Particles
- (i)
- For each particle in S1, we select a non-dominate solution that randomly dominates the particle from A1 as gbest, but is necessary. If no solution is found, the gbest should be selected from the A1 with greater crowding distance and smaller .
- (ii)
- For each particle in S2, a random probability model is employed to select gbest from the A2 with greater crowding distance and smaller .
- (1)
- Initialize positions and velocities of all particles.
- (2)
- Set the current particle position as Pbest.
- (3)
- While (iter_count < T)
- (4)
- for each particle (i = 1:n)
- (5)
- Select a gbest from the archive.
- (6)
- Update velocity and position.
- (7)
- Evaluate the fitness values of the current particle i.
- (8)
- Update the pbest of each particle by comparison criteria.
- (9)
- End for
- (10)
- Update archive by non-dominate solutions.
- (11)
- For each particle in archive
- (12)
- If
- (13)
- Select a dominate solution with greater crowding distance and smaller from archive as gbest randomly.
- (14)
- End if
- (15)
- End for
- (16)
- Output
- (17)
- End while
6. Computational Experiment
6.1. Case Study
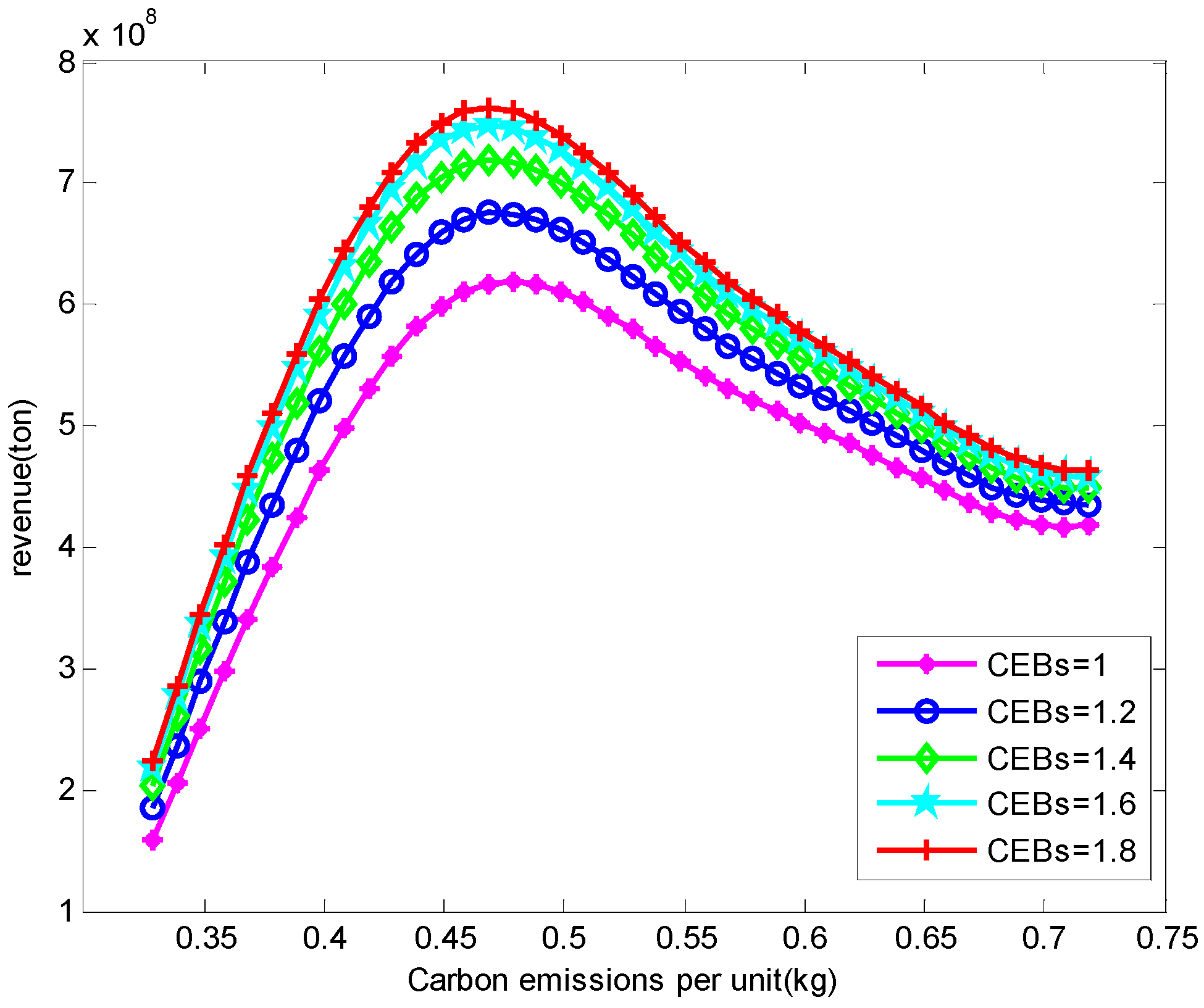
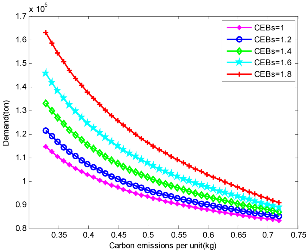
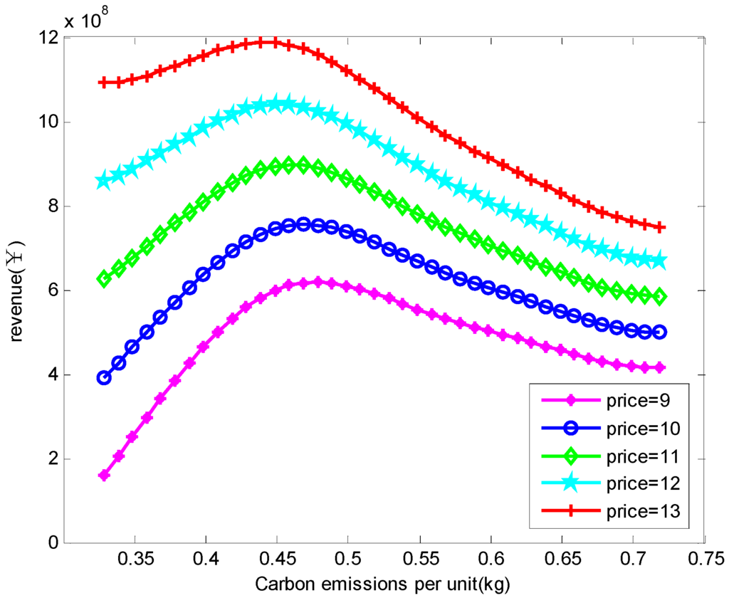
6.2. Numerical Analysis
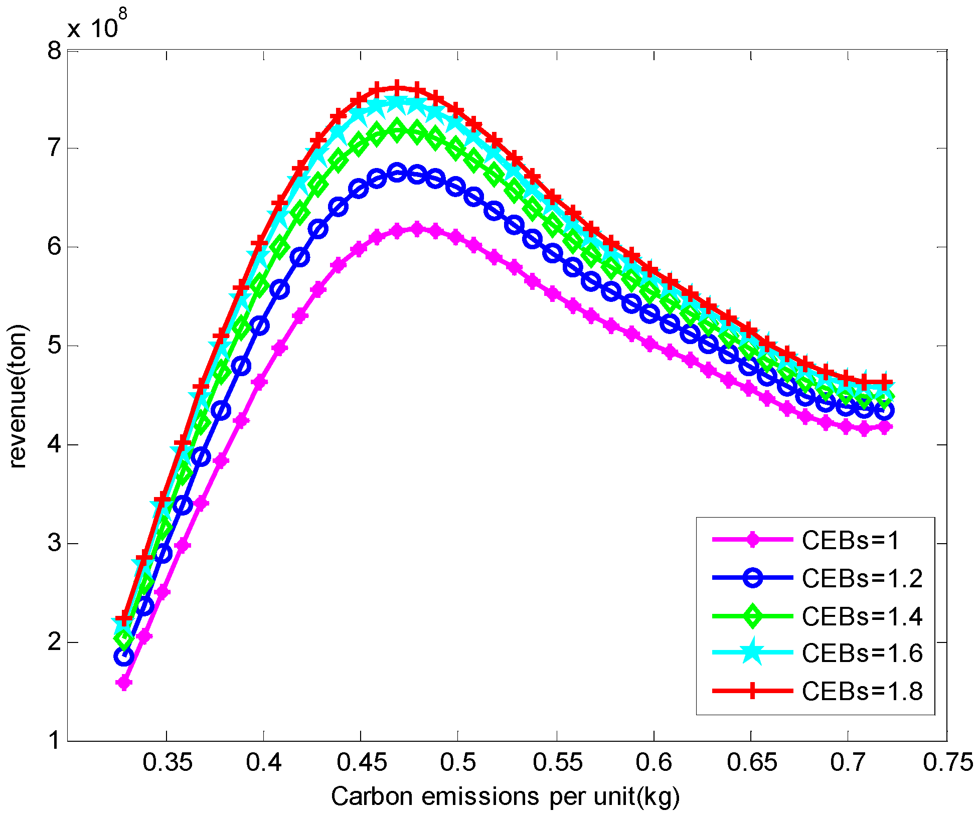
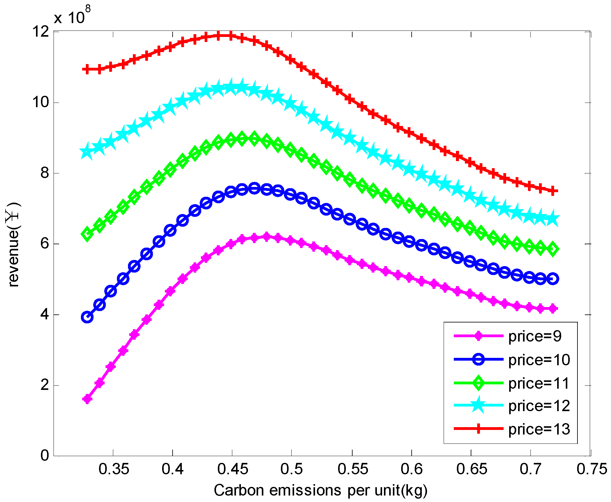
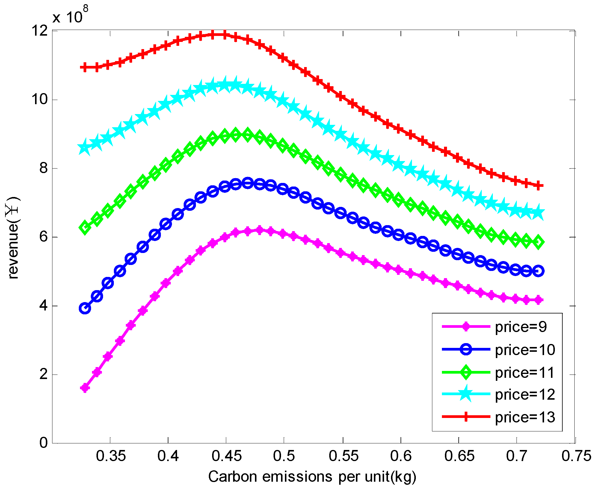
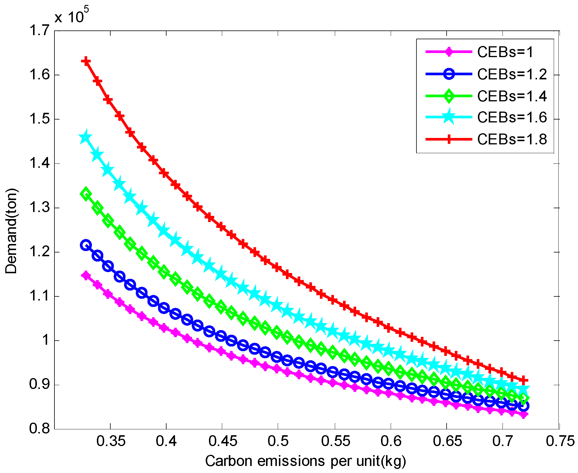
6.3. Managerial Insights
7. Conclusions
Acknowledgments
Author Contributions
Conflicts of Interest
References
- Hufbauer, G.C.; Charnovitz, S.; Kim, J. Global Warming and the World Trading System; Peterson Institute for International Economics: Washington, DC, USA, 2009. [Google Scholar]
- Chistra, K. In search of the green consumers: A perceptual study. J. Serv. Res. 2007, 7, 173–191. [Google Scholar]
- Conrad, K. Price competition and product differentiation when consumers care for the environment. Environ. Resour. Econ. 2005, 31, 1–19. [Google Scholar] [CrossRef]
- Laroche, M.; Bergeron, J.; Barbaro-Forleo, G. Targeting consumers who are willing to pay more for environmentally friendly products. J. Consum. Market. 2001, 18, 503–520. [Google Scholar] [CrossRef]
- Moon, W.; Florkowski, W.J.; Brückner, B.; Schonhof, I. Willing to pay for environmental practices: Implications for eco-labeling. Land Econ. 2002, 78, 88–102. [Google Scholar] [CrossRef]
- Ghosh, D.; Shah, J. A comparative analysis of greening policies across supply chain structures. Int. J. Prod. Econ. 2012, 135, 568–583. [Google Scholar] [CrossRef]
- Gil-Moltó, M.J.; Varvarigos, D. Emission taxes and the adoption of cleaner technologies: The case of environmentally conscious consumers. Resour. Energy Econ. 2013, 35, 486–504. [Google Scholar] [CrossRef]
- Liu, Z.L.; Anderson, T.D.; Cruz, J.M. Consumer environmental awareness and competition in two-stage supply chains. Eur. J. Oper. Res. 2012, 218, 602–613. [Google Scholar] [CrossRef]
- Elhedhli, S.; Merrick, R. Green supply chain network design to reduce carbon emissions. Transp. Res. Part D 2012, 17, 370–379. [Google Scholar] [CrossRef]
- Paksoy, T.; Özceylan, E.; Weber, G.W.; Barsoum, N.; Weber, G.W.; Vasant, P. A multi objective model for optimization of a green supply chain network. Glob. J. Technol. Optim. 2011, 2, 84–96. [Google Scholar]
- Paksoy, T.; Özceylan, E. Environmentally conscious optimization of supply chain networks. J. Oper. Res. Soc. 2013, 65, 855–872. [Google Scholar] [CrossRef]
- Benjaafar, S.; Li, Y.; Daskin, M. Carbon footprint and the management of supply chains: Insights from simple models. IEEE Trans. Autom. Sci. Eng. 2013, 10, 99–115. [Google Scholar] [CrossRef]
- Kim, N.S.; Janic, M.; Van Wee, B. Trade-off between carbon dioxide emissions and logistics costs based on multiobjective optimization. Transp. Res. Rec. J. Transp. Res. Board 2009, 2139, 107–116. [Google Scholar] [CrossRef]
- Wang, F.; Lai, X.F.; Shi, N. A multi-objective optimization for green supply chain network design. Decis. Support Syst. 2011, 51, 262–269. [Google Scholar] [CrossRef]
- Chaabane, A.; Ramudhin, A.; Paquet, M. Design of sustainable supply chains under the emission trading scheme. Int. J. Prod. Econ. 2012, 135, 37–49. [Google Scholar] [CrossRef]
- Chen, X.; Benjaafar, S.; Elomri, A. The carbon-constrained EOQ. Oper. Res. Lett. 2013, 41, 172–179. [Google Scholar] [CrossRef]
- Babiker, M.H.; Criqui, P.; Ellerman, A.D.; Reilly, J.M.; Viguier, L.L. Assessing the impact of carbon tax differentiation in the European Union. Environ. Model. Assess. 2003, 8, 187–197. [Google Scholar] [CrossRef]
- Jabali, O.; Woensel, T.V.; de Kok, A.G. Analysis of Travel Times and CO2 Emissions in Time-Dependent Vehicle Routing. Prod. Oper. Manag. 2012, 21, 1060–1074. [Google Scholar] [CrossRef]
- Nagy, G.; Salhi, S. Location-routing: Issues, models and methods. Eur. J. Oper. Res. 2007, 177, 649–672. [Google Scholar] [CrossRef]
- Dror, M.; Ball, M. Inventory/routing: Reduction from an annual to a short-period problem. Naval Res. Logist. (NRL) 1987, 34, 891–905. [Google Scholar] [CrossRef]
- Shen, Z.J.M.; Coullard, C.; Daskin, M.S. A joint location-inventory model. Transp. Sci. 2003, 37, 40–55. [Google Scholar] [CrossRef]
- AhmadiJavid, A.; Azad, N. Incorporating location, routing and inventory decisions in supply chain network design. Transp. Res. Part E Logist. Transp. Rev. 2010, 46, 582–597. [Google Scholar] [CrossRef]
- Ahmadi-Javid, A.; Seddighi, A.H. A location-routing-inventory model for designing multisource distribution networks. Eng. Optim. 2012, 44, 637–656. [Google Scholar] [CrossRef]
- Hua, G.W.; Cheng, T.C.E.; Wang, S.Y. Managing carbon footprints in inventory management. Int. J. Prod. Econ. 2011, 132, 178–185. [Google Scholar] [CrossRef]
- Kroes, J.; Subramanian, R.; Subramanyam, R. Operational compliance levers, environmental performance, and firm performance under cap and trade regulation. Manuf. Serv. Oper. Manag. 2012, 14, 186–201. [Google Scholar] [CrossRef]
- Diabat, A.; David, S. A Carbon-Capped Supply Chain Network Problem. In Proceedings of the IEEE International Conference on Industrial Engineering and Engineering Management, Hong Kong, China, 8–11 December 2009; IEEE press: Piscataway, NJ, USA, 2010; pp. 523–527. [Google Scholar]
- Wygonik, E.; GooDChild, A. Evaluating CO2 emissions, cost and service quality trade-offs in an urban delivery system case study. IATSS Res. 2011, 35, 7–15. [Google Scholar] [CrossRef]
- Thøgersen, J. Promoting Green Consumer Behavior with Eco-Labels. In New Tools for Environmental Protection: Education, Information, and Voluntary Measures; Dietz, T., Stern, P., Eds.; National Academy Press: Washington, DC, USA, 2002; pp. 83–104. [Google Scholar]
- Young, W.; Hwang, K.; McDonald, S.; Oates, C.J. Sustainable consumption: Green consumer behaviour when purchasing products. Sustain. Dev. 2010, 18, 20–31. [Google Scholar] [CrossRef]
- Vanclay, J.K.; Shortiss, J.; Aulsebrook, A.; Gillespie, A.M.; Howell, B.C.; Johanni, R.; Maher, M.J.; Mitchell, K.M. Customer response to carbon labeling of groceries. J. Consum. Policy 2011, 34, 153–160. [Google Scholar] [CrossRef]
- Tang, C.S.; Zhou, S. Research advances in environmentally and socially sustainable operations. Eur. J. Oper. Res. 2012, 223, 585–594. [Google Scholar] [CrossRef]
- Desrochers, M.; Laporte, G. Improvements and extensions to the Miller-Tucker-Zemlin subtour elimination constraints. Oper. Res. Lett. 1991, 10, 27–36. [Google Scholar] [CrossRef]
- Kennedy, J.; Eberhart, R. Particle swarm optimization. In Proceedings of the IEEE International Conference on Neural Networks, Perth, Australia, 27 November–1 December 1995; pp. 1942–1948.
- Shankar, B.L.; Basavarajappa, S.; Chen, J.C.; Kadadevaramath, R.S. Location and allocation decisions for multi-echelon supply chain network–a multi-objective evolutionary approach. Expert Syst. Appl. 2013, 40, 551–562. [Google Scholar] [CrossRef]
- Everson, R.M.; Fieldsend, J.E.; Singh, S. Full Elite Sets for Multi-Objective Optimisation. In Adaptive Computing in Design and Manufacture V; Springer: London, UK, 2002; pp. 343–354. [Google Scholar]
- Ling, H.F.; Zhou, X.Z.; Jiang, X.L.; Xiao, Y.H. Improved constrained multi-objective particle optimization algorithm. J. Comput. Appl. 2012, 32, 1320–1324. [Google Scholar]









| Beijing | Tianjin | Cangzhou | Jinan | Zhengzhou | |
|---|---|---|---|---|---|
| Lead time(days) | 3 | 5 | 6 | 4 | 8 |
| Demand variance | 12 | 14 | 9 | 11 | 8 |
| Service level | 95% | 95% | 95% | 95% | 95% |
| Area of Location (m2) | Fixed Location Cost (¥) | Hold Cost (¥/ton Day) | |
|---|---|---|---|
| Beijing | 3000 | 2,000,000 | 0.3 |
| Tianjin | 3600 | 1,800,000 | 0.25 |
| Cangzhou | 4000 | 1,120,000 | 0.3 |
| Jinnan | 4200 | 1,560,000 | 0.25 |
| Zhengzhou | 5000 | 1,870,000 | 0.3 |
| Beijing | Tianjin | Baoding | Cangzhou | Shijiazhuang | Jinan | Liaocheng | Linyi | Qingdao | Xinyang | Zhengzhou | Taiyuan | Yuncheng | |
|---|---|---|---|---|---|---|---|---|---|---|---|---|---|
| Initial demand | 430 | 416 | 463 | 577 | 506 | 509 | 522 | 439 | 536 | 696 | 589 | 554 | 694 |
| Service level | 92% | 91% | 95% | 95% | 90% | 98% | 91% | 94% | 95% | 95% | 95% | 95% | 90% |
| Demand variance | 9 | 12 | 7 | 8 | 14 | 6 | 6 | 9 | 9 | 11 | 9 | 7 | 9 |
© 2016 by the authors; licensee MDPI, Basel, Switzerland. This article is an open access article distributed under the terms and conditions of the Creative Commons by Attribution (CC-BY) license (http://creativecommons.org/licenses/by/4.0/).
Share and Cite
Tang, J.; Ji, S.; Jiang, L. The Design of a Sustainable Location-Routing-Inventory Model Considering Consumer Environmental Behavior. Sustainability 2016, 8, 211. https://doi.org/10.3390/su8030211
Tang J, Ji S, Jiang L. The Design of a Sustainable Location-Routing-Inventory Model Considering Consumer Environmental Behavior. Sustainability. 2016; 8(3):211. https://doi.org/10.3390/su8030211
Chicago/Turabian StyleTang, Jinhuan, Shoufeng Ji, and Liwen Jiang. 2016. "The Design of a Sustainable Location-Routing-Inventory Model Considering Consumer Environmental Behavior" Sustainability 8, no. 3: 211. https://doi.org/10.3390/su8030211
APA StyleTang, J., Ji, S., & Jiang, L. (2016). The Design of a Sustainable Location-Routing-Inventory Model Considering Consumer Environmental Behavior. Sustainability, 8(3), 211. https://doi.org/10.3390/su8030211

