Retail Services and Pricing Decisions in a Closed-Loop Supply Chain with Remanufacturing
Abstract
:1. Introduction
- (1)
- How are the pricing strategy and profits of the players in the supply chain affected by the retail services and the degree of customer loyalty to the retail channel?
- (2)
- What are the differences of the retail service decision and pricing strategy between a centralized and a decentralized dual-channel supply chain, respectively?
2. Model Notations and Assumptions
2.1. Notations
2.2. Assumptions
3. Analysis of the Centralized Dual-Channel Supply Chain
- (1)
- (2)
- (3)
- When , ; when , ; and when , .
- (4)
4. Analysis of the Decentralized Dual-Channel Supply Chain
- (1)
- ;
- (2)
- ;
- (3)
- ; ;
- (4)
- .
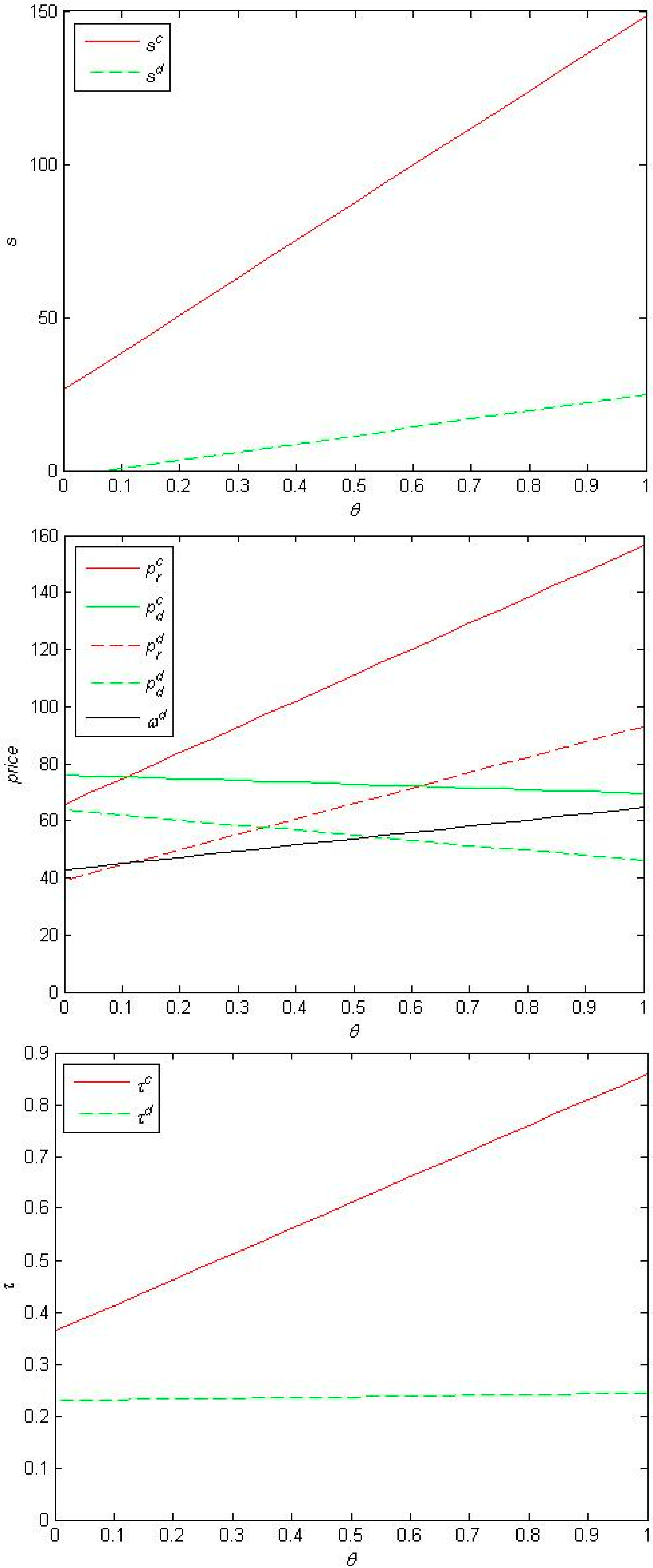
5. Numerical Examples
| Parameter | a | cm | cr | C | η | βr | βm | b1 | b2 | b | Δ |
|---|---|---|---|---|---|---|---|---|---|---|---|
| Value | 350 | 20 | 5 | 3000 | 4 | 5 | (2, 3) | 5 | (2, 3) | 10 | 15 |
5.1. Centralized Case
5.2. Decentralized Case
5.3. Comparing the Two Settings



6. Conclusions
Author Contributions
Appendix
Proof of Proposition 1
Proof of Proposition 2
Proof of Proposition 3
Proof of Proposition 4
Conflict of Interests
References
- Chen, R.J.C. From sustainability to customer loyalty: A case of full service hotels’ guests. J. Retail. Consum. Serv. 2014, 22, 261–265. [Google Scholar] [CrossRef]
- Devika, K.; Jafarian, A.; Nourbakhsh, V. Designing a sustainable closed-loop supply chain network based on triple bottom line approach: A comparison of metaheuristics hybridization techniques. Eur. J. Oper. Res. 2014, 235, 594–615. [Google Scholar] [CrossRef]
- Sasikumar, P. Issues in reverse supply chains, part II: Reverse distribution issues—An overview. Int. J. Sustain. Eng. 2008, 1, 234–249. [Google Scholar] [CrossRef]
- Tedeschi, B. Compressed data; big companies go slowly in devising net strategy. New York Times 2000. [Google Scholar]
- Chiang, W.Y.K.; Chhajed, D.; Hess, J.D. Direct-marketing, indirect profits: A strategic analysis of dual-channel supply-chain design. Manag. Sci. 2003, 49, 1–20. [Google Scholar] [CrossRef]
- Tsay, A.A.; Agrawal, N. Channel conflict and coordination in the E-commerce age. Prod. Oper. Manag. 2004, 13, 93–110. [Google Scholar] [CrossRef]
- Seifert, R.W.; Thonemann, U.W.; Hausman, W.H. Optimal procurement strategies for online spot markets. Eur. J. Oper. Res. 2004, 152, 781–799. [Google Scholar] [CrossRef]
- Cai, G.S. Channel Selection and Coordination in Dual-Channel Supply Chains. J. Retail. 2010, 86, 22–36. [Google Scholar] [CrossRef]
- Chen, K.Y.; Kaya, M.; Ozer, O. Dual Sales Channel Management with Service Competition. Manuf. Serv. Oper. Manag. 2008, 10, 654–675. [Google Scholar]
- Yan, R.; Pei, Z. Retail services and firm profit in a dual-channel market. J. Retail. Consum. Serv. 2009, 16, 306–314. [Google Scholar] [CrossRef]
- Dumrongsiri, A.; Fan, M.; Jain, A.; Moinzadeh, K. A supply chain model with direct and retail channels. Eur. J. Oper. Res. 2008, 187, 691–718. [Google Scholar] [CrossRef]
- Hu, W.; Li, Y.J. Retail service for mixed retail and E-tail channels. Ann. Oper. Res. 2012, 192, 151–171. [Google Scholar] [CrossRef]
- Yao, D.Q.; Liu, J.J. Competitive pricing of mixed retail and e-tail distribution channels. Omega-Int. J. Manag. Sci. 2005, 33, 235–247. [Google Scholar] [CrossRef]
- Hall, J.; Porteus, E. Customer service competition in capacitated systems. Manuf. Serv. Oper. Manag. 2000, 2, 144–165. [Google Scholar]
- Bernstein, F.; Federgruen, A. A general equilibrium model for industries with price and service competition. Oper. Res. 2004, 52, 868–886. [Google Scholar] [CrossRef]
- Boyaci, T.; Gallego, G. Supply chain coordination in a market with customer service competition. Prod. Oper. Manag. 2004, 13, 3–22. [Google Scholar] [CrossRef]
- Cai, G.; Zhang, Z.G.; Zhang, M. Game theoretical perspectives on dual-channel supply chain competition with price discounts and pricing schemes. Int. J. Prod. Econ. 2009, 117, 80–96. [Google Scholar] [CrossRef]
- Kurata, H.; Yao, D.Q.; Liu, J.J. Pricing policies under direct vs. indirect channel competition and national vs. store brand competition. Eur. J. Oper. Res. 2007, 180, 262–281. [Google Scholar] [CrossRef]
- Geng, Q.; Mallik, S. Inventory competition and allocation in a multi-channel distribution system. Eur. J. Oper. Res. 2007, 182, 704–729. [Google Scholar] [CrossRef]
- Chiang, W.Y.K. Product availability in competitive and cooperative dual-channel distribution with stock-out based substitution. Eur. J. Oper. Res. 2010, 200, 111–126. [Google Scholar] [CrossRef]
- Boyaci, T. Competitive stocking and coordination in a multiple-channel distribution system. IIE Trans. 2005, 37, 407–427. [Google Scholar] [CrossRef]
- Majumder, P.; Groenevelt, H. Competition in remanufacturing. Prod. Oper. Manag. 2001, 10, 125–141. [Google Scholar] [CrossRef]
- Teunter, R.H.; Flapper, S.D.P. Optimal core acquisition and remanufacturing policies under uncertain core quality fractions. Eur. J. Oper. Res. 2011, 210, 241–248. [Google Scholar] [CrossRef]
- Savaskan, R.C.; Bhattacharya, S.; van Wassenhove, L.N. Closed-loop supply chain models with product remanufacturing. Manag. Sci. 2004, 50, 239–252. [Google Scholar] [CrossRef]
- Gu, Q.L.; Ji, J.H.; Gao, T.G. Pricing management for a closed-loop supply chain. J. Revenue Pricing Manag. 2008, 7, 45–60. [Google Scholar] [CrossRef]
- Savaskan, R.C.; van Wassenhove, L.N. Reverse channel design: The case of competing retailers. Manag. Sci. 2006, 52, 1–14. [Google Scholar] [CrossRef]
- Qiang, Q.; Ke, K.; Anderson, T.; Dung, J. The closed-loop supply chain network with competition, distribution channel investment, and uncertainties. Omega-Int. J. Manag. Sci. 2013, 41, 186–194. [Google Scholar] [CrossRef]
- Ozkir, V.; Basligil, H. Modelling product-recovery processes in closed-loop supply-chain network design. Int. J. Prod. Res. 2012, 50, 2218–2233. [Google Scholar] [CrossRef]
- Neto, J.Q.F.; Walther, G.; Bloemhof, J.; van Nunen, J.; Spengler, T. From closed-loop to sustainable supply chains: The WEEE case. Int. J. Prod. Res. 2010, 48, 4463–4481. [Google Scholar] [CrossRef]
- Georgiadis, P.; Athanasiou, E. Flexible long-term capacity planning in closed-loop supply chains with remanufacturing. Eur. J. Oper. Res. 2013, 225, 44–58. [Google Scholar] [CrossRef]
- Chen, J.; Bell, P.C. Implementing market segmentation using full-refund and no-refund customer returns policies in a dual-channel supply chain structure. Int. J. Prod. Econ. 2012, 136, 56–66. [Google Scholar] [CrossRef]
- Hong, X.P.; Wang, Z.J.; Wang, D.Z.; Zhang, H.G. Decision models of closed-loop supply chain with remanufacturing under hybrid dual-channel collection. Int. J. Adv. Manuf. Technol. 2013, 68, 1851–1865. [Google Scholar] [CrossRef]
- Hua, G.W.; Wang, S.Y.; Cheng, T.C.E. Price and lead time decisions in dual-channel supply chains. Eur. J. Oper. Res. 2010, 205, 113–126. [Google Scholar] [CrossRef]
- Dan, B.; Xu, G.Y.; Liu, C. Pricing policies in a dual-channel supply chain with retail services. Int. J. Prod. Econ. 2012, 139, 312–320. [Google Scholar] [CrossRef]
- Corbett, C.J.; de Groote, X. A supplier’s optimal quantity discount policy under asymmetric information. Manag. Sci. 2000, 46, 444–450. [Google Scholar] [CrossRef]
© 2015 by the authors; licensee MDPI, Basel, Switzerland. This article is an open access article distributed under the terms and conditions of the Creative Commons Attribution license (http://creativecommons.org/licenses/by/4.0/).
Share and Cite
Zhang, Z.-Z.; Wang, Z.-J.; Liu, L.-W. Retail Services and Pricing Decisions in a Closed-Loop Supply Chain with Remanufacturing. Sustainability 2015, 7, 2373-2396. https://doi.org/10.3390/su7032373
Zhang Z-Z, Wang Z-J, Liu L-W. Retail Services and Pricing Decisions in a Closed-Loop Supply Chain with Remanufacturing. Sustainability. 2015; 7(3):2373-2396. https://doi.org/10.3390/su7032373
Chicago/Turabian StyleZhang, Zhen-Zheng, Zong-Jun Wang, and Li-Wen Liu. 2015. "Retail Services and Pricing Decisions in a Closed-Loop Supply Chain with Remanufacturing" Sustainability 7, no. 3: 2373-2396. https://doi.org/10.3390/su7032373
APA StyleZhang, Z.-Z., Wang, Z.-J., & Liu, L.-W. (2015). Retail Services and Pricing Decisions in a Closed-Loop Supply Chain with Remanufacturing. Sustainability, 7(3), 2373-2396. https://doi.org/10.3390/su7032373
