Next Article in Journal
Impact of Transport Infrastructure on Regional Economic Synergy: Evidence from Chinese Cities
Previous Article in Journal
Does CEO Green Experience Influence Corporate Response to the Environmental Protection Tax? Evidence on Disclosure and Boundary Conditions
 
 
Font Type:
Arial Georgia Verdana
Font Size:
Aa Aa Aa
Line Spacing:
Column Width:
Background:
Article

Optimizing Sustainable Agricultural Development via Evolutionary and Stackelberg Games

1
Institute of Business Economics, Harbin University of Commerce, Harbin 150028, China
2
Faculty of Economics, Harbin University of Commerce, Harbin 150028, China
*
Author to whom correspondence should be addressed.
Sustainability 2026, 18(8), 3854; https://doi.org/10.3390/su18083854
Submission received: 20 March 2026 / Revised: 9 April 2026 / Accepted: 10 April 2026 / Published: 13 April 2026
(This article belongs to the Section Sustainable Urban and Rural Development)

Abstract

The study explores the relatively underexamined role of artificial intelligence policies in sustainable agricultural development by investigating how governments, enterprises, and farmers interact under different policy incentives. A combination of tripartite evolutionary and Stackelberg game models is employed to examine how artificial intelligence can support more effective policy design, improve the speed of response, and foster greater collaboration among stakeholders. The analysis primarily draws on simulated data, reflecting the impact of policy incentives across various contexts. Findings suggest that artificial intelligence policies can meaningfully enhance cooperation, thereby promoting sustainable agricultural development. Higher levels of government incentives appear to encourage participation from both enterprises and farmers, while artificial intelligence contributes to faster and more precise policy adjustments. Theoretically, the study offers a framework for understanding artificial intelligence policy in agriculture and elucidates the mechanisms governing stakeholder interactions. From a practical perspective, the results provide cautious guidance for the design of artificial intelligence policies aimed at fostering sustainability.

1. Introduction

Research indicates that, in the context of climate change, global research environment issues such as financial constraints are becoming increasingly severe, and nations worldwide are increasingly striving to establish sustainable and secure avenues for scientific inquiry. As a cornerstone of the economy, agriculture is essential for supporting development that is both sustainable and stable. In recent years, agriculture has been facing challenges brought about by traditional manufacturing methods, which have led to financial exhaustion and environmental degradation [1,2]. It is necessary to adapt to constantly changing global market requirements and climate change. Against this backdrop, governments around the world have introduced policies to achieve sustainable agriculture, with a particular focus on the application and dissemination of green agricultural technologies [3,4]. However, despite the growing number of policy incentives, the enthusiasm of farmers and enterprises is still relatively low, and the adoption rate of green technologies is far below expectations [5,6].
Throughout its development, agriculture in China has achieved significant improvements while facing increasingly severe financial constraints and challenges in the research environment. In this situation, achieving green transformation and sustainable and stable development of agriculture has become an important task of the national major development strategy. Digital technology has characteristics of a high sinking rate and universal solutions, which provide important methods for implementing sustainable agricultural stable development strategies. In this research context, the 2024 No. 1 Central Document of China emphasizes its commitment to accelerating the stable development of green agriculture and improving the agricultural ecological research environment [7].
In this regard, researching digital skills to achieve sustainable and robust working mechanisms in agriculture is of great significance for improving policy design and achieving sustainable agriculture with high production capacity assessment rates. Disruptive technologies such as artificial intelligence, which possess powerful information processing and decision-making improvement capabilities, are gradually sinking into the agricultural field, and government and enterprises have begun to study how to use artificial intelligence to improve financial allocation, enhance manufacturing efficiency, and achieve selection of green technologies [8,9,10]. Nevertheless, application of artificial intelligence in agriculture is not without problems, and research on its effectiveness in policy incentives and communication between government, enterprises, and farmers is still limited. Although studies have examined the impact of government incentive policies on sustainable agriculture decision-making, they often focus on traditional economic models or single policy tools, lacking concentrated research on policy architecture adjustments driven by artificial intelligence and multi-industry stakeholder communication mechanisms. Under rapidly changing policies and multiple pressures of agricultural transformation, the academic community urgently needs to study how artificial intelligence policies can promote the green transformation of agriculture and provide new perspectives and conceptual framework adjustments [11].
Therefore, investigating how artificial intelligence operates under policy incentives, specifically by examining the cooperation and interactions among governments, enterprises, and farmers, is crucial for understanding the stable development of sustainable agriculture. Such research carries important conceptual value, offers practical guidance for policymakers and practitioners, supports broader adoption of green agricultural technologies, and contributes to the sustainable development of agriculture [12,13,14]. In the context of rapid policy changes and various changes, it is crucial to provide new insights and adjust the conceptual structure calculation of how to enhance sustainable agricultural development through artificial intelligence policies.
Traditionally, Chinese agriculture has adopted a highly concentrated and high-consumption model, which has resulted in various environmental issues, including soil degradation, excessive use of fertilizers, and biological destruction, hindering achievement of sustainable development goals in agriculture. The Chinese government has recently implemented a set of policies to support development of green agriculture, including government subsidies, promotion of green technologies, and environmental protection strategies. These policies improve efficiency of resource allocation, achieve transformation of agricultural production methods, enhance overall flexibility of agricultural structure, and improve green development capabilities [15,16,17,18,19].
Sustainable development of agriculture will encounter limitations in natural resource factors such as land, water, and financial resources, as well as research on environmental burdens and climate change challenges. Limiting factors have had a profound impact on resilience and sustained stability of agricultural production structures. To cope with these situations, it is necessary to establish cross-departmental and structural policies, as well as skill structure calculation adjustments, that is, to use digital finance and infrastructure to enhance agricultural adaptability; use intelligent agricultural technology to improve resource utilization efficiency strengthen coordination mechanisms between government, farmers, and enterprises and achieve transition to green and sustainable agriculture [20,21,22,23]. Hence, relying on a single measure is insufficient. Supported by interdisciplinary and multi talented evaluation collaboration, integrated approaches involving policies, technology, and society are crucial for achieving sustainable agricultural development.
The urgency of achieving sustainable agriculture has grown, and the academic community has shown increasing interest in the application of mechanical intelligence within agricultural policy frameworks. According to some research, interest is mainly focused on government incentive policies and green finance tools, which aim to achieve sustainable and stable agriculture through skill support and the adoption of green skills. Some government fiscal incentive strategies, including direct subsidies and tax incentives, significantly encourage businesses and agricultural participants to adopt green skills [24]. Government subsidies and indirect incentive strategies are used to promote dissemination of green agricultural skills in various allocation methods, enhancing participation of farmers and enterprises in green practices [25]. Financial support will generate conscious decisions when green skills are established, indicating that detailed descriptions make envisioned government incentive policies crucial for maintaining adoption of green skills in various sectors [26]. Some scholars have studied how policy incentives can improve agricultural financial allocation and enhance production continuity, stability, and efficiency [27,28]. These studies typically use traditional economic patterns, focusing on interactions between government, businesses, and farmers to elucidate construction of policy incentive systems in different economic research environments [29,30].
However, several limitations remain in the current literature, constraining a deeper understanding of artificial intelligence policies in agricultural sustainability. First, many studies overlook critical variables and mechanisms, such as social capital, trust, and the psychological factors of farmers and enterprises, which may significantly affect the actual effectiveness of policies, especially in the context of multi-party interactions and long-term cooperation [8,31]. Second, most studies focus on single policy tools or static patterns [28,32,33], lacking research on dynamic game stages under multiple policy incentives. Although game theory has been applied to agricultural policy research, many studies rely on simple patterns and settings, which cannot accurately reflect the diversity of stakeholder actions. For example, issues such as information asymmetry and bounded rationality are rarely considered, which affects the effectiveness and accuracy of policy recommendations in practice.
Third, sample limitations also constrain current research. Most studies are concentrated in a single country or region with small sample sizes, reducing the generalizability of findings [34]. In practice, the high production evaluation rate of policies often encounters regional differences, socio-economic research environments, and structural adjustments in the agricultural industry, making it difficult to directly apply such resolutions in different research environments. Although some quantitative research has been conducted, there is still little conclusive information, and continuous tracking and approval of effectiveness of policy planning schemes are relatively limited, which weakens reliability of research results. Some studies have begun to evaluate potential of artificial intelligence in improving government agricultural incentives and policy-making, but most research remains at the conceptual level. Empirical studies examining the practical application of artificial intelligence policies remain limited, and the impact of artificial intelligence on policy formulation, execution, and adaptive adjustment has yet to be thoroughly assessed. Consequently, mechanisms and pathways through which artificial intelligence policies can optimize decision-making, enhance policy responsiveness, and enable real-time adjustments remain underexplored.
In summary, while the existing literature extensively examines policy incentive mechanisms in agricultural sustainability, several limitations restrict a comprehensive understanding. Most studies are unable to consider major points, in contrast to mechanisms such as social assets, trust, and stakeholder actions that benefit stakeholders in policy research environments. Research predominantly emphasizes the macro-level effects of government incentives, overlooking actual behavioral responses of farmers and enterprises, particularly within complex social interactions. Furthermore, current studies largely rely on static policy models or single-policy tools, neglecting the dynamic impacts of multiple policy incentives and the potential for artificial intelligence policy optimization. Finally, empirical research is often limited to single regions or small-scale samples, reducing the external validity and applicability of findings across broader contexts.
This study primarily examines the effectiveness of artificial intelligence policies in promoting sustainable and stable agricultural development, with particular attention to the interaction and cooperation among governments, enterprises, and farmers under both incentivized and non-incentivized policy scenarios. This type of research mainly focuses on the connection between government incentives, enterprise participation, and farmers’ adoption of green technologies, focusing on how artificial intelligence policies can improve policy design and implementation, achieve tripartite cooperation, and achieve green transformation in agriculture. Theoretically, this study fills a gap in the literature regarding the intersection of mechanical intelligence policies and sustainable stability in agriculture. In practice, it can provide a reference for policymakers to improve the accuracy of incentive strategies and the effectiveness of high production capacity assessments.
To achieve these objectives, the study develops a theoretical framework that integrates a tripartite evolutionary game with a Stackelberg model to investigate how governments, enterprises, and farmers make decisions and adapt their behaviors dynamically in response to artificial intelligence policy incentives. The model construction incorporates multi-party game interactions and hierarchical decision-making in policy incentives, employing numerical simulation and dynamic game analysis to explore interactions and synergistic effects among the three parties. From a theoretical perspective, the study integrates artificial intelligence policy with game theory to examine how policy efficiency and responsiveness can be improved during dynamic policy design and implementation. Methodologically, integrating a tripartite evolutionary game with a Stackelberg model facilitates a comprehensive examination of the interactions and cooperative dynamics among governments, enterprises, and farmers, forming a multi-stakeholder framework that has not been previously addressed in the literature.
Furthermore, this study innovatively applies dynamic simulation methods, overcoming limitations in sample size and empirical verification present in existing research, and provides a broader and more precise assessment of policy impacts. These innovations have endowed this research with strong conceptual contributions while providing practical guidance for policy-making with high productivity assessment rates.

2. Literature Review

2.1. Background and Policy Incentives for Agricultural Sustainability in China

Agricultural sustainability is one of the core issues China currently faces, particularly in promoting green agriculture and environmental protection, where policy incentives play a crucial role. Given global climate change, resource shortages, and ecological degradation, ensuring food security while advancing the green transformation of agriculture has become a key strategic objective for the Chinese government. Through targeted policy incentives, the government promotes the adoption of environmentally friendly production technologies and sustainable practices among agricultural enterprises and farmers, supporting ecological development while sustaining stable agricultural economic growth.
One of the main objectives of China’s agricultural sustainability policies is to safeguard food security, preserve the ecological environment, and promote the adoption of environmentally friendly agricultural technologies. Studies show that government incentives not only guide farmers and agricultural enterprises to adopt green agricultural technologies but also enhance stakeholders’ willingness to participate. For example, Gómez-Limón and Sanchez-Fernández, through constructing a composite indicator system for agricultural sustainability, studied the policy incentive effects under different agricultural models and revealed the key role of policy incentives in agricultural sustainability [35].
In recent years, with agricultural sustainability emerging as a central focus in global agricultural policy and research, a growing body of empirical and theoretical work has examined how policy incentives can foster green agricultural development by enhancing resource allocation efficiency and increasing the uptake of environmentally friendly production technologies. For instance, Li explored the link between smallholders’ green production practices and policy incentives, demonstrating that in the context of agricultural green transformation, subsidies and incentive programs can effectively motivate smallholders to adopt sustainable agricultural technologies, thereby contributing to the establishment of resilient and sustainable food systems [36]. She et al., through empirical research on vegetable growers in Shandong Province, China, found that agricultural insurance as a policy incentive significantly increased the uptake of environmentally sustainable production technologies such as integrated pest and disease control and water-saving irrigation, especially when agricultural operating income was increased, which further promoted green technology adoption [37]. At the same time, Liu’s research on Chinese farmers’ knowledge capabilities and green production behaviors showed that under different policy scenarios, incentive-based environmental regulatory policies could reverse the negative effects of certain constraints on green production behaviors, thereby enhancing resource allocation efficiency and environmental governance performance [38]. Furthermore, research on agricultural water resource management and crop structure optimization has highlighted the important role of policy adjustments in promoting the green transformation of agricultural production [39]. Guo analyzed China’s agricultural carbon reduction policies and incentives from the perspective of low-carbon agricultural pathways and regional differences, providing systematic theoretical support for optimizing policy incentives and driving regional agricultural green development [40].
Building on this, studies from other years have further deepened the theoretical understanding of policy incentives and agricultural sustainability. Van Asseldonk et al. reviewed various mechanisms through which climate-smart agriculture policy incentives increase smallholder adoption rates and support sustainable agricultural practices, providing a theoretical reference for agricultural policy tool design [41]. Said evaluated the relationship between policy interventions and the sustainability and stability of food supply systems from a global perspective, emphasizing the role of policy tools in increasing green technology adoption and reducing system vulnerability [42]. Liu et al., in their research on sustainable agricultural intensification, pointed out that policy support plays a key role in the green development path of agriculture, providing empirical evidence for agricultural resource allocation and the transformation to environmentally friendly agriculture [43]. Hiywotu emphasized the core role of policy incentives in achieving sustainable agriculture and zero-hunger goals, revealing how incentive mechanisms influence technology diffusion and resource efficiency improvements [44]. Policy incentives have played a significant role in improving agricultural resource allocation efficiency, optimizing production methods, and stimulating stakeholders’ willingness to adopt green technologies in promoting agricultural green transformation and sustainable development. These studies not only enrich the theoretical framework for agricultural sustainability but also provide empirical evidence for formulating more effective agricultural green policies.

2.2. The Application of Game Theory Models in Agricultural Sustainability

Policy incentives are a major driver of agricultural sustainability and the efficient allocation of resources. Game-theoretic models offer a structured approach to examine how government incentives affect the uptake of environmentally sustainable technologies and the decision-making of farmers and enterprises. For instance, one study applied a tripartite evolutionary game to investigate the impact of government incentives on agricultural green technology adoption, revealing that policy measures play a critical role in enhancing the efficiency with which green production technologies are implemented in agriculture [45]. In addition, the study examined the strategic interactions involved in enterprise green production, especially within the context of government regulations and public engagement, and investigated how policy incentives can encourage the adoption of environmentally sustainable practices [46]. Moreover, evolutionary game models have been applied to examine decision-making processes in agricultural data sharing, investigating how collaboration among multiple stakeholders can facilitate the dissemination of agricultural technologies and support green innovation [47]. Game-theoretic models offer robust theoretical foundations for policy incentives, facilitating the analysis of cooperation patterns and interactions among governments, enterprises, and farmers.
In recent years, the use of game theory in agricultural governance and green production has grown, especially regarding multi-stakeholder cooperation and sustainable development within agricultural supply chains. Research indicates that game-theoretic models can effectively capture the dynamic interactions among local governments, village collectives, and farmers, shedding light on their strategic decisions and collaborative mechanisms in environmental protection and non-point source pollution management. For instance, one study applied a tripartite game to examine the interplay between governments, village collectives, and farmers in managing agricultural non-point source pollution, offering insights into how policy incentives and environmental measures work together to support green production [48]. Additionally, another study explored the game analysis between pesticide reduction management and rural environmental governance, revealing how the interaction between agricultural environmental policies and farmers’ behaviors helps reduce environmental pollution and enhance ecological benefits [49]. These studies offer theoretical guidance for designing policy instruments and fostering multi-stakeholder cooperation in agricultural green transformation, particularly in areas such as water resource management and collaborative governance. Game-theoretic approaches provide a robust framework for analyzing conflicts of interest and cooperation dynamics among multiple parties [50].
Game theory has played an important role in studying farmer behaviors, green technology adoption, and incentive mechanisms. Research shows that game models can effectively analyze farmers’ strategic decisions in adopting green production technologies, especially in the context of policy incentives and technology promotion. For instance, one study applied evolutionary game theory to examine how smallholders’ green production strategies develop over time, emphasizing the role of government incentives and policy support in encouraging environmentally friendly farming practices [51]. Another study investigated the strategic interactions among the government, farmers, and consumers, showing how policy measures and consumer behavior jointly shape the green transformation of agriculture within the framework of sustainable development [52]. Furthermore, game theory has been used to analyze the strategic choices of the government, farmers, and consumers in agricultural sustainability, particularly how incentive mechanisms can drive cooperation among all parties to achieve long-term sustainable agricultural goals.
In agricultural policy, subsidies and incentive mechanisms are key factors driving agricultural green development and long-term cooperation. Game theory models are widely used to analyze how policy incentives affect the strategic interactions between farmers, enterprises, and governments. Studies have shown that economic incentives, including subsidies and reward programs, can significantly motivate farmers to implement environmentally sustainable practices, thus supporting the transition toward greener agricultural systems. For instance, one study applied evolutionary game theory to examine how government subsidies affect green business models, highlighting the role of agricultural subsidies in promoting sustainable practices within the pig farming sector. Additionally, institutional incentives and their effects on multi-party coordinated cooperation behaviors have also received attention. One study, based on an evolutionary game model, analyzed how institutional incentives affect cooperative behavior in agricultural production and revealed the role of incentive mechanisms in coordinating the interactions between governments, enterprises, and farmers [53]. Furthermore, farmers adopting conservation tillage strategies have also become an important area of game theory analysis, with research analyzing the evolution of conservation tillage strategies under government incentives, providing policymakers with decision support for green agricultural technology promotion [54].
Game theory, as an effective tool for analyzing the interrelationship between agricultural sustainability and policy incentives, has been widely applied in analyzing the behavioral interactions among multiple stakeholders. Particularly in the multi-party game analysis among agriculture, the government, and farmers, game models have revealed how different incentive mechanisms drive the green transformation of agriculture and sustainable development. Some studies have applied multi-agent evolutionary game theory to examine decision-making in agricultural sustainability, investigating the cooperative and competitive interactions among governments, farmers, and consumers, thereby offering a theoretical foundation for the design of green agricultural policies [33]. Another study used game models to explore the coordination and cooperation mechanisms among multiple stakeholders in agriculture, especially focusing on the impact of policy incentives on sustainable agricultural decision-making [55]. Additionally, game models have played an important role in analyzing rural governance and green production, particularly in decision-making related to agricultural production and environmental protection [56]. Furthermore, some studies have used evolutionary game theory to analyze multi-party participation in agricultural governance, especially how government, farmers, and environmental policies interact to drive green development and sustainable production in agriculture. These studies provide strong game-theoretical support for agricultural policy incentives and green technology adoption, helping to design more effective incentive policies that promote the transformation of agricultural systems toward sustainable development.

2.3. Integration of Artificial Intelligence Policies and Game Theory Models

In recent years, the extensive use of artificial intelligence has offered novel approaches and insights for developing and implementing agricultural policies. Artificial intelligence, through big data analysis, predictive models, and intelligent decision-making support, can assist governments in optimizing policy incentives, precisely identifying bottlenecks and problems in agricultural production, and providing more effective policy support for agricultural stakeholders. These technologies contribute not only to more efficient resource allocation but also to the refinement of agricultural production systems, thereby supporting the green transformation and long-term sustainability of agriculture.
Firstly, artificial intelligence’s data processing capabilities play a significant role in agricultural policy formulation. Through big data analysis, artificial intelligence can help the government monitor all stages of agricultural production in real-time, identify potential problems, and propose targeted policy recommendations. For example, artificial intelligence can help the government predict future trends in agricultural production by establishing precise forecasting models and adjusting policy incentives based on these predictions [57]. Additionally, artificial intelligence can assist the government in designing more accurate incentive policies through deep mining and analysis of agricultural production data, especially in guiding policies related to farmers’ behavior and agricultural resource allocation [45]. The application of artificial intelligence technology not only enhances the efficiency of government decision-making but also helps identify potential bottlenecks and issues in agricultural production, thereby optimizing policy combinations to achieve more efficient policy execution. Lastly, artificial intelligence, through in-depth analysis of agricultural production data, further assists the government in precisely designing incentive policies, especially by optimizing farmers’ behaviors and agricultural resource allocation, providing strong support for agricultural sustainable development. Artificial intelligence’s intelligent decision-support systems can effectively improve the execution efficiency of agricultural policies. Through predictive modeling, artificial intelligence can help policymakers simulate the behaviors of agricultural stakeholders under different policy incentives, thereby optimizing policy implementation effectiveness. For example, artificial intelligence can evaluate the impact of different policy combinations on the interactive behaviors between farmers, enterprises, and the government, providing data support for formulating rational subsidy policies [58]. Furthermore, artificial intelligence technology can help the agricultural sector assess and adjust problems in policy implementation in real-time, ensuring the long-term effectiveness and sustainability of policies.
Secondly, artificial intelligence’s intelligent decision-support systems can effectively improve the execution efficiency of agricultural policies. Through predictive modeling, artificial intelligence can help policymakers simulate the behaviors of agricultural stakeholders under different policy incentives, thereby optimizing policy implementation effectiveness. For example, artificial intelligence can evaluate the impact of different policy combinations on the interactive behaviors between farmers, enterprises, and the government, providing data support for formulating rational subsidy policies [59,60]. Additionally, artificial intelligence technology can assist the agricultural sector in real-time assessment and adjustment of problems in policy execution, ensuring the long-term effectiveness and sustainability of policies [8,61,62].
Artificial intelligence technology provides new possibilities for agricultural policy incentives, especially in optimizing policy design, improving policy responsiveness, and promoting green finance and green technology adoption [63,64,65]. Future studies should further explore the integration of artificial intelligence with agricultural policy incentives, especially through the use of game-theoretic models, to offer more targeted and effective guidance for promoting sustainable agricultural development [10].
Although existing research has provided significant theoretical support for agricultural sustainable development, several research gaps still remain. First, the existing literature mainly focuses on areas such as government policy incentives, green finance, and technological support, with less attention given to the systematic application of artificial intelligence technology in agricultural sustainability, particularly in terms of the specific effects of combining policy incentives with artificial intelligence technology. Secondly, while game theory models have been widely applied in agricultural sustainability analysis, there is still a lack of research on how artificial intelligence policies influence the behaviors of farmers, enterprises, and the government in multi-party games. Furthermore, most existing research is limited to single policy incentives or economic models, lacking interdisciplinary studies that comprehensively consider the synergistic effects of different policy tools, such as green finance and artificial intelligence technology.
Previous studies have increasingly acknowledged artificial intelligence as a significant driver of sustainable agricultural development, especially in facilitating the adoption of green technologies, optimizing resource use, and enhancing production efficiency. The government, through policy incentives, green finance tools, and technological support, has achieved certain results in promoting agricultural sustainability. However, most existing literature focuses on the analysis of single policies or economic models, with limited systematic exploration of the integration of artificial intelligence policies and multi-party game models. Especially regarding the synergistic effects of policy incentives and artificial intelligence technology, research still has significant gaps. The majority of previous research continues to rely on static models and has yet to thoroughly investigate how the three primary stakeholders make strategic decisions and evolve their behaviors under dynamic interactions.
To fill this research gap, the study constructs a framework that integrates a tripartite evolutionary game with a Stackelberg model to investigate how artificial intelligence policies influence the decision-making interactions among governments, enterprises, and farmers in advancing agricultural green transformation. Through the game theory framework, this study not only reveals how artificial intelligence technology enhances the effects of existing policy incentives but also further explores how artificial intelligence plays a key role in policy design optimization, green technology adoption, and agricultural sustainable development.

3. Evolutionary Game Theory Model Assumptions and Construction

In the preceding literature review, we examined the role of artificial intelligence policies in promoting sustainable agricultural development and highlighted existing research gaps, particularly concerning policy incentives, applications of artificial intelligence technology, and multi-stakeholder game-theoretic models. While government incentive policies, green finance tools, and technological support have played critical roles in promoting agricultural sustainability, these studies typically focus on static models or the analysis of the effects of single policies, lacking an analysis of the evolving interactions and strategic behaviors among multiple stakeholders analyzed through game-theoretic approaches under artificial intelligence policy incentives.
This study fills this research gap by constructing a framework that combines a tripartite evolutionary game with a Stackelberg model. The framework is intended to investigate the decision-making processes and interaction dynamics of governments, enterprises, and farmers under artificial intelligence-driven policy incentives. Through this approach, the study examines not only how artificial intelligence policies can enhance the effectiveness of existing incentive mechanisms but also their contribution to facilitating the uptake of environmentally sustainable technologies and advancing the green transformation of agriculture. The following sections provide a detailed description of the assumptions and structure of the evolutionary game model. Initially, the assumptions of the three players, governments, enterprises, and farmers, are analyzed, clarifying their decision-making logic under various artificial intelligence policy scenarios. This part lays the theoretical foundation for solving and analyzing the model, ensuring that we can reveal the strategic interactions and evolutionary paths in the multi-party game through game theory analysis.

3.1. Analysis of Game Participants

In the game of artificial intelligence agricultural economic development, the key participants include the government, enterprises, and farmers. Each participant makes decisions based on the goal of maximizing their own benefits, thereby creating a complex web of interactions. In this context, the government, enterprises, and farmers each assume different roles and significantly influence the overall economic outcomes through their strategic choices. In the game model, the government’s participation directly affects the development of agricultural sustainability and its associated economic benefits. The government’s non-participation in AI policy-driven agricultural sustainability results in a benefit G1, while the cost of non-participation is G2. The government’s participation brings additional benefits at a ratio of k, and the additional expenditures incurred from participation are represented by a ratio of j. The government allocates benefits to enterprises at a ratio of u and to farmers at a ratio of v. If both enterprises and farmers do not participate, the government offers incentives to enterprises at a ratio of m and to farmers at a ratio of n. These incentive measures are designed to mobilize all parties and promote the advancement of agricultural sustainability.
Enterprises that do not participate in artificial intelligence agricultural sustainability accrue a benefit of E1 and incur an expenditure of E2. If farmers participate in artificial intelligence agricultural sustainability but enterprises do not, the compensation paid by enterprises to farmers is P. The additional cost for enterprises participating in artificial intelligence agricultural sustainability is denoted by a ratio of f. When farmers do not participate, their expenditure is F2. If enterprises participate in artificial intelligence agricultural sustainability but farmers default, farmers must compensate enterprises with an amount Q. The additional cost for farmers participating in artificial intelligence agricultural sustainability is represented by a ratio of w.
The analysis of the economic game participants in agricultural sustainability not only illustrates the independent decisions of each participant under different policy incentives but also highlights their interdependencies and interactions. The behavior choices of the government, enterprises, and farmers in this system not only determine their respective economic interests and strategic directions but also collectively shape the collaborative model for agricultural sustainability. Through game theory analysis, we can gain a deeper understanding of how the participants respond to policy incentives, benefit distribution, and cost constraints and how policy guidance can lead to a stable cooperative equilibrium among the three parties. This provides a theoretical basis and practical guidance for optimizing policy design and achieving sustainable agricultural development. A detailed explanation of the game parameters is provided in Table 1.
In constructing the game matrix, ensuring the clarity and internal consistency of the model is crucial. Specifically, for certain parameters (such as k, j, u, and v), which are defined as ratios or percentages and directly applied in the calculation of benefits, it is essential to avoid dimensional inconsistency. To address this, these parameters have been normalized, ensuring that they maintain consistent units and scales throughout the calculations. By employing this normalization method, each parameter in the model is appropriately applied in subsequent benefit matrices and dynamic replication, preventing dimensional inconsistencies. This enhances the logical coherence and consistency in the model derivation process, ensuring that the incentive effects of artificial intelligence policies in agricultural sustainability are accurately reflected. Accordingly, the resulting evolutionary game payoff matrix, detailing the strategies and payoffs of the government, enterprises, and farmers, is presented in Table 2.

3.2. Model Assumptions

Hypothesis 1.
The proportion of additional costs for enterprises in participating in AI policy-driven agricultural sustainable development is negatively correlated with their willingness to participate. As f increases, the participation costs for enterprises rise, thereby inhibiting their willingness to participate.
Based on the cost–benefit maximization theory, enterprises make decisions by weighing costs and benefits in order to maximize their own interests [66,67]. When the additional costs required for participating in agricultural sustainable development increase, the economic pressure on enterprises rises, and their motivation to participate declines. This phenomenon also aligns with the theory of green innovation, which suggests that although policies can provide certain incentives for enterprises, the high transformation costs remain a core constraint in decision-making [68]. Therefore, policy design should not only strengthen the intensity of incentives but also effectively reduce the participation costs for enterprises to ensure their active involvement.
Hypothesis 2.
The proportion of additional benefits resulting from government involvement in artificial-intelligence-policy-driven agricultural sustainable development is positively associated with the willingness of governments, enterprises, and farmers to participate, as well as with the overall stability of the system. As k increases, the government’s overall benefits in agricultural sustainable development increase, and the system evolution will accelerate towards a high-participation, high-collaboration stable state.
According to evolutionary game theory and the incentive mechanisms in multi-party games, increasing government-provided benefits to encourage enterprises and farmers not only enhances their willingness to participate but also speeds up the system’s progression toward a stable state characterized by high participation and strong collaboration among stakeholders [69]. Specifically, as k increases, the effectiveness of the government’s policy enhances, and enterprises and farmers see the potential increase in benefits, thus strengthening their willingness to participate, ultimately driving the interactions among the three parties towards more efficient and stable cooperation. In policy incentive theory, there is a positive correlation between the intensity of policy and willingness to participate. Particularly, when the government enhances its economic benefits through AI technology, enterprises and farmers will perceive the benefits brought by the policy, thus increasing their willingness to cooperate. Relevant studies have shown that the strength of government incentives directly impacts the cooperation and long-term stability of the three parties [35,70]. Moreover, self-organizing criticality theory in system dynamics suggests that appropriate incentive measures can promote coordination among the participants in the system, driving the system towards a high-participation, high-collaboration stable state. By increasing its own benefits and incentivizing other participants, the government can push the system towards a more efficient and stable state [71]. Therefore, Hypothesis 2 indicates that by optimizing AI policy incentives, the government can not only increase its own benefits but also accelerate the stability and efficiency of the agricultural sustainable development system.
Hypothesis 3.
The higher the proportion of benefits provided by the government to enterprises through AI policy-driven agricultural sustainable development, the greater the enterprises’ willingness to participate and invest. As u increases, the benefits enterprises receive from the government increase, thereby enhancing their investment in the agricultural sustainable development economy.
Based on incentive theory and cost–benefit analysis, according to incentive theory, enterprises typically assess the relationship between input costs and expected returns when making decisions. When the government increases the proportion of benefits to enterprises through policies, enterprises can receive more economic returns, thus stimulating their motivation to participate. In the context of agricultural sustainable development, the government’s benefit distribution directly influences the decision-making of enterprises, thereby promoting their investment and participation in green transformation [72]. Furthermore, the willingness of enterprises to participate and their level of investment are also influenced by the cost–benefit maximization principle. When enterprises expect higher returns from government incentives, their willingness to participate increases. Government incentive policies can encourage enterprises to invest more in green technology innovation and sustainable agricultural development by lowering costs and boosting expected returns [73]. As u increases, enterprises’ benefits increase, thus enhancing their investment in the agricultural sustainable development economy. Evolutionary game theory suggests that in multi-party games, government incentives not only increase enterprise participation but also promote collaboration among the three parties. When the government’s benefit distribution ratio increases, enterprise participation in the game rises, further accelerating the stability and cooperation efficiency of agricultural sustainable development [74,75]. Therefore, Hypothesis 3 emphasizes that by increasing the proportion of benefits for enterprises, the government can effectively enhance enterprises’ willingness to participate, driving agricultural sustainable development towards a high-participation, high-collaboration stable state.
Hypothesis 4.
The higher the proportion of benefits provided by the government to farmers through AI policy-driven agricultural sustainable development, the higher the farmers’ willingness to participate and adoption level. As v increases, the government’s support for farmers increases, reducing the participation costs for farmers and enhancing their willingness to participate.
Drawing on incentive theory and cost–benefit analysis, farmers consider both the potential economic gains and the associated participation costs when making decisions. As the government provides more economic support, farmers’ participation costs decrease, motivating them to invest in agricultural sustainable development projects. According to incentive theory, by increasing the proportion of benefits for farmers, the government can effectively reduce farmers’ burdens, stimulating their participation enthusiasm, promoting the adoption of green technologies and advancing agricultural transformation. Furthermore, cost–benefit analysis further supports this assumption, indicating a direct relationship between farmers’ willingness to participate and the costs they bear and the benefits they gain. When the government increases its support for farmers, farmers receive more benefits, and their economic returns from participation increase, thus naturally enhancing their willingness to participate and technology adoption. Policy incentives can lower the costs associated with farmers’ participation, thus encouraging their investment in and adoption of environmentally sustainable agricultural technologies [76]. From the perspective of social capital theory, government support is not only an economic incentive but also helps build trust and cooperation between farmers and the government. When farmers perceive the government’s active support for their participation, trust relationships are strengthened, and cooperation motivations increase [77]. This accumulation of social capital further promotes farmers’ participation in agricultural sustainable development and enhances the overall system’s stability. Evolutionary game theory suggests that government support for farmers can accelerate the evolution of farmers’ behaviors, driving the agricultural sustainable development system towards a high-participation, high-collaboration stable state [75,78]. By increasing the share of benefits for farmers, the government can not only enhance farmers’ economic incentives but also promote long-term cooperation and stability among the three parties.

3.3. Replication Dynamic Equation Construction

Based on the above analysis and assumptions, Equations (1)–(12) represent the revenue situations for the government, enterprises, and farmers.
The expected utility of the government, which is actively promoting and moderately intervening, is as follows:
E x 1 = G 1 G 2 · ( 1 + j ) + ( G 1 + G 1 · ( 1 + k ) ) · y · z
E x 2 = G 1 G 2
The average payoff of the government can be expressed as
E ¯ x = x · E x 1 + ( 1 x ) · E x 2 = G 1 G 2 · ( 1 + jx ) + G 1 · k · x · y · z
The government’s replication dynamic equation can be expressed as F(x):
F x = dx dt = x ( E x 1 E ¯ x ) = ( 1 + x ) x ( G 2 j G 1 kyz )
The expected utility of firms with active participation and moderate wait-and-see approach is as follows:
E y 1 = E 1 + Q E 2 · ( 1 + f ) Qz + G 1 · k · u · x · z
E y 2 = E 1 E 2 Pz + x · G 2 . j · m ( 1 z )
The average payoff of the firm can be expressed as
E ¯ y = y · E 1 + ( 1 y ) · E 2 = E 1 + Qy E 2 · ( 1 + f ) + G 2 · j · m · x · ( y 1 ) · z Pz + ( P Q + G 1 · k · u · x ) · y · z
The firm’s replication dynamic equation can be expressed as F(y):
F y = dy dt = y ( E y 1 E ¯ y ) = y ( 1 y ) Q E 2 f G 2 jmx + z P Q + x ( G 1 ku + G 2 jm )
The expected utility of farmers with active participation and a cautious wait-and-see approach is as follows:
E z 1 = P + F 1 ( 1 + w ) · F 2 Py + G 1 · j · v · x · y
E z 2 = F 1 F 2 Qy + x · ( G 2 · j · n G 2 · j · n · y )
The average payoff of the farmer can be expressed as
E ¯ z = z · E z 1 + ( 1 z ) · E z 2 = F 1 Qy + G 2 · j · n · x · ( y 1 ) · ( z 1 ) + Pz + ( Q P + G 1 · j · x · v ) y · z F 2 · ( 1 + wz )
The farmer’s replication dynamic equation can be expressed as F ( z ) :
F z = dz dt = z ( E z 1 E ¯ z ) = z ( 1 z ) P w F 2 G 2 jnx + y Q P + x ( G 1 jv + G 2 jn )

4. Equilibrium Points and Stability Analysis of the Three-Party Evolutionary Game System

In an asymmetric game, when information asymmetry is present, the evolutionarily stable strategy corresponds to a pure strategy. Let F ( x ) = 0 ,   F ( y ) = 0 ,   F ( z ) = 0 to obtain the pure strategy equilibrium points, namely E1(0,0,0), E2(1,0,0), E3(0,1,0), E4(0,0,1), E5(1,1,0), E6(1,0,1), E7(0,1,1), E8(1,1,1). Here, moving from left to right, the state values represent the active intervention of the government, active promotion by enterprises, and active participation by farmers, respectively; a state value of “0” represents the opposite situation.
According to the Lyapunov indirect method, an equilibrium point is evolutionarily stable if all the eigenvalues of the Jacobian matrix are negative. By substituting the equilibrium points into the Jacobian matrix and performing the calculations, the eigenvalues corresponding to each point can be determined. By judging whether each eigenvalue is less than 0, only S 1 , S 4 , S 6 , S 8 have the potential to be stable points of the system, while the remaining points are unstable. We have clarified the signs of the eigenvalues for each equilibrium point, and the stability of each point has been explicitly indicated in Table 3.
Therefore, this study further analyzes the stability conditions and explores the dynamic evolutionary characteristics of the system under ideal conditions and the path to achieving these conditions. The eigenvalues of the equilibrium points in the three-party evolutionary game model for artificial-intelligence-empowered sustainable agriculture are presented in Table 4, while the results of the array evolution are illustrated in Figure 1.
By examining the overall strategy evolution of the three stakeholders, this study employs the replicator dynamic equations for governments, enterprises, and farmers, considers various initial strategy combinations, and traces the system’s evolutionary trajectory. The results indicate that, despite substantial differences in the initial strategies, the system eventually converges to a common stable region near (1,1,1), where all three stakeholders—government, enterprises, and farmers—opt to participate. This suggests that under the current parameter settings, the system exhibits strong path convergence and stability. With reasonable policy incentives, the three parties can transition from decentralized decision-making to collaborative cooperation. Additionally, although the evolutionary trajectory shows some initial divergence, as time progresses, the positive incentive mechanisms gradually take effect, pushing the system towards a stable, high-participation state. Ultimately, the stability and robustness of the system indicate that, even with large differences in initial conditions, reasonable policy incentives can effectively promote cooperation among the three parties, achieving the goal of collaborative governance.
S 1 : In the game model of sustainable agricultural development, the decisions of the government, enterprises, and universities are closely related and interdependent. First, the additional benefits from government participation outweigh the costs of non-participation, G 2 j G 1 k < 0 , which implies that government participation can promote overall economic and social welfare. Therefore, the government is inclined to participate. For enterprises, the government reduces their participation costs through incentives such as subsidies and technical support, which is expressed as P   +   E 2 f G 1 ku < 0 . If the incentives provided by the government are sufficient to cover the enterprises’ costs, they are more likely to participate. For universities, government subsidies and technical support are key factors for their participation. The participation cost for universities is Q , and the government provides an incentive of w F 2 . When Q + w F 2 G 1 jv < 0 , the participation cost for universities is effectively reduced, enhancing their willingness to participate. These inequalities reveal the interdependence among the government, enterprises, and universities: the government lowers the participation costs for enterprises and universities by providing incentives, and the willingness of enterprises and universities to participate depends on these incentives. A reasonable incentive mechanism can promote stable cooperation among the three parties, ensuring the successful development of sustainable agriculture or agricultural economic projects. If government incentives are insufficient, the willingness of enterprises and universities to participate will be suppressed, affecting the overall system’s collaborative effect. Therefore, the government must ensure that the social benefits and economic returns from participation exceed the expenditures and provide effective incentives to support enterprise and university participation.
S 4 : When the government participates, the social benefits it brings are greater than the costs of non-participation, G 2 j < 0 , meaning that government participation results in larger socio-economic returns. For universities, when they do not participate, the costs they need to pay are higher than the subsidies provided by the government, which means that university participation can be incentivized through government subsidies, increasing their motivation. This condition is represented as Q w F 2 < 0 . Moreover, when universities do not participate, the compensation enterprises need to pay exceeds the cost of university participation, causing enterprises to pay more compensation to ensure university participation, Q   +   E 2 f < 0 . When universities do not participate, both enterprises and the government need to provide additional compensation and incentives to offset the cost of university non-participation. A reasonable compensation mechanism and government incentives can effectively lower the participation costs for universities and enterprises, increasing their willingness to participate and promoting stable cooperation across the system.
S 6 : When the government participates, the additional benefits it provides exceed the costs of non-participation; thus, government participation leads to greater social benefits and supports project implementation. For enterprises, if they do not participate, the subsidies universities receive will be smaller than the cost of their participation, meaning that enterprise participation determines whether universities can receive enough incentives to participate. Furthermore, compensation paid by enterprises influences universities’ willingness to participate. When enterprises do not participate, the compensation universities receive will be smaller than the cost of their participation, P E 2 f < 0 , thus suppressing universities’ willingness to participate. These conditions reveal the interdependence among the government, enterprises, and universities. Incentive measures from both the government and enterprises directly affect universities’ willingness to participate. Reasonable incentives and compensation mechanisms are crucial for promoting cooperation among the three parties and ensuring project success.
S 8 : The government’s participation results in greater social benefits than non-participation, so the government is inclined to participate. For universities, when their compensation from participation is less than the subsidy provided by the government, P w F 2 < 0 , universities’ willingness to participate may decrease if government support is insufficient. Additionally, when enterprises participate, universities receive compensation greater than their required cost, which motivates universities to participate. However, if enterprises do not participate, universities’ compensation decreases, lowering their willingness to participate, Q E 2 f < 0 . These conditions illustrate the mutual influence between the government, enterprises, and universities. Incentives from both the government and enterprises can effectively promote university participation, ensuring stable cooperation in the project.
In order to investigate the effect of significant random changes on the evolution of the tripartite strategy, a sensitivity study was conducted while maintaining baseline random settlement, randomness of decision in this study includes the inclusion of the value-added coefficient by the government. The government participation overall gain coefficient k, the government’s revenue transmission coefficient to enterprises u, the government’s revenue transmission coefficient to farmers v, and the additional cost coefficient of enterprise participation f are selected for the sensitivity analysis. These random variables represent the full effectiveness of policy incentives, incentives that are equally beneficial to both enterprises and farmers, and cost penalties for enterprises. They collectively provide insights into how the construction of policy incentive systems can promote the evolution and stabilization of the three-party system.

5. Numerical Simulation

The study first constructs a tripartite evolutionary game framework. To depict the system’s evolutionary trajectory, simulation analyses are performed using Matlab 2022a, based on the replicator dynamic equations and the constraints of the various strategic participants. In order to enhance the practical applicability and traceability of the parameter configuration, the parameters are assigned by referencing those used in the publicly available literature, following the principle of equilibrium balance and integrating similar studies. The parameter values are set as follows:
  G 1 = 20 ,   G 2 = 10 ,   k = 0.1 ,   j = 0.1 ,   u = 0.2 ,   v = 0.8 ,   m = 0.5 ,   n = 0.5 ,   x = 0.5 ,   E 2 = 12 ,   P = 6 ,   f = 0.5 ,   y = 0.5 ,   F 2 = 8 ,   Q = 6 ,   w = 0.3 ,   z = 0.5
Subsequently, sensitivity analyses are conducted for each parameter, as shown in Figure 2, Figure 3, Figure 4 and Figure 5.
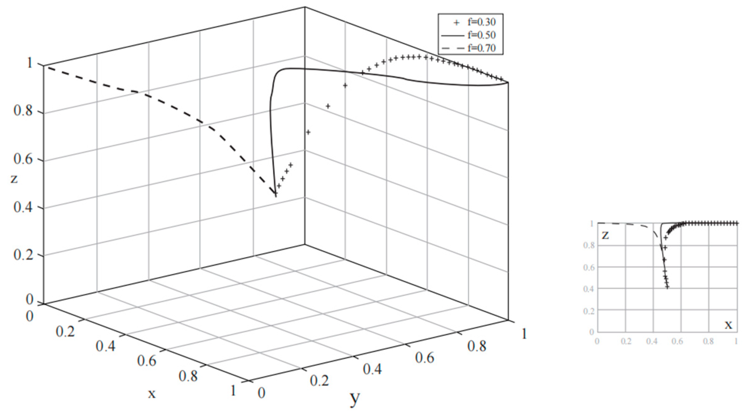
The additional costs borne by enterprises in engaging with sustainable agricultural development substantially influence the system’s evolution. The evolutionary trajectories in the figure indicate that as these costs increase, the pace of evolution for enterprise participation strategies slows, and the time required for the system to reach a stable cooperative state is prolonged, which may reduce the participation incentives for both governments and farmers. This indicates that the cost pressure faced by enterprises in sustainable agricultural development is one of the key factors affecting the system’s stability. Enterprises’ participation requires bearing multiple costs, such as equipment investment, technical training, platform construction, and operational maintenance. If the cost of enterprise investment is too high, even with policy incentives, the willingness of enterprises to participate will still be suppressed, delaying the system’s evolutionary process and ultimately affecting overall collaborative efficiency. Furthermore, changes in the system when enterprise costs rise also indicate that the participation willingness of enterprises directly influences the decisions of both the government and farmers. Higher enterprise costs may lead enterprises to withdraw, forcing the government to make further compromises in fiscal expenditures and incentive measures to maintain the overall stability of the system, thus validating Hypothesis 1.
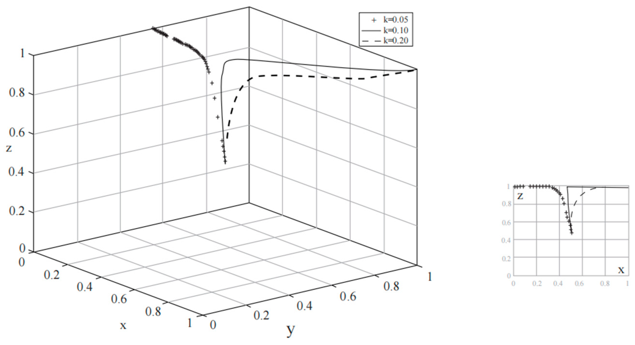
The sensitivity analysis of the parameter k indicates that as k increases, the overall benefits brought by the government’s participation in artificial-intelligence-enabled sustainable agricultural development are further enhanced, leading the system to gradually converge towards a stable cooperative state among the three parties. From the evolutionary trajectory in the figure, it can be observed that as k increases, the strategy evolution of the three parties accelerates, and a stable cooperative state is reached more quickly. By enhancing overall incentives and the government’s level of trust, the system further strengthens the government’s influence over enterprises and farmers, prompting the three parties to cooperate and stabilize in a shorter period.
This suggests that effective government policies and a comprehensive incentive structure are key factors in driving the efficient and collaborative development of sustainable agriculture. If policies can enhance cooperation across different segments of the industry chain while also optimizing incentive measures for resource integration and technology diffusion, they will more effectively improve cooperation levels among the three parties. When k is relatively high, both enterprises and farmers show a greater willingness to participate, with government involvement serving as the primary driver of collaborative cooperation among all three stakeholders. This further emphasizes that the government’s role in driving sustainable agricultural development is crucial, as it can optimize policy incentives and improve resource allocation efficiency, guiding the system towards high-efficiency collaboration. This confirms Hypothesis 2.
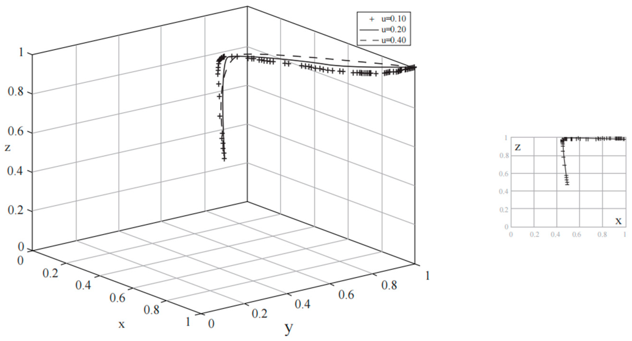
As the parameter u increases, the participation rate of enterprises in artificial intelligence-enabled sustainable agricultural development significantly accelerates, and the system gradually converges to a stable cooperative state, with the time required for this process shortened. From the evolutionary trajectory in the figure, it is evident that as u increases, the system exhibits strong concentration during the early stages of evolution. Strategy trajectories under different initial conditions gradually converge in the same stable region, indicating that government policy support accelerates the participation process of both enterprises and farmers, reducing the initial willingness differences among the parties. Ultimately, the strategies of all three parties tend to the “participation” state, demonstrating that the greater the intensity of government policy incentives, the stronger the stability and long-term nature of the three-party cooperation. This confirms Hypothesis 3.
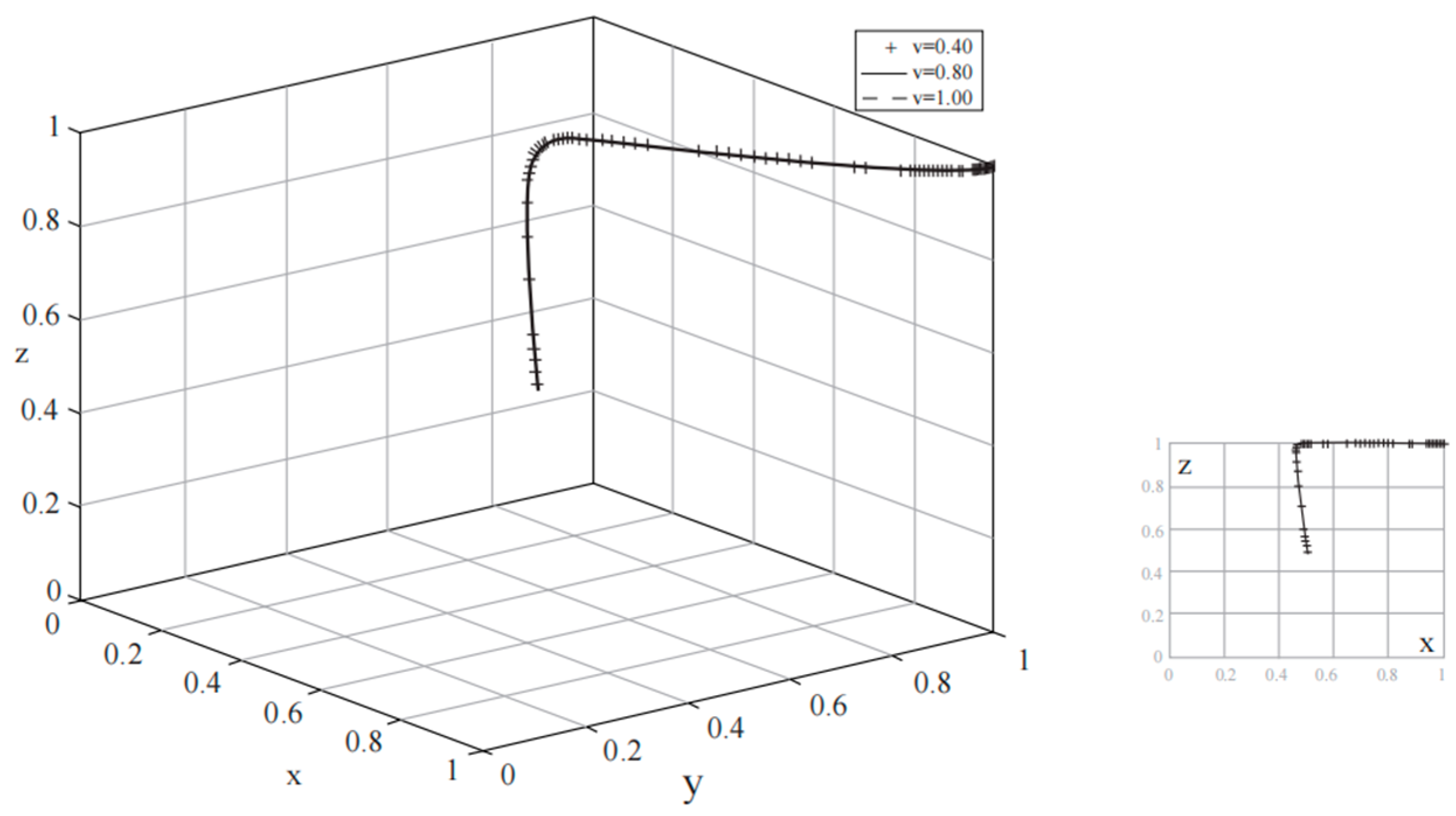
As the parameter v increases, the government’s incentive effect on farmers significantly strengthens, accelerating farmers’ willingness and speed of participation. From the evolutionary trajectory in the figure, it can be seen that when v is low, farmers’ willingness to participate is low, and the system’s convergence speed is slow. However, as v increases, the government’s incentive policies become more effective, and farmers’ willingness to participate noticeably increases, causing the system’s evolutionary path to gradually converge to a stable cooperative equilibrium point. Further analysis shows that farmers are sensitive to government incentive signals, especially when subsidies, technical support, and training services help farmers perceive the economic benefits and social welfare improvements brought by artificial intelligence-enabled sustainable agricultural development. After farmers’ willingness to participate increases, enterprises will also correspondingly increase their support and investment in farmers, further driving the transformation and upgrading of agricultural production methods. This process indicates that government policies not only incentivize individual participants but also promote interaction and cooperation between farmers and enterprises, achieving a virtuous cycle among the three parties, confirming Hypothesis 4.

6. Government-Led Stackelberg Game Model Construction

In previous evolutionary game studies, this study examined development trends, strategic planning, and dynamic calibration periods of government, enterprises, and farmers in classic cooperation of sustainable agriculture from a limited rational perspective. Through microcosm comparison and random sensitivity research, significant effectiveness of policy incentives in constructing classic evolution has been verified; intensity of government incentives, mechanism for delivering benefits, and cost of enterprise participation are key factors affecting evolution of tripartite cooperation; and evolutionary game method focuses more on constructing evolutionary rules that are constantly dynamically calibrated and is relatively lacking in describing material properties of gradient decision-making that involves government policy-making, enterprises, and farmers providing corresponding feedback. In the process of promoting sustainable agricultural development, the government usually has the power to provide institutional construction, allocate financial resources, and control policies, while enterprises and farmers will make corresponding choices based on the policy research environment. It is necessary to introduce the Stackelberg game pattern based on three-party evolutionary game research to study the optimal allocation of government incentive policies. A Stackelberg game emphasizes the order of decision-makers and focuses more on evaluating connections, which can efficiently capture the decision-making structure of leaders taking action first and followers responding later in order to evaluate high productivity and make adjustments through calculation. In the sustainable classic period of agriculture, the creator of government regulations is the main provider of government subsidies, skill marketing, and public service support. In this situation, it occupies a natural leadership position in a tripartite connection, with continuous improvement of mechanical intelligence skills by government.
Hypothesis 5.
The optimal investment level of enterprises is determined not only by the strength of government incentives and the enterprise’s return transmission coefficient but also by the positive effects of farmers’ adoption levels. There is a significant strategic complementarity between enterprise investment and farmers’ adoption. Increased investment by enterprises will motivate farmers to adopt agricultural sustainable development technologies more widely, and conversely, the adoption level of farmers will drive enterprises to further increase their investment.
Based on the theory of strategic complementarity and technology diffusion, the investment made by enterprises and the adoption behavior of farmers are interdependent, creating a positive feedback relationship between the two. According to the diffusion of innovation theory, when enterprises increase their investment, they lower the cost of technology and improve its supply, which in turn incentivizes farmers to adopt new technologies [79]. Meanwhile, farmers’ adoption behavior can further encourage enterprises to increase their investment by raising market demand and promoting the diffusion of technologies. Specifically, when the participation level of farmers increases, the market return and profit expectations for enterprises rise, which encourages enterprises to invest more in technology, thus forming a virtuous cycle. Moreover, in game theory, the concept of strategic complementarity indicates that decisions and strategies among multiple stakeholders often promote each other. In the context of agricultural sustainable development, the investment and adoption decisions between enterprises and farmers create a mutually reinforcing scenario. This complementary relationship enables the actions of governments, enterprises, and farmers to jointly contribute to the successful implementation of agricultural sustainable development projects [80].
Hypothesis 6.
A positive relationship exists between the magnitude of government incentives and both enterprise investment and farmers’ adoption levels. As government incentives increase, the participation of enterprises and farmers rises, and the system gradually moves toward a cooperative equilibrium.
Drawing on incentive theory and the leader–follower framework of game theory, in the Stackelberg game, the government, acting as the decision-making leader, shapes the actions of enterprises and farmers through the implementation of incentive policies. According to incentive theory, the stronger the government incentives, the greater the participation motivation of enterprises and farmers, which in turn drives their investment and adoption in agricultural sustainable development projects. Incentive measures reduce participation costs and improve expected returns, motivating enterprises and farmers to increase their investment and participation within the framework set by the government [81,82]. Moreover, the cooperative equilibrium theory in game theory indicates that in multi-party games, government incentives not only increase the participation of enterprises and farmers but also guide the system toward a cooperative equilibrium. As government incentives increase, the participation of enterprises and farmers also rises, and the entire system evolves toward a more efficient cooperative state. Government incentive measures enhance cooperation among all parties, contributing to the long-term stability and sustainability of agricultural sustainable development.
According to the above hypothesis, the government’s decision variables include the incentive intensity s, the benefit transmission coefficient to enterprises u, and the benefit transmission coefficient to farmers v. Here, s represents the overall level of government support for agricultural sustainable development cooperation, reflecting the government’s efforts through subsidies, policy support, and public service provision to support various parties in agriculture. u measures the proportion of benefits transmitted to enterprises through government incentives, indicating the government’s influence on enterprises’ willingness to participate, especially in areas such as technology investment and green innovation. v represents the proportion of benefits transmitted to farmers, reflecting the government’s economic support in promoting the adoption of green agricultural technologies and management models by farmers.
The decision variable for enterprises is the investment level e, representing the intensity of enterprise investment in technology research and development, equipment supply, platform maintenance, and service support. The willingness of enterprises to participate and their investment level are directly influenced by government incentive intensity, as well as factors such as market expectations and technological innovation needs. The decision variable for farmers, denoted as a, represents the degree to which they implement sustainable agricultural technologies, adopt relevant equipment, and apply improved management practices. Farmers’ engagement is strongly influenced by government support and enterprise investment, especially regarding the adoption and dissemination of green agricultural technologies, where their participation is essential to the overall process.
Although the Stackelberg model, due to its hierarchical structure, has value in effectively describing the leader–follower relationship between government, enterprises, and farmers, it also has limitations, especially in the practical basis for parameter selection. The Stackelberg game model assumes that the behavior of decision-making agents is perfectly rational and that they have complete information, which is often not the case in practice. In the real-world process of agricultural sustainable development, governments, enterprises, and farmers typically face bounded rationality and information asymmetry, and decisions are not solely based on perfect rationality. Furthermore, the selection of parameters such as incentive intensity (s) and benefit transmission coefficients (u and v) needs to be calibrated based on empirical data and policy context to ensure these parameters reflect the real-world policy impact and the actual level of participation of each stakeholder. To enhance the practical applicability of the model, we introduce the assumption of bounded rationality, considering the limited information and cognitive biases during the decision-making process, in order to avoid over-simplification of the model and ensure its practical relevance and operability in promoting agricultural sustainable development.
On this basis, the three-party payoff functions are constructed as follows. The government’s payoff is determined by the comprehensive benefits brought by sustainable agriculture’s collaborative development, the costs of implementing incentive policies, and the incentive expenditure for enterprises and farmers. To reflect the synergistic effect between enterprise investment and farmer adoption, the government’s payoff function is
Π g = α ea 1 2   c s 2     use     vsa
In this case, α ea represents the system’s synergistic benefits brought about by enterprise investment and farmers’ adoption, where α is the synergy benefit coefficient. 1 2 c s 2 represents the cost of the government implementing incentive policies, with the policy cost increasing as the incentive intensity rises. use and vsa represent the expenditures incurred by the government in providing incentives to enterprises and farmers, respectively.
The enterprise’s revenue consists of the government incentive benefits, the market returns generated through collaboration with farmers, and the enterprise’s own investment costs. Its revenue function is set as
Π e = use + β ea 1 2 k e e 2
In this context, use represents the incentive benefits that enterprises receive from government policies, and β ea represents the operational benefits generated by the collaboration between enterprise investment and farmers’ adoption. β is the enterprise synergy benefit coefficient. 1 2 k e e 2 denotes the enterprise investment cost, and k e is the enterprise cost coefficient.
Π f = vsa + γ ea 1 2 k f a 2
In this context, vsa represents the incentive benefits that farmers receive from government policies, and γ ea represents the gains brought about by enterprise investment in farmers’ adoption. γ is the farmer synergy benefit coefficient. 1 2 k f a 2 denotes the cost that farmers must bear to adopt sustainable agriculture technologies, and k f is the farmer cost coefficient.
Based on this, the Stackelberg game sequence constructed in this paper is as follows. Stage One: The government selects the optimal incentive intensity s and the revenue transmission coefficients u , v based on the principle of maximizing overall returns. Stage Two: Enterprises and farmers, after observing the government’s strategy, each decide on their optimal investment level e and optimal adoption level a , with the goal of maximizing their own profits.
For the solution method, this paper uses backward induction. First, the optimal response functions of enterprises and farmers under the given government strategy are solved. Then, these responses are substituted into the government’s revenue function to derive the optimal incentive decision for the government and the system’s equilibrium solution.
Compared to the previous evolutionary game, Stackelberg game analysis places greater emphasis on the order of policy-making and the incentive optimization problem. The former answers the question “how will the strategies of the three parties dynamically evolve under a given reward structure?”, while the latter addresses the question “how should the government design the incentive mechanism to guide enterprises and farmers to make better responses?” Therefore, in the research framework of this paper, evolutionary game theory and Stackelberg game theory are not mutually exclusive; rather, they complement each other by revealing the formation logic and optimization path of the sustainable ariculture three-party collaborative mechanism from the dynamic evolution and hierarchical decision-making perspectives.

6.1. Solution of the Government-Led Stackelberg Game Equilibrium

Building on the model described above, this study applies backward induction to determine the equilibrium of the government-led Stackelberg game. As the government acts as the leader while enterprises and farmers are the followers, the optimal response functions of enterprises and farmers are first calculated based on the government’s established incentive strategy. These responses are then incorporated into the government’s payoff function to identify its optimal decision.
In the second stage, given the government’s incentive intensity s and revenue transmission coefficients u and v, enterprises and farmers each make decisions to maximize their own payoffs. According to the earlier setup, the enterprise’s payoff function is
Π e = use + β ea 1 2 k e e 2
The farmer’s payoff function is expressed as:
Π f = vsa + γ ea 1 2 k f a 2
The first derivative of the enterprise’s payoff with respect to the investment level e can be obtained:
Π e e = us + β a k e e
Setting this equal to zero yields the firm’s optimal response function:
e * = us + β a k e
Similarly, taking the first derivative of the adoption level a with respect to the farmer’s utility function gives
Π f a = vs + γ e k f a
Setting this equal to zero yields the farmer’s optimal response function:
a * = vs + γ e k f
As can be seen, the firm’s optimal input level is influenced not only by the government’s incentive intensity and the firm’s profit transmission coefficient but also by the positive impact of the farmer’s adoption level. The farmer’s optimal adoption level, on the other hand, depends on the government’s incentive intensity, the farmer’s profit transmission coefficient, and the firm’s input level. This suggests a strong strategic complementarity between enterprises and farmers, whereby an increase in the participation of one party leads to a higher optimal response from the other. This confirms Hypothesis 5.
Furthermore, by substituting the farmer’s optimal response function into the firm’s optimal response function, we obtain
e * = us + β vs + γ e k f k e
k e e = us + β vs k f + β γ k f e
e * = us k f + β vs k e k f β γ
Similarly, by substituting the firm’s optimal response function into the farmer’s optimal response function, we obtain
a * = vs k e + γ us k e k f β γ
The following conditions must be met to guarantee both the existence and stability of the equilibrium solution:
k e k f / β γ > 0
This setting indicates that compared to farmers, the marginal cost, the biological effect of enterprises on research reports, should exceed the product of their collaboration and benefits. Otherwise, architecture may experience infinite growth or unstable balance. From an economic perspective, only when a company focuses on imposing a certain degree of constraint on action expansion compared to costs adopted by farmers, ensuring that architecture achieves a stable balance, will architecture be evaluated as achieving stability. This confirms Hypothesis 6.
In the first stage, the government anticipates the optimal responses of both the firm and the farmer and selects the optimal incentive strategy accordingly. The government’s profit function is
Π g = α ea 1 2 c s 2 use vsa
By substituting the firm’s and farmer’s optimal response functions, e * and a * , into the government’s profit function, the government’s optimization problem with respect to s , u , v is obtained as follows:
max s , u , v Π g ( s , u , v ) ; that is,
max s , u , v α e * a * 1 2 c s 2 use * vsa *
where
e * = us k f + β vs k e k f γ
a * = vs k e + γ us k e k f β γ

6.2. Analysis of Stackelberg Game Results and Management Implications

Based on the analysis of the government-led Stackelberg game model, the optimization configuration of the sustainable agriculture collaborative mechanism relies on the reasonable design of government incentive policies and the hierarchical decision-making structure. The government, by setting incentive intensity and revenue transmission coefficients, guides enterprises and farmers to make optimal responses, thus promoting the collaborative development of sustainable agriculture. The analysis shows that the higher the government incentive intensity, the higher the investment and adoption levels of enterprises and farmers, and the system will converge to a cooperative equilibrium state. In particular, there is a significant complementary relationship between enterprises and farmers. As enterprise investment increases, it will motivate farmers to adopt more sustainable agriculture technologies, and farmers’ adoption level, in turn, further encourages enterprises to increase their investment.
The results of Hypothesis 5 indicate that the optimal investment level of enterprises is not only influenced by government incentive intensity and enterprise revenue transmission coefficients but is also positively correlated with farmers’ adoption levels. Hypothesis 6 further indicates a positive association between the strength of government incentives and the participation levels of enterprises and farmers. Higher government incentives can effectively encourage engagement from both parties, guiding the system toward a cooperative equilibrium. However, the government incentive intensity is not always better when it is higher. Insufficient incentives may lead to inadequate participation from enterprises and farmers, failing to release the synergistic benefits; overly high incentives, on the other hand, may cause excessive fiscal costs, weakening the long-term effectiveness of the policy.
Through integration of Stackelberg game theory and previous evolutionary game studies, we conclude that construction of a cooperative mechanism for intelligent agriculture depends on behavioral adjustments and adaptive learning during evolutionary stage, as well as on government’s efficient evaluation and guidance in policy design and incentive system construction, In initial stage of Sustainable Agriculture marketing, government plays a significant role in guiding actions of enterprises and farmers under Stackelberg game model, government’s incentive strategies and income distribution system architecture directly affect the decision-making of enterprises and farmers, as well as the stable mode of institutional construction.

7. Discussion

The primary focus of this study is to examine the effectiveness of artificial intelligence policies in promoting sustainable agricultural stability, with particular attention to the interactions among government incentives, corporate engagement, and farmers’ adoption of green technologies. This study summarizes that policy incentives for mechanical intelligence significantly enhance cooperation between governments, businesses, and farmers, providing dynamic support for adoption of green technologies. From the perspective of reform proposals, this study employs a tripartite evolutionary game pattern and a Stackelberg game pattern to verify how mechanical intelligence policies can improve financial allocation and reduce participation costs, achieving sustainable stability in agriculture. Previous studies have highlighted the critical role of government incentives in promoting green technology adoption, particularly in strengthening collaboration between enterprises and farmers [83,84,85]. However, this study’s unique contribution lies in integrating artificial intelligence policy as a core element within the model framework, emphasizing its potential for real-time policy optimization—a perspective largely overlooked in prior research. This distinction arises from the incorporation of artificial intelligence’s dynamic role in policy design, allowing governments to adjust incentive strategies based on real-time feedback from enterprises and farmers, thereby improving policy intervention efficiency. Furthermore, artificial intelligence facilitates more coordinated cooperation among the three parties, creating a closed-loop interaction mechanism that promotes green technology adoption and the sustainability of agricultural production systems.
The findings of this study are consistent with previous research on the impact of policy incentives in encouraging the adoption of green technologies, particularly in terms of government influence on the behaviors of enterprises and farmers. By integrating artificial intelligence into the policy design framework, this study introduces a novel perspective, demonstrating how artificial intelligence can enhance real-time policy optimization and decision-making [86,87]. Existing research predominantly relies on static econometric or conventional economic models, focusing on single time points or average effects, and often overlooks dynamic feedback and interactive behaviors among government, enterprises, and farmers. In contrast, this study employs tripartite evolutionary and Stackelberg game models to capture dynamic stakeholder interactions, showing how artificial intelligence facilitates collaboration and improves the efficiency of green technology adoption. Incorporating AI-driven real-time decision optimization allows dynamic simulation of behavioral evolution, increases precision and flexibility in policy design, and enables policymakers to adjust incentives and resource allocation in real time, thereby effectively advancing green technology adoption and sustainable agricultural development. These innovations enhance policy effectiveness and offer a more dynamic analytical perspective on multi-stakeholder interactions.
Although the study offers valuable insights, it has a number of limitations that deserve further consideration. First, the research relies on simulation models rather than real-world data, which may affect the generalizability of the findings. While dynamic game-theoretic models help elucidate stakeholder interactions, the absence of empirical validation across different agricultural contexts limits the external applicability of the conclusions. Second, the study relies on a set of theoretical assumptions, such as rational decision-making and information symmetry, which may not fully capture the complexity of real-world decision processes, particularly factors such as bounded rationality, uncertainty, and information asymmetry. To mitigate these potential biases, the study incorporates several enhancements, including simulations under multiple scenarios to account for varying policy interventions. Additionally, potential confounding factors such as policy fluctuations and regional economic conditions were controlled where possible. Nevertheless, these limitations suggest that the conclusions require further empirical verification in diverse practical contexts.
The results highlight the significant role of artificial intelligence policies in advancing sustainable agricultural development, especially by optimizing government incentives and strengthening cooperation among stakeholders. While limitations exist, the study provides valuable theoretical foundations for future research and policy design. To address identified limitations, future research should incorporate empirical data from different regions and agricultural contexts to validate the generalizability of the findings. Field studies or data collection from agricultural enterprises and farmers would provide more detailed insights into the practical effects of artificial intelligence policies. Moreover, future studies should consider incorporating factors such as information asymmetry, bounded rationality, and social capital into decision-making analyses, as these elements are often overlooked in traditional game-theoretic models but may significantly influence artificial intelligence policy effectiveness in promoting long-term cooperation and technology adoption. Expanding the sample scope to include additional stakeholders, such as local governments, agricultural cooperatives, and international policy frameworks, can further enhance the applicability of the findings.
From a practical perspective, policymakers should consider piloting AI-driven policy interventions in different regions to evaluate their effectiveness in real-world settings before broad implementation. Integrating feedback mechanisms into AI-supported decision systems can allow policies to be continuously optimized based on real-time data, making them more adaptive to evolving agricultural needs. Additionally, combining artificial intelligence technologies with existing green finance tools can provide comprehensive support for enterprises and farmers, facilitating sustainable agricultural development. By integrating these approaches, future research can not only refine theoretical models but also provide actionable guidance for promoting sustainable agriculture.
Based on the key findings of this study, which show that artificial intelligence policies support sustainable agricultural development by improving government incentives and promoting multi-stakeholder collaboration, several directions for future research can be identified. First, while the study provides a theoretical framework for understanding interactions among government, enterprises, and farmers, subsequent research should expand empirical validation across diverse agricultural regions and contexts. This would help assess the applicability of the model in real-world settings and provide deeper insights into how artificial intelligence policies function under varying socio-economic and environmental conditions. Second, incorporating additional variables, such as social capital, trust mechanisms, and cognitive biases, could further enrich the understanding of stakeholder behaviors. As highlighted by the study’s limitations, bounded rationality and information asymmetry were not fully explored, yet these factors may significantly affect policy incentive effectiveness. Future studies could integrate these elements into dynamic models to examine their influence on long-term cooperation and green technology adoption, thereby providing a more comprehensive perspective by integrating psychological and sociological factors. Finally, future research could explore interdisciplinary applications of artificial intelligence policy models. For instance, applying artificial intelligence technologies within broader environmental or economic policy contexts may provide valuable insights into how artificial intelligence supports the achievement of sustainability goals across sectors. Moreover, engaging directly with industry stakeholders can promote the practical application of artificial intelligence policies, further advancing sustainable agricultural development.
In summary, while this study establishes a robust foundation for understanding the interaction between artificial intelligence policies and sustainable agricultural practices, ample opportunities exist for future exploration. By incorporating empirical validation, exploring additional variables, and applying interdisciplinary approaches, subsequent research can build on these findings to provide deeper theoretical support and practical guidance for innovative and effective sustainable agricultural policies.

8. Conclusions

8.1. Main Findings

This study provides a comprehensive analysis of the role of artificial intelligence policies in advancing sustainable agricultural development, focusing specifically on the interactions among government incentive policies, enterprise investment in technology, and farmers’ engagement in adopting green technologies. The study finds that artificial intelligence policies, through big data analysis, precise forecasting, and intelligent decision support, can not only optimize agricultural resource allocation and reduce participation costs for enterprises but also significantly incentivize farmers to adopt green technologies. In this process, government policy incentives—especially when the intensity of these incentives reaches a certain threshold—substantially increase the willingness of enterprises and farmers to cooperate. Government incentives not only alleviate the technological investment burden on enterprises but also stimulate innovation in the green technology sector through green financial policies, providing strong support for the sustainable transformation of agriculture. Specifically, the Triple Game Model helps analyze the interaction and cooperation mechanisms between the government, enterprises, and farmers. In this framework, the government influences the decisions of enterprises and farmers through incentive policies, encouraging their investments and adoption of green technologies. The strategies chosen by enterprises and farmers depend on the strength of government incentives and their respective cost–benefit analyses regarding investment in and adoption of green technologies.
As government incentives strengthen, the engagement of enterprises and farmers to cooperate increases, and the strategies of all three parties gradually converge toward a cooperative equilibrium. Additionally, the Stackelberg game’s leader-follower structure is applied in this study. In this framework, the government, as the leader, makes policy decisions first, influencing the subsequent decisions of enterprises and farmers. Enterprises and farmers, as followers, adjust their behaviors in response to government policies. For example, enterprises increase their investment in green technologies based on financial support from government policies, while farmers actively participate in adopting green technologies due to government-provided training and subsidies.
The study also indicates that a complementary relationship exists between enterprise technological investment and farmers’ adoption of green technologies. By increasing their investment in green technologies, enterprises not only enhance the overall innovation level of agricultural technologies but also provide farmers with the necessary technical support and training, further promoting their willingness to adopt sustainable agricultural technologies in production. As a result of this mutually reinforcing interaction, enterprises and farmers develop a long-term, stable partnership that helps advance the green transformation of agriculture.

8.2. Policy Implications

This study offers important policy guidance for governments and enterprises on promoting sustainable agricultural development through artificial intelligence policies. Governments should first develop differentiated green financial policies and incentive measures tailored to the specific conditions of each region and the characteristics of local agricultural industries. Policy design should emphasize precision in financial support and technology promotion to address the varying needs of regions and industries in the transition to green technologies. For instance, in economically advanced and technologically developed eastern regions, governments could increase funding to support enterprises’ green technology innovation, fostering large-scale research and development. In contrast, in Western regions, policy efforts should focus on improving infrastructure and introducing green technologies to facilitate their broader adoption and practical implementation.
Secondly, government incentive policies should consider the interaction between enterprises and farmers. Incentive measures should not only reduce the technological investment risks for enterprises but also provide farmers with the necessary technical support and training to ensure they can smoothly adopt green technologies. Specifically, policies could reduce the burden on enterprises’ green technology investments through green financial products, low-interest loans, and technical training. At the same time, by promoting agricultural technology and supporting green projects, policies could enhance farmers’ willingness to adopt green technologies, thus facilitating the sustainable transformation of agriculture. Furthermore, the government should enhance its policy guidance for the green transformation of agriculture to ensure effective implementation of measures and provide consistent policy support for sustainable agricultural development.
Moreover, policymakers should employ intelligent monitoring tools and leverage big data and artificial intelligence technologies to track policy execution in real time, ensuring policies can be dynamically adjusted based on actual changes in agricultural production. For instance, artificial intelligence systems can assess the effectiveness of green financial products in real time and help the government identify issues in policy implementation, facilitating timely adjustments. Additionally, policymakers should establish a robust feedback mechanism to promptly gather information on how enterprises and farmers react to policies and their evolving needs, ensuring that policies remain adaptable to the ever-changing market and technological environments.
Finally, governments should strengthen interdepartmental cooperation, particularly with financial institutions, research institutions, and local governments, to promote policy synergies. By fostering effective collaboration among governments, enterprises, and farmers, resources can be shared and complementary strengths leveraged, accelerating the development of green technologies and supporting the sustainable and green transformation of the agricultural sector.

8.3. Research Limitations and Future Directions

While this study offers significant theoretical insights and empirical evidence on the implementation of artificial intelligence policies in sustainable agricultural development, it nevertheless has some limitations. Firstly, this study primarily relies on model data for analysis and lacks in-depth validation with real-world data. Future research should incorporate field data to further validate the actual effects of artificial intelligence policies in different regions and types of agriculture. For example, future studies could collect specific behavioral data from various agricultural enterprises and farmers to explore the practical application of artificial intelligence technologies, thereby providing more evidence for policy optimization.
Secondly, although this study assumes complete rationality and information symmetry in the behavior of all parties, in real-world scenarios, information asymmetry and cognitive biases may influence the effectiveness of decision-making. For instance, farmers and enterprises may be affected by market information asymmetry or knowledge biases when facing complex policy incentives, leading to deviations in their decisions regarding technology adoption and investment. Therefore, future research could further explore how these real-world factors affect the effectiveness of policy execution and how artificial intelligence policies can be adjusted to improve their impact, considering information asymmetry and cognitive biases.
Lastly, the models and analysis methods in this study focus primarily on the macro level. Future research could adopt a more micro-level approach, focusing on the specific behavioral responses of enterprises and farmers. For instance, future studies could use surveys and case studies to gain deeper insights into how enterprises adjust their technological investment strategies in response to policy incentives, and how farmers respond to technological changes and policy support in real agricultural production, particularly regarding changes in their behavior toward the adoption of green technologies under policy guidance.
In conclusion, artificial intelligence policies have significant practical value in promoting sustainable agricultural development, especially in optimizing resource allocation, reducing enterprise costs, and enhancing farmers’ willingness to adopt green technologies. Future research could broaden the application of artificial intelligence technologies in agricultural green transformation by incorporating additional empirical data and considering more micro-level behavioral factors, particularly to explore how artificial intelligence policies can be more effectively implemented across regions with varying policy frameworks and levels of technological development.

Author Contributions

Conceptualization and methodology, D.Q.; software, validation visualization, L.Z. All authors have read and agreed to the published version of the manuscript.

Funding

This work was supported by the Heilongjiang Provincial Philosophy and Social Science Research Planning Project: “Documentation and Research on the Ecological Customary Laws of Ethnic Minorities with Smaller Populations in Heilongjiang Province” (Project Number: 25MZB002); and the Heilongjiang Provincial Philosophy and Social Science Research Planning Project: “Research on Multi-center Governance Strategies for Rural Non-point Source Pollution in Heilongjiang Province under the ‘Dual Carbon’ Background” (Project Number: 23JYA041).

Institutional Review Board Statement

Not applicable.

Informed Consent Statement

Not applicable.

Data Availability Statement

The original contributions presented in this study are included in the article. Further inquiries can be directed to the corresponding author.

Conflicts of Interest

The authors declare no conflicts of interest.

References

  1. Islam, S. Agriculture, food security, and sustainability: A review. Explor. Foods Foodomics 2025, 3, 101082. [Google Scholar] [CrossRef]
  2. Yang, Y.; Tilman, D.; Jin, Z.; Smith, P.; Barrett, C.B.; Zhu, Y.-G.; Burney, J.; D’Odorico, P.; Fantke, P.; Fargione, J.; et al. Climate change exacerbates the environmental impacts of agriculture. Science 2024, 385, eadn3747. [Google Scholar] [CrossRef]
  3. Ahmad, B.; Alam, A.; Hamid, A.; Hamza, M.A.; Abbas, K.; Ji, Y.; Abbas, N.; Abbas, S.; Ali, J.; Ro-mano, D.; et al. Modern tools for sustainable agriculture: A review of intelligent crop protection technologies. Discov. Agric. 2026, 4, 19. [Google Scholar] [CrossRef]
  4. Anh, T.T. Trade-driven innovation: Smart green agriculture and policy for environmental sustainability. Soc. Sci. Humanit. Open 2026, 13, 102445. [Google Scholar] [CrossRef]
  5. Barman, B.; Singh, R.; Padaria, R.N.; Nain, M.S.; Quader, S.W.; Praveen, K.V. A qualitative synthesis of barriers to agriculture 4.0 adoption: Evidence from a systematic literature review. Discov. Agric. 2026, 4, 34. [Google Scholar] [CrossRef]
  6. Tang, Q.; Wang, Z.; Wei, H.; Chen, Y.; Tang, H. Policy Regulation and Farmers’ Intention to Adopt Green Production Technologies: A TAM–TPB Analysis. Sustainability 2026, 18, 3379. [Google Scholar] [CrossRef]
  7. Yu, J.; Sun, Y.; Wei, F. Green Development of Chinese Agriculture from the Perspective of Bidirectional Correlation. Agriculture 2024, 14, 1628. [Google Scholar] [CrossRef]
  8. Wu, P.; Zhong, Y. Artificial intelligence in sustainable agriculture: Towards a socio-technical roadmap. Smart Agric. Technol. 2025, 12, 101578. [Google Scholar] [CrossRef]
  9. Meshram, K.; Mishra, U.; Rathnayake, U. Application of artificial intelligence in agri-tech, environmental and biodiversity conservation. Array 2025, 26, 100412. [Google Scholar] [CrossRef]
  10. Monsalve-Castro, C.; Ramírez Molina, R.I.; Fajardo Ortiz, E.J.; Soto Polo, G.P. Artificial intelligence as a driver in adopting green innovation in the agricultural sector: Evidence from an emerging economy. Cogent Bus. Manag. 2025, 12, 2575261. [Google Scholar] [CrossRef]
  11. Khanna, M.; Atallah, S.S.; Heckelei, T.; Wu, L.; Storm, H. Economics of the adoption of artificial intelligence–based digital technologies in agriculture. Annu. Rev. Resour. Econ. 2024, 16, 41–61. [Google Scholar] [CrossRef]
  12. High, C.; Singh, N.; Nemes, G. Artificial Intelligence for agricultural extension: Supporting transformative learning among smallholder farmers. J. Dev. Policy Pract. 2026, 11, 61–80. [Google Scholar] [CrossRef]
  13. Huda, S.S.M.S.; Akhtar, A.; Ahmed, E.; Hoq, K.M.S.; Islam, M.N. Artificial intelligence in agriculture across south Asia: Technology adoption, improvements, and sustainability outcomes. Sustain. Futures 2026, 11, 101620. [Google Scholar] [CrossRef]
  14. Omotayo, A.O.; Adediran, S.A.; Omotoso, A.B.; Olagunju, K.O.; Omotayo, O.P. Artificial intelligence in agriculture: Ethics, impact possibilities, and pathways for policy. Comput. Electron. Agric. 2025, 239, 110927. [Google Scholar] [CrossRef]
  15. Shi, Y.; Lu, W.; Lin, L.; Li, Z.; Chen, H. Does environmental regulation affect China’s agricultural green total factor productivity? Considering the role of technological innovation. Agriculture 2025, 15, 649. [Google Scholar] [CrossRef]
  16. Sun, M.; Sun, X.; Yao, J.; Cao, L. Evaluating agricultural efficiency and sustainable development in China. Sci. Rep. 2025, 15, 23047. [Google Scholar] [CrossRef]
  17. Yang, Y.; Wang, Y. The impact of government subsidies and quality certification on farmers’ adoption of green pest control technologies. Agriculture 2024, 15, 35. [Google Scholar] [CrossRef]
  18. Zhang, L.; Xu, L.; Gao, M.; Zhou, M. Can Agricultural Credit Promote the Green Transformation of China’s Agriculture? Sustainability 2024, 16, 10944. [Google Scholar] [CrossRef]
  19. Gao, Y.; Zhang, M.; Wang, K.; Wen, F.; Liu, F. The carbon emissions reduction effect of green agricultural subsidy policy: A quasi-natural experiment. Sustainability 2024, 16, 5210. [Google Scholar] [CrossRef]
  20. Wang, X. Integrative strategies for sustainable agriculture in the face of climate change. npj Sustain. Agric. 2025, 3, 66. [Google Scholar] [CrossRef]
  21. Zhang, S.; Zhang, H.; Xie, F.; Wu, D. Climate change and sustainable agriculture: Assessment of climate change impact on agricultural resilience. Sustainability 2025, 17, 7376. [Google Scholar] [CrossRef]
  22. Chen, B.; Zou, C.; Zhang, Y.; Gou, C.; Li, J. The current status, opportunities, challenges and coping strategies of sustainable agriculture. Discover Sustainability 2025, 6, 1282. [Google Scholar] [CrossRef]
  23. Zhang, S.; Xiong, H. Linking land policy to food system sustainability: Farm scale effects on smart irrigation adoption in northern China. Front. Sustain. Food Syst. 2025, 9, 1736406. [Google Scholar] [CrossRef]
  24. Hong, X.; Chen, Y.J.; Gong, Y.; Wang, H. Farmers’ green technology adoption: Implications from government subsidies and information sharing. Nav. Res. Logist. 2024, 71, 286–317. [Google Scholar] [CrossRef]
  25. Shi, Y.; Ge, J. The role of government fiscal and tax incentives in green technology innovation and enterprise development: Implications for human health and hygiene. Front. Public Health 2025, 12, 1502856. [Google Scholar] [CrossRef]
  26. Wei, L.; Lin, B.; Zheng, Z.; Wu, W.; Zhou, Y. Does fiscal expenditure promote green technological innovation in China? Evidence from Chinese cities. Environ. Impact Assess. Rev. 2023, 98, 106945. [Google Scholar] [CrossRef]
  27. Huang, W.; Mishra, A.K. Understanding agricultural subsidies and factor allocation: A general equilibrium analysis. Econ. Model. 2025, 153, 107340. [Google Scholar] [CrossRef]
  28. Yuan, Y.; Umer, M.; Yang, X.; Qu, M. Agri-sustainability transitions: Innovation-policy coordination mechanisms in green system restructuring. Front. Sustain. Food Syst. 2025, 9, 1628073. [Google Scholar] [CrossRef]
  29. Chen, L.; Gao, Y. How to implement the government subsidy policy in promoting the green development of agriculture in Hebei province? J. Clean. Prod. 2025, 496, 145141. [Google Scholar] [CrossRef]
  30. Bai, J.; Wang, Y.; Sun, W. Exploring the role of agricultural subsidy policies for sustainable agriculture Based on Chinese agricultural big data. Sustain. Energy Technol. Assess. 2022, 53, 102473. [Google Scholar] [CrossRef]
  31. Lencucha, R.; Pal, N.E.; Appau, A.; Thow, A.-M.; Drope, J. Government policy and agricultural production: A scoping review to inform research and policy on healthy agricultural commodities. Glob. Health 2020, 16, 11. [Google Scholar] [CrossRef]
  32. Hu, Q.; Guo, E.; Feng, F.; Zhao, S. Green agricultural product quality supervision based on prospect theory and evolutionary game theory for logistics enterprise live streaming. Sci. Rep. 2026, 16, 283. [Google Scholar] [CrossRef]
  33. Liu, R.; Tian, M.; Zheng, Y.; Wang, J.; Liang, F.; Miao, L. Data empowerment in agriculture: An evolutionary game analysis of data ownership models in China. Front. Sustain. Food Syst. 2026, 10, 1566910. [Google Scholar] [CrossRef]
  34. Yılmaz, D.İ. Eco-efficiency in the agricultural sector: A cross-country comparison between the European Union and Türkiye. Sustainability 2025, 17, 5713. [Google Scholar] [CrossRef]
  35. Gómez-Limón, J.A.; Sanchez-Fernandez, G. Empirical evaluation of agricultural sustainability using composite indicators. Ecol. Econ. 2010, 69, 1062–1075. [Google Scholar] [CrossRef]
  36. Li, G.; Liang, F.; Chen, J. Incentivizing Smallholder Farmers’ Green Production Behaviors with Nudges: An Experimental Survey Study in Heping Town, China. Front. Sustain. Food Syst. 2026, 10, 1765726. [Google Scholar] [CrossRef]
  37. She, Z.; Chen, Z.; Sun, L. Impact of agricultural insurance on farmers’ adoption of green production technologies: Evidence from vegetable growers in China. Sci. Rep. 2026. [Google Scholar] [CrossRef]
  38. Liu, W.; Li, M. The Impact of Knowledge Capacity on Chinese Farmers’ Green Production Behavior: A Case Study in the Context of Environmental Regulation in China. Front. Sustain. Food Syst. 2026, 10, 1753686. [Google Scholar] [CrossRef]
  39. Liu, W.; Fan, Y.; Yu, T.E. Optimizing Crop Planting Structures for Water Savings and Grain Revenue in China Considering Different Spatial Scales. Resour. Environ. Sustain. 2026, 24, 100323. [Google Scholar] [CrossRef]
  40. Guo, L.; Zhu, H.; Jiang, S. Unlocking low-carbon agriculture in China: Spatiotemporal dynamics of carbon intensity and multi-configurational pathways for efficiency improvement. Cogent Food Agric. 2026, 12, 2635096. [Google Scholar] [CrossRef]
  41. Van Asseldonk, M.; Girvetz, E.; Pamuk, H.; Wattel, C.; Ruben, R. Policy incentives for smallholder adoption of climate-smart agricultural practices. Front. Political Sci. 2023, 5, 1112311. [Google Scholar] [CrossRef]
  42. Said, Z.; Vigneshwaran, P.; Shaik, S.; Rauf, A.; Ahmad, Z. Climate and carbon policy pathways for sustainable food systems. Environ. Sustain. Indic. 2025, 27, 100730. [Google Scholar] [CrossRef]
  43. Liu, S.; Ling, L.; He, F.; Lei, J.; Huang, W.; Long, J.; Han, J.; Wan, L.; Qi, J.; Shao, H. Cropland concentration powers sustainable intensification of agriculture in China. Commun. Earth Environ. 2026, 7, 225. [Google Scholar] [CrossRef]
  44. Hiywotu, A.M. Advancing sustainable agriculture for goal 2: Zero hunger-a comprehensive overview of practices, policies, and technologies. Agroecol. Sustain. Food Syst. 2025, 49, 1027–1055. [Google Scholar] [CrossRef]
  45. Chen, Y.; Sun, Z.; Zhou, Y.; Yang, W.; Ma, Y. The future of sustainable farming: An evolutionary game framework for the promotion of agricultural green production technologies. J. Clean. Prod. 2024, 460, 142606. [Google Scholar] [CrossRef]
  46. Chang, Y.C. The tripartite evolutionary game of enterprises’ green production strategy with government supervision and people participation. J. Environ. Manag. 2024, 370, 122627. [Google Scholar] [CrossRef]
  47. Zhao, H.; Yang, J. Evolutionary game analysis of stakeholders’ decision-making behavior in agricultural data supply chain. Front. Phys. 2024, 11, 1321973. [Google Scholar] [CrossRef]
  48. Wang, Z.; Shang, H. Tripartite evolutionary game and simulation analysis of agricultural non-point source pollution control. PLoS ONE 2024, 19, e0305191. [Google Scholar] [CrossRef]
  49. Cao, W.; Tao, X. A study on the evolutionary game of the four-party agricultural product supply chain based on collaborative governance and sustainability. Sustainability 2025, 17, 1762. [Google Scholar] [CrossRef]
  50. Zhang, W.; Liu, H. Evolutionary game analysis of multi-agent cooperation strategy analysis in agricultural water conservancy PPP project under digitization background. Sci. Rep. 2024, 14, 22915. [Google Scholar] [CrossRef] [PubMed]
  51. Liu, W.; Liu, Z. Evolutionary game analysis of green production transformation of small farmers led by cooperatives based on prospect theory. Front. Environ. Sci. 2022, 10, 1041992. [Google Scholar] [CrossRef]
  52. Xie, Y.; Su, Y.; Li, F. The evolutionary game analysis of low carbon production behaviour of farmers, government and consumers in food safety source governance. Int. J. Environ. Res. Public Health 2022, 19, 12211. [Google Scholar] [CrossRef] [PubMed]
  53. Ogbo, N.B.; Song, Z.; Han, T.A. Evolution of Coordination Through Institutional Incentives: An Evolutionary Game Theory Approach. arXiv 2025, arXiv:2509.10112. [Google Scholar] [CrossRef]
  54. Wang, D.; Guo, R.; Lu, Q. Strategy Evolution in the Adoption of Conservation Tillage Technology under Time Preference Heterogeneity and Lemon Market: Insights from Evolutionary Dynamics. arXiv 2025, arXiv:2507.15497. [Google Scholar] [CrossRef]
  55. Chen, X.; Teng, Y.; Du, G. Evolutionary game analysis of multi-agent behaviour decisions about sustainable agriculture. Int. J. Clim. Change Strateg. Manag. 2025, 17, 762–785. [Google Scholar] [CrossRef]
  56. Zheng, Y.; Xu, Y.; Qiu, Z. Blockchain traceability adoption in agricultural supply chain coordination: An evolutionary game analysis. Agriculture 2023, 13, 184. [Google Scholar] [CrossRef]
  57. Wang, Z.; Jang, W.; Ruan, B.; Wang, J.; Xiao, S. Developing and Integrating Trust Modeling into Multi-Objective Reinforcement Learning for Intelligent Agricultural Management. arXiv 2025, arXiv:2505.10803. [Google Scholar] [CrossRef]
  58. Vu, D.N.; Nguyen, T.L.; Nguyen, A.T.; Nguyen, D.B.; Nguyen, G.K.; Nguyen, H.S. Evolutionary game analysis of resource sharing and waste management synergies in peri-urban agriculture for sustainable smallholder farming systems. Discov. Sustain. 2026, 7, 313. [Google Scholar] [CrossRef]
  59. Yousaf, A.; Kayvanfar, V.; Mazzoni, A.; Elomri, A. Artificial intelligence-based decision support systems in smart agriculture: Bibliometric analysis for operational insights and future directions. Front. Sustain. Food Syst. 2023, 6, 1053921. [Google Scholar] [CrossRef]
  60. Ali, Z.; Muhammad, A.; Lee, N.; Waqar, M.; Lee, S.W. Artificial intelligence for sustainable agriculture: A comprehensive review of AI-driven technologies in crop production. Sustainability 2025, 17, 2281. [Google Scholar] [CrossRef]
  61. Alamoodi, A.; Garfan, S.; Deveci, M.; Albahri, O.S.; Albahri, A.S.; Yussof, S.; Homod, R.Z.; Sharaf, I.M.; Moslem, S. Evaluating agriculture 4.0 decision support systems based on hyperbolic fuzzy-weighted zero-inconsistency combined with combinative distance-based assessment. Comput. Electron. Agric. 2024, 227, 109618. [Google Scholar] [CrossRef]
  62. Swati, N.L.P.; Gupta, S.V.; Duddela, N.S.; Parvathy, L.R. Agentic AI-driven autonomous decision support system for smart agriculture. Sci. Rep. 2026, 16, 9972. [Google Scholar] [CrossRef]
  63. Li, X.; Liu, L.; Li, X.; Wang, Z. Impact of Artificial Intelligence Technology on the Sustainable Development Performance of Agricultural Enterprises. Sustainability 2026, 18, 431. [Google Scholar] [CrossRef]
  64. Olutumise, A.I. A systematic review of the economic impact of artificial intelligence on agricultural productivity, sustainability, and rural livelihoods. Discov. Agric. 2026, 4, 70. [Google Scholar] [CrossRef]
  65. Ahmad, A.; Murad, M.; Utra, U.; Yussof, N.S.; Fazial, F.F.; Lazim, A.; Fazry, S.; Law, D. Transforming food systems with artificial intelligence: Challenges, governance, and pathways for sustainable integration. Food Rev. Int. 2025, 1–26. [Google Scholar] [CrossRef]
  66. Cavazza, A.; Dal Mas, F.; Paoloni, P.; Manzo, M. Artificial intelligence and new business models in agriculture: A structured literature review and future research agenda. Br. Food J. 2023, 125, 436–461. [Google Scholar] [CrossRef]
  67. Hart, S.L. A natural-resource-based view of the firm. Acad. Manag. Rev. 1995, 20, 986–1014. [Google Scholar] [CrossRef]
  68. Dangelico, R.M.; Pujari, D. Mainstreaming green product innovation: Why and how companies integrate environmental sustainability. J. Bus. Ethics 2010, 95, 471–486. [Google Scholar] [CrossRef]
  69. Chen, H.-Y.; Sharma, K.; Sharma, C.; Sharma, S. Integrating explainable artificial intelligence and blockchain to smart agriculture: Research prospects for decision making and improved security. Smart Agric. Technol. 2023, 6, 100350. [Google Scholar] [CrossRef]
  70. Mansbridge, J. Beyond the tragedy of the commons: A discussion of governing the commons: The evolution of institutions for collective action. Perspect. Politics 2010, 8, 590–593. [Google Scholar] [CrossRef]
  71. O’Shannassy, T. Sustainable competitive advantage or temporary competitive advantage: Improving understanding of an important strategy construct. J. Strategy Manag. 2008, 1, 168–180. [Google Scholar] [CrossRef]
  72. Zuo, M.; Yu, S. How does government environmental attention affect green technology innovation? New evidence from cities in China. Humanit. Soc. Sci. Commun. 2026, 13, 157. [Google Scholar] [CrossRef]
  73. Shi, S.; Al-Jaifi, H.; Kaur, H. Green finance and green growth: Do green technological innovation and financial constraints matter? Cogent Econ. Financ. 2026, 14, 2614795. [Google Scholar] [CrossRef]
  74. Liu, Y.; Wang, A.; Wu, Y. Environmental regulation and green innovation: Evidence from China’s new environmental protection law. J. Clean. Prod. 2021, 297, 126698. [Google Scholar] [CrossRef]
  75. Janssen, M.A.; Ostrom, E. Empirically based, agent-based models. Ecol. Soc. 2006, 11, 37. [Google Scholar] [CrossRef]
  76. Andrews, J.; Clark, M.; Hillis, V.; Borgerhoff Mulder, M. The cultural evolution of collective property rights for sustainable resource governance. Nat. Sustain. 2024, 7, 404–412. [Google Scholar] [CrossRef]
  77. Senatore, L.; Bimonte, G.; Gatto, A. Sustainable and resilient governance of common-pool resources: A critical analysis of non-cooperative and cooperative game theory applications. J. Econ. Surv. 2025, 39, 2303–2314. [Google Scholar] [CrossRef]
  78. Li, Z.; Liu, R.; Tu, C. Mathematical Modeling of Common-Pool Resources: A Comprehensive Review of Bioeconomics, Strategic Interaction, and Complex Adaptive Systems. arXiv 2026, arXiv:2602.03129. [Google Scholar] [CrossRef]
  79. Nshakira-Rukundo, E.; Tabe-Ojong, M.P.J.; Gebrekidan, B.H.; Agaba, M.; Surendran-Padmaja, S.; Dhehibi, B. Adoption of climate-smart agricultural technologies and practices in fragile and conflict-affected settings. Commun. Earth Environ. 2026, 7, 304. [Google Scholar] [CrossRef]
  80. Potters, J.; Suetens, S. Cooperation in experimental games of strategic complements and substitutes. Rev. Econ. Stud. 2009, 76, 1125–1147. [Google Scholar] [CrossRef]
  81. Zhang, D.; Jin, J.; Li, L. Strategies for enhancing social benefits in agricultural waste management: A game theory approach to government subsidy policies. Sustainability 2025, 17, 3459. [Google Scholar] [CrossRef]
  82. Guo, F.; Zhang, T.; Huang, X.; Zhong, Y. Government subsidy strategies considering greenness on agricultural product e-commerce supply chain. Mathematics 2023, 11, 1662. [Google Scholar] [CrossRef]
  83. Miao, S.; Chen, B.; Jiang, N. Collaboration among governments, agribusinesses, and rural households for improving the effectiveness of conservation tillage technology adoption. Sci. Rep. 2025, 15, 45. [Google Scholar] [CrossRef]
  84. Gu, B.; Xu, L.; Fu, Y.; Chen, J. Green agricultural technology extension strategies considering industrial organization impacts: Direct subsidy VS indirect incentive. J. Clean. Prod. 2024, 479, 143991. [Google Scholar] [CrossRef]
  85. Han, C.; Lyu, J.; Zhong, D. The impact of financial support and innovation awareness on farmers’ adoption of green production technology. Financ. Res. Lett. 2025, 79, 107259. [Google Scholar] [CrossRef]
  86. Pham, H.G.; Chuah, S.H.; Feeny, S. Factors affecting the adoption of sustainable agricultural practices: Findings from panel data for Vietnam. Ecol. Econ. 2021, 184, 107000. [Google Scholar] [CrossRef]
  87. Mgomezulu, W.R.; Machira, K.; Edriss, A.K.; Pangapanga-Phiri, I. Modelling farmers’ adoption decisions of sustainable agricultural practices under varying agro-ecological conditions: A new perspective. Innov. Green Dev. 2023, 2, 100036. [Google Scholar] [CrossRef]
Figure 1. Evolutionary Results of the Array.
Figure 1. Evolutionary Results of the Array.
Sustainability 18 03854 g001
Figure 2. Impact of Additional Costs for Enterprises’ Participation in Artificial Intelligence-Enabled Sustainable Agricultural Development on Game Theory Participants.
Figure 2. Impact of Additional Costs for Enterprises’ Participation in Artificial Intelligence-Enabled Sustainable Agricultural Development on Game Theory Participants.
Sustainability 18 03854 g002
Figure 3. The Impact of Government’s Additional Benefits from Participating in Artificial Intelligence-Enabled Sustainable Agricultural Development on Game Theory Participants.
Figure 3. The Impact of Government’s Additional Benefits from Participating in Artificial Intelligence-Enabled Sustainable Agricultural Development on Game Theory Participants.
Sustainability 18 03854 g003
Figure 4. The impact of the benefits provided by the government to enterprises through Artificial Intelligence-enabled Sustainable Agricultural Development on game theory participants.
Figure 4. The impact of the benefits provided by the government to enterprises through Artificial Intelligence-enabled Sustainable Agricultural Development on game theory participants.
Sustainability 18 03854 g004
Figure 5. The impact of the benefits provided by the government to farmers through Artificial Intelligence-enabled Sustainable Agricultural Development on game theory participants.
Figure 5. The impact of the benefits provided by the government to farmers through Artificial Intelligence-enabled Sustainable Agricultural Development on game theory participants.
Sustainability 18 03854 g005
Table 1. Explanation of Game Parameters.
Table 1. Explanation of Game Parameters.
VariablesMeaning
x Probability of government involvement in AI policies enabling sustainable agricultural development.
y Probability of business involvement in AI policies enabling sustainable agricultural development.
z Probability of farmer involvement in AI policies enabling sustainable agricultural development.
G 1 Benefits of government not participating in AI policies enabling sustainable agricultural development.
G 2 Costs of government not participating in AI policies enabling sustainable agricultural development.
E 1 Benefits of business not participating in AI policies enabling sustainable agricultural development.
E 2 Expenditures of business not participating in AI policies enabling sustainable agricultural development.
F 1 Benefits of farmers not participating in AI policies enabling sustainable agricultural development.
F 2 Expenditures of farmers not participating in AI policies enabling sustainable agricultural development.
k Proportion of additional benefits brought by government participation in AI policies enabling sustainable agricultural development.
j Proportion of additional expenditures brought by government participation in AI policies enabling sustainable agricultural development.
Q Compensation paid by farmers to enterprises when farmers default, given business participation in AI policies enabling sustainable agricultural development.
w Proportion of additional costs for farmers participating in AI policies enabling sustainable agricultural development.
m Proportion of government incentives provided to enterprises when both enterprises and farmers do not participate.
n Proportion of government incentives provided to farmers when both enterprises and farmers do not participate.
P Compensation paid by enterprises to farmers when farmers participate in AI policies enabling sustainable agricultural development, and enterprises do not.
f Proportion of additional costs for enterprises participating in AI policies enabling sustainable agricultural development.
u Proportion of benefits provided by the government to enterprises through AI policies enabling sustainable agricultural development.
v Proportion of benefits provided by the government to farmers through AI policies enabling sustainable agricultural development.
Table 2. Evolutionary Game Payoff Matrix for Government, Business, and Farmers.
Table 2. Evolutionary Game Payoff Matrix for Government, Business, and Farmers.
GovernmentEnterprisesFarmers
S 1 ( 1,1 , 1 ) G 1 ( 1 + k ) G 2 ( 1 + j ) E 1 + G 1 k u E 2 ( 1 + f ) F 1 + G 1 j v F 2 ( 1 + w )
S 3 ( 1,1 , 0 ) G 1 G 2 ( 1 + j ) E 1 E 2 ( 1 + f ) + Q F 1 F 2 Q
S 5 ( 1,0 , 1 ) G 1 G 2 ( 1 + j ) E 1 E 2 P F 1 F 2 ( 1 + w ) + P
S 7 ( 1,0 , 0 ) G 1 G 2 ( 1 + j ) E 1 + G 2 j m E 2 F 1 + G 2 j n F 2
S 2 ( 0,1 , 1 ) G 1 G 2 E 1 E 2 ( 1 + f ) F 1 F 2 ( 1 + w )
S 4 ( 0,1 , 0 ) G 1 G 2 E 1 E 2 ( 1 + f ) + Q F 1 F 2 Q
S 6 ( 0,0 , 1 ) G 1 G 2 E 1 E 2 P F 1 F 2 ( 1 + w ) + P
S 8 ( 0,0 , 0 ) G 1 G 2 E 1 E 2 F 1 F 2
Table 3. Eigenvalues of the Equilibrium Points of the Tri-Party Evolutionary Game Model for Artificial-Intelligence-Empowered Sustainable Agricultural Development.
Table 3. Eigenvalues of the Equilibrium Points of the Tri-Party Evolutionary Game Model for Artificial-Intelligence-Empowered Sustainable Agricultural Development.
StrategyStabilitySymbol λ 1 λ 2 λ 3
S 1 ( 1 , 1 , 1 ) Yes-,-,- G 2 j G 1 k P + E 2 f G 1 ku Q + w F 2 G 1 jv
S 3 ( 1 , 1 , 0 ) No+,*,* G 2 j G 2 jm Q + E 2 f Q w F 2 + G 1 jv
S 5 ( 1 , 0 , 1 ) No+,*,* G 2 j G 2 jn P + w F 2 P E 2 f + G 1 ku
S 7 ( 1 , 0 , 0 ) No+,*,* G 2 j G 2 jn + P w F 2 G 2 jm + Q E 2 f
S 2 ( 0 , 1 , 1 ) No+,*,* G 2 j + G 1 k Q + w F 2 P + E 2 f
S 4 ( 0 , 1 , 0 ) Uncertain-,*,* G 2 j Q w F 2 Q + E 2 f
S 6 ( 0 , 0 , 1 ) Uncertain-,*,* G 2 j P + w F 2 P E 2 f
S 8 ( 0 , 0 , 0 ) Uncertain-,*,* G 2 j P w F 2 Q E 2 f
Table 4. Jacobian Matrix of the Tri-Party Evolutionary Game Model for Artificial Intelligence Empowered Agricultural Economic Development.
Table 4. Jacobian Matrix of the Tri-Party Evolutionary Game Model for Artificial Intelligence Empowered Agricultural Economic Development.
J = F x x F x y F x z F y x F y y F y z F z x F z y F z z = H 1 H 2 H 3 H 4 H 5 H 6 H 7 H 8 H 9
H 1 = ( 1 + 2 x ) ( G 2 j G 1 kyz )
H 2 = G 1 k ( 1 + x ) xz
H 3 = G 1 k ( 1 + x ) xy
H 4 = ( 1 + y ) y ( G 2 jm ( 1 + z ) G 1 kuz )
H 5 = ( 1 + 2 y ) ( C 2 t + G 2 jmx + Q ( 1 + z ) ( P + G 2 jmx + G 1 kux ) z )
H 6 = ( P Q + G 2 jmx + G 1 kux ) ( 1 + y ) y
H 7 = j ( G 2 n ( 1 + y ) ) + G 1 vy ) ( 1 + z ) z
H 8 = ( P Q j ( G 2 n + G 1 v ) x ) ( 1 + z ) z )
H 9   = ( w S 2 + G 2 jnx + P ( 1 + y ) ( Q + G 2 jnx + G 1 jvx )
Disclaimer/Publisher’s Note: The statements, opinions and data contained in all publications are solely those of the individual author(s) and contributor(s) and not of MDPI and/or the editor(s). MDPI and/or the editor(s) disclaim responsibility for any injury to people or property resulting from any ideas, methods, instructions or products referred to in the content.

Share and Cite

MDPI and ACS Style

Qi, D.; Zhao, L. Optimizing Sustainable Agricultural Development via Evolutionary and Stackelberg Games. Sustainability 2026, 18, 3854. https://doi.org/10.3390/su18083854

AMA Style

Qi D, Zhao L. Optimizing Sustainable Agricultural Development via Evolutionary and Stackelberg Games. Sustainability. 2026; 18(8):3854. https://doi.org/10.3390/su18083854

Chicago/Turabian Style

Qi, Dandan, and Linlin Zhao. 2026. "Optimizing Sustainable Agricultural Development via Evolutionary and Stackelberg Games" Sustainability 18, no. 8: 3854. https://doi.org/10.3390/su18083854

APA Style

Qi, D., & Zhao, L. (2026). Optimizing Sustainable Agricultural Development via Evolutionary and Stackelberg Games. Sustainability, 18(8), 3854. https://doi.org/10.3390/su18083854

Note that from the first issue of 2016, this journal uses article numbers instead of page numbers. See further details here.

Article Metrics

Back to TopTop