Wildfire Impact Assessment in Watersheds of Alberta’s Regional Aquatic Monitoring Program
Abstract
1. Introduction
2. Materials and Methods
2.1. Study Area and Data Acquisition
2.2. Data Processing and Standardization
2.3. Site Classification
2.4. Water and Sediment Quality Data Analysis
2.5. Water Quality Sonde Data
2.6. PAH Source Tracing
2.6.1. Relative Concentrations of Parent Versus Alkylated PAHs
2.6.2. Diagnostic Ratios
2.7. Hydrological Modelling
2.7.1. Model Architecture and Implementation
2.7.2. Hydrometeorological and Hydrometric Data
2.7.3. Model Parameter Optimization
2.7.4. Wildfire Disturbance Modelling
3. Results and Discussion
3.1. Wildfire Impacts on Water Quality
3.1.1. River Monitoring Locations
3.1.2. Acid-Sensitive Lakes Monitoring Locations
3.2. Wildfire Impacts on Sediment Quality
3.3. Temporal Water and Sediment Quality Variability in Wildfire-Affected Sites
3.4. Contaminant Transport Model: Water vs. Sediment
3.5. Differentiating Wildfire vs. Industrial Impacts
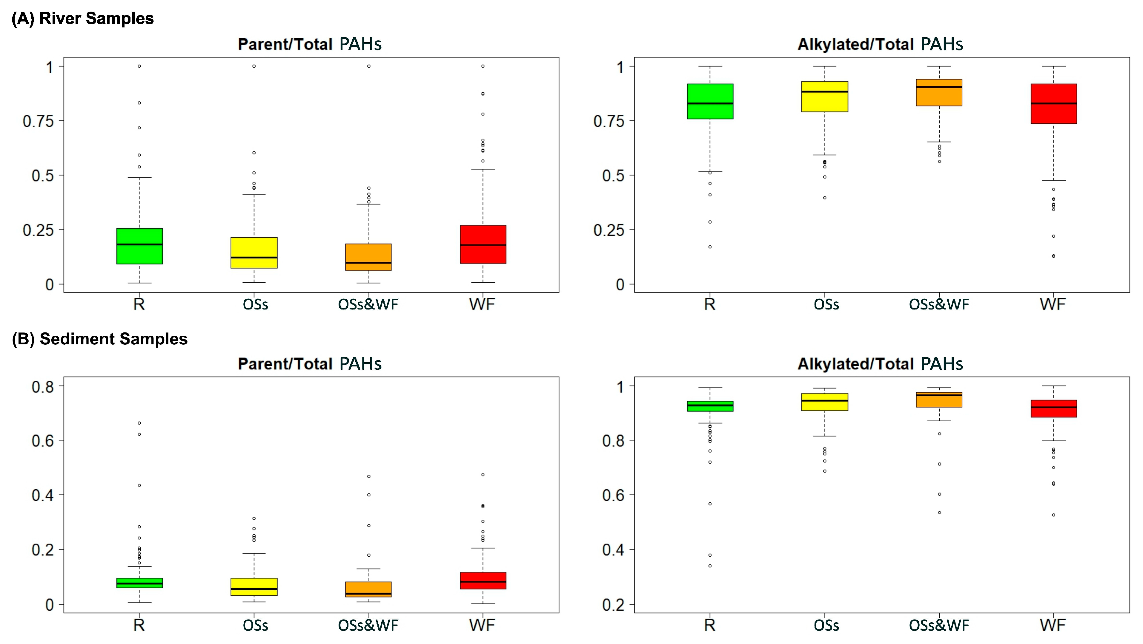
3.5.1. Relative Concentrations of Parent Versus Alkylated PAHs
3.5.2. Diagnostic Ratios
- i.
- Pyrogenic Index
- ii.
- PAH Ratios
- iii.
- PAH Cross-plots
3.6. Hydrological Impacts of Wildfires
3.6.1. Model Performance, Parameter Transferability, and Forcing Sensitivity
3.6.2. Wildfire Effects on Runoff Partitioning and Watershed-Scale Hydrologic Response
3.6.3. Implications for Wildfire Impact Attribution
3.6.4. Limitations, Uncertainties, and Future Work
3.7. Key Parameters for Monitoring Wildfire Impact
3.7.1. Continuous Monitoring of Physical Parameters
3.7.2. Monitoring of Water Quality Parameters
4. Conclusions
Supplementary Materials
Author Contributions
Funding
Institutional Review Board Statement
Informed Consent Statement
Data Availability Statement
Acknowledgments
Conflicts of Interest
Abbreviations
| PAHs | Polycyclic Aromatic Hydrocarbons |
| SRWP | Southern Rockies Watershed Program |
| RAMP | Regional Aquatics Monitoring Program |
| LTRN | Long-Term River Network |
| OSM | Oil Sands Monitoring |
| DO | Dissolved Oxygen |
| TSSs | Total Suspended Solids |
| TOC | Total Organic Carbon |
| LMW PAHs | Light-Molecular Weight PAHs |
| HMW PAHs | High-Molecular Weight PAHs |
| CCME | Canadian Council of Ministers of the Environment |
| PI | Pyrogenic Index |
| GRUs | Grouped Response Units |
| LULC | Land-Use/Land-Cover |
| MRDEM | Medium Resolution Digital Elevation Model |
| NRCan | Natural Resources Canada |
| RDPA–CaPA | Regional Deterministic Precipitation Analysis–Canadian Precipitation Analysis |
| RDPS | Regional Deterministic Prediction System |
| ECCC | Environment and Climate Change Canada |
| WSC | Water Survey of Canada |
| RDRS | Regional Deterministic Reanalysis System |
| DDS | Dynamically Dimensioned Search |
| KGE | Kling–Gupta Efficiency |
| NSE | Nash–Sutcliffe Efficiency |
References
- UNDRR. The Invisible Costs of Wildfire Disasters in 2025. Available online: https://www.undrr.org/news/invisible-costs-wildfire-disasters-2025 (accessed on 23 March 2026).
- Government of Canada, S.C. Measuring the Economic Cost of Wildfires. Available online: https://www.statcan.gc.ca/o1/en/plus/8369-measuring-economic-cost-wildfires (accessed on 23 March 2026).
- Canadian Interagency Forest Fire Centre (CIFFC). National Wildland Fire Situation Report: 2023 Summary; Canadian Interagency Forest Fire Centre: Winnipeg, MB, Canada, 2024.
- Severe Weather in 2023 Caused Over $3.1 Billion in Insured Damage. Available online: https://www.ibc.ca/news-insights/news/severe-weather-in-2023-caused-over-3-1-billion-in-insured-damage (accessed on 23 March 2026).
- Bladon, K.D.; Emelko, M.B.; Silins, U.; Stone, M. Wildfire and the Future of Water Supply. Environ. Sci. Technol. 2014, 48, 8936–8943. [Google Scholar] [CrossRef] [PubMed]
- Canada’s Wildfire Crisis: Economic & Trade Disruption. Available online: https://www.edc.ca/en/article/2025-wildfires-impact-canadian-trade.html (accessed on 23 March 2026).
- U.S. Geological Survey. Water Quality After Wildfire. Available online: https://www.usgs.gov/mission-areas/water-resources/science/water-quality-after-wildfire (accessed on 23 March 2026).
- Murphy, P.J. History of Forest and Prairie Fire Control Policy in Alberta; Alberta Energy and Natural Resources: Edmonton, Alberta, 1985. [Google Scholar]
- Alberta Forestry and Parks. Historical Wildfire Database and Spatial Wildfire Data: Data Dictionary (2006–2025); Government of Alberta: Edmonton, AB, Canada, 2026. Available online: https://open.alberta.ca/dataset/a221e7a0-4f46-4be7-9c5a-e29de9a3447e/resource/1b635b8b-a937-4be4-857e-8aeef77365d2/download/fp-historical-wildfire-data-dictionary-2006-2025.pdf (accessed on 30 March 2026).
- Ahmed, M.R.; Hassan, Q.K. Occurrence, Area Burned, and Seasonality Trends of Forest Fires in the Natural Subregions of Alberta over 1959–2021. Fire 2023, 6, 96. [Google Scholar] [CrossRef]
- Luo, B.; Luo, D.; Dai, A.; Xiao, C.; Simmonds, I.; Hanna, E.; Overland, J.; Shi, J.; Chen, X.; Yao, Y.; et al. Rapid Summer Russian Arctic Sea-Ice Loss Enhances the Risk of Recent Eastern Siberian Wildfires. Nat. Commun. 2024, 15, 5399. [Google Scholar] [CrossRef] [PubMed]
- Johnk, B.T.; Mays, D.C. Wildfire Impacts on Groundwater Aquifers: A Case Study of the 1996 Honey Boy Fire in Beaver County, Utah, USA. Water 2021, 13, 2279. [Google Scholar] [CrossRef]
- Mastrorillo, L.; Mazza, R.; Viaroli, S. Recharge Process of a Dune Aquifer (Roman Coast, Italy). Acque Sotter. Ital. J. Groundw. 2018, 7. [Google Scholar] [CrossRef]
- Mansilha, C.; Carvalho, A.; Guimarães, P.; Espinha Marques, J. Water Quality Concerns Due to Forest Fires: Polycyclic Aromatic Hydrocarbons (PAH) Contamination of Groundwater from Mountain Areas. J. Toxicol. Environ. Health Part A 2014, 77, 806–815. [Google Scholar] [CrossRef]
- Verma, S.; Jayakumar, S. Impact of Forest Fire on Physical, Chemical and Biological Properties of Soil: A Review. Proc. Int. Acad. Ecol. Environ. Sci. 2012, 2, 168. [Google Scholar]
- Petach, T. Impacts of Wildfire Ash Leachate on Transport of Cryptosporidium Parvum Oocysts Through Porous Media. Master’s Thesis, Cornell University, New York, NY, USA, 2018. [Google Scholar] [CrossRef]
- Inbar, M.; Tamir, M.; Wittenberg, L. Runoff and Erosion Processes after a Forest Fire in Mount Carmel, a Mediterranean Area. Geomorphology 1998, 1, 17–33. [Google Scholar] [CrossRef]
- Emmerton, C.A.; Cooke, C.A.; Hustins, S.; Silins, U.; Emelko, M.B.; Lewis, T.; Kruk, M.K.; Taube, N.; Zhu, D.; Jackson, B.; et al. Severe Western Canadian Wildfire Affects Water Quality Even at Large Basin Scales. Water Res. 2020, 183, 116071. [Google Scholar] [CrossRef]
- Raoelison, O.D.; Valenca, R.; Lee, A.; Karim, S.; Webster, J.P.; Poulin, B.A.; Mohanty, S.K. Wildfire Impacts on Surface Water Quality Parameters: Cause of Data Variability and Reporting Needs. Environ. Pollut. 2023, 317, 120713. [Google Scholar] [CrossRef]
- Rust, A.J.; Hogue, T.S.; Saxe, S.; McCray, J. Post-Fire Water-Quality Response in the Western United States. Int. J. Wildland Fire 2018, 3, 203–216. [Google Scholar] [CrossRef]
- Paul, M.J.; LeDuc, S.D.; Lassiter, M.G.; Moorhead, L.C.; Noyes, P.D.; Leibowitz, S.G. Wildfire Induces Changes in Receiving Waters: A Review with Considerations for Water Quality Management. Water Resour. Res. 2022, 58, e2021WR030699. [Google Scholar] [CrossRef] [PubMed]
- Murphy, S.F.; McCleskey, R.B.; Martin, D.A.; Holloway, J.M.; Writer, J.H. Wildfire-Driven Changes in Hydrology Mobilize Arsenic and Metals from Legacy Mine Waste. Sci. Total Environ. 2020, 743, 140635. [Google Scholar] [CrossRef] [PubMed]
- Caldwell, P.V.; Elliott, K.J.; Liu, N.; Vose, J.M.; Zietlow, D.R.; Knoepp, J.D. Watershed-scale Vegetation, Water Quantity, and Water Quality Responses to Wildfire in the Southern Appalachian Mountain Region, United States. Hydrol. Process. 2020, 34, 5188–5209. [Google Scholar] [CrossRef]
- Loiselle, D.; Du, X.; Alessi, D.S.; Bladon, K.D.; Faramarzi, M. Projecting Impacts of Wildfire and Climate Change on Streamflow, Sediment, and Organic Carbon Yields in a Forested Watershed. J. Hydrol. 2020, 590, 125403. [Google Scholar] [CrossRef]
- Williams, A.P.; Livneh, B.; McKinnon, K.A.; Hansen, W.D.; Mankin, J.S.; Cook, B.I.; Smerdon, J.E.; Varuolo-Clarke, A.M.; Bjarke, N.R.; Juang, C.S.; et al. Growing Impact of Wildfire on Western US Water Supply. Proc. Natl. Acad. Sci. USA 2022, 119, e2114069119. [Google Scholar] [CrossRef]
- Williams, C.H.; Silins, U.; Spencer, S.A.; Wagner, M.J.; Stone, M.; Emelko, M.B. Net Precipitation in Burned and Unburned Subalpine Forest Stands after Wildfire in the Northern Rocky Mountains. Int. J. Wildland Fire 2019, 28, 750–760. [Google Scholar] [CrossRef]
- Puntenney-Desmond, K.C.; Bladon, K.D.; Silins, U. Runoff and Sediment Production from Harvested Hillslopes and the Riparian Area during High Intensity Rainfall Events. J. Hydrol. 2020, 582, 124452. [Google Scholar] [CrossRef]
- Collins, A.L.; Blackwell, M.; Boeckx, P.; Chivers, C.-A.; Emelko, M.; Evrard, O.; Foster, I.; Gellis, A.; Gholami, H.; Granger, S. Sediment Source Fingerprinting: Benchmarking Recent Outputs, Remaining Challenges and Emerging Themes. J. Soils Sediments 2020, 20, 4160–4193. [Google Scholar] [CrossRef]
- Spencer, S.A.; Anderson, A.E.; Silins, U.; Collins, A.L. Hillslope and Groundwater Contributions to Streamflow in a Rocky Mountain Watershed Underlain by Glacial till and Fractured Sedimentary Bedrock. Hydrol. Earth Syst. Sci. 2021, 25, 237–255. [Google Scholar] [CrossRef]
- Martens, A.M.; Silins, U.; Proctor, H.C.; Williams, C.H.; Wagner, M.J.; Emelko, M.B.; Stone, M. Long-Term Impact of Severe Wildfire and Post-Wildfire Salvage Logging on Macroinvertebrate Assemblage Structure in Alberta’s Rocky Mountains. Int. J. Wildland Fire 2019, 28, 738–749. [Google Scholar] [CrossRef]
- Rhoades, C.C.; Nunes, J.P.; Silins, U.; Doerr, S.H. The Influence of Wildfire on Water Quality and Watershed Processes: New Insights and Remaining Challenges. Int. J. Wildland Fire 2019, 28, 721–725. [Google Scholar] [CrossRef]
- McEachern, P.; Prepas, E.E.; Gibson, J.J.; Dinsmore, W.P. Forest Fire Induced Impacts on Phosphorus, Nitrogen, and Chlorophyll a Concentrations in Boreal Subarctic Lakes of Northern Alberta. Can. J. Fish. Aquat. Sci. 2000, 57, 73–81. [Google Scholar] [CrossRef]
- Wagner, M.J.; Bladon, K.D.; Silins, U.; Williams, C.H.; Martens, A.M.; Boon, S.; MacDonald, R.J.; Stone, M.; Emelko, M.B.; Anderson, A. Catchment-Scale Stream Temperature Response to Land Disturbance by Wildfire Governed by Surface–Subsurface Energy Exchange and Atmospheric Controls. J. Hydrol. 2014, 517, 328–338. [Google Scholar] [CrossRef]
- Brandt, J.P.; Flannigan, M.D.; Maynard, D.G.; Thompson, I.D.; Volney, W.J.A. An Introduction to Canada’s Boreal Zone: Ecosystem Processes, Health, Sustainability, and Environmental Issues. Environ. Rev. 2013, 21, 207–226. [Google Scholar] [CrossRef]
- Nwaishi, F.; Morison, M.; Plach, J.; Macrae, M.; Petrone, R. Carbon and Nutrient Stoichiometric Relationships in the Soil–Plant Systems of Disturbed Boreal Forest Peatlands within Athabasca Oil Sands Region, Canada. Forests 2022, 13, 865. [Google Scholar] [CrossRef]
- Atkinson, N. Landscapes of the Alberta Oil Sands. In Landscapes and Landforms of Western Canada; Slaymaker, O., Ed.; World Geomorphological Landscapes; Springer International Publishing: Cham, Switzerland, 2017; pp. 395–410. [Google Scholar]
- Pickell, P.D.; Andison, D.W.; Coops, N.C. Characterizations of Anthropogenic Disturbance Patterns in the Mixedwood Boreal Forest of Alberta, Canada. For. Ecol. Manag. 2013, 304, 243–253. [Google Scholar] [CrossRef]
- Murphy, S.F.; Alpers, C.N.; Anderson, C.W.; Banta, J.R.; Blake, J.M.; Carpenter, K.D.; Clark, G.D.; Clow, D.W.; Hempel, L.A.; Martin, D.A.; et al. A Call for Strategic Water-Quality Monitoring to Advance Assessment and Prediction of Wildfire Impacts on Water Supplies. Front. Water 2023, 5, 1144225. [Google Scholar] [CrossRef]
- Singh, R.K.; Singh, S.K. Persistent Polycyclic Aromatic Hydrocarbons (PAHs) in the Soil, Its Bioremediation, and Health Effects. Environ. Sci. Eur. 2025, 37, 187. [Google Scholar] [CrossRef]
- Patel, A.B.; Shaikh, S.; Jain, K.R.; Desai, C.; Madamwar, D. Polycyclic Aromatic Hydrocarbons: Sources, Toxicity, and Remediation Approaches. Front. Microbiol. 2020, 11, 562813. [Google Scholar] [CrossRef]
- Montano, L.; Baldini, G.M.; Piscopo, M.; Liguori, G.; Lombardi, R.; Ricciardi, M.; Esposito, G.; Pinto, G.; Fontanarosa, C.; Spinelli, M. Polycyclic Aromatic Hydrocarbons (PAHs) in the Environment: Occupational Exposure, Health Risks and Fertility Implications. Toxics 2025, 13, 151. [Google Scholar] [CrossRef]
- CCME (Canadian Council of Ministers of the Environment). Appendix IX—A protocol for the derivation of water quality guidelines for the protection of aquatic life (April 1991). In Canadian Water Quality Guidelines; Canadian Council of Ministers of the Environment: Winnipeg, MB, Canada, 1991. [Google Scholar]
- Abdel-Shafy, H.I.; Mansour, M.S. A Review on Polycyclic Aromatic Hydrocarbons: Source, Environmental Impact, Effect on Human Health and Remediation. Egypt. J. Pet. 2016, 25, 107–123. [Google Scholar] [CrossRef]
- Berríos-Rolón, P.J.; Cotto, M.; Márquez, F. Polycyclic Aromatic Hydrocarbons (PAHs) in Freshwater Systems: A Comprehensive Review of Sources, Distribution, and Impacts. Toxics 2025, 13, 321. [Google Scholar] [CrossRef] [PubMed]
- Jafarabadi, A.R.; Dashtbozorg, M.; Mitra, S.; Bakhtiari, A.R.; Dehkordi, S.M.; Cappello, T. Historical Sedimentary Deposition and Ecotoxicological Impact of Aromatic Biomarkers in Sediment Cores from Ten Coral Reefs of the Persian Gulf, Iran. Sci. Total Environ. 2019, 696, 133969. [Google Scholar] [CrossRef] [PubMed]
- Wakeham, S.G.; Canuel, E.A. Biogenic Polycyclic Aromatic Hydrocarbons in Sediments of the San Joaquin River in California (USA), and Current Paradigms on Their Formation. Environ. Sci. Pollut. Res. 2016, 23, 10426–10442. [Google Scholar] [CrossRef]
- Buczyńska, A.J.; Geypens, B.; Van Grieken, R.; De Wael, K. Stable Carbon Isotopic Ratio Measurement of Polycyclic Aromatic Hydrocarbons as a Tool for Source Identification and Apportionment—A Review of Analytical Methodologies. Talanta 2013, 105, 435–450. [Google Scholar] [CrossRef] [PubMed]
- O’Malley, K.E.; Ghetu, C.C.; Rohlman, D.; Anderson, K.A. Assessing Wildfire Impact on Diffusive Flux of Parent and Alkylated PAHs: A Pilot Study of Soil–Air Chemical Movement before, during, and after Wildfires. Environ. Sci. Technol. 2024, 58, 23117–23126. [Google Scholar] [CrossRef]
- Kieta, K.A.; Owens, P.N.; Petticrew, E.L.; French, T.D.; Koiter, A.J.; Rutherford, P.M. Polycyclic Aromatic Hydrocarbons in Terrestrial and Aquatic Environments Following Wildfire: A Review. Environ. Rev. 2022, 31, 141–167. [Google Scholar] [CrossRef]
- Goto, Y.; Nakamuta, K.; Nakata, H. Parent and Alkylated PAHs Profiles in 11 Petroleum Fuels and Lubricants: Application for Oil Spill Accidents in the Environment. Ecotoxicol. Environ. Saf. 2021, 224, 112644. [Google Scholar] [CrossRef]
- Stogiannidis, E.; Laane, R. Source Characterization of Polycyclic Aromatic Hydrocarbons by Using Their Molecular Indices: An Overview of Possibilities. Rev. Environ. Contam. Toxicol. 2014, 234, 49–133. [Google Scholar]
- Gao, P.; Li, H.; Wilson, C.P.; Townsend, T.G.; Xiang, P.; Liu, Y.; Ma, L.Q. Source Identification of PAHs in Soils Based on Stable Carbon Isotopic Signatures. Crit. Rev. Environ. Sci. Technol. 2018, 48, 923–948. [Google Scholar] [CrossRef]
- Wang, Z.; Yang, C.; Parrott, J.L.; Frank, R.A.; Yang, Z.; Brown, C.E.; Hewitt, L.M. Forensic Source Differentiation of Petrogenic, Pyrogenic, and Biogenic Hydrocarbons in Canadian Oil Sands Environmental Samples. J. Hazard. Mater. 2014, 271, 166–177. [Google Scholar] [CrossRef] [PubMed]
- Wang, D.G.; Yang, M.; Jia, H.L.; Zhou, L.; Li, Y.F. Polycyclic Aromatic Hydrocarbons in Urban Street Dust and Surface Soil: Comparisons of Concentration, Profile, and Source. Arch. Environ. Contam. Toxicol. 2009, 56, 173–180. [Google Scholar] [CrossRef]
- Kim, D.; Kumfer, B.M.; Anastasio, C.; Kennedy, I.M.; Young, T.M. Environmental Aging of Polycyclic Aromatic Hydrocarbons on Soot and Its Effect on Source Identification. Chemosphere 2009, 76, 1075–1081. [Google Scholar] [CrossRef] [PubMed]
- Zhang, X.L.; Tao, S.; Liu, W.X.; Yang, Y.; Zuo, Q.; Liu, S.Z. Source Diagnostics of Polycyclic Aromatic Hydrocarbons Based on Species Ratios: A Multimedia Approach. Environ. Sci. Technol. 2005, 39, 9109–9114. [Google Scholar] [CrossRef]
- Walvoord, M.A.; Ebel, B.A.; Partridge, T.F.; Rey, D.M.; Rosenberry, D.O. Disparate Groundwater Responses to Wildfire. WIREs Water 2025, 12, e70029. [Google Scholar] [CrossRef]
- Bolotin, L.A.; McMillan, H. A Hydrologic Signature Approach to Analysing Wildfire Impacts on Overland Flow. Hydrol. Process. 2024, 38, e15215. [Google Scholar] [CrossRef]
- Nyman, P.; Sheridan, G.J.; Smith, H.G.; Lane, P.N. Modeling the Effects of Surface Storage, Macropore Flow and Water Repellency on Infiltration after Wildfire. J. Hydrol. 2014, 513, 301–313. [Google Scholar] [CrossRef]
- Ebel, B.A.; Hammond, J.C.; Walvoord, M.; Partridge, T.F.; Rey, D.; Murphy, S.F. A Review and Synthesis of Post-Wildfire Shifts in Hydrologic Processes and Streamflow Generation Mechanisms. Environ. Res. Water 2026, 1, 042001. [Google Scholar] [CrossRef]
- Ebel, B.A.; Shephard, Z.M.; Walvoord, M.A.; Murphy, S.F.; Partridge, T.F.; Perkins, K.S. Modeling Post-Wildfire Hydrologic Response: Review and Future Directions for Applications of Physically Based Distributed Simulation. Earth’s Future 2023, 11, e2022EF003038. [Google Scholar] [CrossRef]
- Introduction to WATFLOOD. Available online: https://www.civil.uwaterloo.ca/watflood/intro/intro.htm (accessed on 26 January 2026).
- Kouwen, N.; Soulis, E.; Pietroniro, A.; Donald, J.; Harrington, R. Grouped Response Units for Distributed Hydrologic Modeling. J. Water Resour. Plan. Manag. 1993, 119, 289–305. [Google Scholar] [CrossRef]
- WATFLOOD. Available online: http://www.watflood.ca/ (accessed on 26 January 2026).
- Canada, N.R.C. Green KenueTM: Software Tool for Hydrologic Modellers. Available online: https://nrc.canada.ca/en/research-development/products-services/software-applications/green-kenuetm-software-tool-hydrologic-modellers (accessed on 26 January 2026).
- Canada, N.R. Medium Resolution Digital Elevation Model (MRDEM)—CanElevation Series—Open Government Portal. Available online: https://open.canada.ca/data/en/dataset/18752265-bda3-498c-a4ba-9dfe68cb98da (accessed on 23 January 2026).
- Canada, N.R. 2015 Land Cover of Canada—Open Government Portal. Available online: https://open.canada.ca/data/en/dataset/4e615eae-b90c-420b-adee-2ca35896caf6 (accessed on 23 January 2026).
- Canada, N.R. 2020 Land Cover of Canada—Open Government Portal. Available online: https://open.canada.ca/data/dataset/ee1580ab-a23d-4f86-a09b-79763677eb47 (accessed on 23 January 2026).
- Fortin, V.; Roy, G.; Stadnyk, T.; Koenig, K.; Gasset, N.; Mahidjiba, A. Ten Years of Science Based on the Canadian Precipitation Analysis: A CaPA System Overview and Literature Review. Atmos.-Ocean 2018, 56, 178–196. [Google Scholar] [CrossRef]
- Tolson, B.A.; Shoemaker, C.A. Efficient Prediction Uncertainty Approximation in the Calibration of Environmental Simulation Models. Water Resour. Res. 2008, 44, 2007WR005869. [Google Scholar] [CrossRef]
- Matott, L.S. OSTRICH–An Optimization Software Toolkit for Research Involving Computational Heuristics; Documentation and User’s Guide, Version 17.12.19; State University of New York at Buffalo: Buffalo, NY, USA, 2019; Available online: https://www.civil.uwaterloo.ca/jrcraig/CIVE781/Ostrich_Manual_17_12_19.pdf (accessed on 30 March 2026).
- Kling, H.; Fuchs, M.; Paulin, M. Runoff Conditions in the Upper Danube Basin under an Ensemble of Climate Change Scenarios. J. Hydrol. 2012, 424, 264–277. [Google Scholar] [CrossRef]
- Gupta, H.V.; Kling, H.; Yilmaz, K.K.; Martinez, G.F. Decomposition of the Mean Squared Error and NSE Performance Criteria: Implications for Improving Hydrological Modelling. J. Hydrol. 2009, 377, 80–91. [Google Scholar] [CrossRef]
- Waseem, M.; Mani, N.; Andiego, G.; Usman, M. A Review of Criteria of Fit for Hydrological Models. Int. Res. J. Eng. Technol. 2017, 4, 1765–1772. [Google Scholar]
- Kouwen, N.; Danard, M.; Bingeman, A.; Luo, W.; Seglenieks, F.R.; Soulis, E.D. Case Study: Watershed Modeling with Distributed Weather Model Data. J. Hydrol. Eng. 2005, 10, 23–38. [Google Scholar] [CrossRef]
- Singh, S.K.; Pahlow, M.; Booker, D.J.; Shankar, U.; Chamorro, A. Towards Baseflow Index Characterisation at National Scale in New Zealand. J. Hydrol. 2019, 568, 646–657. [Google Scholar] [CrossRef]
- Arocena, J.M.; Opio, C. Prescribed Fire-Induced Changes in Properties of Sub-Boreal Forest Soils. Geoderma 2003, 113, 1–16. [Google Scholar] [CrossRef]
- Moody, J.A.; Shakesby, R.A.; Robichaud, P.R.; Cannon, S.H.; Martin, D.A. Current Research Issues Related to Post-Wildfire Runoff and Erosion Processes. Earth-Sci. Rev. 2013, 122, 10–37. [Google Scholar] [CrossRef]
- Burton, C.A.; Hoefen, T.M.; Plumlee, G.S.; Baumberger, K.L.; Backlin, A.R.; Gallegos, E.; Fisher, R.N. Trace Elements in Stormflow, Ash, and Burned Soil Following the 2009 Station Fire in Southern California. PLoS ONE 2016, 5, e0153372. [Google Scholar] [CrossRef] [PubMed]
- Campo, J.; Lorenzo, M.; Cammeraat, E.L.H.; Picó, Y.; Andreu, V. Emerging Contaminants Related to the Occurrence of Forest Fires in the Spanish Mediterranean. Sci. Total Environ. 2017, 603, 330–339. [Google Scholar] [CrossRef] [PubMed]
- Klimas, K.; Hiesl, P.; Hagan, D.; Park, D. Prescribed Fire Effects on Sediment and Nutrient Exports in Forested Environments: A Review. J. Environ. Qual. 2020, 4, 793–811. [Google Scholar] [CrossRef] [PubMed]
- Homann, J.; Karbach, N.; Carolin, S.A.; James, D.H.; Hodell, D.; Breitenbach, S.F.; Hoffmann, T. Past Fire Dynamics Inferred from Polycyclic Aromatic Hydrocarbons and Monosaccharide Anhydrides in a Stalagmite from the Archaeological Site of Mayapan, Mexico. Biogeosciences 2023, 20, 3249–3260. [Google Scholar] [CrossRef]
- Yunker, M.B.; Macdonald, R.W.; Vingarzan, R.; Mitchell, R.H.; Goyette, D.; Sylvestre, S. PAHs in the Fraser River Basin: A Critical Appraisal of PAH Ratios as Indicators of PAH Source and Composition. Org. Geochem. 2002, 33, 489–515. [Google Scholar] [CrossRef]
- Yan, B.; Abrajano, T.A.; Bopp, R.F.; Chaky, D.A.; Benedict, L.A.; Chillrud, S.N. Molecular Tracers of Saturated and Polycyclic Aromatic Hydrocarbon Inputs into Central Park Lake, New York City. Environ. Sci. Technol. 2005, 39, 7012–7019. [Google Scholar] [CrossRef]
- Campos, I.; Abrantes, N.; Pereira, P.; Micaelo, A.C.; Vale, C.; Keizer, J.J. Forest Fires as Potential Triggers for Production and Mobilization of Polycyclic Aromatic Hydrocarbons to the Terrestrial Ecosystem. Land Degrad. Dev. 2019, 30, 2360–2370. [Google Scholar] [CrossRef]
- Sprovieri, M.; Feo, M.L.; Prevedello, L.; Manta, D.S.; Sammartino, S.; Marsella, E. Heavy Metals, Polycyclic Aromatic Hydrocarbons and Polychlorinated Biphenyls in Surface Sediments of the Naples Harbour (Southern Italy). Chemosphere 2007, 67, 998–1009. [Google Scholar] [CrossRef]
- Smith, H.G.; Sheridan, G.J.; Lane, P.N.J.; Noske, P.J.; Heijnis, H. Changes to Sediment Sources Following Wildfire in a Forested Upland Catchment, Southeastern Australia. Hydrol. Process. 2011, 25, 2878–2889. [Google Scholar] [CrossRef]
- Choi, S.-D.; Shunthirasingham, C.; Daly, G.L.; Xiao, H.; Lei, Y.D.; Wania, F. Levels of Polycyclic Aromatic Hydrocarbons in Canadian Mountain Air and Soil Are Controlled by Proximity to Roads. Environ. Pollut. 2009, 157, 3199–3206. [Google Scholar] [CrossRef]
- Ding, X.; Wang, X.-M.; Xie, Z.-Q.; Xiang, C.-H.; Mai, B.-X.; Sun, L.-G.; Zheng, M.; Sheng, G.-Y.; Fu, J.-M.; Pöschl, U. Atmospheric Polycyclic Aromatic Hydrocarbons Observed over the North Pacific Ocean and the Arctic Area: Spatial Distribution and Source Identification. Atmos. Environ. 2007, 41, 2061–2072. [Google Scholar] [CrossRef]
- Kouwen, N. WATFLOODTM—Model Setup for MRBHM Update: Final Report; Government of the Northwest Territories: Yellowknife, NT, Canada, 2016.
- Jenkinson, R.W. Surface Water Quality Modelling Considering Riparian Wetlands. Doctoral dissertation, University of Waterloo, Waterloo, ON, Canada, 2009. [Google Scholar]
- Ali, H.; Khan, E. Trophic Transfer, Bioaccumulation, and Biomagnification of Non-Essential Hazardous Heavy Metals and Metalloids in Food Chains/Webs—Concepts and Implications for Wildlife and Human Health. Hum. Ecol. Risk Assess. Int. J. 2019, 25, 1353–1376. [Google Scholar] [CrossRef]
- Sharma, M.; Kant, R.; Sharma, A.K.; Sharma, A.K. Exploring the Impact of Heavy Metals Toxicity in the Aquatic Ecosystem. Int. J. Energy Water Resour. 2024, 9, 267–280. [Google Scholar] [CrossRef]
- Subhanullah, M.; Hassan, N.; Ali, S.; Saleh, I.A.; Ilyas, M.; Rawan, B.; Ullah, W.; Iqbal, B.; Okla, M.K.; Alaraidh, I.A.; et al. The Detrimental Effects of Heavy Metals on Tributaries Exert Pressure on Water Quality, Crossocheilus Aplocheilus, and the Well-Being of Human Health. Sci. Rep. 2024, 14, 2868. [Google Scholar] [CrossRef] [PubMed]
- Briffa, J.; Sinagra, E.; Blundell, R. Heavy Metal Pollution in the Environment and Their Toxicological Effects on Humans. Heliyon 2020, 6, e04691. [Google Scholar] [CrossRef]
- Shahjahan, M.; Taslima, K.; Rahman, M.S.; Al-Emran, M.D.; Alam, S.I.; Faggio, C. Effects of Heavy Metals on Fish Physiology–A Review. Chemosphere 2022, 300, 134519. [Google Scholar] [CrossRef]
- Haritash, A.K.; Kaushik, C.P. Biodegradation Aspects of Polycyclic Aromatic Hydrocarbons (PAHs): A Review. J. Hazard. Mater. 2009, 169, 1–15. [Google Scholar] [CrossRef]
- Bertilsson, S.; Widenfalk, A. Photochemical Degradation of PAHs in Freshwaters and Their Impact on Bacterial Growth–Influence of Water Chemistry. Hydrobiologia 2002, 469, 23–32. [Google Scholar] [CrossRef]
- Rogers, S.W.; Ong, S.K.; Kjartanson, B.H.; Golchin, J.; Stenback, G.A. Natural Attenuation of Polycyclic Aromatic Hydrocarbon-Contaminated Sites. Pract. Period. Hazard. Toxic Radioact. Waste Manag. 2002, 6, 141–155. [Google Scholar] [CrossRef]
- Miller, J.S.; Olejnik, D. Photolysis of Polycyclic Aromatic Hydrocarbons in Water. Water Res. 2001, 35, 233–243. [Google Scholar] [CrossRef]
- Yu, K.S.H.; Wong, A.H.Y.; Yau, K.W.Y.; Wong, Y.S.; Tam, N.F.Y. Natural Attenuation, Biostimulation and Bioaugmentation on Biodegradation of Polycyclic Aromatic Hydrocarbons (PAHs) in Mangrove Sediments. Mar. Pollut. Bull. 2005, 51, 1071–1077. [Google Scholar] [CrossRef] [PubMed]
- Ramsay, M.A.; Swannell, R.P.; Shipton, W.A.; Duke, N.C.; Hill, R.T. Effect of Bioremediation on the Microbial Community in Oiled Mangrove Sediments. Mar. Pollut. Bull. 2000, 41, 413–419. [Google Scholar] [CrossRef]



















| PAH Name | Abbreviation | # Bezene and Total Rings |
|---|---|---|
| Naphthalene | NaP | 2 |
| C2-Naphthalene | NaP2 | 2 |
| C3-Naphthalene | NaP3 | 2 |
| C4-Naphthalene | NaP4 | 2 |
| Acenaphthalene | Acy | 2 |
| Acenaphthene | Ace | 2 |
| Fluorene | Fl | 2 |
| C1-Fluorene | Fl1 | 2 |
| C2-Fluorene | Fl2 | 2 |
| C3-Fluorene | Fl3 | 2 |
| C4-Fluorene | Fl4 | 2 |
| C1-Dibenzothiophene | D1 | 2 |
| C2-Dibenzothiophene | D2 | 2 |
| C3-Dibenzothiophene | D3 | 2 |
| C4-Dibenzothiophene | D4 | 2 |
| Phenanthrene | Phe | 3 |
| Anthracene | Ant | 3 |
| C1-Phenanthrene/anthracene | Phe/Ant1 | 3 |
| C2-Phenanthrene/anthracene | Phe/Ant2 | 3 |
| C3-Phenanthrene/anthracene | Phe/Ant3 | 3 |
| C4-Phenanthrene/anthracene | Phe/Ant4 | 3 |
| Fluoranthene | Fla | 3 |
| Pyrene | Pyr | 4 |
| C1-Fluoranthene/pyrene | Fla/Pyr1 | 4 |
| C2-Fluoranthene/pyrene | Fla/Pyr2 | 4 |
| C3-Fluoranthene/pyrene | Fla/Pyr3 | 4 |
| Benz(a)anthracene | BaA | 4 |
| Chrysene | Chr | 4 |
| C1-Chrysene | Chr1 | 4 |
| C2-Chrysene | Chr2 | 4 |
| C3-Chrysene | Chr3 | 4 |
| C4-Chrysene | Chr4 | 4 |
| Benzo(b,j,k)fluoranthene | BbjkF | 4 |
| Benzo[a]pyrene | BaP | 5 |
| Dibenz(a,h)anthracene | DahA | 5 |
| Indeno(1,2,3-cd)pyrene | IcdP | 5 |
| Benzo(g,h,i)perylene | BghiP | 6 |
Disclaimer/Publisher’s Note: The statements, opinions and data contained in all publications are solely those of the individual author(s) and contributor(s) and not of MDPI and/or the editor(s). MDPI and/or the editor(s) disclaim responsibility for any injury to people or property resulting from any ideas, methods, instructions or products referred to in the content. |
© 2026 by the authors. Licensee MDPI, Basel, Switzerland. This article is an open access article distributed under the terms and conditions of the Creative Commons Attribution (CC BY) license.
Share and Cite
Wijayarathne, D.; Morais, T.A.; Jaggi, A.; Kouwen, N.; Wendlandt, M.; Sirbu, T.; Gibson, J.J. Wildfire Impact Assessment in Watersheds of Alberta’s Regional Aquatic Monitoring Program. Sustainability 2026, 18, 3771. https://doi.org/10.3390/su18083771
Wijayarathne D, Morais TA, Jaggi A, Kouwen N, Wendlandt M, Sirbu T, Gibson JJ. Wildfire Impact Assessment in Watersheds of Alberta’s Regional Aquatic Monitoring Program. Sustainability. 2026; 18(8):3771. https://doi.org/10.3390/su18083771
Chicago/Turabian StyleWijayarathne, Dayal, Tiago Antonio Morais, Aprami Jaggi, Nicholas Kouwen, Michael Wendlandt, Tatiana Sirbu, and John J. Gibson. 2026. "Wildfire Impact Assessment in Watersheds of Alberta’s Regional Aquatic Monitoring Program" Sustainability 18, no. 8: 3771. https://doi.org/10.3390/su18083771
APA StyleWijayarathne, D., Morais, T. A., Jaggi, A., Kouwen, N., Wendlandt, M., Sirbu, T., & Gibson, J. J. (2026). Wildfire Impact Assessment in Watersheds of Alberta’s Regional Aquatic Monitoring Program. Sustainability, 18(8), 3771. https://doi.org/10.3390/su18083771

