Spatiotemporal Variation of Dust Retention in the Leaves of Common Greening Tree Species in Urumqi
Abstract
1. Introduction
2. Materials and Methods
2.1. Study Area and Sampling Sites
2.2. Test Species
2.3. Leaf Collection
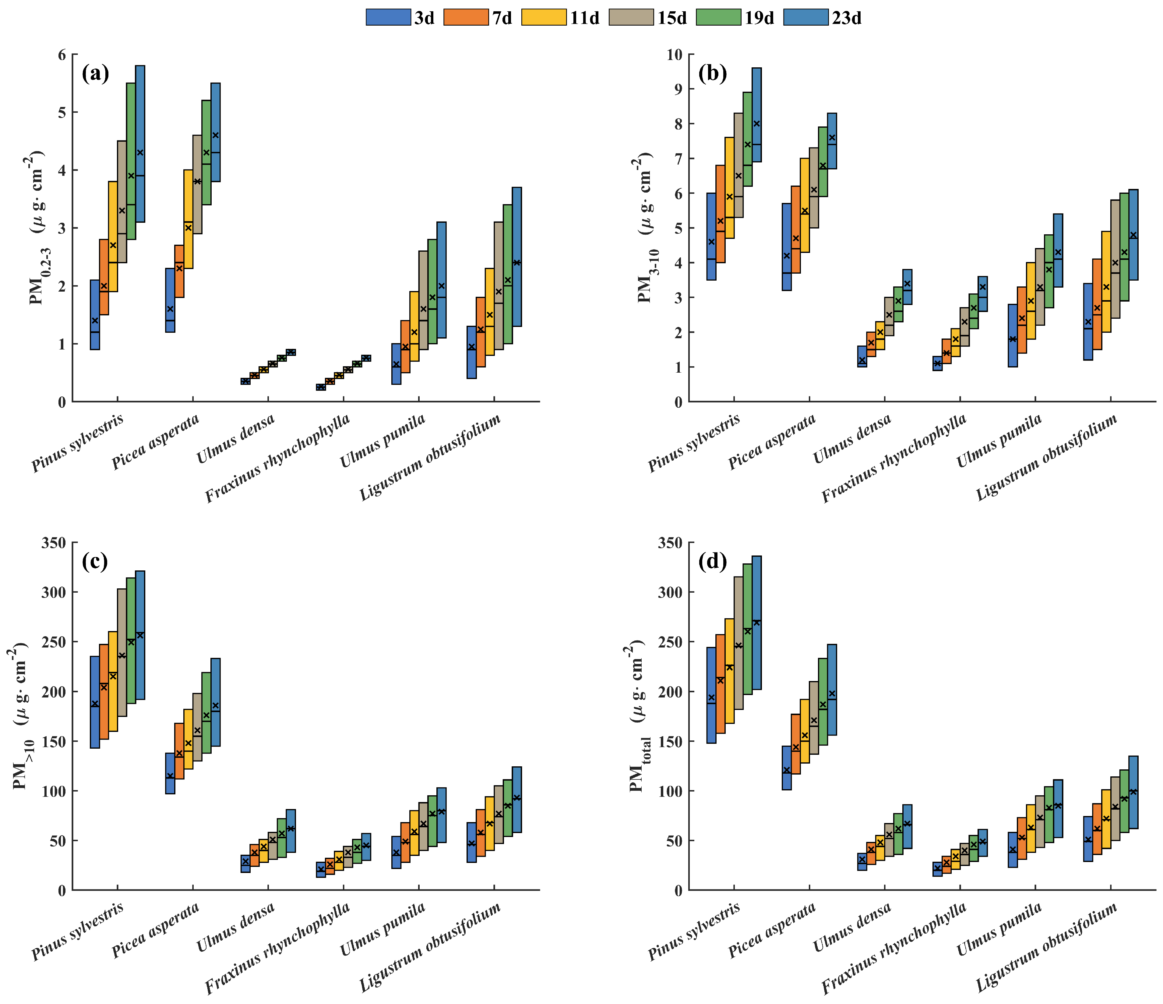
2.3.1. Diurnal Sampling
2.3.2. Seasonal Sampling
2.4. Leaf Area Measurement and Quantification of PM Retention
2.4.1. Leaf Area Determination
2.4.2. Determination of PM Retention on Leaf Surfaces
2.5. Data Processing
3. Results
3.1. Differences in the Retention of Particulate Matter of Different Size Fractions by Leaves of Greening Tree Species
3.2. Spatiotemporal Variation in the Retention of Particulate Matter of Different Size Fractions by Leaves of Six Greening Tree Species
3.2.1. Diurnal Variation
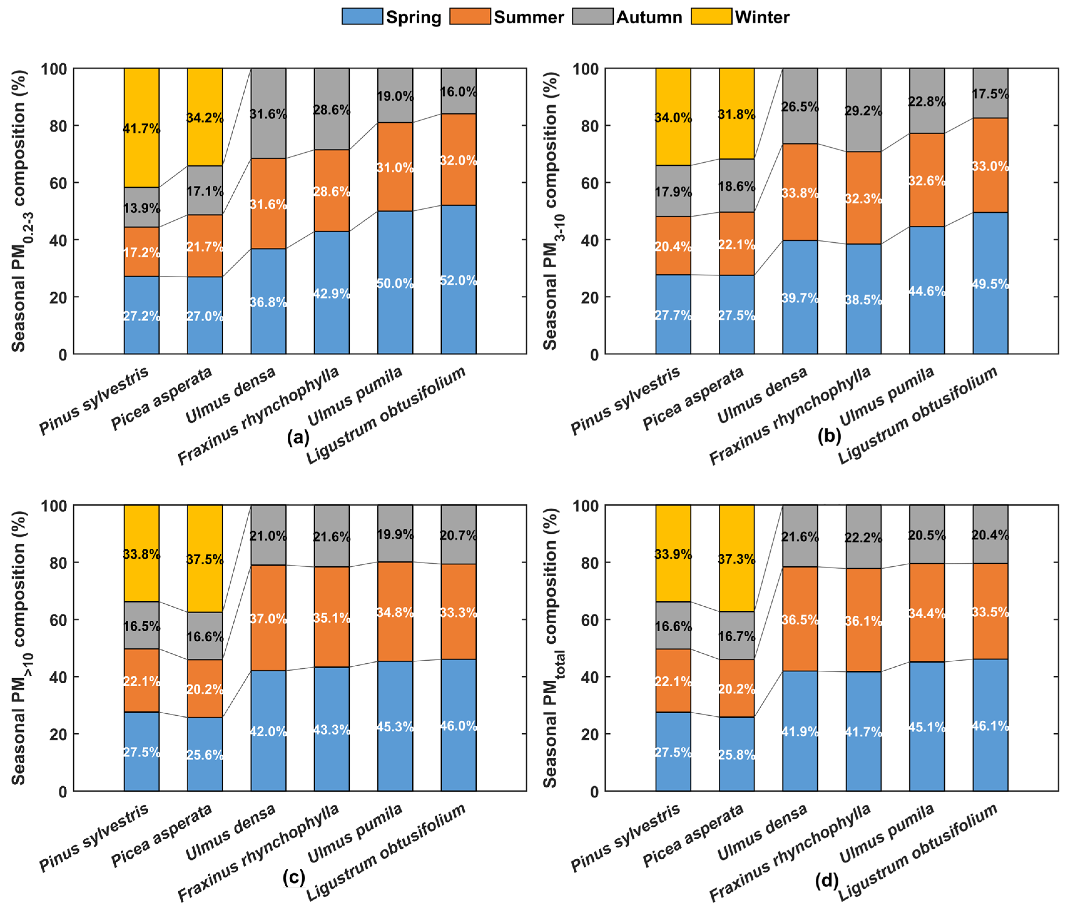
3.2.2. Seasonal Variation
3.3. Spatial Variation in PM Retention on Leaves of Six Tree Species
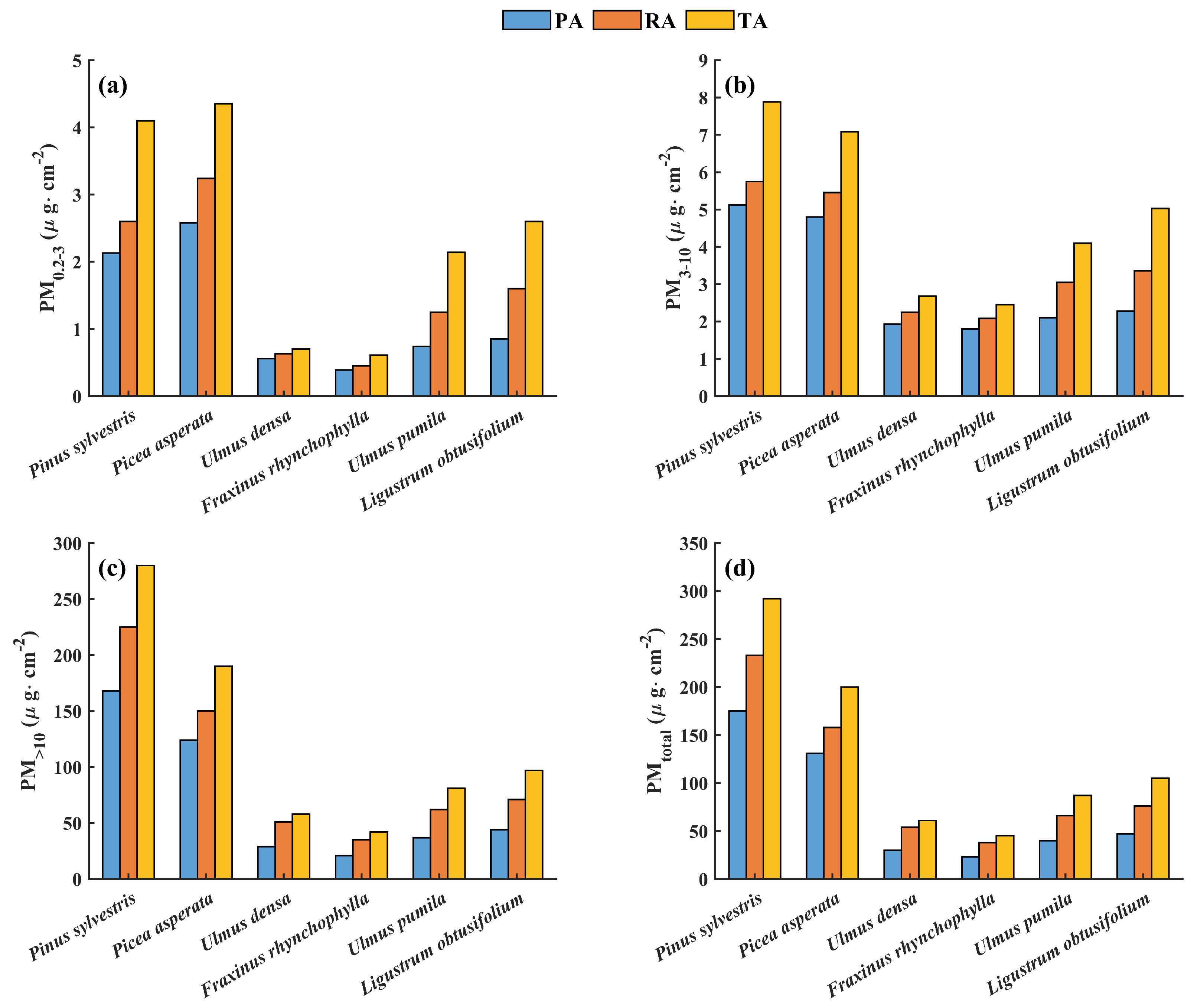
3.3.1. Different Functional Zones
3.3.2. Different Altitudes
4. Discussion
4.1. Temporal Patterns of PM Retention
4.2. Spatial Patterns Across Functional Zones and Altitudes
5. Conclusions
Author Contributions
Funding
Institutional Review Board Statement
Informed Consent Statement
Data Availability Statement
Conflicts of Interest
References
- Li, X.; Zhang, T.; Sun, F.; Song, X.; Zhang, Y.; Huang, F.; Yuan, C.; Yu, H.; Zhang, G.; Qi, F.; et al. The Relationship between Particulate Matter Retention Capacity and Leaf Surface Micromorphology of Ten Tree Species in Hangzhou, China. Sci. Total Environ. 2021, 771, 144812. [Google Scholar] [CrossRef]
- He, C.; Qiu, K.; Pott, R. Reduction of Urban Traffic–Related Particulate Matter—Leaf Trait Matters. Environ. Sci. Pollut. Res. Int. 2020, 27, 5825–5844. [Google Scholar] [CrossRef] [PubMed]
- Zhang, Z.; Gong, J.; Li, Y.; Zhang, W.; Zhang, T.; Meng, H.; Liu, X. Analysis of the Influencing Factors of Atmospheric Particulate Matter Accumulation on Coniferous Species: Measurement Methods, Pollution Level, and Leaf Traits. Environ. Sci. Pollut. Res. 2022, 29, 62299–62311. [Google Scholar] [CrossRef]
- Zhu, Y.; Huang, L.; Li, J.; Ying, Q.; Zhang, H.; Liu, X.; Liao, H.; Li, N.; Liu, Z.; Mao, Y.; et al. Sources of Particulate Matter in China: Insights from Source Apportionment Studies Published in 1987–2017. Environ. Int. 2018, 115, 343–357. [Google Scholar] [CrossRef]
- Chen, J.; Hoek, G. Long-term Exposure to PM and All-cause and Cause-specific Mortality: A Systematic Review and Meta-analysis. Environ. Int. 2020, 143, 105974. [Google Scholar] [CrossRef] [PubMed]
- Sahai, S. Atmospheric Submicron Particulate Matter (PM): An Emerging Global Environmental Concern. Curr. World Environ. 2019, 14, 189–193. [Google Scholar] [CrossRef]
- Baidourela, A.; Zhayimu, K. Patterns of Dust Retention by Urban Trees in Oasis Cities. Nat. Environ. Pollut. Technol. 2015, 14, 53–57. [Google Scholar]
- Baidurela, A.; Halik, U.; Aishan, T.; Nuermaimaiti, K. Maximum Dust Retention of Main Greening Trees in Arid Land Oasis Cities, Northwest China. Sci. Silvae Sin. 2015, 51, 57–64. [Google Scholar]
- Yan, P.B.; Yang, Y. Performances of Urban Tree Species under Disturbances in 120 Cities in China. Forest 2018, 9, 50. [Google Scholar] [CrossRef]
- Singh, R.; Chavan, S.B.; Tomar, A.; Singh, H.; Chauhan, V.; Paul, N.; Singh, A.K. Species Variation in Air Pollution Tolerance, Performance, and Dust Retention of Urban Roadside Trees: Implications for Urban Greening and Green Corridor Planning. Air Qual. Atmos. Health 2025, 18, 3311–3327. [Google Scholar] [CrossRef]
- Nurmamat, K.; Halik, M.; Baidourela, A.; Aishan, T. Atmospheric Particle Distribution on Tree Leaves in Different Urban Areas of Aksu City, Northwest China. Nat. Environ. Pollut. Technol. 2022, 21, 921–929. [Google Scholar] [CrossRef]
- Vigevani, I.; Corsini, D.; Mori, J.; Pasquinelli, A.; Gibin, M.; Comin, S.; Szwałko, P.; Cagnolati, E.; Ferrini, F.; Fini, A. Particulate Pollution Capture by Seventeen Woody Species Growing in Parks or along Roads in Two European Cities. Sustainability 2022, 14, 1113. [Google Scholar] [CrossRef]
- Xu, L.; Yan, Q.; He, P.; Zhen, Z.; Jing, Y.; Duan, Y.; Chen, X. Combined Effects of Different Leaf Traits on Foliage Dust-Retention Capacity and Stability. Air Qual. Atmos. Health 2022, 15, 1263–1274. [Google Scholar] [CrossRef]
- Xu, X.; Yu, X.; Bao, L.; Desai, A.R. Size Distribution of Particulate Matter in Runoff from Different Leaf Surfaces during Controlled Rainfall Processes. Environ. Pollut. 2019, 255, 113234. [Google Scholar] [CrossRef]
- Liu, C.; Dai, A.; Ji, Y.; Sheng, Q.; Zhu, Z. Effect of different plant communities on fine particle removal in an urban road greenbelt and its key factors in Nanjing, China. Sustainability 2022, 15, 156. [Google Scholar] [CrossRef]
- Zhang, W.; Li, Y.; Wang, Q.; Zhang, T.; Meng, H.; Gong, J.; Zhang, Z. Particulate matter and trace metal retention capacities of six tree species: Implications for improving urban air quality. Sustainability 2022, 14, 13374. [Google Scholar] [CrossRef]
- Li, Q.; Liao, J.; Zhu, Y.; Ye, Z.; Chen, C.; Huang, Y.; Liu, Y. A study on the leaf retention capacity and mechanism of nine greening tree species in central tropical Asia regarding various atmospheric particulate matter values. Atmosphere 2024, 15, 394. [Google Scholar] [CrossRef]
- Zhao, S.; Li, X.; Li, Y.; Li, J.; Liu, X.; Duan, M.; Wang, X. Differential impacts of functional traits across 65 plant species on PM retention in the urban environment. Ecol. Eng. 2024, 200, 107184. [Google Scholar] [CrossRef]
- Tripathi, D.P.; Nema, A.K. Air pollution mitigation and suspended particulate matter retention potential of selected plant species across seasonal variation in the urban area. Environ. Sci. Pollut. Res. 2024, 31, 45035–45054. [Google Scholar] [CrossRef] [PubMed]
- Rasheed, F.; Ruffner, C.; Iqbal, A. Particulate matter retention and removal efficiency in ten tree species of semi-arid environment. Int. J. Phytoremediat. 2025, 27, 362–371. [Google Scholar] [CrossRef] [PubMed]
- Kong, L.; Huang, X.; Zhu, F. Planting design for urban overpasses based on atmospheric particulate matter retention in Changsha. Int. J. Phytoremediat. 2025, 27, 675–687. [Google Scholar] [CrossRef]
- Wang, J.; Kong, W.; Li, H.; Sun, X.; Sun, Y.; Liu, Y. Effects of meteorological factors on the retention of particulate matter in lawn grass blades. Front. Plant Sci. 2025, 16, 1495212. [Google Scholar] [CrossRef] [PubMed]
- Popek, R.; Przybysz, A. Precipitation plays a key role in the processes of accumulation, retention and re-suspension of particulate matter on Betula pendula, Tilia cordata and Quercus robur foliage. Desalination Water Treat. 2022, 275, 14–23. [Google Scholar] [CrossRef]
- Kwak, M.J.; Lee, J.; Park, S.; Lim, Y.J.; Kim, H.; Jeong, S.G.; Son, J.-A.; Je, S.M.; Chang, H.; Oh, C.-Y.; et al. Understanding particulate matter retention and wash-off during rainfall in relation to leaf traits of urban forest tree species. Horticulturae 2023, 9, 165. [Google Scholar] [CrossRef]
- Wang, H.; Xing, Y.; Yang, J.; Xie, B.; Shi, H.; Wang, Y. The nature and size fractions of particulate matter deposited on leaves of four tree species in Beijing, China. Forests 2022, 13, 316. [Google Scholar] [CrossRef]
- Zeng, Y.; Wang, H.; Liang, D.; Yuan, W.; Xu, H.; Li, S.; Li, J. Disentangling the retention preferences of estuarine suspended particulate matter for diverse microplastic types. Environ. Pollut. 2025, 366, 125390. [Google Scholar] [CrossRef]
- Roy, A.; Mandal, M.; Popek, R.; Przybysz, A.; Sarkar, A. Decoding leaf micro- and macro-morphology: A path to effective particulate matter phytoremediation. Int. J. Phytoremediat. 2025, in press. [Google Scholar] [CrossRef]
- Fan, J.; Yang, J.; Duan, T.; Gong, Y.; Sun, J. Key role of hydrodynamic conditions in the adsorption and migration of sulfamethoxazole driven by suspended particulate matter. J. Contam. Hydrol. 2025, 272, 104581. [Google Scholar] [CrossRef]
- Tomson, M.; Kumar, P.; Abhijith, K.V.; Watts, J.F. Exploring the interplay between particulate matter capture, wash-off, and leaf traits in green wall species. Sci. Total Environ. 2024, 921, 170950. [Google Scholar] [CrossRef]
- Chen, D.; Long, Y.; Zhu, Y.; Zheng, J.; Yan, J.; Yin, S. Mapping the constituent preference of tree species for capturing particulate matter on leaf surfaces using single-particle mass spectrometry and supervised machine learning. Environ. Pollut. 2024, 360, 124785. [Google Scholar] [CrossRef]
- Wang, M.; Qin, M.; Xu, P.; Huang, D.; Jin, X.; Chen, J.; Dong, D.; Ren, Y. Atmospheric particulate matter retention capacity of bark and leaves of urban tree species. Environ. Pollut. 2024, 342, 123109. [Google Scholar] [CrossRef] [PubMed]
- Jin, E.J.; Yoon, J.H.; Bae, E.J.; Jeong, B.R.; Yong, S.H.; Choi, M.S. Particulate matter removal ability of ten evergreen trees planted in Korea urban greening. Forests 2021, 12, 438. [Google Scholar] [CrossRef]






| Title Species | Tree Height (m) | Leaf Type | Leaf Shape | Leaf Characteristics | Leaf Margin | Phyllotaxy |
|---|---|---|---|---|---|---|
| Pinus sylvestris | 10–14 | Needle leaf | Needle-shaped | Glabrous | Entire | Fascicled/spiral |
| Picea asperata | 10–12 | Needle leaf | Needle-shaped | Glabrous or slightly pubescent when young | Entire | Spiral |
| Ulmus densa | 10–13 | Simple leaf | Ovate to elliptic | Glabrous | Serrate | Alternate |
| Fraxinus rhynchophylla | 7–11 | Compound leaf | Pinnate leaflets, lanceolate to ovate-lanceolate | Generally glabrous | Serrate | Opposite |
| Ulmus pumila | 0.8 | Simple leaf | Ovate to elliptic | Glabrous | Serrate | Alternate |
| Ligustrum obtusifolium | 0.8 | Simple leaf | Ovate to obovate | Glabrous to sparsely pubescent | Entire | Opposite |
| Life Form | Tree Species | PM0.2–3 | PM3–10 | PM>10 | PMtotal |
|---|---|---|---|---|---|
| Evergreen trees | Pinus sylvestris | 2.96 ± 0.33 | 6.27 ± 0.40 | 224.74 ± 12.76 | 233.97 ± 13.43 |
| Picea asperata | 3.31 ± 0.30 | 5.86 ± 0.36 | 154.29 ± 8.87 | 163.46 ± 9.53 | |
| Deciduous shrubs | Ulmus pumila | 1.70 ± 0.23 | 3.58 ± 0.36 | 60.13 ± 6.52 | 65.41 ± 6.77 |
| Ligustrum obtusifolium | 1.38 ± 0.19 | 3.33 ± 0.28 | 70.97 ± 5.57 | 75.68 ± 6.04 | |
| Deciduous trees | Ulmus densa | 0.63 ± 0.04 | 2.24 ± 0.20 | 45.88 ± 4.17 | 48.75 ± 4.41 |
| Fraxinus rhynchophylla | 0.48 ± 0.05 | 2.15 ± 0.19 | 32.58 ± 2.86 | 35.21 ± 2.87 |
Disclaimer/Publisher’s Note: The statements, opinions and data contained in all publications are solely those of the individual author(s) and contributor(s) and not of MDPI and/or the editor(s). MDPI and/or the editor(s) disclaim responsibility for any injury to people or property resulting from any ideas, methods, instructions or products referred to in the content. |
© 2026 by the authors. Licensee MDPI, Basel, Switzerland. This article is an open access article distributed under the terms and conditions of the Creative Commons Attribution (CC BY) license.
Share and Cite
Yiming, M.; Nuermaimaiti, K.; Baidourela, A.; Bao, H.; Shadekebieke, E. Spatiotemporal Variation of Dust Retention in the Leaves of Common Greening Tree Species in Urumqi. Sustainability 2026, 18, 3240. https://doi.org/10.3390/su18073240
Yiming M, Nuermaimaiti K, Baidourela A, Bao H, Shadekebieke E. Spatiotemporal Variation of Dust Retention in the Leaves of Common Greening Tree Species in Urumqi. Sustainability. 2026; 18(7):3240. https://doi.org/10.3390/su18073240
Chicago/Turabian StyleYiming, Maidina, Kailibinuer Nuermaimaiti, Aliya Baidourela, Hongguang Bao, and Enkaer Shadekebieke. 2026. "Spatiotemporal Variation of Dust Retention in the Leaves of Common Greening Tree Species in Urumqi" Sustainability 18, no. 7: 3240. https://doi.org/10.3390/su18073240
APA StyleYiming, M., Nuermaimaiti, K., Baidourela, A., Bao, H., & Shadekebieke, E. (2026). Spatiotemporal Variation of Dust Retention in the Leaves of Common Greening Tree Species in Urumqi. Sustainability, 18(7), 3240. https://doi.org/10.3390/su18073240

