Mechanisms of Fouled Railway Ballast Deterioration Under Freeze–Thaw and Cyclic Loading: Implications for Sustainable Maintenance in Seasonal Frozen Regions
Abstract
1. Introduction
2. Experimental Program
2.1. Low Temperature Geotechnical Testing System
2.2. Materials
2.2.1. Subgrade Soil (Low Liquid-Limit Silty Clay)
2.2.2. Ballast Simulant (Graded Crushed Stone)
2.3. Specimen Preparation and Testing Procedures
2.3.1. One-Dimensional Freeze–Thaw Test
2.3.2. Ballast–Fine Grained Soil Dynamic Loading Test
3. Freeze–Thaw Tests: Temperature and Moisture Redistribution in Silty Clay
3.1. Temperature Evolution and Freezing-Front Development
3.2. Moisture Accumulation and Formation of a High-Water-Content Clay Layer
4. Cyclic Loading Tests: Evolution of the Fouled Ballast Interlayer
4.1. Post-Test Observations: Interlayer Formation and Fines Migration
4.2. Excess Pore Water Pressure Response and Vertical Hydraulic Gradient
4.3. Water Content Evolution in the Fine-Grained Layer During Loading
4.4. Quantification of Interlayer Growth and Ballast Fouling
4.4.1. Interlayer Thickness Versus Initial Water Content
4.4.2. Ballast Fouling Quantified by Void Contaminant Index (VCI)
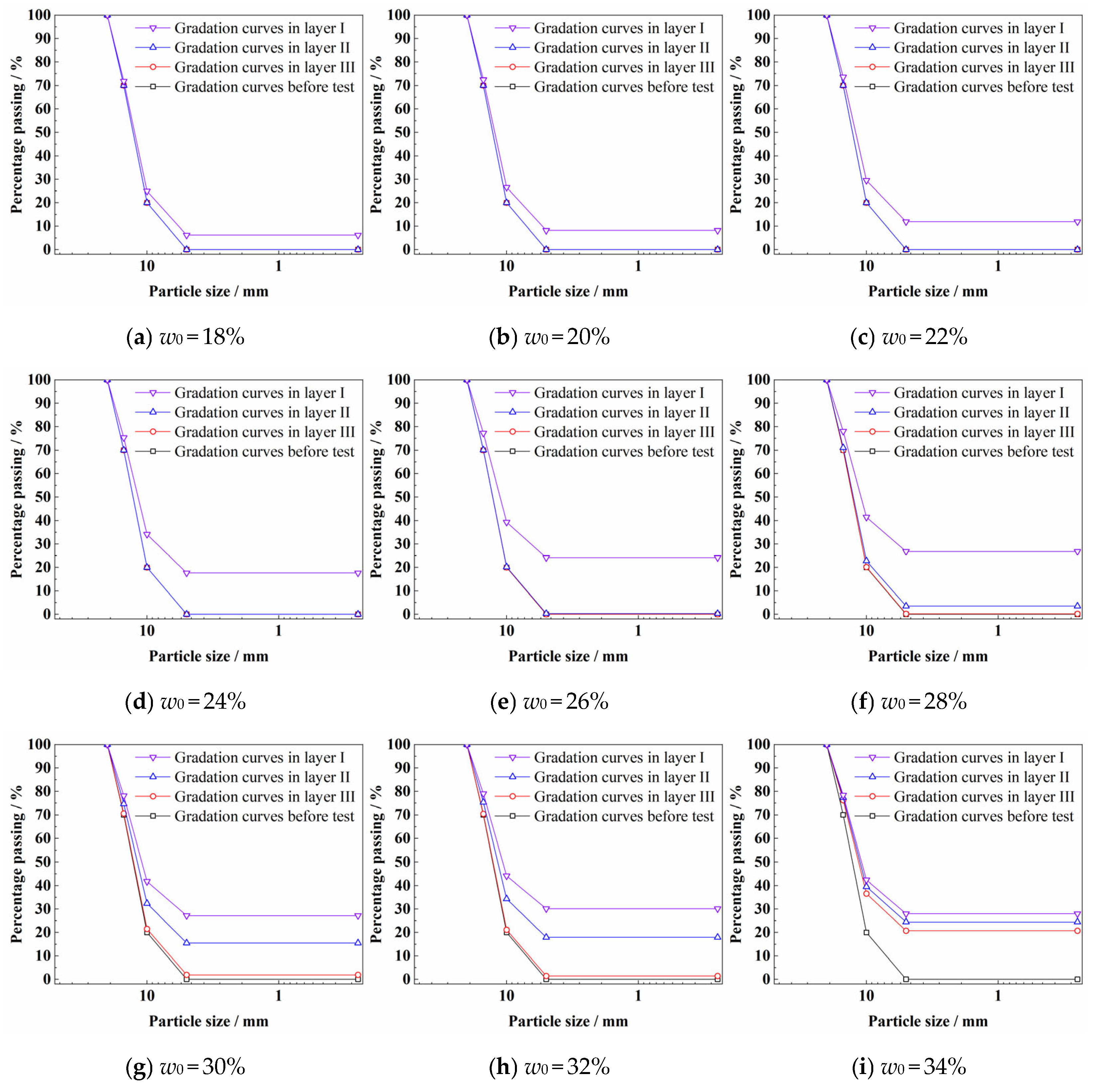
4.4.3. Changes in Ballast Gradation with Depth After Loading
5. Discussion: Deterioration Mechanism and Engineering Implications
- (1)
- Stage 1: Water migration during freezing
- (2)
- Stage 2: The development of a high-water-content clay layer during the thawing
- (3)
- Stage 3: Mud formation and intrusion
- (4)
- Stage 4: The evolution of the fouled ballast interlayer
6. Conclusions
- (1)
- The temperature variation along the height of the fine-grained soil specimen showed pronounced nonlinear characteristics during freeze–thaw cycles. The shallow soil cooling rapidly than deeper soil. Under open water supply during freezing, the temperature gradient drove unfrozen water migration toward the freezing front, forming ice lenses. During thawing, meltwater was hindered by the low permeability of the underlying frozen layer and accumulated in the upper soil. As freeze–thaw cycles increased, the water content in the top layer increased significantly, eventually forming a clay layer with high water content.
- (2)
- Pore water pressure in the upper layer increased and dissipated rapidly, accompanied by a persistently positive pore pressure gradient. In the mid-upper layer, both the peak value and dissipation rate were strongly controlled by the initial water content. Meanwhile, the gradient evolves from negative toward zero as loading proceeded. In the lower layer, pore pressure accumulated gradually because of limited moisture and constrained drainage, and the gradient remained close to zero. Dissipation of excess pore pressure near the interface promoted upward moisture migration. Overall, the amount of moisture migration increased with initial water content.
- (3)
- Ballast penetration combines with the upward migration of fine particles to form a fouling ballast interlayer under cyclic loading. As the initial moisture content of the overlying fine-grained soil increases, the interlayer thickens gradually. Once the initial moisture content exceeds the liquid limit, the interlayer thickness increases markedly. At moisture contents above 30%, fine particles migrate further upward to the top of ballast, resulting in mud pumping. Overall, the evolution of the fouling interlayer follows a synergistic mechanism governed by ballast penetration, upward moisture movement, and fine particle accumulation.
- (4)
- The particle size distribution of the fouled ballast interlayer deteriorated considerably as initial water content increase. The fouling degree was quantified using the void contamination index, which increases with the initial water content of overlying fine-grained soil. When water content exceeded 28%, the index of the specimen surpassed 40%, reaching the engineering threshold requiring remedial measures. This index can provide a quantitative basis for identifying fouled ballast interlayers and guiding replacement decisions in practice.
- (5)
- The evolution mechanism of fouling in ballasted tracks within seasonal frozen regions can be summarized as follows. During winter freezing, water migrates upward and forms ice lenses near the freezing front. In spring thaw, meltwater is trapped above the frozen layer below. After multiple freeze–thaw cycles, a high-water-content clay layer forms in the upper soil, where fine-grained materials soften into mud. Under cyclic train loading, excess pore water pressure drives the mud upward. As temperatures rise in summer, evaporation and drainage allow the mud to settle and consolidate, eventually forming a dense fouled ballast interlayer near the ballast–subgrade interface.
- (6)
- The results suggest practical field indicators and triggers for seasonal frozen regions. Interlayer evolution accelerates when the upper fine-grained soil exceeds the liquid limit (24%), and mud pumping was observed under high water contents (≈30%). The ballast fouling degree can be evaluated using VCI. A VCI > 40% occurred at an upper-layer water content of 28%, indicating the need for remediation. Maintenance should be prioritized around spring thaw, and mitigation should emphasize drainage improvement, ballast cleaning or replacement, and interface separation or reinforcement to reduce fines intrusion and pumping risk.
Author Contributions
Funding
Institutional Review Board Statement
Informed Consent Statement
Data Availability Statement
Conflicts of Interest
Abbreviations
| VCI | Void Contaminant Index |
| LL | Liquid Limit |
References
- Tang, C.X.; Zhu, Z.Y.; Ma, Y. Dynamic response of a permafrost railway subgrade with 3D train track subgrade ground model simulations. Cold Reg. Sci. Technol. 2024, 225, 104265. [Google Scholar] [CrossRef]
- Tennakoon, N.; Indraratna, B. Behaviour of clay-fouled ballast under cyclic loading. Géotechnique 2014, 64, 502–506. [Google Scholar] [CrossRef]
- Cai, G.; Han, B.; Yang, X. Investigating the mud pumping phenomena and dynamic characteristics in ballasted track subgrade under multi-stage/multi-frequency train load–wetting coupling. Transp. Geotech. 2025, 52, 101545. [Google Scholar] [CrossRef]
- Zhang, S.; Sheng, D.; Zhao, G. Analysis of frost heave mechanisms in a high-speed railway embankment. Can. Geotech. J. 2016, 53, 520–529. [Google Scholar] [CrossRef]
- Charoenwong, C.; Connolly, D.P.; Costa, P.A. The effect of ballast moisture content and fouling index on railway track settlement. Transp. Geotech. 2024, 45, 101193. [Google Scholar] [CrossRef]
- Wan, Z.; Bian, X.; Chen, Y. Mud pumping in high-speed railway: In-situ soil core test and full-scale model testing. Railw. Eng. Sci. 2022, 30, 289–303. [Google Scholar] [CrossRef]
- Han, B.; Cai, G.; Su, Y.; Shan, Y.; Li, J. Investigating the particle migration and dynamic characteristics of ballasted track subgrades under cyclic loading–wetting coupling. Transp. Geotech. 2025, 51, 101501. [Google Scholar] [CrossRef]
- Lin, H.; Zhang, W.; Guo, S.; Zhang, X.; Wang, L.; Zhang, J. Study on the energy evolution mechanism and fractal characteristics of coal failure under dynamic loading. ACS Omega 2025, 10, 54710–54719. [Google Scholar] [CrossRef]
- Zhu, D.; Griffiths, D.V.; Fenton, G.A.; Huang, J. Probabilistic stability analyses of two-layer undrained slopes. Comput. Geotech. 2025, 182, 107178. [Google Scholar] [CrossRef]
- Cui, Y.J.; Lamas-Lopez, F.; Trinh, V.N. Investigation of interlayer soil behaviour by field monitoring. Transp. Geotech. 2014, 1, 91–105. [Google Scholar] [CrossRef]
- Trinh, V.N.; Tang, A.M.; Cui, Y.J. Mechanical characterisation of the fouled ballast in ancient railway track substructure by large-scale triaxial tests. Soils Found. 2012, 52, 511–523. [Google Scholar] [CrossRef]
- Duong, T.V.; Cui, Y.J.; Tang, A.M. Investigating the mud pumping and interlayer creation phenomena in railway sub-structure. Eng. Geol. 2014, 171, 45–58. [Google Scholar] [CrossRef]
- Duong, T.V.; Cui, Y.J.; Tang, A.M. Physical model for studying the migration of fine particles in the railway substructure. Geotech. Test. J. 2014, 37, 895–906. [Google Scholar] [CrossRef]
- Ding, Y.; Jia, Y.; Zong, Z. Study on characteristics and mechanism of subgrade mud pumping under heavy-haul train loads. Bull. Eng. Geol. Environ. 2024, 83, 63. [Google Scholar] [CrossRef]
- Indraratna, B.; Tennakoon, N.; Nimbalkar, S. Behaviour of clay-fouled ballast under drained triaxial testing. Géotechnique 2013, 63, 410–419. [Google Scholar] [CrossRef]
- Cui, Y.-J.; Duong, T.V.; Tang, A.-M.; Dupla, J.-C.; Calon, N.; Robinet, A. Investigation of the hydro-mechanical behaviour of fouled ballast. J. Zhejiang Univ. Sci. A 2013, 14, 244–255. [Google Scholar] [CrossRef]
- Konrad, J.M. Freezing-induced water migration in compacted base-course materials. Can. Geotech. J. 2008, 45, 895–909. [Google Scholar] [CrossRef]
- Aw, E.S. Low Cost Monitoring System to Diagnose Problematic Rail Bed: Case Study at a Mud Pumping Site. Ph.D. Thesis, Massachusetts Institute of Technology, Cambridge, MA, USA, 2007. [Google Scholar]
- Wang, T.L.; Zhang, Y.Z.; Wei, M.; Cheng, B.Y.; Wen, A. Investigation of liquid and vapor migration in coarse-grained soil during open-system step-freezing test. Cold Reg. Sci. Technol. 2019, 165, 102816. [Google Scholar] [CrossRef]
- Chang, W.Z.; Wang, T.L.; Wang, L. Mechanical characteristics of mud pumping in railway subgrade under hydrothermal action. Rock Soil Mech. 2024, 45, 3304–3314. [Google Scholar] [CrossRef]
- Zhang, S. Effects of freezing–thawing and cyclic loading on pore size distribution and dynamic characteristics of silty clay. Cold Reg. Sci. Technol. 2018, 145, 185–196. [Google Scholar] [CrossRef]
- Wang, L.; Zhang, L.; Wang, T.; Zhang, S. Investigation of water and soil migration and mud pumping of subgrades under traffic load. Atmosphere 2023, 14, 133. [Google Scholar] [CrossRef]
- Do, H. Frost heaving and induced pressure of unsaturated gravel ballast–subgrade soil mixtures via 1D soil column testing. Appl. Sci. 2022, 12, 2811. [Google Scholar] [CrossRef]
- Indraratna, B.; Wijewardena, L.S.S.; Balasubramaniam, A.S. Large-scale triaxial testing of greywacke rockfill. Géotechnique 1993, 43, 37–51. [Google Scholar] [CrossRef]
- Han, B.W.; Cai, G.Q.; Li, J. Investigating particles migration caused by mud pumping in ballasted track subgrade under cyclic loading–wetting coupling. Transp. Geotech. 2022, 37, 100830. [Google Scholar] [CrossRef]
- Zhai, B.; Leng, W.; Xu, F. Critical dynamic stress and shakedown limit criterion of coarse-grained subgrade soil. Transp. Geotech. 2020, 23, 100354. [Google Scholar] [CrossRef]
- Zhang, D.; Cui, K.; Li, Q. Experimental investigation of the accumulated axial strain of mud-fouled ballast under long-term cyclic loading. Transp. Geotech. 2025, 57, 101842. [Google Scholar] [CrossRef]
- Mei, H.; Leng, W.; Nie, R. Experimental research on the dynamic response characteristics of the transition subgrade induced by heavy-haul train passage. Proc. Inst. Mech. Eng. Part F J. Rail Rapid Transit 2019, 233, 974–987. [Google Scholar] [CrossRef]
- Nie, R.; Sun, B.; Leng, W. Resilient modulus of coarse-grained subgrade soil for heavy-haul railway: An experimental study. Soil Dyn. Earthq. Eng. 2021, 150, 106959. [Google Scholar] [CrossRef]
- Zhang, Y.; Liu, W.; Wang, J.; Wang, M.; Zhu, D.-P.; Dong, Y.-Q. Experimental study on frost heave characteristics and micromechanism of fine-grained soil in seasonally frozen regions. Cold Reg. Sci. Technol. 2023, 216, 103990. [Google Scholar] [CrossRef]
- Ding, Y.; Jia, Y.; Wang, X.; Zhang, J.S.; Chen, X.B.; Luo, H.; Zhang, Y. Influence of particle size distribution and initial dry density on the characteristics of subgrade mud pumping. Rock Soil Mech. 2022, 43, 2539–2549. [Google Scholar] [CrossRef]
- Indraratna, B.; Nimbalkar, S.S.; Tennakoon, N. The behaviour of ballasted track foundations: Track drainage and geosynthetic reinforcement. In GeoFlorida 2010: Advances in Analysis, Modeling & Design; American Society of Civil Engineers: Reston, VA, USA, 2010; pp. 2378–2387. [Google Scholar]


















| Study | Primary Focus | Freeze–Thaw | Cyclic Loading | Key Limitation |
|---|---|---|---|---|
| Trinh et al. [11] | Transition identification | No | In-service | Evolution mechanism not quantified |
| Duong et al. [12,13] | Interlayer formation and fines migration | No | Yes | No freeze–thaw moisture preconditioning |
| Ding et al. [14] | Mud pumping–fouling interaction | No | Yes | Limited linkage to hydraulic gradients and staged thickening |
| Chang et al. [20] | Hydrothermal effects on pumping behavior | Yes | Related | Limited interlayer thickness quantification and trigger definition |
| Wang [22] | Water–soil migration modelling | Yes | Implicit | Lacks systematic experimental validation (thickness/indices) |
| Do et al. [23] | Frost-heave-induced fines intrusion | Yes | Not central | No pore pressure gradient evidence under cyclic loading |
| This study | Freeze–thaw, cyclic-loading model tests, Indices | Yes | Yes | Integrates gradients, pathways, thickness evolution, and practical triggers |
| Specific Gravity Gs | Liquid Limit LL (%) | Plastic Limit PL (%) | Permeability Coefficient ksat,0 (m/s) | Maximum Dry Density ρd,max (g/cm3) | Optimum Water Content wopt (%) |
|---|---|---|---|---|---|
| 2.79 | 24.17 | 14.06 | 3.49 × 10−10 | 1.73 | 17.9 |
| Test No. | Top Freezing Temperature (°C) | Top Melting Temperature (°C) | Environment Temperature (°C) | Bottom Temperature (°C) | Freeze–Thaw Cycles |
|---|---|---|---|---|---|
| 1 | −5 | +10 | +2 | +2 | 3 |
| 2 | −10 | +10 | +2 | +2 | 3 |
| 3 | −15 | +10 | +2 | +2 | 3 |
| Test No. | Cyclic Stress Amplitude (kPa) | Upper Water Content of Fine-Grained Soil (%) | Bottom Water Content of Fine-Grained Soil (%) |
|---|---|---|---|
| A1 | 100 | 18% | 18% |
| A2 | 100 | 20% | 18% |
| A3 | 100 | 22% | 18% |
| A4 | 100 | 24% | 18% |
| A5 | 100 | 26% | 18% |
| A6 | 100 | 28% | 18% |
| A7 | 100 | 30% | 18% |
| A8 | 100 | 32% | 18% |
| A9 | 100 | 34% | 18% |
Disclaimer/Publisher’s Note: The statements, opinions and data contained in all publications are solely those of the individual author(s) and contributor(s) and not of MDPI and/or the editor(s). MDPI and/or the editor(s) disclaim responsibility for any injury to people or property resulting from any ideas, methods, instructions or products referred to in the content. |
© 2026 by the authors. Licensee MDPI, Basel, Switzerland. This article is an open access article distributed under the terms and conditions of the Creative Commons Attribution (CC BY) license.
Share and Cite
Zhang, D.; Li, Q.; Li, S.; Cui, K.; Qin, X.; Zhu, Z.; Zhang, Z. Mechanisms of Fouled Railway Ballast Deterioration Under Freeze–Thaw and Cyclic Loading: Implications for Sustainable Maintenance in Seasonal Frozen Regions. Sustainability 2026, 18, 2808. https://doi.org/10.3390/su18062808
Zhang D, Li Q, Li S, Cui K, Qin X, Zhu Z, Zhang Z. Mechanisms of Fouled Railway Ballast Deterioration Under Freeze–Thaw and Cyclic Loading: Implications for Sustainable Maintenance in Seasonal Frozen Regions. Sustainability. 2026; 18(6):2808. https://doi.org/10.3390/su18062808
Chicago/Turabian StyleZhang, Dongjie, Qionglin Li, Shanhao Li, Kai Cui, Xiaotong Qin, Zhanyuan Zhu, and Zhijia Zhang. 2026. "Mechanisms of Fouled Railway Ballast Deterioration Under Freeze–Thaw and Cyclic Loading: Implications for Sustainable Maintenance in Seasonal Frozen Regions" Sustainability 18, no. 6: 2808. https://doi.org/10.3390/su18062808
APA StyleZhang, D., Li, Q., Li, S., Cui, K., Qin, X., Zhu, Z., & Zhang, Z. (2026). Mechanisms of Fouled Railway Ballast Deterioration Under Freeze–Thaw and Cyclic Loading: Implications for Sustainable Maintenance in Seasonal Frozen Regions. Sustainability, 18(6), 2808. https://doi.org/10.3390/su18062808
