Recognizing Risk Driving Behaviors with an Improved Crested Porcupine Optimizer and XGBoost
Abstract
1. Introduction
2. Risk Driving Behavior Classification and Recognition Model Based on ICPO-XGBoost
2.1. Design of Hybrid Strategy Improved Crested Porcupine Optimization Algorithm
2.1.1. Population Initialization Optimization Design Based on Logistic-Tent Composite Mapping
2.1.2. Hybrid Optimization Mechanism Based on Refraction Opposition-Based Learning and Cauchy Mutation to Broaden the Search Region
- Refraction Opposition-Based Learning
- 2.
- Cauchy Mutation
- 3.
- Hybrid Mechanism
2.1.3. Adaptive Variable Spiral Search and Inertia Weight
2.2. Validation of the Effectiveness of the Hybrid Strategy Improved Crested Porcupine Optimizer (ICPO)
2.2.1. Comparative Analysis of Numerical Simulation Experiment Results
2.2.2. Comparative Analysis of Algorithm Convergence
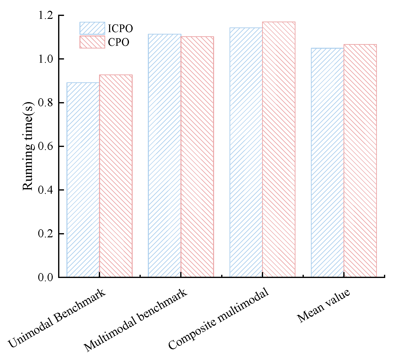
2.2.3. Comparative Analysis of Algorithm Runtime Performance
2.3. Construction of the ICPO-XGBoost Classification and Recognition Model
2.3.1. Extreme Gradient Boosting Algorithm
2.3.2. Steps and Process of the ICPO-XGBoost Recognition Model
- 1.
- Set the ICPO algorithm parameters based on preprocessed risky driving behavior trajectory features: population size = 30, number of iterations = 40.
- 2.
- Initialize the algorithm population parameters using the logistic-tent composite mapping.
- 3.
- Calculate the fitness value of each individual in the current population and determine the position of the optimal individual.
- 4.
- Use Equations (15) and (16) to update the value of parameters and
- 5.
- Apply the refraction opposition-based learning and Cauchy mutation hybrid mechanism for opposition-based learning evaluation and selection. Update the optimal crested porcupine population individual position using Equation (12).
- 6.
- Refresh population individual positions via adaptive variable spiral search and inertia weight, as expressed in Equations (17)–(20).
- 7.
- Check for maximum iteration attainment. If satisfied, terminate iterations and output the optimal individual position and fitness value. Otherwise, return to step (2).
- 8.
- Extract the ICPO-derived global optimal feasible solution and use it to establish XGBoost model parameters.
- 9.
- Use the ICPO-XGBoost model for the classification and recognition of risky driving behaviors and validate the classification and recognition performance.
3. Case Study
3.1. Preprocessing of Risky Driving Behavior Data
3.2. Analysis of Risky Driving Behavior Classification and Recognition Results
3.3. Comparative Analysis of Classification and Recognition Errors for Risky Driving Behaviors
3.4. Sensitivity Analysis of Parameters in the Risky Driving Behavior Classification and Recognition Model
3.5. Sensitivity Analysis of Factors Influencing Risky Driving Behavior Classification and Identification
4. Conclusions
- This paper enhances the CPO algorithm through four key hybrid strategies: Logistic-tent composite mapping for population initialization, a hybrid mechanism combining refraction opposition-based learning with Cauchy mutation, adaptive variable spiral search, and inertia weight for position updates. The resulting ICPO algorithm achieves superior population diversity and quality, enabling an effective balance between global exploration and local exploitation while reducing susceptibility to local optima. Consequently, both optimization accuracy and convergence speed are improved. Statistical validation using the Wilcoxon rank-sum test across 12 benchmark functions confirms ICPO’s superiority over CPO, SSA, WOA, and PSO in mean values, standard deviations, and convergence behavior. Specifically, results on unimodal and multimodal functions validate the effectiveness of the logistic-tent mapping and the refraction-Cauchy hybrid mechanism, while performance on composite multimodal functions demonstrates the adaptive spiral search and inertia weight strategies’ capacity to balance exploration and exploitation.
- The ICPO-XGBoost model achieved precision, recall, and F1-score ranges of 84.8–99.2%, 87.5–100.0%, and 86.2–99.27%, respectively, for classifying risky driving behaviors such as normal driving, slow driving, close car-following, sudden acceleration/deceleration, frequent lane changes, and aggressive lane changes. Compared to the XGBoost model, these metrics improved by 1.5–75.8%, 1.8–52.2%, and 1.7–71.9%, respectively. The ICPO-XGBoost model effectively identified sudden acceleration/deceleration behaviors, enhancing the applicability of risky driving behavior classification and recognition results. When the iteration count and population size of the ICPO-XGBoost model were set to 40 and 30, respectively, the model achieved optimal overall recognition performance. Excessively large settings for these two parameters did not significantly improve classification accuracy but substantially increased the runtime of the model.
- Quantitatively analyze the effects of factors such as road type, geometric design, traffic operating conditions, driver characteristics, and traffic accidents on risky driving behaviors. Develop a classification indicator system for risky driving behaviors that incorporates factors such as vehicle acceleration and lane occupancy time, and propose a more refined method for classifying risky driving behaviors.
- Based on the quantitative analysis results of influencing factors for different types of risky driving behaviors, improve the optimization mechanism and structure of the crested porcupine optimizer. Design a deep learning approach that can adjust hyperparameters and the weights of influencing factors in real time according to different traffic operating environments and risky driving behavior characteristics, thereby enhancing the accuracy and robustness of the classification and identification model for risky driving behaviors.
Author Contributions
Funding
Institutional Review Board Statement
Informed Consent Statement
Data Availability Statement
Conflicts of Interest
Abbreviations
| CPO | Crested Porcupine Optimizer |
| ICPO | Improved Crested Porcupine Optimizer |
| SSA | Salp Swarm Algorithm |
| WOA | Whale Optimization Algorithm |
| PSO | Particle Swarm Optimization |
References
- Pérez-Sala, L.; Curado, M.; Tortosa, L.; Vicent, J.F. Deep learning model of convolutional neural networks powered by a genetic algorithm for prevention of traffic accidents severity. Chaos Solit. Fract. 2023, 169, 113245. [Google Scholar] [CrossRef]
- Gao, X.; Ci, Y.; Yuen, K.F.; Wu, L.; Li, R. Hybrid traffic flow prediction model for emergency scenarios with scarce historical data. Eng. Appl. Artif. Intell. 2025, 145, 110219. [Google Scholar] [CrossRef]
- Ma, X.; Huo, Z.; Lu, J.; Wong, Y.D. Deep forest with SHapley additive explanations on detailed risky driving behavior data for freeway crash risk prediction. Eng. Appl. Artif. Intell. 2025, 141, 109787. [Google Scholar] [CrossRef]
- Zhang, J.; Pei, Y.; Sun, J.; Lai, Y.; Wang, S.; Easa, S.M. Achieving bus electrification: Strategy for bus fleet replacement in cold region. Transp. Res. D Transp. Environ. 2025, 145, 104825. [Google Scholar] [CrossRef]
- Qi, W.; Ma, S.; Fu, C. An improved car-following model considering the influence of multiple preceding vehicles in the same and two adjacent lanes. Phys. A 2023, 632, 129356. [Google Scholar] [CrossRef]
- Chen, Y.; Wang, K.; Lu, J.J. Feature selection for driving style and skill clustering using naturalistic driving data and driving behavior questionnaire. Accid. Anal. Prev. 2023, 185, 107022. [Google Scholar] [CrossRef] [PubMed]
- Fei, M.; Zhou, W.; Zhao, H.; Pan, C.; Shi, D.; An, X. Enhancing Driving Safety Evaluation Through Correlation Analysis of Driver Behavior. Sustainability 2025, 17, 4067. [Google Scholar] [CrossRef]
- Chen, S.; Xue, Q.; Zhao, X.; Xing, Y.; Lu, J.J. Risky driving behavior recognition based on vehicle trajectory. Int. J. Environ. Res. Public Health 2021, 18, 12373. [Google Scholar] [CrossRef]
- Zhu, S.; Li, C.; Fang, K.; Peng, Y.; Jiang, Y.; Zou, Y. An Optimized Algorithm for Dangerous Driving Behavior Identification Based on Unbalanced Data. Electronics 2022, 11, 1557. [Google Scholar] [CrossRef]
- Wen, J.; Xu, Y.; Dai, M.; Lyu, N. Mathematical Modeling and Parameter Estimation of Lane-Changing Vehicle Behavior Decisions. Mathematics 2025, 13, 1014. [Google Scholar] [CrossRef]
- Ma, L.; Qu, S.; Song, L.; Zhang, J.; Ren, J. Human-like car-following modeling based on online driving style recognition. Electron. Res. Arch. 2023, 31, 3264–3290. [Google Scholar] [CrossRef]
- Li, J.; Wang, J.; Long, X.; Zhang, H.; Xie, M. Prediction of following vehicles’ longitudinal game behaviour in lane-changing game scenarios considering driving style. Transp. B Transp. Dyn. 2025, 13, 2553218. [Google Scholar] [CrossRef]
- Bagheri, E.; Barshooi, A.H. Nighttime driver behavior prediction using taillight signal recognition via CNN-SVM classifier. Vis. Comput. 2025, 41, 6219–6235. [Google Scholar] [CrossRef]
- Jahangiri, A.; Berardi, V.J.; Machiani, S.G. Application of real field connected vehicle data for aggressive driving identification on horizontal curves. IEEE Trans. Intell. Transp. Syst. 2017, 19, 2316–2324. [Google Scholar] [CrossRef]
- Xing, Z.; Huang, M.; Peng, D. Overview of machine learning-based traffic flow prediction. Digit. Transp. Saf. 2023, 2, 164–175. [Google Scholar] [CrossRef]
- Xiao, D.; Zhang, B.; Chen, Z.; Xu, X.; Du, B. Connecting tradition with modernity: Safety literature review. Digit. Transp. Saf. 2023, 2, 1–11. [Google Scholar] [CrossRef]
- Shangguan, Q.; Fu, T.; Wang, J.; Fang, S.; Fu, L. A proactive lane-changing risk prediction framework considering driving intention recognition and different lane-changing patterns. Accid. Anal. Prev. 2022, 164, 106500. [Google Scholar] [CrossRef]
- Chen, K.; Diao, Y.; Wang, Y.; Zhang, X.; Zhou, Y.; Gu, M.; Zhang, B.; Hu, B.; Li, M.; Li, W.; et al. MCT-CNN-LSTM: A Driver Behavior Wireless Perception Method Based on an Improved Multi-Scale Domain-Adversarial Neural Network. Sensors 2025, 25, 2268. [Google Scholar] [CrossRef] [PubMed]
- Wu, J.; Yue, T.; Zhang, M.; Lv, B.; Tian, Y.; Wang, J. Driving Behavior Characterization in Expressway Merging Areas Based on Roadside LiDAR. IEEE Sens. J. 2025, 25, 18481–18491. [Google Scholar] [CrossRef]
- Liu, X.; Huang, H.; Bian, J.; Zhou, R.; Wei, Z.; Zhou, H. Generating intersection pre-crash trajectories for autonomous driving safety testing using Transformer Time-Series Generative Adversarial Networks. Eng. Appl. Artif. Intell. 2025, 160, 111995. [Google Scholar] [CrossRef]
- Ma, C.; Liu, T. Survey of short-term traffic flow prediction based on LSTM. Int. J. Mod. Phys. C 2025, 36, 2450177. [Google Scholar] [CrossRef]
- Zhao, D.; Zhao, S. Sparse least squares support vector machine based methods for vehicle driving behavior recognition. Proc. Inst. Mech. Eng. D J. Automob. Eng. 2023, 238, 1392–1404. [Google Scholar] [CrossRef]
- Aljohani, A.A. Real-time driver distraction recognition: A hybrid genetic deep network based approach. Alex. Eng. J. 2023, 66, 377–389. [Google Scholar] [CrossRef]
- Yang, X.; Xiang, K.; Yuan, S.; Huang, J. Vehicle Driving Behavior Recognition and Optimization Strategies Based on Cloud Computing and SSA-BP Algorithm. Stud. Inform. Control. 2024, 33, 17–28. [Google Scholar] [CrossRef]
- Abdel-Basset, M.; Mohamed, R.; Abouhawwash, M. Crested Porcupine Optimizer: A new nature-inspired metaheuristic. Knowl.-Based Syst. 2024, 284, 111257. [Google Scholar] [CrossRef]
- Li, J.; Bai, J.; Wang, J. High-Precision Trajectory-Tracking Control of Quadrotor UAVs Based on an Improved Crested Porcupine Optimiser Algorithm and Preset Performance Self-Disturbance Control. Drones 2025, 9, 420. [Google Scholar] [CrossRef]
- Chen, F.; Liu, X.Q.; Yang, J.J.; Liu, X.K.; Ma, J.H.; Chen, J.; Xiao, H.Y. Traffic accident severity prediction based on an enhanced MSCPO-XGBoost hybrid model. Sci. Rep. 2025, 15, 25729. [Google Scholar] [CrossRef]
- Duan, N.; Zeng, Y.; Dao, F.; Xu, S.; Luo, X. Fault Diagnosis of Hydro-Turbine Based on CEEMDAN-MPE Preprocessing Combined with CPO-BILSTM Modelling. Energies 2025, 18, 1342. [Google Scholar] [CrossRef]
- Zhang, H.; Guo, C.; Zhai, D.; Wang, Y.; Liu, H.; Chen, F.; Xu, D. Application of Improved Crown Porcupine Optimizer in UAV Path Planning Based on Dynamic Weighted JAYA-CPO Attack Strategy. Prot. Control Mod. Power Syst. 2025, 10, 101–127. [Google Scholar] [CrossRef]
- Wang, H.; Zhang, L.; Liu, B. Research and design of a hybrid DV-hop algorithm based on the chaotic crested porcupine optimizer for wireless sensor localization in smart farms. Agriculture 2024, 14, 1226. [Google Scholar] [CrossRef]
- Liu, S.; Jin, Z.; Lin, H.; Lu, H. An improve crested porcupine algorithm for UAV delivery path planning in challenging environments. Sci. Rep. 2024, 14, 20445. [Google Scholar] [CrossRef]
- Adalja, D.; Patel, P.; Mashru, N.; Jangir, P.; Jangid, R.; Gulothungan, G.; Khishe, M. A new multi objective crested porcupines optimization algorithm for solving optimization problems. Sci. Rep. 2025, 15, 14380. [Google Scholar] [CrossRef] [PubMed]
- Gao, Q.; Jin, A.; Wang, C.; Zhang, L.; Zhang, Q.; Xiong, X.; Yang, F. AEGWCPO: A cooperative path planning method for UAV swarm penetration in complex mountainous environments. Meas. Sci. Technol. 2025, 36, 116301. [Google Scholar] [CrossRef]
- Chen, S.; Chen, C.; Li, Y.; Meng, L.; Wei, L.; Guan, B. Optimization of Operating Parameters Scheme for Water Injection System Based on a Hybrid Particle Swarm–Crested Porcupine Algorithm. Sustainability 2025, 17, 8057. [Google Scholar] [CrossRef]
- Liu, H.; Zhou, R.; Zhong, X.; Yao, Y.; Shan, W.; Yuan, J.; Xiao, J.; Ma, Y.; Zhang, K.; Wang, Z. Multi-strategy enhanced crested porcupine optimizer: CAPCPO. Mathematics 2024, 12, 3080. [Google Scholar] [CrossRef]
- Sriprateep, K.; Pitakaso, R.; Khonjun, S.; Srichok, T.; Luesak, P.; Gonwirat, S.; Kaewta, C.; Kosacka-Olejnik, M.; Enkvetchakul, P. Multi-objective optimization of resilient, sustainable, and safe urban bus routes for tourism promotion using a hybrid reinforcement learning algorithm. Mathematics 2024, 12, 2283. [Google Scholar] [CrossRef]
- Gao, Z.-M.; Zhao, J.; Zhang, Y.-J. Review of chaotic mapping enabled nature-inspired algorithms. Math. Biosci. Eng. 2022, 19, 8215–8258. [Google Scholar] [CrossRef]
- Zhang, J.; He, Q.; Lu, X.; Xiao, S.; Wang, N. A FIG-IWOA-BiGRU Model for Bus Passenger Flow Fluctuation Trend and Spatial Prediction. Mathematics 2025, 13, 3204. [Google Scholar] [CrossRef]
- Wang, T.; Han, Y.; Li, W.; Ye, X.; Yuan, Q. A takeover risk assessment approach based on an improved ANP-XGBoost algorithm for human-machine driven vehicles. IEEE Access 2024, 12, 48379–48387. [Google Scholar] [CrossRef]
- Wang, J.; Fu, T.; Shangguan, Q. Wide-area vehicle trajectory data based on advanced tracking and trajectory splicing technologies: Potentials in transportation research. Accid. Anal. Prev. 2023, 186, 107044. [Google Scholar] [CrossRef]
- Yuan, Q.; Yan, R.; Tan, A.Y.X.; Xu, Q.; Wang, J. Technology roadmap of risk identification and collision avoidance decision-making in autonomous vehicles for domestic animals. Int. J. Crashworthiness 2025, 30, 294–305. [Google Scholar] [CrossRef]
- Tatarczak, A.; Gola, A. An integrated fuzzy multi-criteria approach for partner selection in horizontal cooperation. Arch. Transp. 2025, 74, 23–42. [Google Scholar] [CrossRef]

















| Type | Function | Dimension | Search Range | Theoretical Optimum |
|---|---|---|---|---|
| Unimodal benchmark test functions | 30 | 0 | ||
| 30 | 0 | |||
| 30 | 0 | |||
| 30 | 0 | |||
| Multimodal benchmark test functions | 30 | |||
| 30 | 0 | |||
| 30 | 0 | |||
| 30 | 0 | |||
| Composite modalities benchmark test functions | 4 | 0.0003 | ||
| 2 | 3 | |||
| 4 | −10.4028 | |||
| 4 | −10.5363 |
| Test Function | Metric | ICPO | CPO | SSA | WOA | PSO |
|---|---|---|---|---|---|---|
| f1 | Average | 5.63 × 10−239 | 5.27 × 10−97 | 4.11 × 10−39 | 3.58 × 10−75 | 3.59 × 102 |
| Standard | 0 | 2.80 × 10−96 | 2.24 × 10−38 | 1.05 × 10−74 | 2.18 × 102 | |
| f2 | Average | 4.85 × 10−120 | 3.30 × 10−38 | 2.10 × 10−21 | 1.84 × 10−50 | 1.76 × 101 |
| Standard | 2.64 × 10−119 | 1.81 × 10−37 | 1.09 × 10−20 | 9.44 × 10−50 | 1.01 × 101 | |
| f3 | Average | 1.56 × 10−04 | 2.70 × 101 | 2.58 × 101 | 2.80 × 101 | 1.62 × 104 |
| Standard | 3.91 × 10−04 | 5.78 × 10−1 | 3.54 × 10−1 | 4.53 × 10−1 | 1.31 × 104 | |
| f4 | Average | 5.55 × 10−7 | 2.09 × 10−1 | 2.50 × 10−5 | 3.82 × 10−1 | 3.40 × 102 |
| Standard | 8.48 × 10−7 | 7.18 × 10−2 | 1.90 × 10−5 | 1.64 × 10−1 | 1.97 × 102 | |
| f5 | Average | −1.16 × 104 | −9.98 × 103 | −9.71 × 103 | −5.10 × 103 | −5.10 × 103 |
| Standard | 1.79 × 103 | 2.65 × 103 | 4.33 × 102 | 4.77 × 102 | 4.77 × 102 | |
| f6 | Average | 0 | 0 | 0 | 7.58 × 10−15 | 3.76 |
| Standard | 0 | 0 | 0 | 2.47 × 10−14 | 6.71 | |
| f7 | Average | 6.23 × 10−8 | 9.75 × 10−7 | 8.74 × 10−3 | 1.86 × 10−2 | 5.35 |
| Standard | 1.06 × 10−7 | 1.07 × 10−6 | 2.38 × 10−3 | 9.01 × 10−3 | 2.47 | |
| f8 | Average | 5.70 × 10−7 | 7.50 × 10−4 | 1.44 × 10−1 | 4.70 × 10−1 | 2.32 × 101 |
| Standard | 7.71 × 10−7 | 2.79 × 10−3 | 3.57 × 10−2 | 2.47 × 10−1 | 2.92 × 101 | |
| f9 | Average | 3.14 × 10−4 | 3.07 × 10−4 | 3.08 × 10−4 | 1.72 × 10−3 | 7.99 × 10−3 |
| Standard | 1.48 × 10−5 | 8.29 × 10−9 | 2.81 × 10−8 | 5.07 × 10−3 | 9.10 × 10−3 | |
| f10 | Average | 3.00 | 3.00 | 3.00 | 3.00 | 3.90 |
| Standard | 6.59 × 10−5 | 1.69 × 10−15 | 4.11 × 10−4 | 3.60 × 10−9 | 4.93 | |
| f11 | Average | −1.04 × 101 | −1.02 × 101 | −7.47 | −1.01 × 101 | −9.37 |
| Standard | 2.47 × 10−6 | 9.70 × 10−1 | 3.26 | 1.39 | 2.38 | |
| f12 | Average | −1.05 × 101 | −1.05 × 101 | −6.66 | −1.01 × 101 | −1.02 × 101 |
| Standard | 3.43 × 10−6 | 3.12 × 10−5 | 3.59 | 1.75 | 1.05 |
| Test Function | CP1 | CP2 | CP3 | CP4 |
|---|---|---|---|---|
| f1 | 2.78 × 10−22 | 1.26 × 10−83 | 1.26 × 10−83 | 2.46 × 10−82 |
| f2 | 1.05 × 10−52 | 2.51 × 10−82 | 1.26 × 10−83 | 4.88 × 10−81 |
| f3 | 1.26 × 10−83 | 1.26 × 10−83 | 1.26 × 10−83 | 1.26 × 10−83 |
| f4 | 1.26 × 10−83 | 1.26 × 10−83 | 1.26 × 10−83 | 1.26 × 10−83 |
| f5 | 1.29 × 10−83 | 1.27 × 10−83 | 1.27 × 10−83 | 1.28 × 10−83 |
| f6 | 1.16 × 10−15 | 8.44 × 10−41 | 2.67 × 10−85 | 1.26 × 10−83 |
| f7 | 1.26 × 10−83 | 1.26 × 10−83 | 1.26 × 10−83 | 1.26 × 10−83 |
| f8 | 1.26 × 10−83 | 1.26 × 10−83 | 1.26 × 10−83 | 1.26 × 10−83 |
| f9 | 2.76 × 10−19 | 3.16 × 10−49 | 1.26 × 10−83 | 1.26 × 10−83 |
| f10 | 3.34 × 10−21 | 1.26 × 10−83 | 2.50 × 10−5 | 1.26 × 10−83 |
| f11 | 1.26 × 10−83 | 1.26 × 10−83 | 1.26 × 10−83 | 1.26 × 10−83 |
| f12 | 1.26 × 10−83 | 1.26 × 10−83 | 1.26 × 10−83 | 1.26 × 10−83 |
| Algorithm | MAE | Rank |
|---|---|---|
| ICPO | 8.31 × 101 | 1 |
| CPO | 2.18 × 102 | 2 |
| SSA | 2.41 × 102 | 3 |
| WOA | 6.25 × 102 | 4 |
| PSO | 2.04 × 103 | 5 |
| Test Function | PC1 | PC2 | PC3 | PC4 |
|---|---|---|---|---|
| f1 | 1.78 × 10−22 | 3.26 × 10−53 | 5.16 × 10−71 | 7.46 × 10−82 |
| f2 | 1.05 × 10−32 | 2.51 × 10−55 | 3.26 × 10−73 | 4.88 × 10−81 |
| f3 | 2.26 × 10−24 | 5.26 × 10−37 | 4.26 × 10−63 | 1.26 × 10−83 |
| f4 | 1.64 × 10−53 | 2.47 × 10−63 | 3.64 × 10−73 | 7.67 × 10−89 |
| f5 | 8.77 × 10−63 | 3.73 × 10−43 | 7.23 × 10−53 | 1.28 × 10−87 |
| f6 | 1.34 × 10−15 | 8.42 × 10−41 | 2.67 × 10−75 | 1.66 × 10−85 |
| f7 | 1.47 × 10−13 | 6.26 × 10−36 | 7.63 × 10−53 | 6.46 × 10−92 |
| f8 | 7.77 × 10−43 | 2.45 × 10−57 | 3.68 × 10−73 | 1.26 × 10−88 |
| f9 | 2.75 × 10−19 | 3.98 × 10−41 | 4.66 × 10−62 | 7.27 × 10−83 |
| Category | Precision (%) | Recall (%) | F1-Score (%) | |||||||||
|---|---|---|---|---|---|---|---|---|---|---|---|---|
| ICPO-XGBoost | PSO-LSSVM | XGBoost | Random Forest | ICPO-XGBoost | PSO-LSSVM | XGBoost | Random Forest | ICPO-XGBoost | PSO-LSSVM | XGBoost | Random Forest | |
| Normal Driving | 93.0 | 89.1 | 49.1 | 49.5 | 92.3 | 89.1 | 68.4 | 68.0 | 92.6 | 89.1 | 57.1 | 57.3 |
| Slow Driving | 99.2 | 95.5 | 97.1 | 86.4 | 99.2 | 86.3 | 55.4 | 56.7 | 99.2 | 90.7 | 70.6 | 68.5 |
| Close Car-following | 99.2 | 90.0 | 97.7 | 91.9 | 96.0 | 89.3 | 94.2 | 90.4 | 97.6 | 89.7 | 95.9 | 91.1 |
| Sudden Acceleration/Deceleration | 84.8 | 49.4 | 9.0 | 10.5 | 87.5 | 55.9 | 35.3 | 19.4 | 86.2 | 52.4 | 14.3 | 13.6 |
| Frequent Lane Changing | 98.1 | 72.7 | 82.9 | 59.2 | 100.0 | 76.9 | 69.0 | 67.4 | 99.0 | 74.8 | 75.3 | 63.0 |
| Aggressive Lane Changing | 98.4 | 87.1 | 82.5 | 84.7 | 100.0 | 87.8 | 88.8 | 87.0 | 99.2 | 87.4 | 85.5 | 85.8 |
Disclaimer/Publisher’s Note: The statements, opinions and data contained in all publications are solely those of the individual author(s) and contributor(s) and not of MDPI and/or the editor(s). MDPI and/or the editor(s) disclaim responsibility for any injury to people or property resulting from any ideas, methods, instructions or products referred to in the content. |
© 2026 by the authors. Licensee MDPI, Basel, Switzerland. This article is an open access article distributed under the terms and conditions of the Creative Commons Attribution (CC BY) license.
Share and Cite
Su, J.; Shen, T.; Tang, F.; You, X.; He, Q.; Lu, X.; Li, Y.; Luo, S. Recognizing Risk Driving Behaviors with an Improved Crested Porcupine Optimizer and XGBoost. Sustainability 2026, 18, 2804. https://doi.org/10.3390/su18062804
Su J, Shen T, Tang F, You X, He Q, Lu X, Li Y, Luo S. Recognizing Risk Driving Behaviors with an Improved Crested Porcupine Optimizer and XGBoost. Sustainability. 2026; 18(6):2804. https://doi.org/10.3390/su18062804
Chicago/Turabian StyleSu, Juan, Tong Shen, Fuli Tang, Xue You, Qingling He, Xiaojuan Lu, Yikang Li, and Shenglin Luo. 2026. "Recognizing Risk Driving Behaviors with an Improved Crested Porcupine Optimizer and XGBoost" Sustainability 18, no. 6: 2804. https://doi.org/10.3390/su18062804
APA StyleSu, J., Shen, T., Tang, F., You, X., He, Q., Lu, X., Li, Y., & Luo, S. (2026). Recognizing Risk Driving Behaviors with an Improved Crested Porcupine Optimizer and XGBoost. Sustainability, 18(6), 2804. https://doi.org/10.3390/su18062804

