Research on the Synergistic Effects of Water Quality and Quantity as Dual Factors in Irrigation in Arid Region Oases
Abstract
1. Introduction
2. Materials and Methods
2.1. Overview of the Study Area
2.2. Experimental Design
2.2.1. Particle Classification Test
2.2.2. Ring Knife Method for Measuring Bulk Density
2.2.3. Indoor Irrigation Experiment
3. Numerical Simulation of Soil Water and Salt Migration Under Irrigation with Different Water Qualities
3.1. Model Construction and Validation
3.1.1. Conceptual Model of Unsaturated Zone Hydrogeology
3.1.2. Determination of Soil Parameters
3.1.3. Spatial Partitioning and Temporal Discretization
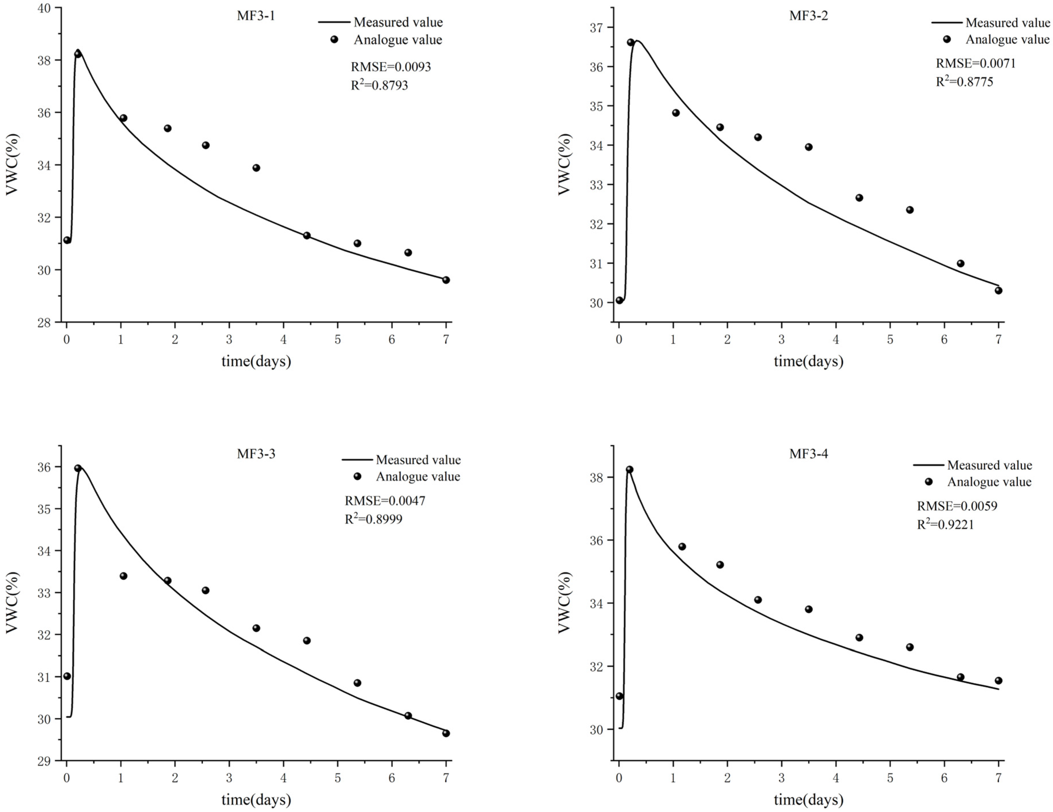
3.1.4. Model Calibration and Validation
3.2. Simulation of Optimal Water Level Burial Depth Under Different Water Quality and Quantity Irrigation Conditions
4. Results
4.1. Particle Size Classification and Soil Physical Parameters
4.2. The Migration Patterns of Soil Water and Salt at Different Depths Under Varying Irrigation Water Quality and Quantity Conditions
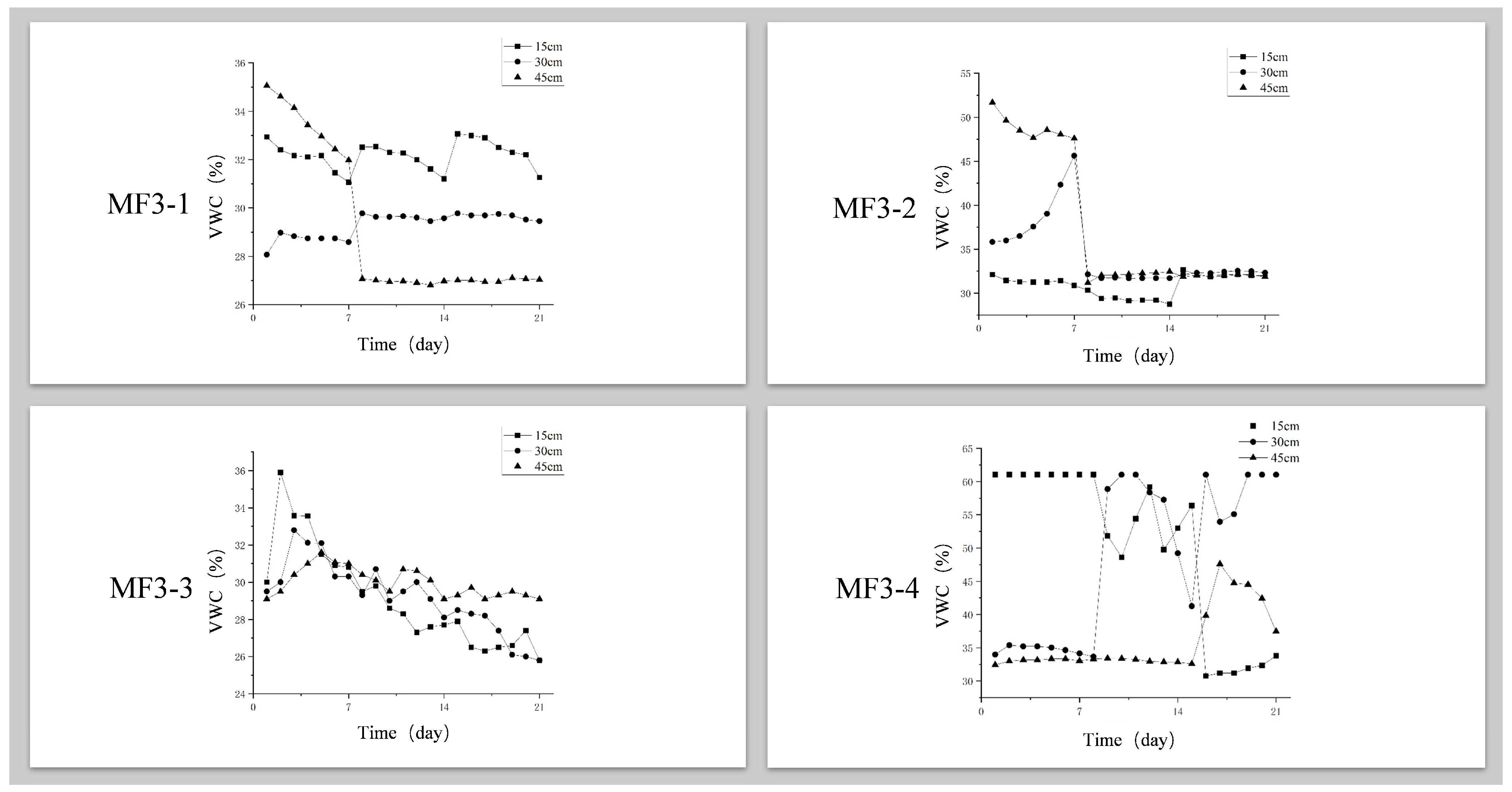
4.2.1. The Migration Status of Soil Moisture at Different Depths
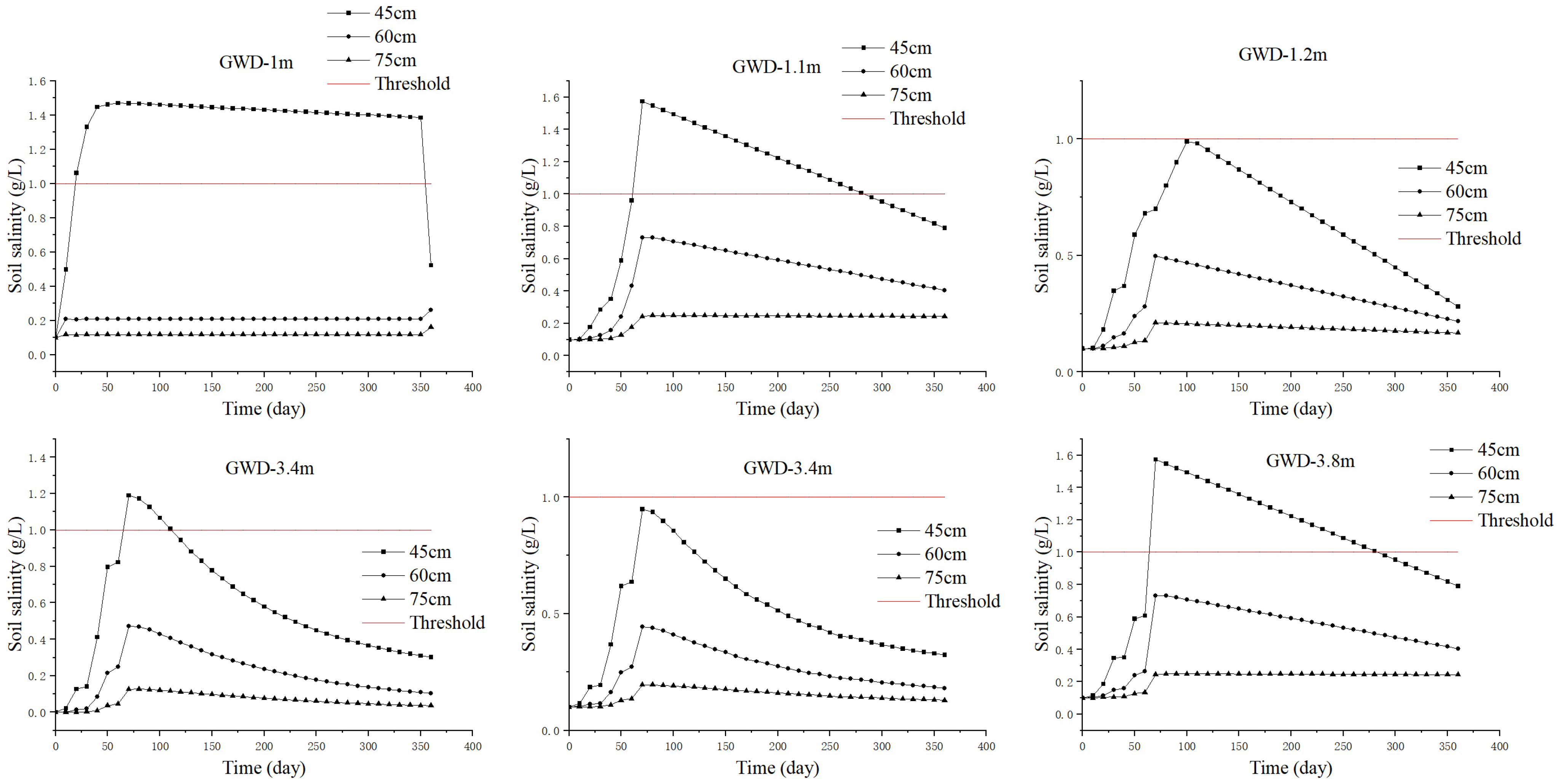
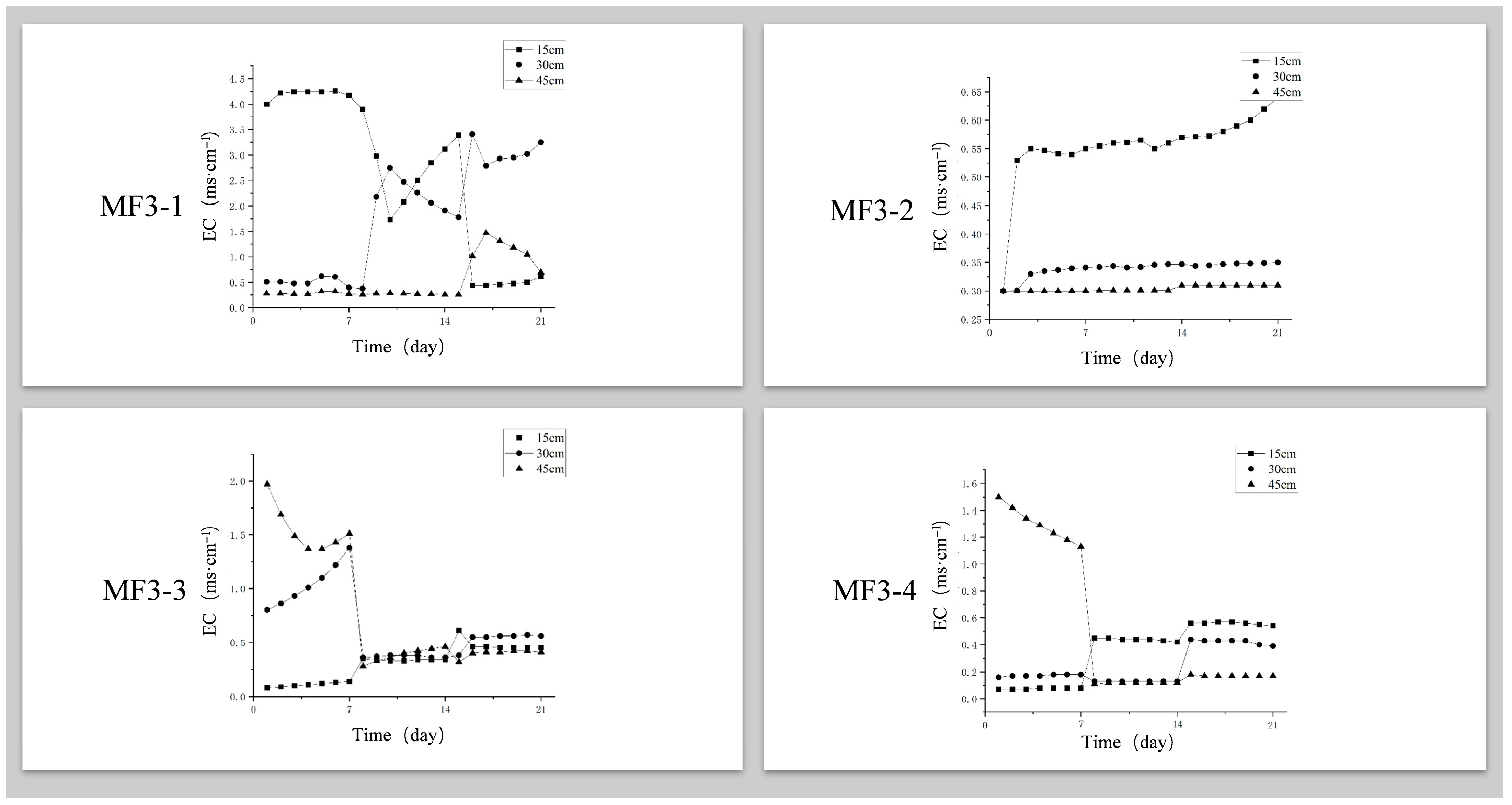
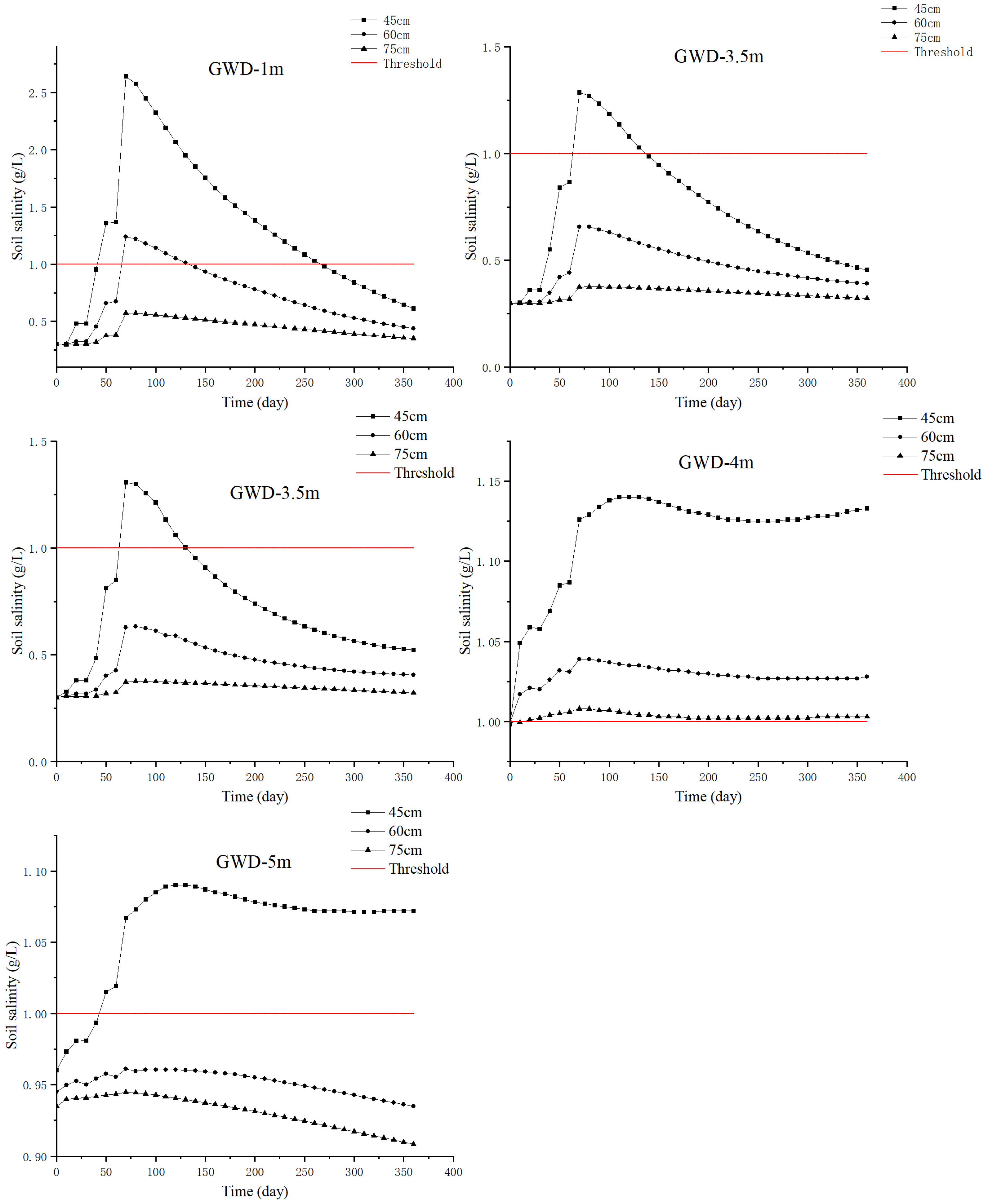
4.2.2. The Migration Patterns of Soil Salinity at Different Depths
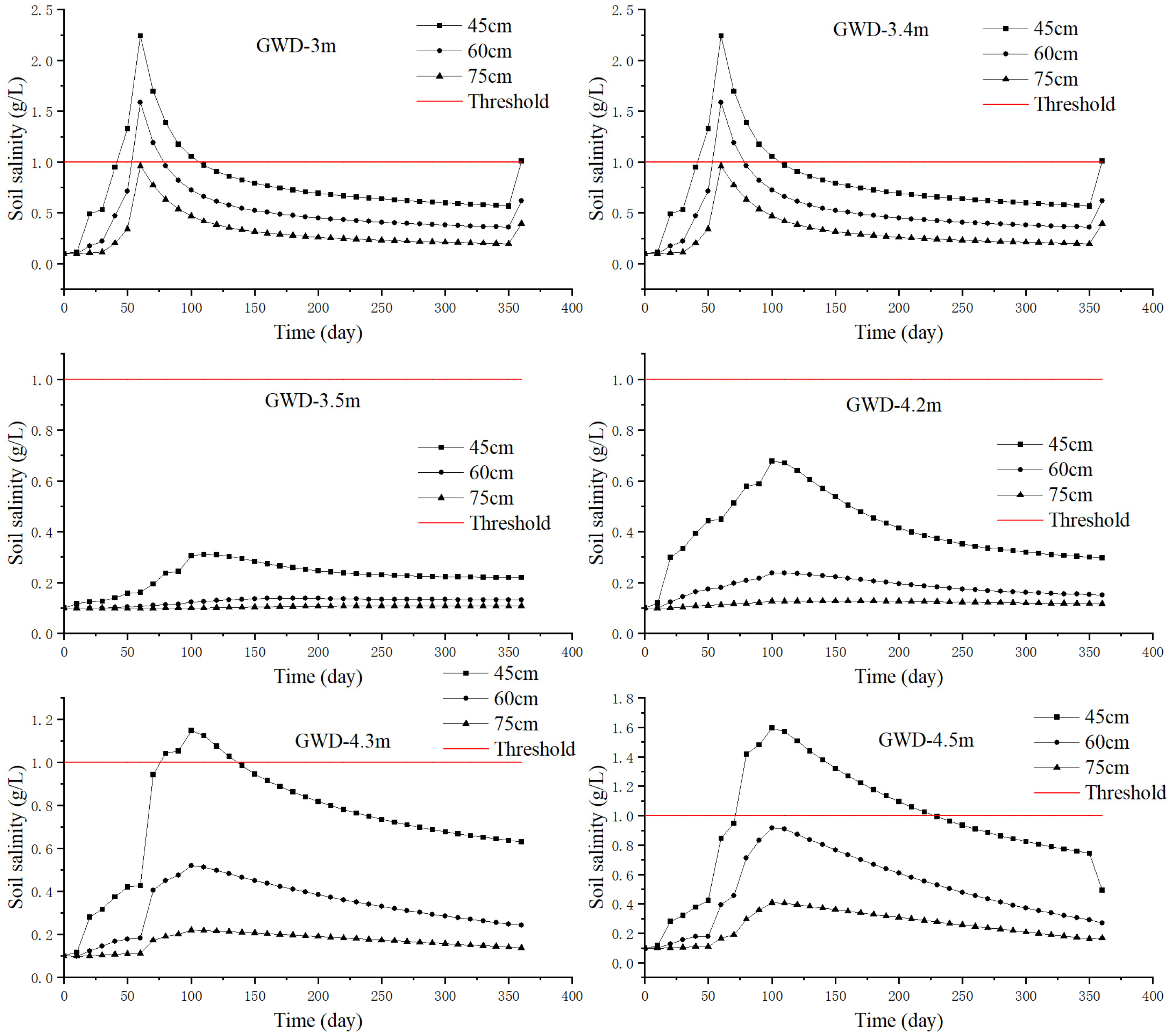
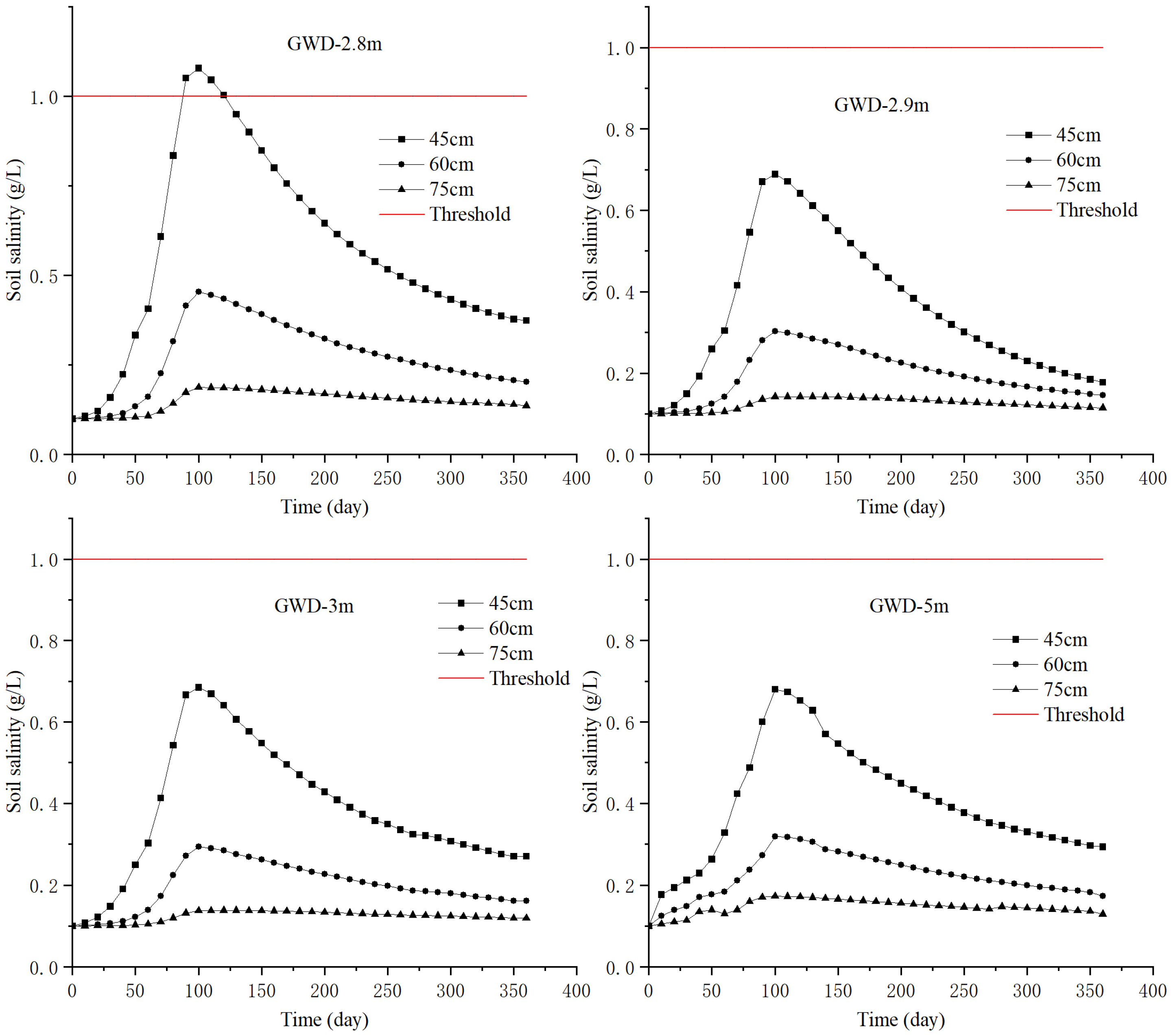
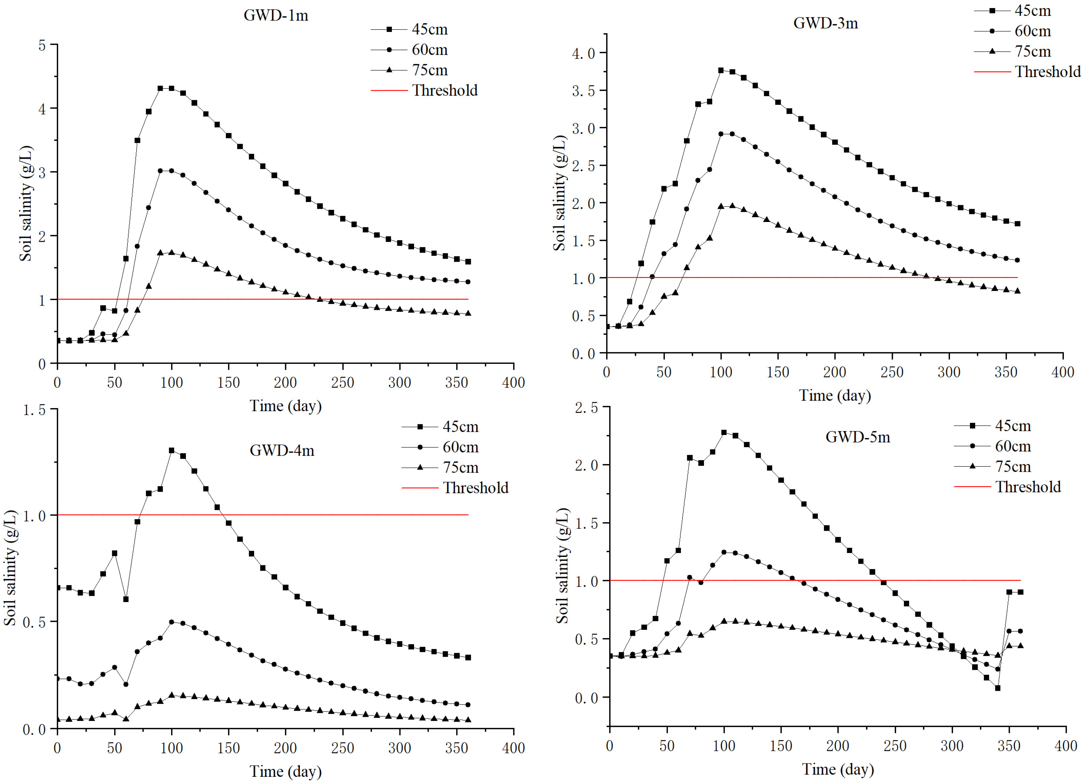
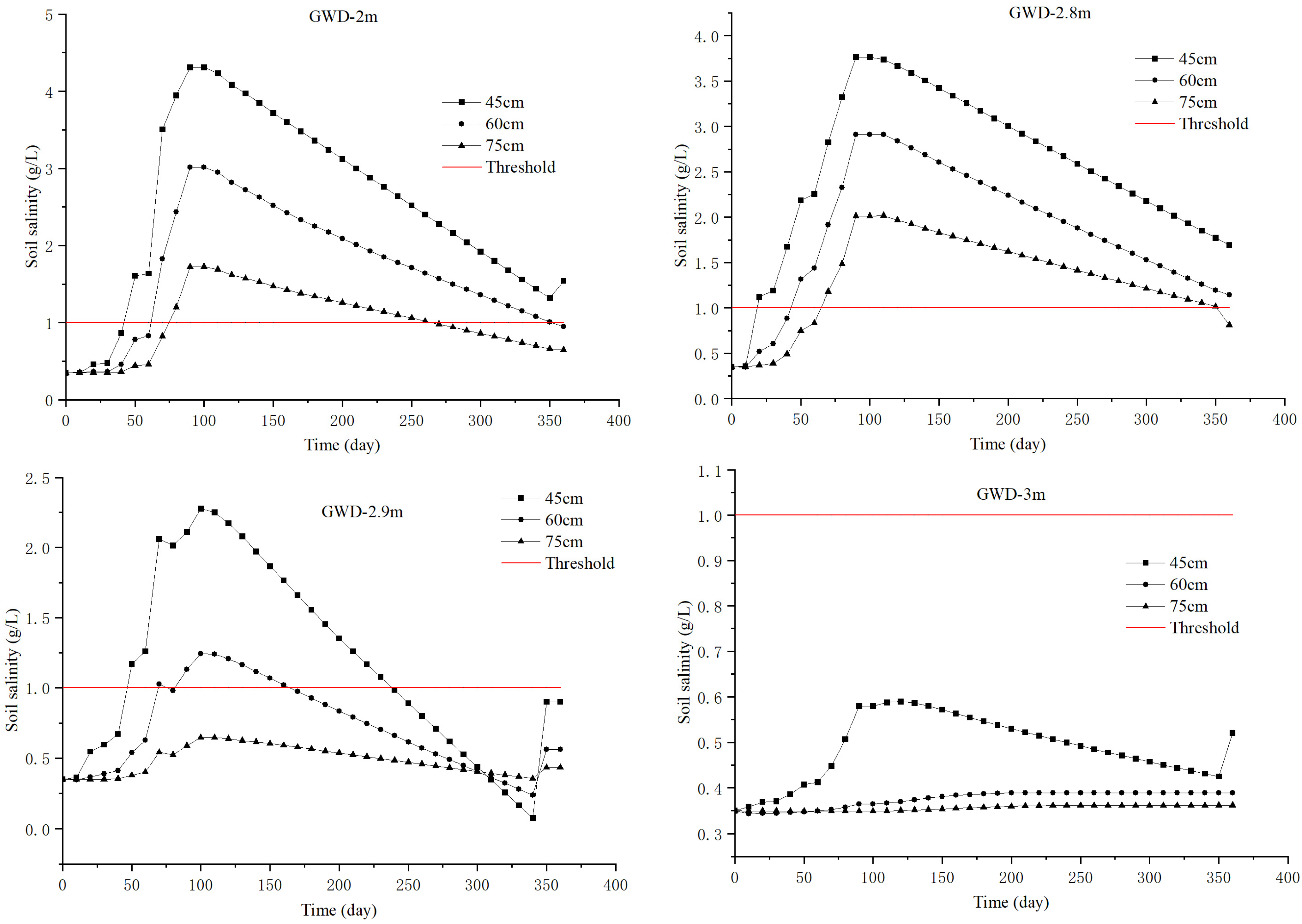
4.3. Soil Salinity Distribution and Optimal Groundwater Depth Under Different Irrigation Water Quality and Quantity Conditions
5. Discussion
5.1. Contrasting Dynamics of Surface Sensitivity vs. Deep Soil Buffering Under Varying Irrigation Water Qualities
5.2. Three-Dimensional Salt Dynamics: Surface Enrichment, Mid-Layer Fluctuation, and Root Zone Stabilization Under Variable Irrigation Regimes
5.3. Threshold Framework for Groundwater Depth Management: Delineating Sensitive, Optimal, and Risk Zones Across Water Quality Gradients
5.4. Application Scope and Subsequent Research Directions
6. Conclusions
Author Contributions
Funding
Institutional Review Board Statement
Informed Consent Statement
Data Availability Statement
Conflicts of Interest
References
- Ye, X.; Ning, A.; Qin, Y.; Zhang, L.; Liu, Y. Assessing Land Use Efficiency in the Tarim River Basin: A Coupling Coordination Degree and Gravity Model Approach. Land 2025, 14, 2237. [Google Scholar] [CrossRef]
- Yang, J.; Zhao, J.; Zhu, G.; Wang, Y.; Ma, X.; Wang, J.; Guo, H.; Zhang, Y. Soil Salinization in the Oasis Areas of Downstream Inland Rivers—Case Study: Minqin Oasis. Quat. Int. 2020, 537, 69–78. [Google Scholar] [CrossRef]
- Melo-León, S.F.; Reinhard, S.; Bierkens, M.F.; van Beek, R. HELGA: A Global Hydro-Economic Model of Groundwater-Fed Irrigation from a Farmer’s Perspective. Environ. Res. Lett. 2024, 19, 124007. [Google Scholar] [CrossRef]
- Feng, Z.; Dai, L.; Miao, Q.; Gonçalves, J.M.; Shi, H.; Li, Y.; Feng, W. Effects of Groundwater Depth on Soil Water and Salinity Dynamics in the Hetao Irrigation District: Insights from Laboratory Experiments and HYDRUS-1D Simulations. Agronomy 2025, 15, 2025. [Google Scholar] [CrossRef]
- Robert, M.; Bergez, J.E.; Thomas, A. A Stochastic Dynamic Programming Approach to Analyze Adaptation to Climate Change—Application to Groundwater Irrigation in India. Eur. J. Oper. Res. 2018, 265, 1033–1045. [Google Scholar] [CrossRef]
- Wei, Y.; Huang, G.; Wang, F.; Li, Y.; Yang, Z.; Ren, X. Human Activities Have Become the Main Driving Force of Groundwater Decline in Highly Cultivated and Mined Areas. J. Environ. Manag. 2025, 395, 128012. [Google Scholar] [CrossRef]
- El Fartassi, I.; Metcalfe, H.; El Alami, R.; Diarra, A.; Alonso-Chavez, V.; Waine, T.W.; Zawadzka, J.; Milne, A.E.; Corstanje, R. Adaptations in Agricultural Water Management in Arid Regions: Modelling Farmer Behaviour and Cooperation on Irrigation Sustainability in Morocco. Agric. Water Manag. 2025, 319, 109789. [Google Scholar] [CrossRef]
- Pivić, R.; Maksimović, J.; Dinić, Z.; Jaramaz, D.; Majstorović, H.; Vidojević, D.; Stanojković-Sebić, A. Hydrochemical Assessment of Water Used for Agricultural Soil Irrigation in the Water Area of the Three Morava Rivers in the Republic of Serbia. Agronomy 2022, 12, 1177. [Google Scholar] [CrossRef]
- Sun, H.Y.; Zhang, X.J.; Tian, L.; Lou, B.Y.; Liu, T.; Wang, J.T.; Dong, X.L.; Guo, K.; Liu, X.J. Effects of Saline Water Irrigation on Soil Quality and Crop Production: A Review. Chin. J. Eco-Agric. 2023, 31, 354–363. [Google Scholar] [CrossRef]
- Zhang, T.G.; Hu, X.L.; Luo, M.; Wang, C.; Yan, S.H.; Cheng, Y.; Liang, Q.; Feng, H.; Zhang, T.B. Effects of Ionic Composition of Brackish Water on Soil Water-Salt Distribution and Crop Growth Under Mulched Drip Irrigation. J. Irrig. Drain. Eng. 2023, 42, 16–25. [Google Scholar] [CrossRef]
- Šimůnek, J.; van Genuchten, M.T.; Šejna, M. Recent Developments and Applications of the HYDRUS Computer Software Packages. Vadose Zone J. 2016, 15, e20310. [Google Scholar] [CrossRef]
- Nulsen, R.A. Critical Depth to Saline Groundwater in Non-Irrigated Situations. Aust. J. Soil Res. 1981, 19, 83–86. [Google Scholar] [CrossRef]
- Ayers, R.S.; Westcot, D.W. Water Quality for Agriculture; FAO Irrigation and Drainage Paper 29; Food and Agriculture Organization of the United Nations: Rome, Italy, 1985.
- Šimůnek, J.; van Genuchten, M.T. Contaminant Transport in the Unsaturated Zone: Theory and Modeling. In The Handbook of Groundwater Engineering, 2nd ed.; Dellieur, J.W., Ed.; CRC Press: Boca Raton, FL, USA, 2006; pp. 22-1–22-46. [Google Scholar]
- Yao, R.J.; Yang, J.S.; Zheng, F.L.; Wang, X.P.; Xie, W.P.; Zhang, X.; Shang, H. Estimation of Soil Salinity by Assimilating Apparent Electrical Conductivity Data into HYDRUS Model. Trans. Chin. Soc. Agric. Eng. 2019, 35, 91–101. [Google Scholar] [CrossRef]
- Beven, K.J. Preferential Flows and Travel Time Distributions: Defining Adequate Hypothesis Tests for Hydrological Process Models. Hydrol. Process. 2010, 24, 1537–1547. [Google Scholar] [CrossRef]
- Qi, Z.J.; Feng, H.; Zhao, Y.; Zhang, T.; Yang, A.; Zhang, Z. Spatial Distribution and Simulation of Soil Moisture and Salinity under Mulched Drip Irrigation Combined with Tillage in an Arid Saline Irrigation District, Northwest China. Agric. Water Manag. 2018, 201, 219–231. [Google Scholar] [CrossRef]
- Cheng, H. Study on Water and Salt Transportation Under Different Irrigation Methods in Jingdian Irrigation Area. Master’s Thesis, North China University of Water Resources and Electric Power, Zhengzhou, China, 2018. [Google Scholar]
- Yu, G.J.; Huang, J.S.; Gao, Z.Y. Study on Water and Salt Transportation of Different Irrigation Modes by the Simulation of HYDRUS Model. Shui Li Xue Bao 2013, 44, 826–834. [Google Scholar]
- Lai, X.M.; Liao, K.H.; Zhu, Q.; Lv, L.G.; Xu, F. Feature Analysis of Soil Water Leakage and Leaching of Nitrogen and Phosphorus in the Typical Farmland of Taihu Lake Basin Based on Hydrus-1D Model. Resour. Environ. Yangtze Basin 2015, 24, 1491–1498. [Google Scholar]
- Dai, L.; Miao, Q.; Shi, H.; Feng, Z.; Li, Y.; Liu, Y.; Xu, Y.; Xu, R.; Feng, W. Influence of Groundwater Depth on Salt Migration and Maize Growth in the Typical Irrigation Area. Agronomy 2025, 15, 1021. [Google Scholar] [CrossRef]
- Ren, Y. Optimal Groundwater Depth for Jujube Drip Irrigation with Saline Water in Southern Xinjiang. Master’s Thesis, Xinjiang Agricultural University, Urumqi, China, 2010. [Google Scholar]
- De Pascale, S.; Maggio, A.; Ruggiero, C.; Barbieri, G. Growth, Water Relations and Ion Content of Field-Grown Celery [Apium graveolens L. var. dulce (Mill.) Pers.] Under Saline Irrigation. J. Am. Soc. Hortic. Sci. 2003, 128, 136–143. [Google Scholar] [CrossRef]
- Mukonazwothe, M.; Munyai, L.F.; Mutoti, M.I. Groundwater Quality Evaluation for Domestic and Irrigation Purposes for the Nwanedi Agricultural Community, Limpopo Province, South Africa. Heliyon 2022, 8, e09203. [Google Scholar] [CrossRef]
- Nosetto, M.D.; Jobbágy, E.G.; Jackson, R.B.; Sznaider, G.A. Reciprocal Influence of Crops and Shallow Ground Water in Sandy Landscapes of the Inland Pampas. Field Crops Res. 2009, 113, 138–148. [Google Scholar] [CrossRef]
- Wang, H.; Zheng, C.; Ning, S.; Cao, C.; Li, K.; Dang, H.; Wu, Y.; Zhang, J. Impacts of Long-Term Saline Water Irrigation on Soil Properties and Crop Yields Under Maize-Wheat Crop Rotation. Agric. Water Manag. 2023, 286, 108383. [Google Scholar] [CrossRef]
- Shen, Z.; Bai, Y.; Zheng, M.; Zhang, W.; Cao, B.; Ding, B.; Xiao, J.; Chai, Z. Spatial and Temporal Variations in Soil Salinity and Groundwater in the Downstream Yarkant River Irrigation District. Water 2026, 18, 11. [Google Scholar] [CrossRef]
- Wang, D.; Zhang, L.; Zhang, J.; Li, W.; Li, H.; Liang, Y.; Han, Y.; Luo, P.; Wang, Z. Effect of Magnetized Brackish Water Drip Irrigation on Water and Salt Transport Characteristics of Sandy Soil in Southern Xinjiang, China. Water 2023, 15, 577. [Google Scholar] [CrossRef]
- Mao, D.; Riesbeck, F.; Khodabakhshi, H.R.; Mahjoobi, A. The Impacts of Irrigation and Groundwater Drainage Induced Salinity and Overflooding of Evaporation Ponds in Khuzestan, Iran. Front. Water 2025, 7, 1266089. [Google Scholar] [CrossRef]
- GB 50021-2001; Code for Investigation of Geotechnical Engineering. China Architecture & Building Press: Beijing, China, 2009.
- Liu, H.G.; Zheng, X.R.; He, X.L. Research on Salt Migration in Ditch and Drip Irrigation Under Mulch for Planting in Saline Land. China Rural Water Hydropower 2010, 12, 1–3. Available online: https://irrigate.whu.edu.cn/CN/Y2010/V0/I12/1 (accessed on 5 February 2026).
- Yao, B.L.; Ye, H.C.; Sun, S.M.; Xing, X.N. Experimental Study on Soil Salt Distribution Law and Jujube Tree Salt Tolerance Under Brackish Water Drip Irrigation. Water-Sav. Irrig. 2010, 10, 32–34. Available online: https://irrigate.whu.edu.cn/jsgg/CN/Y2010/V0/I10/32 (accessed on 5 February 2026).
- Fu, F. Adaptability and Salt-Tolerance Evaluation of Peanut Under Salt Stress. Master’s Thesis, Hunan Agricultural University, Changsha, China, 2013. [Google Scholar]
- Zhu, Y.Y.; Zhang, Q.; Dong, Y.J. Effects of Exogenous Nitric Oxide on Alleviating Salt Stress in Peanuts and Its Mechanism. J. China Agric. Univ. 2020, 25, 30–39. [Google Scholar] [CrossRef]
- Liu, P.F.; Zhang, G.H.; Cui, S.J.; Nie, Z.L.; Cao, L.; Cui, H.H.; Wang, X. Characteristics, Dynamic Mechanisms of Synergistic Water-Salt Variation in Topsoil of Farmland Across Different Seasons in Arid Areas, and Salinization Prevention and Control. Geol. China 2025, 52, 1747–1759. [Google Scholar] [CrossRef]
- Ma, Z.T.; Wang, W.K.; Zhao, M.; Huang, J.T.; Lu, Y.Y.; Hou, X.Y.; Wang, Y. Study on Hydrothermal Transport in Surface-Groundwater Systems and Bare Soil Evaporation in Semi-Arid Areas. Hydrogeol. Eng. Geol. 2021, 48, 7–14. [Google Scholar] [CrossRef]
- Mohanty, B.P.; Zhu, J. Effective Hydraulic Parameters in Horizontally and Vertically Heterogeneous Soils for Steady-State Land–Atmosphere Interaction. J. Hydrometeorol. 2007, 8, 715–729. [Google Scholar] [CrossRef]
- Zhang, A.; Wang, Z.H.; Wang, J.L.; Li, W.H. Effects of Groundwater on Soil Water-Salt Distribution Under Evaporation Conditions. Agric. Res. Arid Areas 2015, 6, 229–233+253. [Google Scholar] [CrossRef]
- Chen, Y.; Zhang, Y.K.; Liang, X.Y. The Spatiotemporal Variations of Water Flow in an Unsaturated-Saturated Zone. J. Nanjing Univ. Nat. Sci. 2015, 51, 1279–1290. Available online: https://jns.nju.edu.cn/CN/Y2015/V51/I6/1279 (accessed on 5 February 2026). (In Chinese with English Abstract).


















| Soil Sample Number | Sampling Depth | Filling Thickness | Natural Density | Phase I Irrigation Water Quality (g/L)/Water Volume (cm/day) | Phase II Irrigation Water Quality (g/L)/Water Volume (cm/day) | Phase III Irrigation Water Quality (g/L)/Water Volume (cm/day) | Irrigation Methods |
|---|---|---|---|---|---|---|---|
| MF3-1 | 0–100 | 60 | 1.583 | 0.5, 64 | 2, 64 | 3, 64 | Drip irrigation |
| MF3-2 | 0–100 | 60 | 1.592 | 0.5, 108 | 2, 108 | 3, 108 | |
| MF3-3 | 0–100 | 60 | 1.686 | 0.5, 48.8 | 2, 48.8 | 3, 48.8 | |
| MF3-4 | 0–100 | 60 | 1.593 | 0.5, 36 | 2, 36 | 3, 36 |
| Sample Number | Soil Type | θr | θs | Alpha/cm | n | K | ET |
|---|---|---|---|---|---|---|---|
| MF3-1 | Silt | 0.032 | 0.34 | 0.043 | 1.65 | 0.15 | 0.5 |
| MF3-2 | Silt | 0.023 | 0.27 | 0.009 | 1.25 | 0.31 | 0.5 |
| MF3-3 | Silt | 0.019 | 0.22 | 0.099 | 1.56 | 0.23 | 0.5 |
| MF3-4 | Silt | 0.012 | 0.25 | 0.089 | 1.88 | 0.29 | 0.5 |
| Qr (cm3/cm3) | Qs (cm3/cm3) | α (1/cm) | n | Ks (cm/d) | I | Dbulk (g/cm3) | D (cm2/d) | |
|---|---|---|---|---|---|---|---|---|
| MF3-1 | 0.078 | 0.430 | 0.036 | 1.560 | 8.660 | 0.500 | 1.583 | 10 |
| MF3-2 | 0.075 | 0.430 | 0.035 | 1.450 | 8.560 | 0.500 | 1.592 | 10 |
| MF3-3 | 0.081 | 0.410 | 0.031 | 1.450 | 7.560 | 0.500 | 1.686 | 10 |
| MF3-4 | 0.070 | 0.430 | 0.033 | 1.360 | 9.110 | 0.500 | 1.593 | 10 |
| Water Quality Types | TDS (g/L) | Simulated Groundwater Depth Range (m) | Key Observational Indicators | |||
|---|---|---|---|---|---|---|
| Seed Watermelon | Corn | Jujube | Peanut | |||
| Freshwater | 0.5 | 1.0,2.0 | 1.0,2.0 | 1.0,2.0 | 1.0,2.0 | Is the soil salinity below the crop threshold? |
| Brackish water | 2.0 | 2.8,2.9,3,5 | 3,3.4,3.5, 4.2,4.3,4.5 | 1,1.5,1.6, 1.8,2,3, | 1,1.1,1.2, 3.4,3.5,3.8,4 | |
| Saltwater | 3.0 | 2,2.8,2.9,3 | 1,3,4,5 | 1.5,2.9, 3,3.1 | 1,3,3.5 | |
| Soil Sample Number | Clay Particles (%) | Silt Particles (%) | Sand Particles (%) |
|---|---|---|---|
| MF3-1 | 0.00 | 55.30 | 43.20 |
| MF3-2 | 0.00 | 56.00 | 42.30 |
| MF3-3 | 0.00 | 58.10 | 41.50 |
| MF3-4 | 0.00 | 59.90 | 39.00 |
| Sample Number | Total Wet Weight g | Total Dry Weight g | Aluminum Box g | Moisture g | Dry Soil Weight g | Moisture Content by Mass % | Ring Knife Volume cm3 | Dry Density of Soil g/cm3 |
|---|---|---|---|---|---|---|---|---|
| MF3-1 | 118.56 | 113.49 | 18.53 | 5.07 | 94.96 | 5.3391% | 60 | 1.583 |
| MF3-2 | 115.12 | 112.96 | 17.42 | 2.16 | 95.54 | 2.2608% | 60 | 1.592 |
| MF3-3 | 129.55 | 119.62 | 18.44 | 9.93 | 101.18 | 9.8142% | 60 | 1.686 |
| MF3-4 | 129.01 | 111.60 | 16.00 | 17.41 | 95.60 | 18.2113% | 60 | 1.593 |
Disclaimer/Publisher’s Note: The statements, opinions and data contained in all publications are solely those of the individual author(s) and contributor(s) and not of MDPI and/or the editor(s). MDPI and/or the editor(s) disclaim responsibility for any injury to people or property resulting from any ideas, methods, instructions or products referred to in the content. |
© 2026 by the authors. Licensee MDPI, Basel, Switzerland. This article is an open access article distributed under the terms and conditions of the Creative Commons Attribution (CC BY) license.
Share and Cite
Zhang, Y.; Ge, Y.; Jie, F.; Li, S.; Guo, R.; Liu, T.; Li, T. Research on the Synergistic Effects of Water Quality and Quantity as Dual Factors in Irrigation in Arid Region Oases. Sustainability 2026, 18, 2486. https://doi.org/10.3390/su18052486
Zhang Y, Ge Y, Jie F, Li S, Guo R, Liu T, Li T. Research on the Synergistic Effects of Water Quality and Quantity as Dual Factors in Irrigation in Arid Region Oases. Sustainability. 2026; 18(5):2486. https://doi.org/10.3390/su18052486
Chicago/Turabian StyleZhang, Yi, Yanyan Ge, Feilong Jie, Sheng Li, Rui Guo, Tianchao Liu, and Tong Li. 2026. "Research on the Synergistic Effects of Water Quality and Quantity as Dual Factors in Irrigation in Arid Region Oases" Sustainability 18, no. 5: 2486. https://doi.org/10.3390/su18052486
APA StyleZhang, Y., Ge, Y., Jie, F., Li, S., Guo, R., Liu, T., & Li, T. (2026). Research on the Synergistic Effects of Water Quality and Quantity as Dual Factors in Irrigation in Arid Region Oases. Sustainability, 18(5), 2486. https://doi.org/10.3390/su18052486
