Next Article in Journal
Does Rural Labor Aging Hinder Green Agricultural Transformation: Evidence from China with a Digitalization Perspective
Previous Article in Journal
Advancing Watershed Sustainability: A Multi-Scenario Approach to Ecological Security Pattern Optimization in the Liaohe River Basin, China
 
 
Font Type:
Arial Georgia Verdana
Font Size:
Aa Aa Aa
Line Spacing:
Column Width:
Background:
Article

Domestic Carbon Pricing Coordination Under CBAM: Resource Reallocation, Green Innovation, and Policy Synergy

1
School of Economics, Peking University, Beijing 100871, China
2
China Minsheng Bank, Beijing 100031, China
*
Author to whom correspondence should be addressed.
Sustainability 2026, 18(4), 2095; https://doi.org/10.3390/su18042095
Submission received: 28 January 2026 / Revised: 15 February 2026 / Accepted: 16 February 2026 / Published: 19 February 2026

Abstract

CBAM is reshaping the external conditions under which open economies pursue decarbonization, raising new questions about how domestic carbon pricing can remain effective while supporting sustainability. We develop an environmental DSGE model for a small open economy with a cleaner green sector and an emissions-intensive brown sector, an endogenous green innovation margin, and a banking sector that prices sector-specific transition risk through credit spreads. Carbon pricing affects the economy through relative prices and resource reallocation, while CBAM acts as an export-revenue wedge that weakens cash flows in exposed activities and tightens financing conditions. In the baseline, a coordinated increase in the domestic effective carbon price cuts emissions quickly and shifts investment toward the green sector, with aggregate activity recovering as reallocation proceeds. Under CBAM, the near-term contraction is deeper, and the spread spikes more, but endogenous green innovation and a policy mix that combines targeted green credit support with macroprudential measures deliver a smoother adjustment and the largest welfare gains. The results suggest that coherent policy packages linking carbon pricing, innovation support, and financial stability are central to managing the transition in an open economy.

1. Introduction

Limiting global warming while sustaining economic growth has become a central policy challenge for the coming decades. Scientific assessments stress that delaying mitigation raises both physical damages and the scale of later adjustment, implying that credible near-term decarbonization is an essential pillar of long-run sustainability [1]. In parallel, energy transition roadmaps highlight that reaching net zero requires rapid diffusion of clean technologies alongside a managed decline of high-emission capital [2]. Against this background, carbon pricing has expanded across countries and regions, yet coverage and price levels remain uneven and frequently below what is needed for deep emissions cuts [3].
This unevenness shapes a core tension: policymakers seek stronger domestic carbon prices, but they also face concerns about competitiveness and emissions leakage when trading partners price carbon less stringently. Border carbon adjustment policies have re-emerged as a response to this tension, aiming to align the carbon cost borne by imports with the domestic carbon price signal. The European Union (EU) has operationalized this approach through the Carbon Border Adjustment Mechanism, which introduces reporting requirements in a transitional phase and schedules full application from 2026 [4,5]. The policy is not simply a trade instrument; it potentially changes the macroeconomic environment in which domestic carbon pricing operates by tightening the external constraint for emissions-intensive activities. In this paper, we study this interaction in a small open economy dynamic stochastic general equilibrium (DSGE) framework that links Carbon Border Adjustment Mechanism (CBAM) exposure to sectoral cash flows, credit spreads, and the pace of green reallocation.
A growing literature examines border carbon adjustments from legal, political economy, and design perspectives, emphasizing the balance between environmental effectiveness, administrative feasibility, and compatibility with trade rules [6,7,8]. Quantitative assessments also highlight distributional and development concerns, including the possibility that impacts differ systematically across exporters with varying production technologies and carbon intensities [9]. While this work clarifies important institutional trade-offs, it leaves open a complementary macroeconomic question that is increasingly relevant in practice: how does the presence of an external carbon border policy reshape the domestic transition path, especially when reallocation, innovation, and financial conditions interact?
Macroeconomic research on climate policy offers building blocks for answering this question. Dynamic general equilibrium analyses show how optimal policy trades off current adjustment costs against future climate damages [10]. More recent contributions emphasize that the timing of carbon taxes and the shape of transition dynamics depend on macro conditions and intertemporal incentives, which can make transitional welfare sensitive to policy design [11,12]. At the same time, the long-run cost of decarbonization is tightly linked to technology change. The directed technical change literature formalizes how policy can shift innovation toward cleaner technologies [13], and empirical evidence indicates that market-based climate policies can redirect innovation and investment decisions [14,15].
Financial channels add another layer. Asset pricing evidence suggests that carbon exposure is reflected in expected returns and risk premia, consistent with the idea that transition risk can affect financing costs [16]. In parallel, research on climate-related financial risks and sustainable finance argues that banks, supervisors, and central banks can influence the pace and smoothness of the transition through the pricing of risk and the allocation of credit [17,18]. This perspective is increasingly embedded in supervisory and regulatory agendas, including guidance on climate and environmental risks for banks and prudential frameworks [19,20,21], as well as scenario-based approaches to transition risk [22].
This paper brings these strands together in a small open economy environmental DSGE model that is designed to study domestic carbon pricing coordination under an external carbon border policy. The economy features a cleaner green sector and a more emissions-intensive brown sector, with resources reallocated across sectors through relative price adjustments. Green innovation can be treated as exogenous or activated endogenously via research investment, allowing the model to capture how technology improvements reshape medium-run adjustment. A banking sector prices sector-specific credit risk through spreads that respond to collateral and a systemic risk component, so financial conditions can amplify or dampen reallocation dynamics. CBAM enters as an export-revenue wedge linked to embodied emissions, which directly connects external competitiveness pressures to domestic transition incentives.
Our results highlight four findings that speak to the sustainability of the transition path. First, a coordinated increase in domestic carbon pricing triggers rapid emissions reductions and a reallocation of investment toward the green sector, with aggregate activity recovering as the economy adjusts. Second, when CBAM is present, the same domestic carbon price shock produces a deeper near-term contraction and a sharper tightening in credit spreads, indicating that external constraints can make the transition more sensitive to financial conditions. Third, endogenous green innovation improves the adjustment path by strengthening green expansion and reducing near-term macro and financial strain, helping the economy absorb a tighter external environment. Fourth, financial frictions materially shape the speed of reallocation: tighter credit conditions blunt green investment exactly when expansion is needed most. Consistent with these mechanisms, a policy mix that combines targeted green credit support with macroprudential measures yields a more favorable welfare outcome than either tool alone, because the instruments work through distinct margins of the banking sector.
By focusing on the interaction between domestic carbon pricing, CBAM-induced external pressure, endogenous innovation, and macro-financial frictions, the paper contributes to the sustainability literature on policy mixes for decarbonization and sustainable trade. It also provides a tractable framework for interpreting why similar carbon price moves can have different short-run costs across external regimes, and why complementary financial policies can improve the transition without weakening emissions reductions. Despite the rapidly growing literature, a gap remains in quantitative work that connects CBAM exposure to the macroeconomic and financial dynamics of domestic carbon pricing. Trade-oriented studies of CBAM often emphasize sectoral incidence and competitiveness effects, while DSGE analyses of carbon taxes typically abstract from border adjustment regimes and from the financing conditions that govern reallocation across sectors. Our framework fills this gap by mapping CBAM into an emissions-based export revenue wedge that affects profitability and collateral values, embedding a banking sector that prices sector-specific transition risk through credit spreads, and allowing green productivity to respond endogenously through research investment. This combination enables a welfare-based comparison of coordinated carbon pricing across external regimes and a disciplined evaluation of policy packages that pair carbon pricing with green credit support and macroprudential measures. The remainder of the paper presents the model structure, calibration and experimental design, and the impulse-response and welfare results that support these conclusions.

2. Model

We build a small open economy environmental DSGE model. The economy features two production blocks that differ in emissions intensity, a green innovation margin that can be switched on or off, and a banking sector that prices sector-specific credit risk through spreads. The external block introduces CBAM as a wedge that reduces the effective export revenue of emission-intensive activities. The policy block combines coordinated domestic carbon pricing with two financial instruments, green credit support and macroprudential regulation, which operate through distinct margins of the banking sector. The formal structure follows recent macro models of the green transition and transition risk in credit markets [23], and it maps CBAM into an export revenue wedge consistent with the institutional design of the mechanism [4].

2.1. Households

A representative household chooses consumption C t , labor supply N t , and one period deposits D t to maximize expected lifetime utility,
max { C t , N t , D t } t 0 E 0 t = 0 β t C t 1 σ 1 1 σ χ N t 1 + φ 1 + φ ,
subject to the nominal budget constraint,
P t C t + D t = W t N t + ( 1 + R t 1 ) D t 1 + Π t + T t ,
where P t is the consumption price index, W t is the wage, R t is the gross deposit rate, Π t collects distributed profits from firms and banks, and T t denotes lump sum transfers from the government.
The household’s first-order conditions imply the Euler equation,
1 = β E t C t + 1 C t σ 1 + R t Π t + 1 P , Π t + 1 P P t + 1 P t ,
and the intratemporal labor supply condition,
χ N t φ = W t P t C t σ .

2.2. Final Good Aggregation and Relative Prices

A competitive final good producer aggregates green and brown intermediate goods, Y g , t and Y b , t , into the final good Y t using a CES technology,
Y t = ω g 1 ϵ Y g , t ϵ 1 ϵ + ω b 1 ϵ Y b , t ϵ 1 ϵ ϵ ϵ 1 , ω g + ω b = 1 , ϵ > 1 .
Cost minimization yields sectoral demand schedules,
Y j , t = ω j P j , t P t ϵ Y t , j { g , b } ,
and the corresponding price index,
P t = ω g P g , t 1 ϵ + ω b P b , t 1 ϵ 1 1 ϵ .
The elasticity ϵ governs how quickly expenditure and production shift across sectors after a carbon price shock, which directly links this block to the reallocation patterns.

2.3. Green and Brown Intermediate Producers

Each sector j { g , b } produces output with capital and labor,
Y j , t = A j , t K j , t α N j , t 1 α , α ( 0 , 1 ) .
The sectoral technologies differ in their emissions intensities. We model emissions as proportional to sectoral output,
E j , t = κ j Y j , t , κ b > κ g 0 , E t = E g , t + E b , t .
A coordinated increase in the effective domestic carbon price τ t raises the marginal cost of production through an emissions charge τ t E j , t , with a larger incidence on the brown sector because κ b is higher.
Given prices { P j , t , W t , R j , t K } , sectoral firms choose { K j , t , N j , t } to maximize real profits,
Π j , t = P j , t P t Y j , t W t P t N j , t R j , t K P t K j , t τ t E j , t ,
which implies standard factor demands,
W t P t = ( 1 α ) P j , t P t Y j , t N j , t , R j , t K P t = α P j , t P t Y j , t K j , t .
The asymmetric exposure of marginal costs to τ t is the primitive source of the investment divergence between green and brown sectors in the baseline impulse responses.

2.4. Capital Accumulation and Investment Adjustment

Sectoral capital evolves according to
K j , t + 1 = ( 1 δ ) K j , t + I j , t ϕ I 2 I j , t I j , t 1 1 2 I j , t , j { g , b } ,
where δ is the depreciation rate and ϕ I governs investment adjustment costs. Let Q j , t denote Tobin’s Q for installed capital in sector j. Standard optimality conditions yield
Q j , t = 1 ϕ I I j , t I j , t 1 1 I j , t I j , t 1 + ϕ I 2 I j , t I j , t 1 1 2 ,
and the Euler equation for sectoral capital,
Q j , t = β E t C t + 1 C t σ R j , t + 1 K P t + 1 + ( 1 δ ) Q j , t + 1 .
These adjustment costs help the model generate a front loaded contraction in aggregate investment followed by gradual rec.

2.5. Green Innovation and Endogenous Technology

Green technology can be treated as exogenous, or it can respond endogenously through research and development investment. When innovation is active, the green sector allocates resources R t to improve A g , t ,
A g , t = ( 1 δ A ) A g , t 1 + Ψ R t η + ε t A , ε t A = ρ A ε t 1 A + u t A ,
where η ( 0 , 1 ) governs innovation efficiency and Ψ scales the technology gain. In the model, R t denotes research and development expenditure. It is intended as a macro representation of firms’ innovation activity, aggregated at the sector level. The mapping Ψ R t η captures diminishing returns to innovative effort at the margin, while δ A reflects depreciation or obsolescence of the underlying knowledge stock. The persistence in the innovation process implies that changes in innovative effort affect medium-run transition dynamics rather than only the impact period. In applied work, objects like R t are commonly proxied using sectoral research and development (R&D) intensity measures and indicators of green inventive output such as green patent applications or citations. In our framework, such firm-level innovation outcomes map to the aggregate technology term A g , t , which governs the productive frontier of the green sector and influences the expected returns that shape investment reallocation during the transition. Research and development uses the final good and enters the resource constraint below. A higher η or Ψ raises the expected return to green capital and strengthens the green investment response. The specification follows the recent macro green transition literature in which endogenous innovation reduces the macro cost per unit of emissions reduction [23]. We consider two specifications for green technology to keep the transition mechanisms transparent. In the benchmark version, green productivity follows an exogenous process that provides a clean baseline for isolating how carbon pricing and CBAM reshape relative prices, sectoral cash flows, and credit spreads. We then activate an endogenous innovation regime in which the economy allocates resources to R&D, and green productivity improves as a function of R&D investment. This switch is meant to capture the incentive-driven nature of green innovation: when policy-induced reallocation raises the expected returns to green activity, the payoff to R&D increases, which strengthens the medium-run expansion of the green sector and smooths the transition path. In this paper, we use the term green technology as shorthand for productivity improvements that facilitate the expansion of low-emissions production, rather than as a claim that innovation is absent from emissions-intensive activities. The model abstracts from productivity growth in the brown sector to keep the transition mechanisms tractable and to focus on the directed component of technology change that is most relevant for the carbon-cost wedge and sectoral reallocation. Allowing brown productivity to improve as well would generally shift the quantitative magnitudes of the adjustment, but the main propagation highlighted here would change meaningfully only if such improvements also reduce emissions intensity or offset the effective carbon-cost pressure faced by emissions-intensive production.

2.6. Banking Sector, Credit Spreads, and Financial Frictions

Banks finance sectoral loans with deposits and net worth. Let B j , t denote bank lending to sector j, and let N W t denote bank net worth. The balance sheet is
B g , t + B b , t = D t + N W t .
Loans to sector j carry a gross loan rate R j , t L ,
1 + R j , t L = ( 1 + R t ) 1 + s j , t , s j , t 0 ,
where s j , t is the sector-specific spread. We discipline spreads through two ingredients. First, borrowers face collateral constraints tied to the value of installed capital,
B j , t θ j Q j , t K j , t , 0 < θ b < θ g < 1 ,
so a fall in Q j , t tightens borrowing capacity and raises effective external finance premia. We calibrate θ g > θ b to reflect the stylized fact that greener activities tend to face relatively looser borrowing capacity, while more emissions-intensive activities are more exposed to transition-risk repricing and therefore face tighter borrowing conditions and stronger collateral protection in loan contracting [24,25]. In the model, the sectoral spread s j , t is the external finance premium faced by sector j. A rise in the domestic carbon price compresses net cash flows in emissions-intensive activity and shifts expected returns across sectors. When profitability weakens and investment adjusts, Tobin’s Q j , t and the value of collateral can decline, tightening borrowing capacity. This raises effective leverage and increases the premium banks require to lend, which appears as a temporary spike in spreads in the impulse responses. Under CBAM, the export-revenue wedge further compresses net receipts for exposed activities, so the same domestic carbon pricing shock can generate a larger and more abrupt tightening in spreads through the same balance-sheet channel.
Second, banks face a leverage-sensitive risk premium that increases when aggregate balance sheet conditions deteriorate. We model the spread as
s j , t = ϕ j B j , t Q j , t K j , t b ¯ j + ϕ s y s Ξ t , Ξ t = ρ Ξ Ξ t 1 + u t Ξ ,
where Ξ t captures time-varying systemic risk premia. The spread equation contains two distinct components. The first term links s j , t to borrower-side balance-sheet conditions through the ratio B j , t / ( Q j , t K j , t ) . When collateral values fall or borrowing rises relative to collateral, the ratio increases and the sector-specific premium widens, capturing tighter financing conditions for that sector. The second term introduces a systemic risk component Ξ t that moves spreads in both sectors together during transition episodes. In this sense, cross-sector differences in spreads are driven primarily by the borrower-specific component, while the comovement of spreads is driven primarily by the systemic component. This decomposition is useful for interpreting the impulse responses and for understanding why our two financial policy instruments operate on distinct margins. Recent evidence from credit markets suggests that transition exposure is increasingly priced in bank lending conditions. Studies using syndicated loan data document a carbon-related risk premium in loan spreads and contract terms for more emissions-intensive borrowers, and show that these premia become more pronounced when climate-policy risk rises. Related work also points to systematic cross-sectional differences in financing conditions: greener borrowers can obtain relatively more favorable loan pricing and terms, especially when borrowing from banks with stronger climate commitments, whereas carbon-intensive and fossil-oriented borrowers face tighter conditions. Moreover, climate-related risk is often reflected not only in interest spreads but also in non-price terms such as maturity, covenant intensity, and collateral protection. We view these findings as consistent with modeling sectoral spreads as the sum of a borrower-specific component tied to leverage and collateral values and a systemic component that captures synchronized repricing of risk in the banking sector [24,25,26,27]. This reduced form captures a key channel emphasized by recent work on transition risk under climate policy: weaker cash flows and tighter collateral raise credit spreads and amplify investment dynamics. In the impulse responses, the spread spike and its subsequent normalization correspond to the joint adjustment of borrower leverage and the systemic factor.

2.7. Policy Blocks: Carbon Pricing, Green Credit, and Macroprudential Regulation

2.7.1. Coordinated Domestic Carbon Pricing

The effective domestic carbon price τ t summarizes coordination between policy instruments that jointly tighten the economy wide carbon price signal. We model τ t as an exogenous policy process,
log τ t τ ¯ = ρ τ log τ t 1 τ ¯ + u t τ , | ρ τ | < 1 .
Carbon revenues are rebated lump sum,
T t = τ t E t .
We treat this rebate rule as a benchmark closure that keeps the experiments fiscally neutral and highlights the transition mechanisms operating through relative prices, sectoral reallocation, and credit spreads. In practice, alternative recycling schemes can shift the composition of transition costs, but our policy-package comparison focuses on how financial instruments smooth the reallocation dynamics conditional on the same carbon-pricing impulse.

2.7.2. Green Credit Support

Green credit policy improves financing terms for green investment. We implement it as a targeted reduction in the green spread,
s g , t G C = s g , t ν G C G t , G t 0 ,
where G t indexes policy intensity and ν G C > 0 measures pass-through to green borrowing costs. This formulation captures the idea that targeted credit policies ease green sector constraints, consistent with supervisory guidance that encourages risk-sensitive treatment of climate-related exposures [19,20]. In practice, targeted green credit can be implemented through interest subsidies, public guarantees, policy-bank credit lines, or central-bank refinancing facilities that lower the marginal funding cost of eligible green loans. In our framework, the policy intensity G t can therefore be interpreted as capturing the fiscal or quasi-fiscal resources needed to deliver a sustained reduction in green borrowing costs, including expected subsidy payments and contingent liabilities from risk sharing.

2.7.3. Macroprudential Regulation

Macroprudential policy affects the systemic risk premium component of spreads. We model it as a policy rule that compresses the systemic factor during transition episodes,
Ξ t M P = ( 1 ν M P ) Ξ t , 0 ν M P 1 ,
which can be interpreted as the outcome of exposure limits and capital planning that reduce forced deleveraging when high-emission sectors are hit by policy shocks [19,20]. In the policy mix experiment, green credit operates on s g , t , while macroprudential policy operates on Ξ t , so the two tools act on different margins and can generate welfare-improving complementarity. Macroprudential actions can be understood as supervisory and regulatory tools, such as sectoral capital buffers, exposure concentration limits, and capital planning requirements, that reduce the likelihood of synchronized balance-sheet stress during transition episodes. These measures are not primarily fiscal, yet they can carry real economic costs by increasing banks’ funding costs or tightening credit supply when capital constraints bind. Our compression of the systemic premium summarizes this stabilization role while abstracting from jurisdiction-specific implementation details and potential leakages.

2.8. External Sector and CBAM Wedge

The foreign market demands domestic exports with price elasticity η x > 1 . Let X j , t denote exports of sector j and P j , t x the corresponding export price in domestic currency. Export demand is
X j , t = χ x , j P j , t x P t * η x Y t * ,
where P t * and Y t * denote an exogenous foreign price index and foreign demand shifter.
CBAM is modeled as a wedge that reduces the effective export revenue of emission-intensive goods in proportion to embodied emissions and the CBAM stringency parameter. Consistent with the institutional logic of the mechanism [4], we specify the effective producer export price as
P ˜ j , t x = P j , t x 1 ω j τ t C B A M κ j , τ t C B A M = ξ C B A M τ t + ε t C B A M , ε t C B A M = ρ C B A M ε t 1 C B A M + u t C B A M ,
with ω j 0 capturing exposure. A higher domestic carbon price therefore interacts with CBAM by lowering effective export receipts for emission-intensive activities. Lower export receipts weaken cash flows and tighten borrowing constraints, which raises spreads and depresses investment, generating the amplification patterns in Figure 2.
This reduced-form representation is designed to capture the first-order incidence of the EU CBAM on exporters. Under CBAM, the border cost for a covered good is tied to its embedded emissions and to an effective carbon price at the destination, with the net burden reduced to the extent that carbon costs paid in the origin can be verified and credited [4,5]. For an exporting producer, the central macro-relevant implication is a decrease in net export receipts that is increasing in emissions intensity. In our model, this incidence is summarized by the effective export price P ˜ j , t x , which can be interpreted as the producer export price net of an emissions-based border charge. The exposure parameter ω j aggregates coverage and trade exposure at the sector level and also captures the idea that only a subset of output is subject to CBAM. The term τ t C B A M summarizes the effective border carbon cost faced by exporters. Its linkage to the domestic effective carbon price reflects the degree of alignment and recognition of domestic carbon pricing in the external regime. This parsimonious mapping allows CBAM to affect cash flows, collateral values, and borrowing conditions in a way that is consistent with the mechanism’s emissions-based design, which is the channel that is most relevant for our reallocation and macro financial dynamics.
At the same time, this representation abstracts from several important implementation details. We do not model measurement and verification frictions, reporting costs, product-specific phase-in schedules, indirect emissions accounting, or firm-level heterogeneity in emissions intensity and pass-through. We also abstract from strategic interactions across countries and from endogenous changes in foreign demand induced by policy responses. These features matter for detailed incidence and policy design, but they are beyond the scope of the present framework, which focuses on the macroeconomic and financial transmission of an emissions-linked external wedge during a domestic transition.

2.9. Market Clearing and Resource Constraint

Goods market clearing implies
Y t = C t + I g , t + I b , t + R t + G t + X t ,
where R t is research and development spending when innovation is active, G t is the real resource cost of green credit support when modeled as a subsidy, and X t collects net exports and any exogenous spending components. Labor and capital markets clear as
N t = N g , t + N b , t , K t = K g , t + K b , t .

2.10. Equilibrium

An equilibrium is a sequence of quantities and prices such that households optimize, firms in each sector optimize, banks price loans subject to balance sheet conditions, policy rules and shock processes are satisfied, and all markets clear.

3. Calibration and Experimental Design

3.1. Calibration

We calibrate the model at a quarterly frequency around a deterministic steady state. The calibration is designed to discipline two objects that are central for interpreting our impulse responses. First, the steady state matches a plausible sectoral composition with a cleaner green sector and a more emissions-intensive brown sector. Second, the transition dynamics reproduce the qualitative patterns, namely a front-loaded decline in emissions, a temporary slowdown in aggregate activity, and a gradual reallocation of investment and output toward the green sector. Table 1 summarizes the baseline parameter values and the corresponding empirical interpretation or calibration targets.
For standard preference and production parameters, we follow recent environmental DSGE studies that adopt a conventional quarterly macro calibration while embedding climate and financial channels [23,28]. The discount factor is set to deliver a steady-state annual real rate close to 4 percent. Risk aversion and the Frisch elasticity are chosen within the range commonly used in contemporary medium-scale DSGE applications. The capital share and depreciation rate are pinned down by national accounting benchmarks, and the investment adjustment cost is selected so that aggregate investment reacts more sharply than output and consumption in the short run.
Parameters governing reallocation, emissions intensity, innovation, and finance are calibrated to align the model with the mechanisms emphasized by our results. The substitution elasticity between green and brown production bundles controls how quickly resources move across sectors, which is reflected in the divergence between green and brown investment paths. Sectoral emissions intensities are disciplined by the large dispersion in embedded emissions across activities that are central to CBAM coverage. We therefore set κ b to reflect a representative heavy industry intensity and choose κ g to be an order of magnitude smaller, so that the brown sector accounts for the bulk of steady-state emissions while the green sector remains relatively clean [29]. The innovation block is disciplined by two choices. The elasticity of the green technology law of motion governs how strongly research spending translates into productivity gains, while persistence ensures that innovation affects the medium term rather than only the impact period [23].
Financial parameters are selected to produce a short-lived but visible tightening in sectoral spreads after the carbon pricing shock and to allow policy instruments to operate through distinct margins [28,30]. The collateral parameters θ g and θ b summarize sector-specific borrowing capacity in a reduced form way that is closely related to loan-to-value type objects in bank-based DSGE frameworks [31]. We set θ g > θ b to reflect comparatively easier collateralization and better credit terms for green investment, consistent with evidence that greener firms tend to face more favorable financing conditions, while emissions-intensive activities experience tighter constraints under transition risk [24]. The relative ordering θ g > θ b is also consistent with recent loan-market evidence that greener borrowers tend to receive more favorable credit terms, whereas carbon-intensive borrowers face tighter lending conditions and transition-risk premia [24,25,26].
Finally, the external wedge that captures CBAM is calibrated to reflect that the mechanism is rule-based and persistent once introduced, and that it is naturally linked to the domestic effective carbon price [4,5]. The CBAM linkage parameter ξ C B A M is set as a scaling normalization that places the border carbon charge and the domestic effective carbon price in commensurate units, consistent with the institutional design in which CBAM certificate pricing mirrors the EU Emissions Trading System (EU ETS) price signal and allows deductions for verified carbon prices paid in the origin country [4,32]. Residual variation in the external regime is captured by the CBAM wedge shock process.
Table 1. Parameter calibration.
Table 1. Parameter calibration.
SymbolDescriptionValueSource or target
Panel A. Preferences and core technology
β Discount factor0.990Quarterly calibration in recent climate DSGE studies [28]
σ Constant relative risk aversion (CRRA)2.000Standard macro calibration used in environmental DSGE work [23]
φ Inverse Frisch elasticity1.000Standard macro calibration used in environmental DSGE work [28]
α Capital share0.330National accounts benchmark
δ Depreciation rate0.025Quarterly depreciation benchmark
ϕ I Investment adjustment cost4.500Matches short-run investment sensitivity
Panel B. Reallocation, emissions intensity, and green innovation
ϵ Substitution elasticity across sectors2.500Matches pace of sectoral reallocation
κ g Emissions intensity of green sector0.200Calibrated to a low-carbon benchmark that is an order of magnitude below heavy-industry intensity levels [29]
κ b Emissions intensity of brown sector2.000Anchored to a representative heavy-industry intensity (global-weighted steel intensity about 2.0 tCO2e per tonne in 2023) [29]
η Research effectiveness elasticity0.600Disciplines innovation strength
ρ A Persistence of innovation shock0.900Medium-run innovation effects [23]
Panel C. Financial frictions and CBAM
θ g Collateral parameter for green borrowers0.750Collateral pledgeability in bank-based DSGE frameworks; set higher for green to reflect comparatively easier collateralization and better credit terms [24,31]
θ b Collateral parameter for brown borrowers0.600Set lower to reflect tighter borrowing capacity for emissions-intensive activities under transition risk [31]
ξ C B A M Linkage of CBAM carbon price to domestic effective carbon price1.000Normalization placing CBAM and domestic carbon price in the same units; CBAM certificate pricing mirrors EU ETS and allows deductions for carbon price paid in the origin country [4,32]
ρ c b a m Persistence of CBAM wedge0.900Persistent rule-based external wedge [4]
Note: Parameters are calibrated at quarterly frequency. The emissions intensities imply a κb/κg ratio of 10, consistent with the large dispersion in carbon intensities across high-emitting industrial installations versus low-carbon production benchmarks. The collateral parameters summarize sector-specific borrowing capacity and map into spreads through the banking block. The CBAM linkage parameter is a scaling normalization that keeps the border carbon charge and domestic effective carbon price commensurate, while residual variation is absorbed by the CBAM wedge shock.

3.2. Scenarios and Shocks

Our baseline disturbance is a coordinated carbon pricing shock, modeled as an exogenous innovation that raises the domestic effective carbon price and then mean reverts with an autoregressive process. We report impulse responses as percent deviations from the steady state for real quantities, and as percentage point deviations for spreads. All impulse responses are computed for a twenty-quarter horizon and are normalized to a one-standard-deviation shock so that results can be rescaled transparently. The core experimental configurations and policy scenarios are summarized in Table 2.
We design four sets of experiments. First, the baseline economy excludes CBAM and isolates the domestic transition under coordinated carbon pricing. Second, the CBAM economy introduces an export price wedge that tightens external conditions and feeds back into firms’ cash flows and borrowing premia [4,5]. Third, we allow green technology to respond endogenously through research investment and vary innovation efficiency to quantify how productivity improvements alter the macro cost of emissions reductions. The endogenous-innovation scenarios are included to reflect that, in practice, R&D responds to expected profitability and anticipated market conditions, so the pace of green expansion can be reinforced by incentive-driven technology improvements during the transition. Fourth, we vary the intensity of financial frictions and evaluate financial policy instruments. Green credit is implemented as an improvement in green borrowing conditions, while macroprudential policy compresses the systemic component of spreads and limits high carbon exposures, following the spirit of recent macro financial analyses of the green transition [28,30].

4. Results

4.1. Baseline Responses Under Coordinated Carbon Pricing

Figure 1 shows the impulse response functions (IRFs) to a coordinated rise in the domestic effective carbon price in the absence of CBAM. Aggregate activity weakens immediately. Output, consumption, and total investment fall in the first few quarters, reflecting the higher cost of carbon-intensive production and the presence of adjustment frictions. The decline is short-lived, however. As the economy reallocates, these aggregates recover steadily and move slightly above baseline later in the horizon.
Emissions respond much more strongly at the start. The shock delivers a sharp reduction in emissions that gradually fades as the system approaches a new balance, suggesting that most of the near-term abatement comes from rapid changes in production and investment decisions rather than from slow-moving capital deepening alone. The sectoral responses clarify this mechanism. Green investment rises quickly and peaks early, remaining positive even as it tapers off over time. Green output increases persistently and converges to a higher level. In contrast, brown investment falls substantially and remains depressed, while brown output drops on impact but returns toward baseline as the sector shrinks primarily through lower capital formation. Taken together, these patterns indicate that the carbon price operates mainly by reshaping relative returns, shifting capital accumulation toward the green sector and away from the brown sector.
Financial conditions tighten briefly and then normalize. Both green and brown spreads jump at the time of the shock and quickly revert close to steady state. The transient nature of the spread response suggests that the main propagation in the baseline case comes from real reallocation and investment dynamics, rather than from prolonged stress in credit markets.

4.2. CBAM and a Tighter External Constraint

Figure 2 compares the baseline economy with a setting in which exporters face CBAM. Relative to the domestic-only case, the same coordinated carbon pricing shock is followed by a larger short-run decline in aggregate activity. Output falls more on impact, and the recovery is slower, while the drop in total investment is visibly deeper in the early quarters. Consumption moves similarly across the two cases, but the CBAM scenario remains slightly weaker during the initial adjustment.
The sectoral patterns help clarify where the additional cost comes from. Under CBAM, green output and green investment still rise, but the expansion is more muted. At the same time, the contraction in brown investment is stronger and more persistent, consistent with a sharper deterioration in the expected return to carbon-intensive capital when export profitability is reduced. Emissions decline markedly in both cases, and the CBAM scenario delivers a marginally larger reduction early on, reflecting the tighter effective constraint on production and exporting in emissions-intensive activities.
Financial conditions also tighten under CBAM. Both the green and brown spreads display a higher initial spike, which then fades quickly as the economy adjusts. In the model, the export-price wedge lowers profitability in exposed activities and weakens cash flows, which raises risk premia and increases external financing costs. The resulting feedback to investment makes the near-term adjustment more costly. Taken together, the figure suggests that CBAM does not only add pressure through the trade channel; it also increases the sensitivity of the transition to financial conditions, making the short-run balance between decarbonization and stabilization less favorable.

4.3. Green Innovation and the Speed of Adjustment

Figure 3 and Figure 4 focus on how green innovation changes the transition dynamics after a coordinated increase in the domestic effective carbon price. When green technology responds endogenously, the economy returns to its steady state more smoothly. Output, consumption, and total investment recover faster and settle at a higher level than in the baseline path, while emissions still fall sharply on impact and remain below steady state during the adjustment.
The sectoral responses show why the aggregate cost is smaller. With endogenous green technology, green output rises more strongly and green investment peaks at a noticeably higher level, indicating that the carbon price signal is reinforced by an improvement in expected returns in the green sector. At the same time, brown investment contracts more, which accelerates the shift in capital formation away from carbon-intensive activity. Financial conditions move in the same direction. The initial increase in spreads is smaller once green technology is allowed to improve, consistent with stronger cash flows and a less fragile balance-sheet position during the early phase of the transition.
Figure 4 sharpens this point by comparing alternative innovation efficiency settings. Higher efficiency strengthens the expansion of green output and investment and delivers a better path for aggregate activity. It also compresses the spread response in the first few quarters, suggesting that faster productivity gains reduce the need for a prolonged risk premium during reallocation. The emissions response remains sizable in both cases, but the high-efficiency economy reaches that reduction with smaller near-term macro and financial strain. These patterns matter even more once an external constraint such as CBAM is present, because stronger green productivity helps the economy absorb tighter external conditions without relying as heavily on contraction in aggregate demand.

4.4. Financial Frictions and the Pace of Reallocation

The spike in spreads is the model’s observable indicator of financial amplification, reflecting tighter collateral values through Q j , t K j , t and an increase in the systemic risk component that raises borrowing costs across sectors. Figure 5 illustrates how financial conditions shape the transition following a coordinated increase in the domestic effective carbon price. When financial frictions are stronger, the economy experiences a sharper tightening in credit markets at the onset of the shock. Both green and brown spreads rise more, and this rise coincides with a larger contraction in total investment. Output and consumption also fall more in the near term, and the recovery is more gradual.
The sectoral adjustment is particularly sensitive to financing conditions. Under high friction, green investment still increases, but the expansion is noticeably smaller and fades sooner. Green output rises more slowly as a result. At the same time, brown investment declines more strongly, reflecting weaker balance sheets and a higher cost of external finance. This combination slows the reallocation of capital toward the green sector because the sector that needs to expand faces tighter financing at precisely the moment when investment demand is strongest.
With lower frictions, spreads are less prone to large spikes and normalize faster. Green investment responds more vigorously, supporting a quicker rise in green output and a smoother aggregate adjustment. Emissions decline in both cases, but the comparison suggests that the economy can reach similar near-term emissions reductions with less disruption when the financial system is better able to accommodate the shift in investment composition. In this sense, carbon pricing provides the direction of change, while financial conditions influence how costly the journey is.

4.5. Green Credit and Macroprudential Policy in the Transition

Figure 6 compares the transition path under carbon pricing alone with three policy packages that add financial measures. The baseline trajectory features a sharp but short-lived rise in spreads and a sizeable decline in brown investment, alongside a strong increase in green investment. The policy experiments show that targeted credit support and prudential tightening change this adjustment in distinct ways.
Green credit support mainly works by strengthening the expansion on the green side. Relative to the baseline, green investment rises more and remains higher for longer, and green output reaches a higher level over the horizon. Aggregate investment also recovers more quickly. The spread response is smaller at the onset, which is consistent with improved financing conditions for the sector that is expected to expand during the transition.
Macroprudential policy operates through a different channel. Its most visible effect is a reduction in the initial spike in spreads, especially on the brown side, and a smoother normalization thereafter. The improvement in financial conditions helps stabilize the early quarters, although the expansion in green investment is not as pronounced as under green credit support. In other words, prudential policy mainly limits the amplification from risk premia during the reallocation episode.
The combined package inherits the strengths of both tools. Green investment and green output rise strongly, close to the green-credit case, while spreads remain contained, close to the macroprudential case. As a result, output and total investment follow a more favorable path in the near term without undoing the emissions reductions delivered by coordinated carbon pricing. The figure therefore suggests that the two instruments are complements: credit support helps finance the sector that needs to grow, and prudential policy keeps the balance-sheet adjustment from becoming a source of additional drag.
To facilitate a direct quantitative comparison across the primary scenarios presented in our impulse-response analysis, Table 3 summarizes the impact effects for key macroeconomic and environmental variables. We focus on the initial impact (the deviation from the steady state at the quarter of the shock) of output, emissions, and the brown credit spread across three defining regimes. This summary clarifies the central quantitative narrative of the model: introducing the CBAM constraint deepens the immediate output loss and amplifies financial frictions, as reflected in the larger brown-spread spike, relative to the domestic-only baseline. Under CBAM, deploying the combined policy mix of green credit support and macroprudential regulation substantially attenuates this amplification. The policy synergy limits the impact of contraction and stabilizes the credit spread while delivering a deeper initial reduction in emissions, consistent with a reallocation channel that is less hindered by balance-sheet tightening.

4.6. Welfare Implications Across Policy Regimes

To compare policy regimes on a common welfare basis, we compute consumption-equivalent variation (CEV). We define CEV as the permanent percentage change in consumption that makes the representative household indifferent between a given regime and the benchmark. This metric is useful because it aggregates the full transition path, capturing not only average consumption outcomes but also the disutility associated with volatility and prolonged periods of weak activity. Table 4 reports the welfare implications of the policy experiments. Relative to carbon pricing alone, adding green credit improves welfare by supporting the expansion of green investment and speeding up the reallocation of capital toward cleaner production. Macroprudential policy also generates a welfare gain, primarily by moderating fluctuations in spreads and reducing the severity of the near-term tightening in financial conditions. The largest gain arises when the two measures are implemented together. The combined package delivers a faster reallocation response while keeping financial volatility contained, which translates into a more favorable consumption path over the transition and, consequently, the highest CEV among the regimes considered.
To make the welfare metric transparent, we compute CEV from the representative household’s lifetime utility over consumption and labor as specified in the household block. Accordingly, the welfare comparisons capture the transition implications of alternative policy regimes through their effects on the consumption path and labor effort, including the role of macro-financial volatility. In this benchmark implementation, welfare does not include an explicit environmental-benefit term or a climate-damage function. Emissions matter for welfare only indirectly, insofar as policies that reduce emissions also reshape relative prices, sectoral reallocation, productivity, and financing conditions that feed into consumption and labor outcomes during the transition. This benchmark welfare design is meaningful for the question we study. Our aim is to compare policy packages that operate through different margins of the transition, namely reallocation, innovation, and financial amplification, and to assess which combinations deliver a smoother adjustment in macroeconomic quantities while preserving the emissions response induced by coordinated carbon pricing. In this sense, CEV summarizes transition costs and risks associated with alternative policy regimes, rather than measuring the external environmental benefits of emissions reductions.

4.7. Robustness to Alternative CBAM Representations

To assess whether our results depend on the specific algebraic form used to represent CBAM, we compare impulse responses under three alternative reduced-form specifications. The baseline uses a multiplicative wedge that lowers effective export receipts in proportion to embedded emissions. We then consider an additive per-unit cost formulation and an iceberg trade cost formulation. Figure 7 shows that the dynamics of output, investment, emissions, sectoral reallocation, and brown spreads are very similar across the three representations. The key message is unchanged: CBAM amplifies the near-term adjustment by compressing net export receipts for emissions-intensive activities, weakening cash flows and tightening borrowing conditions, while the medium-run transition continues to be driven by reallocation toward the green sector.

4.8. Sensitivity to Key Elasticities

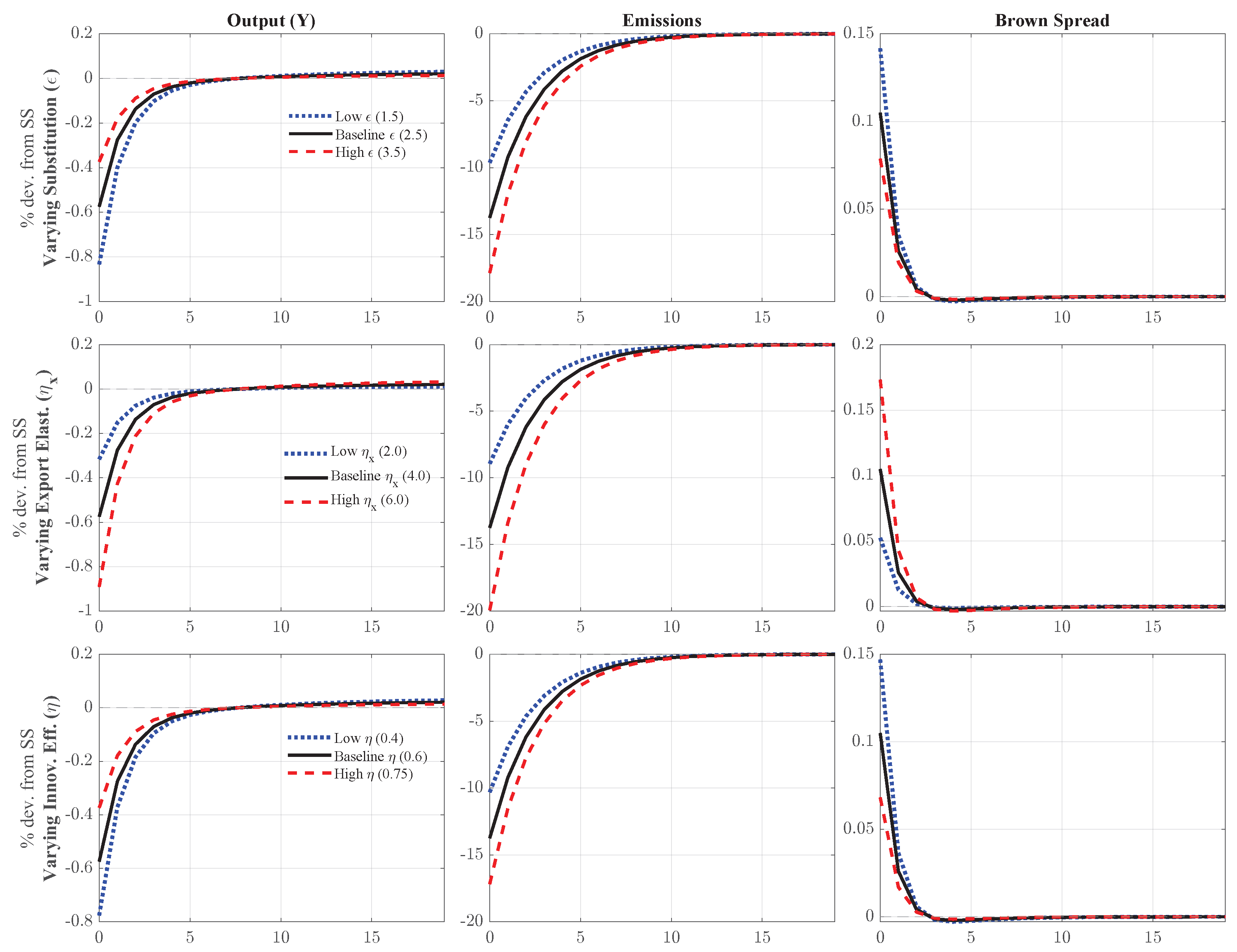
To assess robustness, we vary three elasticities that directly govern the model’s main adjustment margins and re-compute impulse responses to the coordinated domestic carbon pricing shock under CBAM. Throughout this exercise, we change one parameter at a time and keep the remaining parameters fixed at the baseline calibration. We consider alternative values for the substitution elasticity across green and brown bundles, ϵ { 1.5 , 2.5 , 3.5 } ; the export-demand elasticity, η x { 2.0 , 4.0 , 6.0 } ; and the innovation-efficiency elasticity in the green technology law of motion, η { 0.40 , 0.60 , 0.75 } . These ranges are chosen to span lower, baseline, and higher responsiveness in the reallocation, external, and innovation channels without changing the model’s steady-state structure.
Figure 8 summarizes the sensitivity results using three outcomes that map directly to the paper’s core mechanisms. Output captures the near-term macroeconomic cost of adjustment, emissions capture the effectiveness of the transition, and the brown spread captures the role of transition risk in financial amplification. Three patterns stand out. First, higher substitutability across sectors lowers the near-term output loss and yields a larger initial emissions decline, consistent with faster reallocation away from emissions-intensive activity. Second, a higher export-demand elasticity strengthens the effective external constraint created by CBAM, leading to a deeper initial output contraction, a stronger emissions reduction driven by a sharper brown-side adjustment, and a more pronounced spike in the brown spread. Third, higher innovation efficiency improves the transition path by accelerating the green-side expansion, which attenuates the near-term output loss and moderates the spread response while preserving substantial emissions reductions. The qualitative conclusions are robust across all configurations. Coordinated carbon pricing continues to deliver rapid emissions abatement through reallocation, CBAM continues to increase the sensitivity of the transition to external and financial conditions, and the macro-financial amplification channel remains central for understanding near-term adjustment costs.

5. Discussion

This paper studies how coordinated domestic carbon pricing plays out for a small open economy when the external environment is shaped by the EU Carbon Border Adjustment Mechanism (CBAM). The model combines two production blocks with different emissions intensities, a green innovation margin, and a banking sector that prices sector-specific transition risk through credit spreads. The results highlight a coherent set of mechanisms: carbon pricing triggers rapid emissions abatement primarily through reallocation of investment and production; CBAM tightens the external constraint and amplifies near-term adjustment costs; endogenous green innovation speeds the recovery by improving expected returns in the green sector; and financial frictions influence how quickly capital can move across sectors. Financial policy tools that operate on distinct margins, namely targeted green credit and macroprudential compression of systemic risk premia, can therefore complement carbon pricing and improve welfare.

5.1. Relation to Existing CBAM and Macro Transition Models

Our framework is related to three complementary strands of research. First, trade-oriented and institutional analyses of CBAM clarify how border adjustment can address leakage and competitiveness concerns, and they highlight implementation challenges such as measurement and reporting of embedded emissions [6,7,8]. These contributions are essential for policy design, but they typically do not examine how an external carbon border regime alters the macrofinancial adjustment path of domestic carbon pricing. Second, macro-climate DSGE studies characterize how carbon taxes and transition dynamics trade off short-run adjustment costs against longer-run gains, often focusing on the timing of policy and the role of technology change [10,11,13,27]. In most cases, however, border adjustment is absent, and financing conditions are not modeled as an endogenous amplifier of reallocation. Third, a growing macro-financial literature emphasizes that transition risk can affect the cost of external finance and thereby shape investment dynamics [16,17,18]. Our contribution is to integrate these elements in a tractable small open economy setting. By representing CBAM as an emissions-linked export-revenue wedge and embedding a banking sector that prices sector-specific transition risk, the model explains why the same domestic carbon price increase can have different short-run macro costs under different external regimes. It also provides a unified platform for comparing policy packages that operate on distinct margins of the financial system, which is central for interpreting the welfare ranking of green credit, macroprudential policy, and their combination.

5.2. Coordinated Carbon Pricing Under CBAM: Competitiveness, Leakage, and the External Margin

A key message from the impulse responses is that CBAM changes the transition problem even when the domestic carbon price shock is the same. In the domestic-only economy, the carbon price works mainly through relative prices: emissions fall sharply on impact, while aggregate activity weakens temporarily and then recovers as investment and output shift toward the cleaner sector. This pattern is consistent with a broad class of macro-climate models where abatement initially comes from re-optimizing production and investment decisions rather than from slow-moving capital deepening [11,13,33]. Under CBAM, the same domestic shock is followed by a deeper short-run contraction and a larger spike in spreads. The interpretation is that CBAM introduces an additional wedge that reduces export profitability for emissions-intensive activities, weakening cash flows and tightening borrowing constraints. This aligns with economic assessments of border carbon adjustments that emphasize their role in limiting leakage while also shifting adjustment burdens through trade exposure and profitability [34,35,36]. Legal and institutional analyses further stress that CBAM is designed to mirror the carbon cost faced by EU producers and to reduce incentives for emissions relocation, but that its implementation requires credible measurement, reporting, and verification of embedded emissions [4,5,6].
From the perspective of a small open economy, the results suggest that coordinated domestic carbon pricing has an added strategic dimension once CBAM is in place. If domestic pricing is aligned with the carbon cost embedded in export destinations, the economy can reduce the effective external penalty associated with emissions-intensive exports and lower the need for abrupt contraction in brown capital formation. Recent quantitative work on CBAM and supply chains similarly indicates that the incidence of border measures depends on embodied emissions along value chains and on the ability of firms and sectors to substitute toward cleaner inputs and technologies [37]. In this setting, carbon pricing coordination can be interpreted not only as climate policy, but also as a trade-exposure management tool that influences the distribution of adjustment across sectors. A useful way to interpret the framework is that it embeds explicit penalties for remaining carbon intensive, even though these penalties operate through wedges rather than through an additional adoption constraint. Domestically, coordinated carbon pricing raises marginal costs in proportion to embodied emissions, so the emissions-intensive sector faces a larger effective burden, which reduces the relative return to brown capital and increases the attractiveness of cleaner investment. Empirically, higher and more predictable carbon price signals are associated with stronger low-carbon innovation responses and cleaner investment incentives, consistent with this channel [38,39]. Externally, CBAM adds a second penalty-like force by lowering effective export revenue for emissions-intensive goods. By weakening operating cash flows in exposed activities, the CBAM wedge tightens collateral-based borrowing capacity and raises credit spreads, which further discourages high-emissions investment during the transition and reinforces incentives to adjust production and technologies toward lower emissions intensity [40]. When endogenous innovation is active, these same incentives extend to R&D: the wedges jointly shift expected profitability toward cleaner production, increasing the payoff to research spending in the green technology block and strengthening the medium-run expansion of the green sector.
Although our baseline focuses on a small open economy facing exogenous foreign demand, a large economy may generate additional general-equilibrium feedbacks that can change the magnitude and timing of the adjustment. First, export prices and foreign demand need not be taken as given. If a large economy raises its effective carbon price and reduces the supply of emissions-intensive goods, global relative prices may adjust, so part of the CBAM incidence can be shifted through changes in world prices rather than falling one-for-one on domestic profits. Second, terms-of-trade feedback can either buffer or amplify the transition shock. When the large economy accounts for a sizeable share of global supply in carbon-intensive sectors, the contraction in brown output can lift world prices and partially offset the CBAM-related revenue loss; when demand is highly elastic or substitution toward other suppliers is easy, this offset is weaker and the tightening may remain pronounced. Third, CBAM parameters may be partly endogenous to bargaining and recognition mechanisms. In practice, the deduction in carbon prices paid abroad, default values, and sectoral coverage evolve with institutional design, so the linkage and exposure terms in our reduced-form wedge can be interpreted as policy outcomes rather than purely exogenous primitives. The CBAM reduces net export receipts for emissions-intensive activities; it weakens cash flows, tightens collateral constraints, raises sectoral spreads, and slows the reallocation of investment toward cleaner production, even though the quantitative effects may differ in a large-economy setting.

5.3. Innovation as a Transition Stabilizer and an Amplifier of Reallocation

A second message is that green innovation materially changes the time profile of the adjustment. When the green technology frontier responds endogenously, green investment rises more strongly, the recovery in output and investment is faster, and the initial spread response is smaller. The underlying logic resonates with the directed technical change literature, where a persistent price signal shifts research effort toward cleaner technologies, raising future productivity and lowering the macro cost of emissions reductions [13,14]. Empirical evidence from energy and climate policy settings similarly finds that policy incentives and carbon pricing can redirect innovation toward low-carbon technologies, although the magnitude depends on policy design and market structure [15,41,42].
In our results, innovation matters, especially under CBAM, because it improves the economy’s ability to absorb a tighter external constraint without relying predominantly on demand compression. This is consistent with macro perspectives emphasizing that the welfare costs of mitigation depend critically on the speed at which technology and the capital stock can adjust [33,33]. It also offers a practical interpretation of policy complementarity: carbon pricing provides a clear direction for reallocation, while innovation capacity determines how quickly cleaner production can scale up and how much the transition must be carried by a contraction in carbon-intensive activity.
This innovation channel is consistent with recent micro evidence showing that market-based carbon regulation can raise firms’ green innovative output. In particular, emissions trading policies have been found to stimulate firm innovation and improve performance through innovation-related channels [43]. Related evidence also indicates that external carbon regulation can transmit through trade exposure, with the EU emissions trading scheme increasing green patent applications among Chinese exporters serving the EU market [44]. Finally, installation- and firm-level evaluations of the EU emissions trading scheme document meaningful emissions reductions without systematic declines in profitability or employment [45], which is consistent with transition adjustments that rely in part on innovation and reallocation rather than persistent aggregate contraction.

5.4. Financial Frictions, Transition Risk, and the Role of Financial Policy Instruments

The model highlights a financial channel that is increasingly central in the climate policy debate. In the impulse responses, spreads rise on impact and then normalize as balance sheets adjust. When financial frictions are stronger, the same transition shock produces a larger spread spike, a deeper investment contraction, and a slower expansion of green output. This mechanism is consistent with the idea that transition risk is priced in financing conditions and can become a macro-relevant amplifier during episodes of rapid policy-driven reallocation [23,28]. It also echoes evidence from climate finance showing that markets demand compensation for carbon-related exposures and tail risks, which can translate into higher required returns and tighter financing for emissions-intensive firms [16,46].
The policy experiments clarify why green credit and macroprudential policy can be complements. Targeted green credit operates directly on the financing terms of the expanding sector, supporting green investment when demand for reallocation is strongest. Macroprudential policy operates on the systemic component of risk premia, limiting the economy-wide amplification that can arise from synchronized balance-sheet stress. The combined package improves welfare the most in our simulations because it strengthens green capital formation while keeping the transient spread spike contained. This interpretation is aligned with recent macro-financial analyses arguing that climate policy interacts with financial stability considerations and that prudential frameworks can shape the smoothness of the transition [23,28].
These results speak directly to the supervisory and central-bank discussion on climate-related and environmental risks. Guidance documents emphasize that climate risks can affect credit, market, and operational risk, and that banks and supervisors should incorporate such risks into governance, risk management, and stress testing practices [19,20,21]. Complementary scenario work underscores that transition pathways differ sharply in their short-run macro-financial implications, making the management of transition risk a practical policy concern rather than a purely long-run issue [22,47,48]. In this context, the model-based welfare ranking in our policy experiments can be read as a disciplined statement of a broader principle: policies that facilitate reallocation in expanding green activities while preventing systemic balance-sheet feedbacks can reduce the near-term cost of decarbonization without diluting the emissions response.

5.5. Carbon Revenue Recycling and Fiscal Design

Carbon pricing generates fiscal revenue that can be recycled in ways that matter for macroeconomic adjustment and welfare. While lump-sum rebates provide a clean benchmark, recycling through reductions in distortionary taxes can attenuate the near-term output cost by lowering pre-existing wedges, thereby raising consumption-equivalent welfare in general equilibrium settings. Recent quantitative analyses show that the welfare and inequality implications of recycling depend on whether revenues are returned via the tax system or transfers, and that revenue-neutral designs can substantially reshape welfare outcomes even when the carbon-price path is held fixed [49,50]. Related macroeconomic studies also emphasize that combining environmental taxation with fiscal adjustments can change transitional dynamics and the strength of short-run contractions [51,52]. Recycling revenues to support green innovation is particularly relevant in our framework because the transition speed depends on the strength of endogenous technology improvement in the green sector. If a portion of carbon revenues were earmarked to fund green research investment or to subsidize clean innovation, the model would predict a stronger and earlier rise in green productivity, which would reinforce green investment and reduce the macro-financial strain associated with reallocation, especially under CBAM. This mechanism is consistent with recent work highlighting the gains from policy mixes that combine carbon pricing with innovation-oriented instruments and financial conditions that affect clean investment [53,54]. In short, alternative recycling schemes can shift welfare levels and the smoothness of adjustment, while the paper’s main comparative mechanisms remain centered on how CBAM tightens the external constraint and interacts with reallocation, innovation, and credit spreads.

5.6. Welfare Implications and Policy Design Under Policy Interaction

The welfare results summarize these mechanisms in a single metric. Carbon pricing alone delivers the core environmental outcome through reallocation, but it can be associated with avoidable short-run financial volatility and a slower recovery when the banking channel is tight or when CBAM amplifies external stress. Adding green credit improves welfare by financing the sector that needs to scale up. Adding macroprudential regulation improves welfare by lowering the systemic amplification associated with transition risk premia. Combining both yields the largest gain because it addresses both margins simultaneously. A useful way to interpret this finding is that climate policy effectiveness depends on the consistency of the overall policy package. Border measures such as CBAM can strengthen incentives to decarbonize globally, but they also reshape the incidence of adjustment and can raise the premium on domestic policy credibility, measurement capacity, and financial resilience [4,5,55,56]. In such an environment, coordinated domestic carbon pricing that is supported by innovation capacity and complemented by targeted financial and prudential tools can help reconcile three objectives that often conflict during the early phase of a transition: fast emissions reductions, macro stabilization, and financial stability [35,37,57].
Our three policy blocks are stylized, but each is meant to summarize a margin that is already present in current European climate and financial frameworks. First, the green credit instrument captures the effect of concessional or preferential funding for low-carbon investment that is often delivered through public and policy-oriented finance. A concrete example is the European Investment Bank’s role in scaling climate-related lending and transition investment support, which operates in practice by lowering effective financing costs for eligible projects and by relaxing funding constraints for green capital formation [58]. Second, the relevance of taxonomy-based lending is reflected in the EU Taxonomy, which has provided a common classification of environmentally sustainable activities and has increasingly entered bank disclosure, risk assessment, and portfolio allocation. Consistent with this channel, evidence from the syndicated loan market suggests that firms with higher Taxonomy-eligible transitional revenues face lower loan spreads, indicating that financial markets can price Taxonomy-aligned activity through borrowing terms [59]. Third, the macroprudential instrument corresponds to supervisory tools that focus on system-wide resilience during transition episodes, including climate stress testing and capital planning exercises. These frameworks are designed to assess losses and capital adequacy under adverse transition scenarios and to inform supervisory expectations, which are aligned with our representation in which macroprudential policy compresses the systemic component of spreads during the transition [60].
A related limitation concerns welfare measurement. Our benchmark CEV comparisons are designed to rank policy packages by their macroeconomic transition costs and their ability to contain financial amplification, holding the model’s environmental structure fixed. A full social-welfare evaluation would additionally internalize the external benefits of emissions reductions, for example, by incorporating a climate-damage function that links cumulative emissions to output losses or by adding an explicit environmental term to household utility. Such an extension would be useful for quantifying optimal policy levels, but it would require additional calibration of damage parameters and a richer mapping from emissions to climate outcomes. We therefore leave an explicit climate-damage welfare extension for future work, and interpret the reported welfare rankings as transition-welfare comparisons conditional on the policy-induced adjustment path.

5.7. Feasibility, Resource Costs, and Policy Constraints

Green credit support in the model is a representation of policies that lower borrowing costs for qualifying low-carbon investment. In practice, this may take the form of interest subsidies, guarantee schemes, policy-bank credit lines, or central-bank refinancing operations that affect the marginal cost of funding for targeted lending. Such arrangements rely on fiscal resources or quasi-fiscal balance sheets and can create contingent liabilities when public entities absorb part of the credit risk. This motivates interpreting G t as a policy intensity that is ultimately bounded by budget envelopes and by the administrative capacity to define eligibility and verify compliance [61,62,63]. Macroprudential intervention is better interpreted as regulatory and supervisory measures that influence the systemic component of risk premia, for example, through sectoral capital buffers or exposure limits. These instruments typically do not require direct fiscal outlays, but they can entail real economic costs by raising banks’ funding costs and altering credit supply when capital requirements bind [64]. Recent analyses of climate-related capital requirements also emphasize that strengthening resilience can change lending conditions and that feasibility depends on calibration, data availability, and the scope for risk migration outside the regulated banking perimeter [65,66]. In our quantitative experiments, these constraints primarily affect the interpretation of magnitudes rather than the qualitative mechanisms. The policy packages are designed as moderate and temporary interventions that operate on distinct margins, a targeted reduction in the green spread and a compression of the systemic premium. Mapping these mechanisms to a specific jurisdiction would require translating G t and ν M P into explicit budget constraints, capital requirements, or supervisory actions, and accounting for institutional capacity and verification design [61].

5.8. Comparison with Existing CBAM and Carbon-Pricing Macro Models

Our analysis relates to two adjacent quantitative studies that are often studied separately, and the comparison helps clarify what is new conceptually and quantitatively in our framework.
A first strand evaluates CBAM primarily through multi-region trade and general-equilibrium or structural-gravity approaches. These studies emphasize leakage, competitiveness, and heterogeneous incidence across partners and sectors under alternative design choices and implementation rules. For example, quantitative CBAM assessments document that aggregate trade and welfare effects can be modest under certain configurations, yet distributional impacts across exporters can be substantial when embodied emissions differ and when default values or coverage choices bind [67,68,69,70]. Relative to this literature, our objective is complementary. We do not aim to reproduce the full cross-country general-equilibrium incidence of CBAM. Instead, we discipline a tractable exporter-side mechanism in which CBAM enters as an external profitability wedge that is proportional to embodied emissions, and we use this structure to study how the transition path inside the exporting economy is reshaped once the external regime tightens.
A second strand studies carbon pricing and the transition path in dynamic equilibrium macro models, including work that highlights transitional welfare, technology adjustment, and the role of frictions. Recent contributions in macro-finance further emphasize that transition risk can become macro-relevant when it is priced in financing conditions, so that cash-flow deterioration and collateral constraints raise credit spreads and amplify investment dynamics [71,72]. Our framework nests this insight but places it in an open-economy setting where external policy interacts with domestic decarbonization. In particular, the CBAM wedge directly weakens export revenue in exposed activities, which tightens borrowing constraints and raises spreads precisely when the economy must reallocate investment toward the expanding green sector. This open-economy interaction is central for interpreting why similar domestic carbon-pricing moves can have different short-run macro-financial costs under different external regimes.
Seen through this lens, our contribution is twofold. Conceptually, we link CBAM-induced external pressure to a macro-financial amplification channel in a small open economy with two sectors and an innovation margin, so the transition path is determined jointly by relative prices, reallocation, and financing conditions. Quantitatively, our simulations show that CBAM amplifies the impact contraction and the spread spike for a given domestic carbon-pricing shock, while endogenous green innovation and a combined financial package that targets the green spread and the systemic component of spreads can materially smooth the adjustment and improve welfare. The comparison helps position our results as complementary to trade-focused CBAM evaluations and as an open-economy extension of macro-climate and macro-financial transition frameworks.

6. Conclusions

This paper examined how coordinated domestic carbon pricing unfolds in a small open economy when exports are exposed to the EU Carbon Border Adjustment Mechanism. In our framework, carbon pricing reduces emissions quickly by shifting investment and production away from emissions-intensive activity and toward the cleaner sector. The same transition becomes more demanding once CBAM is introduced, because the loss of export revenue in emissions-intensive production weakens cash flows and raises borrowing costs, deepening the near-term contraction. Allowing green technology to improve endogenously changes the adjustment path in an important way, as stronger innovation makes green expansion more responsive and reduces the macro and financial strain associated with reallocation.
The policy experiments show that carbon pricing is more effective and less costly when it is embedded in a coherent package that supports both reallocation and financial resilience. Targeted green credit strengthens investment in the sector that needs to grow, while macroprudential measures reduce the systemic component of risk premia that can amplify transition shocks. Implemented together, these tools deliver a smoother adjustment without undoing the emissions response, and they improve welfare relative to carbon pricing alone. Taken as a whole, the results underline that the sustainability of decarbonization in open economies depends not only on the level of the carbon price, but also on the surrounding innovation capacity, the stability of the financial system, and the external trade regime under which the transition takes place.
Our analysis is intentionally stylized, and several limitations delimit the scope of interpretation. First, firms are representative within each sector, so we abstract from within-sector heterogeneity in productivity, carbon intensity, compliance costs, and entry or exit. In settings where such heterogeneity is salient, CBAM and carbon pricing may trigger stronger selection and within-industry reallocation, potentially altering the timing and the dispersion of adjustment costs. Second, the model features a representative household, so we do not quantify distributional effects across income groups, worker types, or regions. Alternative revenue-recycling rules and credit conditions can generate heterogeneous welfare changes, which may matter for political economy constraints and for the practical design of policy packages. Third, we treat the economy as small and the external regime as exogenous, and we do not model cross-country strategic interactions under CBAM, such as bargaining over recognition, default values, coverage, or retaliatory trade responses. Extending the framework to a multi-country environment with endogenous policy interaction would help quantify how terms-of-trade feedback and strategic behavior reshape the magnitude and incidence of the transition, while preserving the core amplification channel emphasized here. Relatedly, we do not model separate brown-sector innovation paths; incorporating such mechanisms, especially those that lower emissions intensity in high-carbon production, is a natural extension that could refine the relative magnitudes while preserving the core external-wedge-to-cash-flow-to-spreads-to-reallocation channel emphasized in this paper.

Author Contributions

Conceptualization, J.Z. and L.Z.; methodology, J.Z. and L.Z.; software, J.Z.; formal analysis, J.Z.; writing—original draft, J.Z.; writing—review and editing, J.Z. and L.Z.; visualization, J.Z.; supervision, L.Z. All authors have read and agreed to the published version of the manuscript.

Funding

This research received no external funding.

Institutional Review Board Statement

Not applicable.

Informed Consent Statement

Not applicable.

Data Availability Statement

The data presented in this study are available on request from the corresponding author.

Conflicts of Interest

Author Jingwen Zhang was employed by the company China Minsheng Bank. The remaining author declare that the research was conducted in the absence of any commercial or financial relationships that could be construed as a potential conflict of interest.

References

  1. Intergovernmental Panel on Climate Change. Climate Change 2023: Synthesis Report. Contribution of Working Groups I, II and III to the Sixth Assessment Report of the Intergovernmental Panel on Climate Change; Technical Report; IPCC: Geneva, Switzerland, 2023. [Google Scholar]
  2. International Energy Agency. Net Zero Roadmap: A Global Pathway to Keep the 1.5 °C Goal in Reach: 2023 Update; Technical Report; International Energy Agency: Paris, France, 2023. [Google Scholar]
  3. World Bank. State and Trends of Carbon Pricing 2024; Technical Report; World Bank: Washington, DC, USA, 2024. [Google Scholar]
  4. European Union. Regulation (EU) 2023/956 of the European Parliament and of the Council of 10 May 2023 Establishing a Carbon Border Adjustment Mechanism; Official Journal of the European Union; European Union: Brussels, Belgium, 2023. [Google Scholar]
  5. European Commission. Commission Implementing Regulation (EU) 2023/1773 of 17 August 2023 Laying Down Rules for the Application of Regulation (EU) 2023/956 as Regards Reporting Obligations for the Transitional Period; Official Journal of the European Union; European Commission: Brussels, Belgium, 2023. [Google Scholar]
  6. Mehling, M.A.; van Asselt, H.; Das, K.; Dröge, S.; Verkuijl, C. Designing Border Carbon Adjustments for Enhanced Climate Action. Am. J. Int. Law 2019, 113, 433–481. [Google Scholar] [CrossRef]
  7. Cosbey, A.; Dröge, S.; Fischer, C.; Munnings, C. Developing Guidance for Implementing Border Carbon Adjustments: Lessons, Cautions, and Research Needs from the Literature. Rev. Environ. Econ. Policy 2019, 13, 3–22. [Google Scholar] [CrossRef]
  8. Fontagné, L.; Schubert, K. The Economics of Border Carbon Adjustment: Rationale and Impacts of Compensating for Carbon at the Border. Annu. Rev. Econ. 2023, 15, 505–529. [Google Scholar] [CrossRef]
  9. United Nations Conference on Trade and Development. A European Union Carbon Border Adjustment Mechanism: Implications for Developing Countries; Technical Report; UNCTAD: Geneva, Switzerland, 2021. [Google Scholar]
  10. Golosov, M.; Hassler, J.; Krusell, P.; Tsyvinski, A. Optimal Taxes on Fossil Fuel in General Equilibrium. Econometrica 2014, 82, 41–88. [Google Scholar] [CrossRef]
  11. Barrage, L. Optimal Dynamic Carbon Taxes in a Climate–Economy Model with Distortionary Fiscal Policy. Rev. Econ. Stud. 2020, 87, 1–39. [Google Scholar] [CrossRef]
  12. Hassler, J.; Krusell, P.; Olovsson, C. Presidential Address 2020: Suboptimal Climate Policy. J. Eur. Econ. Assoc. 2021, 19, 2895–2928. [Google Scholar] [CrossRef]
  13. Acemoglu, D.; Aghion, P.; Bursztyn, L.; Hemous, D. The Environment and Directed Technical Change. Am. Econ. Rev. 2012, 102, 131–166. [Google Scholar] [CrossRef]
  14. Aghion, P.; Dechezleprêtre, A.; Hemous, D.; Martin, R.; Van Reenen, J. Carbon Taxes, Path Dependency, and Directed Technical Change: Evidence from the Auto Industry. J. Political Econ. 2016, 124, 1–51. [Google Scholar] [CrossRef]
  15. Calel, R.; Dechezleprêtre, A. Environmental Policy and Directed Technological Change: Evidence from the European Carbon Market. Rev. Econ. Stat. 2016, 98, 173–191. [Google Scholar] [CrossRef]
  16. Bolton, P.; Kacperczyk, M. Do Investors Care About Carbon Risk? J. Financ. Econ. 2021, 142, 517–549. [Google Scholar] [CrossRef]
  17. Campiglio, E. Beyond Carbon Pricing: The Role of Banking and Monetary Policy in Financing the Transition to a Low-Carbon Economy. Ecol. Econ. 2016, 121, 220–230. [Google Scholar] [CrossRef]
  18. Dikau, S.; Volz, U. Central Bank Mandates, Sustainability Objectives and the Promotion of Green Finance. Ecol. Econ. 2021, 184, 107022. [Google Scholar] [CrossRef]
  19. European Central Bank. Guide on Climate-Related and Environmental Risks: Supervisory Expectations Relating to Risk Management and Disclosure; Technical Report; European Central Bank: Frankfurt, Germany, 2020. [Google Scholar]
  20. Network for Greening the Financial System. Guide for Supervisors: Integrating Climate-Related and Environmental Risks into Prudential Supervision; Network for Greening the Financial System: Paris, France, 2020. [Google Scholar]
  21. Basel Committee on Banking Supervision. Climate-Related Financial Risks: Measurement Methodologies; Technical Report; Bank for International Settlements: Basel, Switzerland, 2021. [Google Scholar]
  22. Network for Greening the Financial System. NGFS Climate Scenarios for Central Banks and Supervisors; Technical Report; NGFS: Paris, France, 2021. [Google Scholar]
  23. Boehl, G.; Budianto, F.; Takáts, E. The Macroeconomics of Green Transitions; BIS Working Papers 1237; Bank for International Settlements: Basel, Switzerland, 2024. [Google Scholar]
  24. Degryse, H.; Goncharenko, R.; Theunisz, J.; Vádasz, T. When Green Meets Green. J. Corp. Financ. 2023, 78, 102355. [Google Scholar] [CrossRef]
  25. Ho, K.; Wong, A. Effect of climate-related risk on the costs of bank loans: Evidence from syndicated loan markets in emerging economies. Emerg. Mark. Rev. 2023, 55, 100977. [Google Scholar] [CrossRef]
  26. Ehlers, T.; Packer, F.; de Greiff, K. The pricing of carbon risk in syndicated loans: Which risks are priced and why? J. Bank. Financ. 2022, 136, 106180. [Google Scholar] [CrossRef]
  27. Delis, M.D.; de Greiff, K.; Ongena, S. Being stranded with fossil fuel reserves? Climate policy risk and the pricing of bank loans. Financ. Mark. Institut. Instrum. 2024, 33, 239–265. [Google Scholar] [CrossRef]
  28. Chan, Y.T.; Punzi, M.T.; Zhao, H. Green transition and financial stability: The role of green monetary and macroprudential policies and vouchers. Energy Econ. 2024, 132, 107449. [Google Scholar] [CrossRef]
  29. OECD. Towards Interoperable Carbon Intensity Metrics: Assessing and Comparing Selected Data Sources; Technical Report; OECD Publishing: Paris, France, 2025. [Google Scholar]
  30. Ferrari, A.; Landi, V.N. Whatever it takes to save the planet? Central banks and unconventional green policy. Macroecon. Dyn. 2024, 28, 299–324. [Google Scholar] [CrossRef]
  31. Gerali, A.; Neri, S.; Sessa, L.; Signoretti, F.M. Credit and Banking in a DSGE Model of the Euro Area. J. Money Credit. Bank. 2010, 42, 107–141. [Google Scholar] [CrossRef]
  32. European Commission. Carbon Border Adjustment Mechanism; European Commission: Brussels, Belgium, 2024. [Google Scholar]
  33. Hassler, J.; Krusell, P.; Olovsson, C. Directed Technical Change as a Response to Natural-resource Scarcity. J. Political Econ. 2021, 129, 3039–3072. [Google Scholar] [CrossRef]
  34. Branger, F.; Quirion, P. Would Border Carbon Adjustments Prevent Carbon Leakage and Heavy Industry Competitiveness Losses? Insights from a Meta-analysis of Recent Economic Studies. Ecol. Econ. 2014, 99, 29–39. [Google Scholar] [CrossRef]
  35. Böhringer, C.; Fischer, C.; Rosendahl, K.E.; Rutherford, T.F. Potential Impacts and Challenges of Border Carbon Adjustments. Nat. Clim. Change 2022, 12, 22–26. [Google Scholar] [CrossRef]
  36. Clora, F.; Yu, W.; Corong, E. Alternative carbon border adjustment mechanisms in the European Union and international responses: Aggregate and within-coalition results. Energy Policy 2023, 174, 113454. [Google Scholar] [CrossRef]
  37. Dechezleprêtre, A.; Haramboure, A.; Kögel, C.; Lalanne, G.; Yamano, N. Carbon Border Adjustments: The potential effects of the EU CBAM along the supply chain. In OECD Science, Technology and Industry Working Papers; OECD: Paris, France, 2025. [Google Scholar]
  38. Lilliestam, J.; Patt, A.; Bersalli, G. The effect of carbon pricing on technological change for full energy decarbonization: A review of empirical ex-post evidence. Wiley Interdiscip. Rev. Clim. Change 2021, 12, e681. [Google Scholar] [CrossRef]
  39. Feng, T.; Wang, X.; Shi, Y.; Tu, Q. The role of carbon price signal in green innovation: Evidence from China. J. Environ. Manag. 2024, 370, 122787. [Google Scholar] [CrossRef]
  40. Keen, M.; Parry, I.; Roaf, J. Border carbon adjustments: Rationale, design and impact. Fisc. Stud. 2022, 43, 209–234. [Google Scholar] [CrossRef]
  41. Popp, D. Induced Innovation and Energy Prices. Am. Econ. Rev. 2002, 92, 160–180. [Google Scholar] [CrossRef]
  42. Johnstone, N.; Haščič, I.; Popp, D. Renewable Energy Policies and Technological Innovation: Evidence Based on Patent Counts. Environ. Resour. Econ. 2010, 45, 133–155. [Google Scholar] [CrossRef]
  43. Ren, S.; Yang, X.; Hu, Y.; Chevallier, J. Emission trading, induced innovation and firm performance. Energy Econ. 2022, 112, 106157. [Google Scholar] [CrossRef]
  44. Liu, Y.; Lv, P.; Zhao, H. Green innovation through trade: The impact of European Union emissions trading scheme on Chinese exporters. J. Int. Money Financ. 2024, 149, 103215. [Google Scholar] [CrossRef]
  45. Dechezleprêtre, A.; Nachtigall, D.; Venmans, F. The joint impact of the European Union emissions trading system on carbon emissions and economic performance. J. Environ. Econ. Manag. 2023, 118, 102758. [Google Scholar] [CrossRef]
  46. Ilhan, E.; Sautner, Z.; Vilkov, G. Carbon Tail Risk. Rev. Financ. Stud. 2021, 34, 1540–1571. [Google Scholar] [CrossRef]
  47. Roncoroni, A.; Battiston, S.; Escobar-Farfán, L.O.L.; Martinez-Jaramillo, S. Climate Risk and Financial Stability in the Network of Banks and Investment Funds. J. Financ. Stab. 2021, 54, 100870. [Google Scholar] [CrossRef]
  48. Carney, M. Breaking the Tragedy of the Horizon: Climate Change and Financial Stability. Speech at Lloyd’s of London; Bank of England: London, UK, 2015. [Google Scholar]
  49. Wang, J.; Huang, X. The optimal carbon reduction and return strategies under carbon tax policy. Sustainability 2018, 10, 2471. [Google Scholar] [CrossRef]
  50. Budolfson, M.; Dennig, F.; Errickson, F.; Feindt, S.; Ferranna, M.; Fleurbaey, M.; Klenert, D.; Kornek, U.; Kuruc, K.; Méjean, A.; et al. Climate action with revenue recycling has benefits for poverty, inequality and well-being. Nat. Clim. Change 2021, 11, 1111–1116. [Google Scholar] [CrossRef]
  51. Jaimes, R. The dynamic effects of environmental and fiscal policy shocks. Macroecon. Dyn. 2025, 29, e132. [Google Scholar] [CrossRef]
  52. Liu, N.; Yao, X.; Wan, F.; Han, Y. Are tax revenue recycling schemes based on industry-differentiated carbon tax conducive to realizing the double dividend? Energy Econ. 2023, 124, 106814. [Google Scholar] [CrossRef]
  53. Spiganti, A.; Campiglio, E.; Wiskich, A. Clean Innovation, Heterogenous Financing Costs, and the Optimal Climate Policy Mix. J. Environ. Econ. Manag. 2024, 128, 103071. [Google Scholar] [CrossRef]
  54. Mashhadi Rajabi, M. Carbon tax accompanied by a revenue recycling increases Australia’s GDP: A dynamic recursive CGE approach. J. Clean. Prod. 2023, 418, 138187. [Google Scholar] [CrossRef]
  55. Durel, L. Border Carbon Adjustment Compliance and the WTO: The Interactional Evolution of Law. J. Int. Econ. Law 2024, 27, 18–40. [Google Scholar] [CrossRef]
  56. Perdana, S.; Viellé, M.; Oliveira, T.D. The EU Carbon Border Adjustment Mechanism: Implications on Brazilian Energy-intensive Industries. Clim. Policy 2024, 24, 260–273. [Google Scholar] [CrossRef]
  57. Erdogdu, E. The carbon border adjustment mechanism: Opportunities and challenges for non-EU countries. Wiley Interdiscip. Rev. Energy Environ. 2025, 14, e70000. [Google Scholar] [CrossRef]
  58. European Investment Bank. EIB Group Climate Bank Roadmap 2021–2025; Institutional Report; European Investment Bank: Luxembourg, 2020. [Google Scholar]
  59. Sautner, Z.; Yu, J.; Zhong, R.; Zhou, X. The EU Taxonomy and the Syndicated Loan Market. J. Financ. Serv. Res. 2025. [Google Scholar] [CrossRef]
  60. Acharya, V.V.; Berner, R.; Engle, R.; Jung, H.; Stroebel, J.; Zeng, X.; Zhao, Y. Climate stress testing. Annu. Rev. Financ. Econ. 2023, 15, 291–326. [Google Scholar] [CrossRef]
  61. Kedward, K.; Gabor, D.; Ryan-Collins, J. Carrots without sticks: Credit policy and the limits of green central banking. Rev. Int. Political Econ. 2024, 31, 1593–1617. [Google Scholar] [CrossRef]
  62. Zhang, X.; Wang, P.; Xu, Q. Corporate environmental governance under the coordination of fiscal and financial policies: The case of green credit subsidy policy. Financ. Res. Lett. 2024, 64, 105409. [Google Scholar] [CrossRef]
  63. Mardones, C. Economic and environmental effects of financing subsidies for non-conventional renewable energies with a carbon tax: A comparison of intersectoral models. Renew. Energy 2023, 217, 119205. [Google Scholar] [CrossRef]
  64. Ćehajić, J.; Košak, M. Macroprudential measures and developments in bank funding costs. Int. Rev. Financ. Anal. 2021, 78, 101943. [Google Scholar] [CrossRef]
  65. Alessi, L.; Di Girolamo, E.F.; Pagano, A.; Giudici, M.P. Accounting for climate transition risk in banks’ capital requirements. J. Financ. Stab. 2024, 73, 101269. [Google Scholar] [CrossRef]
  66. Narayan, P.K.; Kumar, N. Macroprudential policy and systemic risk in G20 nations. J. Financ. Stab. 2024, 75, 101340. [Google Scholar] [CrossRef]
  67. Bellora, C.; Fontagné, L. EU in search of a Carbon Border Adjustment Mechanism. Energy Econ. 2023, 123, 106703. [Google Scholar] [CrossRef]
  68. Korpar, N.; Larch, M.; Stöllinger, R. The European carbon border adjustment mechanism: A small step in the right direction. Int. Econ. Econ. Policy 2023, 20, 95–138. [Google Scholar] [CrossRef]
  69. Beaufils, T.; Ward, H.; Jakob, M.; Wenz, L. Assessing different European Carbon Border Adjustment Mechanism implementations and their impact on trade partners. Commun. Earth Environ. 2023, 4, 131. [Google Scholar] [CrossRef]
  70. Magacho, G.; Espagne, E.; Godin, A. Impacts of the CBAM on EU trade partners: Consequences for developing countries. Clim. Policy 2024, 24, 243–259. [Google Scholar] [CrossRef]
  71. Carattini, S.; Heutel, G.; Melkadze, G. Climate policy, financial frictions, and transition risk. Rev. Econ. Dyn. 2023, 51, 778–794. [Google Scholar] [CrossRef]
  72. Garcia-Villegas, S.; Martorell, E. Climate transition risk and the role of bank capital requirements. Econ. Model. 2024, 135, 106724. [Google Scholar] [CrossRef]
Figure 1. Baseline IRFs under domestic carbon pricing coordination without CBAM.
Figure 1. Baseline IRFs under domestic carbon pricing coordination without CBAM.
Sustainability 18 02095 g001
Figure 2. IRFs in domestic-only economy and CBAM-constrained economy.
Figure 2. IRFs in domestic-only economy and CBAM-constrained economy.
Sustainability 18 02095 g002
Figure 3. IRFs with endogenous green innovation.
Figure 3. IRFs with endogenous green innovation.
Sustainability 18 02095 g003
Figure 4. IRFs under alternative green-innovation efficiency settings.
Figure 4. IRFs under alternative green-innovation efficiency settings.
Sustainability 18 02095 g004
Figure 5. IRFs under alternative financial friction intensities.
Figure 5. IRFs under alternative financial friction intensities.
Sustainability 18 02095 g005
Figure 6. Policy synergy between carbon pricing alone and financial policy packages.
Figure 6. Policy synergy between carbon pricing alone and financial policy packages.
Sustainability 18 02095 g006
Figure 7. Robustness of impulse responses under alternative CBAM representations.
Figure 7. Robustness of impulse responses under alternative CBAM representations.
Sustainability 18 02095 g007
Figure 8. Sensitivity of impulse responses under CBAM to key elasticities. Each row varies one elasticity at a time while keeping all other parameters at the baseline calibration: substitution elasticity across sectors ( ϵ ), export-demand elasticity ( η x ), and innovation-efficiency elasticity ( η ).
Figure 8. Sensitivity of impulse responses under CBAM to key elasticities. Each row varies one elasticity at a time while keeping all other parameters at the baseline calibration: substitution elasticity across sectors ( ϵ ), export-demand elasticity ( η x ), and innovation-efficiency elasticity ( η ).
Sustainability 18 02095 g008
Table 2. Scenarios and policy experiments.
Table 2. Scenarios and policy experiments.
ScenarioCarbon PricingCBAMGreen TechnologyFinancial FrictionsPolicy Instruments
Baseline economyYesNoExogenousBaselineNone
Endogenous innovationYesNoEndogenousBaselineNone
Under CBAMYesYesExogenousBaselineNone
Innovation efficiencyYesYesHigh/low efficiencyBaselineNone
Financial frictionsYesYesEndogenousHigh/low intensityNone
Policy packagesYesYesEndogenousBaselineGreen credit, macroprudential policy, and combined package
Note: CBAM enters as an export price wedge linked to the domestic effective carbon price. Innovation efficiency refers to the productivity of research in the green technology law of motion.
Table 3. Summary of impact effects across key policy scenarios.
Table 3. Summary of impact effects across key policy scenarios.
Policy ScenarioOutput
( Δ  Y, %)
Emissions
( Δ E , %)
Brown Spread
( Δ s b , pp)
Reference
Baseline (without CBAM) 0.35 12.50 + 0.07 Figure 1
Under CBAM (no financial policies) 0.58 13.75 + 0.11 Figure 2
Under CBAM + Policy Synergy 0.18 16.25 + 0.01 Figure 6
Note: Output and emissions are reported as percentage deviations (%). Credit spreads are reported as percentage point (pp) deviations. The synergy scenario corresponds to the simultaneous application of green credit and macroprudential policies.
Table 4. Welfare comparison across policy regimes.
Table 4. Welfare comparison across policy regimes.
Policy RegimeCEV (%)Welfare RankComment
Carbon pricing only0.0004Benchmark
+ Green credit0.1852Supports green investment and reallocation
+ Macroprudential0.1203Limits spread volatility
Policy mix (credit + macroprudential)0.3451Improves the transition path on both margins
Note: CEV is the permanent percentage increase in consumption that makes the household as well off in the benchmark regime as under the alternative regime. Positive values indicate welfare gains relative to the carbon-pricing-only benchmark.
Disclaimer/Publisher’s Note: The statements, opinions and data contained in all publications are solely those of the individual author(s) and contributor(s) and not of MDPI and/or the editor(s). MDPI and/or the editor(s) disclaim responsibility for any injury to people or property resulting from any ideas, methods, instructions or products referred to in the content.

Share and Cite

MDPI and ACS Style

Zhang, J.; Zhao, L. Domestic Carbon Pricing Coordination Under CBAM: Resource Reallocation, Green Innovation, and Policy Synergy. Sustainability 2026, 18, 2095. https://doi.org/10.3390/su18042095

AMA Style

Zhang J, Zhao L. Domestic Carbon Pricing Coordination Under CBAM: Resource Reallocation, Green Innovation, and Policy Synergy. Sustainability. 2026; 18(4):2095. https://doi.org/10.3390/su18042095

Chicago/Turabian Style

Zhang, Jingwen, and Liuyan Zhao. 2026. "Domestic Carbon Pricing Coordination Under CBAM: Resource Reallocation, Green Innovation, and Policy Synergy" Sustainability 18, no. 4: 2095. https://doi.org/10.3390/su18042095

APA Style

Zhang, J., & Zhao, L. (2026). Domestic Carbon Pricing Coordination Under CBAM: Resource Reallocation, Green Innovation, and Policy Synergy. Sustainability, 18(4), 2095. https://doi.org/10.3390/su18042095

Note that from the first issue of 2016, this journal uses article numbers instead of page numbers. See further details here.

Article Metrics

Back to TopTop