Total Petroleum Hydrocarbons (TPHs) in Groundwater of the Ecuadorian Amazon: Implications for Human Health
Abstract
1. Introduction
2. Materials and Methods
2.1. Study Area
Hydrogeological Context
2.2. Sample Collection
2.3. Physical–Chemical Analysis
2.4. Data Processing and Statistical Analysis
2.5. Health Risk Assessment
3. Results
3.1. Physical Parameters
3.2. Concentration of TPH in Groundwater
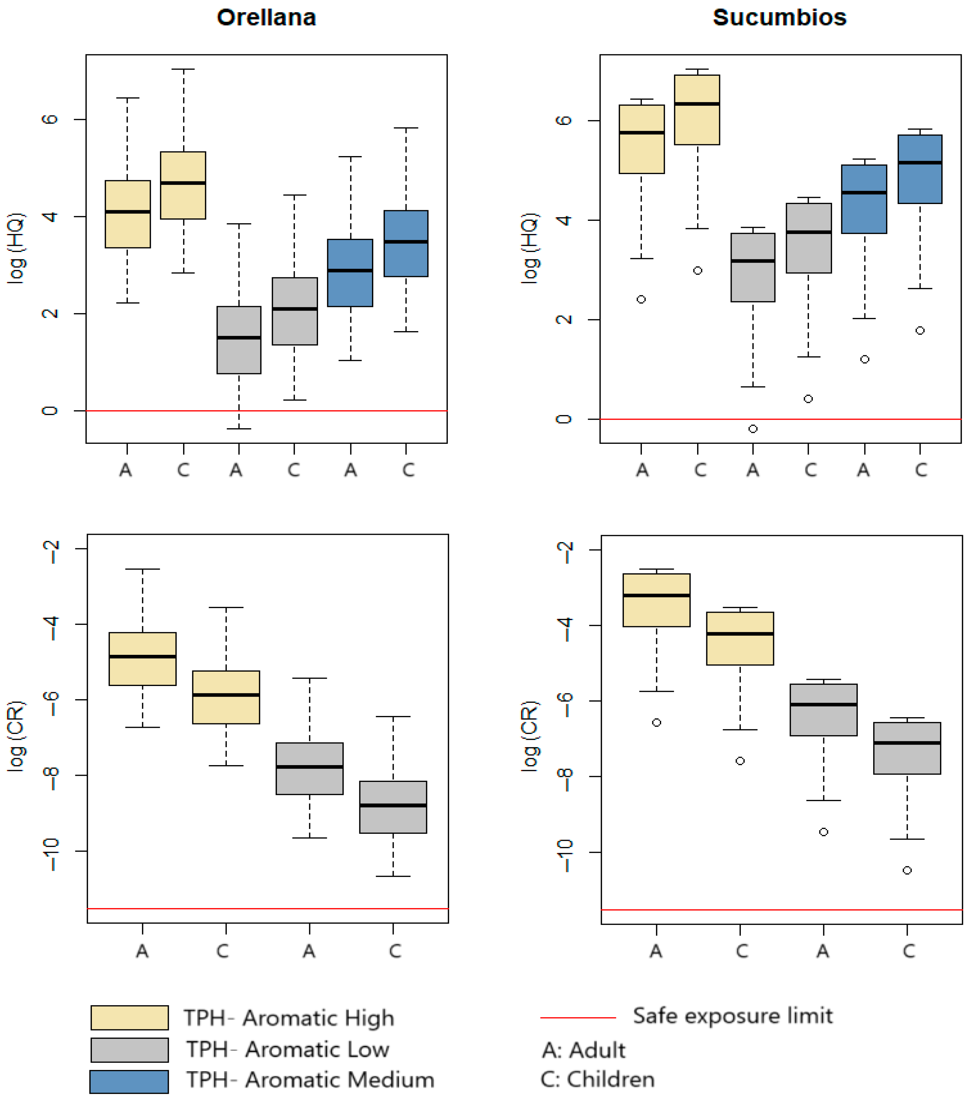
3.3. Risk Assessment
4. Discussion
Intervention Strategies
5. Conclusions
Supplementary Materials
Author Contributions
Funding
Institutional Review Board Statement
Informed Consent Statement
Data Availability Statement
Acknowledgments
Conflicts of Interest
References
- Albert, J.S.; Carnaval, A.C.; Flantua, S.G.A.; Lohmann, L.G.; Ribas, C.C.; Riff, D.; Carrillo, J.D.; Fan, Y.; Figueiredo, J.J.P.; Guayasamin, J.M.; et al. Human Impacts Outpace Natural Processes in the Amazon. Science 2023, 379, eabo5003. [Google Scholar] [CrossRef]
- Vieira, I.C.G.; Toledo, P.M.; Silva, J.M.C.; Higuchi, H. Deforestation and Threats to the Biodiversity of Amazonia. Braz. J. Biol. 2008, 68, 949–956. [Google Scholar] [CrossRef] [PubMed]
- Bernex, N. L’Amazonie Péruvienne Entre Intégration et Dégradation. Probl. Am. Lat. 2013, 88, 95–121. [Google Scholar] [CrossRef]
- Sonter, L.J.; Herrera, D.; Barrett, D.J.; Galford, G.L.; Moran, C.J.; Soares-Filho, B.S. Mining Drives Extensive Deforestation in the Brazilian Amazon. Nat. Commun. 2017, 8, 1013. [Google Scholar] [CrossRef] [PubMed]
- Vásquez, P. Indigenous Peoples and Natural Resource Development. In Oil Sparks in the Amazon; University of Georgia Press: Athens, GA, USA, 2014; pp. 36–52. [Google Scholar] [CrossRef]
- Maurice, L.; López, F.; Becerra, S.; Jamhoury, H.; Le Menach, K.; Dévier, M.H.; Budzinski, H.; Prunier, J.; Juteau-Martineau, G.; Ochoa-Herrera, V.; et al. Drinking Water Quality in Areas Impacted by Oil Activities in Ecuador: Associated Health Risks and Social Perception of Human Exposure. Sci. Total Environ. 2019, 690, 1203–1217. [Google Scholar] [CrossRef]
- Mestanza-Ramón, C.; Jiménez-Oyola, S.; Montoya, A.V.G.; Vizuete, D.D.C.; D’Orio, G.; Cedeño-Laje, J.; Straface, S. Assessment of Hg Pollution in Stream Waters and Human Health Risk in Areas Impacted by Mining Activities in the Ecuadorian Amazon. Environ. Geochem. Health 2023, 45, 7183–7197. [Google Scholar] [CrossRef]
- Passarelli, I.; Villacis Verdesoto, M.V.; Jiménez-Oyola, S.; Flores Huilcapi, A.G.; Mora-Silva, D.; Anfuso, G.; Esparza Parra, J.F.; Jimenez-Gutierrez, M.; Carrera Almendáriz, L.S.; Avalos Peñafiel, V.G.; et al. Analysis of Mercury in Aquifers in Gold Mining Areas in the Ecuadorian Amazon and Its Associated Risk for Human Health. Toxics 2024, 12, 162. [Google Scholar] [CrossRef]
- Capparelli, M.V.; Moulatlet, G.M.; de Souza Abessa, D.M.; Lucas-Solis, O.; Rosero, B.; Galarza, E.; Tuba, D.; Carpintero, N.; Ochoa-Herrera, V.; Cipriani-Avila, I. An Integrative Approach to Identify the Impacts of Multiple Metal Contamination Sources on the Eastern Andean Foothills of the Ecuadorian Amazonia. Sci. Total Environ. 2020, 709, 136088. [Google Scholar] [CrossRef]
- Barraza, F.; Maurice, L.; Uzu, G.; Becerra, S.; López, F.; Ochoa-Herrera, V.; Ruales, J.; Schreck, E. Distribution, Contents and Health Risk Assessment of Metal(Loid)s in Small-Scale Farms in the Ecuadorian Amazon: An Insight into Impacts of Oil Activities. Sci. Total Environ. 2018, 622–623, 106–120. [Google Scholar] [CrossRef]
- Muthukumar, B.; Surya, S.; Sivakumar, K.; AlSalhi, M.S.; Rao, T.N.; Devanesan, S.; Arunkumar, P.; Rajasekar, A. Influence of Bioaugmentation in Crude Oil Contaminated Soil by Pseudomonas Species on the Removal of Total Petroleum Hydrocarbon. Chemosphere 2023, 310, 136826. [Google Scholar] [CrossRef]
- Akinola, J.O.; Olawusi-Peters, O.O.; Apkambang, V.O.E. Human Health Risk Assessment of TPHs in Brackish Water Prawn (Nematopalaemon hastatus, AURIVILLUS, 1898). Heliyon 2020, 6, e03234. [Google Scholar] [CrossRef] [PubMed]
- Lee, T.H.; Cao, W.Z.; Tsang, D.C.W.; Sheu, Y.T.; Shia, K.F.; Kao, C.M. Emulsified Polycolloid Substrate Biobarrier for Benzene and Petroleum-Hydrocarbon Plume Containment and Migration Control—A Field-Scale Study. Sci. Total Environ. 2019, 666, 839–848. [Google Scholar] [CrossRef] [PubMed]
- United States Environmental Protection Agency. Polycyclic Aromatic Hydrocarbons (PAHs). Available online: https://nepis.epa.gov/Exe/ZyNET.exe/P1015YQB.txt?ZyActionD=ZyDocument&Client=EPA&Index=2006%20Thru%202010&Docs=&Query=&Time=&EndTime=&SearchMethod=1&TocRestrict=n&Toc=&TocEntry=&QField=&QFieldYear=&QFieldMonth=&QFieldDay=&UseQField=&IntQFieldOp=0&ExtQFieldOp=0&XmlQuery=&File=D%3A%5CZYFILES%5CINDEX%20DATA%5C06THRU10%5CTXT%5C00000050%5CP1015YQB.txt&User=ANONYMOUS&Password=anonymous&SortMethod=h%7C-&MaximumDocuments=1&FuzzyDegree=0&ImageQuality=r75g8/r75g8/x150y150g16/i425&Display=hpfr&DefSeekPage=&SearchBack=ZyActionL&Back=ZyActionS&BackDesc=Results%20page&MaximumPages=1&ZyEntry=1 (accessed on 21 January 2025).
- Ossai, I.C.; Ahmed, A.; Hassan, A.; Hamid, F.S. Remediation of Soil and Water Contaminated with Petroleum Hydrocarbon: A Review. Environ. Technol. Innov. 2020, 17, 100526. [Google Scholar] [CrossRef]
- Xiao, X.; He, X.; Ji, C.; Li, L.; Zhou, M.; Yin, X.; Shan, Y.; Wang, M.; Zhao, Y. Activation of Persulfate by G-C3N4/NZVI@SBC for Degradation of Total Petroleum Hydrocarbon in Groundwater. J. Environ. Manage. 2024, 356, 120612. [Google Scholar] [CrossRef]
- Agency for Toxic Substances and Disease Registry (ATSDR). Toxicological Profile for Total Petroleum Hydrocarbons (TPH); U.S. Department of Health and Human Services, Public Health Service: Atlanta, GA, USA, 1999.
- Zhao, X.; Gao, J.; Zhai, L.; Yu, X.; Xiao, Y. Recent Evidence on Polycyclic Aromatic Hydrocarbon Exposure. Healthcare 2023, 11, 1958. [Google Scholar] [CrossRef]
- Snyder, R. Leukemia and Benzene. Int. J. Environ. Res. Public Health 2012, 9, 2875–2893. [Google Scholar] [CrossRef]
- Kim, K.-H.; Jahan, S.A.; Kabir, E.; Brown, R.J.C. A Review of Airborne Polycyclic Aromatic Hydrocarbons (PAHs) and Their Human Health Effects. Environ. Int. 2013, 60, 71–80. [Google Scholar] [CrossRef]
- Webb, J.; Coomes, O.T.; Mergler, D.; Ross, N.A. Levels of 1-Hydroxypyrene in Urine of People Living in an Oil Producing Region of the Andean Amazon (Ecuador and Peru). Int. Arch. Occup. Environ. Health 2018, 91, 105–115. [Google Scholar] [CrossRef]
- World Health Organization (WHO). Petroleum Products in Drinking-Water Background Document for Development of WHO Guidelines for Drinking-Water Quality; World Health Organization (WHO): Geneva, Switzerland, 2008. [Google Scholar]
- Rosales, R.M.; Martínez-Pagán, P.; Faz, A.; Bech, J. Study of Subsoil in Former Petrol Stations in SE of Spain: Physicochemical Characterization and Hydrocarbon Contamination Assessment. J. Geochem. Explor. 2014, 147, 306–320. [Google Scholar] [CrossRef]
- Pinedo, J.; Ibáñez, R.; Lijzen, J.P.A.; Irabien, Á. Assessment of Soil Pollution Based on Total Petroleum Hydrocarbons and Individual Oil Substances. J. Environ. Manag. 2013, 130, 72–79. [Google Scholar] [CrossRef]
- Hemati, S.; Heidari, M.; Momenbeik, F.; Khodabakhshi, A.; Fadaei, A.; Farhadkhani, M.; Mohammadi-Moghadam, F. Co-Occurrence of Polycyclic Aromatic Hydrocarbons and Heavy Metals in Various Environmental Matrices of a Chronic Petroleum Polluted Region in Iran; Pollution Characterization, and Assessment of Ecological and Human Health Risks. J. Hazard. Mater. 2024, 478, 135504. [Google Scholar] [CrossRef] [PubMed]
- Enuneku, A.A.; Anani, O.A.; Job, O.; Kubeyinje, B.F.; Ogbomida, E.T.; Asemota, C.O.; Okpara, B.; Imoobe, T.; Ezemonye, L.I.; Oluwaseun, A.C.; et al. Mapping Soil Susceptibility to Crude Oil Pollution in the Region of Delta, South-South Nigeria: A Proportional Study of Environmetrics, Health, Ecological Risks, and Geospatial Evaluation. Sci. Afr. 2021, 14, e01012. [Google Scholar] [CrossRef]
- Oni, A.A.; Babalola, S.O.; Adeleye, A.D.; Olagunju, T.E.; Amama, I.A.; Omole, E.O.; Adegboye, E.A.; Ohore, O.G. Non-Carcinogenic and Carcinogenic Health Risks Associated with Heavy Metals and Polycyclic Aromatic Hydrocarbons in Well-Water Samples from an Automobile Junk Market in Ibadan, SW-Nigeria. Heliyon 2022, 8, e10688. [Google Scholar] [CrossRef] [PubMed]
- Ugochukwu, U.C.; Ochonogor, A.; Jidere, C.M.; Agu, C.; Nkoloagu, F.; Ewoh, J.; Okwu-Delunzu, V.U. Exposure Risks to Polycyclic Aromatic Hydrocarbons by Humans and Livestock (Cattle) Due to Hydrocarbon Spill from Petroleum Products in Niger-Delta Wetland. Environ. Int. 2018, 115, 38–47. [Google Scholar] [CrossRef]
- Bebeteidoh, O.L.; Kometa, S.; Pazouki, K.; Norman, R. Sustained Impact of the Activities of Local Crude Oil Refiners on Their Host Communities in Nigeria. Heliyon 2020, 6, e04000. [Google Scholar] [CrossRef]
- Fei-Baffoe, B.; Badu, E.; Miezah, K.; Adjiri Sackey, L.N.; Sulemana, A.; Yahans Amuah, E.E. Contamination of Groundwater by Petroleum Hydrocarbons: Impact of Fuel Stations in Residential Areas. Heliyon 2024, 10, e25924. [Google Scholar] [CrossRef]
- Durango-Cordero, J.; Saqalli, M.; Bonilla-Bedoya, S.; Elger, A. Vulnerability Assessment of Natural Heritage in the North-Eastern Ecuadorian Amazon Using Land Use Cover and Nature Protection Status. J. Nat. Conserv. 2024, 81, 126686. [Google Scholar] [CrossRef]
- San Sebastián, M.; Armstrong, B.; Córdoba, J.A.; Stephens, C. Exposures and Cancer Incidence near Oil Fields in the Amazon Basin of Ecuador. Occup. Environ. Med. 2001, 58, 517–522. [Google Scholar] [CrossRef]
- Rosell-Melé, A.; Moraleda-Cibrián, N.; Cartró-Sabaté, M.; Colomer-Ventura, F.; Mayor, P.; Orta-Martínez, M. Oil Pollution in Soils and Sediments from the Northern Peruvian Amazon. Sci. Total Environ. 2018, 610–611, 1010–1019. [Google Scholar] [CrossRef]
- Corral-García, L.S.; Molina, M.C.; Bautista, L.F.; Simarro, R.; Espinosa, C.I.; Gorines-Cordero, G.; González-Benítez, N. Bacterial Diversity in Old Hydrocarbon Polluted Sediments of Ecuadorian Amazon River Basins. Toxics 2024, 12, 119. [Google Scholar] [CrossRef]
- Pigrau, A. The Texaco-Chevron Case in Ecuador: Law and Justice in the Age of Globalization. Rev. Catalana Dret Ambient. 2014, 5, 1–43. [Google Scholar] [CrossRef]
- Joseph, S. Protracted Lawfare: The Tale of Chevron Texaco in the Amazon. J. Hum. Rights Environ. 2012, 3, 70–91. [Google Scholar] [CrossRef]
- Serrano, H. Caso Chevron-Texaco Cuando Los Pueblos Toman La Palabra; Universidad Andina Simón Bolívar: Quito, Ecuador, 2013. [Google Scholar]
- Arellano, P.; Tansey, K.; Balzter, H.; Tellkamp, M. Plant Family-Specific Impacts of Petroleum Pollution on Biodiversity and Leaf Chlorophyll Content in the Amazon Rainforest of Ecuador. PLoS ONE 2017, 12, e0169867. [Google Scholar] [CrossRef] [PubMed]
- Centeno-Bordones, G.; Labrador, H.; Lara, G.; Jiménez, Y. Eficiencia En La Reducción de Materia Orgánica Petrolera Combinando Procesos de Oxidación Avanzada Solar y El Reactor Biológico de Una PTAR. Ing. Agua 2021, 25, 257–270. [Google Scholar] [CrossRef]
- Espinosa, C.I.; Reyes-Bueno, F.; Ramírez, M.I.; Arévalo, A.P.; Bailon-Moscoso, N.; Duncan, D.H. Vulnerability of Human Populations to Contamination from Petroleum Exploitation in the Napo River Basin: An Approach for Spatially Explicit Risk Assessment. Sustainability 2021, 13, 9230. [Google Scholar] [CrossRef]
- López-Hernández, D.; Hernández, C.; Liendo, F.; Urich, J.; Vallejo-Torres, O. Efectos de Las Aguas Residuales de Pozos Petroleros Sobre Los Suelos de Sabanas Ubicadas Cerca de El Furrial, Estado Monagas, Venezuela. Rev. Int. Contam. Ambient. 2020, 36, 835–845. [Google Scholar] [CrossRef]
- Alonso, S.G.; Esteban-Hernández, J.; Rivera, Y.V.; Hernández-Barrera, V.; Gil De Miguel, Á. Contaminación del Agua en Fuentes Cercanas a Campos Petrolíferos de Bolivia; Revista Panamericana de Salud Pública: Washington, DC, USA; Volume 28.
- Brice, C.E. The Detection of Amazonian Manatees (Trichechus inunguis) Using Side-Scan Sonar and the Effect of Oil Activities on Their Habitats in Eastern Ecuador; Nova Southeastern University, Oceanographic Center: Davie, FL, USA, 2014. [Google Scholar]
- Wernersson, A.-S. Aquatic Ecotoxicity Due to Oil Pollution in the Ecuadorian Amazon. Aquat. Ecosyst. Health Manag. 2004, 7, 127–136. [Google Scholar] [CrossRef]
- De la Cadena, E.; Camacho, M.; Vaca, F.; Enríquez, S.; Eleizalde, M.C.; Arrivillaga-Henríquez, J.; Mendoza, M.; Navarro, J.C.; Ramírez-Iglesias, J.R. Molecular Identification of Trypanosoma Theileri in Cattle from the Ecuadorian Amazon. Vet. Parasitol. Reg. Stud. Rep. 2023, 37, 100824. [Google Scholar] [CrossRef]
- Instituto Nacional de Estadística y Censos (INEC). Población Total y Tasa de Crecimiento; Instituto Nacional de Estadística y Censos (INEC): Quito, Ecuador, 2023; Available online: https://www.censoecuador.gob.ec/wp-content/uploads/2023/09/InfoNacionalDatos.pdf (accessed on 25 January 2025).
- Rosário, F.F.d.; Custodio, E.; da Silva, G.C., Jr. Hydrogeology of the Western Amazon Aquifer System (WAAS). J. South Am. Earth Sci. 2016, 72, 375–386. [Google Scholar] [CrossRef]
- Secretaría del Agua (SENAGUA). Hydrogeological Map of Ecuador (Scale 1:250,000); Secretaría del Agua (SENAGUA): Quito, Ecuador, 2024. [Google Scholar]
- Miao, T.; Sihota, N.; Pfeifer, F.; McDaniel, C.; De Gea Neves, M.; Siesler, H.W. Rapid Determination of the Total Petroleum Hydrocarbon Content of Soils by Handheld Fourier Transform Near-Infrared Spectroscopy. Anal. Chem. 2023, 95, 6888–6893. [Google Scholar] [CrossRef]
- Simion, A.F.; Găman, A.N.; Lăutaru, V.A. Analysis of Total Content of Petroleum Products in Water by Using FTIR Spectroscopy. MATEC Web Conf. 2022, 373, 00063. [Google Scholar] [CrossRef]
- Forrester, S.; Janik, L.; Mclaughlin, M.; Csiro, A.A. An Infrared Spectroscopic Test for Total Petroleum Hydrocarbon (TPH) Contamination in Soils. In Proceedings of the 2010 19th World Congress of Soil Science, Soil Solutions for a Changing World, Brisbane, Australia, 1–6 August 2010. [Google Scholar]
- Vershinin, V.I.; Petrov, S.V. The Estimation of Total Petroleum Hydrocarbons Content in Waste Water by IR Spectrometry with Multivariate Calibrations. Talanta 2016, 148, 163–169. [Google Scholar] [CrossRef] [PubMed]
- R Core Team. R: A Language and Environment for Statistical Computing; R Foundation for Statistical Computing: Vienna, Austria, 2023. [Google Scholar]
- USEPA. Risk Assessment Guidance for Superfund Volume I: Human Health Evaluation Manual (Part E). Supplemental Guidance for Dermal Risk Assessment; USEPA: Washington, DC, USA, 2004. [Google Scholar]
- USEPA. USEPA; Risk Assessment Guidance for Superfund (RAGS) Volume III (Part A). Process for Conducting Probabilistic Risk Assessment; Washington, DC, USA, 2001. [Google Scholar]
- USEPA (United States Enviromental Protection Agency). Exposure Factors Handbook: 2011 Edition; USEPA: Washington, DC, USA, 2011. Available online: www.epa.gov (accessed on 25 May 2025).
- RAIS. Risk Assessment Information System. Available online: https://rais.ornl.gov (accessed on 3 December 2025).
- MAATE. Texto Unificado de Legislación Secundaria Del Ministerio Del Ambiente (TULSMA), 2015.
- Interstate Technology & Regulatory Council (ITRC). TPH Risk Evaluation at Petroleum-Contaminated Sites. Available online: https://tphrisk-1.itrcweb.org/ (accessed on 11 February 2026).
- Bai, J.; Jiang, J.; Yan, Z.; Wang, Q.; Zhang, C.; Yang, P.; Yang, M. Distribution, Migration, and Segmented Risk Assessment of the Total Petroleum Hydrocarbons in Soil, Groundwater, and Soil Gas at an Oil Refinery. Reg. Stud. Mar. Sci. 2024, 77, 103714. [Google Scholar] [CrossRef]
- Ajeh, E.A.; Kayode, O.O.; Omoregie, I.P. Comparative Analysis of Groundwater Quality Statuses and Associated Health Risk Indices of Metals and Total Hydrocarbons at Locations of Tank Farm in Delta State, Nigeria. Toxicol. Rep. 2022, 9, 404–421. [Google Scholar] [CrossRef]
- Chiu, H.Y.; Hong, A.; Lin, S.L.; Surampalli, R.Y.; Kao, C.M. Application of Natural Attenuation for the Control of Petroleum Hydrocarbon Plume: Mechanisms and Effectiveness Evaluation. J. Hydrol. 2013, 505, 126–137. [Google Scholar] [CrossRef]
- Ihunwo, O.C.; Onyema, M.O.; Wekpe, V.O.; Okocha, C.; Shahabinia, A.R.; Emmanuel, L.; Okwe, V.N.; Lawson, C.B.; Mmom, P.C.; Dibofori-Orji, A.N.; et al. Ecological and Human Health Risk Assessment of Total Petroleum Hydrocarbons in Surface Water and Sediment from Woji Creek in the Niger Delta Estuary of Rivers State, Nigeria. Heliyon 2021, 7, e07689. [Google Scholar] [CrossRef]
- Ahiamadu, N.M.; Nwaogazie, I.L.; Momoh, Y.O.L. Human Health Risk Assessment of Crude Oil Polluted Soil, Surface & Groundwater Sources in Emohua, Rivers State, Nigeria. Int. J. Environ. Clim. Change 2021, 11, 7–16. [Google Scholar] [CrossRef]
- United States Environmental Protection (EPA). National Primary Drinking Water Regulations; U.S. Environmental Protection Agency: Washington, DC, USA, 2025.
- Ministerio del Ambiente, Agua y Transición Ecológica (MAATE). Texto Unificado de Legislación Secundaria del Medio Ambiente; MAATE: Quito, Ecuador, 2023. [Google Scholar]
- Pinto, A.B.; Pagnocca, F.C.; Pinheiro, M.A.A.; Fontes, R.F.C.; de Oliveira, A.J.F.C. Heavy Metals and TPH Effects on Microbial Abundance and Diversity in Two Estuarine Areas of the Southern-Central Coast of São Paulo State, Brazil. Mar. Pollut. Bull. 2015, 96, 410–417. [Google Scholar] [CrossRef]
- Johnston, J.E.; Lim, E.; Roh, H. Impact of Upstream Oil Extraction and Environmental Public Health: A Review of the Evidence. Sci. Total Environ. 2019, 657, 187–199. [Google Scholar] [CrossRef]
- Hurtig, A.-K.; San Sebastián, M. Geographical Differences in Cancer Incidence in the Amazon Basin of Ecuador in Relation to Residence near Oil Fields. Int. J. Epidemiol. 2002, 31, 1021–1027. [Google Scholar] [CrossRef][Green Version]
- Hurtig, A.-K.; Sebastián, M.S. Incidence of Childhood Leukemia and Oil Exploitation in the Amazon Basin of Ecuador. Int. J. Occup. Environ. Health 2004, 10, 245–250. [Google Scholar] [CrossRef]
- Sattar, S.; Hussain, R.; Shah, S.M.; Bibi, S.; Ahmad, S.R.; Shahzad, A.; Zamir, A.; Rauf, Z.; Noshad, A.; Ahmad, L. Composition, Impacts, and Removal of Liquid Petroleum Waste through Bioremediation as an Alternative Clean-up Technology: A Review. Heliyon 2022, 8, e11101. [Google Scholar] [CrossRef]
- Liu, H.; Chen, L.; Wang, E.T.; Liu, Y.; Zhang, L.; Zhao, K.; Gu, Y.; Yu, X.; Ma, M.; Penttinen, P.; et al. Combined Microbial Consortium Inoculation and Black Locust Planting Is Effective in the Bioremediation of Waste Drill Cuttings. Front. Microbiol. 2020, 11, 536787. [Google Scholar] [CrossRef]
- Chojnacka, K.; Moustakas, K.; Mikulewicz, M. The Combined Rhizoremediation by a Triad: Plant-Microorganism-Functional Materials. Environ. Sci. Pollut. Res. 2023, 30, 90500–90521. [Google Scholar] [CrossRef]
- Chira, P.; Mendes, R.; Ferrari, S.; Rocha, C.; da Silva, E.; Farias, J.; do Carmo, R. Groundwater Contamination by Gas Stations in Two Eastern Amazonian Towns (Northern Brazil). Appl. Sci. 2024, 14, 5529. [Google Scholar] [CrossRef]



| Parameter | Units | Point Value | p95 | References |
|---|---|---|---|---|
| EF_adult and children | day/year | - | 365 | U.S. EPA Exposure Factors Handbook [56] |
| IR_adult | L/day | - | 2.0 | |
| IR_children | L/day | - | 1.7 | |
| ED_adult | Year | 30 | - | |
| ED_children | Year | 6 | - | |
| Bw_adult | Kg | - | 78.73 | |
| Bw_chindren | Kg | - | 36.95 a | |
| AT_no cancer | Day | 365 × ED | - | Risk Assessment Information System website [57] |
| AT_cancer | Day | 365 × 70 | - | |
| RfD (TPH-Aromatic High) | mg/kg-day | 0.0003 | - | |
| RfD (TPH-Aromatic Low) | mg/kg-day | 0.004 | - | |
| RfD (TPH-Aromatic Medium) | mg/kg-day | 0.001 | - | |
| SF (TPH-Aromatic High) | 1/mg/kg-day | 1.0 | - | |
| SF (TPH-Aromatic Low) | 1/mg/kg-day | 0.055 | - |
| Province | pH | TDS (mg/L) | EC (μS/cm) | T (°C) | |
|---|---|---|---|---|---|
| Orellana | Min | 5.40 | 0.80 | 2.00 | 19.91 |
| p50 | 6.65 | 2.29 | 183.00 | 27.72 | |
| p95 | 7.88 | 9.22 | 432.50 | 36.24 | |
| Max | 8.47 | 11.78 | 556.00 | 38.88 | |
| SD | 0.53 | 2.57 | 123.43 | 3.65 | |
| Sucumbíos | Min | 4.96 | 1.00 | 4.00 | 22.60 |
| p50 | 6.71 | 4.46 | 89.00 | 28.31 | |
| p95 | 8.21 | 8.78 | 275.60 | 34.08 | |
| Max | 8.72 | 233.00 | 465.00 | 46.30 | |
| SD | 0.80 | 45.65 | 90.58 | 3.41 |
| Province | n | Min | p50 | p95 | Max | S.D. |
|---|---|---|---|---|---|---|
| Orellana | 77 | 0.11 | 0.71 | 2.87 | 7.30 | 1.38 |
| Sucumbíos | 84 | 0.13 | 3.75 | 7.30 | 7.45 | 2.51 |
| Risk Assessment | Orellana | Sucumbíos | ||
|---|---|---|---|---|
| Non-cancer risk (HQ) | HQ_adults | HQ_children | HQ_adults | HQ_children |
| (Min–Max) | (Min–Max) | (Min–Max) | (Min–Max) | |
| S.D. | S.D. | S.D. | S.D. | |
| TPH-Aromatic High | (6.18 × 102–9.31 × 100) | (1.12 × 103–1.69 × 101) | (6.31 × 102–1.10 × 101) | (1.14 × 103–1.99 × 101) |
| 1.16 × 102 | 2.11 × 102 | 2.13 × 102 | 3.86 × 102 | |
| TPH-Aromatic Low | (4.64 × 101–6.99 × 10−1) | (8.40 × 101–1.27 × 100) | (4.73 × 101–8.26 × 10−1) | (8.57 × 101–1.50 × 100) |
| 8.74 × 100 | 1.58 × 101 | 1.60 × 101 | 2.89 × 101 | |
| TPH-Aromatic Medium | (1.85 × 102–2.79 × 100) | (3.36 × 102–5.06 × 100) | (1.89 × 102–3.30 × 100) | (3.43 × 102–5.98 × 100) |
| 3.49 × 101 | 6.33 × 101 | 6.39 × 101 | 1.16 × 102 | |
| Cancer risk (CR) | CR_adults | CR_children | CR_adults | CR_children |
| (Min–Max) | (Min–Max) | (Min–Max) | (Min–Max) | |
| S.D. | S.D. | S.D. | S.D. | |
| TPH-Aromatic High | (7.95 × 10−2–1.20 × 10−3) | (2.88 × 10−2–4.34 × 10−4) | (8.11 × 10−2–1.42 × 10−3) | (2.94 × 10−2–5.13 × 10−4) |
| 1.50 × 10−2 | 5.42 × 10−3 | 2.74 × 10−2 | 9.91 × 10−3 | |
| TPH-Aromatic Low | (4.37 × 10−3–6.59 × 10−5) | (1.58 × 10−3–2.39 × 10−5) | (4.46 × 10−3–7.78 × 10−5) | (1.62 × 10−3–2.82 × 10−5) |
| 8.24 × 10−4 | 2.98 × 10−4 | 1.51 × 10−3 | 5.45 × 10−4 | |
| Region/Study | Environmental Matrix | TPH Concentration | Main Health Risk Findings |
|---|---|---|---|
| This study (Ecuadorian Amazon) | Groundwater | 0.11–7.45 mg/L | Non-carcinogenic and carcinogenic risk levels exceeded reference thresholds |
| Ecuador (Northeastern Amazon) [32] | Surface water | 1–28.8 mg/L | Potential chronic exposure risk |
| Nigeria (oil-impacted areas) [66] | Groundwater | 0.010–11.6 mg/L | Non-carcinogenic and carcinogenic risk levels exceeded reference thresholds |
| Nigeria [65] | Surface water | up to 3.64 mg/L | Low non-carcinogenic risk, with HQ values below the threshold for both children and adults. |
| China (oil refinery/industrial areas) [60] | Soil, groundwater, and soil gas (site-specific assessment) | TPH (C6–C9): 48.55 mg/L TPH (C10–C40): 30.1 mg/L | Non-carcinogenic risk exceeded reference threshold for aliphatic fractions (C10–C16) |
Disclaimer/Publisher’s Note: The statements, opinions and data contained in all publications are solely those of the individual author(s) and contributor(s) and not of MDPI and/or the editor(s). MDPI and/or the editor(s) disclaim responsibility for any injury to people or property resulting from any ideas, methods, instructions or products referred to in the content. |
© 2026 by the authors. Licensee MDPI, Basel, Switzerland. This article is an open access article distributed under the terms and conditions of the Creative Commons Attribution (CC BY) license.
Share and Cite
Zambrano-Anchundia, J.; Galarza-Alava, J.; Mora-Silva, D.; Sanchez, M.J.; Straface, S.; Jiménez-Oyola, S.; Mestanza-Ramón, C. Total Petroleum Hydrocarbons (TPHs) in Groundwater of the Ecuadorian Amazon: Implications for Human Health. Sustainability 2026, 18, 2016. https://doi.org/10.3390/su18042016
Zambrano-Anchundia J, Galarza-Alava J, Mora-Silva D, Sanchez MJ, Straface S, Jiménez-Oyola S, Mestanza-Ramón C. Total Petroleum Hydrocarbons (TPHs) in Groundwater of the Ecuadorian Amazon: Implications for Human Health. Sustainability. 2026; 18(4):2016. https://doi.org/10.3390/su18042016
Chicago/Turabian StyleZambrano-Anchundia, Johanna, Janner Galarza-Alava, Demmy Mora-Silva, María José Sanchez, Salvatore Straface, Samantha Jiménez-Oyola, and Carlos Mestanza-Ramón. 2026. "Total Petroleum Hydrocarbons (TPHs) in Groundwater of the Ecuadorian Amazon: Implications for Human Health" Sustainability 18, no. 4: 2016. https://doi.org/10.3390/su18042016
APA StyleZambrano-Anchundia, J., Galarza-Alava, J., Mora-Silva, D., Sanchez, M. J., Straface, S., Jiménez-Oyola, S., & Mestanza-Ramón, C. (2026). Total Petroleum Hydrocarbons (TPHs) in Groundwater of the Ecuadorian Amazon: Implications for Human Health. Sustainability, 18(4), 2016. https://doi.org/10.3390/su18042016

