Supply Chain Digitalization and Corporate Carbon Emissions: A Quasi-Natural Experiment Based on Pilot Policies for Supply Chain Innovation and Application
Abstract
1. Introduction
2. Theoretical Analysis and Hypothesis
3. Research Design
3.1. Model Construction
3.1.1. DID Benchmark Regression Model
3.1.2. Mechanism Test Model
3.2. Sample Selection and Data Sources
3.3. Variable Settings
- (1)
- Source and metric prioritization. The initial step was to source figures explicitly labeled as carbon dioxide (CO2) emissions or greenhouse gas (GHG) emissions, covering both Scope 1 and Scope 2. When a report provided GHG emissions in CO2-equivalents (CO2e), those values were used.
- (2)
- Calculation harmonization. For firms reporting only energy consumption (e.g., in tons of coal equivalent or gigajoules) without direct emission figures, official emission factor coefficients from the Guidelines for Corporate Greenhouse Gas Emission Accounting and Reporting, issued by China’s National Development and Reform Commission (NDRC), were used to estimate CO2 emissions.
- (3)
- Boundary consistency. The focus was on operational emissions (Scope 1 and 2) to maintain a consistent organizational boundary. Reports focusing only on Scope 3 (value chain) emissions were not used as the primary source for this variable.
- (4)
- Cross-verification. For firm-years with multiple reports, a cross-check was performed on the figures. In cases of minor discrepancies, the figure from the more detailed or comprehensive report was used; in cases of major unresolved discrepancies, the observation was treated as missing. This process yielded a panel of firm-year carbon emissions. The final variable used in regressions was the natural logarithm of these emission figures (in tonnes).
3.4. Descriptive Statistics
4. Results
4.1. Baseline Regression Analysis
4.2. Robustness Test
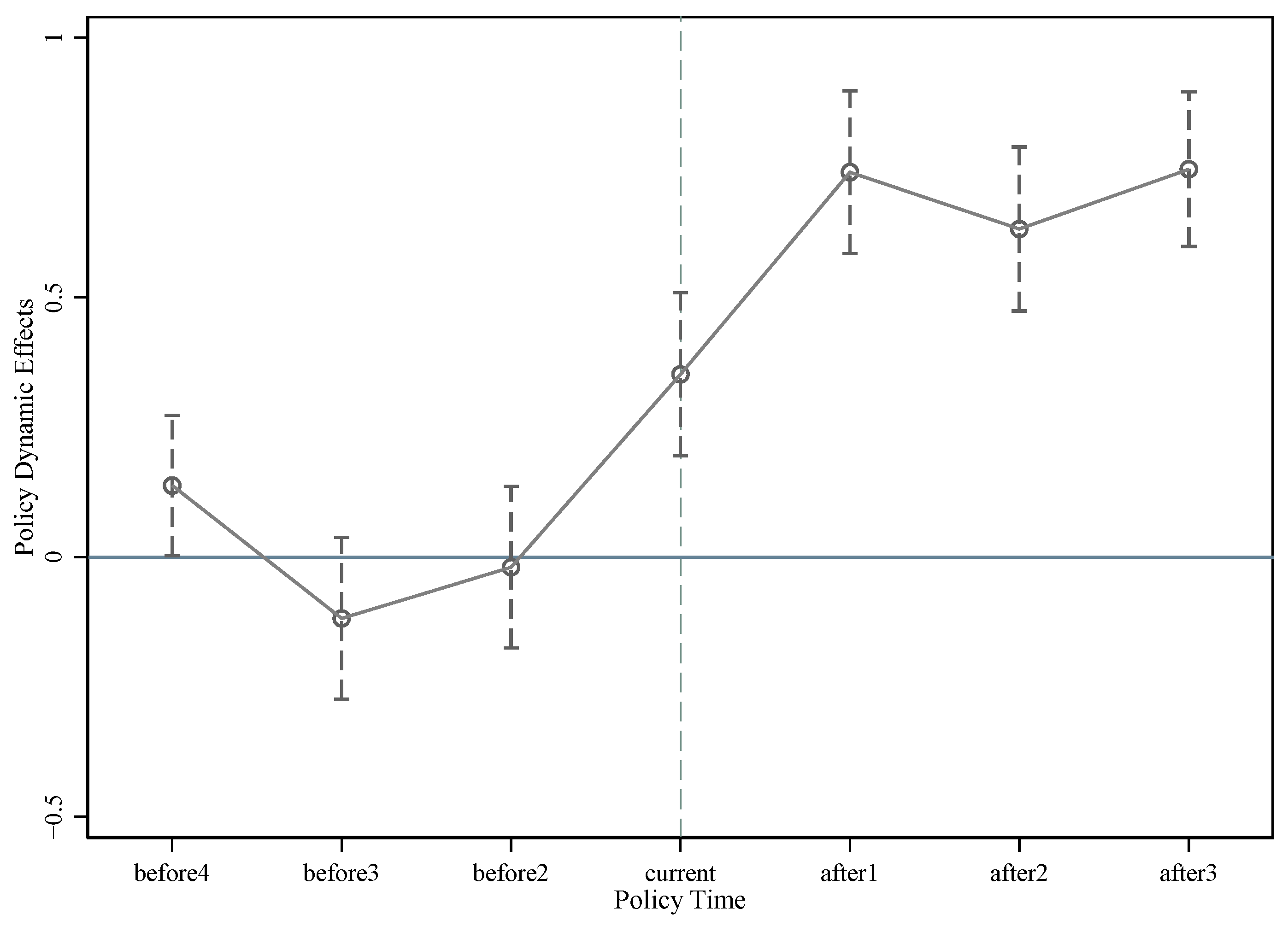
4.2.1. Parallel Trends Test
4.2.2. Placebo Test
4.2.3. PSM-DID
4.2.4. Excluding Data from the Year of Policy Implementation
4.2.5. Addressing Omitted Variable Issues
4.2.6. Considering the Impact of Supply Chain Innovation and Application Pilot Cities
4.3. Heterogeneity Test
4.3.1. Corporate Governance Level
4.3.2. Property Rights
4.3.3. Enterprise Digitalization Level
4.3.4. Industry Heterogeneity
4.4. Mechanism Test
- (1)
- Supply chain efficiency. Supply chain digitalization enhances corporate supply chain efficiency. On the one hand, it applies digital technologies across all supply chain segments, achieving process informatization and intelligent decision-making. This resolves issues of overinvestment or underinvestment while improving internal management efficiency [49]. On the other hand, supply chain digitalization facilitates information connectivity across the entire supply chain, enabling enterprises to respond swiftly and collaborate efficiently. This ensures the stability of the supply chain network and enhances overall collaborative efficiency. Column (2) of Table 6 shows a significantly negative coefficient, indicating that implementing supply chain digitalization markedly reduced a firm’s inventory turnover days, thereby enhancing internal management efficiency. Column (3) of Table 6 shows a significantly positive coefficient, demonstrating that supply chain digitalization increased supply chain concentration. Consequently, supply chain digitalization enhanced the overall supply chain efficiency. This systemic optimization—where improved coordination within a system leads to greater efficiency and emission reductions—is also observed at the regional level. Research shows that the coupling coordination between industrial structure optimization and ecosystem services not only curbs local carbon emissions but also generates positive spatial spillover effects [50], underscoring the universal importance of integrated, coordinated approaches for achieving sustainability goals. Existing research indicates that enhancing corporate efficiency can promote carbon reduction [51]. Specifically, improvements in supply chain efficiency can reduce energy consumption and lower corporate carbon emissions by increasing resource utilization efficiency and strengthening supply chain synergies. Therefore, Hypothesis 2 (supply chain digitalization reduces corporate carbon emissions by enhancing supply chain efficiency) was validated.
- (2)
- Green technological innovation. The SCIAPP provides enterprises with a clear innovation pathway and strategic direction. Furthermore, through preferential policies such as tax incentives, financial subsidies, and technical support, the government reduces the costs and risks associated with green innovation for enterprises. This incentivizes companies to increase investment in green innovation, thereby capturing the policy’s critical externalities. Moreover, the pilot enterprises themselves possess robust innovation capabilities. Their selection sends a positive signal to the external world. Government endorsement boosts the confidence of other enterprises in investing in them, thereby reducing the screening costs associated with adverse selection and moral hazard issues for investors. The coefficients in columns (4) and (5) of Table 6 are significantly positive, indicating that the implementation of supply chain digitalization can markedly enhance a company’s level of green technological innovation. Jiang et al. [52] found that corporate green technological innovation significantly reduces carbon emission reduction costs, thereby achieving carbon emission reductions. The existing research also generally recognizes that green technological innovation is a crucial channel for realizing carbon emission reduction effects [52]. Thus, Hypothesis 3 (supply chain digitalization reduces corporate carbon emissions by enhancing green technological innovation within the supply chain) was validated.
4.5. Discussion and Comparison with Literature
5. Conclusions, Policy Implications, and Future Research
5.1. Conclusions
- (1)
- The SCIAPP significantly reduced corporate carbon emissions. This conclusion remained robust after controlling for endogeneity and conducting robustness tests.
- (2)
- The carbon emission reduction effect of supply chain digitalization varies across firms differing in governance level, digitalization level, industry, and ownership type. Horizontally, supply chain digitalization facilitates sustained carbon emission reductions in firms with higher governance levels and deeper digitalization. Vertically, the policy’s effects are more pronounced in state-owned enterprises and manufacturing firms.
- (3)
- The mechanism analysis indicates that enhancing supply chain efficiency and strengthening corporate innovation capacity are the two primary pathways through which supply chain digitalization enables corporate carbon emission reduction.
- (1)
- At the micro level, this study validated and deepens our understanding of the primary effect of digitalization on carbon reduction. Li et al., using data from 269 prefecture-level cities in China, found that the digital economy can reduce regional carbon emissions through green technological innovation [54]. However, their research was performed at the macro city level, making it difficult to identify corporate heterogeneity. This study lowered the research granularity to the firm level. Using panel data from A-share listed companies between 2013 and 2022, it confirmed that the carbon emission-suppressing effect of supply chain digitalization is more pronounced in firms with high governance levels and high digital maturity, providing micro-level evidence for macro-level conclusions.
- (2)
- Regarding mechanisms, the existing literature examined the pathways through which digitalization affects carbon emissions either by examining green technological innovation mechanisms [17] or supply chain efficiency mechanisms [35]. This study constructed a dual-mechanism framework for carbon reduction through efficiency enhancement and green innovation. The empirical findings reveal that supply chain digitalization reduces carbon emissions through two pathways: by improving supply chain efficiency and by strengthening enterprises’ green technological innovation capabilities. This expands the theoretical boundaries of digital carbon reduction mechanisms.
- (3)
- In terms of its institutional context, this study used the implementation of the SCIAPP as a quasi-experimental setting. It pioneers the analysis of the effects of policy shocks on corporate supply chain digitalization processes to verify the carbon reduction effects driven by policy interventions. This adds to the discussion raised by Song et al. [18] on whether institutional arrangements influence digitalization-driven emissions reductions, providing micro-level evidence on the policy–firm–carbon emissions relationship within China’s institutional framework.
5.2. Policy Implications
- (1)
- The coverage of the SCIAPP should be gradually expanded. Given the significant effectiveness of the pilot policies in reducing corporate carbon emissions, the government should seize this opportunity. On the one hand, it should guide enterprises in undertaking supply chain digitalization, foster modern supply chain management concepts among businesses, and incentivize the application of cutting-edge digital technologies such as the Internet of Things, blockchain, and big data at critical junctures within supply chains. This will comprehensively enhance supply chain efficiency and innovation capabilities. Moreover, the carbon emissions regulatory framework should be improved by strengthening monitoring, reporting, and verification of corporate emissions. The carbon emissions trading market should be refined to incentivize voluntary reductions through market mechanisms, and tax incentives should be offered to enterprises demonstrating outstanding performance to create positive reinforcement. While prudently expanding the scope of the SCIAPP, the guiding and exemplary effects of the pilot policies should be fully leveraged. Core enterprises should be guided to actively assume leadership responsibilities within supply chains and coordinate digital resources and technological R&D, and enterprises along the chain should be encouraged to break down information silos. Through collaborative operations, management efficiency and resource utilization should be improved, thereby reducing carbon emissions and providing crucial support for driving economic growth with enhanced quality.
- (2)
- Tiered and targeted policies should be formulated considering heterogeneous effects. The findings reveal that the carbon reduction effect varied significantly across firms with different characteristics. Therefore, policy design should move beyond a “one-size-fits-all” approach and align with these heterogeneities to maximize impact. For SOEs and manufacturing firms, which demonstrate the most significant effects, policy should empower them as “chain leaders”. Integrating supply chain digitalization and emission-reduction targets into SOE executive performance evaluations is recommended, along with concentrated R&D support for manufacturing firms to develop sector-specific digital solutions. For enterprises with higher governance standards and deeper digital maturity, the other groups that benefit the most, policy should recognize them as “transmission hubs”. Providing priority incentives to drive digital and low-carbon standards through their supply networks, creating positive spillovers, is also recommended. For enterprises with lower governance standards or those who embark on digitalization later, greater guidance and support should be provided to facilitate their gradual transition toward low-carbon, high-efficiency operations. This includes public technical assistance, subsidized consulting for digital roadmaps, and capacity-building programs to prevent a widening “digital divide”. Enterprises should be encouraged to strengthen internal governance, establish oversight and evaluation mechanisms, and enhance their focus on social responsibility and sustainable development to lay the groundwork for supply chain digitalization. Concurrently, support for enterprises’ supply chain digitalization should be intensified, including through technical training, financial assistance, and tax incentives, to help them elevate their digital capabilities.
- (3)
- Synergy and efficiency within the supply chain should be promoted. On the one hand, information sharing and collaboration among upstream and downstream partners should be fostered, and digital technologies should be used to optimize resource allocation and enhance overall supply-chain efficiency. Public platforms should be established to connect all supply-chain segments, reduce transaction costs, and accelerate the diffusion of green and low-carbon technologies. This is especially important in the manufacturing sector, where the effects are most pronounced. It is therefore recommended that initiatives for the development of industry-specific digital platforms for logistics and inventory synchronization be given priority. On the other hand, firms should be provided help in integrating inventory management with digital technologies to advance supply chain digitalization and enhance resilience and stability.
- (4)
- Corporate innovation capabilities should be enhanced. Internally, firms should be encouraged to increase R&D spending, especially in green and low-carbon technologies, intelligent manufacturing, and big data analytics. This will help reduce supply-chain carbon emissions. The evidence shows that firms with higher digital maturity exhibit more robust innovation responses. Consequently, policy can target R&D grants and tax credits to encourage digital and green innovation. The disclosure of innovation activities should be improved to reduce information asymmetry between external investors and supply-chain partners and to strengthen mutual trust. Externally, governments and capital markets should support corporate innovation. To accelerate the commercialization of research outputs, governments should establish dedicated R&D funds and strengthen university–industry collaboration. They should also act as neutral facilitators, sending positive signals to capital markets to ensure that firms can access external financing for innovation.
5.3. Limitations and Future Research
Author Contributions
Funding
Institutional Review Board Statement
Informed Consent Statement
Data Availability Statement
Acknowledgments
Conflicts of Interest
Abbreviations
| SCIAPP | Supply Chain Innovation and Application Pilot Program |
| DIGI | Digitalization Index |
| SOEs | state-owned enterprises |
Appendix A. Keyword List for Digitalization Index (DIGI) Construction
- Digital Technology Application
- 2.
- Internet Business Model
- 3.
- Intelligent Manufacturing
- 4.
- Informatization
References
- Han, Y.; Wei, T. Supply chain digitization and corporate carbon emissions: A chain mediation examination based on digital transformation and green innovation. J. Environ. Manag. 2025, 379, 124825. [Google Scholar] [CrossRef]
- Chen, C.L.; Lin, Y.C.; Chen, W.H.; Chao, C.F.; Pandia, H. Role of Government to Enhance Digital Transformation in Small Service Business. Sustainability 2021, 13, 1028. [Google Scholar] [CrossRef]
- Büyüközkan, G.; Göçer, F. Digital Supply Chain: Literature Review and a Proposed Framework for Future Research. Comput. Ind. 2018, 102, 157–177. [Google Scholar] [CrossRef]
- Zhu, Y.; Zhang, Z. Supply Chain Digitalization and Corporate ESG Performance: Evidence from Supply Chain Innovation and Application Pilot Policy. Financ. Res. Lett. 2024, 58, 105818. [Google Scholar] [CrossRef]
- Song, H.; Chang, R.; Cheng, H.; Liu, P.; Yan, D. The Impact of Manufacturing Digital Supply Chain on Supply Chain Disruption Risks under Uncertain Environment—Based on Dynamic Capability Perspective. Adv. Eng. Inform. 2024, 58, 102385. [Google Scholar] [CrossRef]
- Luo, S.; Xiong, Z.; Liu, J. How Does Supply Chain Digitization Affect Green Innovation? Evidence from a Quasi-Natural Experiment in China. Energy Econ. 2024, 129, 107745. [Google Scholar] [CrossRef]
- Han, H.; Gu, R.; Yang, Y. Impacts of low-carbon city pilot policy on ecological well-being performance across Chinese cities: A spatial difference-in-difference analysis. Sustain. Cities Soc. 2025, 118, 105864. [Google Scholar] [CrossRef]
- Jin, W.; Wang, Y.; Yan, Y.; Zhou, H.; Xu, L.; Zhang, Y.; Xu, Y.; Zhang, Y. Digital Economy, Green Finance, and Carbon Emissions: Evidence from China. Sustainability 2025, 17, 5625. [Google Scholar] [CrossRef]
- Wang, T.; Li, R.; Zhang, Q.; Sun, S. Digitalization and urban carbon emissions: Unraveling the mechanisms of agglomeration economics. J. Environ. Manag. 2025, 387, 125855. [Google Scholar] [CrossRef]
- Li, C.; Chen, X.; Yuan, C. Does digital government reduce carbon emissions? Empirical evidence from global sources. J. Environ. Manag. 2025, 380, 125081. [Google Scholar] [CrossRef]
- Zhang, Y.; Liu, X.; Yang, J. Digital Economy, Green Dual Innovation and Carbon Emissions. Sustainability 2024, 16, 7291. [Google Scholar] [CrossRef]
- Gu, R.; Li, C.; Yang, Y.; Zhang, J. The impact of industrial digital transformation on green development efficiency considering the threshold effect of regional collaborative innovation: Evidence from the Beijing-Tianjin-Hebei urban agglomeration in China. J. Clean. Prod. 2023, 420, 138345. [Google Scholar] [CrossRef]
- Zhang, S.; Cui, Q.; Ma, X. Digital-factor-biased technological progress and energy-saving effect. China Popul. Resour. Environ. 2022, 32, 22–36. (In Chinese) [Google Scholar] [CrossRef]
- Gao, B.; Qin, M.; Xie, J. Does corporate digital transformation improve capital market transparency? Evidence from China. N. Am. J. Econ. Financ. 2025, 76, 102363. [Google Scholar] [CrossRef]
- Song, D.; Tan, Z.; Wang, W.; Zhai, R. Digital transformation and corporate social responsibility engagement: Evidence from China. Int. Rev. Financ. Anal. 2025, 97, 103805. [Google Scholar] [CrossRef]
- Zhang, Z.; Liu, C. Marketization level, digital transformation, and corporate value. Financ. Res. Lett. 2025, 84, 107779. [Google Scholar] [CrossRef]
- Chen, J.; Guo, Z.; Lei, Z. Research on the Mechanisms of the Digital Transformation of Manufacturing Enterprises for Carbon Emissions Reduction. J. Clean. Prod. 2024, 434, 141817. [Google Scholar] [CrossRef]
- Song, H.; Han, M.; Yu, K.; Ge, W. How Digital Technology Helps Carbon Emission Reduction in Supply Chains: A Case Study of State Grid Zhejiang Electric Power. Nankai Bus. Rev. 2024, 27, 27–41. (In Chinese) [Google Scholar]
- Belhadi, A.; Venkatesh, M.; Kamble, S.S.; Abedin, M.Z. Data-Driven Digital Transformation for Supply Chain Carbon Neutrality: Insights from Cross-Sector Supply Chains. Int. J. Prod. Econ. 2024, 269, 109178. [Google Scholar] [CrossRef]
- Mithas, S.; Rust, R.T. How Information Technology Strategy and Investments Influence Firm Performance. MIS Q. 2016, 40, 223–246. [Google Scholar] [CrossRef]
- Franco, C.; Benitez, G.; de Sousa, P.; Kliemann Neto, F.; Frank, A. Managing resources for digital transformation in supply chain integration: The role of hybrid governance structures. Int. J. Prod. Econ. 2024, 278, 109428. [Google Scholar] [CrossRef]
- Schmidt, C.G.; Wagner, S.M. Blockchain and Supply Chain Relations: A Transaction Cost Theory Perspective. J. Purch. Supply Manag. 2019, 25, 100552. [Google Scholar] [CrossRef]
- Wu, L.; Yue, X.; Jin, A.; Yen, D.C. Smart Supply Chain Management: A Review and Implications for Future Research. Int. J. Logist. Manag. 2016, 27, 395–417. [Google Scholar] [CrossRef]
- Queiroz, M.M.; Telles, R.; Bonilla, S.H. Blockchain and Supply Chain Management Integration: A Systematic Review of the Literature. Supply Chain Manag. 2019, 24, 433–454. [Google Scholar] [CrossRef]
- Wang, T.; Wang, J. Information spillover effects of corporate digital transformation. Econ. Anal. Policy 2026, 89, 274–286. [Google Scholar] [CrossRef]
- Yang, L.; Xu, B.; Yang, Z.; Yang, X. Connected for a Greener Tomorrow: How Supply Chain Digitalization Enhances Corporate Green Innovation? Int. Rev. Econ. Financ. 2025, 105, 104846. [Google Scholar] [CrossRef]
- Niu, J.; Qiang, M.; Chen, M. Can the Management’s green cognition promote the Enterprise’s green Transformation? Based on the perspective of carbon emissions. Int. Rev. Econ. Financ. 2025, 102, 104290. [Google Scholar] [CrossRef]
- Zhang, P.; Qi, J. Carbon emission regulation and corporate financing constraints: A quasi-natural experiment based on China’s carbon emissions trading mechanism. J. Contemp. Account. Econ. 2025, 21, 100452. [Google Scholar] [CrossRef]
- Chai, L.; Lai, K.; Zong, L. How digital transformation enhances supply chain transparency? Based on the perspective of information improvement and resource optimization. Transp. Res. Part E Logist. Transp. Rev. 2025, 201, 104256. [Google Scholar] [CrossRef]
- Chang, E.; Chen, Y.C.; Ming-Fang, M. Supply Chain Re-Engineering Using Blockchain Technology: A Case of Smart Contract Based Tracking Process. Technol. Forecast. Soc. Change 2019, 144, 1–11. [Google Scholar] [CrossRef]
- Qader, G.; Junaid, M.; Qamar, A.; Mubarik, M.S. Industry 4.0 Enables Supply Chain Resilience and Supply Chain Performance. Technol. Forecast. Soc. Change 2022, 174, 121245. [Google Scholar] [CrossRef]
- Chavez, R.; Yu, W.; Jacobs, M.A.; Feng, M. Data-Driven Supply Chains, Manufacturing Capability and Customer Satisfaction. Prod. Plan. Control 2017, 28, 906–918. [Google Scholar] [CrossRef]
- Viel de Farias, I.; dos Santos Alvim, S.; de Simas, D.; Frazzon, E. Visibility model for enhancing supply chains resilience. IFAC-PapersOnLine 2022, 55, 2521–2525. [Google Scholar] [CrossRef]
- Sun, B.; Xi, Y. Supply chain concentration, digitalization and sterilization of manufacturing firms. J. Manuf. Technol. Manag. 2025, 36, 112–133. [Google Scholar] [CrossRef]
- Fu, S.; Liu, J.; Tian, J.; Peng, J.; Wu, C. Impact of Digital Economy on Energy Supply Chain Efficiency: Evidence from Chinese Energy Enterprises. Energies 2023, 16, 568. [Google Scholar] [CrossRef]
- Krishan, J.; Yadav, B.; Shrivastav, R. A Study on Designing and Managing the Supply Chain Process and its Impact on Business Performance to Gain a Long-Term Competitive Advantage. Int. J. Res. Appl. Sci. Eng. Technol. 2024, 12, 1548–1555. [Google Scholar] [CrossRef]
- Pfeffer, J. Size and Composition of Corporate Boards of Directors: The Organization and Its Environment. Adm. Sci. Q. 1972, 17, 218–228. [Google Scholar] [CrossRef]
- Zhao, N.; Hong, J.; Lau, K. Impact of supply chain digitalization on supply chain resilience and performance: A multi-mediation model. Int. J. Prod. Econ. 2023, 259, 108817. [Google Scholar] [CrossRef] [PubMed]
- Li, X.; Zhou, X.; Yan, K. Technological progress for sustainable development: An empirical analysis from China. Econ. Anal. Policy 2022, 76, 146–155. [Google Scholar] [CrossRef]
- Bartelsman, E.; Caballero, R.; Lyons, R. Customer- and supplier-driven externalities. Am. Econ. Rev. 1994, 84, 1075–1084. [Google Scholar]
- Bouattour, A.; Gharbi, S.; Kalai, M.; Helali, K. Relationships between green technological innovation, renewable energy, circular economy, and green growth. J. Innov. Knowl. 2025, 10, 100748. [Google Scholar] [CrossRef]
- Lin, B.; Ma, R. Green Technology Innovations, Urban Innovation Environment and CO2 Emission Reduction in China: Fresh Evidence from a Partially Linear Functional-Coefficient Panel Model. Technol. Forecast. Soc. Change 2022, 174, 121280. [Google Scholar] [CrossRef]
- Ministry of Commerce of the People’s Republic of China. Notice on Carrying Out Pilot Work on Supply Chain Innovation and Application [EB/OL]. (10 April 2018). Available online: https://www.mofcom.gov.cn/gztz/art/2018/art_307a699ed071497b8104d33b86058258.html (accessed on 20 April 2024).
- Jiang, T. Mediation and Moderation Effects in Causal Inference Empirical Research. China Ind. Econ. 2022, 5, 100–120. (In Chinese) [Google Scholar]
- Wang, H.; Liu, J.Z.; Zhang, L.H. Carbon Emissions and Asset Pricing: Evidence from Chinese Listed Companies. J. China Econ. 2022, 9, 28–75. (In Chinese) [Google Scholar] [CrossRef]
- Patatoukas, P.N. Customer-Base Concentration: Implications for Firm Performance and Capital Markets. Account. Rev. 2012, 87, 363–392. [Google Scholar] [CrossRef]
- Zhang, L.; Xie, Y.; Xu, D. Green Investor Holdings and Corporate Green Technological Innovation. Sustainability 2024, 16, 4292. [Google Scholar] [CrossRef]
- Zhao, C.Y. Digital development and servitization: Empirical evidence from listed manufacturing companies. Nankai Bus. Rev. 2021, 24, 149–163. (In Chinese) [Google Scholar]
- Xue, R.; Gu, R.; Ong, T. How does coupling coordination between industrial structure optimization and ecosystem services dynamically affect carbon emissions in the Yellow River Basin? J. Clean. Prod. 2025, 517, 145872. [Google Scholar] [CrossRef]
- Yu, Z.; Cao, X.; Tang, L.; Yan, T.; Wang, Z. Does digitalization improve supply chain efficiency? Financ. Res. Lett. 2024, 67, 105822. [Google Scholar] [CrossRef]
- Song, F. The effects of digital transformation on corporate energy efficiency: A supply chain spillover perspective. Front. Sustain. 2025, 6, 1567413. [Google Scholar] [CrossRef]
- Jiang, X.; Xu, J.; Ma, R.; Akbar, A.; Sokolova, M. Carbon emission trading policy and green technological innovation in Chinese listed companies: A corporate reputation perspective. E M Ekon. Manag. 2025, 28, 49–66. [Google Scholar] [CrossRef]
- Li, T.; Li, G.; Zeng, S.; Hao, Y. Towards a low-carbon economy: How can green technological innovation affect carbon productivity in China? J. Environ. Manag. 2025, 392, 126685. [Google Scholar] [CrossRef] [PubMed]
- Zhao, Q.; Fan, L.; Chen, H.; Yang, Y.; Wang, Z. Green innovation and carbon emission reduction: Empirical insights from spatial durbin and dynamic threshold models. Int. Rev. Financ. Anal. 2025, 101, 103997. [Google Scholar] [CrossRef]



| Variable | N | Mean | SD | Min | Max |
|---|---|---|---|---|---|
| CO2 | 11,143 | 12.70 | 1.44 | 2.40 | 19.85 |
| treatit × policyit | 11,143 | 0.24 | 0.43 | 0.00 | 1.00 |
| lev | 11,143 | 0.45 | 0.20 | 0.01 | 1.00 |
| Ta | 11,143 | 0.23 | 0.15 | 0.00 | 0.88 |
| ROA | 11,143 | 0.03 | 0.07 | −1.86 | 0.79 |
| Growth | 11,143 | 0.58 | 10.48 | −11.92 | 865.91 |
| Inventory | 11,143 | 4.63 | 1.27 | −7.78 | 17.85 |
| supply | 11,143 | 29.82 | 17.73 | −161.85 | 314.26 |
| GTI_inv | 11,143 | 0.51 | 0.98 | 0.00 | 6.91 |
| GTI_uti | 11,143 | 0.32 | 0.72 | 0.00 | 5.79 |
| Variable | (1) | (2) | (3) | (4) | (5) |
|---|---|---|---|---|---|
| CO2 | CO2 | CO2 | CO2 | CO2 | |
| treatit × policyit | −0.1151 *** | −0.1128 *** | −0.1123 *** | −0.1131 *** | −0.1132 *** |
| (−3.0317) | (−2.9710) | (−2.9484) | (−2.9681) | (−2.9695) | |
| lev | −0.1305 ** | −0.1307 ** | −0.1419 ** | −0.1453 ** | |
| (−2.0114) | (−2.0146) | (−2.0950) | (−2.1448) | ||
| Ta | 0.0138 | 0.0122 | 0.0155 | ||
| (0.1666) | (0.1464) | (0.1869) | |||
| ROA | −0.1066 | −0.1121 | |||
| (−0.5755) | (−0.6052) | ||||
| Growth | 0.0024 ** | ||||
| (1.9959) | |||||
| Constant | 12.7279 *** | 12.7857 *** | 12.7825 *** | 12.7916 *** | 12.7911 *** |
| (815.3453) | (391.1070) | (338.0616) | (312.0510) | (312.0763) | |
| Firm/Year Effects | Control | Control | |||
| Sample size | 11,143 | 11,143 | 11,143 | 11,143 | 11,143 |
| With R2 | 0.0008 | 0.0012 | 0.0012 | 0.0012 | 0.0016 |
| Variable | Placebo Test | PSM-DID | Exclude Data from the Year of Policy Implementation | Incorporate Additional Control Variables | Consider Pilot Cities |
|---|---|---|---|---|---|
| (1) | (2) | (3) | (4) | (5) | |
| CO2 | CO2 | CO2 | CO2 | CO2 | |
| treatit × policyit | −0.0000 *** | −0.0992 *** | −0.1740 *** | −0.1133 *** | |
| (−2.6122) | (−2.6103) | (−4.0408) | (−2.9734) | ||
| TreatCityY | −0.1132 *** | ||||
| (−2.9695) | |||||
| TreatCityN | 0.0000 | ||||
| (.) | |||||
| ConPos | −0.0097 | ||||
| (−0.3181) | |||||
| Mng | 0.0024 *** | ||||
| (2.9150) | |||||
| Constant | 12.7745 *** | 12.7648 *** | 12.7496 *** | 12.7375 *** | 12.7911 *** |
| (65.5934) | (112.5272) | (294.9702) | (277.3465) | (312.0763) | |
| Firm/Year Effects | Control | Control | Control | Control | Control |
| Control | Control | Control | Control | Control | |
| Sample size | 11,143 | 11,138 | 9951 | 11,143 | 11,143 |
| R2 | 0.0014 | 0.4414 | 0.0009 | 0.0009 | 0.0003 |
| Variable | High Governance Level | Low Governance Level | State-Owned Enterprises | Non-State-Owned Enterprises |
|---|---|---|---|---|
| (1) | (2) | (3) | (4) | |
| CO2 | CO2 | CO2 | CO2 | |
| treatit × policyit | −0.1391 ** | −0.0734 | ||
| (−2.2809) | (−1.4870) | |||
| TreatGovH | −0.1714 *** | |||
| (−3.8799) | ||||
| TreatGovL | 0.0182 | |||
| (0.4241) | ||||
| Control Variables | Control | Control | Control | Control |
| Constant | 12.7654 *** | 12.7564 *** | 12.7493 *** | 12.7810 *** |
| (321.5416) | (310.8769) | (165.9658) | (245.0493) | |
| Firm/Year Effects | Control | Control | Control | Control |
| Control | Control | Control | Control | |
| Sample size | 5045 | 6098 | 4256 | 6887 |
| Variable | High Level of Digitalization | Low Level of Digitalization | Manufacturing Industry | Non-Manufacturing Industry |
|---|---|---|---|---|
| (1) | (2) | (3) | (4) | |
| CO2 | CO2 | CO2 | CO2 | |
| treatit × policyit | −0.1149 *** | 0.4167 | −0.1998 ** | −0.0774 * |
| (−2.7344) | (0.6842) | (−2.2528) | (−1.8086) | |
| Control Variables | Control | Control | Control | Control |
| Constant | 13.1265 *** | 12.3738 *** | 12.6343 *** | 12.7459 *** |
| (210.9568) | (232.7280) | (121.1877) | (152.2842) | |
| Firm/Year Effects | Control | Control | Control | Control |
| Control | Control | Control | Control | |
| Sample size | 6271 | 4872 | 2188 | 8955 |
| Variable | (1) | (2) | (3) | (4) | (5) |
|---|---|---|---|---|---|
| CO2 | Inventory | Supply | GTI_inv | GTI_uti | |
| Supply Chain Efficiency | Green Technology Innovation | ||||
| treatit × policyit | −0.1132 *** | −0.0637 ** | 0.7392 * | 0.1839 *** | 0.0974 *** |
| (−2.9695) | (−2.0131) | (1.6817) | (6.7234) | (4.8695) | |
| Control Variables | Control | Control | Control | Control | Control |
| Constant | 12.7911 *** | 5.3693 *** | 33.5212 *** | 0.0318 | −0.0104 |
| (312.0763) | (157.7180) | (70.9174) | (1.0808) | (−0.4849) | |
| Firm/Year Effects | Control | Control | Control | Control | Control |
| Sample size | 11,143 | 11,143 | 11,143 | 11,143 | 11,143 |
| R2 | 0.0003 | 0.1560 | 0.0337 | 0.0299 | 0.0244 |
| Variable | (1) | (2) | (3) | (4) | (5) |
|---|---|---|---|---|---|
| CO2 | Inventory | Supply | GTI_inv | GTI_uti | |
| Supply Chain Efficiency | Green Technology Innovation | ||||
| treatit × policyit | −0.1132 *** | −0.0526 * | 0.5848 | 0.1962 *** | 0.1138 *** |
| (−2.9695) | (−1.6580) | (1.3115) | (7.0937) | (5.6190) | |
| Control Variables | Control | Control | Control | Control | Control |
| Constant | 4.8529 *** | 5.3571 *** | 32.9751 *** | 0.0096 | −0.0354 |
| (102.9405) | (146.2715) | (63.9943) | (0.3010) | (−1.5148) | |
| Firm/Year Effects | Control | Control | Control | Control | Control |
| Sample size | 11,143 | 9525 | 9525 | 9525 | 9525 |
| R2 | 0.0003 | 0.1623 | 0.0311 | 0.0316 | 0.0274 |
Disclaimer/Publisher’s Note: The statements, opinions and data contained in all publications are solely those of the individual author(s) and contributor(s) and not of MDPI and/or the editor(s). MDPI and/or the editor(s) disclaim responsibility for any injury to people or property resulting from any ideas, methods, instructions or products referred to in the content. |
© 2026 by the authors. Licensee MDPI, Basel, Switzerland. This article is an open access article distributed under the terms and conditions of the Creative Commons Attribution (CC BY) license.
Share and Cite
Wang, T.; Wang, P.; Sun, Z. Supply Chain Digitalization and Corporate Carbon Emissions: A Quasi-Natural Experiment Based on Pilot Policies for Supply Chain Innovation and Application. Sustainability 2026, 18, 1868. https://doi.org/10.3390/su18041868
Wang T, Wang P, Sun Z. Supply Chain Digitalization and Corporate Carbon Emissions: A Quasi-Natural Experiment Based on Pilot Policies for Supply Chain Innovation and Application. Sustainability. 2026; 18(4):1868. https://doi.org/10.3390/su18041868
Chicago/Turabian StyleWang, Tianzi, Peng Wang, and Zhongmiao Sun. 2026. "Supply Chain Digitalization and Corporate Carbon Emissions: A Quasi-Natural Experiment Based on Pilot Policies for Supply Chain Innovation and Application" Sustainability 18, no. 4: 1868. https://doi.org/10.3390/su18041868
APA StyleWang, T., Wang, P., & Sun, Z. (2026). Supply Chain Digitalization and Corporate Carbon Emissions: A Quasi-Natural Experiment Based on Pilot Policies for Supply Chain Innovation and Application. Sustainability, 18(4), 1868. https://doi.org/10.3390/su18041868

