Experimental Tests of an Affective Pathway to Pro-Environmental Intentions
Abstract
1. Introduction
2. Study Series 1
2.1. Materials and Methods
2.1.1. Participants
2.1.2. Design
2.1.3. Procedure
2.1.4. Measures
2.1.5. Data Analysis
2.2. Results
2.3. Discussion
3. Study 2
3.1. Materials and Methods
3.1.1. Participants
3.1.2. Design
3.1.3. Procedure
3.1.4. Measures
3.1.5. Data Analysis
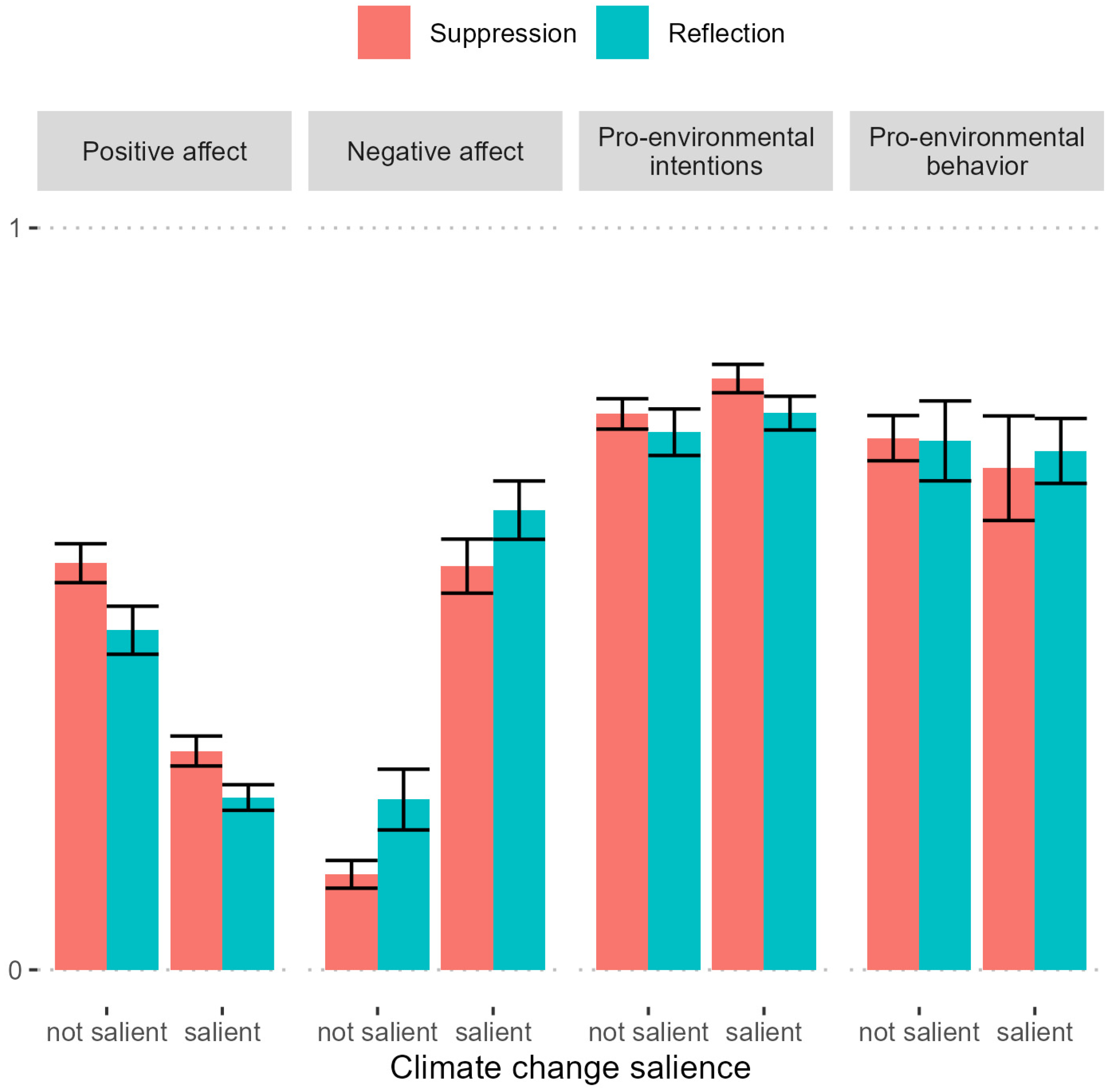
3.2. Results
3.3. Discussion
4. General Discussion
Limitations
5. Conclusions
Supplementary Materials
Author Contributions
Funding
Institutional Review Board Statement
Informed Consent Statement
Data Availability Statement
Conflicts of Interest
References
- Clayton, S. Climate Anxiety: Psychological Responses to Climate Change. J. Anxiety Disord. 2020, 74, 102263. [Google Scholar] [CrossRef]
- Whitmarsh, L.; Player, L.; Jiongco, A.; James, M.; Williams, M.; Marks, E.; Kennedy-Williams, P. Climate Anxiety: What Predicts It and How Is It Related to Climate Action? J. Environ. Psychol. 2022, 83, 101866. [Google Scholar] [CrossRef]
- Coffey, Y.; Bhullar, N.; Durkin, J.; Islam, M.S.; Usher, K. Understanding Eco-Anxiety: A Systematic Scoping Review of Current Literature and Identified Knowledge Gaps. J. Clim. Change Health 2021, 3, 100047. [Google Scholar] [CrossRef]
- Usher, K.; Durkin, J.; Bhullar, N. Eco-anxiety: How Thinking about Climate Change-related Environmental Decline Is Affecting Our Mental Health. Int. J. Ment. Health Nurs. 2019, 28, 1233–1234. [Google Scholar] [CrossRef] [PubMed]
- Clayton, S.; Karazsia, B.T. Development and Validation of a Measure of Climate Change Anxiety. J. Environ. Psychol. 2020, 69, 101434. [Google Scholar] [CrossRef]
- Verplanken, B.; Marks, E.; Dobromir, A.I. On the Nature of Eco-Anxiety: How Constructive or Unconstructive Is Habitual Worry about Global Warming? J. Environ. Psychol. 2020, 72, 101528. [Google Scholar] [CrossRef]
- Hickman, C.; Marks, E.; Pihkala, P.; Clayton, S.; Lewandowski, R.E.; Mayall, E.E.; Wray, B.; Mellor, C.; Van Susteren, L. Climate Anxiety in Children and Young People and Their Beliefs about Government Responses to Climate Change: A Global Survey. Lancet Planet. Health 2021, 5, e863–e873. [Google Scholar] [CrossRef]
- Niedzwiedz, C.; Katikireddi, S.V. Determinants of Eco-Anxiety: Cross-National Study of 52,219 Participants from 25 European Countries. Eur. J. Public Health 2023, 33, ckad160.069. [Google Scholar] [CrossRef]
- Gebhardt, N.; van Bronswijk, K.; Bunz, M.; Müller, T.; Niessen, P.; Nikendei, C. Scoping review of climate change and mental health in Germany—Direct and indirect impacts, vulnerable groups, resilience factors. J. Health Monit. 2023, 8, 122–149. [Google Scholar] [CrossRef]
- Collery, A.; Niedzwiedz, C.L. Climate Change Worry and the Association with Future Depression and Anxiety: Cross-National Analysis of 11 European Countries. BMJ Ment. Health 2025, 28, e301318. [Google Scholar] [CrossRef]
- Pitron, V.; Lemogne, C.; Clayton, S.; Léger, D.; Van Den Bergh, O.; Witthöft, M. Climate Change Anxiety and Its Association with Somatic Symptom Distress and Idiopathic Environmental Intolerances: A Cross-Sectional Study. J. Psychosom. Res. 2024, 187, 111937. [Google Scholar] [CrossRef]
- Ogunbode, C.A.; Pallesen, S.; Böhm, G.; Doran, R.; Bhullar, N.; Aquino, S.; Marot, T.; Schermer, J.A.; Wlodarczyk, A.; Lu, S.; et al. Negative Emotions about Climate Change Are Related to Insomnia Symptoms and Mental Health: Cross-Sectional Evidence from 25 Countries. Curr. Psychol. 2023, 42, 845–854. [Google Scholar] [CrossRef]
- Wullenkord, M.C.; Tröger, J.; Hamann, K.R.S.; Loy, L.S.; Reese, G. Anxiety and Climate Change: A Validation of the Climate Anxiety Scale in a German-Speaking Quota Sample and an Investigation of Psychological Correlates. Clim. Change 2021, 168, 20. [Google Scholar] [CrossRef]
- Paek, H.-J.; Hove, T. Mechanisms of Climate Change Media Effects: Roles of Risk Perception, Negative Emotion, and Efficacy Beliefs. Health Commun. 2024, 39, 3426–3435. [Google Scholar] [CrossRef] [PubMed]
- Huang, H. Media Use, Environmental Beliefs, Self-Efficacy, and pro-Environmental Behavior. J. Bus. Res. 2016, 69, 2206–2212. [Google Scholar] [CrossRef]
- Vrselja, I.; Pandžić, M.; Rihtarić, M.L.; Ojala, M. Media Exposure to Climate Change Information and Pro-Environmental Behavior: The Role of Climate Change Risk Judgment. BMC Psychol. 2024, 12, 262. [Google Scholar] [CrossRef]
- Thaker, J. Cross-Country Analysis of the Association between Media Coverage and Exposure to Climate News with Awareness, Risk Perceptions, and Protest Participation Intention in 110 Countries. Environ. Commun. 2024, 18, 233–249. [Google Scholar] [CrossRef]
- Van Der Werff, E.; Steg, L.; Keizer, K. The Value of Environmental Self-Identity: The Relationship between Biospheric Values, Environmental Self-Identity and Environmental Preferences, Intentions and Behaviour. J. Environ. Psychol. 2013, 34, 55–63. [Google Scholar] [CrossRef]
- Van Zomeren, M.; Spears, R.; Leach, C.W. Experimental Evidence for a Dual Pathway Model Analysis of Coping with the Climate Crisis. J. Environ. Psychol. 2010, 30, 339–346. [Google Scholar] [CrossRef]
- Skurka, C.; Romero-Canyas, R.; Joo, H.H.; Acup, D.; Niederdeppe, J. Emotional Appeals, Climate Change, and Young Adults: A Direct Replication of Skurka et al. (2018). Hum. Commun. Res. 2021, 48, 147–156. [Google Scholar] [CrossRef]
- Skurka, C.; Niederdeppe, J.; Romero-Canyas, R.; Acup, D. Pathways of Influence in Emotional Appeals: Benefits and Tradeoffs of Using Fear or Humor to Promote Climate Change-Related Intentions and Risk Perceptions. J. Commun. 2018, 68, 169–193. [Google Scholar] [CrossRef]
- Ettinger, J.; Walton, P.; Painter, J.; DiBlasi, T. Climate of Hope or Doom and Gloom? Testing the Climate Change Hope vs. Fear Communications Debate through Online Videos. Clim. Change 2021, 164, 19. [Google Scholar] [CrossRef]
- Baron, R.M.; Kenny, D.A. The Moderator–Mediator Variable Distinction in Social Psychological Research: Conceptual, Strategic, and Statistical Considerations. J. Personal. Soc. Psychol. 1986, 51, 1173–1182. [Google Scholar] [CrossRef]
- Uhl, I.; Klackl, J.; Hansen, N.; Jonas, E. Undesirable Effects of Threatening Climate Change Information: A Cross-Cultural Study. Group Process. Intergroup Relat. 2018, 21, 513–529. [Google Scholar] [CrossRef]
- Uhl, I.; Jonas, E.; Klackl, J. When Climate Change Information Causes Undesirable Side Effects: The Influence of Environmental Self-Identity and Biospheric Values on Threat Responses/Cuando La Información Sobre El Cambio Climático Tiene Efectos Indeseados: La Influencia de La Identidad Ambiental y de Los Valores Biosféricos En La Respuesta Ante Una Amenaza. PsyEcol. Biling. J. Environ. Psychol. 2016, 7, 307–334. [Google Scholar] [CrossRef]
- Watson, D.; Clark, L.A.; Tellegen, A. Development and Validation of Brief Measures of Positive and Negative Affect: The PANAS Scales. J. Personal. Soc. Psychol. 1988, 54, 1063–1070. [Google Scholar] [CrossRef]
- Schahn, J.; Damian, M.; Schurig, U.; Füchsle, C. Konstruktion und Evaluation der dritten Version des Skalensystems zur Erfassung des Umweltbewußtseins (SEU-3). Diagnostica 2000, 46, 84–92. [Google Scholar] [CrossRef]
- Vallacher, R.R.; Wegner, D.M. Levels of Personal Agency: Individual Variation in Action Identification. J. Personal. Soc. Psychol. 1989, 57, 660–671. [Google Scholar] [CrossRef]
- Schwarzer, R.; Jerusalem, M. General Self-Efficacy Scale. In Measures in Health Psychology: A User’s Portfolio. Causal and Control Beliefs; Windsor: Albany, NY, USA, 2012. [Google Scholar]
- Fritsche, I.; Cohrs, J.C.; Kessler, T.; Bauer, J. Global Warming Is Breeding Social Conflict: The Subtle Impact of Climate Change Threat on Authoritarian Tendencies. J. Environ. Psychol. 2012, 32, 1–10. [Google Scholar] [CrossRef]
- Steg, L.; Perlaviciute, G.; Van Der Werff, E.; Lurvink, J. The Significance of Hedonic Values for Environmentally Relevant Attitudes, Preferences, and Actions. Environ. Behav. 2014, 46, 163–192. [Google Scholar] [CrossRef]
- R Core Team. R: A Language and Environment for Statistical Computing; R Core Team: Vienna, Austria, 2025. [Google Scholar]
- Fox, J.; Weisberg, S. An R Companion to Applied Regression, 3rd ed.; Sage: Thousand Oaks, CA, USA, 2019. [Google Scholar]
- Makowski, D.; Wiernik, B.M.; Patil, I.; Lüdecke, D.; Ben-Shachar, M.S. Correlation: Methods for Correlation Analysis [R Package] 2022. Available online: https://CRAN.R-project.org/package=correlation (accessed on 1 July 2025).
- Rosseel, Y. Lavaan: An R Package for Structural Equation Modeling. J. Stat. Softw. 2012, 48, 1–36. [Google Scholar] [CrossRef]
- Barr, D.J.; Levy, R.; Scheepers, C.; Tily, H.J. Random Effects Structure for Confirmatory Hypothesis Testing: Keep It Maximal. J. Mem. Lang. 2013, 68, 255–278. [Google Scholar] [CrossRef]
- Breyer, B.; Bluemke, M. Deutsche Version der Positive and Negative Affect Schedule PANAS (GESIS Panel); Zusammenstellung sozialwissenschaftlicher Items und Skalen (ZIS); GESIS—Leibniz-Institut für Sozialwissenschaften: Mannheim, Germany, 2016. [Google Scholar] [CrossRef]
- Roth, G.; Benita, M.; Amrani, C.; Shachar, B.-H.; Asoulin, H.; Moed, A.; Bibi, U.; Kanat-Maymon, Y. Integration of Negative Emotional Experience versus Suppression: Addressing the Question of Adaptive Functioning. Emotion 2014, 14, 908–919. [Google Scholar] [CrossRef] [PubMed]
- Ayduk, Ö.; Kross, E. Analyzing Negative Experiences Without Ruminating: The Role of Self-Distancing in Enabling Adaptive Self-Reflection. Soc. Personal. Psychol. 2010, 4, 841–854. [Google Scholar] [CrossRef]
- Yadav, A.; Phillips, M.M.; Lundeberg, M.A.; Koehler, M.J.; Hilden, K.; Dirkin, K.H. If a Picture Is Worth a Thousand Words Is Video Worth a Million? Differences in Affective and Cognitive Processing of Video and Text Cases. J. Comput. High. Educ. 2011, 23, 15–37. [Google Scholar] [CrossRef]
- Faul, F.; Erdfelder, E.; Buchner, A.; Lang, A.-G. Statistical Power Analyses Using G*Power 3.1: Tests for Correlation and Regression Analyses. Behav. Res. Methods 2009, 41, 1149–1160. [Google Scholar] [CrossRef]
- Schwartz, S.H. Universals in the Content and Structure of Values: Theoretical Advances and Empirical Tests in 20 Countries. In Advances in Experimental Social Psychology; Elsevier: Amsterdam, The Netherlands, 1992; Volume 25, pp. 1–65. [Google Scholar]
- Bizumic, B.; Duckitt, J.; Popadic, D.; Dru, V.; Krauss, S. A Cross-cultural Investigation into a Reconceptualization of Ethnocentrism. Eur. J. Soc. Psychol. 2009, 39, 871–899. [Google Scholar] [CrossRef]
- Chapman, D.A.; Peters, E. Examining the (Non-Linear) Relationships between Climate Change Anxiety, Information Seeking, and pro-Environmental Behavioral Intentions. J. Environ. Psychol. 2024, 99, 102440. [Google Scholar] [CrossRef]
- Coates, Z.; Kelly, M.; Brown, S. The Relationship between Climate Anxiety and Pro-Environment Behaviours. Sustainability 2024, 16, 5211. [Google Scholar] [CrossRef]
- Linder, N.; Giusti, M.; Samuelsson, K.; Barthel, S. Pro-Environmental Habits: An Underexplored Research Agenda in Sustainability Science. Ambio 2022, 51, 546–556. [Google Scholar] [CrossRef]
- Mahardika, H.; Thomas, D.; Ewing, M.T.; Japutra, A. Comparing the Temporal Stability of Behavioural Expectation and Behavioural Intention in the Prediction of Consumers Pro-Environmental Behaviour. J. Retail. Consum. Serv. 2020, 54, 101943. [Google Scholar] [CrossRef]
- Pavani, J.-B.; Nicolas, L.; Bonetto, E. Eco-Anxiety Motivates pro-Environmental Behaviors: A Two-Wave Longitudinal Study. Motiv. Emot. 2023, 47, 1062–1074. [Google Scholar] [CrossRef]
- Veijonaho, S.; Hietajärvi, L.; Ojala, M.; Salmela-Aro, K. From Distress to Action?—A Three-Wave Longitudinal Study of Climate Change Distress, pro-Environmental Behavior, and Coping Strategies among Finnish Adolescents. J. Environ. Psychol. 2025, 105, 102676. [Google Scholar] [CrossRef]
- Brosch, T. Affect and Emotions as Drivers of Climate Change Perception and Action: A Review. Curr. Opin. Behav. Sci. 2021, 42, 15–21. [Google Scholar] [CrossRef]
- Pihkala, P. Toward a Taxonomy of Climate Emotions. Front. Clim. 2022, 3, 738154. [Google Scholar] [CrossRef]
- Marczak, M.; Wierzba, M.; Zaremba, D.; Kulesza, M.; Szczypiński, J.; Kossowski, B.; Budziszewska, M.; Michałowski, J.M.; Klöckner, C.A.; Marchewka, A. Beyond Climate Anxiety: Development and Validation of the Inventory of Climate Emotions (ICE): A Measure of Multiple Emotions Experienced in Relation to Climate Change. Glob. Environ. Change 2023, 83, 102764. [Google Scholar] [CrossRef]
- Wolfe, S.E.; Tubi, A. Terror Management Theory and Mortality Awareness: A Missing Link in Climate Response Studies? WIREs Clim. Change 2019, 10, e566. [Google Scholar] [CrossRef]
- Smith, L.K.M.; Ross, H.C.; Shouldice, S.A.; Wolfe, S.E. Mortality Management and Climate Action: A Review and Reference for Using Terror Management Theory Methods in Interdisciplinary Environmental Research. WIREs Clim. Change 2022, 13, e776. [Google Scholar] [CrossRef]
- O’Neill, S.; Nicholson-Cole, S. “Fear Won’t Do It”: Promoting Positive Engagement with Climate Change Through Visual and Iconic Representations. Sci. Commun. 2009, 30, 355–379. [Google Scholar] [CrossRef]
- Moser, S.C.; Dilling, L. Making Climate HOT. Environ. Sci. Policy Sustain. Dev. 2004, 46, 32–46. [Google Scholar] [CrossRef]
- Hastings, G.; Stead, M.; Webb, J. Fear Appeals in Social Marketing: Strategic and Ethical Reasons for Concern. Psychol. Mark. 2004, 21, 961–986. [Google Scholar] [CrossRef]
- Bockarjova, M.; Steg, L. Can Protection Motivation Theory Predict Pro-Environmental Behavior? Explaining the Adoption of Electric Vehicles in The Netherlands. Glob. Environ. Change 2014, 28, 276–288. [Google Scholar] [CrossRef]
- Van Der Werff, E.; Steg, L. One Model to Predict Them All: Predicting Energy Behaviours with the Norm Activation Model. Energy Res. Soc. Sci. 2015, 6, 8–14. [Google Scholar] [CrossRef]
- Witte, K. Putting the Fear Back into Fear Appeals: The Extended Parallel Process Model. Commun. Monogr. 1992, 59, 329–349. [Google Scholar] [CrossRef]
- Hurlstone, M.J.; Price, A.; Wang, S.; Leviston, Z.; Walker, I. Activating the Legacy Motive Mitigates Intergenerational Discounting in the Climate Game. Glob. Environ. Change 2020, 60, 102008. [Google Scholar] [CrossRef]
- Reser, J.P.; Bradley, G.L. Fear Appeals in Climate Change Communication. In Oxford Research Encyclopedia of Climate Science; Oxford University Press: Oxford, UK, 2017. [Google Scholar]
- Tannenbaum, M.B.; Hepler, J.; Zimmerman, R.S.; Saul, L.; Jacobs, S.; Wilson, K.; Albarracín, D. Appealing to Fear: A Meta-Analysis of Fear Appeal Effectiveness and Theories. Psychol. Bull. 2015, 141, 1178–1204. [Google Scholar] [CrossRef]
- Gardiner, S.M. A Perfect Moral Storm: Climate Change, Intergenerational Ethics and the Problem of Moral Corruption. Environ. Values 2006, 15, 397–413. [Google Scholar] [CrossRef]
- Fritsche, I.; Jonas, E.; Kessler, T. Collective Reactions to Threat: Implications for Intergroup Conflict and for Solving Societal Crises. Soc. Issues Policy Rev. 2011, 5, 101–136. [Google Scholar] [CrossRef]
- Bolderdijk, J.W.; Gorsira, M.; Keizer, K.; Steg, L. Values Determine the (In)Effectiveness of Informational Interventions in Promoting Pro-Environmental Behavior. PLoS ONE 2013, 8, e83911. [Google Scholar] [CrossRef]
- Fritsche, I.; Hoppe, A. We Supernaturals. In Handbook of Terror Management Theory; Elsevier: Amsterdam, The Netherlands, 2019; pp. 157–178. [Google Scholar]


| Sample Size | Age | Materials a | Internal Consistency (α) | Manipulation Check (0–1) | ||||||||||
|---|---|---|---|---|---|---|---|---|---|---|---|---|---|---|
| CC Salient | CC Not Salient | CCS > CCNS | ||||||||||||
| Study | N | Nfemale | M | SD | CC Salient | CC Not Salient | Positive Affect | Negative Affect | PEI | M | SD | M | SD | |
| 1a | 62 | 41 | 30.89 | 11.64 | Local | Local geo | 0.88 | 0.9 | 0.75 | 0.70 | 0.29 | 0.23 | 0.3 | *** |
| 1b | 140 | 107 | 29.6 | 11.78 | Local | Local geo | 0.84 | 0.88 | 0.8 | 0.77 | 0.23 | 0.09 | 0.17 | *** |
| 1c | 99 | 55 | 31.72 | 12 | Global | Global geo | 0.86 | 0.92 | 0.9 | 0.77 | 0.23 | 0.29 | 0.29 | *** |
| 1d | 70 | 36 | 24.84 | 6.46 | Local + Global | Fashion colors | 0.83 | 0.85 | 0.85 | 0.29 | 0.28 | 0.16 | 0.23 | *** |
| 1e | 130 | 103 | 21.79 | 4.63 | Global | Global geo | 0.76 | 0.76 | 0.89 | 0.76 | 0.17 | 0.13 | 0.19 | *** |
| 1f | 119 | 66 | 24.3 | 3.77 | Local | Local geo | 0.8 | 0.85 | 0.79 | 0.86 | 0.15 | 0.12 | 0.19 | ** |
| 1g | 95 | 45 | 23.73 | 7.72 | Local | Local geo | 0.86 | 0.87 | 0.77 | 0.68 | 0.24 | 0.12 | 0.19 | *** |
| 1h | 104 | 76 | 24.1 | 10.35 | Local | Local geo | 0.82 | 0.9 | 0.92 | 0.70 | 0.23 | 0.23 | 0.21 | *** |
| Total | 819 | 529 | 26.16 | 9.62 | ||||||||||
| Climate Change—Not Salient (CCNS; N = 431) | Climate Change—Salient (CCS; N = 388) | CCS > CCNS | r(818) | ||
|---|---|---|---|---|---|
| Variable | M (SD) | M (SD) | t(813.10) | 1 | 2 |
| 1. Negative affect | 0.13 (0.14) | 0.28 (0.20) | 12.80 *** | ||
| 2. Positive affect | 0.43 (0.18) | 0.41 (0.16) | −1.93 | 0.132 *** | |
| 3. Pro-environmental intention | 0.62 (0.17) | 0.63 (0.17) | −0.07 | −0.002 | 0.087 * |
| Effect | Estimate | SE | 95% CI | p | |
|---|---|---|---|---|---|
| LL | UL | ||||
| Fixed effects (within-study) | |||||
| CCS → NA | 0.141 | 0.033 | 0.075 | 0.206 | <0.001 |
| CCS → PA | −0.024 | 0.010 | −0.043 | −0.006 | 0.011 |
| NA → PEI | −0.028 | 0.036 | −0.098 | 0.042 | 0.430 |
| PA → PEI | 0.092 | 0.060 | −0.025 | 0.210 | 0.124 |
| CCS → PEI (direct effect) | 0.007 | 0.013 | −0.019 | 0.033 | 0.590 |
| CCS → NA → PEI | −0.004 | 0.005 | −0.014 | 0.006 | 0.450 |
| CCS → PA → PEI | −0.002 | 0.001 | −0.005 | 0.001 | 0.118 |
| Total effects | 0.001 | 0.010 | −0.019 | 0.021 | 0.930 |
| Random effects | |||||
| Within-study variance | 0.029 | 0.004 | 0.022 | 0.036 | <0.001 |
| Between-study variance | 0.003 | 0.002 | −0.001 | 0.008 | 0.133 |
| ICC | 0.102 | - | - | - | - |
| b (SE) | r(135) | |||||||
|---|---|---|---|---|---|---|---|---|
| Variable | M | SD | Reflection | CCS | Reflection x CCS | 1 | 2 | 3 |
| 1. Negative affect | 0.38 | 0.29 | 0.1 (0.05) * | 0.42 (0.04) *** | −0.03 (0.07) | |||
| 2. Positive affect | 0.38 | 0.19 | −0.09 (0.04) * | −0.25 (0.03) *** | 0.03 (0.05) | −0.61 ** | ||
| 3. Pro-environmental intentions | 0.76 | 0.13 | −0.02 (0.03) | 0.05 (0.03) | −0.02 (0.05) | 0.21 * | −0.10 | |
| 4. Pro-environmental behavior | 0.70 | 0.17 | −0.03 (0.06) | −0.01 (0.05) | 0.03 (0.08) | 0.03 | −0.03 | 0.75 ** |
Disclaimer/Publisher’s Note: The statements, opinions and data contained in all publications are solely those of the individual author(s) and contributor(s) and not of MDPI and/or the editor(s). MDPI and/or the editor(s) disclaim responsibility for any injury to people or property resulting from any ideas, methods, instructions or products referred to in the content. |
© 2026 by the authors. Licensee MDPI, Basel, Switzerland. This article is an open access article distributed under the terms and conditions of the Creative Commons Attribution (CC BY) license.
Share and Cite
Klackl, J.; Uhl-Hädicke, I.; Fowles, T.; Jonas, E. Experimental Tests of an Affective Pathway to Pro-Environmental Intentions. Sustainability 2026, 18, 1826. https://doi.org/10.3390/su18041826
Klackl J, Uhl-Hädicke I, Fowles T, Jonas E. Experimental Tests of an Affective Pathway to Pro-Environmental Intentions. Sustainability. 2026; 18(4):1826. https://doi.org/10.3390/su18041826
Chicago/Turabian StyleKlackl, Johannes, Isabella Uhl-Hädicke, Tilmann Fowles, and Eva Jonas. 2026. "Experimental Tests of an Affective Pathway to Pro-Environmental Intentions" Sustainability 18, no. 4: 1826. https://doi.org/10.3390/su18041826
APA StyleKlackl, J., Uhl-Hädicke, I., Fowles, T., & Jonas, E. (2026). Experimental Tests of an Affective Pathway to Pro-Environmental Intentions. Sustainability, 18(4), 1826. https://doi.org/10.3390/su18041826

