Next Article in Journal
Eco-Physiological Vulnerability of Quararibea funebris in Peri-Urban Landscapes: Integrating Gender and Nature-Based Solutions in the Central Valleys of Oaxaca, Mexico
Previous Article in Journal
Sustainable Livestock Farming in Chile: Challenges and Opportunities
 
 
Font Type:
Arial Georgia Verdana
Font Size:
Aa Aa Aa
Line Spacing:
Column Width:
Background:
Article

Combating Megacity Syndrome: A Synergistic Governance Framework with Evidence from China’s Megacities in Yangtze River Economic Belt

by
Jing Yu
1,
Dirong Xu
1,2,*,
Siyu Gao
3,* and
Lirong Tang
1
1
School of Economics and Management, China University of Geosciences, Wuhan 430074, China
2
School of Intelligent Construction, Changjiang Institute of Technology, Wuhan 430212, China
3
University Office, China University of Geosciences, Wuhan 430074, China
*
Authors to whom correspondence should be addressed.
Sustainability 2026, 18(3), 1631; https://doi.org/10.3390/su18031631
Submission received: 1 January 2026 / Revised: 1 February 2026 / Accepted: 1 February 2026 / Published: 5 February 2026
(This article belongs to the Section Sustainable Urban and Rural Development)

Abstract

Megacities in the Yangtze River Economic Belt (YREB) are facing severe challenges and unbalanced development. Combating megacity syndrome is crucial for achieving modernization. This study developed a Development-Autonomy-Inclusiveness governance framework to characterize megacity governance capacity modernization (MGCM). The integrated model is employed to evaluate the MGCM for nine megacities along the YREB in China from 2013 to 2022. The key determinants are identified by Geo-detector. The configuration pathways and synergistic mechanisms for high MGCM are depicted using fsQCA. The empirical study indicates that: (1) The MGCM is at a low level but displays a slight upward trend, with development capacity > autonomy capacity > inclusiveness capacity. The MGCMs of three urban agglomerations manifest as being development-driven, autonomy-constrained, and autonomy-promoted. (2) The synergistic interaction among determinants is greater than any single factor. (3) Megacities exhibited distinct pathways to achieve high MGCM: tri-capacity synergy pattern in the Yangtze River Delta, development dominant pattern in Chengdu-Chongqing, autonomy weakness pattern in the Mid-Yangtze River, and adversity survival pattern during extraordinary periods. A novel theoretical framework and practical examples are proposed for boosting the modernization of governance capacity in China’s megacities, offering valuable insights for advancing the governance modernization of megacities worldwide.

1. Introduction

The Yangtze River Economic Belt (YREB) is a crucial region of national strategic development in China. Its megacities (populations exceeding 5 million) account for nearly half of China’s megacities. Their regional GDP, R&D expenditure, education expenditure, and patent grants make up 23.4%, 31.8%, 21.9%, and 22.1% of China’s prefecture-level and above cities, respectively. As a key carrier for the YREB’s new developmental paradigm—characterized by “one axis, two wings, three poles, and multiple nodes”—they play a leading role in advancing the modernization of China’s urban governance capabilities.
One of the Sustainable Development Goals proposed by the 2030 Agenda of United Nations is to build resilient, inclusive, and sustainable cities [1]. Since the 20th National Congress of China, the Digital China strategy has vigorously advanced the progress of digital governance. The Chinese government has further proposed accelerating the transformation of megacities’ development patterns by leveraging urban agglomerations and metropolitan areas to build livable, resilient, and smart cities.
However, the nine megacities within the three urban agglomerations of the YREB are facing severe challenges, such as excessive population concentration, polluted ecological environment, insufficient public resources, and weakened public security [2], etc. It is difficult to coordinate joint efforts among diverse social governance entities of governments, social organizations, enterprises, and the public; the capacity for intelligent collaborative governance urgently needs to be improved. These challenges have become bottlenecks in accelerating the modernization of governance capabilities of megacities along the YREB. Moreover, megacities at different stages of development exhibit heterogeneous governance contexts, making it difficult to implement universal governance strategies. The above reasons suggest that new pathways to modernizing governance capabilities need to be explored.
Therefore, this study will focus on the nine megacities along the YREB to explore megacity governance capacity modernization (MGCM) and the synergistic development patterns among megacities in the Chinese context.
However, the traditional frameworks struggle to holistically depict the modernization of governance capacities in megacities. They fail to adequately capture the intrinsic demands of megacities to achieve high-quality development, collaborative governance among diverse entities, and smart and efficient management. Some scholars have conducted assessments of megacities’ resilience, sustainability, and adaptability, but few have employed integrated approaches to evaluate the modernization of megacity governance capacity. Furthermore, case studies in this field remain scarce. Therefore, how to scientifically characterize and measure the modernization level of megacity governance capacity has become a hot topic as well as focus area for global researchers. Although extensive research has probed into the frameworks and implementation pathways of national and urban governance capacity or governance modernization—most of them stressed on the fundamental concepts like people-oriented, legal governance and sustainable development. Most research has not fully addressed the role of technological innovation, digital governance, and smart management.
In this context, we synthesize the concepts of people-oriented, legal governance and high-quality and inclusive development, fully accounting for the contributions brought by technological innovation and digital-intelligent governance, and present a synergistic governance framework to explore the MGCM of nine megacities along the YREB in China, examining their synergistic mechanisms to address: (1) How to scientifically define and measure the MGCM? (2) What are the MGCM levels of megacities along the YREB? (3) What are the key factors determining the MGCM of megacities along the YREB? (4) How to depict their configuration pathways and synergistic mechanisms?
To address these questions, this article is organized into six parts: Section 1 is the introduction, followed by a literature review in Section 2. Section 3 develops a theoretical framework and evaluation system. Section 4 elaborates on the measurement model, and Section 5 validates the feasibility of the integrated model through an empirical study on the nine megacities along the YREB. Section 6 discusses research implications and Section 7 points out directions for future exploration.

2. Literature Review

2.1. Theoretical Framework of Urban Governance Modernization

Scholars have carried out studies on urban governance modernization from different facets like governance concepts, governance fields, basic frameworks, etc. [3,4]. Generally, they have touched upon concepts like people-oriented [5], legal governance [6], and some have also probed into systematic or holistic governance, diverse entities collaborative governance, and smart governance [7,8,9]. Scholars have expanded their views from single perspective to co-constructing, co-governing and shared benefits [10,11], and full-cycle management [12]. Based on these concepts and studying fields, scholars have built the urban governance framework [13], and the transformative urban resilience framework [14].
Scholars focusing on digital governance have established the following frameworks: the urban governance capacity modernization framework driven by digital governance [15]; the smart-enabled urban governance modernization system [16]; the Five-in-One logical framework of Legal-Virtue-Smart-Collaboration-Global governance [3]; and the barrier-free digital urban logic framework stressing on digital inclusiveness and fairness [17]. Regarding urban sustainability or urban resilience [18], scholars proposed the multidimensional framework encompassing economy, society, governance, environment, and nature [19]. From the point of view of the current frameworks, scholars began to emphasize smart and collaborative governance, gradually taking the impacts of the new round of technological revolution into consideration. The research angles mainly centered on development [20], autonomy [21] or inclusiveness and fairness [17], while the studies on synergistic development, autonomy and inclusiveness are relatively limited.

2.2. Evaluation System of Urban Governance Capacity

In the early stage, scholars mainly concentrated on urban governance capacity, with evaluation dimensions including infrastructure, culture, education, healthcare, social security, environmental protection, and landscaping and greening [22]. Liu et al. further constructed evaluation systems from such angles as infrastructure, culture, education, ecological greening, healthcare and social environment [23]. Moreover, Gu studied aspects like institutional mechanisms, process supervision, governance performance, and public satisfaction [24].
Research is relatively scarce on constructing evaluation systems for urban governance capacity modernization. More scholars focus their angles on one specific field like social governance [25], environmental governance [26], and digital governance [27]. Some scholars have developed corresponding evaluation systems at the levels of communities [28], urban agglomerations [29], provinces and nations [30].
However, only a few scholars have focused specifically on megacities. Tan explicitly proposed that governance in megacities should be carried out from six aspects, that is, economy, society, ecological environment, public service, infrastructure, and emergence management, but he did not construct any indicator system [31]. These studies, in a real Chinese context, provide valuable insights for the Development-Autonomy-Inclusiveness evaluation system presented in this research.
Overall, the current evaluation systems mainly place high priority on the harmonious development of society, economy and environment, as well as the participation of diverse entities. Scholars generally considered the impacts of technology, education and management, but did not fully account for the contributions of technological innovation and digital-intelligent governance. And there is still a lack of an indicator representing the characteristics and requirements of China’s modernization. Therefore, issues such as developing an assessment system and measuring the level of the governance capacity modernization of megacities in China, still require further exploration.

2.3. Methodology for Measuring Urban Governance Capacity Modernization

Some scholars have probed into the assessment of the resilience of megacities [32], the resilience of digital cities [33], the sustainability of smart megacities [34], and urban adaptability [35], but there is still a lack of measurement on the MGCM. The methods adopted include qualitative analysis [36] or quantitative modeling (e.g., multiple regression analysis [37], comprehensive assessment method based on Analytic Hierarchy Process (AHP) [24], Qualitative Comparative Analysis (QCA) [38], Technique for Order Preference by Similarity to Ideal Solution (TOPSIS) [39]). However, a few scholars have conducted combined evaluations, such as Li adopting AHP and Grey Relational Analysis (GRA) to evaluate the modernization of the social governance in megacities [40]; Using Entropy Method (EM) and AHP, Hou et al. assessed the governance level of the Yangtze River Delta urban agglomeration [29]. Xu et al. further measured the modernization level of governance capacity in the megacity of Wuhan. To investigate the impact intensity among elements within a system [41], Gray et al. introduced the Fuzzy Cognitive Map (FCM) [42]. Issac and Newell further applied the FCM to explore interrelationships among basin values, challenges, and strategies [43]. These methods provide valuable guidance for this study, but case studies on how to integrate their advantages and apply these approaches to measure the MGCM of a specific city still need further exploration.

2.4. Pathways for Modernizing Megacity Governance Capability

Scholars have introduced the Geo-detector method to identify key determinants, such as Yu et al. examining resource-based cities to combat urban shrinkage [44] and Huang et al. probing into diversified co-governance of the spatial evolution of towns [45]. This provides methodological reference for the exploration of key determinants of the MGCM.
Regarding the pathways for modernizing megacity governance capabilities, Zheng et al. carried out a multi-case study on five megacities in China, and argued that enhancing urban governance quality should be achieved through digital transformation for government [46]. Wang et al. proposed a refined management using Shanghai as an example [47]. Other scholars touched upon the pathways or patterns stressing holistic governance cross departments and hierarchy [48], collaborative governance of diverse entities [8], holistic-collaborative governance driven by data platform [32], and holistic intelligent governance absorbing strengths from these pathways [7]. Chen and Fan adopted a fuzzy-set qualitative comparative analysis (fsQCA) to develop three driving patterns of urban renewal performance, namely, the comprehensive development pattern, political–ecological synergy pattern, and economic–cultural weakness pattern [49]. While these studies offer effective governance pathways for megacities, most rely on one case study or static perspective, leaving the dynamic adaptability of governance pathways to be further explored.

3. Theoretical Framework

3.1. A Synergistic Governance Framework

In view of the previous research, this study absorbs the perspectives of megacity governance and development [20], urban autonomy [21], and inclusiveness and fairness [17], and defines the connotation of megacities governance capacity modernization (MGCM) as: A megacity’s government, through collaboration with diverse entities such as social organizations, enterprises, and the public, achieves the modernization level integrating development, autonomy and inclusiveness in the context of co-construction, co-governance and shared benefits; at the same time, it also aims to enhance the public satisfaction, well-being and security via effective governance in government regulation, economic development, cultural development, social governance, ecological environment and people’s livelihoods, while adhering to the five principles of people-oriented, legal governance, high-quality development, digital-intelligence enablement and technological innovation. The synergistic governance framework is proposed in Figure 1.
Specifically, in the synergistic governance framework, development capacity is primarily characterized by government regulation, economic development, and cultural development. Autonomy capacity is depicted through social governance and the ecological environment. Inclusiveness capacity is reflected in people’s livelihoods. Development capacity is the driving force for achieving the MGCM and is also a prerequisite for realizing Chinese-style urban modernization. It provides the resources support for megacity autonomy and inclusiveness. Autonomy and inclusiveness capacities are of great significance to social stability and fostering high-quality urban development. The synergy between the three capacities can enhance the overall levels of government supervision, economic development, cultural development, social governance, ecological environment, and people’s livelihoods, thus ultimately achieving the modernization of megacity governance capacity.

3.2. Evaluation System

The indicators in this study are primarily selected based on the Development-Autonomy-Inclusiveness framework, incorporating the six dimensions of China’s first modern urban characteristic assessment system and drawing upon previous research findings. In constructing the indicator system, this study draws on the concepts of development [20], urban autonomy [21], and inclusiveness [17,50,51] and extracts Development-Autonomy-Inclusiveness as the three dimensions of MGCM [41]. For now, the indicator systems generally covered aspects such as economy, society, and environment [52]. Some scholars have also specifically emphasized the impact of culture [53] and livelihoods [54], and the measurement of governance capacity in ecological environment [26]. More comprehensively, Wang et al. explored urban governance capacity by considering the five components of society, economy, culture, ecology, and administration [55]. To highlight the characteristics of modern cities, this study also takes into account the six dimensions mentioned in China’s first modern urban characteristics assessment system, that is, infrastructure, economic development, cultural construction, livelihoods services, governance capacity, and ecological environment [56]. Based on previous studies, this study establishes an evaluation system including government regulation, economic development, cultural development, social governance, ecological environment, and people’s livelihoods.
Specifically, in terms of government regulation, this article considers urban government capability [57], policy implementation capacity [58], and the impact of institutionalization [59]. It also looks into the role of digital government governance [27] and smart governance [34]. In social governance, this study draws on urban public health governance [60], and disaster emergency response [61]. Regarding the economy, culture, ecological environment, and people’s livelihoods, this article considers factors like industrial structure optimization and technological innovation [62], infrastructure, culture, education, ecological greening, healthcare, and social environment [23]. Furthermore, people’s livelihoods incorporate fairness and security factors [63], as well as infrastructure [64] and quality of life [65].
Based on the proceeding research and the synergistic governance framework, the evaluation system is designed with four levels and 42 specific elements, as shown in Figure 2.

4. Methodology

4.1. Integrated Model of EM-FCM-ANP

This study employs the integrated model of Entropy Method—Fuzzy Cognitive Map—Analytic Network Process (EM-FCM-ANP) to determine weights and measure the MGCM. The improved approach advances the inadequacy of a single evaluation approach in reflecting the complexity of the MGCM system.
Specifically, EM is used to determine indicator weights using factual data, and it is more objective compared with subjective weighting [63,66]. FCM is applied to precisely measure causal relationships and the impacts among elements through the directed graphs with weights, making it suitable for complex causal systems that are difficult to express [67]. Additionally, ANP is employed to calculate the criterion and element weights owing to ANP’s advantage in accounting for the interactions between elements at the same level and neighboring levels [68]. By combining EM, FCM, and ANP, a multi-level network structure for the MGCM system is constructed, representing the causal relationships and impacts among elements. The integrated model is used to determine the weights of criterion, element and indicator level on account of its advantage in reflecting the complexity of the MGCM system with visual representation. The specific steps are outlined as below (see Figure 3):
  • Step 1 Normalize each indicator
For positive indicator:
x i j = ( x i j min { x i j } ) / ( max { x i j } min { x i j } )
For negative indicator:
x i j = ( max { x i j } x i j ) / ( max { x i j } min { x i j } )
where x i j and x i j refer to the factual and normalized values, respectively. i = 1 , 2 , , m denotes the evaluation object, j = 1 , 2 , , n represents the evaluation indicator.
  • Step 2 Calculate the indicators’ weights by EM
    p i j = x i j / i = 1 m x i j ,
    e j = i = 1 m p i j ln p i j / ln m ,
    g j = 1 e j ,
    w j = g j / j = 1 n g j ,   W = w 1 , w 2 , , w n ,
    in Formulas (3)–(6), p i j , e j , g j , w j and W refer to the eigenvalue ratio, entropy value, the coefficient of variation, the j -th indicator’ weight, and the weight’s set, respectively. If p i j = 0 , then define lim p i j 0 p i j ln p i j = 0 .
  • Step 3 Calculate the criterion and element weights by FCM-ANP
(i)
Define concept sets
V = { v 1 , v 2 , , v d } ( d = 1 , 2 , , 13 ) ,
(ii)
Obtain the causal weight matrix
For this study, experts were invited to assess the causal relationships and the intensities between elements using a 1–9 scale fuzzy linguistic variable. Subsequently, the defuzzification was performed using the gravity method to derive the following causal weight matrix.
R = r 11 r 1 h r 1 H r g 1 r g h r g H r G 1 r G h r G H ,
In the weight matrix of FCM, r g h represents the impact intensity of C g on C h . The larger the absolute value, the greater the impact intensity of C g on C h . The signs of + and—indicate the positive or negative direction of the causal relationship, respectively.
(iii)
Construct network structure model (see Figure 4)
(iv)
Develop pairwise comparison matrix A
A = a x y = 1 a 12 a 1 Y a 21 1 a 2 Y a Y 1 a Y 2 1 ,
where a x y = 1 / a y x and a x y > 0 . The 1–9 scale method proposed by Saaty [68], is employed to measure a x y by the pairwise comparison.
(v)
Construct the supermatrix W S and conduct consistency test
W S = W 11 W 1 u W 1 U W t 1 W t u W t U W T 1 W T u W T U ,
In Equation (10), W t u denotes the influence matrix of cluster t on cluster u , t = 1 , 2 , , T , u = 1 , 2 , , U ; if there is no influence between the elements, then W t u = 0 .
(vi)
Obtain the weighted supermatrix W ¯ S and the limit supermatrix W S
W ¯ S = D S W S ,
W S = lim k W ¯ S k ,
In Formulas (11) and (12), D S is the weight matrix among the first-level criteria. When k , and W ¯ S k converges with identical columns, the steady-state weights—namely, the limit weights—are obtained, thereby yielding the weights of the first and second levels.
  • Step 4 Evaluate the MGCM’s level
By applying the weights at different levels, the scores for higher-level indicators are calculated by weighting the sum of the indicator weights for the i -th evaluation object and the corresponding standardized values. Similarly, the MGCM values are obtained accordingly.

4.2. Geo-Detector

To characterize the interdependent effects among various factors of the MGCM in megacities along the YREB and to identify the key determining factors, this study applies the Geo-detector model to examine key factors [69]. The formula is as below:
Q = 1 1 F σ 2 θ = 1 L F θ σ θ 2 ,
where L represents the category of determining factors, θ = 1 , 2 , , L , F is the number of samples, F θ and σ θ 2 signify the sample size and variance at the θ th level, respectively, F and σ 2 denote the total sample size and variance. Q ∈ [0, 1], the larger the Q value, the greater the factor’s explanatory capacity for the MGCM.

5. Empirical Research

5.1. Samples and Data

According to China’s city category, megacities refer to cities with a city permanent resident population of 5 million or more. The nine megacities along the YREB were selected as the research objects, which are distributed across three urban agglomerations in China, that is, the Yangtze River Delta (Shanghai, Suzhou, Hangzhou, Nanjing, Hefei), Mid-Yangtze River (Wuhan, Changsha), and Chengdu-Chongqing (Chongqing, Chengdu). The distribution of the nine megacities along the YREB is as shown in Figure 5.
The sample data were gathered from the following sources: the Urban Statistical Yearbook of China and the Urban Statistical Yearbooks of specific cities from 2014 to 2023, the Urban Construction Statistical Yearbook of China and the statistical bulletins of specific cities from 2013 to 2022, official websites of the municipal and provincial statistical bureaus, official websites of city governments, other public statistical data, as well as the results from surveys and interviews. Surveys on DGP2 (citizen participation), ASP2 (popularization of public awareness of disaster prevention), and IPQ4 (people’s experience of three senses (sense of gain, happiness, and security)) were conducted through questionnaires and interviews. For individual missing data, statistical methods such as fitting and smoothing were applied to obtain the values.

5.2. The MGCM Measurement by EM-FCM-ANP

5.2.1. Calculation of the Weights

First, according to Formulas (1) and (2), the data is normalized. Second, indicators weights at each level are acquired by Formulas (3)–(12). For more intuitive and efficient computation, the computational process is performed using the algorithm software developed in this study.
The weights of the first-level criteria:
w = 0.3000 , 0.3547 , 0.3453
The weights of the second-level elements:
w 1 = 0.4530 , 0.3103 , 0.2367 ,   w 2 = 0.6166 , 0.3834 ,   w 3 = 1 .
The weights of the third-level sub-elements:
w 11 = 0.4187 , 0.5813 ,   w 12 = 0.5564 , 0.4436 ,   w 13 = 0.1648 , 0.8352 ,   w 21 = 0.4829 , 0.5171 ,   w 22 = 0.5331 , 0.4669 ,   w 31 = 0.3249 , 0.3221 , 0.3530 .
The weights of the fourth-level indicators are obtained by EM, as shown in Table A1.

5.2.2. Measurement of the MGCM

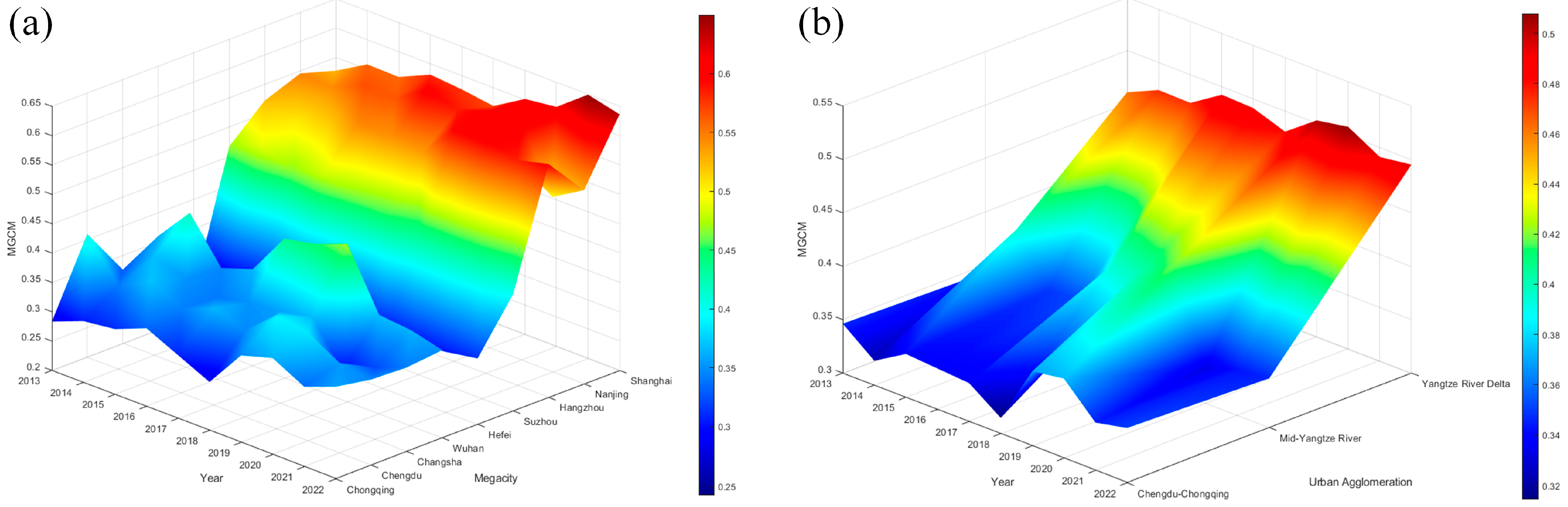
To reveal the changing trend and heterogeneity of MGCM across different regions, this study conducted analyses at two scales: nine megacities and the three urban agglomerations in which these megacities are located. According to the aforementioned formulas and the weights obtained, the MGCM of nine megacities and three urban agglomerations were acquired (see Figure 6).
  • The MGCM of nine megacities
In this study, the MGCM levels are categorized as follows: scores in the range [0.57, 1] are defined as leading cities, [0.46, 0.57) as demonstrating cities, [0.35, 0.46) as developing cities, and [0, 0.35) as growing cities. The overall level of MGCM in nine megacities is at a low level. Among them, Shanghai, Hangzhou, and Hefei exhibit an overall upward trend, while Suzhou shows a downward trend. Nanjing and Wuhan display an initial upward momentum followed by a decline, which may stem from the repercussions of COVID-19 from 2020 to 2022. Chengdu, Changsha and Chongqing are presenting fluctuations—rising and falling in turn. In general, although the MGCM remains at a low level, it displays a slight increasing trend from 2013 to 2022.
According to the MGCM levels of the nine megacities (Figure 7a), the four megacities that are above the average level, are all situated in Yangtze River Delta. Among the five megacities in the Yangtze River Delta, four megacities are driven by the development capacity, except for Suzhou, while Suzhou is primarily governed by the autonomy capacity (Figure 7c). The reason lies in the fact that all four of the megacities may have benefited from the advancement of the Yangtze River Delta integration strategy. They have taken the lead in applying intelligent collaborative platforms and developing emerging industries, effectively promoting the MGCM. Nanjing, in particular, excels in social security and environmental governance, resulting in higher autonomy capacity. Hefei ranks lowest among the nine megacities, primarily constrained by its low levels of all three capacities (Figure 7c). These megacities are relatively weak in artificial intelligence research and development, disaster prevention and emergency response capabilities. Wuhan and Changsha in the Mid-Yangtze River are mainly constrained by autonomy capacity, while Chengdu and Chongqing in the Chengdu-Chongqing region benefit from autonomy capacity (Figure 7c).
  • The MGCM of three urban agglomerations
The MGCM of the three urban agglomerations decreases from east to west. Specifically, Yangtze River Delta (0.4870) > Mid-Yangtze River (0.3677) > Chengdu-Chongqing (0.3437) (Figure 7b,d). Among them, only the Yangtze River Delta exceeded the average.
As shown in Figure 6b, the MGCM level of the Yangtze River Delta shows an overall upward trend. In the Mid-Yangtze River, the MGCM level exhibits a fluctuating tendency similar to that of Chengdu-Chongqing, remaining largely stable except for a few years with significant increases. The Yangtze River Delta leads in the MGCM owing to their relatively developed economies, superior industrial innovation capabilities, robust intelligent collaborative management capacity, continuously improving environmental responsiveness, and well-developed infrastructure. Other agglomerations like the Mid-Yangtze River and Chengdu-Chongqing are constrained by significant intra-regional disparities in development, which drag down their overall MGCM levels.
  • The changing trend of the MGCM and three capacities
As presented in Figure 7c, the average values of the tri-capacity are development capacity (0.4410) > autonomy capacity (0.4370) > inclusiveness capacity (0.4006). The result demonstrates that development capacity plays an essential role in advancing the MGCM of the nine megacities, but they are all at low levels. Changes in the MGCM and three capacities in different megacities are characterized by the following:
Megacities in the Yangtze River Delta are primarily driven by development capacity. As demonstrated in Figure 7a,c, the leading and demonstrating cities in the Yangtze River Delta ranking top in MGCM are primarily driven by development capacity. Megacities like Shanghai, Nanjing and Hangzhou are representatives in these cities, with developing capacity > inclusiveness capacity > autonomy capacity. Shanghai is renowned for its international economic status and financial hub, boasting strong economic strength, advanced industrial structure, and abundant cultural resources. The megacity features a high per capita disposable income for residents and a large share of strategic emerging industries. All these factors contribute to the powerful development capacity of these megacities. It is important to note that Suzhou, a developing city, is constrained by development capacity and primarily relies on autonomy capacity. Although its autonomy capacity ranks first, it urgently needs to strengthen development capacity due to the short-term economic impact and insufficient technological and educational resources. Hefei, a growing city known as the Speech Valley of China and Chip Capital, is also driven by development capability. However, its autonomy and inclusiveness capacities rank last and second lowest respectively, resulting in the lowest three capabilities level.
Megacities in the Mid-Yangtze River are constrained by autonomy capacity. As seen in Figure 7a,c, Wuhan and Changsha are constrained by autonomy capacity, with MGCM levels generally being medium or low. Of them, Wuhan demonstrates a trend of development capacity > inclusiveness capacity > autonomy capacity, while Changsha exhibits inclusiveness capacity > development capacity > autonomy capacity. These megacities benefit from the national strategy of The Rise of Central China and pay close attention to livelihoods issues. For example, Wuhan has abundant technological and educational resources. The inclusiveness capacity is primarily reflected by the optimization of infrastructure and public services. Changsha is not capable enough of intelligent collaborative management applications, industrial structure upgrading, as well as science and technology and education, resulting in relatively weak development capacity. Additionally, Changsha is confronted with issues like an insufficient number of social organizations, while Wuhan has experienced a reduction in ecological space due to urban expansion. All these problems constrain the full exploration of the autonomy capacity of these megacities.
Megacities in Chengdu-Chongqing are promoted by autonomy capacity. As seen in Figure 7a,c, the MGCM of Chongqing and Chengdu is generally at a medium or low level, showing a trend of autonomy capacity > development capacity > inclusiveness capacity, but the autonomy capacity generally being medium or high. These megacities attach great significance to promoting autonomy capacity in such areas as social governance and ecological environment. Chongqing and Chengdu focus on enhancing disaster prevention and emergency response capabilities, while also prioritizing ecological protection and green development along the Yangtze River. However, compared to first-tier cities, the development capacity and autonomy capacity of these megacities are somewhat insufficient.

5.3. Identification of Determinants by Geo-Detector

The Geo-detector is employed in this study to determine the key determinants of the MGCM through factor detection and interactive detection. The results shown in Table 1 indicate that all six factors passed the significance test, demonstrating that the MGCM is influenced by development capacity, autonomy capacity, and inclusiveness capacity. Among them, ecological environment exhibits the strongest explanatory capacity, followed by people’s livelihoods, cultural development, and economic development. These four factors, with explanatory capacities exceeding 0.729, serve as the key determinants of the MGCM. The results demonstrate that ecological environments and people’s livelihoods play a dominant role, which aligns closely with China’s vigorous advocacy for ecological civilization and its commitment to a people-oriented development. Cultural development and economic development exhibit strong explanatory capacity, indicating that the MGCM can be enhanced through the integration of culture and tourism, upgrading industrial structures, and leveraging cultural resources to enable industrial economies. Meanwhile, the influence of social governance and government regulation is also significant, which suggests that social security, public emergency management, process supervision, and intelligent collaborative management are becoming key contributors to advancing the MGCM.
Synergistic effects are commonly observed among different factors, as shown in the results of interaction detection (Table 1), particularly in combinations such as ecological environment–people’s livelihoods, social governance–cultural development, social governance–ecological environment, and social governance–people’s livelihoods. This suggests a mutual reinforcement mechanism exists among the ecological environment, people’s livelihoods, cultural development, social governance, and economic development. Autonomy capacity and inclusiveness capacity also exhibit significant interactive effects, consistent with the Sustainable Development Goals advocated by the United Nations and China—namely, building inclusive and livable cities.
Therefore, enhancing the MGCM requires strengthening social governance alongside a multi-directional linkage among the ecological environment, people’s livelihoods, cultural development, and economic development. By promoting the coordinated development of development capacity, autonomy capacity, and inclusiveness capacity, efforts should be made to modernize the governance capabilities of megacities.

5.4. Analysis of Configuration Pathways Using fsQCA

To overcome the limitations of research in static perspective, the fsQCA [70] is applied in this study to examine how multiple prerequisite conditions interact and jointly impact of the MGCM, revealing the configuration pathways to the high MGCM.
The fsQCA involves five steps. First, variables are identified and measured. The outcome variable in this study is the MGCM level, with element-level indicators serving as prerequisite conditions. Variable values are derived from the computational results in Section 5.2.
Second, variable calibration is performed. This study specifies three anchors in the fsQCA. Following Tan et al., the anchors for full membership, intersection point, and full non-membership correspond to the 75th, 50th, and 25th percentiles of the samples, respectively [71]. The calibration results are presented in Table 2.
Third, the necessity is verified. The software of fsQCA 4.0 is employed in this study to conduct necessity tests on individual variables, separately examining at the high and non-high MGCM levels. The results demonstrate that the consistency of all variables fails to reach the 0.9 threshold (see Table 3), suggesting that no single variable can independently serve as a necessary condition for explaining the outcome variable.
Fourth, the sufficiency analysis is implemented by comprehensively examining the interactive effects among various variables.
In light of research by Schneider and Wagemann [72], this study specifies the case frequency, original consistency, and PRI consistency threshold at 1, 0.8, and 0.75, respectively. After simplifying the initial truth table, this study employs intermediate solutions for analysis with reference to the parsimonious solution. The aim is to identify core and peripheral conditions, thereby deriving configuration pathways that lead to high and non-high MGCM levels. As seen in Table 4, the sufficiency analysis reveals the four pathways for megacities to achieve high MGCM.
  • Tri-capacity synergy pattern.
In configuration H1, cultural development and people’s livelihoods serve as core conditions, while economic development and ecological environment serve as peripheral conditions. Regardless of the presence of government regulation and social governance in any conditions, they consistently promote the high MGCM level. Since both core and peripheral conditions of configuration 1 are attributed to the three capacities, this pattern is named the “tri-capacity synergy pattern.” Shanghai, Hangzhou, and Nanjing, located in the Yangtze River Delta, are typical examples of this development pattern. Leveraging its deep-rooted digital culture, Hangzhou introduced the “40 Measures for the Integrated Development of Cultural Industries”, successfully driving digital transformation. The dual-belt of cultural industry it has shaped—the Zhijiang River and Grand Canal cultural industry belts—has enriched people’s livelihoods in every aspect. Shanghai, Hangzhou, and Nanjing have fostered advanced industrial clusters and built an Eco-Green Integrated Development Demonstration Zone in the Yangtze River Delta, capitalizing on the Yangtze River Delta integration and high-quality development strategies. This has promoted coordinated development between economic growth and green, low-carbon co-governance in these megacities, ultimately giving rise to a stable and sustainable high-level governance paradigm.
  • Development dominant pattern.
Configuration H2 indicates that government regulation and cultural development serve as core conditions, while social governance and ecological environment serve as peripheral conditions. Regardless of the existence of economic development and people’s livelihoods in any condition, they can promote the high MGCM level. This study labels this configuration “development dominant pattern.” Representative cities are cities such as Shanghai, Hangzhou, etc. For example, by leveraging the Shanghai Big Data Center, Shanghai has established a “One-network for Unified Management” system characterized by “information disclosure and intelligent collaboration.” Through the enablement of Shanghai’s Haipai culture and Jiangnan culture, the implementation of digital initiatives like “Readable Buildings”, the “Grand Museum Project,” and the “Culture Cloud” platform, Shanghai is building itself into an international cultural metropolis. Coupled with a trinity grassroots governance network of “Community Cloud—Micro-grids—Diversified co-governance”, the megacity maintains a high level of MGCM even when facing economic and livelihoods challenges. This pattern provides a resilient framework for urban governance. It is evident that by prioritizing government regulation and cultural development while actively responding to the demands of social governance and ecological environment, a high level of MGCM can be achieved.
  • Autonomy weakness pattern.
Unlike configuration H1, configuration H3 features government regulation as a core condition, with social governance as a peripheral absence and ecological environment as optional. This indicates that a megacity can still achieve the high level of MGCM even with weak autonomy capacity. However, the tri-capacity synergy configuration H1 is more sustainable. This study designates configuration H3 as the “autonomy weakness pattern.” A representative case is Wuhan, which has enhanced the integration of information disclosure and public oversight by leveraging its “12345” citizen hotline, press spokesperson system, and the “Community Cloud” platform. As a city rich in cultural resources, Wuhan integrates culture and tourism, fosters the Han-culture industry chain, and brands itself as the “Yangtze River Cultural Center”. Additionally, Wuhan advanced ecological restoration with the Yangtze River Protection Initiative. Despite relatively weak autonomous capacity, it can still attain high levels of MGCM through government-led diversified collaboration.
  • Adversity survival pattern.
The configuration H4 demonstrates that even when economic development is absent as a core condition—with government regulation, social governance, and people’s livelihoods serving as core conditions, and other variables as peripheral absence—a megacity can still realize a high level of MGCM. However, this pattern is valid only for extraordinary periods. Therefore, it is labeled as the “adversity survival pattern.” Suzhou in 2020 exemplifies this pattern, and it embedded information disclosure and intelligent collaborative management into the whole process of grassroots governance and epidemic prevention. Through its “Grassroots Government Affairs Disclosure List”, “One-Stop Access” integrated platform, “Public Oversight” interactive matrix, and “AI + Data” epidemic prevention collaboration chain, Suzhou formed a social governance network combining “online deliberation + offline grid”, ensuring a stable supply of essential goods and uninterrupted livelihoods during lockdown periods. Despite the economic downturn in the short term, the robust emergency response system centered on livelihoods protection and social stability, under strong government regulation, sustained urban governance effectiveness during the extraordinary period.
Table 4 indicates that the primary reasons for low MGCM is the absence of both core conditions in the pairs of ecological environment and people’s livelihoods, cultural development and social governance, and people’s livelihoods and government regulation. This further validates that ecological environment, people’s livelihoods, and cultural development are the key determinants of MGCM. Economic development is not a prerequisite for achieving high MGCM, suggesting that the strengths in government regulation, cultural development, people’s livelihoods, and social governance can compensate for economic shortcomings.
In summary, during the period from 2013 to 2022, megacities along the YREB with high MGCM exhibited differentiated development pathways in different phases: Megacities like Shanghai, Hangzhou, and Nanjing—characterized by abundant cultural resources and well-developed public welfare systems—consistently adopted a tri-capacity synergy pattern. In the early stages, megacities featured by autonomous weakness pattern (e.g., Wuhan) relied heavily on government regulation, cultural development, and people’s livelihoods. Megacities in the later stages have witnessed either the development dominant pattern (e.g., Shanghai, Hangzhou) or the adversity survival pattern (e.g., Suzhou). Most megacities with low MGCM were concentrated from 2013 to 2019, especially in the central and western regions undergoing rapid urbanization, exemplified by megacities like Hefei, Changsha, Chongqing, and Chengdu. They often neglect long-term factors such as government regulation, ecological environment, and people’s livelihoods during the high-speed development phases. From 2020 to 2022, the number of megacities with low MGCM gradually declined, indicating that some megacities have begun shifting development patterns toward prioritizing government regulation, ecological environment, and people’s livelihoods. They are gradually releasing their comparative advantages.
Fifth, robustness check. Based on previous research [71], this study increased the case frequency threshold from 1 to 2, and the results also exhibit a subset relationship with the original configuration. Furthermore, the study sequentially raised the original consistency threshold and PRI threshold from 0.8 and 0.75 to 0.85 and 0.8, respectively, and the resulting configurations are all subsets of the original configuration. The above robustness tests indicate that the results presented in this study exhibit good robustness.

6. Discussion

In view of the framework, evaluation system, and integrated model of MGCM proposed in this study, the conclusions drawn from the empirical study of nine megacities along the YREB are as follows:
From 2013 to 2022, the MGCM levels of nine megacities along the YREB were generally low, but displayed a slight increasing trend. Among the three capacities of the MGCM, development capacity is the strongest, followed by autonomy capacity, with inclusiveness capacity being the weakest. The MGCMs of the three urban agglomerations decreased from the east to west, manifesting as development-driven, autonomy-constrained, and autonomy-promoted. The key determinants came from four aspects, including ecological environment, people’s livelihoods, cultural development and economic development. These four determinants exhibit a mutually reinforcing mechanism with social governance and government regulation.
Among the Yangtze River Delta urban agglomerations, the top three megacities—Shanghai (leading city), Nanjing and Hangzhou (demonstrating cities)—show a trend of development capacity > inclusiveness capacity > autonomy capacity. Benefiting from advanced industrial structures, rich cultural resources, and robust scientific, technological, and educational capabilities, they are suited for a tri-capacity synergy pattern. This finding aligns closely with China’s Yangtze River Delta integration strategy and high-quality development requirements. In contrast, Suzhou (developing city) ranks first in autonomy capacity within this agglomeration, driven by the robust social security and public emergency response capabilities, making it suitable for an adversity survival pattern. Although Hefei is also dominated by development capacity, its autonomy and inclusiveness capacities rank last and second-to-last respectively, resulting in its MGCM ranking last and aligning with a tri-capacity synergy pattern.
Wuhan (developing city) and Changsha (growing city) within the Mid-Yangtze River urban agglomeration exhibit the lowest levels of autonomy capacity, which is attributed to their relative inadequacy in the green ecology and public emergency response capabilities. This makes it suitable for the autonomy weakness pattern, aligning precisely with the requirements of China’s Ecological Civilization Construction for the Yangtze River.
Chengdu (developing city) and Chongqing (growing city) within the Chengdu-Chongqing urban agglomeration display a pattern of autonomy capacity > development capacity > inclusiveness capacity. These two megacities, constrained by limited economic strength, scarce technological and educational resources, inadequate infrastructure, and low quality of life, are well-suited to adopt a development dominant pattern to advance the rise of the Chengdu-Chongqing Twin-City Economic Circle and an innovation highland in central and western China.
According to the findings, megacities should adopt differentiated development pathways to enhance the MGCM. The following recommendations are hereby proposed.
Within the Yangtze River Delta urban agglomeration, most megacities boast abundant cultural resources, robust livelihoods support, and coordinated development between economy and ecological environment. These megacities should adopt a tri-capacity synergy pattern, which ensures greater sustainability. First, cultural resources and intangible cultural heritage should be further developed and revitalized to promote Shanghai’s Haipai Culture Brand, Suzhou’s intangible cultural heritage and digital cultural tourism brand, Nanjing’s Cultural Capital Digital Cloud, and Hangzhou’s Song Dynasty charm combined with digital scenarios and cultural and creative industries, thereby enhancing residents’ sense of belonging. Second, the development of artificial intelligence and related pioneering industries should be focused on to achieve coordinated progress in “advanced manufacturing + digital economy + green and low-carbon development.” Shanghai should expand the scale of pioneering industries like AI and introduce an initiative plan for green and low-carbon transformation. Nanjing and Hangzhou should strengthen advance the manufacturing clusters and first-mover economies. Hefei, by leveraging the Yangtze River Delta integration strategy and its own strengths as a semiconductor industry hub, should foster coordinated development through inter-regional cooperation. Finally, a cross-administrative region platform should be established for ecological and environmental co-governance to jointly advance systematic management of rivers, streams, and lakes. Shanghai should build a cluster of park cities and zero-waste cities; Nanjing ought to form a diversified co-governance system combining the Yangtze River Protection Initiative with eco-island; Hangzhou and Suzhou are expected to develop into international wetland cities.
The megacities (Wuhan and Changsha) of the Mid-Yangtze River urban agglomeration, rely heavily on government regulation, cultural development, and people’s livelihoods, yet exhibit relatively weak social governance capability, thereby an autonomy weakness pattern should be adopted. While strengthening social governance, efforts should be made to enhance the application of intelligent collaborative management platforms to achieve multidimensional synergy among ecological environment, people’s livelihoods, cultural development, and economic development. Specifically, an intelligent collaborative management platform should be established and upgraded to enhance government regulation capabilities and public participation; with Wuhan as the core, the development of a world-class Yangtze River Cultural Corridor can advance by leveraging its profound historical and cultural heritage alongside modern cultural facilities. Jointly building the Optics Valley-Lugu Valley Science and Innovation Corridor could create a trillion-yuan industrial cluster; and setting up a cross-provincial co-governance platform anchored by the “Yangtze-Han-Xiang Rivers” framework could help to achieve the Yangtze River Protection Initiative.
Within the Chengdu-Chongqing urban agglomeration, its megacities (Chengdu and Chongqing) feature robust government regulation, thriving cultural industries, and moderate autonomy capacity, and should follow a development dominant pattern. First, Chengdu and Chongqing ought to jointly cultivate trillion-yuan industries such as electronic information, equipment manufacturing, and aviation and aerospace, constructing the Chengdu-Chongqing Twin-City Digital Economy Pilot Zone, the Global Intelligent Manufacturing Corridor, and the Western Land–Sea New Channel. Second, a cross-provincial governance platform anchored by the “Two Mountains, Two Rivers, and Two Carbon Goals” framework should be established. Additionally, a Chengdu-Chongqing university alliance and a cross-regional medical consortium could be set up, creating livable cities with parks, natural landscapes and Bashu cultural characteristics.

7. Conclusions

This study has developed a new synergistic governance framework, namely, the MGCM framework. Unlike previous research, which primarily centered on development, autonomy or inclusiveness and fairness—emphasizing either social governance, environmental governance, or digital governance—this study synthesizes development, autonomy, and inclusiveness. It characterizes the MGCM by integrating development capacity, autonomy capacity, and inclusiveness capacity, extending it to the context of co-construction, co-governance and shared benefits to highlight multi-stakeholder collaboration. In terms of development philosophy, the framework presented in this study synthesizes people-oriented, legal governance, high-quality development, and inclusive development principles while fully acknowledging the contributions of technological innovation and digital intelligent governance. This framework also embodies the distinctive characteristics and requirements of China’s modernization. Additionally, this study has also constructed the MGCM evaluation system and the EM-FCM-ANP integrated model, which provides valuable references to measure the MGCM of different megacities.
Another contribution of this study is that it measured the MGCM level of China’s 9 megacities along the YREB at the urban level, which verified the applicability of the evaluation system and measurement model proposed in this article. The results demonstrated that the MGCM is at a low level but shows a slight upward trend, with development capacity > autonomy capacity > inclusiveness capacity. This is closely tied to the YREB’s adherence to the concept of people-oriented, high-quality development, and emphasis on ecological conservation along the Yangtze River. The key determinants were observed by Geo-detector, including ecological environment, people’s livelihoods, cultural development and economic development. These determinants exhibit a mutually reinforcing effect with social governance and government regulation, further exemplifying the specific objectives pursued by the Chinese government to essentially achieve socialist modernization by 2035. This provides a scientific methodology and practical example for measuring and advancing the MGCM. The results of the fsQCA reveal that no single universal pattern exists; megacities may adopt differentiated development pathways: tri-capacity synergy pattern, development dominant pattern, autonomy weakness pattern and adversity survival pattern. These findings suggest configuration pathways and adaptation mechanisms for advancing high-level modernization of megacity governance capabilities, providing valuable practical guidance for urban planning managers.
This research addresses the deficiencies of previous studies. By synthesizing the concepts of people-oriented, legal governance, high-quality and inclusive development, and fully considering the contributions of technological innovation and digital-intelligent governance, the following insights can be drawn from this research: Promoting MGCM should adhere to the five key principles, that is, people-oriented, legal governance, high-quality development, digital-intelligence enablement, and technological innovation. Efforts should be focused on the coordinated development of ecological environment, people’s livelihoods, cultural development, and economic development. Meanwhile, government regulation and social governance should be enhanced to advance the MGCM. Megacities exhibited distinct pathways to achieve high MGCM, for example, tri-capacity synergy pattern in the Yangtze River Delta, development dominant pattern in Chengdu-Chongqing, autonomy weakness pattern in the Mid-Yangtze River, and adversity survival pattern during the extraordinary period. It is supposed to integrate development, autonomy, and inclusiveness within the context of co-construction, co-governance, and shared benefits, thus increasing the public’s sense of security, gain, and happiness. This aligns with the global sustainable development goals, aiming to build inclusive, resilient, safe, and sustainable cities. Therefore, the MGCM framework and evaluation system proposed in this research, as well as the findings obtained from the empirical study offer new insights for China and other countries in measuring the MGCM level. They also contribute to fostering sustainable urbanization in different countries and regions worldwide, particularly those in developing countries.
Although this article established the MGCM framework and elevation system and conducted an empirical study of nine megacities along the YREB in a Chinese context, it is still necessary to further investigate the applicability in other countries. Due to this study being centered on megacities, comparative evaluations of MGCM levels across a broader range of cities or regions ought to be addressed in the future. In addition, this study investigated the primary determinants of MGCM and the interactive effects among the factors and their configuration pathways. Future research may apply multi-period fsQCA to reveal differentiated adaptation patterns, which is a topic worthy of in-depth exploration.

Author Contributions

Conceptualization, J.Y. and D.X.; methodology, J.Y., D.X. and S.G.; software, J.Y. and D.X.; validation, D.X. and S.G.; formal analysis, D.X.; investigation, D.X. and L.T.; supervision, J.Y.; project administration, J.Y.; funding acquisition, J.Y. Writing—original draft, J.Y. and D.X.; Writing—review and editing, J.Y., D.X., S.G. and L.T. All authors have read and agreed to the published version of the manuscript.

Funding

This research was funded by the Humanities and Social Sciences Research Planning Fund of the Ministry of Education of China (Grant NO. 23YJA630125).

Institutional Review Board Statement

The questionnaire did not collect any personally identifiable information and did not involve special populations, medical interventions, or experimental procedures. The survey was entirely anonymous, and participants were fully informed. According to the Measures for the Ethical Review of Biomedical Research Involving Humans in China, the study is not applicable or can be exempted from ethical review.

Informed Consent Statement

Informed consent was obtained from all subjects involved in the study.

Data Availability Statement

The datasets supporting the findings of this study are available from the corresponding authors upon reasonable request.

Acknowledgments

The authors would like to thank the staff of the statistical and other relevant departments involved in the nine sample cities of this study for providing data support.

Conflicts of Interest

The authors declare no conflicts of interest.

Appendix A

Table A1. Indicator weights.
Table A1. Indicator weights.
Indicator2013201420152016201720182019202020212022
DGP10.30280.27040.26870.26160.31310.26910.38350.32090.38070.4730
DGP20.29690.31130.35650.37520.35110.27120.33560.39320.30050.2795
DGP30.40020.41830.37480.36320.33580.45970.28080.28580.31870.2475
DGI10.42530.60530.57580.48510.54220.66510.38130.45490.27170.2352
DGI20.57470.39470.42420.51490.45780.33490.61870.54510.72830.7648
DEE10.38470.62050.58720.59840.70980.73010.75420.82540.52860.7860
DEE20.61530.37950.41280.40160.29020.26990.24580.17460.47140.2140
DEI10.48390.48820.53570.49770.54240.59580.50310.42700.45030.4682
DEI20.51610.51180.46430.50230.45760.40420.49690.57300.54970.5318
DCC10.44770.50930.35240.46490.41160.40010.36920.37030.44330.4690
DCC20.34950.30120.39280.32210.25850.27270.25650.25400.26190.2391
DCC30.20270.18950.25480.21300.32990.32720.37430.37570.29470.2919
DCS10.15380.16330.15640.18620.25510.23490.26180.24850.22380.2211
DCS20.22440.14290.15910.16220.15010.15070.15940.17370.18450.1412
DCS30.24860.32420.28980.20460.25430.30830.31760.27790.23150.2770
DCS40.14690.17380.13780.25900.18640.17400.15930.18910.19990.2460
DCS50.22620.19580.25690.18800.15420.13200.10190.11080.16030.1147
ASS10.27750.21650.14530.20390.15600.14460.13830.11880.1518 0.1487
ASS20.46750.52560.56320.57760.59010.64870.68210.63620.68400.6344
ASS30.25500.25790.29150.21850.25390.20680.17960.24500.16420.2169
ASP10.78420.75460.72870.70510.68440.66770.69630.68970.71410.7273
ASP20.21580.24540.27130.29490.31560.33230.30370.31030.28590.2727
AEE10.21020.25180.24710.29950.25410.23020.27460.19410.24460.2223
AEE20.13880.14490.12700.13530.15480.16690.15950.13110.30020.3870
AEE30.22660.13540.11480.12520.18590.15780.15300.34780.15580.1419
AEE40.42440.46790.51110.44000.40510.44510.41280.32700.29940.2488
AEG10.12140.21930.12410.14620.12300.20350.22750.10010.16460.1725
AEG20.52530.55560.50850.50630.45700.53470.51540.47990.54340.5133
AEG30.21480.13100.21630.18450.19730.11070.13690.10020.11430.1054
AEG40.13850.09420.15120.16290.22270.15110.12020.31980.17760.2088
IPE10.23990.22230.29150.26730.27180.35560.35630.33760.26230.1945
IPE20.55350.56730.48820.54890.51500.42390.34420.35760.53060.5333
IPE30.20660.21040.22030.18380.21320.22050.29950.30490.20710.2721
IPI10.12210.09490.09850.12220.13080.10190.08640.11060.14920.1959
IPI20.27550.20760.20850.25630.33490.25260.32170.19480.18390.1835
IPI30.13180.12870.10780.10710.08980.08880.07700.09190.09970.0789
IPI40.29170.31890.36810.41240.34470.33900.32690.36530.40790.3385
IPI50.17890.24990.21700.10200.09980.21770.18800.23740.15930.2032
IPQ10.13270.17080.15710.16250.13810.14160.13940.16920.11060.1401
IPQ20.17790.15200.13510.19960.16390.22030.27990.20160.51120.4203
IPQ30.22540.20450.30650.29790.23470.25010.21430.31390.16410.1949
IPQ40.46400.47270.40130.34000.46330.38790.36640.31520.21410.2447

References

  1. Koop, S.H.A.; Grison, C.; Eisenreich, S.J.; Hofman, J.; Van Leeuwen, K. Integrated water resources management in cities in the world: Global solutions. Sustain. Cities Soc. 2022, 86, 104137. [Google Scholar] [CrossRef]
  2. Li, T. Construction and application of the evaluation indicator system for urban disease: A case study of Beijing. City Plan. Rev. 2014, 38, 41–47. [Google Scholar] [CrossRef]
  3. Ren, B.; Chen, Z.; Zhang, Y.; Zeng, L. Modernizing the governance of capital megacities: Basic logic, governance concept and path concept. Urban Probl. 2021, 12, 4–13. [Google Scholar] [CrossRef]
  4. Wolfram, M. Assessing transformative capacity for sustainable urban regeneration: A comparative study of three South Korean cities. Ambio 2019, 48, 478–493. [Google Scholar] [CrossRef] [PubMed]
  5. Mathew, B.P.; Bangwal, D. People centric governance model for smart cities development: A systematic review, thematic analysis, and findings. Res. Glob. 2024, 9, 100237. [Google Scholar] [CrossRef]
  6. Xiao, J. Rule of law dimensions of urban governance. Chin. Public Adm. 2008, 10, 28–32. [Google Scholar] [CrossRef]
  7. Jiang, J. Holistic smart governance: Goal choice and system construction of China’s megacities governance. Theory Reform 2022, 3, 110–119+154. [Google Scholar] [CrossRef]
  8. Ouyang, P.; Guo, J.; Lu, Q.; Zeng, Y.; Cheng, J. Research on external collaborative governance of megacities from the perspective of multi-scale flow space: A case study of Beijing city. Planners 2022, 38, 41–50. [Google Scholar] [CrossRef]
  9. Vanli, T. Can systemic governance of smart cities catalyse urban sustainability? Environ. Dev. Sustain. 2024, 26, 23327–23384. [Google Scholar] [CrossRef]
  10. Wan, L.; Li, S.; Yin, S. Analysis of the game behavior of smart community regulatory participants to co-create the smart city: Post-human stakeholder perspectives. Health Soc. Care Community 2023, 2023, 9837762. [Google Scholar] [CrossRef]
  11. Wang, Y.; Wang, B. Exploring a new pattern of urban governance through joint construction, governance, and sharing. People’s Trib. 2017, 36, 46–47. [Google Scholar] [CrossRef]
  12. Mao, Z.; Huang, Y. Digital twin cities: A new approach to empowering urban full cycle management. E-Government 2021, 8, 67–79. [Google Scholar] [CrossRef]
  13. Ye, Y.; Wang, C. Research paradigm shift and general analytical framework innovation of urban governance. City Plan. Rev. 2022, 2, 42–52+99. [Google Scholar]
  14. Moloney, S.; Doyon, A. The resilient Melbourne experiment: Analyzing the conditions for transformative urban resilience implementation. Cities 2021, 110, 103017. [Google Scholar] [CrossRef]
  15. Zhu, G. The mechanism, path, and countermeasures of digital governance driving modernization of urban governance capacity. Reform Strategy 2020, 36, 32–39. [Google Scholar] [CrossRef]
  16. Li, Q.; Liu, H. Smart city and modernization of urban governance: From conflict to empowerment. Adm. Reform 2020, 4, 56–63. [Google Scholar] [CrossRef]
  17. Kolotouchkina, O.; Barroso, C.L.; Sanchez, J.L.M. Smart cities, the digital divide, and people with disabilities. Cities 2022, 123, 103613. [Google Scholar] [CrossRef]
  18. Cheng, A. Spatiotemporal changes and underlying factors of urban ecological resilience: Evidence from Chinese cities. In Environment, Development and Sustainability; Springer: Berlin/Heidelberg, Germany, 2025; Available online: https://link.springer.com/article/10.1007/s10668-025-06550-4#citeas (accessed on 8 October 2025).
  19. Datola, G. Implementing urban resilience in urban planning: A comprehensive framework for urban resilience evaluation. Sustain. Cities Soc. 2023, 98, 104821. [Google Scholar] [CrossRef]
  20. Li, W. Megacity behemoth governance and development: Conceptual framework, core issues, and future prospect. J. Beijing Adm. Inst. 2024, 4, 61–72. [Google Scholar] [CrossRef]
  21. Véron, R.; Zimmer, A.; Cornea, N.; Sanchez, J. Environmental governance in small cities: Decentralization, municipal capacity and autonomy in Gujarat and West Bengal. J. South Asian Dev. 2024, 19, 325–344. [Google Scholar] [CrossRef]
  22. Wang, J.; Xia, H. An evaluation of capability of administration in five regional center cities. China Open. J. 2015, 3, 16–19. [Google Scholar] [CrossRef]
  23. Liu, R.; Hao, D.; Li, X. The measurement of modernization levels in urban governance capacity across cities of different scales. Stat. Decis. 2024, 40, 89–93. [Google Scholar] [CrossRef]
  24. Gu, H. The application of comprehensive evaluation method in the evaluation indicator system of urban governance. Jiang-Huai Trib. 2015, 6, 21–25. [Google Scholar] [CrossRef]
  25. Tang, T.; Cao, Q.; Zheng, Z. Connotation characteristics and its index system of local governmental management modernization. Chin. Public Adm. 2014, 10, 5. [Google Scholar] [CrossRef]
  26. Wang, B.; Ma, Y. Study on the evaluation and improvement strategy of the ecological environment governance capacity of the Yangtze River Economic Belt. GeoJournal 2023, 88, 5463–5475. [Google Scholar] [CrossRef]
  27. Chen, K.; Li, Q.; Shoaib, M.; Ameer, W.; Jiang, T. Does improved digital governance in government promote natural resource management? Quasi-natural experiments based on smart city pilots. Resour. Policy 2024, 90, 104721. [Google Scholar] [CrossRef]
  28. Lu, J.; Ding, F. Evaluation of multi-subject urban community governance ability—Method, framework and index system. J. Party Sch. Cent. Comm. CPC 2019, 23, 89–97. [Google Scholar] [CrossRef]
  29. Hou, S.; Zhen, Y.; Cao, X.; Zhang, W.; Wu, T. Evaluation index system of urban agglomeration governance under the background of high-quality development: A case of the Yangtze River Delta. Econ. Geogr. 2022, 42, 35–44. [Google Scholar] [CrossRef]
  30. Zhang, D.; Song, Y.; Gu, J. Measurement and spatiotemporal difference analysis of Chinese-style modernization construction level. Stat. Decis. 2024, 40, 103–108. [Google Scholar] [CrossRef]
  31. Tan, R. Three-wheel driving and innovation of Beijing city management system. Mod. Urban Res. 2016, 4, 77–81. [Google Scholar] [CrossRef]
  32. Wang, G.; Zhang, K. Turning peril into opportunity: Construction and validation of a resilience assessment system for China’s coastal megacities. Sustain. Cities Soc. 2024, 112, 105606. [Google Scholar] [CrossRef]
  33. Wei, B.; Ma, Y. Study on the influencing factors and practical paths of resilient governance of digital city: Empirical analysis based on NCA and fsQCA. J. Southwest Jiaotong Univ. (Soc. Sci.) 2024, 25, 92–104. [Google Scholar] [CrossRef]
  34. Shmelev, S.E.; Shmeleva, I.A. Multidimensional sustainability benchmarking for smart megacities. Cities 2019, 92, 134–163. [Google Scholar] [CrossRef]
  35. Mao, C.; Yue, A.; Wang, Z.; Zhao, S.; Su, Y.; Zeng, S. Are cities genuinely healthy? Diagnosis of urban development from the perspective of adaptive capacity. Sustain. Cities Soc. 2024, 108, 105494. [Google Scholar] [CrossRef]
  36. Berbés-Blázquez, M.; Cook, E.M.; Grimm, N.B.; Iwaniec, D.M.; Mannetti, L.M.; Muñoz-Erickson, T.A.; Wahl, D. Assessing resilience, equity, and sustainability of future visions across two urban scales. Sustain. Sci. 2023, 18, 2549–2566. [Google Scholar] [CrossRef]
  37. Liu, Z.; Lin, S.; Shen, Y.; Lu, T. Collaborative neighborhood governance and its effectiveness in community mitigation to COVID-19 pandemic: From the perspective of community workers in six Chinese cities. Cities 2021, 116, 103274. [Google Scholar] [CrossRef] [PubMed]
  38. Che, F.; Zhou, Y. Research on governance capacity of urban multi-ethnic communities from the perspective of social quality—Based on qualitative comparative analysis of 19 communities. J. Northwest Minzu Univ. (Philos. Soc. Sci.) 2023, 1, 115–124. [Google Scholar] [CrossRef]
  39. Nan, R.; Wang, D. An empirical study on the evaluation of provincial social governance level based on the TOPSIS model. J. Northeast. Univ. (Soc. Sci.) 2017, 19, 284–291. [Google Scholar] [CrossRef]
  40. Li, Y. Evaluation and development of social governance in Chinese megacities—A cluster analysis based on variation coefficient method. Chongqing Soc. Sci. 2020, 9, 83–92. [Google Scholar] [CrossRef]
  41. Xu, D.; Xiong, Q.; Yu, J.; Liu, X. Urban governance capacity modernization in Chinese style: Evidence from Wuhan, China. J. Urban Plan. Dev. 2026, 152, 05025051. [Google Scholar] [CrossRef]
  42. Gray, S.A.; Gray, S.; De Kok, J.L.; Helfgott, A.E.R.; O’Dwyer, B.; Jordan, R.; Nyaki, A. Using fuzzy cognitive mapping as a participatory approach to analyze change, preferred states, and perceived resilience of social-ecological systems. Ecol. Soc. 2015, 20, 11. [Google Scholar] [CrossRef]
  43. Issac, J.; Newell, R. Integrating stakeholder knowledge through a participatory approach and semi-quantitative analysis for local watershed management. Systems 2025, 13, 364. [Google Scholar] [CrossRef]
  44. Yu, W.; Zhang, S.; Zhong, Y.; Wang, H.; Yang, Y.; Pang, E.; Jing, T.; Zou, H.; Zhou, H. How can resource-based cities respond to urban shrinkage within a resilience framework. J. Clean. Prod. 2025, 530, 146886. [Google Scholar] [CrossRef]
  45. Huang, A.; Wang, Y.; Xiang, Y.; Guo, B.; Zhuang, Y. Research on governance mechanism of spatial evolution of cities from the perspective of social-ecological system: A case study of Hubaoe urban agglomeration, China. Areal Res. Dev. 2025, 44, 100–107. [Google Scholar] [CrossRef]
  46. Zheng, Y.; Wu, H.; He, Q. How does the digital transformation of government facilitate the enhancement of urban governance quality? A multi-case study based on five megacities in China. J. Party Sch. Tianjin Communist CPC 2025, 27, 60–73. [Google Scholar] [CrossRef]
  47. Wang, Y.; Li, L.; Wei, C. Theoretical and practical approach of refined urban management in metro cities: A case study of Shanghai. J. Shanghai Jiaotong Univ. (Philos. Soc. Sci.) 2019, 27, 41–49+96. [Google Scholar] [CrossRef]
  48. Zhou, A. Research on urban flat governance reform from the perspective of holistic governance: Take district Y of X city as an example. Urban Dev. Stud. 2024, 31, 108–114. [Google Scholar]
  49. Chen, Z.; Fan, J. Influence of grouping and driving mechanisms on urban renewal performance using a six-dimensional benefit framework. J. Urban Plan. Dev. 2024, 4, 150. [Google Scholar] [CrossRef]
  50. Bramwell, A. Inclusive innovation and the ordinary city: Incidental or integral? Local Econ. 2021, 36, 242–264. [Google Scholar] [CrossRef]
  51. van de Wetering, S.; Groenleer, M. Putting inclusion into practice: How urban professionals give shape to participatory governance approaches in marginalized neighborhoods. Urban Res. Pract. 2024, 17, 543–563. [Google Scholar] [CrossRef]
  52. Xu, G.; Li, W. Appraisal and development of China’s urban governance. Dev. Res. 2019, 9, 45–57. [Google Scholar] [CrossRef]
  53. Luo, X.; Huang, Y. A cultural turn in urban governance: Cultural practices of governance in the Guangdong-Hong Kong-Macau Greater Bay Area. Int. J. Cult. Policy 2022, 29, 169–183. [Google Scholar] [CrossRef]
  54. Peng, S.; Liu, R.; Sun, Y.; Zhang, J.; Mao, Y. Spatial characteristics and influencing factors of people’s livelihood issues based on urban online governance platforms: A case of Chengdu, China. J. Urban Plan. Dev. 2024, 150, 05024033. [Google Scholar] [CrossRef]
  55. Wang, L.; Wang, K.; Huang, H. Construction and analysis of governance evaluation index system of Beijing urban subcenter based on system theory and information theory. Wirel. Commun. Mob. Comput. 2022, 2022, 9496442. [Google Scholar] [CrossRef]
  56. National Development and Reform Commission. The Research on the Evaluation of Modern Urban Indicators by the National Information Center, in collaboration with Tencent Cloud. Available online: https://www.ndrc.gov.cn/wsdwhfz/202101/t20210112_1264806.html (accessed on 20 April 2025).
  57. Wang, J. Urban government capacity and economic performance: An analysis of Chinese cities. Environ. Plan. A Econ. Space 2020, 52, 981–1004. [Google Scholar] [CrossRef]
  58. Shi, C.; Liao, L.; He, Y.; Zhang, Q. Policy capacity for urban village redevelopment in China: A two-case case study. Lex Localis 2024, 21, 1280–1291. [Google Scholar] [CrossRef]
  59. Nguyen, T.M.P.; Davidson, K. Institutionalising 100 resilient cities governance experiments in cities with no metropolitan government: A case study of living Melbourne (resilient Melbourne), Australia. Cities 2023, 141, 104500. [Google Scholar] [CrossRef]
  60. Shou, Y.; Shou, J. Evaluating the governance ability of urban public health using EM-AHP-TOPSIS method: A case study in China. Iran. J. Public Health 2024, 53, 1815–1825. [Google Scholar] [CrossRef]
  61. Krogh, A.H.; Roiseland, A. Urban governance of disaster response capacity: Institutional models of local scalability. J. Homel. Secur. Emerg. Manag. 2024, 21, 27–47. [Google Scholar] [CrossRef]
  62. Wu, D.; Xie, Y.; Lyu, S. Disentangling the complex impacts of urban digital transformation and environmental pollution: Evidence from smart city pilots in China. Sustain. Cities Soc. 2023, 88, 104266. [Google Scholar] [CrossRef]
  63. Gao, S.; Xiong, Q.; Yu, J. Conceptualization and measurement of water inclusive sustainability of China’s cities in Yangtze River economic Belt. Sustain. Cities Soc. 2023, 92, 104474. [Google Scholar] [CrossRef]
  64. Barnes, E.; Pancholy, P.; Henning, T.F.P.; Mankelow, C.; Bellamy, L. Development of a holistic wellbeing framework and conceptual model for infrastructure investment: A comprehensive approach to performance monitoring for intergenerational wellbeing outcomes in New Zealand. J. Infrastruct. Syst. 2025, 31, 04025007. [Google Scholar] [CrossRef]
  65. Stern, A.; Kissinger, M. A multi-perspective framework for assessing urban well-being, development, and sustainability. Habitat Int. 2025, 156, 103269. [Google Scholar] [CrossRef]
  66. Gao, S.; Guo, H.; Yu, J. Urban water inclusive sustainability: Evidence from 38 cities in the Yangtze River Economic Belt in China. Sustainability 2021, 13, 2068. [Google Scholar] [CrossRef]
  67. Axelrod, R. Structure of Decision: The Cognitive Maps of Political Elites; Princeton University Press: Princeton, NJ, USA, 1976. [Google Scholar]
  68. Saaty, T.L. Decision making—The Analytic Hierarchy and Network Processes (AHP/ANP). J. Syst. Sci. Syst. Eng. 2004, 13, 1–35. [Google Scholar] [CrossRef]
  69. Chai, L.; Yuan, L.; He, W.J.; Cheng, J.; Liu, C. Spatiotemporal differentiation and upgrading paths of new quality productivity of water conservancy in the Yangtze River Economic Belt. Resour. Sci. 2025, 47, 615–627. [Google Scholar] [CrossRef]
  70. Rihoux, B.; Ragin, C.C. Configurational Comparative Methods: Qualitative Comparative Analysis (QCA) and Related Techniques; Sage: Thousand Oaks, CA, USA, 2009. [Google Scholar]
  71. Tan, S.; Li, W.; Liu, X.; Yan, L. Pathway to improve urban water environment quality in the Yellow River Basin from configuration perspective. J. Arid Land Resour. Environ. 2025, 39, 146–155. [Google Scholar] [CrossRef]
  72. Schneider, C.Q.; Wagemann, C. Set-Theoretic Methods for the Social Sciences: A Guide to Qualitative Comparative Analysis; Cambridge University Press: Cambridge, UK, 2012. [Google Scholar]
Figure 1. Synergistic governance framework for the megacity governance capacity modernization.
Figure 1. Synergistic governance framework for the megacity governance capacity modernization.
Sustainability 18 01631 g001
Figure 2. Evaluation system for the megacity governance capacity modernization.
Figure 2. Evaluation system for the megacity governance capacity modernization.
Sustainability 18 01631 g002
Figure 3. The specific steps of EM-FCM-ANP algorithm.
Figure 3. The specific steps of EM-FCM-ANP algorithm.
Sustainability 18 01631 g003
Figure 4. Network structure model.
Figure 4. Network structure model.
Sustainability 18 01631 g004
Figure 5. The distribution of the nine megacities in the Yangtze River Economic Belt.
Figure 5. The distribution of the nine megacities in the Yangtze River Economic Belt.
Sustainability 18 01631 g005
Figure 6. Changes in the MGCM. (a) 9 megacities; (b) 3 urban agglomerations.
Figure 6. Changes in the MGCM. (a) 9 megacities; (b) 3 urban agglomerations.
Sustainability 18 01631 g006
Figure 7. MGCM and three capacities. (a) MGCM of 9 megacities; (b) MGCM of 3 urban agglomerations; (c) three capacities of 9 megacities; (d) three capacities of 3 urban agglomerations.
Figure 7. MGCM and three capacities. (a) MGCM of 9 megacities; (b) MGCM of 3 urban agglomerations; (c) three capacities of 9 megacities; (d) three capacities of 3 urban agglomerations.
Sustainability 18 01631 g007
Table 1. Results of interaction detection between elements for the MGCM.
Table 1. Results of interaction detection between elements for the MGCM.
B1B2B3B4B5B6Q
B10.1937 0.0173
B20.88330.7297 0.0000
B30.87440.81840.7529 0.0000
B40.65600.87970.91120.3667 0.0000
B50.88040.87800.86860.89960.8083 0.0000
B60.85720.86400.88940.89870.91440.75590.0000
Note: B1, B2, B3, B4, B5 and B6 refer to government regulation, economic development, cultural development, social governance, ecological environment, and people’s livelihoods, respectively.
Table 2. Calibration of outcome and condition variables.
Table 2. Calibration of outcome and condition variables.
Variable CategoryVariableFull MembershipIntersection PointFull Non-Membership
Outcome variableMGCM0.53730.39610.3429
Conditional variableDevelopment capacityB10.57540.44050.3154
B20.66430.39700.3059
B30.53620.34680.2822
Autonomy capacityB40.56490.36180.2554
B50.61060.44920.3590
Inclusiveness capacityB60.52410.38980.2750
Table 3. Results of necessity test.
Table 3. Results of necessity test.
Conditional VariableHigh MGCMNon-High MGCM
ConsistencyCoverageConsistencyCoverage
B10.7232910.6903340.3833510.397257
~B10.3684820.3549900.7011740.733423
B20.7981460.7830830.2832440.301728
~B20.2882970.2703170.7963710.810734
B30.8426420.8176300.2759870.290758
~B30.2690610.2549970.8268940.850868
B40.5840090.5544560.4840980.499010
~B40.4723060.4574630.5677700.597082
B50.8885280.8664410.2371400.251074
~B50.2319820.2187980.8738530.894863
B60.8746230.8095240.3097120.311240
~B60.2558520.2544950.8104590.875288
Table 4. Configuration of prerequisite conditions for high and non-high MGCM.
Table 4. Configuration of prerequisite conditions for high and non-high MGCM.
High MGCMNon-High MGCM
Conditional VariableH1H2H3H4NH1NH2NH3NH4NH5NH6
B1 ×
B2· ·×× ·×·
B3×× ×·
B4 ·× ·×
B5·· ×××
B6 ·
Coverage cases1(13–22)
3(13–22)
4(13–22)
6(17)
1(20–22)
2(14, 16, 21)
3(19–22)
4(15)
1(13–17, 19)
3(13–18)
6(14, 17–19)
2(20)2(19)
5(13, 15, 18)
6(13, 16)
7(13, 16)
8(13–19)
9(13–14, 16–18, 21–22)
5(13–15, 17–18, 21–22)
7(13, 16)
8(14)
9(14–15, 17–18, 21–22)
5(13, 15, 18–20)
6(22)
7(13–22)
6(15)
7(14–15)
2(22)
8(14, 21–22)
9(14, 17–22)
5(16)
6(20–21)
Consistency0.9900.9940.9790.9800.9521.0000.9920.9830.9580.944
Raw coverage0.6960.2930.3550.1010.5490.4160.3490.1400.2600.121
Unique coverage0.2650.0340.0360.0430.1660.0390.0930.0100.0450.007
Solution coverage 0.840 0.796
Solution consistency 0.981 0.942
Note: ● indicates the presence of core condition, ⊗ the absence of core condition, · the presence of peripheral condition, × the absence of peripheral condition, blank indicates condition may or may not exist. In coverage cases, the year is represented as 20xx within parentheses, omitting the 20 from the year; 1 to 9 represent Shanghai, Suzhou, Hangzhou, Nanjing, Hefei, Wuhan, Changsha, Chongqing, Chengdu, respectively.
Disclaimer/Publisher’s Note: The statements, opinions and data contained in all publications are solely those of the individual author(s) and contributor(s) and not of MDPI and/or the editor(s). MDPI and/or the editor(s) disclaim responsibility for any injury to people or property resulting from any ideas, methods, instructions or products referred to in the content.

Share and Cite

MDPI and ACS Style

Yu, J.; Xu, D.; Gao, S.; Tang, L. Combating Megacity Syndrome: A Synergistic Governance Framework with Evidence from China’s Megacities in Yangtze River Economic Belt. Sustainability 2026, 18, 1631. https://doi.org/10.3390/su18031631

AMA Style

Yu J, Xu D, Gao S, Tang L. Combating Megacity Syndrome: A Synergistic Governance Framework with Evidence from China’s Megacities in Yangtze River Economic Belt. Sustainability. 2026; 18(3):1631. https://doi.org/10.3390/su18031631

Chicago/Turabian Style

Yu, Jing, Dirong Xu, Siyu Gao, and Lirong Tang. 2026. "Combating Megacity Syndrome: A Synergistic Governance Framework with Evidence from China’s Megacities in Yangtze River Economic Belt" Sustainability 18, no. 3: 1631. https://doi.org/10.3390/su18031631

APA Style

Yu, J., Xu, D., Gao, S., & Tang, L. (2026). Combating Megacity Syndrome: A Synergistic Governance Framework with Evidence from China’s Megacities in Yangtze River Economic Belt. Sustainability, 18(3), 1631. https://doi.org/10.3390/su18031631

Note that from the first issue of 2016, this journal uses article numbers instead of page numbers. See further details here.

Article Metrics

Back to TopTop