What Drives the Adoption of Sustainable Agricultural Practices in Romania? A Farmer Survey Analysis
Abstract
1. Introduction
2. Literature Review
2.1. The Concept of Sustainable Agriculture and the Adoption of Sustainable Practices
2.2. Factors Influencing the Adoption of Sustainable Agricultural Practices
2.3. The Attitude–Behavior Gap and the Role of Technology
3. Methodology
3.1. Participants and Sampling
3.2. Data Collection Instrument
3.3. Data Collection Procedure
3.4. Data Analysis
4. Results and Discussion
5. Conclusions
6. Recommendations
Author Contributions
Funding
Institutional Review Board Statement
Informed Consent Statement
Data Availability Statement
Conflicts of Interest
Abbreviations
| CAP | Common Agricultural Policy |
| PCA | Principal Component Analysis |
| SAP | Sustainable Agricultural Practices |
Appendix A
| Analyzed Aspect | Item Code | Item | Question Types |
|---|---|---|---|
| Socio-demographic profile | G | Gender | single choice question |
| P | Period corresponding to birth year | ||
| El | Educational level | ||
| Ea | Experience in agriculture | ||
| C | Category of the agricultural holding | ||
| Es | Economic size of the agricultural holding | ||
| Level of information and awareness regarding sustainable agricultural practices | Q1. | How important do you think sustainable agricultural practices are for the future of agriculture? | rating scale question the evaluation of the item was performed using an interval scale: 1—not at all important 2—slightly important 3—neither important nor unimportant 4—important 5—very important |
| Q2. | In your opinion, what are the most important benefits of sustainable agriculture? | multiple-choice question (max. 3) | |
| Q3. | What do you associate with sustainability in the food chain? | single-answer question | |
| Attitude towards sustainable agricultural practices | Q4.1 | Integrating the concept of sustainability into your own farm is an opportunity to demonstrate a commitment to social responsibility | rating scale question the evaluation of the item was done using an interval scale: 1—total disagreement 2—disagreement 3—neutral 4—agree 5—totally agree |
| Q4.2 | Integrating the concept of sustainability into your own farm is an opportunity to demonstrate a commitment to environmental protection | ||
| Q4.3 | Integrating the concept of sustainability into your own farm is an opportunity to demonstrate a commitment to the efficient use of resources. | ||
| Q4.4 | Integrating the concept of sustainability into your own farm is a way to bring economic benefits to the farm. | ||
| Q4.5 | Integrating the concept of sustainability into your own farm is a way to bring image benefits to the farm. | ||
| Q4.6 | Integrating the concept of sustainability into your own farm is a way to obtain direct payments and other forms of financial support. | ||
| Integration of sustainable agricultural practices | Q5.1 | To what extent do you integrate organic farming practices into your farm? | rating scale question the evaluation of the item was done using an interval scale: 1—not at all 2—to a small extent 3—to a moderate extent 4—to a large extent 5—to a very large extent |
| Q5.2 | To what extent do you integrate integrated pest management practices into your farm? | ||
| Q5.3 | To what extent do you integrate agroecology into your farm? | ||
| Q5.4 | To what extent do you integrate animal breeding and welfare plans into your farm? | ||
| Q5.5 | To what extent do you integrate agroforestry into your farm? | ||
| Q5.6 | To what extent do you integrate high nature value agriculture into your farm? | ||
| Q5.7 | To what extent do you integrate carbon agriculture into your farm? | ||
| Q5.8 | To what extent do you integrate precision agriculture into your farm? | ||
| Q5.9 | To what extent do you integrate improved nutrient management practices into your farm? | ||
| Q5.10 | To what extent do you integrate water conservation practices into your farm? | ||
| Q5.11 | To what extent do you integrate other soil-beneficial practices into your farm? | ||
| Q5.12 | To what extent do you integrate other practices related to GHG emissions into your farm? | ||
| Motivation for integrating sustainable agricultural practices | Q6 | What are the reasons behind integrating sustainable practices into your farm’s operations? | multiple-choice question (max. 3) |
Appendix B
| Q5.1 | Q5.2 | Q5.3 | Q5.4 | Q5.5 | Q5.6 | Q5.7 | Q5.8 | Q5.9 | Q5.10 | Q5.11 | Q5.12 | |
|---|---|---|---|---|---|---|---|---|---|---|---|---|
| Q4.1 | 0.181 | 0.200 | 0.305 | 0.209 | 0.140 | 0.171 | 0.197 | 0.202 | 0.224 | 0.176 | 0.180 | 0.154 |
| 0.0004 | <0.0001 | <0.0001 | <0.0001 | 0.0071 | 0.0009 | 0.0001 | 0.0001 | <0.0001 | 0.0007 | 0.0004 | 0.0027 | |
| Q4.2 | 0.312 | 0.291 | 0.400 | 0.292 | 0.214 | 0.297 | 0.310 | 0.292 | 0.366 | 0.260 | 0.264 | 0.316 |
| <0.0001 | <0.0001 | <0.0001 | <0.0001 | <0.0001 | <0.0001 | <0.0001 | <0.0001 | <0.0001 | <0.0001 | <0.0001 | <0.0001 | |
| Q4.3 | 0.326 | 0.319 | 0.369 | 0.297 | 0.181 | 0.329 | 0.249 | 0.329 | 0.357 | 0.239 | 0.223 | 0.266 |
| <0.0001 | <0.0001 | <0.0001 | <0.0001 | 0.0005 | <0.0001 | <0.0001 | <0.0001 | <0.0001 | <0.0001 | <0.0001 | <0.0001 | |
| Q4.4 | 0.112 | 0.185 | 0.300 | 0.218 | 0.105 | 0.153 | 0.101 | 0.282 | 0.313 | 0.192 | 0.085 | 0.188 |
| 0.0282 | 0.0003 | <0.0001 | <0.0001 | 0.0422 | 0.0027 | 0.0487 | <0.0001 | <0.0001 | 0.0002 | 0.0962 | 0.0002 | |
| Q4.5 | 0.307 | 0.227 | 0.283 | 0.326 | 0.282 | 0.301 | 0.291 | 0.362 | 0.323 | 0.145 | 0.215 | 0.322 |
| <0.0001 | <0.0001 | <0.0001 | <0.0001 | <.0001 | <0.0001 | <0.0001 | <0.0001 | <0.0001 | 0.0042 | <0.0001 | <0.0001 | |
| Q4.6 | 0.169 | 0.107 | 0.224 | 0.264 | 0.216 | 0.233 | 0.177 | 0.255 | 0.232 | 0.096 | 0.179 | 0.244 |
| 0.0008 | 0.0338 | <0.0001 | <0.0001 | <0.0001 | <0.0001 | 0.0004 | <0.0001 | <0.0001 | 0.0575 | 0.0004 | <0.0001 |
References
- Piñeiro, V.; Arias, J.; Dürr, J.; Elverdin, P.; Ibanez, A.M.; Kinengyere, A.; Opazo, C.M.; Owoo, N.; Page, J.R.; Prager, S.D.; et al. A scoping review on incentives for adoption of sustainable agricultural practices and their outcomes. Nat. Sustain. 2020, 3, 809–820. [Google Scholar] [CrossRef]
- Jin, K.; Heerink, N.; Davies, W.J.; Shen, J.; Zhang, Y.; Hou, Y.; Zhao, Y.; Zhao, Z.; Zhang, F. Coordinating environmental protection and agricultural development: A village-based case study for promoting green transformation. Front. Agr. Sci. Eng. 2024, 11, 100–112. [Google Scholar] [CrossRef]
- de Souza, N.R.D.; Solberg, M.K.M.; Hu, X.P.; Cherubini, F. Environmental benefits and changes in ecosystem services of climate-smart agriculture relative to conventional agriculture in Norway. J. Environ. Manag. 2025, 377, 124633. [Google Scholar] [CrossRef]
- Dudek, M.; Rosa, A. Regenerative Agriculture as a Sustainable System of Food Production: Concepts, Conditions, Perceptions and Initial Implementations in Poland, Czechia and Slovakia. Sustainability 2023, 15, 15721. [Google Scholar] [CrossRef]
- Zahm, F.; Alonso Ugaglia, A.; Barbier, J.-M.; Carayon, D.; Del’homme, B.; Gafsi, M.; Gasselin, P.; Gestin, C.; Girard, S.; Guichard, L.; et al. Assessing farm sustainability: The IDEA4 method, a conceptual framework combining dimensions and properties of sustainability. Cah. Agric. 2024, 33, 10. [Google Scholar] [CrossRef]
- Adamsone-Fiskovica, A.; Grivins, M. Understanding the potential of sustainability turn in farming: Review of sociotechnical adoption factors of agri-environmental cropping practices. Renew. Agric. Food Syst. 2024, 39, e16. [Google Scholar] [CrossRef]
- Han, G.; Niles, M.T. An adoption spectrum for sustainable agriculture practices: A new framework applied to cover crop adoption. Agric. Syst. 2023, 212, 103771. [Google Scholar] [CrossRef]
- Thompson, B.; Barnes, A.P.; Toma, L. Increasing the adoption intensity of sustainable agricultural practices in Europe: Farm and practice level insights. J. Environ. Manag. 2022, 320, 115663. [Google Scholar] [CrossRef] [PubMed]
- Menozzi, D.; Fioravanzi, M.; Donati, M. Farmer’s motivation to adopt sustainable agricultural practices. Bio-Based Appl. Econ. 2015, 4, 125–147. [Google Scholar] [CrossRef]
- Pierrette Coulibaly, T.; Du, J.; Diakité, D.; Abban, O.J.; Kouakou, E. A Proposed Conceptual Framework on the Adoption of Sustainable Agricultural Practices: The Role of Network Contact Frequency and Institutional Trust. Sustainability 2021, 13, 2206. [Google Scholar] [CrossRef]
- Czyżewski, B.; Poczta-Wajda, A.; Matuszczak, A.; Smędzik-Ambroży, K.; Guth, M. Exploring intentions to convert into organic farming in small-scale agriculture: Social embeddedness in extended theory of planned behaviour framework. Agric. Syst. 2025, 225, 104294. [Google Scholar] [CrossRef]
- Gebska, M.; Grontkowska, A.; Swiderek, W.; Golebiewska, B. Farmer Awareness and Implementation of Sustainable Agriculture Practices in Different Types of Farms in Poland. Sustainability 2020, 12, 8022. [Google Scholar] [CrossRef]
- European Commission. Communication from the Commission to the European Parliament, The Council, The European Economic and Social Committee and the Committee of the Regions. A Farm to Fork Strategy for a Fair, Healthy and Environmentally-Friendly Food System; COM(2020) 381 final; European Commission: Brussels, Belgium, 2020. [Google Scholar]
- Heyl, K.; Garske, B.; Stubenrauch, J.; Ehlers, K. Turning the EU’s agricultural vision into environmental action: A performance-oriented CAP after 2027. Ambio 2026, 55, 204–210. [Google Scholar] [CrossRef]
- European Commission. Communication from the Commission to the European Parliament, The Council, The European Economic and Social Committee and the Committee of the Regions. A Vision for Agriculture and Food. Shaping Together an Attractive Farming and Agri-Food Sector for Future Generations; COM(2025) 75 final; European Commission: Brussels, Belgium, 2025. [Google Scholar]
- European Commission. Romania–CAP Strategic Plan 2023–2027; Approved on 7 December 2022, Updated 2024. Available online: https://agriculture.ec.europa.eu/cap-my-country/cap-strategic-plans/romania_en (accessed on 20 December 2025).
- Feher, A. European Union Policies and Funding Programmes. The Case of Romania; Pro Universitaria: Bucharest, Romania, 2025. [Google Scholar]
- Feher, A.; Stanciu, S.; Iancu, T.; Adamov, T.C.; Ciolac, R.M.; Pascalau, R.; Banes, A.; Raicov, M.; Gosa, V. Design of the macroeconomic evolution of Romania’s agriculture 2020–2040. Land Use Policy 2022, 112, 105815. [Google Scholar] [CrossRef]
- Tudor, V.C.; Stoicea, P.; Chiurciu, I.-A.; Soare, E.; Iorga, A.M.; Dinu, T.A.; David, L.; Micu, M.M.; Smedescu, D.I.; Dumitru, E.A. The Use of Fertilizers and Pesticides in Wheat Production in the Main European Countries. Sustainability 2023, 15, 3038. [Google Scholar] [CrossRef]
- Lungu, V.; Uliu, D.V.; Vladu, M. Studies on the level of ‘agro-environment and climate’ compensatory payments given to Romanian farmers. Sci. Pap.-Ser. Manag. Econ. Eng. Agric. Rural Dev. 2022, 22, 373–378. [Google Scholar]
- Stoicea, P.; Basa, A.G.; Stoian, E.; Toma, E.; Micu, M.M.; Gidea, M.; Dobre, C.A.; Iorga, A.M.; Chiurciu, I.A. Crop Rotation Practiced by Romanian Crop Farms before the Introduction of the “Environmentally Beneficial Practices Applicable to Arable Land” Eco-Scheme. Agronomy 2023, 13, 2086. [Google Scholar] [CrossRef]
- Raicov, M.; Băneș, A.; Feher, A.; Mateoc-Sîrb, N.; Otiman, P.I. The current structure of agricultural holdings in Romania. Lucr. Stiintifice Manag. Agric. 2025, 27, 259–266. [Google Scholar]
- Rusu, M. Main factors of agricultural land use change in Romania: A territorial analysis. In Agrarian Economy and Rural Development-Trends and Challenges. International Symposium, 14th ed.; Steliana, R., Vili, D., Eds.; The Research Institute for Agricultural Economy and Rural Development (ICEADR): Bucharest, Romania, 2023; pp. 144–150. [Google Scholar]
- Iancu, T.; Tudor, V.C.; Dumitru, E.A.; Sterie, C.M.; Micu, M.M.; Smedescu, D.; Marcuta, L.; Tonea, E.; Stoicea, P.; Vintu, C.; et al. A Scientometric Analysis of Climate Change Adaptation Studies. Sustainability 2022, 14, 12945. [Google Scholar] [CrossRef]
- Micu, M.M.; Dinu, T.A.; Fintineru, G.; Tudor, V.C.; Stoian, E.; Dumitru, E.A.; Stoicea, P.; Iorga, A. Climate Change—Between “Myth and Truth” in Romanian Farmers’ Perception. Sustainability 2022, 14, 8689. [Google Scholar] [CrossRef]
- Polimeni, J.M.; Iorgulescu, R.I.; Albu, L.L.; Ionica, A. Romanian Farmers’ Markets: Understanding the Environmental Attitudes of Farmers as an Instrument for Bioeconomy Development. Sustainability 2022, 14, 11553. [Google Scholar] [CrossRef]
- Florian, V.; Chițea, M.A.; Rusu, M.; Brumă, I.S.; Tanasă, L. Territorial Development and Ecological Agriculture: Common Perspectives. Agric. Econ. Rural Dev. 2022, 19, 3–12. [Google Scholar]
- Kalfas, D.; Kalogiannidis, S.; Papaevangelou, O.; Melfou, K.; Chatzitheodoridis, F. Integration of Technology in Agricultural Practices towards Agricultural Sustainability: A Case Study of Greece. Sustainability 2024, 16, 2664. [Google Scholar] [CrossRef]
- Palomo-Campesino, S.; García-Llorente, M.; González, J.A. Characterizing agroecological and conventional farmers: Uncovering their motivations, practices, and perspectives toward agriculture. Agroecol. Sustain. Food Syst. 2021, 45, 1399–1428. [Google Scholar] [CrossRef]
- Georgescu, P.-L.; Barbuta-Misu, N.; Zlati, M.L.; Fortea, C.; Antohi, V.M. Quantifying the Performance of European Agriculture Through the New European Sustainability Model. Agriculture 2025, 15, 210. [Google Scholar] [CrossRef]
- Ciucu-Durnoi, A.-N.; Florescu, M.S.; Delcea, C. Envisioning Romania’s Path to Sustainable Development: A Prognostic Approach. Sustainability 2023, 15, 12671. [Google Scholar] [CrossRef]
- European Commission. Directorate-General for Agriculture and Rural Development. Annual Activity Report 2024. 2025. Available online: https://commission.europa.eu/publications/annual-activity-report-2024-agriculture-and-rural-development_en (accessed on 20 December 2025).
- European Commission. Directorate-General for Agriculture and Rural Development. EU Agricultural Outlook 2024–2035: A Resilient Sector Adapts to Climate Change and Sustainability Concerns. 2024. Available online: https://agriculture.ec.europa.eu/media/news/eu-agricultural-outlook-2024-35-resilient-sector-adapts-climate-change-sustainability-concerns-and-2024-12-11_en (accessed on 20 December 2025).
- Rodríguez-Barillas, M.; Klerkx, L.; Poortvliet, P.M. What determines the acceptance of Climate Smart Technologies? The influence of farmers’ behavioral drivers in connection with the policy environment. Agric. Syst. 2024, 213, 103803. [Google Scholar] [CrossRef]
- Rodríguez-Barillas, M.; Poortvliet, M.P.; Klerkx, L. Unraveling farmers’ interrelated adaptation and mitigation adoption decisions under perceived climate change risks. J. Rural Stud. 2024, 109, 103329. [Google Scholar] [CrossRef]
- Gamage, A.; Gangahagedara, R.; Subasinghe, S.; Gamage, J.; Guruge, C.; Senaratne, S.; Randika, T.; Rathnayake, C.; Hameed, Z.; Madhujith, T.; et al. Advancing sustainability: The impact of emerging technologies in agriculture. Curr. Plant Biol. 2024, 40, 100420. [Google Scholar] [CrossRef]
- Phung, Q.A.; Dao, N. Farmers’ perceptions of sustainable agriculture in the Red River Delta, Vietnam. Heliyon 2024, 10, e28576. [Google Scholar] [CrossRef]
- Palacios, S.P.I. Farmers’ attitudes towards sustainable agriculture in Japan. Jpn. Stud. 2005, 25, 187–202. [Google Scholar] [CrossRef]
- Vojinovic, M.Z.; Maric, A.C.; Oplanic, M. Factors influencing farmers’ adoption and willingness to accept sustainable production practices in Istria County, Croatia. J. Cent. Eur. Agric. 2025, 26, 495–509. [Google Scholar] [CrossRef]
- Tomaš Simin, M.; Milić, D.; Novaković, D.; Zekić, V.; Novaković, T. Organic Agriculture in Focus: Exploring Serbian Producers’ Views on the Common Agricultural Policy and the National Agrarian Policy. Sustainability 2024, 16, 4559. [Google Scholar] [CrossRef]
- Stoica, G.D.; Sterie, M.C.; Giucă, A.D.; Ursu, A.; Petre, I.L. Trends in Organic Farming in Romania. Sci. Pap. Ser. Manag. Econ. Eng. Agric. Rural Dev. 2022, 22, 725–732. [Google Scholar]
- Popescu, D.-M.; Duica, M.-C.; Duta, N.-M.; Duica, A.; Voinea, C.-M.; Stanescu, G. Transforming Agriculture for a Sustainable Future: Economic, Ethical, and Environmental Perspectives. Sustainability 2025, 17, 5518. [Google Scholar] [CrossRef]
- Rabbi, M.F. Systemic drivers of carbon emissions in farming systems of five EU countries: Pathways for SDG-aligned food security. Farming Syst. 2026, 4, 100184. [Google Scholar] [CrossRef]
- Rad, D.; Redeș, A.; Roman, A.; Egerău, A.; Lile, R.; Demeter, E.; Dughi, T.; Ignat, S.; Balaș, E.; Maier, R.; et al. The use of theory of planned behavior to systemically study the integrative-qualitative intentional behavior in Romanian preschool education with network analysis. Front. Psychol. 2022, 13, 1017011. [Google Scholar] [CrossRef] [PubMed]
- Iagăru, R.; Concioiu, N.; Șipoș, A.; Iagăru, P.; Băluță, A.D.; Vasile, A. Strategic Approaches to Sustainable Rural Development by Harnessing Endogenous Resources to Improve Residents’ Quality of Life. Land 2025, 14, 491. [Google Scholar] [CrossRef]
- Strapchuk, S.; Mykolenko, O. Sustainable development in agriculture: Definition, barriers and consequences for Ukrainian agricultural producers. J. East Eur. Manag. Stud. 2023, 28, 293–312. [Google Scholar] [CrossRef]
- Mutyasira, V.; Hoag, D.; Pendell, D. The adoption of sustainable agricultural practices by smallholder farmers in Ethiopian highlands: An integrative approach. Cogent Food Agric. 2018, 4, 1552439. [Google Scholar] [CrossRef]
- Kansanga, M.M.; Luginaah, I.; Bezner Kerr, R.; Dakishoni, L.; Lupafya, E. Determinants of smallholder farmers’ adoption of short-term and long-term sustainable land management practices. Renew. Agric. Food Syst. 2021, 36, 265–277. [Google Scholar] [CrossRef]
- Bayisa, H.; Kebede, B.; Benti, F. Factors Influencing the Implementation and Adoption of Sustainable Land Management Practices on Wacaca Mountain in Central Highlands of Ethiopia. Environ. Model. Assess. 2025, 30, 53–70. [Google Scholar] [CrossRef]
- Liu, M.; Zhong, T.; Lyu, X. Spatial Spillover Effects of “New Farmers” on Diffusion of Sustainable Agricultural Practices: Evidence from China. Land 2024, 13, 119. [Google Scholar] [CrossRef]
- Prigoreanu, I.; Radu, G.; Grigore-Sava, A.; Costuleanu, C.L.; Ungureanu, G.; Ignat, G. Assessing the Economic Sustainability of the EU and Romanian Farming Sectors. Sustainability 2025, 17, 4440. [Google Scholar] [CrossRef]
- Ubrežiová, I.; Čarnogurský, K.; Janošková, M. Beyond the crisis: Role and effects of corporate social responsibility during the COVID-19 Pandemic. Entrep. Bus. Econ. Rev. 2025, 13, 29–46. [Google Scholar] [CrossRef]
- Mihai, M.; Mihai, V.C.; Pocol, C.B.; Ursa, A.; Dumitras, D.E. Young Romanian Farmers’ Perspective and Behavior Toward Fertilizer Use in View of the European Union’s Farm to Fork Sustainable Strategy. Sustainability 2025, 17, 9952. [Google Scholar] [CrossRef]
- Huang, J.; Lu, H.; Du, M. Regional Differences in Agricultural Carbon Emissions in China: Measurement, Decomposition, and Influencing Factors. Land 2025, 14, 682. [Google Scholar] [CrossRef]
- Law No. 37/2015 on the Classification of Farms and Agricultural Holdings. Available online: https://legislatie.just.ro/Public/DetaliiDocument/166318 (accessed on 16 January 2026).
- SAS OnDemand for Academics. Available online: https://documentation.sas.com/doc/en/sasstudiocdc/3.8/webeditorcdc/webeditorref/titlepage.htm (accessed on 20 November 2025).
- Tomczak, M.; Tomczak, E. The need to report effect size estimates revisited. An overview of some recommended measures of effect size. TRENDS Sport Sci. 2014, 1, 19–25. [Google Scholar]
- JASP Team. JASP; Version 0.17.3; JASP Team: Amsterdam, The Netherlands, 2023; Available online: https://jasp-stats.org/download/ (accessed on 17 December 2025).
- Flourish Studio. Available online: https://app.flourish.studio/projects (accessed on 30 December 2025).
- Mutmainna, I.; Gareso, P.L.; Suryani, S.; Tahir, D. Can agriculture and food waste be a solution to reduce environmental impact of plastic pollution? zero-waste approach for sustainable clean environment. Bioresour. Technol. 2025, 420, 132130. [Google Scholar] [CrossRef] [PubMed]






| Item Code | Item | Number of Responses | % |
|---|---|---|---|
| S | Sample size | 264 | 100 |
| G | M | 188 | 71.21 |
| F | 76 | 28.79 | |
| P | 1946–1964 | 20 | 7.58 |
| 1965–1980 | 80 | 30.30 | |
| 1981–1996 | 116 | 43.94 | |
| 1997–2012 | 48 | 18.18 | |
| El | high school | 36 | 13.64 |
| post-graduate | 96 | 36.36 | |
| secondary school | 8 | 3.03 | |
| university | 124 | 46.97 | |
| Ea | 0–5 | 44 | 16.67 |
| 11–15 | 72 | 27.27 | |
| 16–20 | 28 | 10.61 | |
| 6–10 | 68 | 25.76 | |
| over 20 | 52 | 19.70 | |
| C | Farm specialized in field crops | 140 | 53.03 |
| Farm specialized in permanent crops | 4 | 1.52 | |
| Farm specialized in raising herbivorous animals | 12 | 4.55 | |
| Mixed crop and livestock farming | 32 | 12.12 | |
| Mixed crop farming | 16 | 6.06 | |
| Mixed livestock farm | 8 | 3.03 | |
| Specialized horticulture farm | 28 | 10.61 | |
| Unclassified exploitation | 24 | 9.09 | |
| Es | Commercial farm/large agricultural holding | 24 | 9.09 |
| Commercial farm/medium-sized agricultural holding | 76 | 28.79 | |
| Semi-subsistence farm | 44 | 16.67 | |
| Small commercial farm | 68 | 25.76 | |
| Subsistence farm | 52 | 19.70 |
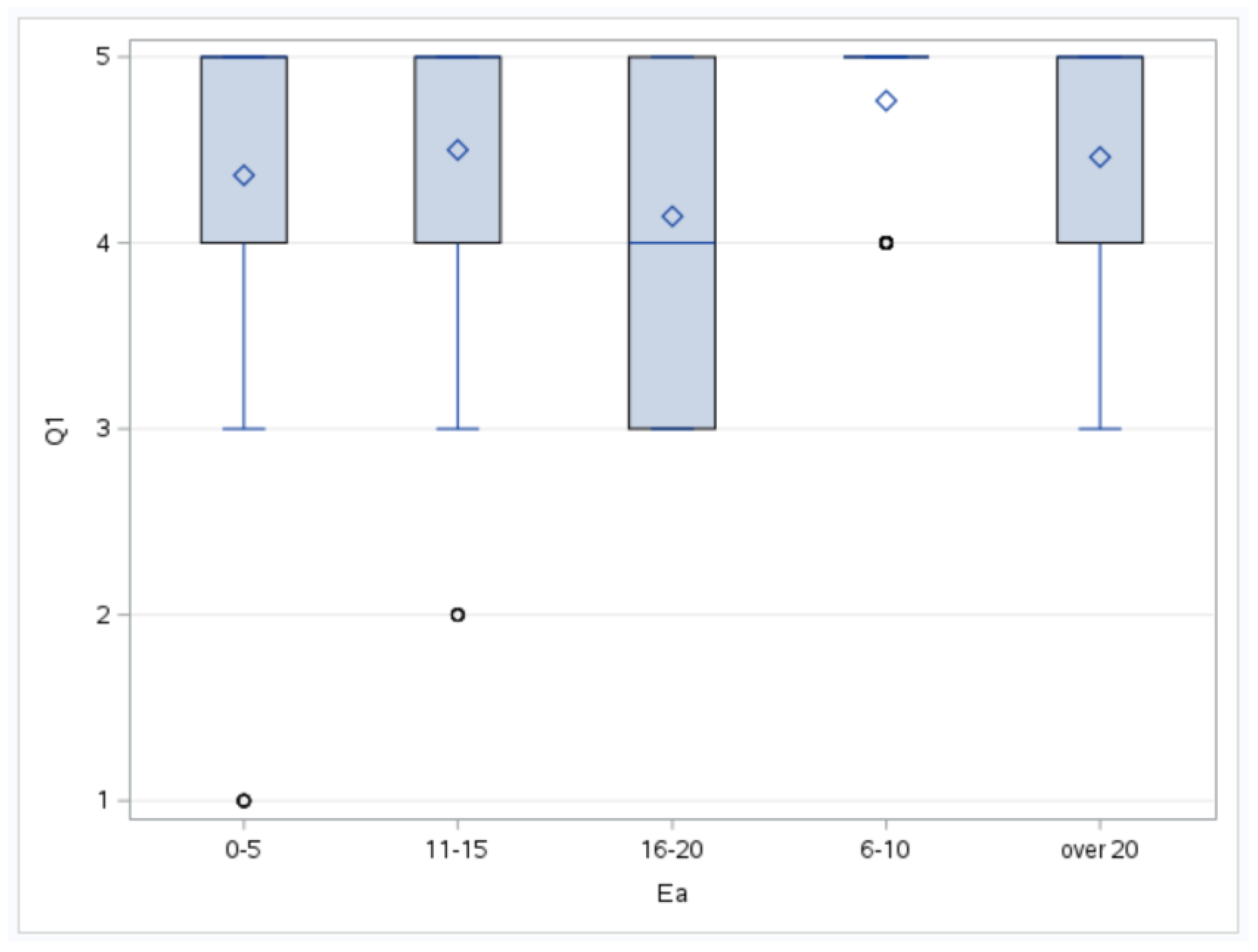
| Experience in Agriculture (Years) | N | Q1 | |
|---|---|---|---|
| Mean | Std. Dev | ||
| 0–5 | 44 | 4.36 | 1.24 |
| 6–10 | 68 | 4.76 | 0.42 |
| 11–15 | 72 | 4.50 | 0.83 |
| 16–20 | 28 | 4.14 | 0.84 |
| over 20 | 52 | 4.46 | 0.64 |
| Q2 | No of Responses | % | Q2 | No of Responses | % |
|---|---|---|---|---|---|
| HF | 20 | 7.57 | JC/IQLRA/EAHFCE | 4 | 1.51 |
| ESAB | 16 | 6.06 | BC/CCM/JC | 4 | 1.51 |
| EAHFCE | 12 | 4.54 | BC/JC/IQLRA | 4 | 1.51 |
| SC/PR/CCM | 12 | 4.54 | BC/IQLRA | 4 | 1.51 |
| SC/PR/EAHFCE | 12 | 4.54 | BC/HF/EAHFCE | 4 | 1.51 |
| BC | 8 | 3.03 | BC/HF/RRRBLF | 4 | 1.51 |
| SC/PR/IQLRA | 8 | 3.03 | HF/RRRBLF | 4 | 1.51 |
| SC/PR/HF | 8 | 3.03 | HF/IQLRA | 4 | 1.51 |
| SC/PR/BC | 8 | 3.03 | HF/ESAB/IQLRA | 4 | 1.51 |
| SC/HF/EAHFCE | 8 | 3.03 | CCM/ESAB/HAVOP | 4 | 1.51 |
| PR | 8 | 3.03 | CCM/JC/EAHFCE | 4 | 1.51 |
| PR/CCM/HF | 8 | 3.03 | JC/IQLRA | 4 | 1.51 |
| HF/JC/IQLRA | 8 | 3.03 | SC/BC/CCM | 4 | 1.51 |
| CCM/HF/ESAB | 8 | 3.03 | SC/BC/IQLRA | 4 | 1.51 |
| RRRBLF | 4 | 1.51 | SC/BC/ESAB | 4 | 1.51 |
| SC | 4 | 1.51 | PR/HF/ESAB | 4 | 1.51 |
| SC/HF | 4 | 1.51 | PR/BC/EAHFCE | 4 | 1.51 |
| PR/HF | 4 | 1.51 | PR/BC/IQLRA | 4 | 1.51 |
| PR/HF/IQLRA | 4 | 1.51 | SC/HF/ESAB | 4 | 1.51 |
| PR/ESAB/EAHFCE | 4 | 1.51 | SC/HF/JC | 4 | 1.51 |
| PR/HF/JC | 4 | 1.51 | SC/HF/IQLRA | 4 | 1.51 |
| PR/RRRBLF | 4 | 1.51 | SC/CCM/HF | 4 | 1.51 |
| Components | Eigenvalue | Proportion of Variance | Cumulative |
|---|---|---|---|
| RC1 | 9.514 | 0.446 | 0.446 |
| RC2 | 3.523 | 0.278 | 0.724 |
| RC1 | RC2 | Uniqueness | |
|---|---|---|---|
| Q5.5 | 0.898 | 0.263 | |
| Q5.7 | 0.845 | 0.335 | |
| Q5.11 | 0.844 | 0.328 | |
| Q5.12 | 0.842 | 0.287 | |
| Q5.4 | 0.833 | 0.29 | |
| Q5.6 | 0.83 | 0.329 | |
| Q5.3 | 0.805 | 0.275 | |
| Q5.8 | 0.791 | 0.302 | |
| Q5.2 | 0.79 | 0.369 | |
| Q5.9 | 0.785 | 0.274 | |
| Q5.1 | 0.767 | 0.401 | |
| Q5.10 | 0.752 | 0.455 | |
| Q4.4 | 0.943 | 0.161 | |
| Q4.3 | 0.932 | 0.104 | |
| Q4.2 | 0.914 | 0.122 | |
| Q4.6 | 0.902 | 0.223 | |
| Q4.5 | 0.876 | 0.17 | |
| Q4.1 | 0.864 | 0.275 |
| Item Code | N | Mean | Std. Dev |
|---|---|---|---|
| Q4.1 | 264 | 3.80 | 1.06 |
| Q4.2 | 264 | 3.92 | 1.07 |
| Q4.3 | 264 | 3.84 | 1.19 |
| Q4.4 | 264 | 3.87 | 1.23 |
| Q4.5 | 264 | 3.59 | 1.20 |
| Q4.6 | 264 | 3.66 | 1.26 |
| Item Code | N | Mean | Std. Dev |
|---|---|---|---|
| Q5.1 | 264 | 2.93 | 1.25 |
| Q5.2 | 264 | 3.12 | 1.26 |
| Q5.3 | 264 | 3.07 | 1.28 |
| Q5.4 | 264 | 2.93 | 1.32 |
| Q5.5 | 264 | 2.59 | 1.25 |
| Q5.6 | 264 | 2.90 | 1.24 |
| Q5.7 | 264 | 2.78 | 1.25 |
| Q5.8 | 264 | 3.37 | 1.12 |
| Q5.9 | 264 | 3.40 | 1.14 |
| Q5.10 | 264 | 3.33 | 1.18 |
| Q5.11 | 264 | 2.86 | 1.28 |
| Q5.12 | 264 | 2.69 | 1.25 |
| Q6 | No of Responses | % |
|---|---|---|
| Improving soil and water quality | 60 | 22.72 |
| Improving soil and water quality/Reducing long-term costs | 44 | 16.66 |
| Improving soil and water quality/Reducing long-term costs/Increased demand for organic products | 40 | 15.15 |
| Improving soil and water quality/Reducing long-term costs/Improving farm image | 32 | 12.12 |
| Reducing long-term costs | 28 | 10.60 |
| Reducing long-term costs/Improving farm image/Increased demand for organic products | 16 | 6.06 |
| Increased demand for organic products | 16 | 6.06 |
| Improving soil and water quality/Increased demand for organic products | 12 | 4.54 |
| Improving soil and water quality/Improving farm image/Increased demand for organic products | 8 | 3.03 |
| Reducing long-term costs/Improving farm image | 4 | 1.51 |
| Reducing long-term costs/Increased demand for organic products | 4 | 1.51 |
| Total | 264 | 100 |
Disclaimer/Publisher’s Note: The statements, opinions and data contained in all publications are solely those of the individual author(s) and contributor(s) and not of MDPI and/or the editor(s). MDPI and/or the editor(s) disclaim responsibility for any injury to people or property resulting from any ideas, methods, instructions or products referred to in the content. |
© 2026 by the authors. Licensee MDPI, Basel, Switzerland. This article is an open access article distributed under the terms and conditions of the Creative Commons Attribution (CC BY) license.
Share and Cite
Toader, C.-S.; Rujescu, C.I.; Feher, A.; Tudor, V.C.; Ciolac, M.R.; Stanciu, S.M. What Drives the Adoption of Sustainable Agricultural Practices in Romania? A Farmer Survey Analysis. Sustainability 2026, 18, 1616. https://doi.org/10.3390/su18031616
Toader C-S, Rujescu CI, Feher A, Tudor VC, Ciolac MR, Stanciu SM. What Drives the Adoption of Sustainable Agricultural Practices in Romania? A Farmer Survey Analysis. Sustainability. 2026; 18(3):1616. https://doi.org/10.3390/su18031616
Chicago/Turabian StyleToader, Cosmina-Simona, Ciprian Ioan Rujescu, Andrea Feher, Valentina Constanța Tudor, Mariana Ramona Ciolac, and Sorin Mihai Stanciu. 2026. "What Drives the Adoption of Sustainable Agricultural Practices in Romania? A Farmer Survey Analysis" Sustainability 18, no. 3: 1616. https://doi.org/10.3390/su18031616
APA StyleToader, C.-S., Rujescu, C. I., Feher, A., Tudor, V. C., Ciolac, M. R., & Stanciu, S. M. (2026). What Drives the Adoption of Sustainable Agricultural Practices in Romania? A Farmer Survey Analysis. Sustainability, 18(3), 1616. https://doi.org/10.3390/su18031616

