Integrating Tsunami Inundation Modelling and Community Preparedness Perception for Coastal Risk Assessment: A Case Study of Tanjung Benoa, Bali, Indonesia
Abstract
1. Introduction
2. Materials and Methods
2.1. Study Area
2.2. Tsunami Inundation Modeling
2.2.1. Earthquake Source Model Based on the PusGeN 2017 [1] Assessment
2.2.2. Subfault Discretization Following the Subduction Slab Geometry [14]
2.2.3. Tsunami Modeling Using COMCOT with the Nested Layer Method
2.3. Community Preparedness and Perception Survey
- (1)
- The respondent must be the head of household, as they represent primary decision-makers for household-level preparedness;
- (2)
- Aged 17 years or older, ensuring adequate comprehension and objectivity in responses;
- (3)
- Permanent residents who have lived in Tanjung Benoa for at least one year.
2.3.1. Data Sources and Processing
2.3.2. Data Validation and Triangulation
- Comparing observation results with interview data;
- Comparing public statements with private opinions;
- Comparing perceptions over time and between different social groups (community leaders, general residents, business owners, and government representatives);
- Verifying interview findings against official documents and field observations supported by photographic documentation.
2.3.3. Checklist Development and Scoring
- Assessment (Identification)—perception and recognition of tsunami risk;
- Preparedness—household and community-level readiness actions;
- Response—capacity to act effectively during and after a tsunami warning.
2.3.4. Index Calculation and Classification
2.4. Tsunami Risk Assessment
2.4.1. Hazard
- Low hazard (inundation depth < 1 m) has a 0.33 scale value;
- Moderate hazard (1–3 m) has a 0.66 scale value;
- High hazard (>3 m) has a 1 scale value.
2.4.2. Vulnerability
2.4.3. Capacity
3. Results
3.1. Tsunami Inundation Modelling Results
3.2. Integration of Social, Physical, Environmental, and Economic Vulnerability
3.3. Capacity of Tanjung Benoa Villager
3.4. Tsunami Risk Assessment in Tanjung Benoa Village
4. Discussion
4.1. Analysis of Tsunami Hazard Map
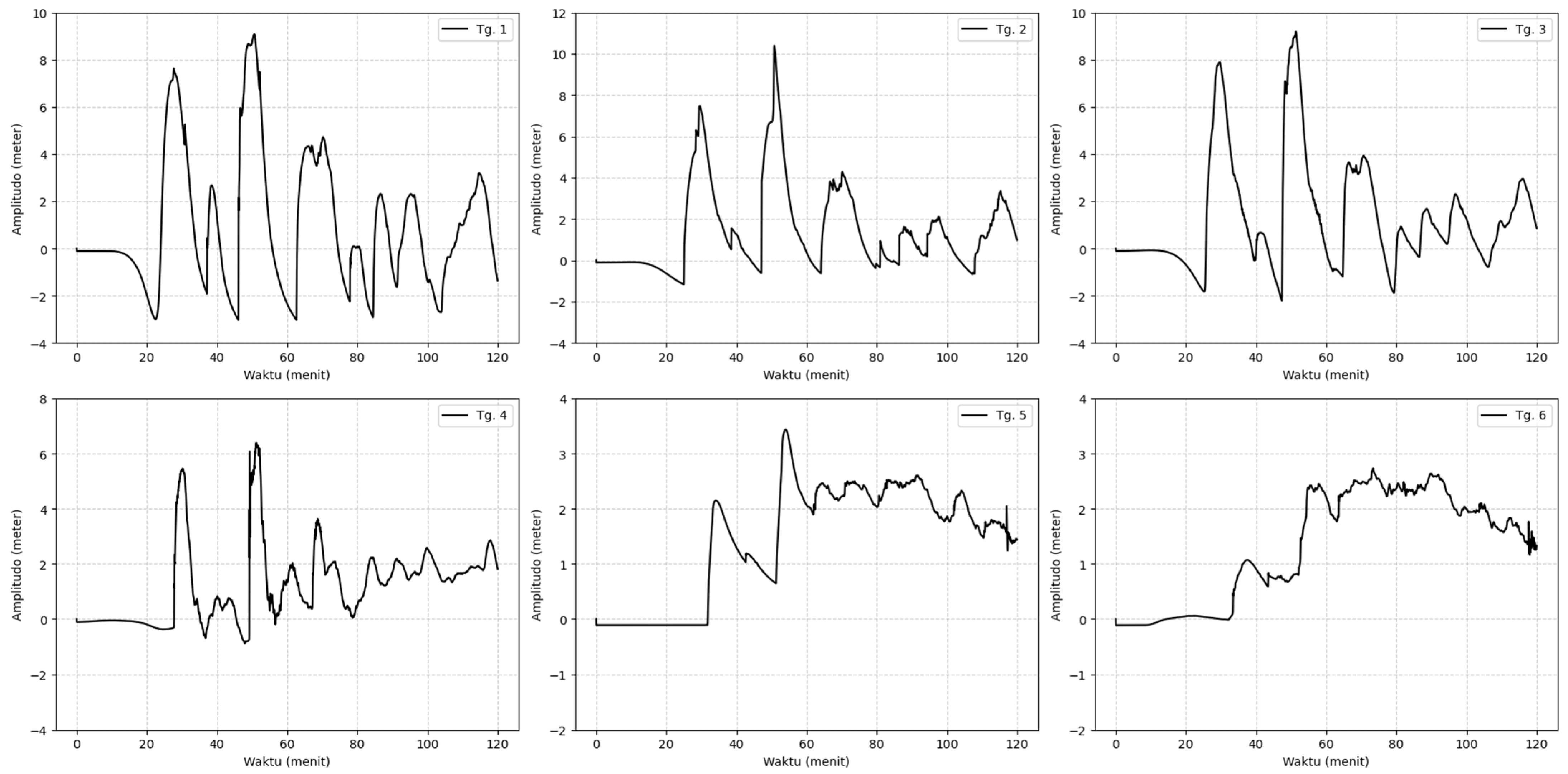
4.1.1. Inundation Analysis of Each Neighborhood
4.1.2. Virtual Tide Gauges Analysis of Each Neighborhood
4.1.3. Analysis of the Relationship Between Hazard Maps, Inundation per Environment, Tide Gauges, and Evacuation Systems
4.2. Integrating Physical Hazard and Social Preparedness Dimensions
4.3. Spatial Variability of Risk and Implications for Evacuation Planning
- Anyar and Purwa Santhi exhibited high composite risk, driven by both high inundation potential and medium preparedness levels.
- Kerta Pascima and Tengkulung, although less exposed physically, still require sustained preparedness reinforcement due to their reliance on external information sources and lower participation in evacuation drills.
4.4. Community Readiness and the Tsunami Ready Framework
- Indicators 1 and 4: Updated tsunami hazard and evacuation maps—not yet fully disseminated to the public.
- Indicator 7: Outreach or educational activities are held at least three times a year.
- Indicator 9: Documented community response and recovery plans—require institutionalization within local governance mechanisms (Kelurahan and Disaster Risk Reduction Forum (FPRB)).
4.5. Comparison with Other Coastal Communities
5. Conclusions and Recommendations
5.1. Conclusions
- Physical hazard: The COMCOT model indicates that under a potential Mw 8.5 earthquake scenario in the southern Bali subduction zone, tsunami waves could reach Tanjung Benoa within approximately 24 min. The maximum inundation depth reaches 14.474 m in the Purwa Santhi neighborhood, with tsunami waves projected to traverse the Tanjung Benoa peninsula. Crucially, communities on the western side of Tanjung Benoa must be particularly vigilant, as the simulation reveals that the tsunami arrival in this area may not be preceded by a characteristic receding of sea level (drawdown), unlike the phenomenon observed on the eastern coast.
- Community Preparedness: The overall preparedness index of the Tanjung Benoa community was 78 (“Ready” category), indicating moderate readiness levels. While awareness of tsunami hazards was generally high, practical preparedness—such as knowledge of safe zones, evacuation routes, and participation in drills—remains uneven across neighborhoods.
- Integrated risk mapping: The integration of hazard, vulnerability, and capacity data successfully identified areas of high hazard–low preparedness overlap. Anyar and Tengkulung neighborhoods were identified as having the highest composite risk scores, while Purwa Santhi faces the most extreme physical hazard. These zones represent priority targets for future capacity-building and early warning enhancement.
- Scientific contribution: The study demonstrates the value of integrating physical and social datasets for disaster risk reduction, producing a spatially explicit risk representation that bridges the gap between technical modelling and community experience.
5.2. Future Research and Recommendations
- Dynamic evacuation simulation: Incorporate Agent-Based Modelling (ABM) to evaluate population movement, decision-making, and evacuation time under various warning delays and route capacities.
- Probabilistic hazard assessment: Combine PTHA (Probabilistic Tsunami Hazard Assessment) with socio-economic vulnerability data to quantify risk in probabilistic rather than deterministic terms.
- Temporal monitoring: Conduct longitudinal studies to evaluate how preparedness levels evolve following interventions, public education, or infrastructure development.
- Integration of digital tools: Utilize participatory GIS, mobile-based early warning applications, and community dashboards to continuously update hazard and preparedness data at the local level.
5.3. Final Remarks
Supplementary Materials
Author Contributions
Funding
Institutional Review Board Statement
Informed Consent Statement
Data Availability Statement
Conflicts of Interest
References
- Irsyam, M. Peta Sumber dan Bahaya Gempa Indonesia Tahun 2017; Pusat Studi Gempa Nasional: Bandung, Indonesia, 2017. [Google Scholar]
- Latief, H.; Puspito, N.T.; Imamura, F. Tsunami Catalog and Zones in Indonesia. J. Nat. Disaster Sci. 2000, 22, 25–43. [Google Scholar] [CrossRef]
- Hadi, T.A. Kajian Risiko Bencana Tsunami di Indonesia; Bappenas: Jakarta, Indonesia, 2007. [Google Scholar]
- Soloviev, S.L.; Chubarov, L.B.; Go, C.N. Tsunami Catalogue for the Pacific; Springer Science & Business Media: Berlin/Heidelberg, Germany, 2000. [Google Scholar]
- Sakya, A.E.; Frederik, M.; Anantasari, E.; Gunawan, E.; Anugrah, S.D.; Rahatiningtyas, N.S.; Hanifa, N.R.; Jumantini, N.N.E. Sow the seeds of tsunami ready community in Indonesia: Lesson learned from Tanjung Benoa, Bali. Int. J. Disaster Risk Reduct. 2023, 87, 103567. [Google Scholar] [CrossRef]
- Sasmi, A.T.; Nugraha, A.D.; Muzli, M.; Widiyantoro, S.; Zulfakriza, Z.; Wei, S.; Sahara, D.P.; Riyanto, A.; Puspito, N.T.; Priyono, A.; et al. Hypocenter and magnitude analysis of aftershocks of the 2018 Lombok, Indonesia, earthquakes using local seismographic networks. Seismol. Res. Lett. 2020, 91, 2152–2162. [Google Scholar] [CrossRef]
- Afif, H.; Nugraha, A.D.; Muzli, M.; Widiyantoro, S.; Zulfakriza, Z.; Wei, S.; Sahara, D.P.; Riyanto, A.; Greenfield, T.; Puspito, N.T.; et al. Local earthquake tomography of the source region of the 2018 Lombok earthquake sequence, Indonesia. Geophys. J. Int. 2021, 226, 1814–1823. [Google Scholar] [CrossRef]
- Griffin, J.; Nguyen, N.; Cummins, P.; Cipta, A. Historical Earthquakes of the Eastern Sunda Arc: Source Mechanisms and Intensity-Based Testing of Indonesia’s National Seismic Hazard Assessment. Bull. Seismol. Soc. Am. 2019, 109, 43–65. [Google Scholar] [CrossRef]
- Silver, E.A.; Breen, N.A.; Prasetyo, H. Multibeam studyof the Flores backarc thrust belt, Indonesia. J. Geophys. Res. 1986, 91, 3489–3500. [Google Scholar] [CrossRef]
- BPS-Statistics of Badung Regency. Kecamatan Kuta Selatan Dalam Angka 2024; Badan Pusat Statistik: Kabupaten Badung, Indonesia, 2024.
- Harig, S.; Immerz, A.; Weniza; Griffin, J.; Weber, B.; Babeyko, A.; Rakowsky, N.; Hartanto, D.; Nurokhim, A.; Handayani, T.; et al. The Tsunami Scenario Database of the Indonesia Tsunami Early Warning System (InaTEWS): Evolution of the Coverage and the Involved Modeling Approaches. Pure Appl. Geophys. 2020, 177, 1379–1401. [Google Scholar] [CrossRef]
- Wang, X.; Power, W.L. COMCOT: A Tsunami Generation, Propagation, and Run-Up Model; GNS Science: Lower Hutt, New Zealand, 2011. [Google Scholar]
- Okada, Y. Surface Deformation Due to Shear and Tensile Faults in a Half-Space. Bull. Seismol. Soc. Am. 1985, 75, 1135–1154. [Google Scholar] [CrossRef]
- Babeyko, A.Y.; Hoechner, A.; Sobolev, S.V. Source modeling and inversion with near real-time GPS: A GITEWS perspective for Indonesia. Nat. Hazards Earth Syst. Sci. 2010, 10, 1617–1627. [Google Scholar] [CrossRef]
- Hanifa, N.R.; Rahatiningtyas, N.S.; Fatchurochman, I.; Gunawan, E.; Hartanto, D.; Agastya, I.B.O.; Indrawan, I.N.P.; Pradipta, G.C.; Gunawan, T.; Putra, Y.M. Pemodelan bahaya tsunami dan evaluasi strategi evakuasi di Tanjung Benoa Bali untuk mendukung upaya safe-tourism Bali. J. Meteorol. Geofis. 2022, 23, 9–22. [Google Scholar] [CrossRef]
- Wang, X.; Liu, P.L.-F. An explicit finite difference model for simulating weakly nonlinear and weakly dispersive waves over slowly varying water depth. Coast. Eng. 2011, 58, 173–183. [Google Scholar] [CrossRef]
- Titov, V.V.; González, F.I. Implementation and Testing of the Method of Splitting Tsunami (MOST) Model; NOAA Technical Memorandum ERL PMEL-120; Pacific Marine Environmental Laboratory: Seattle, WA, USA, 1997. [Google Scholar]
- Shuto, N. The nature of the shallow water wave equations and their application to tsunami modeling. Nat. Hazards 1991, 4, 193–204. [Google Scholar]
- Kotani, M.; Imamura, F.; Shuto, N. Tsunami run-up simulation and damage estimation by using a geographical information system. Proc. Coast. Eng. 1998, 45, 356–360. (In Japanese) [Google Scholar]
- Krejcie, R.V.; Morgan, D.W. Determining sample size for research activities. Educ. Psychol. Meas. 1970, 30, 607–610. [Google Scholar] [CrossRef]
- Narimawati, U.; Munandar, D. Teknik Sampling: Teori dan Praktik Dengan Menggunakan SPSS 15; Gava Media: Yogyakarta, Indonesia, 2008. [Google Scholar]
- Rossman, G.B.; Rallis, S.F. Learning in the Field: An Introduction to Qualitative Research, 2nd ed.; SAGE Publications: Thousand Oaks, CA, USA, 2003. [Google Scholar] [CrossRef]
- Bogdan, R.C.; Biklen, S.K. Qualitative Research for Education: An Introduction to Theories and Methods, 7th ed.; Pearson Education: Bengaluru, India, 2007. [Google Scholar]
- Mekarisce, A.A. Data validity checking techniques in qualitative research in the field of public health. Sci. J. Public Health Public Health Community Commun. Media 2020, 12, 145–151. [Google Scholar] [CrossRef]
- UNESCO-IOC. Standard Guidelines for the Tsunami Ready Recognition Programme; IOC Manuals and Guides, 74; UNESCO-IOC: Paris, France, 2022. [Google Scholar]
- LIPI-UNESCO/ISDR. Kajian Kesiapsiagaan Masyarakat Dalam Mengantisipasi Bencana Gempa Bumi & Tsunami; LIPI Press: Jakarta, Indonesia, 2006. [Google Scholar]
- UNESCO-IOC. List of Tsunami Terms (IOC Document No. 1221); UNESCO: Paris, France, 2006. [Google Scholar]
- Cian, F.; Giupponi, C.; Marconcini, M. Integration of earth observation and census data for mapping a multi-temporal flood vulnerability index: A case study on Northeast Italy. Nat. Hazards 2021, 106, 2163–2184. [Google Scholar] [CrossRef]
- Glimsdal, S.; Løvholt, F.; Harbitz, C.B.; Romano, F.; Lorito, S.; Orefice, S.; Brizuela, B.; Selva, J.; Hoechner, A.; Volpe, M.; et al. A new approximate method for quantifying tsunami maximum inundation height probability. Pure Appl. Geophys. 2019, 176, 3227–3246. [Google Scholar] [CrossRef]
- Løvholt, F.; Setiadi, N.J.; Birkmann, J.; Harbitz, C.B.; Bach, C.; Fernando, G.; Kaiser, G.; Nadim, F. Tsunami risk reduction: Are we better prepared today than in 2004? Int. J. Disaster Risk Reduct. 2014, 10, 127–142. [Google Scholar] [CrossRef]
- Koshimura, S.; Shuto, N. Response to the 2011 great East Japan earthquake and tsunami disaster. Philos. Trans. R. Soc. A Math. Phys. Eng. Sci. 2015, 373, 20140373. [Google Scholar] [CrossRef]
- Badan Nasional Penanggulangan Bencana (BNPB). Peraturan Kepala BNPB Nomor 2 Tahun 2012 Tentang Pedoman Umum Pengkajian Risiko Bencana [Regulation of the Head of BNPB Number 2 of 2012 Concerning General Guidelines for Disaster Risk Assessment]; BNPB: Jakarta, Indonesia, 2012.
- Cutter, S.L.; Boruff, B.J.; Shirley, W.L. Social vulnerability to environmental hazards. Soc. Sci. Q. 2003, 84, 242–261. [Google Scholar] [CrossRef]
- Wisner, B.; Blaikie, P.; Cannon, T.; Davis, I. At Risk: Natural Hazards, People’s Vulnerability and Disasters, 2nd ed.; Routledge: Abingdon, UK, 2004. [Google Scholar]
- Marfai, M.A.; Sunarto; Khakim, N.; Fatchurohman, H.; Cahyadi, A.; Wibowo, Y.A.; Rosaji, F.S.C. Tsunami hazard mapping and loss estimation using geographic information system in Drini Beach, Gunungkidul coastal area, Yogyakarta, Indonesia. In E3S Web of Conferences; EDP Sciences: Les Ulis, France, 2019; Volume 76, p. 03010. [Google Scholar] [CrossRef]
- Tika, N.; Paksi, N.R.; Muhammad, D. Advancing tsunami vulnerability modelling: A systematic review and bibliometric analysis of remote sensing and GIS applications. Eur. J. Geogr. 2025, 16, 298–318. [Google Scholar] [CrossRef]
- Anugrah, S.D.; Latief, H.; Puspito, N.T.; Aswan, A.; Halauwet, Y.; Harvan, M.; Arimuko, A.; Daryono, D.; Simangunsong, G. Tectonic and tsunami characteristics of Banda and Seram Seas: Identifying tsunami-prone villages. Geosci. Lett. 2025, 12, 64. [Google Scholar] [CrossRef]
- McGovern, D.J.; Allsop, W.; Rossetto, T.; Chandler, I. Large-scale experiments on tsunami inundation and overtopping forces at vertical sea walls. Coast. Eng. 2023, 179, 104222. [Google Scholar] [CrossRef]
- Wong, M.M.R.; Ahmad, N.; Suppasri, A.; Syamsidik. Proposal of a depth-based tsunami intensity scale for coastal buildings based on building vulnerability index: A contribution towards an integrated tsunami intensity framework. Int. J. Disaster Risk Reduct. 2025, 130, 105826. [Google Scholar] [CrossRef]
- Wood, N.; Peters, J.; Sheehan, A.; Bausch, D. National population exposure and evacuation potential in the United States to earthquake-generated tsunami threats. Int. J. Disaster Risk Reduct. 2025, 123, 105511. [Google Scholar] [CrossRef]
- Hoshino, S.; Sekiguchi, H.; Takeuchi, R.; Miyagi, K.; Sato, Y.; Castro, J.J.; Yamamoto, K.; Kobayashi, J. Feasibility and effectiveness of vertical evacuation of patients with chronic respiratory disease for tsunamis: A prospective study in a coastal area of Okinawa Prefecture, Japan. Int. J. Disaster Risk Reduct. 2025, 116, 105161. [Google Scholar] [CrossRef]
- Wood, N.J.; Jones, J.; Spielman, S.; Schmidtlein, M.C. Community clusters of tsunami vulnerability in the US Pacific Northwest. Proc. Natl. Acad. Sci. USA 2015, 112, 5354–5359. [Google Scholar] [CrossRef]
- Williamson, A.; Allen, R.M. Improving efficacy of tsunami warnings along the West Coast of the United States. Pure Appl. Geophys. 2023, 180, 1661–1678. [Google Scholar] [CrossRef]
- Perez-Rodriguez, J.; Otero-Mateo, M.; Batista, M.; Ramirez-Peña, M.; Perez-Rodriguez, J.; Otero-Mateo, M.; Batista, M.; Ramirez-Peña, M. Tsunami Early Warning Systems: Enhancing Coastal Resilience Through Integrated Risk Management. Water 2025, 17, 3489. [Google Scholar] [CrossRef]
- Danielsen, F.; Sørensen, M.K.; Olwig, M.F.; Selvam, V.; Parish, F.; Burgess, N.D.; Hiraishi, T.; Karunagaran, V.M.; Rasmussen, M.S.; Hansen, L.B.; et al. The Asian tsunami: A protective role for coastal vegetation. Science 2005, 310, 643. [Google Scholar] [CrossRef]
- Yanagisawa, H.; Koshimura, S.; Miyagi, T.; Imamura, F. Tsunami damage reduction performance of a mangrove forest in Banda Aceh, Indonesia inferred from field data and a numerical model. J. Geophys. Res. Oceans 2010, 115, C06032. [Google Scholar] [CrossRef]
- Okal, E.A.; Synolakis, C.E. Sequencing of tsunami waves: Why the first wave is not always the largest. Geophys. J. Int. 2016, 204, 719–735. [Google Scholar] [CrossRef]
- Otsuyama, K.; Shaw, R. Exploratory case study for neighborhood participation in recovery process: A case from the Great East Japan earthquake and tsunami in Kesennuma, Japan. Prog. Disaster Sci. 2021, 9, 100141. [Google Scholar] [CrossRef]
- Pandadaran, S.H.; Yanagisawa, H.; Shibazaki, B.; Fujii, Y.; Miyagi, T.; Gold, D.P. Solving the puzzle of the 1996 Biak, Indonesia tsunami. Earth Planets Space 2024, 76, 104. [Google Scholar] [CrossRef]
- Arimuko, A.; Sriyanto, S.P.D.; Gunawan, T.; Yatimantoro, T. Source characterization of the 1996 Biak tsunami based on earthquake and landslide scenarios. Mar. Geophys. Res. 2024, 45, 21. [Google Scholar] [CrossRef]
- Strusińska-Correia, A.; Husrin, S.; Oumeraci, H. Tsunami damping by mangrove forest: A laboratory study using parameterized trees. Nat. Hazards Earth Syst. Sci. 2013, 13, 483–503. [Google Scholar] [CrossRef]
- van Wesenbeeck, B.K.; van Zelst, V.T.M.; Antolinez, J.A.A.; de Boer, W.P. Quantifying uncertainty in wave attenuation by mangroves to inform coastal green belt policies. Commun. Earth Environ. 2025, 6, 258. [Google Scholar] [CrossRef]
- Chen, C.; Peng, C.; Nandasena, N.; Yan, H. Experimental investigation on tsunami impact reduction on a building by a Mangrove forest. Estuar. Coast. Shelf Sci. 2024, 301, 108756. [Google Scholar] [CrossRef]
- Pakoksung, K.; Suppasri, A.; Imamura, F. Resonance characteristics of tsunami in bay of Japan by the Hunga Tonga–Hunga Ha’apai volcano eruption on 15 January 2022. Sci. Rep. 2023, 13, 18385. [Google Scholar] [CrossRef]
- Shigihara, Y.; Imai, K.; Iwase, H.; Kawasaki, K.; Nemoto, M.; Baba, T.; Yamamoto Chikasada, N.; Chida, Y.; Arikawa, T. Variation analysis of multiple tsunami inundation models. Coast. Eng. J. 2022, 64, 344–371. [Google Scholar] [CrossRef]
- Storrøsten, E.B.; Ramalingam, N.R.; Lorito, S.; Volpe, M.; Sánchez-Linares, C.; Løvholt, F.; Gibbons, S.J. Machine learning emulation of high-resolution inundation maps. Geophys. J. Int. 2024, 238, 382–399. [Google Scholar] [CrossRef]
- Goto, Y.; Affan, M.; Agussabti Nurdin, Y.; Yuliana, D.K.; Ardiansyah, J. Tsunami Evacuation Simulation for Disaster Education and City Planning. J. Disaster Res. 2012, 7, 93. [Google Scholar] [CrossRef]
- Suzuki, T.; Imamura, F. Simulation model of the evacuation from a tsunami in consideration of the resident consciousness and behavior. J. Jpn. Soc. Nat. Disaster Sci. 2005, 23, 521–538. [Google Scholar]
- UNESCO-IOC. Pembentukan Komunitas Sahabat Teluk Benoa. 2025. Available online: https://tsunami.ioc.unesco.org/sites/default/files/medias/fichiers/2025/04/r1_4.pdf (accessed on 15 September 2025).
- Suppasri, A.; Imamura, F.; Koshimura, S. Tsunami hazard and casualty estimation in a coastal area that neighbors the Indian Ocean and South China Sea. J. Earthq. Tsunami 2012, 6, 1250010. [Google Scholar] [CrossRef]
- Birkmann, J.; Jamshed, A.; McMillan, J.M.; Feldmeyer, D.; Totin, E.; Solecki, W.; Ibrahim, Z.Z.; Roberts, D.; Bezner Kerr, R.; Poertner, H.-O.; et al. Understanding human vulnerability to climate change: A global perspective on index validation for adaptation planning. Sci. Total Environ. 2022, 803, 150065. [Google Scholar] [CrossRef]
- Syamsidik; Rasyif, T.M.; Suppasri, A.; Fahmi, M.; Al’ala, M.; Akmal, W.; Hafli, T.M.; Fauzia, A. Challenges in increasing community preparedness against tsunami hazards in tsunami-prone small islands around Sumatra, Indonesia. Int. J. Disaster Risk Reduct. 2020, 47, 101572. [Google Scholar] [CrossRef]










| No | Neighborhood (Lingkungan) | Number of Households (KK) | Proportion to Total Household Population (%) | Number of Respondents (~25% of Households) |
|---|---|---|---|---|
| 1 | Kerta Pascima | 237 | 18.2% | 59 |
| 2 | Purwa Santhi | 230 | 17.7% | 58 |
| 3 | Anyar | 242 | 18.6% | 61 |
| 4 | Tengah | 219 | 16.8% | 55 |
| 5 | Panca Bhineka | 222 | 17.0% | 56 |
| 6 | Tengkulung | 153 | 11.7% | 38 |
| Total | 1303 | 100% | 327 | |
| No | Parameter | Weight (%) |
|---|---|---|
| 1 | Assessment/Identification | 28.33 |
| 2 | Preparedness | 35.00 |
| 3 | Response | 36.67 |
| Total | 100 | |
| No. | Neighborhood (Lingkungan) | Population as of August 2025 | Population by Gender | Ratio | |
|---|---|---|---|---|---|
| Male | Female | ||||
| 1 | Kerta Pascima | 1085 | 552 | 533 | 104 |
| 2 | Purwa Santhi | 1112 | 552 | 560 | 99 |
| 3 | Anyar | 1139 | 575 | 564 | 102 |
| 4 | Tengah | 1041 | 523 | 518 | 101 |
| 5 | Panca Bhineka | 873 | 451 | 422 | 107 |
| 6 | Tengkuluug | 548 | 284 | 264 | 108 |
| Total | 5798 | 2937 | 2861 | 103 | |
| No | Neighborhood | Social Index | Physical Index | Environmental Index | Economic Index | Total Vulnerability Index |
|---|---|---|---|---|---|---|
| 1 | Kerta Pascima | 0.397 | 0.363 | 0.264 | 1 | 0.556 |
| 2 | Purwa Santhi | 0.562 | 0.363 | 0 | 0.796 | 0.526 |
| 3 | Anyar | 0.364 | 0.697 | 0.4 | 1 | 0.642 |
| 4 | Tengah | 0.766 | 0.132 | 0 | 0.598 | 0.481 |
| 5 | Panca Bhineka | 0.799 | 0.231 | 0 | 0.598 | 0.517 |
| 6 | Tengkulung | 0.397 | 0.598 | 0.4 | 1 | 0.628 |
| No | Neighborhood (Lingkungan) | Maximum Inundation Depth (m) | Average Inundation Depth (m) | Arrival Time (min) |
|---|---|---|---|---|
| 1 | Kerta Pascima | 8.734 | 6.455 | 28 |
| 2 | Purwa Santhi | 14.474 | 10.556 | 24 |
| 3 | Anyar | 13.523 | 8.377 | 24 |
| 4 | Tengah | 12.941 | 8.036 | 28 |
| 5 | Panca Bhineka | 11.583 | 8.71 | 28 |
| 6 | Tengkulung | 13.958 | 7.085 | 24 |
| Neighborhood | Assessment (28.33%) | Preparedness (35%) | Response (36.67%) | Weighted Index | Category |
|---|---|---|---|---|---|
| Kerta Pascima | 23 | 28 | 28 | 79 | Ready |
| Purwa Santhi | 27 | 27 | 30 | 84 | Very Ready |
| Anyar | 25 | 23 | 24 | 72 | Ready |
| Tengah | 24 | 25 | 27 | 76 | Ready |
| Panca Bhineka | 25 | 27 | 30 | 82 | Very Ready |
| Tengkulung | 26 | 27 | 26 | 79 | Ready |
| Average | 24 | 26 | 28 | 78 | Ready |
| Neighborhood | Hazard | Vulnerability | Capacity | Risk |
|---|---|---|---|---|
| Kerta Pascima | 1 | 0.556 | 0.790 | 0.489 |
| Purwa Santhi | 1 | 0.526 | 0.840 | 0.438 |
| Anyar | 1 | 0.642 | 0.720 | 0.564 |
| Tengah | 1 | 0.481 | 0.760 | 0.487 |
| Panca Bhineka | 1 | 0.517 | 0.820 | 0.453 |
| Tengkulung | 1 | 0.628 | 0.790 | 0.509 |
| A* | B* | C* | D* | E* | F* | G* | H* |
|---|---|---|---|---|---|---|---|
| The Sakala Resort | Panca Bhineka, Purwa Santhi, Tengah | 12 | 14.5 | 25 | 900 | 10 | 14 |
| Novotel Bali Benoa | Kerta Pascima | 6 | 14.5 | 25 | 1200 | 13 | 19 |
| Rasa Sayang Beach Inn | Kerta Pascima, Anyar | 3 | 10 | 25 | 700 | 8 | 11 |
| Grand Mirage Resort | Anyar | 12 | 14.5 | 24 | 1100 | 12 | 17 |
| Peninsula Bay Resort | Tengkulung | 12 | 10 | 24 | 1200 | 13 | 19 |
| Benoa Sea Suites | Tengkulung | 15 | 10 | 24 | 1000 | 11 | 16 |
| Ion Bali Benoa | Kerta Pascima, Anyar | 15 | 10 | 26 | 1400 | 15 | 22 |
Disclaimer/Publisher’s Note: The statements, opinions and data contained in all publications are solely those of the individual author(s) and contributor(s) and not of MDPI and/or the editor(s). MDPI and/or the editor(s) disclaim responsibility for any injury to people or property resulting from any ideas, methods, instructions or products referred to in the content. |
© 2026 by the authors. Licensee MDPI, Basel, Switzerland. This article is an open access article distributed under the terms and conditions of the Creative Commons Attribution (CC BY) license.
Share and Cite
Anggraini, S.; Martono, D.N.; Fatmah; Daryono; Pandadaran, S.H.; Haryanto, F.T.; Arimuko, A.; Budi, A.P.; Maimuna, A.K.; Weniza; et al. Integrating Tsunami Inundation Modelling and Community Preparedness Perception for Coastal Risk Assessment: A Case Study of Tanjung Benoa, Bali, Indonesia. Sustainability 2026, 18, 1614. https://doi.org/10.3390/su18031614
Anggraini S, Martono DN, Fatmah, Daryono, Pandadaran SH, Haryanto FT, Arimuko A, Budi AP, Maimuna AK, Weniza, et al. Integrating Tsunami Inundation Modelling and Community Preparedness Perception for Coastal Risk Assessment: A Case Study of Tanjung Benoa, Bali, Indonesia. Sustainability. 2026; 18(3):1614. https://doi.org/10.3390/su18031614
Chicago/Turabian StyleAnggraini, Septa, Dwi Nowo Martono, Fatmah, Daryono, Sidiq Hargo Pandadaran, Fajar Tri Haryanto, Abraham Arimuko, Achmad Prasetia Budi, Afra Kansa Maimuna, Weniza, and et al. 2026. "Integrating Tsunami Inundation Modelling and Community Preparedness Perception for Coastal Risk Assessment: A Case Study of Tanjung Benoa, Bali, Indonesia" Sustainability 18, no. 3: 1614. https://doi.org/10.3390/su18031614
APA StyleAnggraini, S., Martono, D. N., Fatmah, Daryono, Pandadaran, S. H., Haryanto, F. T., Arimuko, A., Budi, A. P., Maimuna, A. K., Weniza, & Aristy, S. A. (2026). Integrating Tsunami Inundation Modelling and Community Preparedness Perception for Coastal Risk Assessment: A Case Study of Tanjung Benoa, Bali, Indonesia. Sustainability, 18(3), 1614. https://doi.org/10.3390/su18031614

