Next Article in Journal
Diagnosis of the Economic Condition of International Road Freight Transport Companies in 2009–2024
Previous Article in Journal
Revealing Hidden Externalities for Collective Strategic Action
 
 
Font Type:
Arial Georgia Verdana
Font Size:
Aa Aa Aa
Line Spacing:
Column Width:
Background:
Article

Modeling Ecosystem Services and Externalities for Ecosystem Accounting: The Case of Santa Lucia Sub-Basin in Uruguay

1
Earth Systems and Global Change Group, Wageningen University and Research, Droevendaalsesteeg 4, 6708 PB Wageningen, The Netherlands
2
Independent Researcher, Asturias 1373, Montevideo 11400, Uruguay
3
Institute of Economics, University of the Republic, Av. Gonzalo Ramírez 1926, Montevideo 11200, Uruguay
*
Authors to whom correspondence should be addressed.
Current address: Cavia 2725, Flat 501, Pocitos, Montevideo 11300, Uruguay.
Sustainability 2026, 18(3), 1571; https://doi.org/10.3390/su18031571
Submission received: 26 December 2025 / Revised: 23 January 2026 / Accepted: 26 January 2026 / Published: 4 February 2026
(This article belongs to the Section Environmental Sustainability and Applications)

Abstract

This research addresses the challenge of assessing ecosystem services, ecosystem condition, and agricultural externalities in a Latin American socio-ecological context, where primary production is both a major economic activity and a pressure on ecosystems. In Uruguay, the intensification of agriculture and livestock farming has raised concerns about nutrient-related externalities affecting water and soil quality. Although the System of Environmental and Economic Accounting (SEEA)—Ecosystem Accounting framework is used for better ecosystem management, it does not explicitly represent externalities. Using the Santa Lucía sub-basin in Uruguay (supplying water to 60% of the population) as a case study, this research combines the Soil and Water Assessment (SWAT) Tool with ecosystem accounting principles to assess ecosystem services, ecosystem condition, and externalities. Model outputs are used to compile partial ecosystem accounts in physical terms, integrating spatially explicit indicators. Results show that nutrient losses to surface waters, interpreted as agricultural externalities, are predominantly driven by diffuse sources associated with croplands and dairy systems and shaped by hydrological connectivity. Despite data and model-related uncertainties, the approach supports hotspot identification and the spatial targeting of interventions and provides the basis for future monetary assessment, illustrating how hydrological modeling can complement ecosystem accounting in data-scarce contexts.

1. Introduction

Agricultural production plays a central role in the economies of Latin American countries, but it is also a major source of environmental pressure on water and soil resources [1]. Diffuse nutrient losses from croplands and livestock systems represent one of the main challenges for watershed management in the region, particularly in basins where agricultural intensification coexists with drinking water supply and other societal demands [2,3].
In Uruguay, the Santa Lucía River basin is of particular importance and supports intensive agricultural and dairy production. Over recent decades, nutrient enrichment of surface waters has raised concerns about water quality, ecosystem degradation, and the sustainability of current land-use practices [4,5]. Figure 1 provides an overview of the key components and interactions addressed in the analysis within the study area. Despite the implementation of measures like establishing buffer zones and requiring effluent treatment in the region [6,7], problems persist, indicating the need for additional and more effective actions [8]. Addressing these challenges requires tools that can jointly represent hydrological processes, agricultural pressures, and ecosystem responses across space and time.
In this study, nutrient losses to surface waters are interpreted as agricultural externalities, defined as unintended by-products of economic activities that impose environmental costs not fully reflected in market prices or production decisions [9].
Hydrological models such as the Soil and Water Assessment Tool (SWAT) are widely used to analyze water balance components, nutrient transport pathways, and the spatial distribution of diffuse pollution in agricultural watersheds [10]. In Latin America, SWAT has been applied to assess nutrient exports, identify pollution hotspots, and explore the influence of land use and management practices on water quality. However, SWAT applications in the region often face limitations related to data availability, spatial resolution, and the representation of nutrient dynamics, particularly under conditions of diffuse pollution and heterogeneous land management. Moreover, results from hydrological modeling are rarely translated into frameworks that explicitly distinguish between ecosystem services, ecosystem condition, and environmental externalities in a way that supports ecosystem accounting and policy analysis.
While the System of Environmental-Economic Accounting—Ecosystem Accounting (SEEA-EA) framework is increasingly used to inform natural resource management and environmental policy and provides an internationally agreed framework for organizing information on ecosystem extent, condition, and services in physical and monetary terms [11], externalities are not explicitly identified as such within the accounting structure, although some of their effects are implicitly reflected through ecosystem degradation and condition indicators. SEEA-EA is not designed for causal analysis, although it allows for the consistent reporting of changes in ecosystem state and service flows over time and for linking biophysical indicators with economic activities. In contrast, the System of Environmental-Economic Accounting—Central Framework (SEEA-CF) explicitly records discharges and emissions from the economy to the environment, providing a complementary perspective on environmental pressures. Integrating outputs from process-based hydrological models into SEEA-EA therefore offers opportunities to enhance the spatial and process representation of ecosystem services and environmental pressures.
This study aims to contribute to this integration by combining SWAT modeling with ecosystem accounting to assess water-related ecosystem services, water ecosystem condition, and nutrient-related agricultural externalities in the Santa Lucía sub-basin. Specifically, the objective is to illustrate how hydrological services, ecosystem condition, and externalities can be represented within ecosystem accounts. By focusing on a major agricultural watershed in Uruguay, the study provides insights relevant for watershed management and ecosystem accounting applications in Latin America and similar data-constrained regions.
This paper contributes to addressing the gap in spatial and temporal analyses of water-relevant ecosystem services in Latin America and the Caribbean (LAC), where such studies are relatively scarce compared to the other parts of the world [12,13]. It specifically tests how ecosystem services can be modelled and mapped for SEEA-EA in an LAC socio-ecological context, with attention to regional policy interests and data availability. It also includes intermediate services, which are of high analytical and policy interest and not generally measured. Furthermore, this paper examines how externalities can be connected to an ecosystem account, given their critical importance in environmental management [9,13].

2. Materials and Methods

This section describes the study area, the modeling tool employed, the data sources, and the indicators and accounts used in the analysis.

2.1. Study Area

This study focuses on a sub-basin within the Santa Lucia River catchment in Uruguay. The sub-basin is situated in the southern region of the country and covers an area of 9180 km2, encompassing parts of the San José, Florida, Lavalleja, and Canelones administrative units (Figure 2a). The area holds strategic importance as it provides drinking water for approximately 60% of the national population.
The basin is characterized by a temperate humid climate, with mean annual precipitation ranging from approximately 1100 to 1500 mm and no pronounced dry season. Rainfall exhibits marked interannual and seasonal variability, which strongly influences runoff generation, nutrient mobilization, and transport processes. Mean annual temperatures range between 16 and 20 °C.
Hydrologically, the basin is dominated by a dendritic river network with relatively gentle slopes in the lower and central sections and more undulating topography upstream. Streamflow responds rapidly to rainfall events, and surface runoff and shallow subsurface flow play a major role in nutrient export, particularly during periods of water excess.
The primary river within the watershed is the Santa Lucia River, originating from the western part of the Lavalleja department. Its major tributary is the Santa Lucia Chico River, approximately 100 km long, flowing through the Florida department. Within this tributary lies the largest reservoir in the basin, Paso Severino. The dam supplies water to the Aguas Corrientes plant, managed by OSE (Obras Sanitarias del Estado), the national water company responsible for water treatment, purification, and distribution for both drinking and non-drinking purposes. It is located 20 km downstream from the dam [14] and this point marks the end of the study area.
Soils are predominantly moderately deep to deep, with textures ranging from loam to clay loam, and exhibit variable drainage capacity. These characteristics, combined with agricultural management practices, influence infiltration, erosion potential, and nitrogen and phosphorus losses to watercourses.
Land use in the basin is dominated by livestock, dairy and rainfed croplands, alongside remaining areas of natural grasslands and riparian vegetation. As aforementioned, intensive land use, fertilizer application, and livestock concentration have been identified as major drivers of diffuse nutrient pollution affecting surface waters.
These climatic, soil, hydrological and land use characteristics (see Section S2 of the Supplementary Material) make the Santa Lucía sub-basin well suited for the application of the SWAT model, which is designed to represent water balance dynamics, land management practices, and nutrient transport processes in agricultural watersheds, and to support the analysis of spatially heterogeneous diffuse pollution sources.

2.2. SWAT Modeling

Given the climatic variability, land-use intensity, and dominance of diffuse nutrient pollution described in Section 2.1, the Soil and Water Assessment Tool was selected to simulate hydrological processes, nutrient transport, and land management effects at the sub-basin scale [15]. The model was implemented using the SWAT2012 modeling framework (revision 681), developed and supported by the USDA Agricultural Research Service (USDA-ARS, Temple, TX, USA), Texas A&M AgriLife Research (College Station, TX, USA), and Texas A&M University (College Station, TX, USA). It was carried out through the QSWAT 2.6.1 interface, developed by Chris George, with contributions from Yihun Dile (Texas A&M University, College Station, TX, USA).
The Santa Lucía basin was delineated into 86 sub-basins using a 30 m DEM and a snap threshold of 300 m. Hydrological Response Units (HRUs) were defined based on unique combinations of land use, soil type, and slope class, applying a 0% threshold for each category to preserve spatial detail. This configuration resulted in 5113 HRUs across the basin, allowing for a fine representation of land management and biophysical conditions heterogeneity.
Model inputs included climate variables, land use, soil properties, topographic information, and agricultural management practices. Climate forcing, land management, and nutrient inputs were represented to capture both diffuse and point-source contributions to nutrient fluxes. Diffuse sources originate from agricultural land uses, while point sources represent localized discharges from human activities within the basin.
The SWAT configuration activated modules for crop growth, nutrient cycling, and sediment transport to support the estimation of water-related ecosystem services, ecosystem condition indicators, and nutrient-related externalities analyzed in this study. Model outputs were generated at a daily time step and subsequently aggregated to monthly and annual scales for calibration, analysis, and integration into ecosystem accounts.

Model Performance Evaluation

In this study, model performance was evaluated for three groups of variables: water flow, agricultural productivity (crop yield and grass/pasture biomass), and water quality.
A complete evaluation was made for water flow. A sensitivity analysis was first conducted to identify parameters exerting the greatest influence on flow dynamics. Model calibration was subsequently performed at a monthly time step, while simulations were run daily, over the period 2009–2018, following a three-year warm-up period (2006–2008). This choice was made to reduce noise and uncertainty in daily flow data and to improve the robustness of performance metrics, while aligning with the study’s focus on annual water balance. Model validation was conducted using independent data from 2019.
Flow calibration was based on observations from six monitoring stations distributed across the basin: Paso de los Troncos, Paso Roldán, Florida, Fray Marcos, Paso Pache, and Santa Lucía R11 (10 km upstream of Aguas Corrientes) (refer to the Figure 2a). Model calibration was carried out using the SWATPlus R package version 0.2.7 [16], a community-developed package in R, which provides functionality comparable to SWAT-CUP. Adjusted parameters can be found in Section S2 of Supplementary Material. Parameter optimization was explored using a Particle Swarm Optimization (PSO) algorithm implemented through the hydroPSO package in R. The procedure aimed to maximize the Nash–Sutcliffe Efficiency (NSE) as the optimization metric. The PSO configuration used a population size of 20 particles (npart = 20), a maximum of 50 iterations (maxit = 50), and a relative tolerance of 0.0001 for convergence. Parallel processing was enabled to improve computational efficiency. This approach allowed the identification of parameter sets that improved streamflow simulation while maintaining physically plausible ranges.
Model performance for streamflow was assessed using three complementary criteria: the Nash–Sutcliffe efficiency (NSE), Kling–Gupta efficiency (KGE), and percent bias (PBIAS). NSE measures the relative magnitude of residual variance in relation to observed data variance [17]. KGE, an improvement over NSE, considers the contributions of means, variance, and correlation to model performance [18]. PBIAS, on the other hand, quantifies the average tendency of simulated values to deviate from observed data [19].
For agricultural productivity and water quality, a “soft” calibration approach following [20] was adopted due to limited data availability. This procedure consisted of four steps: (1) verification of crop growth and management parameters (phenology, harvest index, radiation-use efficiency, fertilization rates) against national technical references and expert knowledge, (2) comparison of simulated long-term mean yields and biomass with observed statistics (2005 or 2014–2019), aggregated at the departmental, regional, or national level depending on data availability, as sub-basin specific data are unavailable, (3) iterative adjustment of a restricted set of parameters until simulated values fell within observed ranges and relative differences between crops were consistent with official statistics, applying tolerance ranges of approximately ±20% and (4) harmonization of simulated agricultural production values with National Accounts statistics, to ensure consistency of basin-level magnitudes used for ecosystem accounting, without altering the relative spatial patterns produced by the model. Comparisons were based on multi-year averages and spatial plausibility rather than point-level accuracy, aligning with the study’s focus on ecosystem accounting rather than farm-scale prediction. SWAT calculates plant nutrient uptake through its crop growth and nutrient cycling routines, which estimate uptake as a function of biomass accumulation and nutrient demand during phenological stages. This process is based on default algorithms within SWAT, but key crop growth parameters were adjusted during soft calibration. See Section S2 to find the parameters assessed and adjusted in step 1 and 3. Forestry and native forest were not explicitly calibrated due to their limited spatial extent, but simulated biomass values were checked for consistency with official statistics. Sediment exports were also examined by comparing the results produced by SWAT with those generated by the “Erosion 6.0” model (a model developed jointly by the government and academy, to support the implementation of the Soil Use and Management Plans).
Water quality calibration was conducted on a bimonthly basis for the period 2011–2019, reflecting the temporal resolution of available observations. The variables examined are nitrate, total nitrogen, and total phosphorus. Soft calibration was performed by adjusting a limited number of nutrient-related parameters (see Section S2 of Supplementary Material) and comparing simulated and observed distributions of total N, NO3 and total P. The analysis was conducted at five monitoring stations, selected to represent different dominant land uses in each location; dairy farms in AV05 (De la Virgen creek) and PS02 (Paso Severino), agriculture in CG01 (Canelón Grande), and grassland in SL02 (Santa Lucía). Additionally, the inclusion of SL05 (Santa Lucía) station was justified by its proximity to the basin’s outlet. Please refer to Figure 2c for the locations of these stations. Model performance was evaluated by comparing medians, interquartile ranges and overall variability, rather than only point-to-point errors, due to the low temporal resolution and high variability of observed data.
The adequacy of the soft calibration approach was evaluated using three complementary criteria: (i) consistency with observed magnitudes: simulated yields, biomass and nutrient concentrations fall within the observed ranges reported by official statistics and monitoring data; (ii) spatial plausibility, with higher nutrient loads occurring in sub-basins dominated by agricultural and dairy systems and lower values in grassland-dominated upper areas; and (iii) process coherence, reflected in physically meaningful relationships between rainfall, runoff, and nutrient export. This approach does not aim to predict local concentrations or yields precisely, but to generate spatially coherent, order-of-magnitude consistent estimates suitable for ecosystem accounting and hotspot identification.

2.3. Data Sources

All input datasets used in the SWAT model and in the construction of ecosystem accounting indicators are summarized in Table 1, including their sources, resolution, temporal coverage, data frequency and spatial coverage. The datasets comprise climate variables, land use, soil properties, hydrological information, agricultural management data, point-source discharges, and water quality observations.
Daily climate data were used to drive hydrological and nutrient simulations, while land use and soil data provided the basis for defining hydrological response units and agricultural management practices. Observed water quality data were used both to support model calibration and to characterize aquatic ecosystem condition. Point-source discharges from dairy farms, industries, and residential areas were incorporated based on available records and supplementary assumptions.
Further details on data sources and assumptions are provided in the Supplementary Material. The process of obtaining the land use map for the study area can be found in Supplementary Material, Section S1. Section S2 provides the assumptions used in the model for agricultural rotations, fertilizer application, grazing and crop parameters, and soil properties. These assumptions are primarily based on expert consultation and the study presented in [21]. Additionally, to improve the spatial consistency of precipitation inputs, daily rainfall data were interpolated using ordinary kriging [22] prior to model execution to estimate areal mean precipitation for each sub-basin. Data sources and assumptions for point source estimation are provided in Section S3 of Supplementary Material.
Although input datasets differ in temporal and spatial coverage, they were selected to maximize consistency with the modeling period and to reflect the best available information for each process represented. Variables with broader spatial coverage were used to parameterize dominant management practices (rather than farm specific behavior), while higher-resolution datasets were prioritized for hydrological and water quality processes. This approach reflects common practice in data-scarce contexts and supports the analysis of spatial patterns and relative differences rather than exact point estimates.
Table 1. Data sources used in SWAT model setup and other complementary data for analysis. Note: Differences in spatial and temporal resolution across datasets reflect data availability.
Table 1. Data sources used in SWAT model setup and other complementary data for analysis. Note: Differences in spatial and temporal resolution across datasets reflect data availability.
VariableDescriptionSourceResolutionTemporal
Coverage and Data Frequency
Spatial
Coverage
TopographyDEM—Digital Elevation Model[23]30 m × 30 m (grid)2004Santa Lucia sub-basin
Soil featuresPhysical and chemical features for horizon A and B. Cartography 1:40.000[24,25]Polygons2013Santa Lucia sub-basin
Land usesLand uses[26,27]10 m × 10 m (grid)2015, 2018Santa Lucia sub-basin
ClimateRainfall, temperature (min and max), radiation, humidity, wind[28,29]Points2006–2019, DailySanta Lucia sub-basin
Management practicesRotations, fertilization applications, grazing, crops and pastures growth parameters[21]-2019Uruguay
Point sourcesFrom dairy farms (number of cows, farm location, effluent treatment)[30,31,32]Polygons2015Santa Lucia sub-basin
Industrial and Residential[33]Points2006–2019,
Monthly
Santa Lucia sub-basin
Water flowWater flow[33]Points2006–2019,
Daily
Santa Lucia sub-basin
Water qualityConcentration of N and P in water[33]Points2011–2019,
Bi-monthly
Santa Lucia sub-basin
Agricultural ProductsSoybean and wheat yield[34]Polygons2014–2019,
Annual
San José, Florida, Lavalleja, and Canelones
Corn and sorghum yield[34]Polygons2005–2019,
Annual
Uruguay
Grass and pastures biomass[35]Polygons2005–2019,
Annual
South-central part of the country
Water extractedAmount of water extracted for human consumption (drinking and non-drinking)[36]Points2019Santa Lucia sub-basin
Water quality regulatory thresholdLevel of concentration of N and P from which water is considered not drinkable[37]-1979Uruguay

2.4. Assessing Ecosystem Services and Externalities

This study assesses selected ecosystem services, ecosystem condition indicators, and agricultural externalities relevant to water-related ecosystem accounting in the Santa Lucía sub-basin. The selection of indicators is guided by (i) their relevance for current environmental policy concerns in Uruguay [38], (ii) data availability and (iii) the capacity of the SWAT model to simulate the underlying biophysical processes in a spatially explicit manner.
Following the SEEA—Ecosystem Accounting framework, a distinction is made between final ecosystem services, intermediate ecosystem services ecosystem condition and pressure indicators. Final ecosystem services are those directly benefiting society, such as water provision for human consumption and water purification. Intermediate ecosystem services are defined as biophysical flows generated by ecosystems that support economic production but do not directly enter final demand. In this study, these include water use by vegetation, nutrient uptake by crops and pastures, and biomass production, which underpin agricultural output but are not themselves final services (see Figure 3). Although crop yield is already recorded in the System of National Accounts, it is included here in physical terms as an intermediate biophysical indicator reflecting the combined contribution of ecosystem processes and agricultural management in order to illustrate spatial production patterns and support future integration with economic accounts, while avoiding monetary valuation and double counting. In addition, ecosystem services are classified according to their functional role (provisioning, regulating and maintenance, cultural and support), following common ecosystem service typologies. This classification is complementary to the distinction between final and intermediate services.
Agricultural externalities are defined as nutrient losses generated by productive ecosystems (croplands, pastures, and grasslands) that negatively affect the condition and service provision of downstream aquatic ecosystems. In line with the SEEA framework, these externalities are not treated as separate services, but as pressures that influence ecosystem condition and, indirectly, the capacity of ecosystems to supply services over time.
The indicators selected (see Table 2) represent a partial but policy-relevant set of ecosystem processes and pressures. While the SEEA-EA framework primarily focuses on final ecosystem services, it also allows the inclusion of intermediate services and supporting biophysical indicators when they are relevant for environmental management, policy analysis, or for understanding ecosystem functioning [11]. Accordingly, the indicators used in this study focus on nutrient-related externalities affecting water quality and do not capture other important impacts of agricultural production, such as pesticide contamination, or biodiversity loss.
Most of the variables are estimated based on the results of the SWAT model, while in some cases, additional sources are utilized. A detailed description of each indicator is provided below.

2.4.1. Indicators Related to Pastures, Grassland and Croplands

Following the classification described in Section 2.4, this section presents biophysical indicators supporting agricultural production in pastures, grasslands and croplands.
Water use by vegetation (mm/year): This is represented by actual evapotranspiration (AET), simulated by SWAT. AET reflects the combined water loss through soil evaporation and plant transpiration. It reflects the amount of water actually utilized by crops for their growth. When the water demand of the crop is fully met, the actual evapotranspiration is equal to the potential evapotranspiration, which is calculated using the Penman–Monteith formula in this study [40]. However, in Uruguay, ideal humidity conditions are generally not achieved during the summer months for rainfed crops. As a result, the water requirements of crops are not fully satisfied, leading to lower actual evapotranspiration compared to the potential. This water limitation is crucial as it is the most significant factor affecting the development of summer crops, pastures, and grasses in Uruguay [41,42,43,44]. Furthermore, irrigation practices are not widespread in the region, except for rice production and horticulture [45]. Therefore, the main sources of water for agricultural production are rainfall and the water stored in the soil profile, and their contribution to supporting production is measured through actual evapotranspiration.
Nutrient uptake by vegetation (kg N/ha and kg P/ha): This is used as an indicator of the ecosystem’s contribution to nutrient provision for crops and pastures. Nutrient uptake represents the amount of nitrogen (N) and phosphorus (P) absorbed by vegetation during the growing period and reflects the interaction between soil processes, plant growth, and management practices. Nitrogen is a critical nutrient for plant growth, and phosphorus plays a crucial role in various essential functions such as energy storage and transfer for growth and reproduction [15]. The variables are estimated based on crop nutrient requirements and a nitrogen and phosphorus cycle model incorporated in SWAT.
N biological fixation (kg N/ha): Legumes have the ability to acquire part of their nitrogen requirements from the atmosphere through biological nitrogen fixation. This process involves the association of leguminous plants with rhizobia bacteria, which fix atmospheric nitrogen into a form that plants can use [15]. SWAT simulates this process when the soil does not supply sufficient nitrogen to the legume. Biological nitrogen fixation is considered an intermediate service and is essential, particularly for soybean production (soybean and other legumes are included as part of agricultural rotations assigned to HRUs whose land-use category is agriculture).
Grass and pasture biomass (kg/ha—dry weight): Although the values for the basin average are consistent with national accounts values (see Section Model Performance Evaluation), the spatial distribution of these values was obtained through SWAT. They represent the total aboveground and root biomass available in grasses and pastures. The results are then multiplied by the harvest index to estimate the biomass consumed by livestock. A plant growth model, a simplified version of the Environmental Policy Integrated Climate (EPIC) model, is employed to estimate potential biomass under ideal conditions based on intercepted energy and the plant’s efficiency in converting energy to biomass [15]. Since ideal conditions are rarely achieved, the plant biomass is adjusted to account for water, nutrients, or temperature stresses. Grass and pasture biomass are considered intermediate services in this study as they are subsequently utilized for meat and milk production.
Crop yield (kg/ha—dry weight): As in the previous case, the values for the basin average are consistent with the national accounts’ values (see Section Model Performance Evaluation), and the spatial distribution of these values was obtained through SWAT. It represents the proportion of aboveground crop biomass that is harvested and removed from the system for sale in the market, typically comprising the reproductive portion of the crop. Crop yield is also classified as an intermediate service or biophysical indicators, reflecting the combined contribution of ecosystem processes and agricultural management. Like grass and pasture biomass, crop yield is estimated using a simplified version of the EPIC plant growth model.

2.4.2. Indicators Related to Water Purification and Nutrient Losses

This section describes the indicators used to assess water purification as a final regulating ecosystem service in the Santa Lucía sub-basin. Water purification reflects the combined effect of multiple ecosystem processes—including nutrient retention, uptake by vegetation, and delayed transport—which together reduce nutrient loads reaching surface waters and improve downstream water quality.
Water purification: This is assessed through indicators of nitrogen and phosphorus load reductions along the land–water continuum, as simulated by SWAT. These indicators capture the regulating function of terrestrial ecosystems, particularly riparian forests and other natural vegetation, in mitigating diffuse nutrient pollution generated by agricultural activities before it affects water bodies and downstream users.
Nutrient losses to water: These are represented using indicators of nitrogen and phosphorus runoff and leaching (kg N/ha and kg P/ha), simulated by SWAT. These indicators reflect agricultural externalities arising primarily from diffuse sources and include nutrient loadings delivered to watercourses through surface runoff, lateral flow, and groundwater pathways. Nitrogen losses encompass organic nitrogen exported with sediments as well as nitrate (NO3), while phosphorus losses include both organic and mineral forms transported in sediments and soluble phosphorus conveyed by surface runoff and groundwater flow. In addition to diffuse sources, the model accounts for point-source discharges associated with dairy farms, industries, and residential areas..

2.4.3. Indicator Related to Water Use

This section describes the indicator used to assess water use for human use as a final provisioning ecosystem service in the Santa Lucía sub-basin.
Water use: This is represented by the amount of surface and groundwater extracted for household consumption (m3/year). This indicator reflects the actual use of water resources and is obtained from administrative records provided by the National Water Division of the Ministry of Environment. The data used in the study corresponds to valid water use permits registered in 2019.
Although hydrological processes determining water availability are simulated by SWAT, the model is not used to estimate household water abstractions. Consequently, water supply is assessed through observed extraction data rather than modeled flows. This approach allows for a clear distinction between the biophysical processes represented by the model and the societal use of water resources within the ecosystem accounting framework.

2.4.4. Indicator Related to Water Ecosystem Condition

Nutrient concentration (mg N/L, µg P/L): This is used as an indicator of the condition of water ecosystems in the Santa Lucía sub-basin. Nutrient concentrations provide a direct measure of water quality and reflect the cumulative effects of upstream pressures and ecosystem processes. Observed data are obtained from the National Division of Environmental Control and Evaluation of the Ministry of Environment, which maintains a network of monitoring points along the main watercourses of the basin. Monitoring data are available on a bi-monthly basis for the period 2011–2019 and include total nitrogen, nitrate (NO3), and total phosphorus. These variables are also used to support the calibration of water quality processes in the SWAT model.

2.5. Including Hydrological Services and Externalities in an Ecosystem Account

This section describes the approach used to integrate ecosystem services, ecosystem condition indicators, and agricultural externalities into an ecosystem accounting framework, following the principles of the SEEA–EA.
Ecosystem accounts are reported in physical units, which serves as the foundation for the future construction of monetary accounts. Accounts are constructed at the sub-basin scale. Unless otherwise specified, variables simulated at the HRU level and expressed per unit area (e.g., crop yield, biomass production, diffuse nutrient losses in kg/ha) were aggregated to sub-basin and catchment scales using HRU area as weighting factor. In contrast, variables reported by the model as total loads (e.g., nitrogen and phosphorus exports to stream reaches in kg/year) or as concentrations (e.g., NO3 and total phosphorus in mg/L or µg/L) were analyzed at their native spatial scale and not spatially averaged across land units. Aggregated indicators were then associated with the corresponding ecosystem types (e.g., croplands, grasslands, forests, or water ecosystems) for ecosystem accounting purposes, reflecting the ecosystems in which the underlying biophysical processes occur. HRU were used exclusively as modeling units, and no allocation of flows among multiple ecosystem units within HRUs was performed.
Units were checked to maintain consistency between area-based indicators (e.g., kg/ha/year), total loads (kg/year), and concentrations (mg/L or µg/L).
To ensure temporal comparability in the ecosystem accounts, all model-based indicators reported in the accounts (e.g., crop yield, biomass, nutrient losses and loads) are expressed as annual averages over a common reference period (2014–2019). Observed datasets were used for calibration and validation using their full available temporal coverage (e.g., streamflow 2006–2019; water quality 2011–2019; some crop statistics 2014–2019), but the accounting tables report harmonized values for the common reference period. There are some exceptions. Water extraction for household consumption is reported for the reference year 2019, consistent with available permit data. In Uruguay, domestic water abstraction exhibits relatively low interannual variability due to stable population size, centralized supply infrastructure, and regulated allocation. Land use extent is reported for 2015 and 2018.
Three complementary components are considered: ecosystem extent, ecosystem condition and ecosystem service supply, while agricultural externalities are reported as pressures affecting ecosystem condition.
The extent account is based on the spatial delineation of ecosystem types, including croplands, pastures and grasslands, riparian forests, and water bodies. Ecosystem boundaries are derived from land-use data.
The condition account is represented using nutrient concentration indicators (total nitrogen, nitrate, and total phosphorus) for water bodies.
Ecosystem services are reported separately as final and intermediate services. Final ecosystem services include water purification, and water use. In addition, selected intermediate ecosystem services and biophysical production indicators—such as crop yield, biomass production, and nutrient-related processes—are reported in physical terms where relevant for environmental management and policy analysis. Intermediate indicators are kept analytically separate from final services to avoid double counting with economic output.
Agricultural externalities are incorporated as pressures on ecosystem condition through indicators of nutrient losses from land to water.

3. Results

This section presents the results of the SWAT model calibration and of the estimation of ecosystem services and externalities.

3.1. SWAT Calibration Outcomes

Model performance is considered acceptable when the NSE criterion is above 0.5, and the PBIAS for streamflow falls within the range of −25% to +25% [18]. Similarly, several researchers have regarded results as satisfactory when achieving a KGE of 0.5 or higher [46,47]. As depicted in Figure 4, NSE and KGE values surpassed the aforementioned thresholds at all monitoring stations. Hence, the model demonstrated satisfactory performance in simulating water flow. Regarding validation, the results were also deemed acceptable, with NSE values ranging from 0.53 to 0.95 across the six analyzed stations. In addition to global performance metrics, high-flow peaks and low-flow conditions were visually assessed during calibration and validation to ensure that the model adequately represents both the magnitude and timing of streamflow extremes.
As previously mentioned, a soft calibration approach was applied for agricultural productivity and water quality variables due to limited site-specific data. Consequently, it was not feasible to estimate NSE, PBIAS, and KGE for those components. Concerning agricultural products, the model tended to underestimate average values relative to national accounts for soybean, corn, and pastures by approximately 10% to 15%, while overestimating values for sorghum, wheat, and grass by around 10% to 20% (see Figure 5). To better represent the actual situation, simulated values were harmonized with national accounts statistics, as explained in Section Model Performance Evaluation.
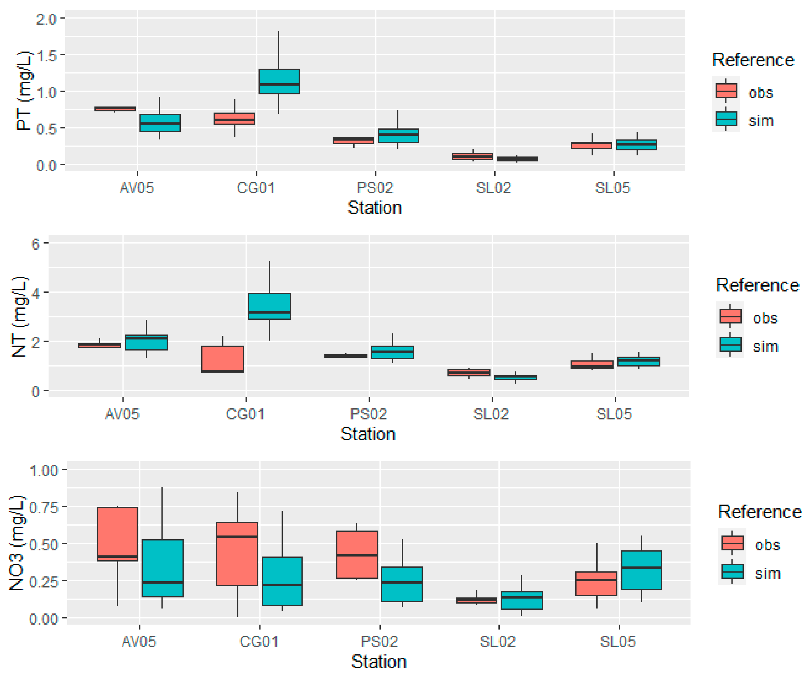
Figure 6 presents the results for water quality calibration. In this case, box plots were used to compare observed and simulated data. Regarding the results, simulated and observed distributions show comparable median values and interquartile ranges across all variables in almost all cases, specifically at the PS02, SL02, and SL05 stations. In these stations, differences between simulated and observed medians were generally small relative to the overall variability of the data, and the simulated interquartile ranges overlapped substantially with those of the observations.

3.2. Indicators of Ecosystem Services, Condition and Externalities

The Ecosystem Accounting framework aims to collect information on various aspects of ecosystems, such as their extent, condition, and services, among others, in order to depict the temporal and spatial variations of these factors. The SWAT model facilitates the simulation of diverse processes, which generate many of the variables required by the framework, and it also allows for the generation of maps.
The following variables, derived from the model results, are suggested in accordance with the SEEA, and they are also pertinent to the case being studied in Uruguay. Initially, the variables are presented in a spatially explicit manner, followed by their representation as ecosystem accounts.

3.2.1. Biophysical Production Indicators (Intermediate Services) and Use-Related Indicator

The maps presented below (Figure 7) depict the provisioning and intermediate ecosystem services assessed in this study, including grass and pasture biomass, crop yield, water extraction for household consumption, water and nutrient availability, and biological nitrogen fixation. Grey areas indicate zones where these services are not provided. It can be observed that crop cultivation and pastures are predominantly located in the southern and central parts of the watershed, while grass production occurs in the northern and eastern areas.
The average annual values of grass biomass from 2014 to 2019 varied between 2200 and almost 10,800 kg/ha, with the lowest values found in the eastern region. Pasture productivity ranged from 3600 to 10,300 kg/ha. Crop yields for soybeans, corn, sorghum, and wheat during the same period ranged from 1000 to 2850 kg/ha, 2300 to 7400 kg/ha, 600 to 6800 kg/ha, and 2400 to 4000 kg/ha, respectively.
In addition to biophysical production indicators, this section also reports observed water abstraction for household consumption as an indicator of the use of a final ecosystem service. While not representing ecosystem supply, this indicator links water ecosystems to societal benefits. The highest amount was recorded at the Aguas Corrientes potabilization plant, located at the downstream end of the basin. Specifically, water extraction in 2019 amounted to 190 million m3 (public information was not available for a longer period), representing 95% of the total water extracted in the region. In terms of intermediate services, average values from 2014 to 2019 ranged from 450 to 1250 mm for actual evapotranspiration, 2 to 360 kg N/ha for plant uptake of nitrogen, 63 to 140 kg N/ha for biological nitrogen fixation, and 1 to 90 kg P/ha for plant uptake of phosphorus.

3.2.2. Water Purification

Water purification as a regulating ecosystem service is assessed using a scenario-based approach, comparing nutrient loads simulated under current land-use conditions with a counterfactual scenario in which riparian forests are replaced by barren land. Differences between scenarios represent the potential contribution of riparian ecosystems to reducing N and P loads reaching surface waters.
At the basin scale, modeled results indicate that ecosystem processes associated with riparian forests reduce approximately 1038 tons of N and 95 tons of P per year relative to the counterfactual scenario (see Table 3). These values reflect the influence of vegetation cover on hydrological and transport processes, affecting the pathways, magnitude, and timing of nutrient fluxes, rather than observed removal efficiency.
Water purification capacity shows marked spatial heterogeneity across the basin. Sub-basins with a higher extent of riparian vegetation exhibit larger differences between scenarios, indicating a stronger regulating function. Percentage differences are reported to illustrate the relative magnitude of this capacity and should be interpreted as scenario-based contrasts, not as efficiency measures.
Overall, the results highlight the role of riparian ecosystems in regulating nutrient delivery to surface waters and support spatial comparison for ecosystem accounting and management, while acknowledging the simplified nature of the counterfactual scenario.

3.2.3. Ecosystem Condition Indicators

The selected indicators to assess the state of water bodies were nutrient concentrations. Figure 8 demonstrates that phosphorus, nitrogen, and nitrate levels in the water were lower in the upper part of the basin and increased as we approached the downstream area, with values ranging from 110 to 1980 µg P/L, 1 to 11 mg N/L, and 0.1 to 3 mg N/L, respectively.

3.2.4. Nutrient Losses and Agricultural Externalities

Average annual nutrient loadings from diffuse sources range from 0 to 84 kg N/ha and 0 to 32 kg P/ha across sub-basins (Figure 9). The spatial distribution of these values reveals a clear non-random pattern, with high-loading sub-basins concentrated predominantly in the central–southern and lower sections of the Santa Lucía watershed, while the upper basin generally exhibits lower nutrient exports. Sub-basins located downstream of the Santa Lucía Chico River and in the vicinity of the Paso Severino reservoir present the highest nutrient loads, indicating the presence of pollution hotspots.
These hotspots coincide spatially with areas dominated by intensive land uses, particularly dairy production systems and rainfed croplands. In contrast, sub-basins characterized by a higher proportion of natural grasslands and native vegetation, mainly in the northern and eastern parts of the basin, consistently show lower nutrient exports. These patterns highlight the role of land-use intensity and hydrological connectivity in shaping nutrient externalities.
To move beyond a purely descriptive representation, a spatially explicit aggregation analysis of N and P loadings was conducted at the sub-basin level, across the 86 delineated sub-catchments, to assess spatial heterogeneity, clustering patterns, and the contribution of different source types. As detailed in Section S4, total nutrient loads were decomposed into diffuse and point-source contributions. Diffuse sources dominate nutrient exports throughout most of the basin, accounting on average for approximately 95% of total N and P loads, while a limited number of sub-basins exhibit a substantially higher contribution of point sources, primarily associated with dairy farms.
The spatial configuration of nutrient loadings translates into longitudinal gradients in water quality, with nutrient concentrations increasing from upstream to downstream sections of the basin (Figure 8). This pattern reflects the cumulative effect of spatially clustered diffuse pollution sources along the river network and links nutrient losses to downstream pressures on aquatic ecosystem condition. Overall, the observed spatial patterns indicate that nutrient exports are not uniformly distributed across the landscape but instead form spatial clusters driven by the interaction of land use intensity (high proportion of croplands and dairy pastures), livestock concentration, proximity to the main drainage network and hydrological connectivity. These results provide quantitative spatial evidence to support targeted watershed management strategies focused on specific sub-basins rather than uniform basin-wide measures.

3.3. Hydrological Services and Externalities in Ecosystem Accounts

The indicators presented in Section 3.2 were integrated into ecosystem accounts following the SEEA Ecosystem Accounting framework to illustrate how hydrological services, ecosystem condition, and agricultural externalities can be consistently represented within a common accounting structure.
The extent account describes the spatial distribution of ecosystem types relevant for hydrological regulation and water use, including croplands, grasslands, native forests, and riparian vegetation. Ecosystem extent is derived from land-use maps and remains constant over the accounting period, providing the spatial basis for linking biophysical indicators to ecosystem units. It is presented in Table 4 and provides information on the surface area dedicated to each type of land use/coverage, both in hectares and as a percentage. This table is consistent with the map displayed on the right side of Figure 2. As previously mentioned, the predominant land uses in the analyzed basin are grassland, pastures (associated with livestock and dairy production, respectively), and rainfed crops, which together account for more than 85% of the total area (43%, 22%, and 21%, respectively).
The condition account focuses on aquatic ecosystem condition and is represented by observed nutrient concentrations of total nitrogen, nitrate, and total phosphorus in surface waters. These indicators capture the state of aquatic ecosystems without attributing causality to specific pressures. There are various ways to present such indicators [48]. In this case, we report the variables’ values corresponding to the downstream end of the basin, where the purification plant is located, due to its strategic importance. It also reflects cumulative upstream pressures and the location where the ecosystem service is effectively used. Table 5 presents the average values and standard deviation (SD) obtained for the selected station and present reference figures. In fact, in Uruguay, the Ministry of Environment has established that nitrate and phosphorus concentrations should not exceed 10 mg N/L and 0.025 mg P/L, respectively, in water intended for human consumption [36]. The average values indicate that the regulatory threshold for nitrate is still well below the observed values, while the measured values for total phosphorus exceed the reference by a factor of 22.
Regarding the physical supply of ecosystem services, Table 6 differentiates between final/intermediate services and provisioning/regulating and maintenance services, reflecting the average values obtained from the maps shown in Figure 8.
The provision of the services mentioned is associated with the emergence of externalities, which are detailed in the subsequent account (see Table 7). The results again represent the average values for the entire basin and are consistent with Figure 10.
These levels of nutrient load per hectare translate to a total export of 2.8 million kg of phosphorus and 8.6 million kg of nitrogen from diffuse sources to watercourses throughout the basin. Additionally, point sources contribute to 0.1 million kg of phosphorus and 0.4 million kg of nitrogen. Consequently, the total annual loading averages around 2.9 million kg of phosphorus and 9 million kg of nitrogen (approximately 95% from diffuse sources and 5% from point sources).

4. Discussion

This section discusses the main implications of the analysis, along with the lessons learned, its relevance for the LAC region and the limitations identified.

4.1. Implications for Watershed and Ecosystem Management

This study demonstrates that it is possible to represent key hydrological and nutrient transport processes at a major basin in Uruguay, such as the Santa Lucia catchment, using the SWAT model. Combined with ecosystem accounting, this approach allows for the assessment of water-related ecosystem services, ecosystem condition, and agricultural externalities, as well as their spatial and temporal variability. These aspects are crucial for watershed and ecosystem management, as they support the identification of priority areas and processes relevant for environmental policy.
By explicitly quantifying nutrient losses from agricultural activities and analyzing their spatial distribution, the results highlight the importance of targeted interventions focused on pollution hotspots rather than uniform basin-wide measures. The analysis shows that most of the nitrogen (N) and phosphorus (P) loads reaching watercourses originate from diffuse sources, particularly from pastures and croplands where agricultural and dairy production are concentrated. This suggests that management strategies addressing nutrient surpluses, runoff generation, and hydrological connectivity in intensive production areas have the potential to reduce pressures on aquatic ecosystems.
These findings are broadly consistent with a previous study that identified the primary sector as the main source of pollution [7]. However, there is a difference in the importance attributed to dairy farms as point sources, especially in relation to phosphorus. The previous study reported that dairy farms accounted for 7% to nearly 20% of total nitrogen discharges and 17% to 53% of total phosphorus discharges in MA-defined level 2 sub-basins. In contrast, this study found that point sources (including dairy farms, industries, and the sewage system) contributed only around 5% of total discharges across those sub-basins. Point sources were found to be relevant in only a few sub-catchments (out of the 86 defined by the model), where they accounted for 63% and 75% of total nitrogen and phosphorus, respectively.
Differences between studies can be partly attributed to methodological approaches. Previous assessments relied on fixed runoff coefficients derived from literature and calibrated for average climatic conditions [49], whereas the SWAT model explicitly represents hydrological processes and their response to rainfall variability. As nutrient exports are strongly influenced by precipitation patterns, particularly during periods of water excess, approaches that do not capture hydrological dynamics may misrepresent the relative contribution of different sources. While uncertainties inherent to SWAT modeling may also influence the estimated magnitude of diffuse sources (see Section 4.4), the results consistently indicate the dominant role of diffuse agricultural pressures at the basin scale.
Beyond spatial heterogeneity, nutrient-related externalities exhibit marked temporal variability driven by climatic conditions and agricultural cycles. Nutrient exports are strongly associated with rainfall events, particularly during periods of water excess, when surface runoff and leach increase substantially (Figure 10, based on SWAT). In Uruguay’s temperate climate, higher nutrient losses typically occur during autumn and winter, when precipitation exceeds evapotranspiration and soil saturation is more frequent, whereas lower losses are observed during summer dry periods.
These temporal dynamics imply that nutrient externalities are not constant throughout the year. Consequently, mitigation measures targeting critical periods—such as improved fertilizer timing and enhanced buffer effectiveness during high-flow seasons—are likely to be more effective than measures applied uniformly over time. Integrating both spatial and temporal dimensions of nutrient losses therefore provides a stronger basis for designing efficient, targeted watershed management strategies.

4.2. Lessons for Ecosystem Accounting

The integration of SWAT modeling with publicly available data demonstrates the feasibility of constructing ecosystem accounts that jointly represent ecosystem services, ecosystem condition, and agricultural externalities in physical terms. Estimating biophysical indicators prior to monetary valuation proved essential for linking economic activities to ecosystem pressures and to changes in ecosystem capacity, thereby bridging elements of the SEEA Central Framework and SEEA Ecosystem Accounting.
A key lesson from the application is the need to clearly distinguish between ecosystem services, condition and externalities when translating model outputs into accounting entries. Scenario-based differences in nutrient loads were suitable for representing water purification as a regulating ecosystem service, while nutrient losses to surface waters were more appropriately recorded as externalities. Observed nutrient concentrations functioned effectively as indicators of aquatic ecosystem condition. This separation helped avoid conceptual overlap and supported a coherent accounting structure.
The spatially explicit nature of the indicators was particularly valuable for ecosystem accounting and management. While SEEA-EA emphasizes reporting services at the scale of the accounting area, per-hectare indicators facilitated spatial comparison and the identification of hotspots, complementing aggregated basin-level values. Together, these perspectives illustrate how hydrological modeling can support ecosystem accounting in data-scarce contexts by providing spatially disaggregated information relevant for both policy and management.

4.3. Relevance to Other Parts of Latin America

The approach presented in this paper is relevant to other regions in LAC, where agricultural and livestock production exert significant pressure on water and soil resources and where data availability often limits the implementation of comprehensive environmental assessments. The combined use of the SWAT model and the SEEA framework enables the identification of pollution hotspots, the assessment of ecosystem service provision and externalities, and the development of evidence to support environmental policy.
This relevance is particularly strong for agricultural watersheds characterized by temperate climates, relatively gentle topography, and high hydrological connectivity, where diffuse nutrient pollution represents a major environmental concern.
The predominance of diffuse agricultural sources observed in the Santa Lucía sub-basin is consistent with findings from other intensively farmed watersheds in Latin America, where nutrient pollution is primarily driven by cropland expansion, livestock intensification, and limited control over non-point source emissions [1,3]. Similar patterns have been documented in agricultural catchments of southern Brazil, the Argentine Pampas, and central Chile, where nutrient exports are closely linked to land use intensity and hydrological connectivity [50,51]. These regions share broadly comparable biophysical conditions, making the proposed framework transferable with limited methodological adaptation.
Policy responses across the region have increasingly combined regulatory and incentive-based instruments, including mandatory riparian buffer zones, nutrient management plans, restrictions on fertilizer application timing, and payments for ecosystem services aimed at protecting water quality [52,53]. Evidence from these experiences suggests that mixed policy instruments are more effective than purely regulatory approaches in addressing diffuse agricultural externalities while maintaining agricultural viability [54].
In contrast, applying this framework in tropical or mountainous regions of LAC—such as the Amazon basin or the Andean highlands—would require substantial adaptation. These contexts are characterized by more complex hydrological regimes, steeper topography, higher rainfall intensities, and greater spatial heterogeneity of soils and land use. Under such conditions, SWAT calibration is more challenging due to the need for high-resolution soil data, detailed management information, and sufficiently long water quality time series, which are often lacking. These constraints limit the precision of nutrient flux estimates and require cautious interpretation of results.
By providing spatially and temporally explicit information on nutrient externalities, the framework applied in this study supports the design of targeted policies that account for both hotspot locations and critical periods of nutrient loss. This approach aligns with emerging policy needs in Latin America, where fiscal constraints and heterogeneous farming systems require efficient, spatially differentiated interventions rather than uniform basin-wide measures.

4.4. Limitations and Uncertainties

The results obtained in this research should be interpreted with caution due to several limitations and sources of uncertainties that affect both model performance and data inputs. These limitations are particularly relevant in data-scarce contexts such as those commonly encountered in Latin America.
Data quality and availability: These represent important sources of uncertainty. Calibration of agricultural yields and water quality indicators was constrained by limited and uneven data, especially for nutrient concentrations in surface waters. Water quality observations were available at relatively low temporal resolution and, in some cases, derived using simplified measurement approaches, which may not fully capture extreme hydrological events such as floods and droughts. These limitations affect the calibration of nutrient processes and contribute to uncertainty in modeled nutrient fluxes.
Point sources: Information on industrial and residential discharges was obtained from physical files instead of digitalized sources, resulting in limited coverage of smaller companies. This implies that point sources of pollution may be underestimated in the model, although the magnitude of this bias is expected to be relatively small.
Land use: Inputs are based on the most up-to-date available land-use map at the time the model was implemented (2015 and 2018; see Supplementary Material, Section S1). Changes that occurred before or after these reference years (such as the expansion of cropland and forestry areas and the decline of natural grasslands and dairy systems [55]) are not captured in the model. These dynamics may influence nutrient export estimates, particularly in areas undergoing rapid agricultural intensification. Updating land-use inputs using more recent remote sensing products represents an important avenue for future research.
Model-related limitations: These are inherent to the SWAT framework. Although SWAT is widely applied and suitable for medium to large agricultural watersheds, model results depend on parameterization quality, input data resolution, and the representation of local management practices. In data-scarce contexts such as Latin America, these factors introduce uncertainty in nutrient flux estimates, particularly at finer spatial scales. Therefore, results should be interpreted as indicative of spatial patterns and relative magnitudes rather than precise point estimates. The analysis relies on the SWAT2012 framework, which has known limitations in representing certain nutrient and erosion processes.
Indicator selection limitations: The analysis focuses on nutrient-related externalities due to their policy relevance and data availability. Other important externalities associated with agricultural production, such as pesticide contamination, and biodiversity impacts, are not explicitly considered. Consequently, the ecosystem accounts presented represent a partial assessment of agricultural externalities and could be expanded in future research by incorporating additional indicators.

5. Conclusions

This study demonstrates the feasibility of integrating hydrological modeling and ecosystem accounting to jointly assess water-related ecosystem services, ecosystem condition and externalities in a major agricultural watershed in Uruguay. By combining SWAT modeling with the SEEA Ecosystem Accounting framework, the analysis illustrates how biophysical processes, environmental pressures, and ecosystem responses can be represented in a consistent and policy-relevant structure.
The results show that nutrient losses to surface waters, interpreted as agricultural externalities, are predominantly driven by diffuse sources associated with intensive cropland and dairy systems, as well as hydrological connectivity. The integration of spatially explicit indicators of ecosystem services and externalities into ecosystem accounts supports the identification of priority sub-basins and critical periods for management intervention. Rather than supporting uniform basin-wide measures, the results highlight the relevance of targeted, spatially and temporally differentiated strategies to address nutrient-related externalities.
At the same time, the findings should be interpreted considering data limitations, model-related uncertainties, and the partial coverage of agricultural externalities considered in this study. The ecosystem accounts presented are partial and exploratory, intended to support comparative analysis and decision-making, rather than precise quantification of absolute magnitudes. Uncertainty related to input data quality, model parameterization, and simplified process representation limits the reliability of point estimates but does not undermine the usefulness of the results for identifying relative patterns and management priorities. Future research could strengthen this approach by improving data availability, incorporating additional externality and ecosystem services indicators, and extending the analysis to multiple accounting periods.
From a policy perspective, this approach is particularly relevant for data-scarce contexts, such as many regions of Latin America, where spatially explicit modeling can complement official statistics and support the gradual development of ecosystem accounts. The framework can support the design and monitoring of policy interventions aimed at reducing externalities and maintaining the provision of essential ecosystem services. The approach can identify areas of high pollution and serve as the foundation for future monetary accounting and policy assessments. The SWAT model enables the evaluation of different measures to mitigate externalities, such as changes in land use and management practices, implementation of buffer zones, and other interventions. These measures can be assessed in terms of their impact on the provision of ecosystem services, which can be tracked using the physical supply account within the ecosystem accounting framework [10]. Furthermore, the construction of the physical use of ecosystem services account allows for the evaluation of the beneficiaries and potential losers resulting from these interventions. However, the approach is not intended to replace detailed regulatory assessments or site-specific evaluations, and its applicability depends on data availability and institutional capacity.

Supplementary Materials

The following supporting information can be downloaded at https://www.mdpi.com/article/10.3390/su18031571/s1. Sections S1–S4 (see [56,57]). Figures and tables captions: Figure S1. Land use map adaptation for SWAT model. Table S1. Rotation for agriculture (both rainfed and irrigated). Table S2. Rotation 1 for agriculture and livestock. Table S3. Rotation 2 for agriculture and livestock. Table S4. Rotation for livestock. Table S5. Rotation 1 for dairy farming. Table S6. Rotation 2 for dairy farming. Table S7. Grazing parameters for different crop types. Table S8. Fertilization parameters for different crops. Table S9. Crop growth parameters. Table S10. Saturated Hydraulic Conductivity (Ksat) parameters for different soil types. Table S11. Hydrological group classification based on Ksat values. Table S12. Water flow calibration parameters. Table S13. Water quality calibration parameters. Figure S2. Digital Elevation Model. Figure S3. Soil data. Figure S4. Climate data. Figure S5. Location and distribution of dairy farms across the basin. Table S14. List of industrial and residential point sources considered in the model. Figure S6. Origin of P (left map) and N (right map) loadings–% represented by diffuse sources over total sources. Figure S7. Origin of P (left map) and N (right map) loadings–% represented by dairy farms over point sources. Table S15. N and P loadings from all sources, diffuse and point, across sub-basins. Figure S8. Sub-basin delineations at level 2, as defined by the Ministry of Environment.

Author Contributions

Conceptualization, M.B.; methodology, M.B.; software, M.B. and F.H.; validation, F.H.; formal analysis, M.B.; investigation, M.B.; resources, L.H.; data curation, M.B.; writing—original draft preparation, M.B.; writing—review and editing, L.H., M.C. and F.H.; visualization, M.B. and F.H.; supervision, L.H. and M.C.; project administration, M.B.; funding acquisition, M.B. All authors have read and agreed to the published version of the manuscript.

Funding

This study was funded by the National Agency for Research and Innovation of Uruguay (ANII), under Grant Agreement No POS_EXT_2018_1_154779.

Institutional Review Board Statement

Not applicable.

Informed Consent Statement

Not applicable.

Data Availability Statement

The original data presented in the study are openly available in OSF at DOI 10.17605/OSF.IO/GHC4E.

Conflicts of Interest

The authors declare no conflicts of interest.

Abbreviations

The following abbreviations are used in this manuscript:
AETActual Evapotranspiration
AV05De la Virgen Creek 05
CG01Canelón Grande 01
DGRNNatural Resources General Division
DMDry matter
EPICEnvironmental Policy Integrated Climate
HRUsHydrological Response Units
INIANational Institute for Agricultural Research
INUMETUruguayan Institute of Meteorology
IPAAgricultural Plan Institute
KGEKling-Gupta Efficiency
LACLatin America and the Caribbean
MAMinistry of Environment
MGAPMinistry of Livestock, Agriculture, and Fisheries
MVOTMAFormer Ministry of Environment
NNitrogen
NO3Nitrates
NSENash-Sutcliffe Efficiency
ObsObserved
OSEState Sanitary Works
PPhosphorous
PBIASPercent Bias
PS02Paso Severino 02
PSOParticle Swarm Optimization
SDStandard Deviation
SEEASystem of Environmental and Economic Accounting
SEEA-CFSystem of Environmental Economic Accounting-Central Framework
SEEA-EASystem of Environmental and Economic Accounting-Ecosystem Accounting
SimSimulated
SL02Santa Lucía 02
SL05Santa Lucía 05
SWATSoil and Water Assessment Tool
UdelaRUniversity of the Republic

References

  1. Food and Agriculture Organization of the United Nations. The State of the World’s Land and Water Resources for Food and Agriculture (SOLAW); FAO: Rome, Italy, 2011. [Google Scholar]
  2. Carpenter, S.R.; Caraco, N.F.; Correll, D.L.; Howarth, R.W.; Sharpley, A.N.; Smith, V.H. Nonpoint Pollution of Surface Waters with Phosphorus and Nitrogen. Ecol. Appl. 1998, 8, 559–568. [Google Scholar] [CrossRef]
  3. FAO; International Water Management Institute. Water Pollution from Agriculture: A Global Review; FAO Water Reports; FAO: Rome, Italy, 2017. [Google Scholar]
  4. MVOTMA. Informe Monitoreo de Calidad del Agua de la Cuenca del Río Santa Lucía. 2019; MVOTMA: Montevideo, Uruguay, 2019. [Google Scholar]
  5. Delbene Lezama, L. Calidad de Agua en la Cuenca del Río Santa Lucía (Uruguay) Utilizando Peces Como Indicadores: Relación con el uso del Suelo. Master’s Thesis, Facultad de Ciencias, Universidad de la República, Montevideo, Uruguay, 2010. [Google Scholar]
  6. MVOTMA. Plan de Acción para la Protección del Agua en la Cuenca del Santa Lucía; MVOTMA: Montevideo, Uruguay, 2020; Available online: https://www.gub.uy/ministerio-ambiente/politicas-y-gestion/plan-accion-para-proteccion-del-agua-cuenca-del-santa-lucia/ (accessed on 20 May 2024).
  7. GNA; SNA. Plan de Acción Para la Protección de la Calidad Ambiental de la Cuenca del río Santa Lucía, Medidas de Segunda Generación; Gabinete Nacional: Montevideo, Uruguay; Available online: https://www.gub.uy/ministerio-ambiente/sites/ministerio-ambiente/files/documentos/publicaciones/PLAN_DE_ACCION_RIO_SANTA_LUCIA_-_MEDIDAS_DE_2da_GENERACION.pdf (accessed on 20 May 2024).
  8. Ministerio de Ambiente. Informe del Estado del Ambiente del Uruguay; Ministerio de Ambiente: Montevideo, Uruguay, 2024. [Google Scholar]
  9. Buchholz, W.; Rübbelke, D. Foundations of Environmental Economics, 1st ed.; Springer Texts in Business and Economics; Springer: Cham, Switzerland, 2019; p. 163. [Google Scholar] [CrossRef]
  10. Esen, S.E.; Hein, L. Development of SEEA water accounts with a hydrological model. Sci. Total Environ. 2020, 737, 140168. [Google Scholar] [CrossRef] [PubMed]
  11. United Nations. System of Environmental—Economic Accounting—Ecosystem Accounting: Final Draft; United Nations: New York, NY, USA, 2021; Available online: https://unstats.un.org/unsd/statcom/52nd-session/documents/BG-3f-SEEA-EA_Final_draft-E.pdf (accessed on 26 May 2024).
  12. Duku, C.; Rathjens, H.; Zwart, S.J.; Hein, L. Towards ecosystem accounting: A comprehensive approach to modelling multiple hydrological ecosystem services. Hydrol. Earth Syst. Sci. 2015, 19, 4377–4396. [Google Scholar] [CrossRef]
  13. Managi, S.; Kuriyama, K. Environmental Economics; Routledge Textbooks in Environmental and Agricultural Economics; Routledge, Taylor & Francis Group: London, UK, 2017. [Google Scholar]
  14. MVOTMA. Plan Nacional de Aguas: Propuesta Elevada a Consideración del Poder Ejecutivo; MVOTMA: Montevideo, Uruguay, 2017; Available online: https://www.gub.uy/ministerio-ambiente/sites/ministerio-ambiente/files/documentos/publicaciones/PNAZ2017ZpropuestaZPE_1.pdf (accessed on 20 May 2024).
  15. Neitsch, S.L.; Arnold, J.G.; Kiniry, J.R.; Williams, J.R. Soil and Water Assessment Tool Theoretical Documentation Version 2009; Texas Water Resources Institute Technical Report; Texas Water Resources Institute: College Station, TX, USA, 2011; Available online: https://hdl.handle.net/1969.1/128050 (accessed on 1 May 2023).
  16. Schürz, C. Running SWAT2012 and SWAT+ Projects in R, R package version 0.2.7; R Development Core Team: Boston, Massachusetts, 2019. Available online: https://github.com/chrisschuerz/SWATplusR (accessed on 1 June 2024).
  17. Nash, J.E.; Sutcliffe, J.V. River flow forecasting through conceptual models part I—A discussion of principles. J. Hydrol. 1970, 10, 282–290. [Google Scholar] [CrossRef]
  18. Pool, S.; Vis, M.; Seibert, J. Evaluating model performance: Towards a non-parametric variant of the Kling-Gupta efficiency. Hydrol. Sci. J. 2018, 63, 1941–1953. [Google Scholar] [CrossRef]
  19. Moriasi, D.N.; Arnold, J.G.; Van Liew, M.W.; Bingner, R.; Harmel, R.D.; Veith, T.L. Model Evaluation Guidelines for Systematic Quantification of Accuracy in Watershed Simulations. Trans. ASABE 2007, 50, 885–900. [Google Scholar] [CrossRef]
  20. Nelson, A.M.; Moriasi, D.N.; Talebizadeh, M.; Steiner, J.L.; Gowda, P.H.; Starks, P.J.; Tadesse, H.K. Use of soft data for multicriteria calibration and validation of Agricultural Policy Environmental eXtender: Impact on model simulations. J. Soil Water Conserv. 2018, 73, 623–636. [Google Scholar] [CrossRef]
  21. Mer, F.; Badano, L.; Neighbur, N.; Hastings, F.; Baethgen, W.; Alonso, J.; Navas, R.; Nervi, E.; Willem, R. SWAT Subcuenca Santa Lucia. Open Science Framework (OSF), 2019. Available online: https://osf.io/uqb5j/overview (accessed on 1 February 2023).
  22. Pebesma, E.; Graeler, B. Spatial and Spatio-Temporal Geostatistical Modelling, Prediction and Simulation; CRAN—Comprehensive R Archive Network: Vienna, Austria, 2025; Available online: https://cran.r-project.org/web/packages/gstat/gstat.pdf (accessed on 20 May 2024).
  23. MGAP. Modelo Digital de Terreno; MGAP: Montevideo, Uruguay, 2010; Available online: https://www.gub.uy/ministerio-ganaderia-agricultura-pesca/tramites-y-servicios/servicios/modelo-digital-terreno/ (accessed on 20 May 2024).
  24. DGRN. Physical and Chemical Features for Horizon A and B; Unpublished Data, Provided upon Request; DGRN: Montevideo, Uruguay, 2013. [Google Scholar]
  25. INIA. SIGRAS. Available online: https://sig.inia.org.uy/sigras/ (accessed on 20 May 2024).
  26. MGAP. Mapa Integrado de Cobertura/uso del Suelo del Uruguay año 2018; MGAP: Montevideo, Uruguay, 2018; Available online: https://www.gub.uy/ministerio-ganaderia-agricultura-pesca/comunicacion/publicaciones/mapa-integrado-coberturauso-del-suelo-del-uruguay-ano-2018/ (accessed on 20 May 2024).
  27. MVOTMA. Cobertura del Suelo; MVOTMA: Montevideo, Uruguay, 2015; Available online: https://www.ambiente.gub.uy/oan/listado-de-capas/ (accessed on 26 May 2024).
  28. INIA. Banco Datos Agroclimático; INIA: Montevideo, Uruguay, 2021; Available online: http://www.inia.uy (accessed on 20 May 2024).
  29. INUMET. Rainfall, Temperature, Wind, Radiation, and Humidity Data from 1981 to 2019; Unpublished data, provided upon request; INUMET: Montevideo, Uruguay, 2020. [Google Scholar]
  30. MVOTMA; Conaprole; IMFIA. Guía de Gestión Integral de Aguas en Establecimientos Lecheros: Diseño, Operación y Mantenimiento de Sistemas de Tratamientos de Efluentes; MVOTMA: Montevideo, Uruguay, 2008; p. 232. ISBN 978-9974-0-0532-7. [Google Scholar]
  31. Biovalor. Ficha Técnica de Residuos—Tambos. Available online: https://biovalor.gub.uy/descarga/ficha-tecnica-de-residuos-tambos/ (accessed on 20 May 2024).
  32. Baraldo, J.; Emmer, V.; Costa, N. Impacto potencial de la Convocatoria Cuenca de Santa Lucía en la calidad del agua. In Anuario OPYPA 2020; Ministerio de Ganadería, Agricultura y Pesca: Montevideo, Uruguay, 2020; pp. 457–473. [Google Scholar]
  33. MA. Calidad del Agua. OAN. Available online: https://www.gub.uy/ministerio-ambiente/ (accessed on 20 May 2024).
  34. DIEA. Anuario Estadístico Agropecuario; Oficina de Estadísticas Agropecuarias, Ministerio de Ganadería, Agricultura y Pesca: Montevideo, Uruguay, 2020. [Google Scholar]
  35. IPA. Presupuestación Forrajera. Available online: https://www.planagropecuario.org.uy/uploads/filemanager/source/2021/Librillos/pdf/Presupuestaci%C3%B3n%20forrajera.pdf (accessed on 20 May 2024).
  36. MA. DINAGUA—Aprovechamientos de los Recursos Hídricos Vigentes 2019. Available online: https://catalogodatos.gub.uy/dataset/ambiente-dinagua-aprovechamientos-de-los-recursos-hidricos-vigentes-2019 (accessed on 20 May 2024).
  37. IMPO. Decree No. 253/979; IMPO: Montevideo, Uruguay, 1979; Available online: http://www.impo.com.uy/bases/decretos/253-1979/ (accessed on 20 May 2024).
  38. MGAP. Se Amplió Zona de Cuenca de Santa Lucía Afectada a Planes Para Lechería Sostenible. Available online: https://www.gub.uy/ministerio-ganaderia-agricultura-pesca/comunicacion/noticias/se-amplio-zona-cuenca-santa-lucia-afectada-planes-para-lecheria-sostenible (accessed on 20 May 2024).
  39. Arnold, J.G.; Srinivasan, R.; Muttiah, R.S.; Williams, J.R. Large area hydrologic modeling and assessment—Part I: Model development. J. Am. Water Resour. Assoc. 1998, 34, 73–89. [Google Scholar] [CrossRef]
  40. Allen, R.G.; Pereira, L.S.; Raes, D.; Smith, M. Crop Evapotranspiration: Guidelines for Computing Crop Water Requirements; FAO Irrigation and Drainage Paper 56; FAO: Rome, Italy, 1998; Volume 300, p. D05109. [Google Scholar]
  41. Borges, M.; Carriquiry, M.; Sposito, V.; Faggian, R. Climate Change and Variability Impacts on Soybean Production in Uruguay. Master’s Thesis, School of Life and Environmental Sciences and Centre for Regional and Rural Futures, Deakin University, Victoria, Australia, 2019. [Google Scholar]
  42. Giménez Rodríguez, L. Efecto de las deficiencias hídricas en diferentes etapas de desarrollo sobre el rendimiento de soja. Agrocienc. Urug. 2014, 18, 53–64. [Google Scholar] [CrossRef]
  43. Cruz Brasesco, G.; Baethgen, W.E.; Picasso, V.D. Análisis de sequías agronómicas en dos regiones ganaderas de Uruguay. Agrocienc. Urug. 2014, 18, 126–132. [Google Scholar] [CrossRef]
  44. Rostán, F.; Guidice, G.; Artagaveytia, J. Impacto de déficits y excesos hídricos en la producción lechera. In Anuario OPYPA 2021; Ministerio de Ganadería, Agricultura y Pesca: Montevideo, Uruguay, 2021; pp. 419–432. [Google Scholar]
  45. DIEA. Informe Sobre Riego en Uruguay; Trabajos especiales N° 354; Oficina de Estadísticas Agropecuarias, Ministerio de Ganadería, Agricultura y Pesca: Montevideo, Uruguay, 2018. [Google Scholar]
  46. Hounkpè, J.; Diekkrüger, B. Challenges in calibrating hydrological models to simultaneously evaluate water resources and flood hazard: A case study of Zou basin, Benin. Episodes 2018, 41, 105–114. [Google Scholar] [CrossRef]
  47. Piniewski, M.; Szcześniak, M.; Kardel, I.; Berezowski, T.; Okruszko, T.; Srinivasan, R.; Kundzewicz, Z.W. Hydrological modelling of the Vistula and Odra river basins using SWAT. Hydrol. Sci. J. 2017, 62, 1266–1289. [Google Scholar] [CrossRef]
  48. United Nations. SCAE—Agua. In Sistema de Contabilidad Ambiental y Económica para el Agua; Departamento de Asuntos Económicos y Sociales, División de Estadística: New York, NY, USA, 2013; Available online: https://seea.un.org/content/seea-water (accessed on 1 March 2024).
  49. Perdomo, C. Metodología de Estimación de Aportes Difusos de Nitrógeno y Fósforo a Aguas Superficiales Desde Suelos bajo uso Agropecuario; Dirección Nacional de Calidad y Evaluación Ambiental: Montevideo, Uruguay, 2013. [Google Scholar]
  50. Hunke, P.; Mueller, E.N.; Schröder, B.; Zeilhofer, P. The Brazilian Cerrado: Assessment of water and soil degradation in catchments under intensive agricultural use. Ecohydrology 2015, 8, 1154–1180. [Google Scholar] [CrossRef]
  51. Molinero, J.; Vervoort, R.W.; Faggian, R.; Bressan, G.M.; Nosetto, M.D. Hydrological impacts of agricultural expansion in the Pampas region, Argentina. J. Hydrol. Reg. Stud. 2018, 20, 101–115. [Google Scholar] [CrossRef]
  52. OECD. Diffuse Pollution, Degraded Waters: Emerging Policy Solutions; Organisation for Economic Co-operation and Development: Paris, France, 2017. [Google Scholar] [CrossRef]
  53. Börner, J.; Wunder, S.; Wertz-Kanounnikoff, S.; Hyman, G.; Nascimento, N.; Falcão, M.P. Direct conservation payments in Latin America: Scope and challenges. Ecol. Econ. 2017, 137, 69–80. [Google Scholar] [CrossRef]
  54. Grizzetti, B.; Lanzanova, D.; Liquete, C.; Reynaud, A.; Cardoso, A.C. Assessing water ecosystem services for water resource management. Environ. Sci. Policy 2016, 61, 194–203. [Google Scholar] [CrossRef]
  55. SNRCC. Estrategia climática de largo plazo de Uruguay; SNRCC: Montevideo, Uruguay, 2021; Available online: https://www.gub.uy/ministerio-ambiente/politicas-y-gestion/estrategia-climatica-largo-plazo-uruguay (accessed on 20 May 2024).
  56. DICOSE, MGAP. Dairy Farms Registers. Unpublished Results. Available online: https://www.gub.uy/ministerio-ganaderia-agricultura-pesca/ (accessed on 20 May 2024).
  57. USDA. Soil Survey Manual, 1993. Available online: https://www.nrcs.usda.gov/ (accessed on 20 May 2024).
Figure 1. Main environmental issues in the Santa Lucia sub-basin.
Figure 1. Main environmental issues in the Santa Lucia sub-basin.
Sustainability 18 01571 g001
Figure 2. Study area. (a) Main water streams, flow stations and administrative units; (b) land uses; (c) water quality monitoring stations.
Figure 2. Study area. (a) Main water streams, flow stations and administrative units; (b) land uses; (c) water quality monitoring stations.
Sustainability 18 01571 g002
Figure 3. Selected ecosystems and ecosystem services.
Figure 3. Selected ecosystems and ecosystem services.
Sustainability 18 01571 g003
Figure 4. Water flow calibration results. Black lines = observed values, red dotted lines = simulated values. Note: The location of the monitoring points can be seen on the map in Figure 2a.
Figure 4. Water flow calibration results. Black lines = observed values, red dotted lines = simulated values. Note: The location of the monitoring points can be seen on the map in Figure 2a.
Sustainability 18 01571 g004
Figure 5. Calibration results for crop yields, grass, and pasture biomass (blue bars = observed data, black points and dashed line = simulated data).
Figure 5. Calibration results for crop yields, grass, and pasture biomass (blue bars = observed data, black points and dashed line = simulated data).
Sustainability 18 01571 g005
Figure 6. Water quality calibration results. Notes: obs = observed, sim = simulated.
Figure 6. Water quality calibration results. Notes: obs = observed, sim = simulated.
Sustainability 18 01571 g006
Figure 7. Spatial distribution of biophysical production indicators and water abstraction for household consumption across the selected sub-basin. Note: bubble size is not proportional.
Figure 7. Spatial distribution of biophysical production indicators and water abstraction for household consumption across the selected sub-basin. Note: bubble size is not proportional.
Sustainability 18 01571 g007
Figure 8. Ecosystem condition. (a) Total N (mg N/L); (b) total NO3 (mg N/L); (c) total P (µg P/L).
Figure 8. Ecosystem condition. (a) Total N (mg N/L); (b) total NO3 (mg N/L); (c) total P (µg P/L).
Sustainability 18 01571 g008
Figure 9. Nutrient loadings to water courses. (a) P loadings (kg P/ha); (b) N loadings (kg N/ha).
Figure 9. Nutrient loadings to water courses. (a) P loadings (kg P/ha); (b) N loadings (kg N/ha).
Sustainability 18 01571 g009
Figure 10. N and P loadings to reach and rainfall.
Figure 10. N and P loadings to reach and rainfall.
Sustainability 18 01571 g010
Table 2. Ecosystem services, ecosystem condition and agricultural externalities indicators assessed in the study. Notes: DM = dry matter. N = nitrogen, P = phosphorous.
Table 2. Ecosystem services, ecosystem condition and agricultural externalities indicators assessed in the study. Notes: DM = dry matter. N = nitrogen, P = phosphorous.
CategoryIndicatorUnitData Source *
Final ecosystem servicesWater purification (regulating)kg N/year; kg P/year;SWAT model outputs
Water use for household consumption (provisioning)m3/yearNational Water Division (Ministry of Environment)
Intermediate ecosystem services/biophysical production indicatorsWater use by vegetationmm/yearSWAT model outputs
Nutrient uptake by vegetation (N, P)kg/haSWAT model outputs
Biomass productionKg DM /ha SWAT model outputs
Crop yieldKg DM /ha SWAT model outputs
Ecosystem condition indicatorsNutrient concentration in water bodies (TN, NO3, TP)mg N/L; µg P/LNational Division of Environmental Control and Evaluation (Ministry of Environment); SWAT model
Agricultural externalities/pressuresNutrient losses to water (N, P)Kg N/ha; Kg P/haSWAT model outputs + point-source estimates
* Specific calculations performed by SWAT for each variable can be found in [39].
Table 3. Scenario-based differences in N and P loads reaching surface waters under current land-use conditions and a counterfactual scenario without riparian forests.
Table 3. Scenario-based differences in N and P loads reaching surface waters under current land-use conditions and a counterfactual scenario without riparian forests.
ScenarioTons of Nitrogen/YearTons of Phosphorus/Year
Current97252861
Hypothetical (no riparian forest)10,7632956
Difference in tons (ecosystem service)103895
Difference in %11%3.3%
Table 4. Extent table, showing percentages and total areas for each land use type [24,25].
Table 4. Extent table, showing percentages and total areas for each land use type [24,25].
Land UseHectares%
Grassland397,34243%
Dairy (Pastures)204,80122%
Rainfed crops192,69021%
Forestry39,8874%
Native forest31,8943%
Horticulture21,4652%
Residential89261%
Fruits77450.8%
Water bodies33210.4%
Irrigated crops28300.3%
Wetland25560.3%
Olives8560.1%
Industrial7480.1%
TOTAL915,062100%
Table 5. Ecosystem condition table—annual average values and standard deviation (SD) in parentheses, emphasizing nutrient concentrations relevant to water quality, data for SL05 station.
Table 5. Ecosystem condition table—annual average values and standard deviation (SD) in parentheses, emphasizing nutrient concentrations relevant to water quality, data for SL05 station.
Unit of MeasurementWater CoursesReference Values
AreaHa3321-
Concentration of Pug P/L557 (447)25
Concentration of Nmg N/L1.8 (3.7)-
Concentration of NO3mg N/L0.7 (1.2)10
Table 6. Physical supply of ecosystem services table by land use type,—annual average values and standard deviation (SD) in parentheses/hectare.
Table 6. Physical supply of ecosystem services table by land use type,—annual average values and standard deviation (SD) in parentheses/hectare.
Unit of MeasurementGrasslandPasturesCroplandsWater CoursesRiverine ForestTOTAL
AreaHa397,342204,801195,5203321 800,984
Final services
  Provisioning services
Water use for household consumptionhm3/year---201 201
  Regulating and maintenance
Water purificationTons/N/year----10381038
Water purificationTons/P/year----9595
Intermediate services
  Provisioning services
Soybean yieldkg/ha--2270 (335)- 2270 (335)
Corn yieldkg/ha--6200 (857)- 6200 (857)
Sorghum yieldkg/ha--4250 (1190)- 4250 (1190)
Wheat yieldkg/ha--3500 (319)- 3500 (319)
Grass biomass (fodder)kg/ha4888 (2208)--- 4888 (2208)
Pastures biomass (fodder)kg/ha-7309 (1211)-- 7309 (1211)
  Regulating and maintenance
Water use by vegetationmm/year739 (65)828 (69)786 (45)- 803 (177)
N uptake by vegetationkg N/ha4 (1.2)60 (16)268 (34)- 80 (109)
P uptake by vegetationkg P/ha2 (0.7)31 (9)38 (4)- 18 (20)
N biological fixationkg N/ha--114 (13)- 114 (13)
Table 7. Externalities table (only from diffuse sources)—annual average values and standard deviation (SD) in parentheses/hectare.
Table 7. Externalities table (only from diffuse sources)—annual average values and standard deviation (SD) in parentheses/hectare.
Unit of MeasurementGrasslandPasturesCroplandsWater Courses
AreaHa397,342204,801195,5203321
P loadings to waterkg P/ha1.3 (1.8)7.9 (6.5)5.6 (4.3)-
N loadings to waterkg N/ha6.8 (8)12.8 (11)20.4 (15)-
Disclaimer/Publisher’s Note: The statements, opinions and data contained in all publications are solely those of the individual author(s) and contributor(s) and not of MDPI and/or the editor(s). MDPI and/or the editor(s) disclaim responsibility for any injury to people or property resulting from any ideas, methods, instructions or products referred to in the content.

Share and Cite

MDPI and ACS Style

Borges, M.; Hastings, F.; Hein, L.; Carriquiry, M. Modeling Ecosystem Services and Externalities for Ecosystem Accounting: The Case of Santa Lucia Sub-Basin in Uruguay. Sustainability 2026, 18, 1571. https://doi.org/10.3390/su18031571

AMA Style

Borges M, Hastings F, Hein L, Carriquiry M. Modeling Ecosystem Services and Externalities for Ecosystem Accounting: The Case of Santa Lucia Sub-Basin in Uruguay. Sustainability. 2026; 18(3):1571. https://doi.org/10.3390/su18031571

Chicago/Turabian Style

Borges, Magdalena, Florencia Hastings, Lars Hein, and Miguel Carriquiry. 2026. "Modeling Ecosystem Services and Externalities for Ecosystem Accounting: The Case of Santa Lucia Sub-Basin in Uruguay" Sustainability 18, no. 3: 1571. https://doi.org/10.3390/su18031571

APA Style

Borges, M., Hastings, F., Hein, L., & Carriquiry, M. (2026). Modeling Ecosystem Services and Externalities for Ecosystem Accounting: The Case of Santa Lucia Sub-Basin in Uruguay. Sustainability, 18(3), 1571. https://doi.org/10.3390/su18031571

Note that from the first issue of 2016, this journal uses article numbers instead of page numbers. See further details here.

Article Metrics

Back to TopTop