Ecological Niche Analysis Based on Phytoindicative Assessment of Reed–Sedge Marsh Vegetation in the East European Plain
Abstract
1. Introduction
2. Materials and Methods
2.1. Study Area
2.2. Vegetation Research
2.3. Statistical Analysis
3. Results
4. Discussion
5. Conclusions
- Phragmitetea wetland communities in the Wolica Valley Natura 2000 site (PLH060058) are characterized by high floristic and ecological diversity. Average species richness ranged from 13 to 24 species per image, with the highest values recorded in the Caricetum appropinquatae and C. gracilis communities, confirming the high natural value of the studied wetlands.
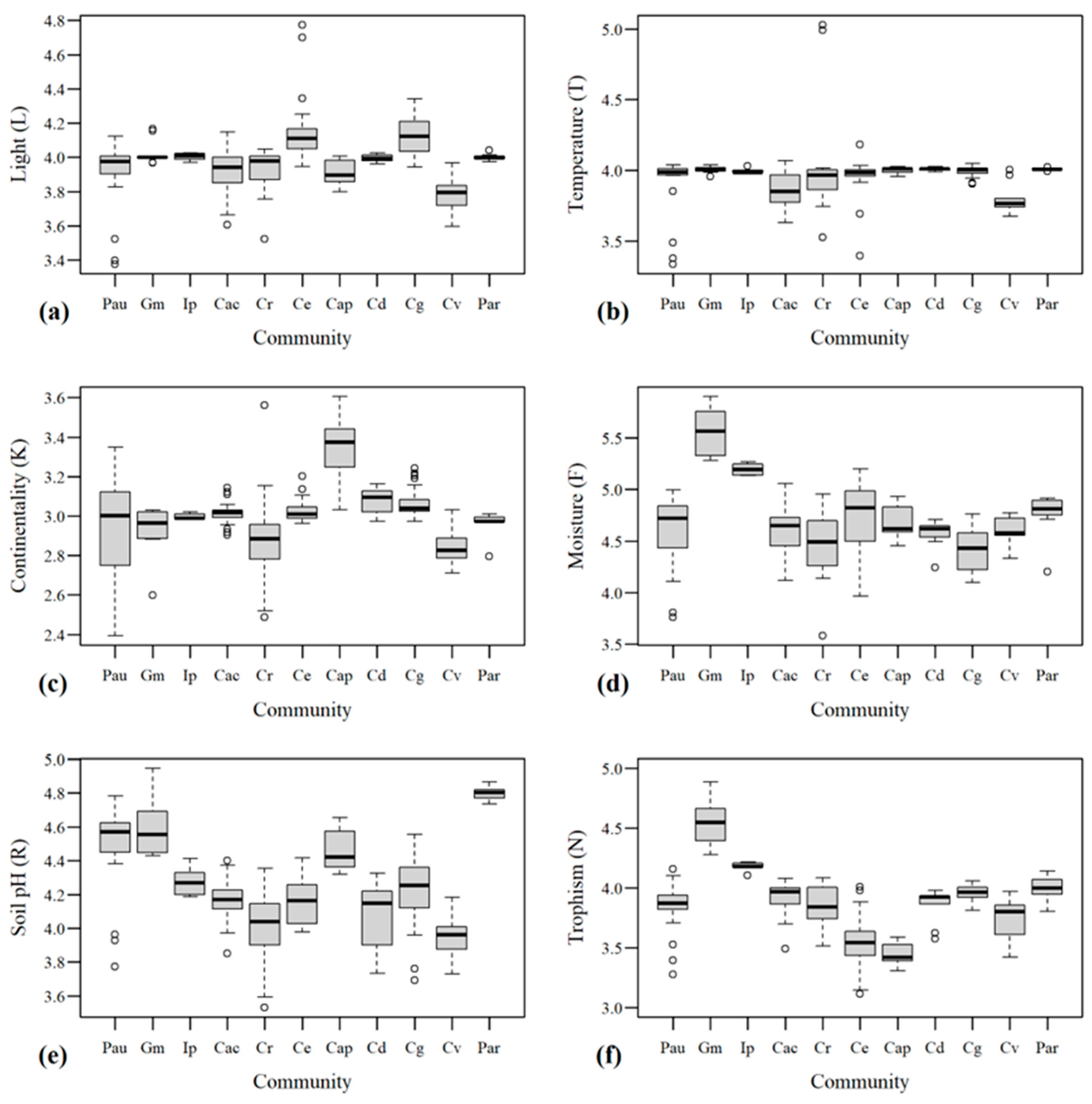
- Ellenberg indices analysis confirmed that the studied wetland communities represent typical wetlands (marshes) associated with wet meadows, transitional fens, and water edges. These communities prefer habitats with moderate exposure, moderate warmth, moist to wet soils, predominantly neutral or slightly alkaline, and moderately fertile.
- The greatest ecological niche amplitude, assessed based on six-dimensional Ellenberg hypervolumes, was found in the Phragmitetum australis (Pau) and Caricetum rostratae (Cr) communities. High hypervolume values may indicate the ability of these communities to occur in a wide range of habitat conditions, confirming their more “general” nature and potentially greater resistance to environmental changes. However, for both of these communities, there were observations that deviated from the majority of cases, which require further research on these communities (Figure 3 and Figure 7).
- The remaining communities, with small hypervolume values, exhibit greater habitat specialization. This is particularly true for Iridetum pseudoacori, Phalaridetum arundinaceae, and Caricetum distichae, for which small deviations in Ellenberg indices were found. These communities may be more sensitive to changes in water and trophic conditions.
- The most important factors differentiating the ecological niches of the studied communities were habitat moisture (F), soil pH (R), and nitrogen content (N). This was confirmed by both hypervolume analysis and PCA, in which the first three components explained a total of 82% of the variability in the indicator values. The Glycerietum maximae community, associated with very moist habitats with higher abundance and higher values of R and N, stood out in particular.
- Hypervolume overlap analysis and cluster grouping allowed us to distinguish four main groups of communities with similar ecological niches. The greatest similarity was found between Caricetum acutiformis and C. vesicariae, as well as between Phragmitetum australis and Caricetum rostratae. This information is important for conservation planning because it indicates which communities may partially fulfill substitute functions and which require a separate approach.
- Applying the concept of ecological niche hypervolume at the level of entire plant communities has proven to be a useful tool for assessing the specificity and overlap of niches in wetland communities. This method complements classical phytosociological and phytoindicative approaches, providing a quantitative basis for comparisons between communities and defining similar habitat groups.
- The obtained results have practical implications for the protection and management of wetlands within the Natura 2000 network. Maintaining a diverse gradient of soil moisture, pH, and fertility, as well as preserving a natural hydrological regime, is crucial for the preservation of both general and specialized wetland communities. The research results can be used to prioritize conservation measures, monitor habitat changes, and plan restoration activities in the Wolica Valley and other areas with similar habitat structures.
Author Contributions
Funding
Data Availability Statement
Conflicts of Interest
Abbreviations
| Pau | Ass. Phragmitetum australis |
| Gm | Ass. Glycerietum maximae |
| Ip | Ass. Iridetum pseudoacori |
| Cac | Ass. Caricetum acutiformis |
| Cr | Ass. Caricetum rostratae |
| Ce | Ass. Caricetum elatae |
| Cap | Ass. Caricetum appropinquatae |
| Cd | Ass. Caricetum distichae |
| Cg | Ass. Caricetum gracilis |
| Cv | Ass. Caricetum vesicariae |
| Par | Ass. Phalaridetum arundinaceae |
| L | Ellenberg’s light index |
| T | Ellenberg’s temperature index |
| K | Ellenberg’s continentality index |
| F | Ellenberg’s habitat moisture index |
| R | Ellenberg’s soil index |
| N | Ellenberg’s trophism index |
References
- Fitoka, E.; Hatziiordanou, L. Mapping and Assessment of Wetland Ecosystems Beyond Boundaries. A Pilot Demonstration in the Transboundary Nestos/Mesta River Basin. In Smart Geography 100 Years of the Bulgarian Geographical Society; Nedkov, S., Zhelezov, G., Ilieva, N., Nikolova, M., Naydenov, K., Dimitrov, S., Koulov, B., Eds.; Springer: Berlin/Heidelberg, Germany, 2019; pp. 357–368. [Google Scholar]
- Tavilla, G.; Lamoliere, A.; Gabarretta, J.; Attard, V.; Henwood, J.; Stevens, D.T.; del Galdo, G.G.; Minissale, P.; Ranno, V.; Adamo, M.; et al. Climate Change and Wetland Ecosystems: The Effects on Halophilous Vegetation Diversity in Il-Ballut Ta’ Marsaxlokk Natura 2000 Site (Malta). Land 2023, 12, 1679. [Google Scholar] [CrossRef]
- Marandi, A.; Veinla, H.; Karro, E. Legal Aspects Related to the Effect of Underground Mining Close to the Site Entered into the List of Potential Natura 2000 Network Areas. Environ. Sci. Policy 2014, 38, 217–224. [Google Scholar] [CrossRef]
- Kulik, M.; Urban, D.; Grzywaczewski, G.; Bochniak, A.; Grzywna, A.; Sender, J. Half a Century of Wetland Degradation: The Present State and Trends of Changes in Western Polesie—Long-Term Wetland Degradation. Glob. Ecol. Conserv. 2024, 56, e03324. [Google Scholar] [CrossRef]
- Hopkins, A.; Holz, B. Grassland for Agriculture and Nature Conservation: Production, Quality and Multi-Functionality. Agron. Res. 2006, 4, 3–20. [Google Scholar]
- Kryszak, A.; Kryszak, J.; Grynia, M.; Czemko, M. Dynamika Zmian Różnorodności Florystycznej Zbiorowisk Trawiastych Doliny Obry (Dynamics of Floristic Diversity Changes in Grassland Communities of the Obra Valley). Woda-Sr.-Obsz. Wiej. 2006, 6, 229–237. [Google Scholar]
- Zimková, E.; Barochovský, J. Odhad Potenciálneho Produktu a Produkčnej Medzery v Slovenských Podmienkach (Estimation of Potential Product and Output Gap in Slovak Conditions). Polit. Ekon. 2007, 55, 473–489. [Google Scholar] [CrossRef]
- Kozłowski, S.; Swędrzyński, A. Łąka—Środowisko—Człowiek (Meadow—Environment—Humans). WSA Łomża Zesz. Nauk. 2010, 46, 241–260. [Google Scholar]
- Salis, L.; Marrosu, M.; Bagella, S.; Sitzia, M.; Roggero, P.P. Grassland Management, Forage Production and Plant Biodiversity in a Mediterranean Grazing System. Options Méditerranéennes 2010, 185, 181–185. [Google Scholar]
- Trąba, C.; Wolański, P. Zróżnicowanie Florystyczne Zbiorowisk Łąkowych Ze Związków Molinion, Cnidion Dubii i Filipendulion w Polsce—Zagrożenia i Ochrona (Floristic Diversity of Meadow Plant Communities of the Alliances Molinion, Cnidion Dubii and Filipendulion in Poland: Threats and Conservation). Inżynieria Ekol. 2012, 29, 224–235. [Google Scholar]
- Wyłupek, T.; Harkot, W.; Czarnecki, Z. The Floristic Composition of Extensive Pastures in the Valley of the Wieprz River. Grassl. Sci. Eur. 2012, 17, 713–715. [Google Scholar]
- Matuszkiewicz, W. Przewodnik Do Oznaczania Zbiorowisk Roślinnych Polski (Guide to the Identification of Plant Communities of Poland); Wydawnictwo Naukowe PWN: Warszawa, Poland, 2014; ISBN 978-83-01-16707-3. [Google Scholar]
- Klarzyńska, A.; Kryszak, A.; Kaczmarek, K.; Maćkowiak, Ł. Wpływ Sposobu Użytkowania Terenu Na Różnorodność Nadbrzeżnych Zbiorowisk Roślinnych i Stan Wód Rzeki Wirenki (Impact of Land Use on the Diversity of Riparian Plant Communities and the Water Status of the Wirenka River). Fragm. Agron. 2015, 32, 39–50. [Google Scholar]
- Firouz, E.; Hoffmann, L.; Matthews, G. Ramsar Convention on Wetlands of International Importance Especially as Waterfowl Habitat; UNESCO: Ramsar, Iran, 1971. [Google Scholar]
- Moomaw, W.R.; Chmura, G.L.; Davies, G.T.; Finlayson, C.M.; Middleton, B.A.; Natali, S.M.; Perry, J.E.; Roulet, N.; Sutton-Grier, A.E. Wetlands in a Changing Climate: Science, Policy and Management. Wetlands 2018, 38, 183–205. [Google Scholar] [CrossRef]
- Churchill, E. Environmental Degradation and Human Well-Being: Report of the Millennium Ecosystem Assessment. Popul. Dev. Rev. 2005, 31, 389–398. [Google Scholar] [CrossRef]
- Dembek, W. Problemy Ochrony i Restytucji Mokradeł w Polsce (Challenges in the Conservation and Restoration of Wetlands in Poland). Inżynieria Ekol. 2002, 6, 68–85. [Google Scholar]
- Armitage, P.D.; Szoszkiewicz, K.; Blackburn, J.H.; Nesbitt, I. Ditch Communities: A Major Contributor to Floodplain Biodiversity. Aquat. Conserv. 2003, 13, 165–185. [Google Scholar] [CrossRef]
- Wyłupek, T. Waloryzacja Fitocenoz Szuwarowych i Łąkowych Nadmiernie Uwilgotnionych Siedlisk Doliny Wieprza w Roztoczańskim Parku Narodowym (Valorization of Reed and Meadow Phytocoenoses of Over-Moistened Habitats in the Wieprz River Valley within Roztocze National Park). Łąkarstwo Polsce 2005, 8, 215–226. [Google Scholar]
- Osadowski, Z. Program Natura 2000 Oraz Programy Rolno-Środowiskowe Szansą Dla Ochrony Przyrody Dolin Małych Rzek Pomorza—Teoria, Praktyka i Potrzeby Działań Na Przyszłość (The Natura 2000 Programme and Agri-Environmental Schemes as an Opportunity for the Conservation of Small River Valleys in Pomerania: Theory, Practice and Future Needs). In Studia Ekologiczno-Krajobrazowe w Programowaniu Rozwoju Zrównoważonego: Przegląd Polskich Doświadczeń u Progu Integracji z Unią Europejską, Seria: Problemy Ekologii Krajobrazu, Tom 13; Kistowski, M., Ed.; Uniwersytet Gdański: Gdańsk, Poland, 2004; pp. 177–183. [Google Scholar]
- Kryszak, A.; Grynia, M. The Vegetation of Wet Meadows in Relation to Water Level Fluctuations Journal: Fragmenta Floristica et Geobotanica Polonica. Fragm. Florist. Geobot. Pol. 2005, 12, 73–91. [Google Scholar]
- Kulik, M.; Baryła, R.; Urban, D.; Grzywaczewski, G.; Bochniak, A.; Różycki, A.; Tokarz, E. Vegetation and Birds Species Changes in Meadow Habitats in Polesie National Park, Eastern Poland. Rocz. Ochr. Srodowiska 2017, 19, 211–229. [Google Scholar]
- Kordowska, M. The Usefulness of the Ramsar Sites of Poland for Ornithological Tourism. Prac. Studi. Geograf. 2018, 63, 101–116. [Google Scholar]
- Zisenis, M. Is the Natura 2000 Network of the European Union the Key Land Use Policy Tool for Preserving Europe’s Biodiversity Heritage? Land Use Policy 2017, 69, 408–416. [Google Scholar] [CrossRef]
- Zotos, A.; Kokkoris, I.P.; Charalampopoulos, I.; Bekri, E.S.; Dimopoulos, P. Wetlands in Crisis: The Silent Desertification Threat on the Greek Wetlands. Land 2024, 13, 1567. [Google Scholar] [CrossRef]
- Perzanowska, J.; Korzeniak, J.; Chmura, D. Alien Species as a Potential Threat for Natura 2000 Habitats: A National Survey. PeerJ 2019, 7, e8032. [Google Scholar] [CrossRef]
- Grzybowski, M.; Glińska-Lewczuk, K. The Principal Threats to the Peatlands Habitats, in the Continental Bioregion of Central Europe—A Case Study of Peatland Conservation in Poland. J. Nat. Conserv. 2020, 53, 125778. [Google Scholar] [CrossRef]
- Erwin, K.L. Wetlands and Global Climate Change: The Role of Wetland Restoration in a Changing World. Wetl. Ecol. Manag. 2009, 17, 71–84. [Google Scholar] [CrossRef]
- Gallego-Sala, A.V.; Charman, D.J.; Brewer, S.; Page, S.E.; Prentice, I.C.; Friedlingstein, P.; Moreton, S.; Amesbury, M.J.; Beilman, D.W.; Björck, S.; et al. Latitudinal Limits to the Predicted Increase of the Peatland Carbon Sink with Warming. Nat. Clim. Change 2018, 8, 907–913. [Google Scholar] [CrossRef]
- Ontel, I.; Cheval, S.; Irimescu, A.; Boldeanu, G.; Amihaesei, V.-A.; Mihailescu, D.; Nertan, A.; Angearu, C.-V.; Craciunescu, V. Assessing the Recent Trends of Land Degradation and Desertification in Romania Using Remote Sensing Indicators. Remote Sens. 2023, 15, 4842. [Google Scholar] [CrossRef]
- Kulik, M.; Bochniak, A.; Baryła, R.; Warda, M.; Wyłupek, T. Changes of the Phragmitetea Class Vegetation in the Bystra Valley, Eastern Poland. Rocz. Ochr. Srodowiska 2018, 20, 1049–1065. [Google Scholar]
- Wasilewski, Z. Stan Obecny i Kierunki Gospodarowania Na Użytkach Zielonych Zgodnie z Wymogami Wspólnej Polityki Rolnej (Current Status and Management Directions for Grasslands in Compliance with the Requirements of the Common Agricultural Policy). Woda-Sr.-Obsz. Wiej. 2009, 9, 169–184. [Google Scholar]
- Kozłowska, T.; Burs, W. Przekształcanie Się Zbiorowisk Łąkowych w Wyniku Zmian Uwilgotnienia Siedlisk Łąkowych (Transformation of Meadow Plant Communities Resulting from Changes in Habitat Moisture). J. Res. Appl. Agric. Eng. 2013, 58, 7–11. [Google Scholar]
- Alberski, J.; Grzegorczyk, S.; Kozikowski, A.; Olszewska, M. Habitat Occurrence and Nutrition Value of Achillea millefolium L. in Grasslands. J. Elem. 2009, 14, 429–436. [Google Scholar] [CrossRef]
- Bochniak, A.; Kulik, M.; Jaźwa, M.; Sender, J.; Ścibior, R. Evaluation of the Mowing Frequency Effect on Floristic Diversity of Seminatural Meadows Using Generalized Diversity Indices. Ecol. Indic. 2024, 159, 111719. [Google Scholar] [CrossRef]
- Kamiński, J.; Chrzanowski, S. Wpływ Użytkowania Kośnego i Pastwiskowego Na Właściwości Fizyczne Gleb Oraz Skład Florystyczny Zbiorowisk Roślinnych Na Zmeliorowanym Torfowisku (Effects of Mowing and Grazing Management on Soil Physical Properties and the Floristic Composition of Plant Communities in a Drained Peatland). Woda-Sr.-Obsz. Wiej. 2007, 7, 75–86. [Google Scholar]
- Łyszczarz, R.; Dembek, R.; Suś, R.; Zimmer-Grajewska, M.; Kornacki, P. Renowacja Łąk Trwałych Położonych Na Glebach Torfowo-Murszowych (Restoration of Permanent Grasslands on Peat-Muck Soils). Woda-Sr.-Obsz. Wiej. 2010, 10, 129–148. [Google Scholar]
- Sienkiewicz-Paderewska, D.; Borawska-Jarmułowicz, B.; Mastalerczuk, G.; Chodkiewicz, A.; Stypiński, P. Wpływ Zaprzestania Koszenia Na Roślinność Łąki Trzęślicowej (Molinietum caerulae) (Effect of Mowing Abandonment on the Vegetation of Molinietum caeruleae Meadow). Woda-Sr.-Obsz. Wiej. 2012, 12, 167–179. [Google Scholar]
- Barszczewski, J.; Wasilewski, Z.; Wróbel, B. Ocena pratotechnicznych wskaźników intensywności gospodarowania na trwałych użytkach zielonych w systemie konwencjonalnym (Assessment of Meadow-Management Indicators of Farming Intensity on Permanent Grasslands under a Conventional System). Woda-Sr.-Obsz. Wiej. 2013, 13, 5–22. [Google Scholar]
- Jankowska-Huflejt, H. Gospodarowanie Na Łąkach i Pastwiskach w Gospodarstwach Ekologicznych (Management of Meadows and Pastures in Organic Farms); Instytut Technologiczno-Przyrodniczy (ITP): Falenty, Poland, 2015. [Google Scholar]
- Wróbel, B.; Terlikowski, J.; Wesołowski, P.; Barszczewski, J. Racjonalne Użytkowanie Łąk Niżowych (Rational Management of Lowland Meadows); Instytut Technologiczno-Przyrodniczy: Falenty, Poland, 2015. [Google Scholar]
- Petrescu, A.M.R.; Lohila, A.; Tuovinen, J.P.; Baldocchi, D.D.; Desai, A.R.; Roulet, N.T.; Vesala, T.; Dolman, A.J.; Oechel, W.C.; Marcolla, B.; et al. The Uncertain Climate Footprint of Wetlands under Human Pressure. Proc. Natl. Acad. Sci. USA 2015, 112, 4594–4599. [Google Scholar] [CrossRef]
- Zullo, F.; Montaldi, C.; Di Pietro, G.; Romano, B. Urban Growth and Habitat Connectivity: A Study on European Countries. Sustainability 2022, 14, 14689. [Google Scholar] [CrossRef]
- Guareschi, S.; Laini, A.; Viaroli, P.; Bolpagni, R. Integrating Habitat- and Species-Based Perspectives for Wetland Conservation in Lowland Agricultural Landscapes. Biodivers. Conserv. 2020, 29, 153–171. [Google Scholar] [CrossRef]
- Dengler, J.; Jansen, F.; Chusova, O.; Hüllbusch, E.; Nobis, M.P.; Van Meerbeek, K.; Axmanová, I.; Bruun, H.H.; Chytrý, M.; Guarino, R.; et al. Ecological Indicator Values for Europe (EIVE) 1.0. Veg. Classif. Surv. 2023, 4, 729. [Google Scholar] [CrossRef]
- Tutova, H.; Lisovets, O.; Kunakh, O.; Zhukov, O. Phytoindication Is a Useful Tool for Assessing the Response of Plant Communities to Environmental Factors. Diversity 2025, 17, 738. [Google Scholar] [CrossRef]
- Tichý, L.; Axmanová, I.; Dengler, J.; Guarino, R.; Jansen, F.; Midolo, G. Ellenberg-Type Indicator Values for European Vascular Plant Species. J. Veg. Sci. 2023, 34, e13168. [Google Scholar] [CrossRef]
- Kunakh, O.M.; Lisovets, O.I.; Yorkina, N.V.; Zhukova, Y.O. Phytoindication Assessment of the Effect of Reconstruction on the Light Regime of an Urban Park. Biosyst. Divers. 2021, 29, 276–285. [Google Scholar] [CrossRef]
- Ivanova, N. Global Overview of the Application of the Braun-Blanquet Approach in Research. Forests 2024, 15, 937. [Google Scholar] [CrossRef]
- Ivanova, N.; Zolotova, E. Vegetation Dynamics Studies Based on Ellenberg and Landolt Indicator Values: A Review. Land 2024, 13, 1643. [Google Scholar] [CrossRef]
- Myśliwy, M. Assessment of Vegetation Habitat Conditions Using the Phytoindication Method in Selected Lakes of the Gorzów Forest. Water–Environ. –Rural Areas 2010, 10, 109–121. [Google Scholar]
- Lisovets, O.; Kunakh, O.; Tutova, H.; Zhukov, O. Phytoindication Is an Effective Method for Accurately Determining the Lighting Intensity in Urban Parks. Ekológia 2025, 44, 129–137. [Google Scholar] [CrossRef]
- Hill, M.O.; Carey, P.D. Prediction of Yield in the Rothamsted Park Grass Experiment by Ellenberg Indicator Values. J. Veg. Sci. 1997, 8, 579–586. [Google Scholar] [CrossRef]
- Löfgren, O.; Hall, K.; Schmid, B.C.; Prentice, H.C. Grasslands Ancient and Modern: Soil Nutrients, Habitat Age and Their Relation to Ellenberg. J. Veg. Sci. 2020, 31, 367–379. [Google Scholar] [CrossRef]
- Szymura, T.H.; Szymura, M.; Macioł, A. Bioindication with Ellenberg’s Indicator Values: A Comparison with Measured Parameters in Central European Oak Forests. Ecol. Indic. 2014, 46, 495–503. [Google Scholar] [CrossRef]
- Hegedušova, K.; Škodová, I.; Janišova, M.; Kochjarova, J. Phytosociological Affiliation of Annex II Species Tephroseris Longifolia Subsp. Moravica in Comparison with Two Related Tephroseris Species with Overlapping Distribution. Biologia 2013, 68, 861–871. [Google Scholar] [CrossRef]
- Roo-Zielińska, E.; Solon, J.; Degórski, M. Evaluation of Natural Environment Based on Geobotanical, Landscape, and Soil Indicators (Theoretical Foundations and Application Examples); Monografie; IGiPZ PAN: Warsaw, Poland, 2007; Volume 9. [Google Scholar]
- Cantarello, E.; Newton, A.C. Identifying Cost-Effective Indicators to Assess the Conservation Status of Forested Habitats in Natura 2000 Sites. For. Ecol. Manag. 2008, 256, 815–826. [Google Scholar] [CrossRef]
- Eymar-Dauphin, P.; Renault, D.; Bounous, M.; Le Falher, K.; Pillard, C.; Bittebiere, A.-K. Living Together in a Context of Plant Invasion: The Example of the Plant Communities at the Iles Kerguelen. npj Biodivers. 2025, 4, 43. [Google Scholar] [CrossRef] [PubMed]
- Azzella, M.M.; Vecchia, A.D.; Abeli, T.; Alahuhta, J.; Amoroso, V.B.; Ballesteros, E.; Bertrin, V.; Brunton, D.; Bobrov, A.A.; Caldeira, C.; et al. Global Assessment of Aquatic Isoëtes Species Ecology. Freshw. Biol. 2024, 69, 1420–1437. [Google Scholar] [CrossRef]
- Blonder, B.; Lamanna, C.; Violle, C.; Enquist, B.J. The N-Dimensional Hypervolume. Glob. Ecol. Biogeogr. 2014, 23, 595–609. [Google Scholar] [CrossRef]
- Vaglio Laurin, G.; Zabeo, C.; Giuliarelli, D.; Tesfamariam, B.G.; Cotrina-Sanchez, A.; Valentini, R.; Tufail, B.; Ventura, B.; Calfapietra, C.; Barbati, A. Monitoring Habitat Diversity with PRISMA Hyperspectral and Lidar-Derived Data in Natura 2000 Sites: Case Study from a Mediterranean Forest. Ecol. Indic. 2025, 172, 113254. [Google Scholar] [CrossRef]
- Fijałkowski, D.; Chojnacka-Fijałkowska, E. Zbiorowiska z Klas Phragmitetea, Molinio-Arrhenatheretea i Scheuchzerio-Caricetea Fuscae w Makroregionie Lubelskim (Plant Communities of the Classes Phragmitetea, Molinio-Arrhenatheretea, and Scheuchzerio-Caricetea Fuscae in the Lublin Macroregion); Roczniki Nauk Rolniczych, PWN: Warszawa, Poland, 1990; Volume 217, ISBN 978-83-01-08921-4. [Google Scholar]
- Wyłupek, T. Florystyczna i Rolnicza Charakterystyka Łąk i Pastwisk w Dolinie Poru (Floristic and Agricultural Characteristics of Meadows and Pastures in the Por River Valley). Ph.D. Thesis, Akademia Rolnicza w Lublinie, Lublin, Poland, 1999. [Google Scholar]
- Wolański, P. Przyrodnicza i Rolnicza Waloryzacja Łąk i Pastwisk Pogórza Dynowskiego (Natural and Agricultural Valorization of Meadows and Pastures in the Dynów Foothills). Ph.D. Thesis, University of Rzeszów, Rzeszów, Poland, 2006. [Google Scholar]
- Żyszkowska, M. Zbiorowiska z Rzędu Arrhenatheretalia Jako Wskaźnik Warunków Siedliskowych w Dolinie Bystrzycy Dusznickiej (Plant Communities of the Order Arrhenatheretalia as Indicators of Habitat Conditions in the Bystrzyca Dusznicka Valley). Woda-Sr.-Obsz. Wiej. 2007, 7, 205–218. [Google Scholar]
- Michalska-Hejduk, D.; Kopeć, D.; Kucharski, L.; Kębłowska, A.; Otręba, A.; Kloss, M.; Dembek, A. Roślinność Terenów Mokradłowych—Stan Zachowania i Tendencje Dynamiczne (Vegetation of Wetland Areas: Conservation Status and Dynamic Trends). In Ochrona i Renaturyzacja Mokradeł Kampinoskiego Parku Narodowego; Okruszko, T., Mioduszewski, W., Kucharski, L., Eds.; Wydawnictwo SGGW: Warszawa, Poland, 2011; pp. 119–141. ISBN 978-83-7583-275-4. [Google Scholar]
- Roo-Zielińska, E. Wskaźniki Ekologiczne Zespołów Roślinnych Polski (Ecological Indicators of Plant Communities in Poland); Wydawnictwo Akademickie Sedno: Warszawa, Poland, 2014; ISBN 978-83-7963-000-4. [Google Scholar]
- Ellenberg, H.; Weber, H.E.; Düll, R.; Wirth, V.; Werner, W.; Paulißen, D. Zeigerwerte Der Gefäßpflanzen Mitteleuropas; Scripta Geobotanica; Erich Goltze GmbH: Göttingen, Germany, 1992; Volume 18. [Google Scholar]
- Oświt, J. Metoda Przyrodniczej Waloryzacji Mokradeł i Wyniki Jej Zastosowania Na Wybranych Obiektach (Method of Ecological Evaluation of Wetlands and the Results of Its Application on Selected Sites); Instytut Melioracji i Użytków Zielonych (IMUZ): Falenty, Poland, 2000; Volume 35. [Google Scholar]
- Trąba, C.; Wyłupek, T. Fitoindykacyjna Ocena Uwilgotnienia Łąk Wyczyńcowych w Kotlinie Zamojskiej (Phytindication-Based Assessment of Moisture Conditions in Alopecurus Pratensis Meadows of the Zamość Basin). Łąkarstwo Polsce 2001, 4, 199–212. [Google Scholar]
- Wyłupek, T. Różnorodność Florystyczna Zbiorowisk Mokradłowych z Klasy Phragmitetea (R. Tx. et Prsg 1942) w Dolinie Huczwy (Floristic Diversity of Wetland Plant Communities of the Class Phragmitetea (R. Tx. & Prsg 1942) in the Huczwa River Valley). In Krajobraz i Ogród Wiejski; Wydawnictwo Akademii Rolniczej w Lublinie: Lublin, Poland, 2004; Volume 3, pp. 67–75. [Google Scholar]
- Miatkowski, Z.; Sołtysik, A.; Turbaniak, J.; Wasilewski, Z. Ocena Uwilgotnienia Siedlisk Łąkowych Metodą Fitoindykacji w Rejonie Leja Depresji KWB Bełchatów (Assessment of Moisture Conditions of Meadow Habitats Using the Phytoindication Method in the Depression Cone Area of the Bełchatów Lignite Mine). Łąkarstwo Polsce 2005, 8, 123–130. [Google Scholar]
- Federal Geographic Data Committee. Classification of Wetlands and Deepwater Habitats of the United States Edition, 2nd ed.; U.S. Fish and Wildlife Service: Washington, DC, USA, 2013.
- Regional Directorate for Environmental Protection. Plan of Conservation Tasks for the Natura 2000 Site Dolina Wolicy (PLH060058): Annex 1—Boundary Coordinates (PL-1992); Regional Directorate for Environmental Protection: Lublin, Poland, 2021. [Google Scholar]
- Kondracki, J. Geografia Regionalna Polski (Regional Geography of Poland); PWN: Warszawa, Poland, 2002; ISBN 83-01-13809-3. [Google Scholar]
- Harasimiuk, M.; Henkiel, A.; Król, T. Objaśnienia Do Szczegółowej Mapy Geologicznej Polski 1:50 000. In Arkusz Krasnystaw (825) (Explanatory Notes to the Detailed Geological Map of Poland, 1:50,000 Scale: Krasnystaw Sheet (825)); Państwowy Instytut Geologiczny: Warszawa, Poland, 1988. [Google Scholar]
- Marszałek, S.; Buczek, K. Objaśnienie Do Szczegółowej Mapy Geologicznej Polski 1:50 000. Arkusz Kraśniczyn (826) (Explanatory Notes to the Detailed Geological Map of Poland, 1:50,000 Scale: Kraśniczyn Sheet (826)); Państwowy Instytut Geologiczny—Państwowy Instytut Badawczy (PIG-PIB): Warszawa, Poland, 2004. [Google Scholar]
- Borowiec, J. Torfowiska Regionu Lubelskiego (Peatlands of the Lublin Region); PWN (Państwowe Wydawnictwo Naukowe): Warszawa, Poland, 1990.
- Borowiec, J.; Urban, D. Środowisko Przyrodnicze Lubelszczyzny. Łąki. Cz. II. Kondycja Geologiczna Siedlisk Łąkowych Lubelszczyzny (The Natural Environment of the Lublin Region. Meadows. Part II: Geological Condition of Meadow Habitats in the Lublin Region); Lubelskie Towarzystwo Naukowe (LTN): Lublin, Poland, 1997. [Google Scholar]
- Urban, D. Siedliska Hydrogeniczne Oraz Geneza i Ewolucja Wybranych Torfowisk Dolinowych Wyżyny Lubelskiej i Wołyńskiej (Hydrogenic Habitats and the Genesis and Evolution of Selected Valley Peatlands of the Lublin and Volhynia Uplands); Akademia Rolnicza w Lublinie: Lublin, Poland, 2004. [Google Scholar]
- Braun-Blanquet, J. Pflanzensoziologie. Grundzüge der Vegetationskunde (Plant Sociology: The Study of Plant Communities), 3rd ed.; Springer Vienna: Wien, Austria, 1964. [Google Scholar]
- Hennekens, S.M.; Schaminée, J.H.J. Turboveg, a Comprehensive Data Base Management System for Vegetation Data. J. Veg. Sci. 2001, 12, 589–591. [Google Scholar] [CrossRef]
- Dzwonko, Z. Przewodnik Do Badań Fitosocjologicznych; Instytut Botaniki Uniwersytetu Jagiellońskiego: Kraków, Poland, 2007. [Google Scholar]
- Wildi, O.; Orlóci, L. Numerical Exploration of Community Patterns: A Guide to the Use of MULVA-5; SPB Academic Publishing: Amsterdam, The Netherlands, 1996. [Google Scholar]
- Mirek, Z.; Piękoś-Mirkowa, H.; Zając, A.; Zając, M. Flowering Plants and Pteridophytes of Poland. A Checklist. Krytyczna Lista Roślin Naczyniowych Polski; W.Szafer Institute of Botany, Polish Academy of Sciences: Krakow, Poland, 2002. [Google Scholar]
- Mucina, L.; Bültmann, H.; Dierßen, K.; Theurillat, J.P.; Raus, T.; Čarni, A.; Šumberová, K.; Willner, W.; Dengler, J.; García, R.G.; et al. Vegetation of Europe: Hierarchical Floristic Classification System of Vascular Plant, Bryophyte, Lichen, and Algal Communities. Appl. Veg. Sci. 2016, 19, 3–264. [Google Scholar] [CrossRef]
- Piernik, A. Metody Numeryczne w Ekologii Na Przykładzie Zastosowań Pakietu MVSP Do Analiz Roślinności (Numerical Methods in Ecology Applications of the MVSP Package in Vegetation Analysis); Wydawnictwo Naukowe Uniwersytetu Mikołaja Kopernika: Toruń, Poland, 2008; ISBN 978-83-231-2279-1. [Google Scholar]
- Kovach, W.L. MVSP—A Multivariate Statistical Package for Windows, Version 3.2; Kovach Computing Services: Pentraeth, Wales, 2010. [Google Scholar]
- Blonder, B.; Morrow, C.B.; Brown, S.; Butruille, G.; Chen, D.; Laini, A.; Harris, D.J.; Violet, C. Hypervolume: High Dimensional Geometry, Set Operations, Projection, and Inference Using Kernel Density Estimation, Support Vector Machines, and Convex Hulls; Version 3.1.6; Comprehensive R Archive Network (CRAN): Vienna, Austria, 2025. [Google Scholar]
- Blonder, B. Hypervolume Concepts in Niche- and Trait-Based Ecology. Ecography 2018, 41, 1441–1455. [Google Scholar] [CrossRef]
- Jolliffe, I.T. Principal Component Analysis, 2nd ed.; Springer-Verlag: New York, NY, USA, 2002; ISBN 0-387-95442-2. [Google Scholar]
- Landucci, F.; Gigante, D.; Venanzoni, R.; Chytrý, M. Wetland Vegetation of the Class Phragmito-Magno-Caricetea in Central Italy. Phytocoenologia 2013, 43, 67–102. [Google Scholar] [CrossRef]
- Kryszak, A.; Kryszak, J.; Klarzyńska, A.; Strychalska, A. Zmienność siedliskowa i florystyczna wybranych zbiorowisk szuwarowych doliny Warty na odcinku Konin–Rogalin (Habitat and Floristic Variability of Selected Reed Communities in the Warta River Valley between Konin and Rogalin). Woda–Sr.–Obsz. Wiej. 2010, 10, 51–58. [Google Scholar]
- Wyłupek, T.G.; Ziemińska-Smyk, M.; Czarnecki, Z. Floristic Diversity and Agricultural Value of Phalaridetum Arundinaceae (Koch 1926 n.n.) Lib. 1931 in the Selected River Valleys of the Zamość Region. Acta Agrobot. 2015, 68, 109–113. [Google Scholar] [CrossRef]
- Lastrucci, L.; Landi, M.; Angiolini, C. Vegetation Analysis on Wetlands in a Tuscan Agricultural Landscape (Central Italy). Biologia 2010, 65, 54–68. [Google Scholar] [CrossRef]
- Roo-Zielińska, E. Fitoindykacja Jako Narzędzie Oceny Środowiska Fizycznogeograficznego: Podstawy Teoretyczne i Analiza Porównawcza Stosowanych Metod (Indicator Plants as a Tool for Environmental Assessment: Theoretical Basis and Comparative Analysis of Applied Methods); Instytut Geografii i Przestrzennego Zagospodarowania PAN: Warszawa, Poland, 2004; Volume 199. [Google Scholar]
- Diekmann, M.R. Species Indicator Values as an Important Tool in Applied Plant Ecology—A Review. Basic Appl. Ecol. 2003, 4, 493–506. [Google Scholar] [CrossRef]
- Schaffers, A.P.; Sýkora, K.V. Reliability of Ellenberg Indicator Values for Moisture, Nitrogen and Soil Reaction: A Comparison with Field Measurements. J. Veg. Sci. 2000, 11, 225–244. [Google Scholar] [CrossRef]
- Engloner, A.I. Structure, Growth Dynamics and Biomass of Reed (Phragmites Australis)—A Review. Flora 2009, 204, 331–346. [Google Scholar] [CrossRef]
- Pagter, M.; Bragato, C.; Brix, H. Tolerance and Physiological Responses of Phragmites Australis to Water Deficit. Aquat. Bot. 2005, 81, 285–299. [Google Scholar] [CrossRef]
- Visser, E.J.W.; Colmer, T.D.; Blom, C.W.P.M.; Voesenek, L.A.C.J. Changes in Growth, Porosity, and Radial Oxygen Loss from Adventitious Roots of Selected Mono- and Dicotyledonous Wetland Species with Contrasting Types of Aerenchyma. Plant Cell Environ. 2000, 25, 1237–1245. [Google Scholar] [CrossRef]
- Hultgren, A.B.C. A Demographic Study of Aerial Shoots of Carex Rostrata in Relation to Water Level. Aquat. Bot. 1988, 30, 81–93. [Google Scholar] [CrossRef]
- Carscadden, K.A.; Emery, N.C.; Arnillas, C.A.; Cadotte, M.W.; Afkhami, M.E.; Gravel, D.; Livingstone, S.W.; Wiens, J.J. Niche Breadth: Causes and Consequences for Ecology, Evolution, and Conservation. Q. Rev. Biol. 2020, 95, 179–214. [Google Scholar] [CrossRef]
- Soininen, J.; McDonald, R.; Hillebrand, H. The Distance Decay of Similarity in Ecological Communities. Ecography 2007, 30, 3–12. [Google Scholar] [CrossRef]
- Barandun, M.; Paz, A.; van Tiel, N.; van den Hoogen, J.; Pellissier, L.; Crowther, T.W.; Maynard, D.S. Global Patterns in Plant Environmental Breadths. Ecography 2025, 2025, e07637. [Google Scholar] [CrossRef]
- Devictor, V.; Clavel, J.; Julliard, R.; Lavergne, S.; Mouillot, D.; Thuiller, W.; Venail, P.; Villéger, S.; Mouquet, N. Defining and Measuring Ecological Specialization. J. Appl. Ecol. 2010, 47, 15–25. [Google Scholar] [CrossRef]
- Matias, M.G.; Combe, M.; Barbera, C.; Mouquet, N. Ecological Strategies Shape the Insurance Potential of Biodiversity. Front. Microbiol. 2012, 3, 432. [Google Scholar] [CrossRef] [PubMed]
- Grzelak, M.; Gaweł, E.; Murawski, M.; Runowski, S.; Knioła, A. Charakterystyka Przyrodniczo-Użytkowa Zbiorowisk Ze Związku Phragmition i Magnocaricion w Dolinie Noteci Bystrej (Environmental and Utilitarian Characteristics of Plant Communities of the Phragmition and Magnocaricion Alliances in the Bystra Noteć Valley). Fragm. Agron. 2015, 32, 24–31. [Google Scholar]
- Łaska, G. Zbiorowiska Roślinne Siedlisk Mokradłowych w Dolinie Płoski—Ocena Aktualnego Stanu w Zależności Od Różnych Form Użytkowania (Plant Communities of Wetland Habitats in the Płoska Valley—Assessment of Their Current State in Relation to Different Land-Use Forms). Woda-Sr.-Obsz. Wiej. 2009, 9, 141–162. [Google Scholar]
- Papchenkov, V.; Čížková, H. Variation in the Biomass of Phragmites Australis across Community Types in the Aquatic Habitats of the Middle Volga Valley. Diversity 2024, 16, 644. [Google Scholar] [CrossRef]
- Carmona, C.P.; de Bello, F.; Mason, N.W.H.; Lepš, J. Traits Without Borders: Integrating Functional Diversity Across Scales. Trends Ecol. EVolume 2016, 31, 382–394. [Google Scholar] [CrossRef]
- Ackerly, D.D.; Cornwell, W.K. A Trait-Based Approach to Community Assembly: Partitioning of Species Trait Values into within- and among-Community Components. Ecol. Lett. 2007, 10, 135–145. [Google Scholar] [CrossRef] [PubMed]
- Zedler, J.B.; Kercher, S. Wetland Resources: Status, Trends, Ecosystem Services, and Restorability. Annu. Rev. Environ. Resour. 2005, 30, 39–74. [Google Scholar] [CrossRef]
- Hájek, M.; Hekera, P. Can Seasonal Variation in Fen Water Chemistry Influence the Reliability of Vegetation–Environment Analyses? Preslia 2004, 76, 1–14. [Google Scholar]







| Syntaxon [Abbreviation] | No. of Relevés | S—Mean No. Spp. Per Relevé | SD | SE | Vc |
|---|---|---|---|---|---|
| Cl. Phragmitetea R. Tx. et Prsg 1942 (Phragmito-Magnocaricetea Klika in Klika et Novák 1941) O. Phragmitetalia Koch 1926 | |||||
| All. Phragmition Koch 1926 | |||||
| Ass. Phragmitetum australis (Gams 1927) Schmale 1939 [Pau] | 19 | 19 | 5.37 | 1.23 | 28.49 |
| Ass. Glycerietum maximae Hueck 1931 [Gm] | 10 | 16 | 5.02 | 1.59 | 32.37 |
| O. Magnocaricetalia Pignatti 1953 | |||||
| All. Magnocaricion Koch 1926 (Magnocaricion elatae Koch 1926) | |||||
| Ass. Iridetum pseudoacori Eggler 1933 [Ip] | 5 | 16 | 2.86 | 1.28 | 17.68 |
| Ass. Caricetum acutiformis Sauer 1937 [Cac] | 27 | 17 | 4.47 | 0.86 | 26.19 |
| Ass. Caricetum rostratae Rübel 1912 [Cr] | 16 | 19 | 3.56 | 0.86 | 19.17 |
| Ass. Caricetum elatae Koch 1926 [Ce] | 23 | 17 | 5.60 | 1.17 | 32.53 |
| Ass. Caricetum appropinquatae (Koch 1926) Soó 1938 [Cap] | 7 | 24 | 1.62 | 0.61 | 6.87 |
| Ass. Caricetum distichae (Nowiński 1928) Jonas 1933 [Cd] | 10 | 20 | 1.81 | 0.57 | 9.16 |
| Ass. Caricetum gracilis (Graebn. et Hueck 1931) R. Tx. 1937 [Cg] | 32 | 21 | 4.35 | 0.77 | 20.52 |
| Ass. Caricetum vesicariae Br-Bl. et Denis 1926 [Cv] | 10 | 19 | 1.27 | 0.40 | 6.52 |
| Ass. Phalaridetum arundinaceae (Koch 1926 n.n.) Lib. 1931 [Par] | 10 | 13 | 3.46 | 1.09 | 27.01 |
| Community | n | L | T | K | F | R | N | ||||||
|---|---|---|---|---|---|---|---|---|---|---|---|---|---|
| Pau | 19 | 3.90 ± 0.22 | ab | 3.90 ± 0.22 | ab | 2.94 ± 0.27 | abc | 4.61 ± 0.37 | ab | 4.48 ± 0.28 | d | 3.84 ± 0.23 | c |
| Gm | 10 | 4.03 ± 0.06 | bcd | 4.00 ± 0.02 | ab | 2.92 ± 0.14 | abc | 5.56 ± 0.22 | d | 4.60 ± 0.16 | de | 4.56 ± 0.19 | e |
| Ip | 5 | 4.00 ± 0.02 | abcd | 4.00 ± 0.02 | ab | 3.00 ± 0.02 | abc | 5.20 ± 0.06 | cd | 4.28 ± 0.09 | abcd | 4.17 ± 0.05 | d |
| Cac | 27 | 3.92 ± 0.13 | abc | 3.87 ± 0.11 | ab | 3.01 ± 0.05 | abc | 4.60 ± 0.25 | ab | 4.17 ± 0.12 | ab | 3.93 ± 0.13 | cd |
| Cr | 16 | 3.91 ± 0.12 | ab | 4.03 ± 0.40 | b | 2.89 ± 0.24 | ab | 4.46 ± 0.35 | ab | 4.01 ± 0.22 | a | 3.85 ± 0.17 | c |
| Ce | 23 | 4.16 ± 0.20 | d | 3.95 ± 0.15 | ab | 3.03 ± 0.05 | abc | 4.75 ± 0.33 | bc | 4.16 ± 0.14 | ab | 3.54 ± 0.22 | ab |
| Cap | 7 | 3.91 ± 0.07 | abc | 3.99 ± 0.01 | ab | 3.33 ± 0.18 | d | 4.70 ± 0.17 | abc | 4.48 ± 0.13 | cd | 3.46 ± 0.09 | a |
| Cd | 10 | 4.00 ± 0.02 | abcd | 4.00 ± 0.01 | ab | 3.09 ± 0.06 | bc | 4.57 ± 0.13 | ab | 4.08 ± 0.20 | ab | 3.87 ± 0.14 | cd |
| Cg | 32 | 4.13 ± 0.11 | cd | 4.00 ± 0.02 | ab | 3.06 ± 0.07 | bc | 4.41 ± 0.21 | a | 4.23 ± 0.19 | abc | 3.96 ± 0.05 | cd |
| Cv | 10 | 3.79 ± 0.11 | a | 3.80 ± 0.11 | a | 2.86 ± 0.09 | a | 4.61 ± 0.14 | ab | 3.96 ± 0.14 | a | 3.76 ± 0.17 | bc |
| Par | 7 | 4.00 ± 0.02 | abcd | 4.00 ± 0.01 | ab | 2.97 ± 0.08 | abc | 4.74 ± 0.25 | abc | 4.80 ± 0.06 | e | 3.99 ± 0.11 | cd |
| Pau | Gm | Ip | Cac | Cr | Ce | Cap | Cd | Cg | Cv | Par | |
|---|---|---|---|---|---|---|---|---|---|---|---|
| Pau | - | 0.0024 | 0.0000 | 0.0307 | 0.1948 | 0.0661 | 0.0070 | 0.0005 | 0.0064 | 0.0131 | 0.0002 |
| Gm | 0.0024 | - | 0.0015 | 0.0005 | 0.0004 | 0.0002 | 0.0000 | 0.0000 | 0.0000 | 0.0000 | 0.0007 |
| Ip | 0.0000 | 0.0015 | - | 0.0006 | 0.0000 | 0.0000 | 0.0000 | 0.0000 | 0.0000 | 0.0000 | 0.0000 |
| Cac | 0.0307 | 0.0005 | 0.0006 | - | 0.0382 | 0.1505 | 0.0007 | 0.0136 | 0.1321 | 0.3012 | 0.0000 |
| Cr | 0.1948 | 0.0004 | 0.0000 | 0.0382 | - | 0.0915 | 0.0020 | 0.0007 | 0.0055 | 0.0318 | 0.0000 |
| Ce | 0.0661 | 0.0002 | 0.0000 | 0.1505 | 0.0915 | - | 0.0135 | 0.0031 | 0.0378 | 0.0663 | 0.0000 |
| Cap | 0.0070 | 0.0000 | 0.0000 | 0.0007 | 0.0020 | 0.0135 | - | 0.0000 | 0.0000 | 0.0002 | 0.0000 |
| Cd | 0.0005 | 0.0000 | 0.0000 | 0.0136 | 0.0007 | 0.0031 | 0.0000 | - | 0.0680 | 0.0159 | 0.0000 |
| Cg | 0.0064 | 0.0000 | 0.0000 | 0.1321 | 0.0055 | 0.0378 | 0.0000 | 0.0680 | - | 0.0954 | 0.0000 |
| Cv | 0.0131 | 0.0000 | 0.0000 | 0.3012 | 0.0318 | 0.0663 | 0.0002 | 0.0159 | 0.0954 | - | 0.0000 |
| Par | 0.0002 | 0.0007 | 0.0000 | 0.0000 | 0.0000 | 0.0000 | 0.0000 | 0.0000 | 0.0000 | 0.0000 | - |
Disclaimer/Publisher’s Note: The statements, opinions and data contained in all publications are solely those of the individual author(s) and contributor(s) and not of MDPI and/or the editor(s). MDPI and/or the editor(s) disclaim responsibility for any injury to people or property resulting from any ideas, methods, instructions or products referred to in the content. |
© 2026 by the authors. Licensee MDPI, Basel, Switzerland. This article is an open access article distributed under the terms and conditions of the Creative Commons Attribution (CC BY) license.
Share and Cite
Wyłupek, T.; Kulik, M.; Bochniak, A.; Sosnowska, M.; Wolański, P.; Kułak, A. Ecological Niche Analysis Based on Phytoindicative Assessment of Reed–Sedge Marsh Vegetation in the East European Plain. Sustainability 2026, 18, 1396. https://doi.org/10.3390/su18031396
Wyłupek T, Kulik M, Bochniak A, Sosnowska M, Wolański P, Kułak A. Ecological Niche Analysis Based on Phytoindicative Assessment of Reed–Sedge Marsh Vegetation in the East European Plain. Sustainability. 2026; 18(3):1396. https://doi.org/10.3390/su18031396
Chicago/Turabian StyleWyłupek, Teresa, Mariusz Kulik, Andrzej Bochniak, Małgorzata Sosnowska, Paweł Wolański, and Agnieszka Kułak. 2026. "Ecological Niche Analysis Based on Phytoindicative Assessment of Reed–Sedge Marsh Vegetation in the East European Plain" Sustainability 18, no. 3: 1396. https://doi.org/10.3390/su18031396
APA StyleWyłupek, T., Kulik, M., Bochniak, A., Sosnowska, M., Wolański, P., & Kułak, A. (2026). Ecological Niche Analysis Based on Phytoindicative Assessment of Reed–Sedge Marsh Vegetation in the East European Plain. Sustainability, 18(3), 1396. https://doi.org/10.3390/su18031396

