Analysis of the Impact of Platform Economy on Residents’ Consumption of Green Agricultural Products
Abstract
1. Introduction
2. Literature Review and Theoretical Analysis
3. Data Source, Model Setting, and Variable Selection
3.1. Data Sources and Sample Characteristics
3.2. Model Setting
3.3. Variable Selection
4. Empirical Results and Analyses
4.1. Benchmark Regression of the Influence of the Platform Economy on Residents’ Consumption Behavior of Green Agricultural Products
4.2. Estimation Results of the Decision Equation of Residents’ Participation in the Platform Economy
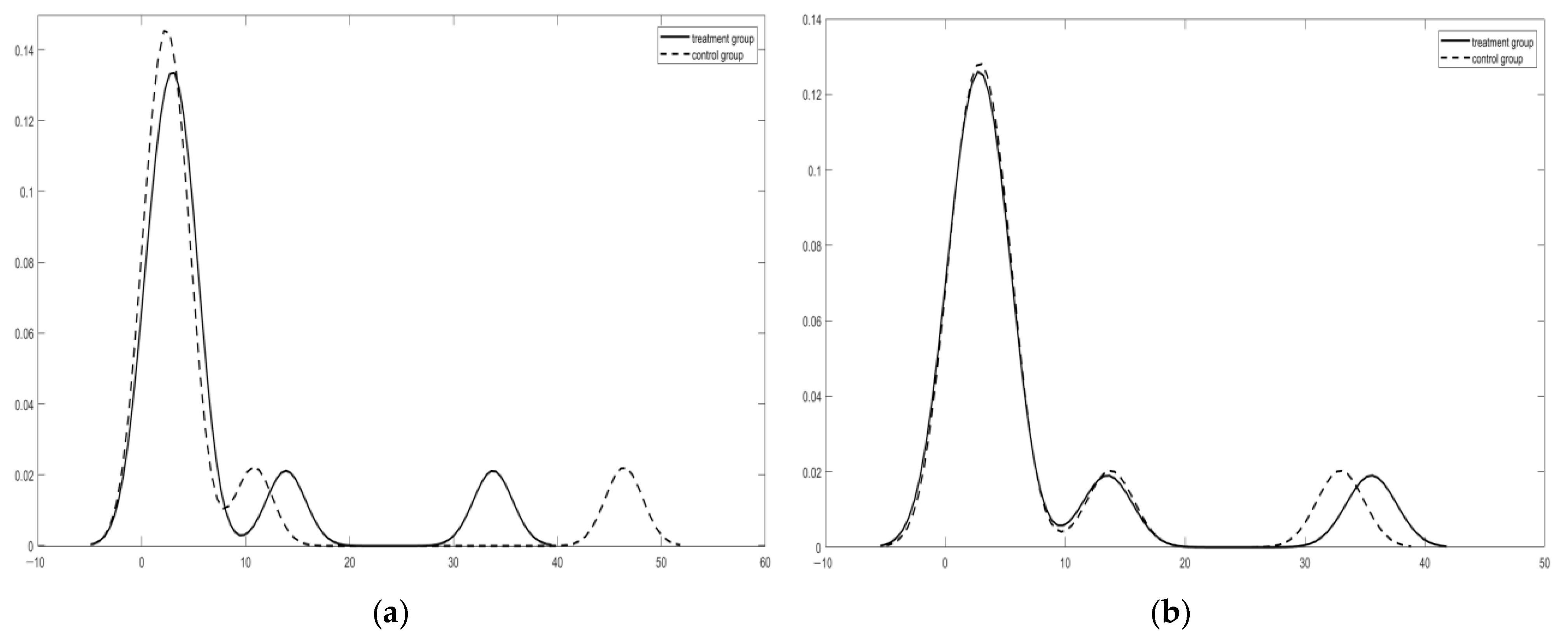
4.3. Matching Test of the PSM Model
4.4. Analysis of the Impact of the Platform Economy on Residents’ Consumption Behavior Regarding Green Agricultural Products
4.5. Heterogeneity Analysis of the Impact of the Platform Economy on Residents’ Consumption Behavior of Green Agricultural Products
4.5.1. Analysis of the Regional Heterogeneity
4.5.2. Analysis of the Income Heterogeneity
4.6. Robustness Test
5. Discussion
6. Conclusions and Suggestions
6.1. Conclusions
6.2. Suggestion
Author Contributions
Funding
Institutional Review Board Statement
Informed Consent Statement
Data Availability Statement
Conflicts of Interest
References
- Wang, J.J.; Kong, L.B.; Lin, Q.; Nie, Y.L.; Wei, H. Research on the synergy of digital labeling and brand strategy of green agricultural products. China Agric. Resour. Reg. Plan. 2023, 44, 35–42. [Google Scholar]
- Jin, M.; Zhao, C. Analysis of consumption willingness and consumption behaviour of green agricultural products. China Rural Econ. 2008, 5, 44–55. [Google Scholar]
- Chen, X.; Yang, D.L. Research on consumption motivation, cognitive level and purchase behaviour of green agricultural products—Based on a survey of consumers in Shanghai. Food Ind. 2019, 40, 246–250. [Google Scholar]
- Jin, M.; Zhao, C. An economic analysis of consumption willingness of green agricultural products. Financ. Econ. 2007, 6, 85–91. [Google Scholar]
- Jin, M.; Lin, Y.J. Analysis and promotion of green agricultural product consumption supply and demand. Econ. Manag. 2005, 24, 53–57. [Google Scholar]
- Ni, X.Z. Research on the effective supply of green agricultural products in my country. Agric. Econ. Issues 2012, 33, 18–21. [Google Scholar]
- Fu, S.; Liu, X.; Lamrabet, A.; Liu, H.; Huang, Y. Green production information transparency and online purchase behaviour: Evidence from green agricultural products in China. Front. Environ. Sci. 2022, 10, 985101. [Google Scholar] [CrossRef]
- Zhao, J.; Wang, J.M. From precision to refinement: The dynamic impact of online information intervention on the decision-making process of green agricultural products consumption. Financ. Econ. Rev. 2024, 6, 89–100. [Google Scholar]
- Xu, X.P.; Liu, M.M. The impact of trust in multiple information sources on consumers’ green agricultural product purchasing behavior in social e-commerce. China Circ. Econ. 2025, 39, 34–49. [Google Scholar]
- Guo, R.; Zhao, C.X.; Zhou, M. Standard pronunciation or mixed accents? The influence of farmers’ livestreaming language types and online green interaction modes on consumers’ preference for green agricultural product brands. Nankai Manag. Rev. 2025, 1–43. Available online: https://link.cnki.net/urlid/12.1288.f.20250717.0954.002 (accessed on 19 December 2025).
- Tanner, C.; Wölfing Kast, S. Promoting sustainable consumption: Determinants of green purchases by Swiss consumers. Psychol. Mark. 2003, 20, 883–902. [Google Scholar] [CrossRef]
- Fu, L.F.; Deng, H.L.; Wei, W.; Xu, S.Y. Analysis of influencing factors and purchase behaviour of green agricultural products based on Probit regression. Ecol. Econ. 2014, 30, 60–64. [Google Scholar]
- Jiang, Y.; Yu, H.L.; Ding, Y.L.; Mo, R. Analysis of the impact of E-commerce on the consumption premium of green agricultural products—Based on product display mechanism and reputation incentive mechanism. China Rural Econ. 2021, 10, 44–63. [Google Scholar]
- Peng, R.H.; Peng, G.B. The impact of Internet popularization on household consumption behaviour—Based on the perspective of consumption category and regional heterogeneity. Bus. Econ. Res. 2023, 869, 61–65. [Google Scholar]
- Hua, Y.T.; Shi, B.F. Internet use and household indirect carbon emissions: Measurement and analysis of influencing factors. J. Chongqing Univ. (Soc. Sci. Ed.) 2023, 29, 117–134. [Google Scholar]
- Yang, S.M.; Zhou, X.B. The evolution of consumer behaviour patterns and marketing strategies under the upgrading of information media. Bus. Econ. Res. 2020, 6, 67–69. [Google Scholar]
- Zhang, S.; Li, F.; Xiao, J.J. Internet penetration and consumption inequality in China. Int. J. Consum. Stud. 2020, 44, 407–422. [Google Scholar] [CrossRef]
- Chunfang, Y.; Yifeng, Z.; Suyun, W. The impact of the Internet on household consumption expenditure: An empirical study based on China Family Panel Studies data. Econ. Res.-Ekon. Istraživanja 2023, 36, 2150255. [Google Scholar] [CrossRef]
- Liu, W. Research on the impact of Internet use on rural residents’ online consumption—Empirical evidence from Chinese household tracking survey data. Agric. Econ. Manag. 2022, 75, 99–110. [Google Scholar]
- Vatsa, P.; Li, J.; Luu, P.Q.; Botero-R, J.C. Internet use and consumption diversity: Evidence from rural China. Rev. Dev. Econ. 2023, 27, 1287–1308. [Google Scholar] [CrossRef]
- Lin, C.; Feng, G.S. Internet use and elderly consumption in the context of population aging—Based on CHARLS micro database. Bus. Econ. Res. 2023, 8, 51–54. [Google Scholar]
- An, J.J.; Liu, G.L.; Di, H. The effect of Internet payment on green consumption and the catalytic path—Test of the intermediary role from perception to practice. Tax Econ. 2021, 6, 54–60. [Google Scholar]
- Ma, Y.; Liu, C. The impact of online environmental platform services on users’ green consumption behaviours. Int. J. Environ. Res. Public Health 2022, 19, 8009. [Google Scholar] [CrossRef] [PubMed]
- Zhao, P.; Li, K.H.; Wang, Y.H. E-commerce to help the development of green economy strategy. Acad. Exch. 2023, 3, 130–141. [Google Scholar]
- Xia, D.; Yu, L.; Zhang, M.; Zhang, X. Influence of online interaction on consumers’ willingness to the consumption of green products. IOP Conf. Ser. Earth Environ. Sci. 2019, 233, 052032. [Google Scholar] [CrossRef]
- Wang, X.; Wang, Z.; Li, Y. Internet Use on closing intention—Behaviour gap in green consumption—A mediation and moderation theoretical model. Int. J. Environ. Res. Public Health 2022, 20, 365. [Google Scholar] [CrossRef]
- Peng, J.; Li, K.; Gao, Y. How the Internet affects China’s green consumption development: Empirical research based on Baidu index data. Sustainability 2022, 15, 50. [Google Scholar] [CrossRef]
- Biswas, A. Impact of social media usage factors on green consumption behaviour based on technology acceptance model. J. Adv. Manag. Sci. 2016, 4, 92–97. [Google Scholar] [CrossRef]
- Bedard, S.A.N.; Tolmie, C.R. Millennials’ green consumption behaviour: Exploring the role of social media. Corp. Soc. Responsib. Environ. Manag. 2018, 25, 1388–1396. [Google Scholar] [CrossRef]
- Jain, V.K.; Gupta, A.; Tyagi, V.; Verma, H. Social media and green consumption behaviour of millennials. J. Content Community Commun. 2020, 10, 221–230. [Google Scholar]
- Xie, S.; Madni, G.R. Impact of social media on young generation’s green consumption behaviour through subjective norms and perceived green value. Sustainability 2023, 15, 3739. [Google Scholar] [CrossRef]
- Ali, M.; Ullah, S.; Ahmad, M.S.; Cheok, M.Y.; Alenezi, H. Assessing the impact of green consumption behaviour and green purchase intention among Millennials Toward Sustainable Environment. Environ. Sci. Pollut. Res. 2023, 30, 23335–23347. [Google Scholar] [CrossRef]
- Jalali, S.S.; Khalid, H.B. The influence of Instagram influencers’ activity on green consumption behaviour. Bus. Manag. Strategy 2021, 12, 78–90. [Google Scholar] [CrossRef]
- Kumar, A.; Pandey, M. Social media and impact of altruistic motivation, egoistic motivation, subjective norms, and EWOM toward green consumption behaviour: An empirical investigation. Sustainability 2023, 15, 4222. [Google Scholar] [CrossRef]
- Wagdi, O.; Afify, A.S.; Habib, A.F. The impact of social media marketing activities on green consumption intention: Evidence from emerging countries. Entrep. Sustain. Issues 2022, 10, 158–174. [Google Scholar] [CrossRef]
- Wang, Y.; Hao, F. Does Internet penetration encourage sustainable consumption? A cross-national analysis. Sustain. Prod. Consum. 2018, 16, 237–248. [Google Scholar] [CrossRef]
- Cheng, M.W.; Zhang, J.P. Internet development and the consumption gap between urban and rural residents under the background of the new era. Quant. Econ. Tech. Econ. Res. 2019, 36, 22–41. [Google Scholar]
- Liu, Y. Expanding service consumption on Internet platforms in the context of value co-creation: Transformative characteristics and theoretical mechanisms. Guizhou Soc. Sci. 2023, 9, 113–121. [Google Scholar]
- Tao, A.P.; Ren, J. Has the development of platform economy unleashed residents’ consumption potential? Bus. Res. 2024, 5, 124–133. [Google Scholar]
- Cennamo, C.; Santalo, J. Platform competition: Strategic trade-offs in platform markets. Strateg. Manag. J. 2013, 34, 1331–1350. [Google Scholar] [CrossRef]
- Li, L. Platform economy development and the transformation of government regulatory models. J. Econ. 2015, 7, 27–34. [Google Scholar]
- Baker, J.B.; Morton, F.S. Antitrust enforcement against platform MFNs. Yale Law J. 2018, 127, 2176–2202. [Google Scholar]
- Chen, H.L.; Zhang, X.J.; Liu, X. A review of frontier research in platform economy and future prospects. J. Yunnan Univ. Financ. Econ. 2019, 35, 3–11. [Google Scholar]
- Xia, J.C.; Yang, H.W. Platform economy: A key driver for China’s steady and sustainable economic growth. Reform 2023, 2, 14–27. [Google Scholar]
- Lan, Q.X.; Shi, F.Y. The current status, challenges, and solutions of China’s platform economy development. Humanist. J. 2023, 7, 47–57. [Google Scholar]
- Cai, Y.Z.; Gu, Y.C. The social welfare mechanism and effectiveness measurement of platform economy: Evidence from a survey of food delivery platform merchants. Econ. Res. 2023, 58, 98–115. [Google Scholar]
- Yu, W.T.; Wu, S.W. Internet platform economy and industrial productivity transformation: An empirical study based on data from the third national economic census. J. Financ. Sci. 2019, 8, 55–68. [Google Scholar]
- Li, M.; Wu, L.L.; Wu, X.S. The impact of platform economy development on employment quality: A study of the mediating effect of industrial structure upgrading. Ind. Technol. Econ. 2021, 40, 62–69. [Google Scholar]
- Sun, Y.Q.; Shi, W.Y.; Liu, Y.X. Can platform economy break down labor market segmentation? Shanghai Econ. Res. 2023, 10, 51–62. [Google Scholar]
- Ji, Y.Y.; Zhang, M.X.; Feng, S.H. The impact of platform economy on industrial structure upgrading: A perspective from consumer platforms. J. Syst. Eng. Theory Pract. 2022, 42, 1579–1590. [Google Scholar]
- Yan, C.C.; Liao, J. Construction and measurement of evaluation index system for China’s platform economy development level. Stat. Decis. 2023, 39, 5–10. [Google Scholar]
- Shen, K.R.; Zhang, R.M. The impact of platform economy on industry employment structure. Mod. Econ. Res. 2023, 12, 18–29. [Google Scholar]
- Farrell, J.; Klemperer, P. Coordination and lock-in: Competition with switching costs and network effects. Handb. Ind. Organ. 2007, 3, 1967–2072. [Google Scholar] [CrossRef]
- Van Doorn, N.; Badger, A. Platform capitalism’s hidden abode: Producing data assets in the gig economy. Antipode 2020, 52, 1475–1495. [Google Scholar] [CrossRef]
- Gregorio, D.D.; Kassicieh, S.K.; De Gouvea Neto, R. Drivers of ebusiness activity in developed and emerging markets. IEEE Trans. Eng. Manag. 2005, 52, 155−166. [Google Scholar] [CrossRef]
- Oliveira, T.; Martins, M.F. Firms patterns of ebusiness adoption: Evidence for the European Union27. Electron. J. Inf. Syst. Eval. 2010, 13, 47−56. [Google Scholar]
- Li, Z.; Zhang, Q.Z. Analysis of the impact of COVID-19 pandemic on China’s platform economy development. Ind. Econ. Rev. 2022, 6, 32–52. [Google Scholar]
- Yin, X.Y.; Yu, Q.; Su, Q.; Li, D.M. The impact of Internet embedded on farmers’ use of chemical pesticide reduction—Econometric analysis based on PSM Model. China Agric. Resour. Reg. Plan. 2023, 44, 68–76. [Google Scholar]
- Tao, Z.M.; Su, L.D. Study of government open data users—Based on self-efficacy theory and planned behaviour theory. J. Manag. 2022, 35, 112–127. [Google Scholar]
- Yin, Z.G.; Ren, T.Z. Mobile Internet and rural residents’ consumption: Theoretical logic, realistic basis and micro evidence. China Circ. Econ. 2022, 36, 27–37. [Google Scholar]
- Jiang, Y.B.; Ren, B.; Ren, Y.L.; Zhu, L.F. Research on empowering sports consumption upgrade through platform economy under the background of expanding domestic demand. Sports Cult. Guide 2024, 8, 77–83+90. [Google Scholar]

| Variable Classification | Variable Name | Variable Meaning and Assignment | Mean Value | Standard Deviation | Minimum Value | Maximum Value |
|---|---|---|---|---|---|---|
| Explained variable | Consumption of green agricultural products | Have you consumed green agricultural products in the past 30 days? Yes = 1, No = 0 | 0.788 | 0.409 | 0 | 1 |
| Explanatory variables | Platform economy | Do you participate in the platform economy/use the Internet platform every day? (e.g., online shopping, group buying, ride-sharing, food delivery, and reviews) Yes = 1, No = 0 | 0.736 | 0.441 | 0 | 1 |
| Control variable | Gender | Female = 1, Male = 2 | 1.443 | 0.497 | 1 | 2 |
| Age | Resident’s actual age (years) | 38.32 | 10.660 | 25 | 62 | |
| Education level | Resident’s years of education (years) | 12.79 | 3.213 | 9 | 16 | |
| Family members structure | Are there any children or older people in the family? Yes = 1, No = 0 | 0.733 | 0.443 | 0 | 1 | |
| Income level | The annual income of the resident family: Less than 50,000 yuan (about 7000 US dollars) = 1, 50,000 yuan to 150,000 yuan (about 7000 US dollars to 21,000 US dollars) = 2, 150,000 yuan to 250,000 yuan (about 21,000 US dollars to 35,000 US dollars) = 3, more than 250,000 yuan (about 35,000 US dollars) = 4 | 1.894 | 0.851 | 1 | 4 | |
| Resident area | The area where the resident resides: Rural = 1, urban = 2 | 1.894 | 0.308 | 1 | 2 | |
| Health awareness | The degree of concern about one’s health: Not very concerned = 1, not concerned = 2, general = 3, concerned = 4, very concerned = 5 | 3.842 | 0.990 | 2 | 5 | |
| Value perception | Do you agree that green agricultural products have higher nutritional value than ordinary ones? Strongly disagree = 1, disagree = 2, generally = 3, agree = 4, strongly agree = 5 | 3.788 | 1.200 | 1 | 5 | |
| Purchasing convenience | Is it convenient to purchase green agricultural products? Very inconvenient = 1, inconvenient = 2, normal = 3, convenient = 4, very convenient = 5 | 4.099 | 0.915 | 2 | 5 | |
| Attention to quality and safety information | Do you pay attention to green agricultural products’ quality and safety issues? Strongly indifferent = 1, indifferent = 2, generally = 3, concerned = 4, strongly concerned = 5 | 3.741 | 1.162 | 1 | 5 |
| Variable | Regression Coefficients | Standard Deviation | VIF |
|---|---|---|---|
| Platform economy | 0.4491 *** | 0.0264 | 3.6 |
| Gender | 0.0064 | 0.0124 | 1 |
| Age | −0.0115 *** | 0.0014 | 5.59 |
| Education level | 0.0270 *** | 0.0031 | 2.56 |
| Family structure | −0.0094 | 0.0279 | 4.03 |
| Income level | 0.0336 *** | 0.0125 | 3.01 |
| Resident area | 0.2645 *** | 0.0379 | 3.62 |
| Health awareness | 0.0627 *** | 0.0144 | 5.36 |
| Value perception | 0.0408 *** | 0.0089 | 3.03 |
| Purchasing convenience | 0.0546 *** | 0.0139 | 4.26 |
| Attention to quality and safety information | 0.0860 *** | 0.0126 | 5.66 |
| Constant | 0.1708 | 0.1158 | |
| R2 | 0.9070 |
| Variable | Regression Coefficients | Standard Deviation |
|---|---|---|
| Gender | −0.0540 | 0.2803 |
| Age | −0.0807 *** | 0.0232 |
| Education level | −0.0787 | 0.0648 |
| Family structure | −0.2290 | 0.5543 |
| Income level | 0.9845 *** | 0.2952 |
| Resident area | 1.1015 *** | 0.4301 |
| Health awareness | −0.5227 | 0.3184 |
| Value perception | −0.0911 | 0.2172 |
| Purchasing convenience | 1.3137 *** | 0.3267 |
| Attention to quality and safety information | 0.3132 | 0.2576 |
| Constant | −2.7171 | 2.1963 |
| Prob > chi2 | 0.0000 | |
| Pseudo-R2 | 0.4047 | |
| Variable | Before and After Matching | Mean Value | Standard Deviation | |
|---|---|---|---|---|
| Residents Participating in the Platform Economy | Residents Not Participating in the Platform Economy | |||
| Gender | Before matching | 1.461 | 1.407 | 11 |
| After matching | 1.470 | 1.302 | 13.9 | |
| Age | Before matching | 33.799 | 46.406 | −137.7 |
| After matching | 35.545 | 32.971 | 18.1 | |
| Education level | Before matching | 13.877 | 10.806 | 108.4 |
| After matching | 13.530 | 13.784 | −9 | |
| Family structure | Before matching | 0.736 | 0.677 | 12.9 |
| After matching | 0.876 | 1.000 | −7.2 | |
| Income level | Before matching | 2.193 | 1.336 | 118.6 |
| After matching | 1.837 | 1.949 | −15.5 | |
| Resident area | Before matching | 1.922 | 1.581 | 85.7 |
| After matching | 1.911 | 1.958 | −11.8 | |
| Health awareness | Before matching | 4.022 | 3.536 | 47.3 |
| After matching | 4.045 | 4.041 | 0.3 | |
| Value perception | Before matching | 3.896 | 3.613 | 24.8 |
| After matching | 3.931 | 4.138 | −18.1 | |
| Purchasing convenience | Before matching | 4.398 | 3.555 | 97.6 |
| After matching | 4.198 | 3.830 | 12.6 | |
| Attention to quality and safety information | Before matching | 4.112 | 3.084 | 88.5 |
| After matching | 4.059 | 4.774 | −16.5 | |
| Classification of Matching Methods | ATT | t Value |
|---|---|---|
| Near-neighbor matching | 0.9356 | −3.72 |
| Caliper matching | 0.9474 | −1.76 |
| Radius matching | 0.9474 | −1.76 |
| Kernel matching | 0.9278 | −3.73 |
| Mean value | 0.9395 | — |
| Variable | Urban Residents | Rural Residents | ||
|---|---|---|---|---|
| Regression Coefficients | Standard Deviation | Regression Coefficients | Standard Deviation | |
| Platform economy | 0.1417 *** | 0.0410 | 0.0263 * | 0.0150 |
| Gender | −0.0245 | 0.0309 | −0.0010 | 0.0099 |
| Age | −0.0187 *** | 0.0031 | −0.0310 *** | 0.0015 |
| Education level | 0.0143 ** | 0.0071 | 0.0923 *** | 0.0045 |
| Family structure | 0.1749 *** | 0.0553 | 0.4794 *** | 0.0243 |
| Income level | 0.0050 | 0.0268 | 0.0289 *** | 0.0107 |
| Health awareness | 0.1463 *** | 0.0346 | 0.4097 *** | 0.0133 |
| Value perception | 0.0938 *** | 0.0206 | 0.2641 *** | 0.0118 |
| Purchasing convenience | 0.0306 | 0.0363 | 0.3799 *** | 0.0102 |
| Attention to quality and safety information | 0.0247 | 0.0288 | 0.0749 *** | 0.0152 |
| Constant | 1.0491 *** | 0.2727 | 1.3110 *** | 0.1060 |
| R2 | 0.4452 | 0.9952 | ||
| Variable | Lower–Middle-Income Residents | Higher-Income Residents | ||
|---|---|---|---|---|
| Regression Coefficients | Standard Deviation | Regression Coefficients | Standard Deviation | |
| Platform economy | 0.1962 *** | 0.0395 | 0.2562 *** | 0.0246 |
| Gender | −0.0452 | 0.0284 | −0.0043 | 0.0600 |
| Age | −0.0193 *** | 0.0025 | 0.0765 | 0.0674 |
| Education level | 0.0464 *** | 0.0067 | 0.1690 *** | 0.1176 |
| Family structure | 0.2681 *** | 0.0500 | 0.0011 | 0.1693 |
| Resident area | 0.0027 | 0.0453 | 0.0597 | 0.1114 |
| Health awareness | 0.0837 *** | 0.0314 | −0.0789 | 0.1012 |
| Value perception | 0.1580 *** | 0.0212 | 0.1173 * | 0.0701 |
| Purchasing convenience | 0.1504 *** | 0.0336 | 0.1536 * | 0.0835 |
| Attention to quality and safety information | 0.1210 *** | 0.0243 | −0.0223 | 0.0724 |
| Constant | 1.0469 *** | 0.2108 | −4.4580 | 3.9268 |
| R2 | 0.7130 | 0.5875 | ||
| Variable | Replacing the Core Variable | Changing Measurement Method | ||
|---|---|---|---|---|
| Regression Coefficients | Standard Deviation | Regression Coefficients | Standard Deviation | |
| Platform economy | 0.0075 *** | 0.0023 | 0.0165 *** | 0.0012 |
| Gender | −0.0364 | 0.0269 | −0.0006 | 0.0008 |
| Age | −0.0208 *** | 0.0026 | −0.0014 * | 0.0008 |
| Education level | 0.0298 *** | 0.0065 | 0.0083 ** | 0.0037 |
| Family structure | 0.2505 *** | 0.0416 | 0.2081 *** | 0.0551 |
| Income level | 0.0357 * | 0.0206 | 0.0166 *** | 0.0012 |
| Resident area | 0.0864 ** | 0.0425 | 0.0404 *** | 0.0023 |
| Health awareness | 0.0611 ** | 0.0280 | 0.0132 *** | 0.0013 |
| Value perception | 0.0725 *** | 0.0183 | 0.0348 *** | 0.0122 |
| Purchasing convenience | 0.0728 *** | 0.0273 | 0.0399 *** | 0.0023 |
| Attention to quality and safety information | 0.0700 *** | 0.0229 | 0.0345 *** | 0.0122 |
| Constant | 0.9741 *** | 0.2169 | 1.0642 *** | 0.1503 |
| R2 | 0.6310 | |||
Disclaimer/Publisher’s Note: The statements, opinions and data contained in all publications are solely those of the individual author(s) and contributor(s) and not of MDPI and/or the editor(s). MDPI and/or the editor(s) disclaim responsibility for any injury to people or property resulting from any ideas, methods, instructions or products referred to in the content. |
© 2026 by the authors. Licensee MDPI, Basel, Switzerland. This article is an open access article distributed under the terms and conditions of the Creative Commons Attribution (CC BY) license.
Share and Cite
Wang, X.; Liu, C. Analysis of the Impact of Platform Economy on Residents’ Consumption of Green Agricultural Products. Sustainability 2026, 18, 1363. https://doi.org/10.3390/su18031363
Wang X, Liu C. Analysis of the Impact of Platform Economy on Residents’ Consumption of Green Agricultural Products. Sustainability. 2026; 18(3):1363. https://doi.org/10.3390/su18031363
Chicago/Turabian StyleWang, Xinyao, and Chenyang Liu. 2026. "Analysis of the Impact of Platform Economy on Residents’ Consumption of Green Agricultural Products" Sustainability 18, no. 3: 1363. https://doi.org/10.3390/su18031363
APA StyleWang, X., & Liu, C. (2026). Analysis of the Impact of Platform Economy on Residents’ Consumption of Green Agricultural Products. Sustainability, 18(3), 1363. https://doi.org/10.3390/su18031363

