How Entrepreneurship Drives Digital Transformation: A Moderated Mediation Model Based on the Attention-Based View
Abstract
1. Introduction
2. Theoretical Analysis and Hypothesis Development
2.1. Core Theory: Attention-Based View of the Firm
2.2. Theoretical Integration and Research Framework
2.3. Hypothesis Development
2.3.1. Direct Effect: Entrepreneurship and Digital Transformation
2.3.2. Mediation Effect: Organizational Attention
2.3.3. Moderating Effect: Regional Innovation Atmosphere and Online Media Reports
3. Study Design
3.1. Data Sources
3.2. Variable Design and Measurement
3.2.1. Dependent Variable: Digital Transformation
3.2.2. Independent Variable: Entrepreneurship
3.2.3. Mediator Variable: Organizational Attention
3.2.4. Moderator Variables
3.2.5. Control Variables
3.3. Research Model
3.3.1. Baseline Model: Testing the Direct Effect
3.3.2. Mediation Models: Testing the Organizational Attention Pathways
3.3.3. Moderated Mediation Models: Testing the Boundary Conditions
4. Empirical Analysis
4.1. Descriptive Statistics
4.2. Baseline Regression
4.3. Addressing Endogeneity
4.3.1. Instrumental Variable Method
4.3.2. Heckman Two-Stage Method
4.4. Robustness Tests
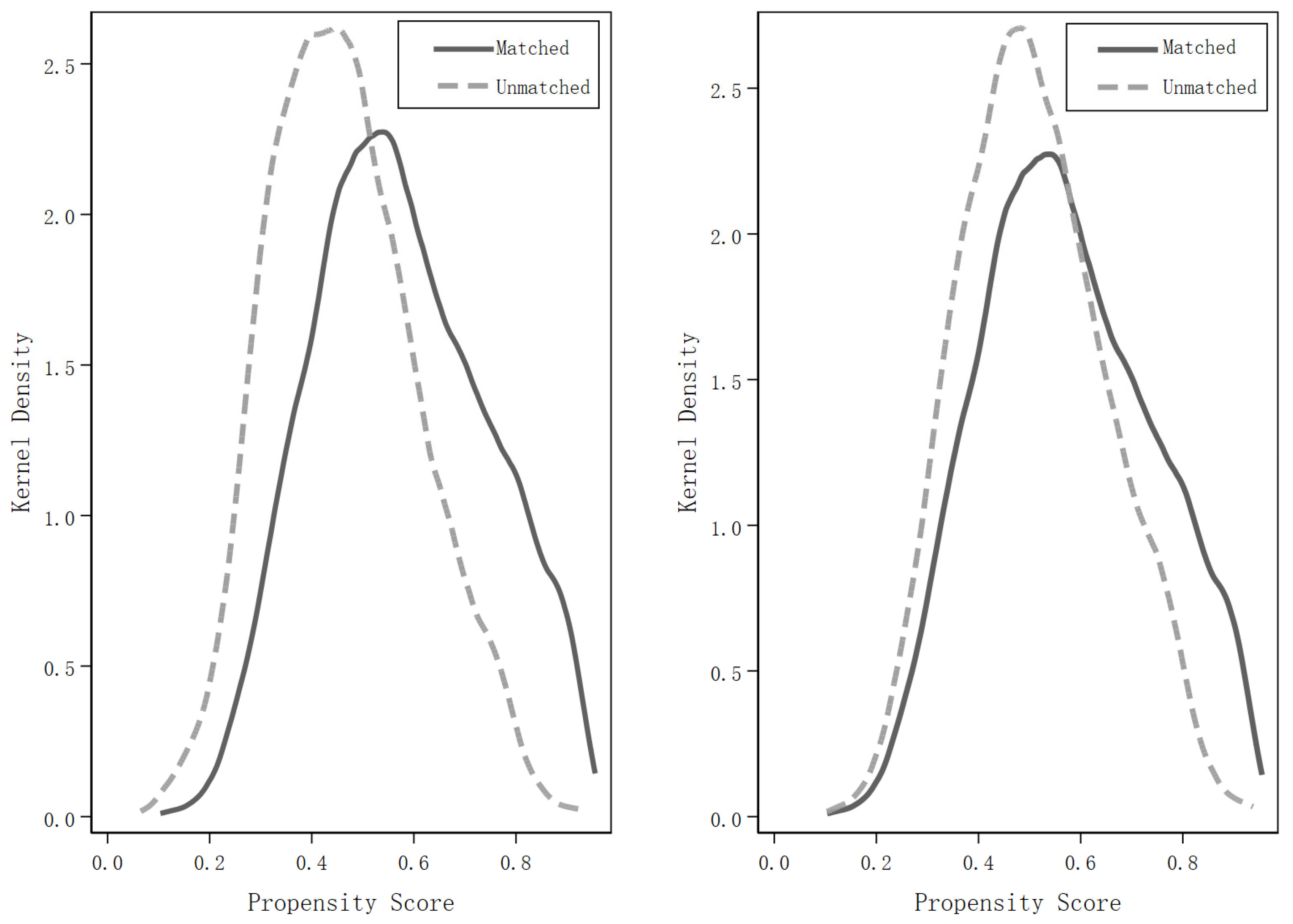
4.4.1. Propensity Score Matching
4.4.2. Replacement Dependent Variable
4.4.3. Altering the Sample Period
4.4.4. Excluding Specific Industry Samples
4.5. Tests for Mediating and Moderating Mechanisms
4.5.1. Mediation Mechanism Test
4.5.2. Moderation Mechanisms Test
5. Future Study
5.1. Analysis of Individual Sub-Dimensions of Entrepreneurship
5.2. Heterogeneity Analysis
5.2.1. Firm-Level Heterogeneity Analysis
5.2.2. Industry-Level Heterogeneity Analysis
6. Research Conclusions and Policy Recommendations
6.1. Research Conclusions
6.2. Policy Recommendations
6.2.1. Government Level
6.2.2. Corporate Level
6.3. Limitations and Future Research
Author Contributions
Funding
Institutional Review Board Statement
Informed Consent Statement
Data Availability Statement
Conflicts of Interest
References
- Plekhanov, D.; Franke, H.; Netland, T.H. Digital Transformation: A Review and Research Agenda. Eur. Manag. J. 2023, 41, 821–844. [Google Scholar] [CrossRef]
- Volberda, H.W.; Khanagha, S.; Baden-Fuller, C.; Mihalache, O.R.; Birkinshaw, J. Strategizing in a Digital World: Overcoming Cognitive Barriers, Reconfiguring Routines and Introducing New Organizational Forms. Long Range Plan. 2021, 54, 102110. [Google Scholar] [CrossRef]
- Huang, L.; Zhu, H.; Liu, W.; Dou, Y.F.; Wang, J.Z.; Cai, L.; Chen, Y.B.; Liao, X.W.; Wu, X.B.; Ye, Q.; et al. The Firm’s Digital Transformation and Management: Toward a Research Framework and Future Directions. Manag. Sci. China 2021, 24, 26–35. [Google Scholar] [CrossRef]
- Liu, Y.; Dong, J.; Jiao, H. Paradoxical Tensions, Executives’ Cognitive Frames, and Digital Transformation of Manufacturing Enterprises. Manag. World 2025, 41, 161–180. [Google Scholar] [CrossRef]
- Ellström, D.; Holtström, J.; Berg, E.; Josefsson, C. Dynamic Capabilities for Digital Transformation. JSMA 2022, 15, 272–286. [Google Scholar] [CrossRef]
- Warner, K.S.R.; Wäger, M. Building Dynamic Capabilities for Digital Transformation: An Ongoing Process of Strategic Renewal. Long Range Plan. 2019, 52, 326–349. [Google Scholar] [CrossRef]
- AlNuaimi, B.K.; Singh, S.K.; Ren, S.; Budhwar, P.; Vorobyev, D. Mastering Digital Transformation: The Nexus Between Leadership, Agility, and Digital Strategy. J. Bus. Res. 2022, 145, 636–648. [Google Scholar] [CrossRef]
- Ma, Y.; Liu, S. Entrepreneurs’ Spirit, Digital Transformation and Business Model Innovation. Econ. Probl. 2024, 11, 40–50. [Google Scholar] [CrossRef]
- Bu, M. Research on the Influence Mechanism of Entrepreneurship Empowering Sustainable Development. Financ. Econ. 2022, 9, 75–90. [Google Scholar]
- Kaplan, S. Framing Contests: Strategy Making Under Uncertainty. Organ. Sci. 2008, 19, 729–752. [Google Scholar] [CrossRef]
- Ocasio, W. Towards an Attention-Based View of the Firm. Strateg. Manag. J. 1997, 18, 187–206. Available online: https://www.jstor.org/stable/3088216 (accessed on 16 August 2025). [CrossRef]
- Cho, T.S.; Hambrick, D.C. Attention as the Mediator Between Top Management Team Characteristics and Strategic Change: The Case of Airline Deregulation. Organ. Sci. 2006, 17, 453–469. Available online: https://www.jstor.org/stable/25146049 (accessed on 16 August 2025). [CrossRef]
- Eggers, J.P.; Kaplan, S. Cognition and Renewal: Comparing CEO and Organizational Effects on Incumbent Adaptation to Technical Change. Organ. Sci. 2009, 20, 461–477. [Google Scholar] [CrossRef]
- Wang, R.; Zhang, G. Does Optimising the Business Environment Enhance Enterprise Resilience? The Role of Digital Innovation and Entrepreneurial Spirit. Humanit. Soc. Sci. Commun. 2025, 12, 469. [Google Scholar] [CrossRef]
- Ocasio, W. Attention to Attention. Organ. Sci. 2011, 22, 1286–1296. [Google Scholar] [CrossRef]
- Ocasio, W.; Laamanen, T.; Vaara, E. Communication and Attention Dynamics: An Attention-based View of Strategic Change. Strateg. Manag. J. 2018, 39, 155–167. [Google Scholar] [CrossRef]
- Joseph, J.; Laureiro-Martinez, D.; Nigam, A.; Ocasio, W.; Rerup, C. Research Frontiers on the Attention-Based View of the Firm. Strateg. Organ. 2024, 22, 6–17. [Google Scholar] [CrossRef]
- Bartel, C.A.; Rockmann, K. The Disease of Indifference: How Relational Systems Provide the Attentional Infrastructure for Organizational Resilience. Strateg. Organ. 2024, 22, 18–48. [Google Scholar] [CrossRef]
- Boynton, D. Temporal Attention, Knowledge Breadth, and Firm Growth. Strateg. Organ. 2024, 22, 91–117. [Google Scholar] [CrossRef]
- Chen, D.; Zhang, Q. Media Attention and Corporate Digital Transformation. Int. Rev. Econ. Financ. 2025, 102, 104288. [Google Scholar] [CrossRef]
- Zhao, D.; Sun, X.; Qian, Y.; Zhang, D. The Emergence of Organization Entrepreneurship in the Digital Age: Grounded Theory Analysis Based on Multiple Cases. Hum. Resour. Dev. China 2021, 38, 17. [Google Scholar] [CrossRef]
- Ocasio, W.; Joseph, J. An Attention-Based Theory of Strategy Formulation: Linking Micro- and Macro-perspectives in Strategy Processes. Adv. Strateg. Manag. 2005, 22, 39–61. [Google Scholar] [CrossRef]
- Neukam, M.; Muller, E.; Burger-Helmchen, T. Mapping Theoretical Perspectives for Requisite Resilience. Information 2025, 16, 854. [Google Scholar] [CrossRef]
- Schumpeter, J.A. The Theory of Economic Development: An Inquiry into Profits, Capital, Credit, Interest, and the Business Cycle; Harvard University Press: Cambridge, UK, 1934; ISBN 0-87855-698-2. [Google Scholar]
- Ramoglou, S.; Gartner, W.B.; Tsang, E.W.K. “Who Is an Entrepreneur?” Is (Still) the Wrong Question. J. Bus. Ventur. Insights 2020, 13, e00168. [Google Scholar] [CrossRef]
- Hayton, J.C.; Kelley, D.J. A Competency-Based Framework for Promoting Corporate Entrepreneurship. Hum. Resour. Manag. 2006, 45, 407–427. [Google Scholar] [CrossRef]
- Shao, K.; Wang, X. Do Government Subsidies Promote Enterprise Innovation?—Evidence from Chinese Listed Companies. J. Innov. Knowl. 2023, 8, 100436. [Google Scholar] [CrossRef]
- Alanudin, D. The Role of Digital Transformation and Entrepreneurial Orientation in Achieving Competitive Advantage in Industry 4.0: A Study of Digital Transformation on Non-Banking Organizations in Indonesia. J. Indones. Sos. Sains 2024, 5, 1609–1615. [Google Scholar] [CrossRef]
- Simsek, Z.; Heavey, C.; König, A.; Stam, W. Leading Digital Transformation in Incumbent Firms: A Strategic Entrepreneurship Framing. Strateg. Entrep. 2024, 18, 91–102. [Google Scholar] [CrossRef]
- Hess, T.; Matt, C.; Benlian, A.; Wiesböck, F. Options for Formulating a Digital Transformation Strategy. MIS Q. Exec. 2016, 15, 6. [Google Scholar] [CrossRef]
- Singh, A.; Hess, T. How Chief Digital Officers Promote the Digital Transformation of Their Companies. MIS Q. Exec. 2017, 16, 5. Available online: https://aisel.aisnet.org/misqe/vol16/iss1/5 (accessed on 24 August 2025).
- Alshammari, K.H. The Potential Impacts of Digital Transformation on Organizations. Amazon. Investig. 2023, 12, 9–18. [Google Scholar] [CrossRef]
- Koilakonda, R.R. Cross-Functional Collaboration in Digital Transformation: Best Practices and Case Studies. Eur. J. Adv. Eng. Technol. 2022, 9, 56–61. [Google Scholar] [CrossRef]
- Wang, Q.; Zhou, Y.; Zhao, X.; Zeng, Y. Collaborative Culture, Product Quality, and Firm Performance. Econ. Lett. 2025, 246, 112073. [Google Scholar] [CrossRef]
- Ren, L.; Cheng, Y. Sustainable Development of Traditional Business Culture: Merchant Guild Culture and Enterprise Innovation. Sustainability 2025, 17, 853. [Google Scholar] [CrossRef]
- Soluk, J.; Kammerlander, N. Digital Transformation in Family-Owned Mittelstand Firms: A Dynamic Capabilities Perspective. Eur. J. Inf. Syst. 2021, 30, 676–711. [Google Scholar] [CrossRef]
- Hanelt, A.; Bohnsack, R.; Marz, D.; Antunes Marante, C. A Systematic Review of the Literature on Digital Transformation: Insights and Implications for Strategy and Organizational Change. J. Manag. Stud. 2021, 58, 1159–1197. [Google Scholar] [CrossRef]
- Firk, S.; Gehrke, Y.; Hanelt, A.; Wolff, M. Top Management Team Characteristics and Digital Innovation: Exploring Digital Knowledge and TMT Interfaces. Long Range Plan. 2022, 55, 102166. [Google Scholar] [CrossRef]
- Chen, Q.; Dong, T.; Shi, P. How Executive Team Attention Allocation Affects Corporate AI Applications?—A Perspective of Integrated Temporal and Spatial Focus. Nankai Bus. Rev. 2025, 28, 1–25. Available online: https://link.cnki.net/urlid/12.1288.F.20250522.2115.004 (accessed on 17 August 2025).
- Ma, J.; Huang, Z.; He, X. How Does Family Business Strike a Balance between Long-Term Orientation and Short-Term Goal? Based on the Perspective of Allocation of Entrepreneurship. Nankai Bus. Rev. 2020, 23, 124–135. [Google Scholar] [CrossRef]
- Fang, Q.; Wen, C.; Xu, H. Long-Term Oriented Culture, Performance Pressure and Corporate Innovation: Evidence from China. PLoS ONE 2024, 19, e0302148. [Google Scholar] [CrossRef]
- Ma, Y. Entrepreneurs’ Spirit and Corporate Green Development: The Mediating Role of New-Quality Productivity. Sustainability 2024, 16, 7648. [Google Scholar] [CrossRef]
- Jacobides, M.G.; Cennamo, C.; Gawer, A. Towards a Theory of Ecosystems. Strateg. Manag. J. 2018, 39, 2255–2276. [Google Scholar] [CrossRef]
- Liang, Y.; Sun, X.; Yu, J.; Liu, J. Entrepreneurial Spirit, Digital Transformation, and Manufacturing Enterprise Value—The Moderating Role of Government Subsidies. Friends Account. 2024, 24, 98–105. [Google Scholar] [CrossRef]
- Asheim, B.T.; Coenen, L. Knowledge Bases and Regional Innovation Systems: Comparing Nordic Clusters. Res. Policy 2005, 34, 1173–1190. [Google Scholar] [CrossRef]
- Xiong, Y.; Zhang, Q. R&D Investment Incentives of New Energy Vehicles’ Non-Subsidized Policies in China—Difference Analysis Based on the Regional Innovation Atmosphere. RD Manag. 2022, 34, 81–94. [Google Scholar] [CrossRef]
- Wang, X.; Zou, H. Effect Mechanism of Industrial Policies on Innovation Performance of Wind Power Enterprises—Considering Time Lag and Regional Innovation Environment. RD Manag. 2018, 30, 33–45. [Google Scholar] [CrossRef]
- Mao, Y.H.; Kang, X.T.; Fang, Y. Research on the Impact of Innovation Climate and Knowledge Management on Innovation Performance. Stud. Sci. Sci. 2021, 39, 519–529. [Google Scholar] [CrossRef]
- Bresnahan, T.F.; Brynjolfsson, E.; Hitt, L.M. Information Technology, Workplace Organization and the Demand for Skilled Labor: Firm-Level Evidence. Q. J. Econ. 2002, 117, 339–376. [Google Scholar] [CrossRef]
- Wang, X.; Yang, H. Overconfidence of Executives, Media Attention, and Digital Transformation. Financ. Obs. 2025, 11, 21–25. [Google Scholar]
- Dyck, A.; Volchkova, N.; Zingales, L. The Corporate Governance Role of the Media: Evidence from Russia. J. Financ. 2008, 63, 1093–1135. [Google Scholar] [CrossRef]
- Zhong, X.; Chen, W.; Ren, G. The Impact of Corporate Social Irresponsibility on Emerging-Economy Firms’ Long-Term Performance: An Explanation Based on Signal Theory. J. Bus. Res. 2022, 144, 345–357. [Google Scholar] [CrossRef]
- Rong, D.; Wang, L.; Liu, L. Impact of Digital Transformation on Corporate Greenwashing in Different Media Environment. RD Manag. 2025, 37, 111–121. [Google Scholar] [CrossRef]
- Dai, L.; Shen, R.; Zhang, B. The Dark Side of News Coverage: Evidence from Corporate Innovation. SSRN 2015, 2564718. [Google Scholar]
- Zhang, S. China Listed Companies Entrepreneurial Spirit Database 2024. Available online: https://opendata.pku.edu.cn/dataset.xhtml?persistentId=doi:10.18170/DVN/BLEVGR (accessed on 28 June 2025).
- Tang, X.; Gao, X.; Zhao, T.; Ding, S. Executive Team Heterogeneity and Corporate Digital Transformation. China Soft Sci. 2022, 10, 83–98. [Google Scholar]
- Wu, F.; Hu, H.; Lin, H.; Ren, X. Enterprise Digital Transformation and Capital Market Performance: Empirical Evidence from Stock Liquidity. Manag. World 2021, 37, 130–144. [Google Scholar] [CrossRef]
- Yu, Y.; Xu, N.; Wen, X. Research on the Impact of Entrepreneurial Orientation on Digital Transformation of Enterprises. Sci. Res. Manag. 2024, 45, 81–91. [Google Scholar] [CrossRef]
- Wang, L.; Liu, Q.; Xu, S. How Does Entrepreneurship Lead Digital Transformation of SMEs? Res. Econ. Manag. 2025, 46, 24–43. [Google Scholar] [CrossRef]
- Liu, J.J.; Wang, W. Research on Managerial Attention: A State of the Art Review. J. Zhejiang Univ. 2014, 44, 78–87. [Google Scholar] [CrossRef]
- Wang, L.; Zhang, H.; Qi, Y. Collaborative Culture and Dynamic Adjustment of Corporate Tax Burden. J. World Econ. 2024, 47, 150–182. [Google Scholar] [CrossRef]
- Hu, N.; Xue, F.; Wang, H. Does Managerial Myopia Affect Long-Term Investment? Based on Text Analysis and Machine Learning. Manag. World 2021, 37, 39–156. [Google Scholar] [CrossRef]
- Liu, T.; Leng, J.; Zhu, S.; Fu, R. Digital Transformation and Enterprise Innovation Capability: From the Perspectives of Enterprise Cooperative Culture and Innovative Culture. JTAER 2025, 20, 136. [Google Scholar] [CrossRef]
- Wu, Y.; Zhang, Y. Digital Economic and Regional Innovation: From the Perspective of Financing and Intellectual Property Protection. South China J. Econ. 2021, 9, 36–51. [Google Scholar] [CrossRef]
- Kong, D.; Wang, Y.; Zhang, J. Efficiency Wages as Gift Exchange: Evidence from Corporate Innovation in China. J. Corp. Financ. 2020, 65, 101725. [Google Scholar] [CrossRef]
- Wang, F.; Wang, Y.; Liu, S. Research on the Influence of Online Media Reports on Earnings Management Based on the Perspective on Abnormal Investor Attention. Nankai Bus. Rev. 2021, 24, 116–129. [Google Scholar] [CrossRef]
- Wu, X.; Zheng, G. Does Media Coverage Supervise Large Shareholders’ Illegal Reduction? Foreign Econ. Manag. 2021, 43, 86–103. [Google Scholar] [CrossRef]
- Duan, H.; Yang, X.; Dong, F. Digital Transformation, Financing Constraints, and Corporate Innovation. Stat. Decis. 2023, 39, 164–168. [Google Scholar] [CrossRef]
- Xiao, T.; Sun, R.; Yuan, C.; Sun, J. Digital Transformation, Human Capital Structure Adjustment and Labor Income Share. Manag. World 2022, 38, 220–237. [Google Scholar] [CrossRef]
- Sun, Z.; Liu, K.; Feng, J.; Lu, R. How to Realize Digital Competitive Advantage: The Synergistic Logic of Digital Investment and Specialized Investment for SRDI Enterprises. China Ind. Econ. 2025, 4, 156–173. [Google Scholar] [CrossRef]
- Chen, Y.; He, X.; Xu, S. Family Control and Corporate Digital Transformation. Manag. J. 2023, 45, 99–115. [Google Scholar] [CrossRef]
- Zhang, Y.; Li, X.; Xing, M. Enterprise Digital Transformation and Audit Pricing. Audit. Res. 2021, 3, 62–71. [Google Scholar] [CrossRef]
- Martell, J.E.V. Strategic Foresight and Its Contribution to Improving Corporate Social Responsibility Practices: A Systematic Review. Ceniiac 2025, 1, e0007. [Google Scholar] [CrossRef]
- Yue, L.Q.; Zheng, J.; Mao, K. Firms’ Rhetorical Nationalism: Theory, Measurement, and Evidence from a Computational Analysis of Chinese Public Firms. Manag. Organ. Rev. 2024, 20, 161–203. [Google Scholar] [CrossRef]
- Liu, F.; Zhang, Z.; Zhang, J.; Guo, F. Nationalism and Corporate Innovation Performance. Int. Rev. Econ. Financ. 2025, 102, 104285. [Google Scholar] [CrossRef]
- Xie, S.X.; Fan, P.F.; Guo, L.J. Influence and Heterogeneity of Internet on the Firm Survival Risk. J. Quant. Tech. Econ. 2021, 38, 140–159. [Google Scholar] [CrossRef]
- Li, H.; Wang, A. How the Universal Tax Administration Institution Affects the Inter-regional Flow of Capital. J. Quant. Tech. Econ. 2025, 42, 157–178. [Google Scholar] [CrossRef]
- Zhu, X.; Wang, Y. Digital Infrastructure, Industrial Chain Competition, and Digital Transformation of Enterprises. Res. Econ. Manag. 2023, 44, 55–73. [Google Scholar] [CrossRef]
- Liu, Q.; Huang, R.; Xiao, B. China’s Ultra-large-scale Market Advantage and Firm Innovation Strategy: Evidence from Export-derived Demand. J. Quant. Tech. Econ. 2025, 42, 48–70. [Google Scholar]
- Tsui, A.S. Contributing to Global Management Knowledge: A Case for High Quality Indigenous Research. Asia Pac. J. Manag. 2004, 21, 491–513. [Google Scholar] [CrossRef]


| Evolutionary Stage | Core Focus | Core Conceptualization | Key Theoretical Advancements |
|---|---|---|---|
| Foundational Stage Ocasio (1997) [11] | Firm as an attention allocation system | A scarce resource governed by structure. | The three principles of ABV were proposed, establishing attention as the core variable for explaining firm behavior. |
| Application Stage Ocasio & Joseph (2005) [22] | Strategy process as attention flow in channels | A resource flowing within networks of operational and governance channels. | ABV was applied to strategic processes, and dynamic structural concepts like “channel networks” and “coupling” were introduced. |
| Integration Stage Ocasio (2011) [15] | The multifaceted analysis of the attention concept | A three-dimensional construct: Perspective, Engagement, Selection. | A clear framework for measuring and studying different qualities of attention, linking micro-cognition and macro-structure, was provided. |
| Dynamic Stage Ocasio et al. (2018) [16] | Communication as the process of shaping attention | An actively constructed process through communicative practices, not merely an allocated outcome. | The focus shifted from static “structure” to dynamic “practice”, explaining the attentional roots of radical strategic change. |
| Theory | RBV | DCT | ABV |
|---|---|---|---|
| Core Focus | Competitive advantage stems from resource attributes. | Sustained advantage stems from dynamic capabilities. | Organizational behavior depends on attention allocation—what issues decision-makers focus on or ignore—shaping the strategic agenda and actions. |
| Core Mechanism of Adaptation and Change | Resource accumulation and deployment: acquiring and configuring unique resources to build barriers. | Capability iteration and recombination: achieving renewal through the "sense-seize-transform" learning and reconfiguration process. | Attention reconfiguration: guiding organizational cognitive and behavioral focus by changing communication channels, strategic discourse, and agenda-setting. |
| Core Explanation for Digital Transformation | Whether transformation is possible depends on possessing key digital resources. | How to sustain transformation relies on dynamic capabilities to continually adjust digital strategy and integrate old and new systems. | The reason why transformation is initiated and how it is directed: attention is directed to digital issues and long-term opportunities; differences in transformation paths stem from variations in attention structures. |
| Primary Indicator | Weight | Secondary Indicator | Evaluation Content |
|---|---|---|---|
| Patriotism | 20.00% | Tax Contribution (10.00%) | Absolute Value of Total Tax Paid (10.00%) |
| Common Prosperity (10.00%) | Labor Income Share (10.00%) | ||
| Innovation | 30.00% | Innovation Potential (10.00%) | Entrepreneur’s Education Level (10.00%) |
| Innovation Investment (10.00%) | R&D Expenditure (5.00%) | ||
| R&D Human Resources Input (5.00%) | |||
| Innovation Performance (10.00%) | Patent Output per Capita (10.00%) | ||
| Integrity | 25.00% | Integrity (12.50%) | Information Disclosure Distortion (12.50%) |
| Law-Abiding (12.50%) | Legal Violations (12.50%) | ||
| Social Responsibility | 15.00% | Social Donation (7.50%) | Contribution Value (7.50%) |
| Employment Stability (7.50%) | Number of New Employees Added (7.50%) | ||
| Global vision | 10.00% | Global Depth (5.00%) | Ratio of Overseas Sales to Total Sales (5.00%) |
| Global Breadth (5.00%) | Number of Overseas Subsidiary Locations (5.00%) |
| Type | Variable | Symbol | Definition | Measurement |
|---|---|---|---|---|
| Dependent Variable | Digital Transformation | Degree of digital transformation | (Annual Report Digitalization Keyword Frequency + 1) | |
| Independent Variable | Entrepreneurship | Ent | Corporate entrepreneurship | Total Score of five dimensions |
| Mediator Variables | Cooperation Orientation | The frequency keys words of cooperation culture, add 1, and then take the natural logarithm | Ln (Annual Report Cooperation Culture Keyword Frequency + 1) | |
| Future Orientation | The frequency keys words of Future matters, add 1, and then take the natural logarithm | Ln (Annual Report Future-Related Disclosure Keyword Frequency + 1) | ||
| Moderator Variables | Regional Innovation Atmosphere | The total number Patents of Province applied for, and take the natural logarithm | Ln (Provincial Annual Number of Patent Applications) | |
| Online Media Reports | The total number of Online Media Reports, add 1, and then take the natural logarithm | Ln (Annual Total Number of Online Media Reports + 1) | ||
| Control Variables | Enterprise age | listage | Difference between the sample observation year and the firm’s establishment year | Observation Year − Establishment Year |
| Sales Growth | Growth | The ratio of the sales revenue growth | (Current year Sales revenue/Prior year sales revenue) − 1 | |
| Current Ratio | Current ratio | Current assets divided by current liabilities | Current Assets/Current Liabilities | |
| Debt-to-Asset Ratio | Leverage | The ratio of liability to total assets | Total Liabilities/Total Assets | |
| Return on Assets | Roa | The value that net income divided by total assets | Net Income/Total Assets | |
| Enterprise Size | The natural logarithm of total assets | ln (Total Assets) | ||
| Proportion of Directors’ Shareholding | Bshare | Total shareholding percentage of all directors. | Total Shares Held by All Directors/Total Outstanding Shares | |
| Board size | Board | The total number of board members | The Total Number of Board Members | |
| Proportion of independent directors | Idirector | Proportion of independent directors on the board | Number of Independent Directors/The total number of board members | |
| Ownership Concentration | Top10 | Shareholding ratio of the top ten shareholders | (∑(Shares held by top 10 shareholders)/Total outstanding shares | |
| CEO Duality | Duality | Duality of CEO and Chairman roles | Equals 1 if CEO and Chairman are the same person, otherwise 0 | |
| State-Owned | Soe | Nature of the firm | Equals 1 if the firm is state-owned, otherwise 0 |
| Variables | Observations | Mean | Standard Deviation | Median | Minimum | Maximum |
|---|---|---|---|---|---|---|
| 19,062 | 1.94 | 1.53 | 1.79 | 0.00 | 6.40 | |
| 19,062 | 44.92 | 6.26 | 45.07 | 14.40 | 71.59 | |
| 19,062 | 5.36 | 0.41 | 5.41 | 0.00 | 6.65 | |
| 19,062 | 3.77 | 0.54 | 3.81 | 0.00 | 6.85 | |
| 19,062 | 4.95 | 0.98 | 4.84 | 0.00 | 10.21 | |
| 19,062 | 12.17 | 1.14 | 12.26 | 4.87 | 13.75 | |
| listage | 19,062 | 19.95 | 5.90 | 20.00 | 8.00 | 37.00 |
| Growth | 19,062 | 13.27 | 29.21 | 9.52 | −48.12 | 140.76 |
| Current ratio | 19,062 | 2.43 | 2.19 | 1.72 | 0.37 | 14.16 |
| Leverage | 19,062 | 0.41 | 0.19 | 0.41 | 0.06 | 0.87 |
| Roa | 19,062 | 3.34 | 6.53 | 3.58 | −25.91 | 19.90 |
| Bshare | 19,062 | 0.13 | 0.18 | 0.01 | 0.00 | 0.94 |
| Board | 19,062 | 9.85 | 2.87 | 9.00 | 0.00 | 29.00 |
| Idirector | 19,062 | 0.39 | 0.10 | 0.38 | 0.00 | 1.00 |
| Top10 | 19,062 | 0.56 | 0.15 | 0.57 | 0.04 | 1.00 |
| Duality | 19,062 | 0.30 | 0.46 | 0.00 | 0.00 | 1.00 |
| Soe | 19,062 | 0.31 | 0.46 | 0.00 | 0.00 | 1.00 |
| 19,062 | 22.32 | 1.24 | 22.14 | 20.09 | 26.09 |
| Variables | (1) | (2) | (3) | (4) |
|---|---|---|---|---|
| 0.0516 *** | 0.0460 *** | 0.0222 *** | 0.0202 *** | |
| (0.003) | (0.004) | (0.003) | (0.003) | |
| Constant | −0.8544 * | 0.2139 | −1.8866 *** | −1.7691 *** |
| (0.489) | (0.501) | (0.387) | (0.384) | |
| Observations | 19,062 | 19,062 | 19,060 | 19,060 |
| Controls | YES | YES | YES | YES |
| Year | NO | YES | YES | YES |
| Industry | NO | NO | YES | YES |
| province | NO | NO | NO | YES |
| F | 45.24 | 24.85 | 17.25 | 15.80 |
| Adj R2 | 0.0914 | 0.131 | 0.492 | 0.498 |
| Variables | The First Stage | The Second Stage |
|---|---|---|
| IV (mean_Ent) | 0.1669 *** (0.026) | |
| 0.1558 ** (0.042) | ||
| Constant | −17.5771 *** (1.995) | |
| Observations | 18,184 | 18,184 |
| Controls | YES | YES |
| Year | YES | YES |
| Industry | YES | YES |
| province | YES | YES |
| Adj R2 | 0.397 | −0.300 |
| Kleibergen–Paap rk LM | 43.965 *** | |
| Kleibergen–Paap Wald rk F | 42.157 |
| Variables | The First Stage | The Second Stage | The First Stage | The Second Stage |
|---|---|---|---|---|
| 0.5489 *** (0.011) | 0.0405 *** (0.005) | |||
| 0.4384 *** (0.013) | 0.0470 *** (0.008) | |||
| Constant | −3.5997 *** (0.900) | −4.1857 *** (1.201) | ||
| Observations | 14, 359 | 14, 359 | 11, 839 | 11, 839 |
| Controls | YES | YES | YES | YES |
| Year | YES | YES | YES | YES |
| Industry | YES | YES | YES | YES |
| province | YES | YES | YES | YES |
| Adj R2 | 0.588 | 0.0206 | 0.513 | 0.0124 |
| Kleibergen–Paap rk LM | 658.098 *** | 446.385 *** | ||
| Kleibergen–PaapWald rk F | 2698.455 | 1140.902 | ||
| Variables | The First Stage | The Second Stage |
|---|---|---|
| Treat_Ent | ||
| IV (mean_Ent_ind) | −0.2225 *** | |
| (0.0125) | ||
| 0.0336 *** | ||
| Ent | (0.0058) | |
| Imr | −0.0995 | |
| (0.0966) | ||
| Observations | 19,040 | 9901 |
| Constant | −7.3279 (1.3678) | −1.0999 (0.8760) |
| Controls | YES | YES |
| Year | YES | YES |
| Industry | YES | YES |
| province | YES | YES |
| Wald chi2 | 1266.21 *** | |
| Adj R2 | 0.5033 |
| Variables | Unmatched Matched | Mean | %Reduct | t-Test | V(T)/V(C) | |||
|---|---|---|---|---|---|---|---|---|
| Treated Control | %Bias | |Bias| | t | p > |t| | ||||
| listage | U | 20.163 | 19.729 | 7.4 | 5.08 | 0.000 | 1.01 | |
| M | 20.162 | 20.001 | 2.7 | 62.9 | 1.93 | 0.053 | 1.04 | |
| Growth | U | 14.867 | 11.552 | 11.4 | 7.84 | 0.000 | 0.95 * | |
| M | 14.804 | 15.315 | −1.8 | 84.6 | −1.21 | 0.228 | 0.87 * | |
| Current ratio | U | 2.3166 | 2.5478 | −10.6 | −7.30 | 0.000 | 0.77 * | |
| M | 2.3160 | 2.2967 | 0.9 | 91.6 | 0.63 | 0.526 | 0.84 * | |
| Leverage | U | 0.4266 | 0.3991 | 14.4 | 9.95 | 0.000 | 0.93 * | |
| M | 0.4267 | 0.4278 | −0.6 | 95.9 | −0.42 | 0.678 | 0.92 * | |
| Roa | U | 3.9900 | 2.6382 | 20.7 | 14.35 | 0.000 | 0.74 * | |
| M | 3.9738 | 3.9969 | −0.5 | 98.3 | −0.27 | 0.785 | 1.02 | |
| Bshare | U | 0.1168 | 0.1426 | −14.3 | −9.86 | 0.000 | 0.84 * | |
| M | 0.1169 | 0.1178 | −0.5 | 96.6 | −0.35 | 0.727 | 0.95 * | |
| Board | U | 9.9903 | 9.6912 | 10.4 | 7.20 | 0.000 | 1.02 | |
| M | 9.9902 | 10.023 | −1.1 | 89.1 | −0.78 | 0.436 | 0.92 * | |
| Idirector | U | 0.3884 | 0.3876 | 0.8 | 0.57 | 0.570 | 0.94 * | |
| M | 0.3860 | 0.3807 | 0.8 | 0.1 | 0.58 | 0.564 | 0.94 * | |
| Top10 | U | 0.5702 | 0.5549 | 10.0 | 6.92 | 0.000 | 1.08 * | |
| M | 0.5700 | 0.5738 | −2.5 | 74.9 | −1.72 | 0.086 | 0.94 * | |
| Duality | U | 0.2871 | 0.3117 | −5.4 | −3.71 | 0.000 | ||
| M | 0.2873 | 0.2801 | 1.6 | 70.9 | 1.12 | 0.263 | ||
| Soe | U | 0.3476 | 0.2655 | 17.9 | 12.30 | 0.000 | ||
| M | 0.3471 | 0.3540 | −1.5 | 91.6 | −1.01 | 0.311 | ||
| lnSize | U | 22.693 | 21.925 | 65.1 | 44.70 | 0.000 | 1.62 * | |
| M | 22.688 | 22.689 | −0.0 | 99.9 | −0.02 | 0.982 | 0.96 | |
| Variables | (1) | (2) |
|---|---|---|
| lnDig 1 | lnDig 2 | |
| 0.0188 *** (0.002) | 0.0272 *** (0.004 | |
| Constant | −1.0635 *** (0.348) | −7.3927 *** (0.535) |
| Observations | 19,060 | 15,737 |
| Controls | YES | YES |
| Year | YES | YES |
| Industry | YES | YES |
| province | YES | YES |
| F | 13.29 | 216.7 |
| Adjusted R2 | 0.486 | 0.471 |
| Variables | (1) | (2) |
|---|---|---|
| lnDig | ||
| 0.0209 *** | 0.0179 *** | |
| (0.004) | (0.003) | |
| Constant | −2.1096 *** | −2.2599 *** |
| Observations | (0.467) | (0.408) |
| Controls | 10,217 | 14,181 |
| Year | YES | YES |
| Industry | YES | YES |
| province | YES | YES |
| Constant | YES | YES |
| F | 11.09 | 13.11 |
| Adj R-squared | 0.501 | 0.339 |
| Variables | (1) | (2) | (3) | (4) |
|---|---|---|---|---|
| 0.0054 *** (0.001) | 0.0170 *** (0.003) | 0.0019 *** (0.001) | 0.0194 *** (0.003) | |
| 0.6010 *** (0.037) | ||||
| 0.4579 *** (0.057) | ||||
| Constant | 1.6393 *** (0.158) | −2.7543 *** (0.376) | 3.8756 *** (0.094) | −3.5438 *** (0.431) |
| Observations | 19,060 | 19,060 | 19,060 | 19,060 |
| Controls | YES | YES | YES | YES |
| Year | YES | YES | YES | YES |
| Industry | YES | YES | YES | YES |
| province | YES | YES | YES | YES |
| F | 30.42 | 34.30 | 42.69 | 20.00 |
| Adjusted R2 | 0.389 | 0.526 | 0.634 | 0.504 |
| Mediating Variables | Coefficient Estimate | Result | ||||
|---|---|---|---|---|---|---|
| Total Effect (c) | First-Stage Path (a) | Second-Stage Path (b) | Direct Effect (c′) | Indirect Effect (a × b) | ||
| 0.038 *** (0.003) | 0.006 *** (0.001) | 0.701 *** (0.049) | 0.034 *** (0.003) | 0.004 *** (0.001) | Partial Mediation Effect | |
| 0.038 *** (0.003) | 0.003 *** (0.001) | 0.580 *** (0.069) | 0.036 *** (0.003) | 0.002 *** (0.001) | ||
| Variables | (1) | Variables | (2) |
|---|---|---|---|
| −0.3605 (0.248) | 0.7402 *** (0.166) | ||
| −0.2454 ** (0.098) | 0.4795 *** (0.166) | ||
| c. # c. | 0.0802 *** (0.021) | c.# c. | −0.0636 ** (0.031) |
| Constant | 0.1967 (1.229) | Constant | −4.5875 *** (0.980) |
| Observations | 19,060 | Observations | 19,060 |
| Controls | YES | Controls | YES |
| Year | YES | Year | YES |
| Industry | YES | Industry | YES |
| province | YES | province | YES |
| F | 30.96 | F | 21.08 |
| Adjusted R2 | 0.527 | Adjusted R2 | 0.508 |
| Sample | Ps R2 | LR chi2 | p > |t| | MeanBias | MedBias | B | p | %Var |
|---|---|---|---|---|---|---|---|---|
| Unmatched | 0.086 | 2260.87 | 0.000 | 15.7 | 11.0 | 70.6 * | 1.52 | 80 |
| Matched | 0.000 | 11.15 | 0.516 | 1.2 | 1.0 | 4.7 | 0.93 | 70 |
| Variables | (1) | (2) | (3) |
|---|---|---|---|
| Baseline Regression Analysis | PSM | ATT | |
| 0.0202 *** (0.0027) | |||
| High- | 0.1264 *** (0.0327) | 0.2661 *** (0.0341) | |
| Constant | −1.7688 *** (0.384) | −1.2285 * (0.4959) | |
| Observations | 19,060 | 14,600 | 19,062 |
| Controls | YES | YES | YES |
| Year | YES | YES | YES |
| Industry | YES | YES | YES |
| province | YES | YES | YES |
| F | 15.8 | 8.56 | |
| Adj R-squared | 0.498 | 0.495 |
| Variables | (1) | (2) | (3) | (4) | (5) |
|---|---|---|---|---|---|
| Patriotism | 0.0089 *** (0.002) | ||||
| Innovation | 0.0150 *** (0.002) | ||||
| Integrity | 0.0005 (0.001) | ||||
| Global vision | −0.0014 (0.001) | ||||
| Social responsibility | 0.0026 ** (0.001) | ||||
| Constant | −1.3354 *** (0.414) | −2.1329 *** (0.381) | −1.9832 *** (0.386) | −2.0131 *** (0.387) | −1.8407 *** (0.389) |
| Observations | 19,060 | 19,060 | 19,060 | 19,060 | 19,060 |
| Controls | YES | YES | YES | YES | YES |
| Year | YES | YES | YES | YES | YES |
| Industry | YES | YES | YES | YES | YES |
| province | YES | YES | YES | YES | YES |
| F | 12.82 | 18.12 | 10.74 | 10.74 | 11.09 |
| Adjusted R2 | 0.495 | 0.504 | 0.494 | 0.494 | 0.494 |
| Variables | (1) Large Firm | (2) SMEs |
|---|---|---|
| 0.0198 *** (0.003) | 0.0313 *** (0.004) | |
| Constant | 1.0860 *** (0.234) | 0.5812 ** (0.254) |
| Observations | 9546 | 9505 |
| Controls | YES | YES |
| Year | YES | YES |
| Industry | YES | YES |
| province | YES | YES |
| F | 5.778 | 8.006 |
| Adjusted R2 | 0.482 | 0.515 |
| Variables | (1) Non-SOEs | (2) Central SOEs | (3) Local SOEs |
|---|---|---|---|
| 0.0215 *** (0.003) | 0.0225 ** (0.009) | 0.0120 ** (0.005) | |
| Constant | −1.8767 *** (0.499) | −2.3971 ** (1.060) | −2.5429 *** (0.788) |
| Observations | 13,185 | 2411 | 3457 |
| Controls | YES | YES | YES |
| Year | YES | YES | YES |
| Industry | YES | YES | YES |
| province | YES | YES | YES |
| F | 12.68 | 3.137 | 5.192 |
| Adjusted R2 | 0.500 | 0.544 | 0.495 |
| Variables | (1) Eastern | (2) Central | (3) Western | (4) Northeastern |
|---|---|---|---|---|
| 0.0209 *** (0.003) | 0.0144 ** (0.007) | 0.0217 *** (0.006) | 0.0217 * (0.012) | |
| Constant | −2.0440 *** (0.470) | −1.6827 * (0.973) | −0.5128 (1.143) | −2.9972 (2.327) |
| Observations | 13,495 | 2729 | 2133 | 693 |
| Controls | YES | YES | YES | YES |
| Year | YES | YES | YES | YES |
| Industry | YES | YES | YES | YES |
| province | YES | YES | YES | YES |
| F | 12.30 | 2.787 | 2.384 | 3.448 |
| Adjusted R2 | 0.493 | 0.505 | 0.541 | 0.530 |
| Variables | (1) High-Technology-Intensive | (2) Low-Technology-Intensive |
|---|---|---|
| 0.0208 *** (0.004) | 0.0141 *** (0.003) | |
| Constant | −0.9856 * (0.511) | −2.5818 *** (0.495) |
| Observations | 9590 | 9461 |
| Controls | YES | YES |
| Year | YES | YES |
| Industry | YES | YES |
| province | YES | YES |
| F | 8.437 | 9.673 |
| Adjusted R2 | 0.507 | 0.521 |
| Variables | (1) High-Competition | (2) Low-Competition |
|---|---|---|
| 0.0205 *** (0.004) | 0.0194 *** (0.004) | |
| Constant | −1.4829 *** (0.612) | −1.9948 (0.484) |
| Observations | 9396 | 9664 |
| Controls | YES | YES |
| Year | YES | YES |
| Industry | YES | YES |
| province | YES | YES |
| F | 8.224 | 9.498 |
| Adjusted R2 | 0.555 | 0.395 |
Disclaimer/Publisher’s Note: The statements, opinions and data contained in all publications are solely those of the individual author(s) and contributor(s) and not of MDPI and/or the editor(s). MDPI and/or the editor(s) disclaim responsibility for any injury to people or property resulting from any ideas, methods, instructions or products referred to in the content. |
© 2026 by the authors. Licensee MDPI, Basel, Switzerland. This article is an open access article distributed under the terms and conditions of the Creative Commons Attribution (CC BY) license.
Share and Cite
Wang, J.; Huang, X. How Entrepreneurship Drives Digital Transformation: A Moderated Mediation Model Based on the Attention-Based View. Sustainability 2026, 18, 1318. https://doi.org/10.3390/su18031318
Wang J, Huang X. How Entrepreneurship Drives Digital Transformation: A Moderated Mediation Model Based on the Attention-Based View. Sustainability. 2026; 18(3):1318. https://doi.org/10.3390/su18031318
Chicago/Turabian StyleWang, Jingni, and Xu Huang. 2026. "How Entrepreneurship Drives Digital Transformation: A Moderated Mediation Model Based on the Attention-Based View" Sustainability 18, no. 3: 1318. https://doi.org/10.3390/su18031318
APA StyleWang, J., & Huang, X. (2026). How Entrepreneurship Drives Digital Transformation: A Moderated Mediation Model Based on the Attention-Based View. Sustainability, 18(3), 1318. https://doi.org/10.3390/su18031318

