Next Article in Journal
Model for Predicting the Rockburst Intensity Grade in Gently Dipping Rock Strata via MIPSO-RF
Previous Article in Journal
The Concept of Multifunctional Social Spaces as a High-Quality Intergenerational Premise: Sustainable Environmental Education Impetus
 
 
Font Type:
Arial Georgia Verdana
Font Size:
Aa Aa Aa
Line Spacing:
Column Width:
Background:
Article

Contract Design for Coordinating Fresh Produce E-Commerce Supply Chains Under Information Asymmetry

School of Business, Jiangnan University, Wuxi 214122, China
*
Author to whom correspondence should be addressed.
Sustainability 2026, 18(2), 808; https://doi.org/10.3390/su18020808
Submission received: 9 December 2025 / Revised: 3 January 2026 / Accepted: 8 January 2026 / Published: 13 January 2026
(This article belongs to the Section Economic and Business Aspects of Sustainability)

Abstract

Information asymmetry regarding freshness has become a critical issue in the fresh produce supply chain. This study focuses on a fresh produce e-commerce supply chain comprising suppliers, third-party logistics (TPL) providers, and e-commerce platforms. Considering consumer preferences for freshness, it employs a Stackelberg game model to examine the impact of TPL exaggerating freshness preservation efforts on the supply chain. Subsequently, contract design is employed to achieve supply chain coordination. Findings indicate that when TPL misrepresents preservation effort information, profits decline across all supply chain members. A cost-sharing-profit-sharing contract facilitates redistribution of costs and benefits between upstream and downstream entities, thereby increasing preservation effort levels. Although preservation costs increase under this arrangement, contractual terms ultimately enhance profits for all supply chain members. This study incorporates freshness preferences to enhance model realism, providing theoretical foundations for decision-making under information asymmetry regarding freshness preservation efforts. It holds significant practical value for fostering collaboration among members in fresh produce e-commerce supply chains and promoting sustainable supply chain development.

1. Introduction

With the rapid growth of e-commerce platforms and the widespread adoption of online consumption patterns, online sales channels for fresh agricultural products have experienced significant growth. Compared to traditional offline purchasing, buying fresh produce online has gradually gained consumer acceptance due to its convenience, diverse product selection, and transparent pricing, becoming an increasingly important part of many people’s lifestyles. According to the 2024 Annual Report on China’s Fresh E-commerce Market by NetEase Research Institute, in 2024, the transaction volume of China’s fresh e-commerce market reached 736.79 billion yuan, marking a year-on-year increase of 14.67%. As a result, how to pursue efficient, stable, and sustainable development in the fresh produce e-commerce supply chain has become a topic of growing concern for more and more e-commerce platforms.
Fresh produce e-commerce platforms consolidate supply chain resources to provide consumers with convenient and efficient shopping experiences, driving continuous market expansion. However, fresh produce is perishable and fragile, with freshness being the core factor determining consumer purchasing intent and product value. This renders the preservation effectiveness of the logistics process critical to overall supply chain performance. Compared to general merchandise, fresh agricultural products demand higher preservation standards during transportation and storage.
To enhance delivery efficiency, fresh produce e-commerce platforms often outsource transportation to specialized TPL [1]. Against this backdrop, the supply chain system comprising fresh produce suppliers, TPL, and fresh produce e-commerce platforms significantly influences end-user service quality and member profitability through its internal collaboration efficiency and information transparency. However, in actual operations, as each supply chain entity acts as an independent, rational decision-maker pursuing self-interest maximization, conflicts frequently arise between systemic objectives and individual goals. Specifically, TPL responsible for transportation and preservation services, may exploit their information advantage by exaggerating preservation efforts to reduce costs, thereby creating information asymmetry within the supply chain [2]. This opportunistic behavior not only distorts pricing and procurement decisions made by upstream and downstream enterprises based on inaccurate information, leading to systemic biases in market demand forecasting, but also erodes consumer trust and diminishes the overall competitiveness of the supply chain. Similarly, this also undermines the sustainable development of the fresh food e-commerce supply chain. Therefore, this paper develops a Stackelberg game model for the three-tier supply chain involving fresh produce suppliers, TPLs, and fresh produce e-commerce platforms. It analyzes supply chain decisions under different scenarios, focusing on exploring coordination challenges within the supply chain under conditions of information asymmetry.
Based on the Stackelberg game approach, this paper aims to investigate the following issues:
  • What constitutes optimal decision-making under centralized decision-making, decentralized decision-making, and decentralized decision-making with information asymmetry within a three-party fresh produce supply chain?
  • How do optimal solutions compare across different decision-making models?
  • How can a contract be designed to coordinate decisions during information asymmetry, thereby mitigating its adverse effects on the supply chain and ultimately enhancing supply chain sustainability?
To address these challenges, this study adopts a Stackelberg game framework to compare optimal solutions under centralized decision-making scenarios, extracting managerial implications through comparative analysis of outcomes across varying conditions, revealing that centralized decision-making is the superior decision-making scenario. Subsequently, in the contract design section, it is discovered that traditional cost-sharing contracts are difficult to achieve supply chain coordination. Therefore, a new type of cost-sharing and profit-sharing contract is designed to mitigate the profit losses caused by information asymmetry, thereby achieving a Pareto improvement in supply chain coordination.
The remainder of the study is organized as follows: Section 2 reviews the relevant literature and identifies key research gaps; Section 3 specifies modeling assumptions and derives solutions; Section 4 compares and analyzes models while solving them; Section 5 conducts contract design; Section 6 validates the preceding conclusions and the rationality of the designed contracts through numerical simulations; finally, Section 7 summarizes key findings, discusses management implications, and proposes future research directions.

2. Literature Review

2.1. Research on Fresh Produce Supply Chains Considering Preservation Efforts

In research on fresh produce supply chains, the level of preservation efforts has consistently been a key factor of scholarly interest. Numerous studies have focused on the impact of preservation efforts on pricing within fresh produce supply chains and on coordination research. Wu et al. [3] examined how subsidies and risk-averse behavior influence supply chain decisions when considering government subsidies, starting from efforts to enhance freshness preservation at the point of origin. Then compared the advantages and disadvantages of various contracts under these circumstances. Wang et al. [4] examined the impact of revenue-sharing contracts on farmers’ profits under scenarios where suppliers and retailers respectively dominate, finding that farmer profits depend on specific parameter values. Wang et al. [5] considered low-carbon advertising levels to study optimal preservation effort levels and carbon reduction strategies for three-tier agricultural product cold chains. Lin et al. [6] focused on organic food products, adopting a freshness preservation effort perspective and incorporating gender differences to construct a theoretical model explaining the factors influencing consumers’ sustained purchase intent on fresh food e-commerce platforms. Ferreira et al. [7] examined consumer repurchase behavior in fresh food e-commerce supply chains from the perspective of consumer perception. Using structural equation modeling for validation, their findings revealed that the perceived importance of sensory attributes negatively impacts consumers’ perceived freshness of online-purchased fresh food products.
Some studies also examine model selection in fresh produce supply chains considering preservation efforts. Gao et al. [8] examined channel selection and omnichannel coordination in green e-commerce supply chains, considering government subsidies and preservation efforts. Zhang et al. [9] investigated decision-making scenarios where suppliers and retailers each provide different levels of preservation efforts, comparing outcomes between the two decision models. Wang et al. [10] conducted research on decision-making and channel selection in dual-channel supply chains for fresh produce, leveraging blockchain technology while accounting for the level of preservation efforts. Ren et al. [11] investigated how fresh e-commerce supply chains make optimal preservation effort and pricing decisions under different government subsidy models, comparing these approaches.

2.2. Research on Supply Chain Considering TPL

Cai et al. [12] discovered that the presence of TPL provides an incentive effect on the supply chain and designed a residual value recovery mechanism for fresh products. Xu et al. [13] compared the propensity of fresh e-commerce platforms to use TPL or self-transportation for product delivery under live-streaming sales and identified corresponding conditions. Wu et al. [14] examined decision-making issues in dual-channel fresh food e-commerce supply chains under the premise of TPL integration, focusing on comparing the impacts of different TPL logistics service strategies. Shi et al. [15] investigated a supply chain collaboration model involving outsourcing logistics services to a TPL within the agricultural product live-streaming e-commerce supply chain, based on Stackelberg game theory. They demonstrated the impact of different collaboration models on the supply chain. Wang et al. [16] investigated dynamic emission reduction strategies for a three-tier agricultural supply chain incorporating TPL, employing differential game theory to analyze strategies under different cost-sharing mechanisms. B. Malleeswara et al. [17] examined manufacturer and retailer profits within supply chain management systems incorporating TPL and warehouse financing services, comparing the effects of market segmentation on secondary supply chains. Prashant et al. [18] focused on challenges encountered by TPL services within supply chain operations, proposing improvements for last-mile TPL services through route optimization, incentive-based scheduling, and real-time electronic tracking and communication. Song et al. [19] examined the comparison of centralized and decentralized decision-making models in fresh produce supply chains while accounting for the impact of TPL. They found that under decentralized models, supply chain coordination cannot be achieved through cost-sharing contracts alone. Selvananthan [20] employed an explanatory mixed-methods approach through surveying 180 farming households in southern Sri Lanka. The study revealed that TPL positively impacts the maximization of overall supply chain profits and proposed logistics-related recommendations to maximize farmer earnings.

2.3. Information Asymmetry in the Fresh Produce Supply Chain

Yang et al. [21] investigated the application of blockchain technology in agricultural IoT management, considering the impact of information asymmetry regarding freshness preservation efforts on the fresh produce supply chain. Nagurney et al. [22] developed two versions of a spatial price equilibrium model—dynamic and static—under conditions of quality information asymmetry. Through a series of numerical calculations, they demonstrated that implementing minimum quality standards elevates the average quality in the demand market, leading to corresponding price increases. Ma et al. [2] examined a three-party agricultural supply chain involving a TPL. Under decentralized decision-making, the TPL exaggerates demand to create information asymmetry, thereby maximizing profits at the expense of suppliers. Yang et al. [23] proposed a coordination model for agricultural supply chains under centralized versus decentralized decision-making with information asymmetry, revealing the robustness of optimal solutions in such chains. Mardenli et al. [24] conducted structured interviews with experts from various supply chain segments. Using the GABEK method for analysis, they proposed that supply chain participants monitor suppliers by focusing on social behaviors and leveraging social factors such as key performance indicators (KPI) and employees to offset information asymmetry. Liu et al. [25] examined the distinction between information sharing and information symmetry in a dual-subject, dual-channel fresh produce supply chain. They found that as information asymmetry increases, supply chain decisions deviate further from optimal outcomes. Conversely, under conditions of information sharing, suppliers achieve greater profitability. Ma et al. [26] examined the role of blockchain technology in fresh produce supply chains when retailers possess private demand information. They found that when consumers exhibit low concern for freshness information, retailers must maintain demand information privacy to maximize profits; conversely, demand information should be shared when consumer freshness concerns are high.

2.4. Research Gap

Existing research exhibits the following gaps: While numerous studies focus on the impact of freshness preservation efforts in perishable products [4,5,9], they fail to account for scenarios involving information asymmetry regarding these preservation efforts. Current research in the field primarily addresses demand-side information asymmetry issues [2,26]. Although some studies have investigated the impact of TPL on fresh food e-commerce supply chains [14,15,16,19] and although certain research has considered the effects of information asymmetry regarding preservation efforts [21], a critical limitation remains: these studies overlook the core parameter of consumer freshness preferences. While certain research has developed contracts for relevant scenarios, such agreements are largely confined to simplistic cost-sharing mechanisms that fail to achieve effective coordination. Building on this foundation, our study explores coordination contract design for fresh food e-commerce supply chains under information asymmetry. The proposed model explicitly incorporates the role of TPL within the supply chain, constructing a tripartite structure that comprehensively integrates the influence of consumer freshness preferences. Furthermore, the contract design introduces a more rational cost-sharing and profit-sharing mechanism to attain supply chain coordination.

3. Problem Description and Model Solution

3.1. Model Representation and Variable Meaning

Consider a three-party fresh produce supply chain operating under the following structure: Fresh produce suppliers provide products to e-commerce platforms at a wholesale price  w  per unit, while these e-commerce platforms ultimately then sell products to consumers at a retail price  p  per unit. The fresh produce e-commerce platform outsources the more complex transportation segment to a specialized TPL. The TPL delivers transportation and freshness preservation services, determining the level of preservation effort  θ , and charges the e-commerce platform a unit service fee  s . The supplier’s unit cost is  c s , while the TPL’s unit transportation cost is  c t . Given that all three parties make decisions independently, each entity aims to maximize its own interests. Within the framework, the model additionally adheres to the following fundamental assumptions:
Assumption 1.
Consistent with real-world operations, we assume that the profits of all entities are non-negative, the parameters should satisfy the following conditions:  p > c s + c t p > s + w p > w > c s > 0 s > c t > 0 .
Assumption 2.
Considering the impact of transportation time on freshness preservation, assume that the time  t  taken for fresh produce to be transported from the TPL to the e-commerce platform. The TPL selects a freshness preservation effort level  θ , This effort level  θ  represents the aggregate intensity of resources invested by the TPL in preservation activities, encompassing factors such as cold chain technology quality, packaging sophistication, precision of environmental control (temperature, humidity), and handling procedures. The actual preservation effect decays exponentially over time with a decay coefficient  δ , where  δ  depends on the perishability of the fresh produce itself. Thus, the actual freshness preservation effort level is  θ t = θ e δ t , where  e  is the base of the natural logarithm.
Modeling Note on Preservation Effort  θ : The parameter  θ  is modeled as a continuous variable representing the aggregate level of preservation effort. This abstraction facilitates analytical derivation of optimal strategies and captures the spectrum of possible effort intensities. In practice, achieving a specific  θ  level involves discrete choices regarding technologies (e.g., refrigeration class, packaging type) and procedures. While  θ  serves as a valuable proxy for the overall resource commitment and its impact on freshness decay, its practical interpretation requires mapping to feasible combinations of technologies and processes available to the TPL, considering inherent technological constraints and regulatory standards.
Assumption 3.
Demand for fresh produce is influenced simultaneously by price and product freshness, with the demand function  Q = a α p + β θ    [27]. Building upon this, the consumer’s total preference for price and freshness is normalized to  h  [28], where the preference for fresh produce is denoted as  ϕ h . Thus,  ( 1 ϕ ) h  represents the consumer’s price preference. Here,  h > 0  represents the intensity of aggregate consumer sensitivity to both the price and freshness attributes in the market. A higher  h  indicates that consumers, collectively, place greater absolute importance on both the price and the freshness of the product when making purchasing decisions. Crucially,  h  does not qualitatively alter the model’s comparative statics or key insights regarding the relationships between price, preservation efforts, and the freshness preference  ϕ . This is because  h  linearly scales the demand function  Q  and its partial derivatives with respect to  p  and  θ . Therefore, while h quantitatively affects equilibrium values, it does not change the direction of the effects derived from changes in  ϕ  or other variables. We obtain  Q = a ( 1 ϕ ) h p + h ϕ θ e δ t , where  0 < ϕ < 1 . In practice, even if TPL makes no preservation efforts, the market exhibits inelastic demand for fresh products. Thus, the constraint  a ( 1 ϕ ) h p > 0  must hold.
Assumption 4.
Preservation costs exhibit a quadratic relationship with preservation effort levels [29], specifically: preservation cost  c θ = 1 2 μ θ 2 , where  0 < θ < 1  and  μ > 0 . This reveals the relationship between preservation costs and the preservation effort level invested by TPL. If TPL chooses to invest a higher preservation effort level, the preservation costs it must bear will also increase.
Assumption 5.
Due to the negligible residual value of spoiled fresh produce, this paper does not consider the residual value of fresh produce.
The key parameters and variables are described in Table 1. The supply chain structure is shown in Figure 1.

3.2. Model Construction and Solution

3.2.1. Centralized Decision-Making

In the centralized decision-making model, fresh produce supplier, TPL, and fresh produce e-commerce platform are integrated as a unified decision-making entity. The decision objective is to maximize overall supply chain profit. The total profit function is defined as
π c = p c s c t [ a ( 1 ϕ ) h p + ϕ h θ e δ t ] 1 2 μ θ 2
Based on Equation (1), the optimal solution and optimal profit is obtained as follows (see Appendix A for the derivation process).
p 1 * = μ a + c s + c t μ h 1 ϕ h 2 ϕ 2 e 2 δ t 2 μ h 1 ϕ h 2 ϕ 2 e 2 δ t
θ 1 * = h ϕ e δ t a ( c s + c t ) h ( 1 ϕ ) 2 μ h ( 1 ϕ ) h 2 ϕ 2 e 2 δ t
Q 1 * = μ h 1 ϕ a c s + c t h 1 ϕ 2 μ h 1 ϕ h 2 ϕ 2 e 2 δ t
π c 1 * = μ a c s + c t h 1 ϕ 2 2 2 μ h 1 ϕ h 2 ϕ 2 e 2 δ t

3.2.2. Decentralized Decision-Making

In a decentralized decision-making model, the three entities within the supply chain—fresh produce supplier, TPL, and fresh produce e-commerce platform—each pursues individual profit maximization as their objective. Reflecting actual business dynamics, the fresh produce e-commerce platform is designated as the leader in the game. The platform first set the retail price  p  of fresh products based on market forecasts. The TPL then determines the level of preservation effort  θ  during transportation according to the e-commerce platform’s price  p . Finally, the fresh produce supplier determines the wholesale price  w  based on both the e-commerce platform’s price  p  and the TPL’s preservation effort level  θ . A Stackelberg game model is formulated based on these conditions and solved using backward induction. For computational convenience,  p  is expressed as  p = w + Δ w , where  Δ w  represents the price premium over the wholesale price  w . The profit functions for each entity in the supply chain are then
  π r 2 = Δ w s a ( 1 ϕ ) h w + Δ w + h ϕ θ e δ t
π t 2 = s c t a ( 1 ϕ ) h w + Δ w + h ϕ θ e δ t 1 2 μ θ 2
π s 2 = w c s a ( 1 ϕ ) h w + Δ w + h ϕ θ e δ t
Based on Equations (6)–(8), the optimal wholesale price, optimal preservation effort level, optimal retail price, optimal demand along the fresh produce supply chain and the optimal profits for each entity are obtained as follows:
w 2 * = h 2 ϕ 2 ( s c t ) e 2 δ t + 2 μ [ 1 ϕ h ( s 3 c s ) + a ] 8 1 ϕ h μ
θ 2 * = h ϕ ( s c t ) e δ t 2 μ
p 2 * = 3 h 2 ϕ 2 ( s c t ) + 6 μ a + 2 μ 1 ϕ h ( s + c s ) 8 1 ϕ h μ
Q 2 * = 2 μ a 2 μ ( 1 ϕ ) h ( s + c s ) + h 2 ϕ 2 ( s c t ) e 2 δ t 8 μ
π r 2 * = 2 μ a 2 μ ( 1 ϕ ) h ( s + c s ) + h 2 ϕ 2 ( s c t ) e 2 δ t 2 32 μ 2 ( 1 ϕ )
π t 2 * = s c t a 1 ϕ h s + c s 4
π s 2 * = 2 μ a 2 μ ( 1 ϕ ) h ( s + c s ) + h 2 ϕ 2 ( s c t ) e 2 δ t 2 64 μ 2 ( 1 ϕ )
Based on    π c = π r + π t + π s , the total profit of the fresh produce supply chain in this scenario is:
π c 2 * = 3 h 2 ϕ 2 ( s c t ) e 2 δ t + 2 μ ( 1 ϕ h ( s + c s ) + a ) 2 64 1 ϕ h μ 2 + ( s c t ) [ a 1 ϕ h ( s + c s ) ] 4

3.2.3. Considering TPL Exaggeration in Freshness Preservation Efforts in Decentralized Decision-Making

In decentralized decision-making processes, TPL may exaggerate actual preservation efforts to secure greater profits. When TPL exaggerates the actual level of preservation efforts, assuming the true preservation effort level is  θ  and TPL’s exaggeration coefficient is  λ ( λ 1 ) , a higher value of  λ  indicates a greater information asymmetry of preservation effort information by TPL. Thus, the reported preservation effort level by TPL becomes  λ θ . When  λ = 1 , the model reverts to a benchmark scenario with full information transparency. At this point, all other entities in the supply chain base their decisions on the falsified preservation effort level  λ θ  reported by the TPL. Consequently, the expected profit function for each entity in the supply chain during decision-making is
π r 3 = Δ w s a ( 1 ϕ ) h w + Δ w + h ϕ λ θ e δ t
π t 3 = s c t a ( 1 ϕ ) h w + Δ w + h ϕ λ θ e δ t 1 2 μ λ 2 θ 2
π s 3 = w c s a ( 1 ϕ ) h w + Δ w + h ϕ λ θ e δ t
Based on Equations (17)–(19), the optimal wholesale price, optimal preservation effort level, optimal retail price, optimal demand along the fresh produce supply chain and the optimal profits for each entity are as follows:
w 3 * = h 2 ϕ 2 ( s c t ) e 2 δ t + 2 μ [ 1 ϕ h ( s 3 c s ) + a ] 8 1 ϕ h μ
θ 3 * = h ϕ ( s c t ) e δ t 2 μ λ
p 3 * = 3 h 2 ϕ 2 ( s c t ) + 6 μ a + 2 μ 1 ϕ h ( s + c s ) 8 μ 1 ϕ h
Q 3 * = a ( 1 ϕ ) h ( s + c s ) 4 + h 2 ϕ 2 ( s c t ) e 2 δ t 8 μ
π r 3 * = 4 μ 2 a ( 1 ϕ ) h ( s + c s ) 2 + 4 μ h 2 ϕ 2 ( s c t ) e 2 δ t a ( 1 ϕ ) h ( s + c s ) + h 4 ϕ 4 ( s c t ) 2 e 4 δ t 32 μ 2 ( 1 ϕ )
π t 3 * = ( s c t ) a ( 1 ϕ ) h ( s + c s ) 4
π s 3 * = 4 μ 2 a ( 1 ϕ ) h ( s + c s ) 2 + 4 μ h 2 ϕ 2 ( s c t ) e 2 δ t a ( 1 ϕ ) h ( s + c s ) + h 4 ϕ 4 ( s c t ) 2 e 4 δ t 64 μ 2 h ( 1 ϕ )

4. Comparative Analysis

Proposition 1.
Under both centralized and decentralized decision-making, consumer demand for fresh produce is negatively correlated with the cost of preservation efforts and positively correlated with consumers’ preference level for fresh produce. Specifically,  Q 1 * μ < 0 Q 2 * μ < 0 θ 1 * μ < 0 θ 2 * μ < 0 Q 1 * ϕ > 0 Q 2 * ϕ > 0 θ 1 * ϕ > 0 θ 2 * ϕ > 0 .
Proposition 1 indicates that: For the preservation effort cost coefficient  μ , an increase in unit preservation cost induces supply chain entities—under both centralized and decentralized decision-making—to reduce preservation effort levels to maximize profits. This reduction consequently diminishes consumer demand for fresh produce.
Regarding consumers’ freshness preference  ϕ , an increase in  ϕ  correlates with higher freshness levels across the supply chain. This preference is stem from two factors:
  • Product-specific sensitivity: Certain fresh produce items (e.g., lychees, cherries, blueberries) exhibit inherently high freshness sensitivity, where minor variations significantly impact consumer experience.
  • Consumer consciousness: Even for less sensitive products (e.g., apples, bananas, pears), quality-oriented consumers demand higher freshness standards.
Consequently, when marketing freshness-sensitive products or targeting high-preference consumer segments, supply chain entities intensify preservation efforts to meet demand. These enhanced efforts further stimulate market demand, aligning with empirical observations.
Proposition 2.
The sales price under centralized decision-making is lower than that under decentralized decision-making, but the TPL freshness preservation effort level, market demand, and total supply chain profit are all higher under centralized decision-making. That is,  p 1 * < p 2 * , but  θ 1 * > θ 2 * Q 1 * > Q 2 * π c 1 * > π c 2 * .
Proposition 2 indicates that centralized decision-making maintains higher freshness preservation efforts compared to decentralized decision-making. This leads to in higher consumer demand levels among those with freshness preferences. Consequently, despite lower retail prices compared to decentralized decision-making, the overall supply chain profit remains higher. This outcome stems from decentralized entities prioritizing individual profit maximization over collective benefit. Consequently, TPL reduces preservation efforts to cut costs, while fresh produce e-commerce platforms raise retail prices to increase profits. However, these actions collectively diminish consumer preference, lower aggregate demand, and ultimately harm the supply chain’s overall profitability. Therefore, the centralized decision-making model proves more conducive to maximizing the total profit of the fresh food supply chain compared to decentralized decision-making.
Proposition 3.
Regardless of whether TPL chooses to conceal its preservation effort level, the final retail price decision remains unchanged. However, TPL will opt for a lower preservation effort level to reduce costs. That is,  p 2 * = p 3 * , θ 2 * > θ 3 *  and the larger the exaggeration coefficient  λ , the more severe the actual profit losses for all parties in the supply chain, i.e.,  π r 3 r π t 3 r π s 3 r , are all decreasing functions of  λ .
θ 2 * = h ϕ ( s c t ) e δ t 2 μ > h ϕ ( s c t ) e δ t 2 μ λ = θ 3 * π r 3 r = Δ w 3 * s a ( 1 ϕ ) h w 3 * + Δ w 3 * + h ϕ θ 3 * e δ t π r 3 r = Δ w 3 * s a 1 ϕ h w 3 * + Δ w 3 * + h ϕ 1 λ θ 2 * e δ t
Proposition 3 indicates that regardless of the magnitude of the exaggeration coefficient  λ , the retail price decisions made by fresh produce e-commerce platforms remain unaffected. However, to reduce preservation effort costs, TPL reduces actual preservation effort. In practice, this concealment behavior leads other entities in the supply chain to misjudge consumer demand for fresh products, diminishing profits for all decision-makers. Critically, higher exaggeration levels correlate with greater profit losses.

5. Contract Coordination Design

5.1. Cost-Sharing Contract Design

Based on the preceding analysis, TPL’s exaggeration behavior during decision-making severely undermines supply chain profitability and impedes the establishment of sustainable long-term supply chains. To address information asymmetry, this section begins examining contract design under such circumstances, aiming to coordinate decisions among supply chain participants and mitigate efficiency losses caused by information asymmetry. The proposed contract structure comprises the following provisions:
The fresh produce e-commerce platform and suppliers jointly bear the TPL preservation effort cost at a  β  ratio, where  0 β 1 2 . This parameter reflects the level of support for preservation investments. At this point, the profit expectation functions for each entity are expressed as follows:
π r = Δ w s a ( 1 ϕ ) h w + Δ w + h ϕ λ θ e δ t 1 2 β λ μ θ 2
π t = s c t a ( 1 ϕ ) h w + Δ w + h ϕ λ θ e δ t 1 2 β 2 λ μ θ 2
π s = w c s a ( 1 ϕ ) h w + Δ w + h ϕ λ θ e δ t 1 2 β λ μ θ 2
Using reverse induction, the following optimal solution is obtained:
w 4 * = h 2 ϕ 2 ( s c t ) e 2 δ t + 2 μ ( 1 2 β ) [ a 1 ϕ h ( s 3 c s ) ] 8 μ 1 ϕ h ( 1 2 β )
θ 4 * = s c t h ϕ e δ t 2 μ λ ( 1 2 β )
p 4 * = 3 h 2 ϕ 2 ( s c t ) e 2 δ t + 2 μ ( 1 2 β ) [ 3 a + ( 1 ϕ ) h ( s + c s ) ] 8 μ ( 1 ϕ ) h ( 1 2 β )
Proposition 4.
Sufficient and Necessary Conditions for Pareto Improvement: When the contract coordination coefficient  β = 1 2 ( s c t ) 2 μ h ( 1 ϕ ) h 2 ϕ 2 e 2 δ t 4 μ λ a ( c s + c t ) h ( 1 ϕ ) θ 4 * = θ 1 *  and the profits of all entities in the supply chain are no less than. That is, under decentralized decision-making, the level of preservation efforts after contract coordination rises to match that under centralized decision-making.
Proposition 4 provides the optimal contract parameters. However, calculations reveal that cost-sharing contracts struggle to increase profits for all three parties in the supply chain. After contract adjustments, while overall supply chain profit increases, e-commerce platforms gain a larger profit share, while suppliers’ profits actually decrease relative to pre-contract coordination levels. Therefore, simple cost-sharing contracts alone cannot achieve supply chain coordination.

5.2. Cost-Sharing and Profit-Sharing Contract Design

Building on the preceding analysis, standalone cost-sharing contracts fail to ensure Pareto improvement under information asymmetry. As the leader in the supply chain, the e-commerce platform captures disproportionate profits at the expense of other supply chain participants when overall supply chain profits increase. To rectify this, we integrate a profit-sharing mechanism with the cost-sharing contract. Building upon the original contract, the fresh food e-commerce platform shares  ρ  ratio of its retail revenue with TPL and suppliers, where  0 ρ 1 2 . This profit-sharing arrangement links the profits of TPL and suppliers to the e-commerce platform’s sales volume, creating an endogenous incentive to enhance preservation efforts. Acting in tandem with the cost-sharing contract, the profit functions for each entity in the supply chain under this contract are as follows:
π r = ( 1 2 ρ ) ( Δ w s ) a ( 1 ϕ ) h w + Δ w + h ϕ λ θ e δ t 1 2 β μ λ 2 θ 2
π t = [ s c t + ρ Δ w s ] a ( 1 ϕ ) h w + Δ w + h ϕ λ θ e δ t 1 2 β 2 μ λ 2 θ 2
π s = [ w c s + ρ Δ w s ] a ( 1 ϕ ) h w + Δ w + h ϕ λ θ e δ t 1 2 β μ λ 2 θ 2
Using reverse induction, the following optimal solution is obtained:
θ 5 * = ϕ e δ t ρ a + h ( 1 ϕ ) ( s c t ρ s ρ c s ) λ ρ h ϕ 2 e 2 δ t 2 ( 1 2 β ) μ ( 1 ϕ )
w 5 * = 1 2 a h ( 1 ϕ ) + ϕ λ θ e δ t 1 ϕ s 1 2 ρ ρ a 2 h ( 1 ϕ ) + ρ ϕ λ θ e δ t 2 ( 1 ϕ ) ρ s 2 c s
p 5 * = a h ( 1 ϕ ) + ϕ 1 ϕ λ θ e δ t + s 1 2 c t 1 2 ρ ρ a 2 h ( 1 ϕ ) + ρ ϕ λ θ e δ t 2 ( 1 ϕ ) ρ s 2 c s
Substituting the optimal solution into  Q  yields the demand at this point:
Q 5 * = a 1 ϕ h p 5 * + h ϕ λ θ 5 * e δ t
Substituting into the profit expression yields the optimal profit expressions for each entity under this contract:
π r 5 * = 1 2 ρ p 5 * w 5 * s Q 5 * 1 2 β μ λ 2 θ 5 * 2
π t 5 * = s c t + ρ p 5 * w 5 * s Q 5 * 1 2 β 2 μ λ 2 θ 5 * 2
π s 5 * = w c s + ρ p 5 * w 5 * s Q 5 * 1 2 β μ λ 2 θ 5 * 2
Proposition 5.
Necessary and Sufficient Conditions for Pareto Improvement: The necessary and sufficient condition for a Profit-Sharing and Cost-Sharing Contract to achieve a Pareto improvement is the existence of a parameter combination  ( ρ , β )  such that:
π r 5 * π r 3 * , π t 5 * π t 3 * , π s 5 * π s 3 * 0 β 1 2 , 0 ρ 1 2
π r 5 * = 1 2 ρ p 5 * w 5 * s Q 5 * 1 2 β μ λ 2 θ 5 * 2 π t 5 * = s c t + ρ p 5 * w 5 * s Q 5 * 1 2 β 2 μ λ 2 θ 5 * 2
According to Proposition 5, after substituting into the expressions, the inequalities satisfying the Pareto improvement prove to be highly nonlinear. This complexity precludes derivation of explicit solutions for the  ( ρ , β )  parameter range. Whether the system achieves Pareto improvement depends critically on the specific parameter values. This paper will subsequently use numerical simulations to validate the propositions mentioned earlier and verify the existence of a contractual interval that meets the conditions, enabling the establishment of a Benefit-Sharing and Cost-Sharing Contract.

6. Numerical Simulation

Leveraging operational data from the fresh produce e-commerce industry and supporting literature, we parameterize the model as follows: potential market demand scale  a = 100 , consumer fresh food preference coefficient  ϕ = 0.7 , supplier unit production cost  c s = 2 , unit TPL logistics cost  c t = 1 , unit logistics service fee  s = 8 , preservation effort cost coefficient  μ = 60 , preservation decay coefficient  δ = 0.1 , transportation time  t = 1 , and total preference  h = 3 .
This parameter set comprehensively considers the perishable nature of fresh products, the cost structure of logistics services, and consumers’ moderate preference for freshness. Collectively, these values reflect salient characteristics of real-world fresh produce e-commerce supply chains.

6.1. Comparison of Decision-Making Models

First, comparing centralized and decentralized decision-making under information symmetry in supply chain scenarios, the optimal decisions for the supply chain under the aforementioned parameter assignments are as follows:
As shown by the optimal scenario in Table 2, under centralized decision-making, the preservation efforts level, market demand, retail prices of fresh products, and overall supply chain profits are all higher than their counterparts under decentralized decision-making. Furthermore, prices under decentralized decision-making exceed those under centralized decision-making. These findings confirm that decentralized models result in profit erosion even without information distortion, validating Proposition 2.

6.2. Sensitivity Analysis

6.2.1. Sensitivity Analysis of the Exaggeration Coefficient  λ  

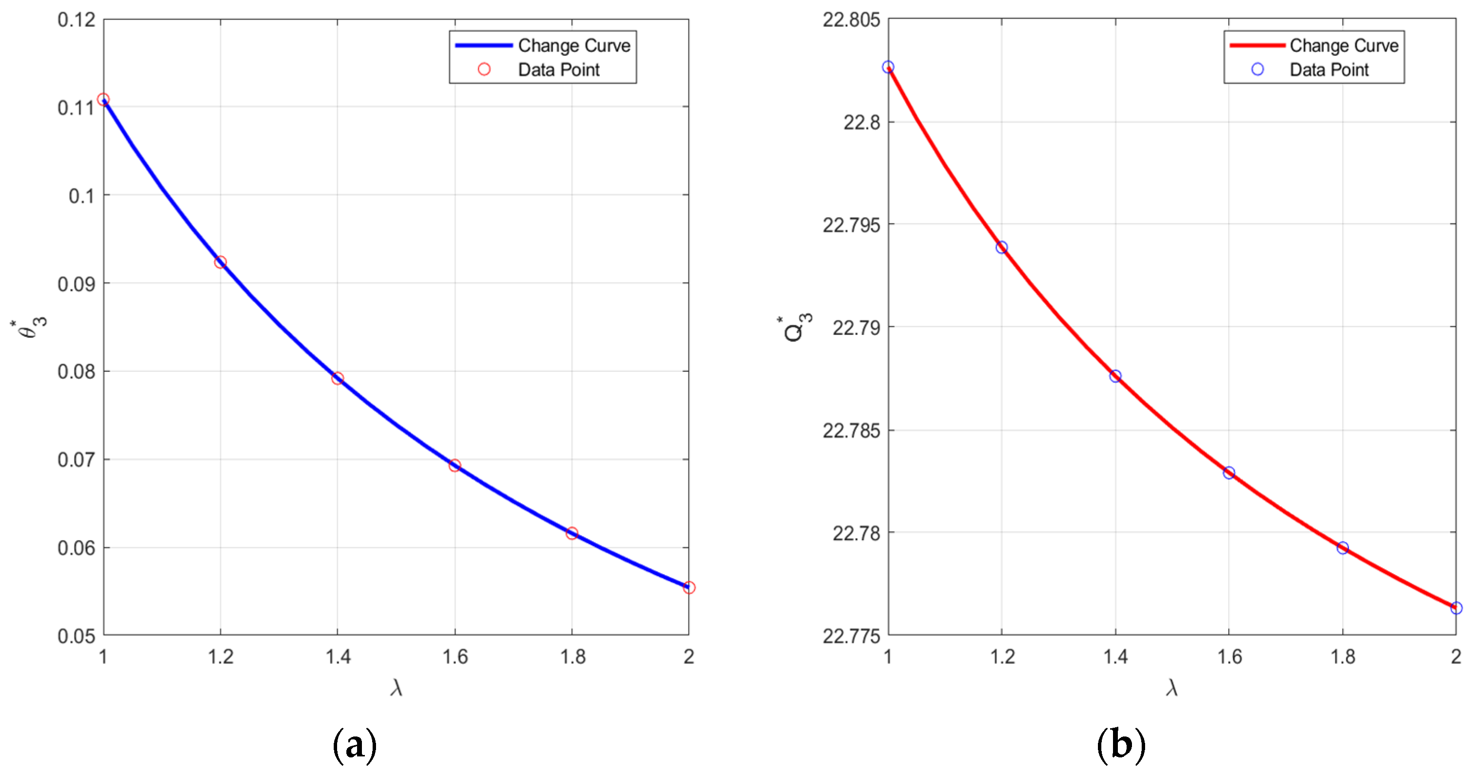
Under decentralized decision-making scenarios involving exaggerated preservation efforts, a sensitivity analysis was conducted on the exaggeration coefficient  λ  to investigate its impact on the supply chain. With  λ  values ranging from 1 to 2 in increments of 0.05, the analysis results are as Figure 2:
Figure 2 demonstrates that as the proportion of false claims by TPL increases, the actual freshness of agricultural products steadily declines, leading to a corresponding decrease in actual market demand. Consistent with Proposition 3, regardless of whether exaggeration occurs, the retail prices set by e-commerce platforms remain unchanged. This price rigidity triggers profit reduction for platforms. Although TPL engages in exaggeration to ostensibly reduce costs, its anticipated profit gains fail to materialize. Instead, declining demand harms both its own profits and those of the entire supply chain. This exaggeration proves counterproductive, with more severe exaggeration leading to greater profit losses, undermining the sustainable development of the entire supply chain.

6.2.2. Multiple Sensitivity Analysis of the Exaggeration Coefficient  λ  and Freshness Preference Coefficient  ϕ  

The preceding calculations were performed with a fixed  ϕ = 0.7 . In real-world commercial scenarios, the level of freshness preference is also a significant influencing factor. In real purchasing scenarios, the effects of exaggeration coefficient  λ  and freshness preference  ϕ  on the supply chain often coexist. Keeping other parameters constant, with  λ  ranging from 1 to 2 in increments of 0.05 and  ϕ  ranging from 0.3 to 0.8 in increments of 0.05, the results of the multiple sensitivity analysis are as Figure 3:
Figure 3a indicates that the level of freshness preservation efforts chosen by TPL decreases as the exaggeration coefficient  λ  increases, while it increases as the freshness preference  ϕ  increases. However, the impact of freshness preference is greater than that of the exaggeration coefficient, and the slope of the curve exhibits a distinct inflection point at  ϕ = 0.75 . Figure 3b indicates that when  ϕ  is very small ( ϕ < 0.3 ), the overall profit gained by the supply chain is negligible. However, when  ϕ  is large ( ϕ > 0.75 ), profits exhibit exponential growth—increasing several-fold from  ϕ = 0.75  to  ϕ = 1 . This creates strong incentives for all parties in the supply chain to invest in consumer education, fostering higher freshness preference levels. Under the influence of economies of scale, manufacturers also gain greater motivation to adopt higher freshness preservation efforts, creating a virtuous cycle within the fresh food e-commerce supply chain. Figure 3c illustrates the profit share distribution among entities when  λ = 1.5 . It shows that as freshness preferences increase, although total supply chain profits rise, the profit share allocated to TPL steadily declines. The e-commerce platform captures the dominant share, underscoring the need for contractual profit rebalancing.

6.2.3. Analysis of the Impact of Contracts on the Supply Chain of Fresh Produce E-Commerce

Based on Proposition 5, this paper proceeds to conduct a numerical verification of the validity of the contract established earlier. Since the profit of the fresh food e-commerce platform is significantly reduced in the high  ρ  range ( ρ > 0.2 ), only the low  ρ  range is examined here. The results are as Figure 4:
Figure 4 clearly shows that there exists an interval ([ ρ 1 , ρ 2 ] ,  [ β 1 , β 2 ]) where the parameter combination  ( ρ , β )  satisfies the supply chain’s Pareto optimality condition. Within this interval, the profits of all three entities in the fresh produce supply chain, as well as the total supply chain profit, exceed those under the no-contract scenario, fulfilling a Pareto improvement for all members.
The numerical simulation results confirm that the profit-sharing and cost-sharing contract achieves a Pareto improvement under the current parameter conditions. This validates the theoretical analysis’s prediction regarding the contract’s feasibility, demonstrating that in a market environment characterized by relatively high information asymmetry, significant preservation costs, and moderate consumer preferences, the profit adjustment mechanism can resolve supply chain coordination issues. Critically, the simulation results provide quantitative evidence for identifying key constraints that cause contract failure, pointing to breakthrough directions for improving contract design.

7. Discussion and Conclusions

7.1. Key Findings

This paper investigates the fresh produce e-commerce supply chain involving “Retailers-TPL-E-commerce platforms.” It examines supply chain scenarios under centralized decision-making, decentralized decision-making, and decentralized decision-making with information asymmetry, conducting comparative analyses. Furthermore, it addresses the issue of TPL falsely reporting preservation efforts within the supply chain by designing a “profit-sharing and cost-sharing” contract. The following conclusions and insights are drawn:
First, in fresh e-commerce supply chains, consumer demand for fresh products negatively correlates with preservation costs and positively correlates with consumer freshness preferences.
Second, under decentralized decision-making, whether or not the TPL chooses to exaggerate the preservation effort level does not affect the final retail price decided by the e-commerce platform. Therefore, the TPL will opt for a lower preservation effort level to reduce preservation costs, making the design of relevant contracts essential.
Third, while cost-sharing contracts can elevate preservation efforts to match centralized decision-making levels, they inherently increase supplier burdens without achieving supply chain-wide Pareto improvements. However, introducing profit-sharing contracts within specific parameter ranges enhances TPL’s preservation efforts and increases profits for all supply chain participants compared to no contracts, thereby realizing Pareto improvements.

7.2. Recommendations and Outlook

Supply chains can employ technological measures to reduce the cost of preservation efforts. For example: implementing pre-cooling at the supplier source, utilizing modified atmosphere packaging (MAP) to actively regulate gas composition (O2 and CO2 ratios) within packaging to inhibit respiration and microbial growth, designing optimal packaging structures and dimensions based on product characteristics, and minimizing physical damage during transportation. Although initial investment costs exist, long-term preservation expenses can be reduced. Furthermore, fresh food e-commerce platforms actively cultivate consumer habits for high-freshness-sensitive products, elevating consumer preference levels for fresh goods. This approach lowers price sensitivity, aiming to achieve higher profit margins.
Larger fresh food e-commerce platforms can progressively establish and refine integrated “production-transportation-sale” systems. Through acquisitions or independent development, they can secure proprietary fresh produce logistics capabilities and supply channels. This centralizes decision-making within the fresh produce supply chain, mitigating information asymmetry to some extent and fostering mutual benefits for both the e-commerce platform and consumers.

7.3. Limitations

Of course, this study has certain limitations. First, the contractual model only considers the two dimensions of profit sharing and cost sharing, failing to incorporate more complex contractual terms such as quality deposits, delayed payments, and option mechanisms. Second, the model is established within a single-period static game framework, failing to fully characterize dynamic learning and reputation effects in multi-period repeated games. Third, in practice, the level of preservation effort is a discrete variable rather than a continuous one. Future research may explore empirical methods to quantify the preservation effort associated with specific technology combinations or operational procedures. Extended studies considering the selection of discrete preservation technologies could also provide further practical insights. Finally, numerical simulations rely on specific parameter settings. Although sensitivity analysis was conducted, further validation of the conclusions’ robustness across broader parameter ranges and scenario settings is warranted. Moreover, the determination of contract parameters is often negotiated among supply chain parties in practice. Negotiations are based on factors such as cold chain equipment investment and product sales cycles, and in reality, these parameters frequently undergo seasonal dynamic adjustments. This aspect warrants further investigation.
These shortcomings point to directions for future research, which could explore dynamic contract design, multidimensional incentive mechanisms, and behavioral factors in greater depth.

Author Contributions

Conceptualization, J.S. and W.C.; methodology, J.S.; software, J.S.; validation, W.C.; formal analysis, J.S.; investigation, J.S.; resources, J.S.; data curation, J.S.; writing—original draft preparation, J.S.; writing—review and editing, J.S. and W.C.; visualization, J.S.; supervision, W.C.; project administration, W.C. All authors have read and agreed to the published version of the manuscript.

Funding

This research received no external funding.

Institutional Review Board Statement

Not applicable.

Informed Consent Statement

Not applicable.

Data Availability Statement

The data presented in this study are available on reasonable request from the corresponding author.

Conflicts of Interest

The authors declare no conflicts of interest.

Abbreviations

The following abbreviations are used in this manuscript:
TPLthird-party logistics providers

Appendix A

Proof of Centralized Decision-making.
Based on Equation (1), the Hessian matrix  H  is obtained as:  H = 2 h ( 1 ϕ ) h ϕ e δ t h ϕ e δ t μ . Its first-order principal subdeterminant  2 h ( 1 ϕ ) μ < 0 ;   d e t ( H ) = 2 1 ϕ μ h ϕ e δ t 2 = 2 μ h 1 ϕ h 2 ϕ 2 e 2 δ t > 0 .
Therefore, when  2 μ h 1 ϕ h 2 ϕ 2 e 2 δ t > 0 , the Hessian matrix is negative definite, and the profit function achieves a unique maximum at the stationary point.
Take the partial derivative of the overall supply chain profit  π c 1  with respect to the retail price  p  and the preservation effort  θ .
π c p = a + ϕ h θ e δ t ( 1 ϕ ) h ( 2 p c s c t ) .
π c θ = ( p c s c t ) ϕ h e δ t μ θ
To maximize total profit under centralized decision-making in the fresh produce e-commerce supply chain, we first take partial derivatives of the overall supply chain profit  π c 1  with respect to retail price  p  and preservation effort  θ . Setting  π c 1 p = 0 , π c 1 θ = 0 , yields the optimal solutions for  p  and  θ . Substituting these into the demand equation  Q  and total profit  π  yields the following results:
Q 1 * = μ h 1 ϕ a c s + c t h 1 ϕ 2 μ h 1 ϕ h 2 ϕ 2 e 2 δ t
π c 1 * = μ [ a ( c s + c t ) h ( 1 ϕ ) ] 2 2 [ 2 μ h ( 1 ϕ ) h 2 ϕ 2 e 2 δ t ]
Proof of Decentralized Decision-making.
First, take the first derivative of the supplier’s profit function  π s  with respect to the wholesale price  w . Setting  π s w = 0  yields the optimal wholesale price set by the supplier:
w 2 * = a + h ϕ θ e δ t + 1 ϕ h c s 1 ϕ h Δ w 2 1 ϕ h
Verify that the second derivative of  π s  with respect to  w   is   2 π s w 2 = 2 1 ϕ h < 0 , indicating that  w 2 *  represents the global maximum. Therefore, the fresh food supplier achieves maximum profit at this point. Next, substitute the expression for  w 2 *  into the demand quantity  Q  formula to obtain:
Q = a 1 ϕ h c s 1 ϕ h Δ w + ϕ θ h e δ t 2
Then,
π t = s c t a 1 ϕ h c s 1 ϕ h Δ w + ϕ θ h e δ t 2 1 2 μ θ 2
Take the first derivative of  π t  with respect to  θ , and set  π t θ = 0 , Solve to obtain the optimal preservation effort for TPL:
θ 2 * = ϕ h ( s c t ) e δ t 2 μ
Verify that the second derivative of  π t  with respect to  θ , is  2 π t θ 2 = μ < 0 , indicating that  θ 2 *  represent the global maximum. Therefore, the TPL achieves maximum profit at this point. Next, substituting  w 2 *  and  θ 2 *  into the profit expression  π r  e-commerce platform yields:
π r = Δ w s a 1 ϕ h c s 1 ϕ h Δ w + ϕ h ϕ h ( s c t ) e δ t 2 μ e δ t 2
Taking the first derivative of  π r  with respect to  Δ w  and setting  π r Δ w = 0  yields the optimal retail markup over wholesale price:
Δ w 2 * = 2 μ a + 1 ϕ h s c s + ϕ 2 h 2 s c t e 2 δ t 4 μ 1 ϕ h
According to  p = w + Δ w , substitute the newly obtained results into the equilibrium conditions yields Equations (9)–(11). Substituting (9)–(11) into Equations (6)–(8) yields Equations (12)–(15).
Similarly, proof of centralized decision-making, proof of decision-making under information asymmetry and decision-making after entering into a contract can be solved using analogous methods; the relevant proof processes are omitted here. □
Proof of decision-making under information asymmetry.
First, take the first derivative of the supplier’s profit function  π s  with respect to the wholesale price  w . Setting  π s w = 0  yields the optimal wholesale price set by the supplier:
w 3 * = a + h ϕ θ e δ t + 1 ϕ h c s 1 ϕ h Δ w 2 1 ϕ h
Verify that the second derivative of  π s  with respect to  w   is   2 π s w 2 = 2 1 ϕ h < 0 , indicating that  w 3 *  represents the global maximum. Therefore, the fresh food supplier achieves maximum profit at this point. Next, substitute the expression for  w 2 *  into the demand quantity  Q  formula to obtain
Q = a 1 ϕ h c s 1 ϕ h Δ w + λ ϕ θ h e δ t 2
Then,
π t = s c t a 1 ϕ h c s 1 ϕ h Δ w + λ ϕ θ h e δ t 2 1 2 μ θ 2
Take the first derivative of  π t  with respect to  θ , and set  π t θ = 0 , Solve to obtain the optimal preservation effort for TPL:
θ 3 * = ϕ h ( s c t ) e δ t 2 μ λ
Verify that the second derivative of  π t  with respect to  θ , is  2 π t θ 2 = μ < 0 , indicating that  θ 2 *  represent the global maximum. Therefore, the TPL achieves maximum profit at this point. Next, substituting  w 2 *  and  θ 2 *  into the profit expression  π r  e-commerce platform yields
π r = Δ w s a 1 ϕ h c s 1 ϕ h Δ w + ϕ h λ ϕ h ( s c t ) e δ t 2 μ λ e δ t 2
Taking the first derivative of  π r  with respect to  Δ w  and setting  π r Δ w = 0  yields the optimal retail markup over wholesale price:
Δ w 3 * = 2 μ a + 1 ϕ h s c s + ϕ 2 h 2 s c t e 2 δ t 4 μ 1 ϕ h
According to  p = w + Δ w , substitute the newly obtained results into the equilibrium conditions yields Equations (20)–(22). Substituting (20)–(22) into Equations (17)–(19) yields Equations (23)–(26). □
Proof of Proposition 1.
Δ w 3 * = 2 μ a + 1 ϕ h s c s + ϕ 2 h 2 s c t e 2 δ t 4 μ 1 ϕ h
Q 2 * μ = h 2 ϕ 2 s c t e 2 δ t 8 μ 2 < 0
θ 1 * μ = 2 h ϕ e δ t 1 ϕ h a c s + c t h 1 ϕ [ 2 μ S ( 1 ϕ ) h 2 ϕ 2 e 2 δ t ] 2 < 0
θ 2 * μ = ϕ h s c t e δ t 2 μ 2 < 0
Q 1 * ϕ = μ h ϕ 2 a c s c t h ϕ a 2 c s 2 c t e 2 δ t + 2 μ 2 h 3 ϕ 1 ϕ 2 c s + c t h ϕ e 2 δ t + 2 μ h ϕ 2 μ 2 > 0
Q 2 * ϕ = h ϕ s c t e 2 δ t + μ s + c s 4 μ > 0
θ 1 * ϕ = 2 h 2 ϕ 2 a c s c t e 3 δ t + 2 μ e 2 δ t 2 h ϕ c s + c t h 2 ϕ 2 c s + c t + a c s + c t h 2 ϕ 2 e 2 δ t ~ ° + 2 μ h ϕ 2 μ 2 > 0
θ 2 * ϕ = ( s c t ) e δ t 2 μ > 0 .
Proof of Proposition 2.
First,  p 1 * p 2 * < 8 μ h ( 1 ϕ ) 3 h 2 ϕ 2 ( s c t ) + 6 μ a + 2 μ ( 1 ϕ ) h ( s + c s ) , where    a 1 ϕ h c s + s > 0 , then  6 μ a + 2 μ ( 1 ϕ ) h ( s + c s ) > 8 μ ( 1 ϕ ) h ( s + c s ) , so  8 μ h ( 1 ϕ ) 3 h 2 ϕ 2 ( s c t ) + 6 μ a + 2 μ ( 1 ϕ ) h ( s + c s ) < 8 μ h ( 1 ϕ ) 3 h 2 ϕ 2 ( s c t ) + 8 μ ( 1 ϕ ) h ( s + c s )  and  3 h 2 ϕ 2 ( s c t ) > 0 , we get  8 μ h ( 1 ϕ ) 3 h 2 ϕ 2 ( s c t ) + 8 μ ( 1 ϕ ) h ( s + c s ) < 8 μ h ( 1 ϕ ) 8 μ ( 1 ϕ ) h ( s + c s )  and  8 μ h ( 1 ϕ ) 8 μ ( 1 ϕ ) h ( s + c s ) < 1 , so we can get  p 1 * p 2 * < 1 .
Second,  θ 1 * θ 2 * = ϕ e δ t { 2 μ a 1 ϕ h c s + s + h 2 ϕ 2 e 2 δ t s c t } 2 μ [ 2 μ 1 ϕ h 2 ϕ 2 e 2 δ t ] , clearly, under the given constraints, every term in the numerator and denominator is greater than zero. So we can get  θ 1 * θ 2 * > 0 .
Third,  Q 1 * Q 2 * > 4 μ h ( 1 ϕ ) [ a ( c s + c t ) h ( 1 ϕ ) ] 2 μ a 2 μ ( 1 ϕ ) h ( s + c s ) + h 2 ϕ 2 ( s c t ) e 2 δ t = 4 μ h ( 1 ϕ ) [ a ( c s + c t ) h ( 1 ϕ ) ] 2 μ [ a ( 1 ϕ ) h ( s + c s ) ] + h 2 ϕ 2 ( s c t ) e 2 δ t , according to  2 μ h 1 ϕ h 2 ϕ 2 e 2 δ t > 0 , then we get  h 2 ϕ 2 e 2 δ t < 2 μ h 1 ϕ , so  4 μ h ( 1 ϕ ) [ a ( c s + c t ) h ( 1 ϕ ) ] 2 μ [ a ( 1 ϕ ) h ( s + c s ) ] + h 2 ϕ 2 ( s c t ) e 2 δ t > 4 μ h ( 1 ϕ ) [ a ( c s + c t ) h ( 1 ϕ ) ] 2 μ ( 1 ϕ ) [ a ( 1 ϕ ) h ( s + c s ) ] + 2 μ h 1 ϕ ( s c t ) = 4 μ h ( 1 ϕ ) [ a ( c s + c t ) h ( 1 ϕ ) ] 2 μ ( 1 ϕ ) [ a ( c s + c t ) h ( 1 ϕ ) ] = 2 h . In practice, the overall preference  h  is generally not less than 0.5, so it can be considered that  2 h > 1 , i.e.,  Q 1 * Q 2 * > 1 .
Fourth,  π c 1 * π c 2 * = μ [ a ( c s + c t ) h ( 1 ϕ ) ] 2 4 μ h ( 1 ϕ ) 2 h ϕ e 2 δ t 3 ( ϕ ( s c t ) e 2 δ t + 2 μ [ a ( 1 ϕ ) h ( s + c s ) ] ) 2 64 ( 1 ϕ ) h μ ( s c t ) [ a ( 1 ϕ ) h ( s + c s ) ] 4 , after finding a common denominator for the three terms in the above equation, we obtain the following expression:  π c 1 * π c 2 * = N D , where  D  is the common denominator, which is clearly greater than 0, where  N = 8 h 32 ( 1 ϕ ) μ A 1 A 2 [ 2 μ ( 1 ϕ ) ϕ e 2 δ t ] 16 h μ ( 1 ϕ ) A 3 [ 2 μ ( 1 ϕ ) ϕ e 2 δ t ] .
Let  N = 8 h M . Clearly,  8 h > 0 , so we need to prove that the original expression is greater than zero, we must prove that  M > 0 , where  M = 32 ( 1 ϕ ) μ A 1 A 2 [ 2 μ ( 1 ϕ ) ϕ e 2 δ t ] 16 h μ ( 1 ϕ ) A 3 [ 2 μ ( 1 ϕ ) ϕ e 2 δ t ] .
For convenience in computation, the following simplifications are made:
X = a ( c s + c t ) h ( 1 ϕ ) > 0 Y = a ( 1 ϕ ) h ( s + c s ) > 0 Z = s c t U = ϕ Z e 2 δ t + 2 μ Y K = 2 μ ( 1 ϕ ) ϕ e 2 δ t c
Subject to the preceding constraints  2 μ a 2 μ ( 1 ϕ ) h ( s + c s ) + h 2 ϕ 2 ( s c t ) e 2 δ t > 0 , we can get  2 μ Y + h 2 ϕ 2 Z e 2 δ t > 0 . Then, treating  M  as a quadratic function of  X , we can obtain:  M = 4 μ ( 1 ϕ ) 8 μ X 2 4 h K Z Y 3 K U 2 .
It can be observed that  Z = X Y h ( 1 ϕ ) , so  U = ϕ e 2 δ t h ( 1 ϕ ) ( X Y ) + 2 μ Y . Then substitute them into the expression, and after simplification, the following non-negative expression can be obtained:
M = 1 4 μ ( 1 ϕ ) 4 μ ( 1 ϕ ) X 2 μ Y 3 K 2 + 3 K h 2 ( 1 ϕ ) 2 h ϕ e 2 δ t X + ( 2 μ h ( 1 ϕ ) h ϕ e 2 δ t ) Y 2
The expression contains two non-negative terms. The conditions for both terms to be zero cannot simultaneously hold true, therefore  M > 0 , i.e.,  π c 1 * π c 2 * > 0 . □
Proof of Proposition 3.
p 2 * = 3 h 2 ϕ 2 ( s c t ) + 6 μ a + 2 μ 1 ϕ h ( s + c s ) 8 μ 1 ϕ h = p 3 *
θ 2 * = h ϕ ( s c t ) e δ t 2 μ > h ϕ ( s c t ) e δ t 2 μ λ = θ 3 *
i.e.,  θ 3 * = 1 λ θ 2 * , where  λ 1 .
When TPL conceals its actual level of freshness preservation efforts, the real profit of fresh produce suppliers is
π r 3 r = Δ w 3 * s a ( 1 ϕ ) h w 3 * + Δ w 3 * + h ϕ θ 3 * e δ t
Substituting  θ 3 * = 1 λ θ 2 * , then
π r 3 r = Δ w 3 * s a ( 1 ϕ ) h w 3 * + Δ w 3 * + h ϕ 1 λ θ 2 * e δ t
Taking the first partial derivative of  π r 3 r  with respect to  λ  yields  π r 3 r λ = Δ w 3 * s S ϕ θ 2 * e δ t λ 2 < 0 . Thus, it can be proven that the supplier’s actual profit is a decreasing function of the exaggeration coefficient  λ . Only when  λ = 1 , i.e., when TPL does not conceal its freshness preservation efforts, does the supplier’s actual profit equal the expected profit, namely  π r 3 λ = π r 3 * . Therefore, whenever TPL engages in concealment, the supplier’s actual profit is impaired.
Similarly, the actual profit of TPL and fresh food e-commerce platforms is also a decreasing function of  λ . When and only when  λ = 1 , the actual profit of TPL fresh food e-commerce equals the expected profit. □
Proof of Proposition 4.
Set  θ 4 * = θ 1 * , we can get the equation
( s c t ) h ϕ e δ t 2 μ λ ( 1 2 β ) = h ϕ e δ t [ a ( c s + c t ) h ( 1 ϕ ) ] 2 μ h ( 1 ϕ ) h 2 ϕ 2 e 2 δ t
solve this equation yields
β = 1 2 ( s c t ) [ 2 μ h ( 1 ϕ ) h 2 ϕ 2 e 2 δ t ] 4 μ λ [ a ( c s + c t ) h ( 1 ϕ ) ]
Proof of Proposition 5.
The key lies in analyzing the feasible region of the parameter space. For the platform, its profit function can be expressed as
π r 5 * = 1 2 ρ p 5 * w 5 * s Q 5 * 1 2 β μ λ 2 θ 5 * 2
As  ρ  increases, the platform’s revenue share decreases, causing the first term to decline; as  β  increases, the platform’s cost burden rises, leading to an increase in the second term. Therefore, the platform’s profit decreases as  ρ  increases and decreases as  β  increases.
For TPL, its profit function is
π t 5 * = s c t + ρ p 5 * w 5 * s Q 5 * 1 2 β 2 μ λ 2 θ 5 * 2
As  ρ  increases, TPL’s revenue share increases (since  Δ w > s ), causing the first term to rise; as  β  increases, TPL’s costs decrease, reducing the second term. Therefore, TPL’s profit increases with  ρ  and increases with  β . Similarly, for suppliers, their profit increases with  ρ  and decreases with  β .
For suppliers, their decisions are based on observed market demand. Since the contract enhances preservation efforts, increasing market demand, supplier profits typically rise. However, this increase is indirect and requires numerical analysis for verification.
The interests of the platform and TPL exhibit a trade-off relationship within the parameter space. The existence of a feasible region depends on the specific values of system parameters. Under certain parameter combinations, finding  ( ρ , β )  that simultaneously satisfies all constraints achieves a Pareto improvement for the system. □

References

  1. Sun, X.; Yuan, Y.; Zhang, G.; Tian, L.; Sun, H.; Wang, X. Development of Cold Chain Logistics for China’s Fresh E-Commerce in Post-Epidemic Era. Mod. Econ. Manag. 2023, 2, 13. [Google Scholar] [CrossRef]
  2. Ma, X.; Wang, S.; Islam, S.M.N.; Liu, X. Coordinating a Three-Echelon Fresh Agricultural Products Supply Chain Considering Freshness-Keeping Effort with Asymmetric Information. Appl. Math. Model. 2019, 67, 337–356. [Google Scholar] [CrossRef]
  3. Wu, Y.; Zhu, A.; Yu, L.; Wang, W. A Study on Fresh Product Supply Chain Management Decisions Considering Subsidies and Different Transaction Contracts. PLoS ONE 2025, 20, e0322800. [Google Scholar] [CrossRef] [PubMed]
  4. Wang, G.; Hao, Y.; Chen, R. Revenue Sharing Contracts of Green Fresh Product Considering Freshness Keeping Effort. J. Data Inf. Manag. 2023, 5, 177–191. [Google Scholar] [CrossRef]
  5. Wang, W.; Zhu, A.; Wei, H.; Yu, L. Optimal Preservation Effort and Carbon Emission Reduction Decision of Three-Level Cold Chain System with Low-Carbon Advertising Effect. Appl. Sci. 2023, 13, 1818. [Google Scholar] [CrossRef]
  6. Lin, J.; Li, T.; Guo, J. Factors Influencing Consumers’ Continuous Purchase Intention on Fresh Food e-Commerce Platforms: An Organic Foods-Centric Empirical Investigation. Electron. Commer. Res. Appl. 2021, 50, 101103. [Google Scholar] [CrossRef]
  7. Ferreira, D.; Barbosa, B.; Sousa, A. Perceived Freshness and the Intention to Repurchase Fresh Food Products Online. EuroMed J. Bus. 2025; ahead-of-print. [Google Scholar] [CrossRef]
  8. Gao, L.; Wang, X.; Xin, X. Channel Selection Strategies of Chinese E-Commerce Supply Chains Under Green Governmental Subsidies. Systems 2025, 13, 172. [Google Scholar] [CrossRef]
  9. Zhang, R.; Huang, Z.; Liu, B.; Wang, J. Freshness-Keeping Efforts and Value-Added Service Choice in Fresh Food Supply Chain. Comput. Ind. Eng. 2024, 190, 110063. [Google Scholar] [CrossRef]
  10. Wang, D.; Tian, X.; Guo, M. Pricing Decision and Channel Selection of Fresh Agricultural Products Dual-Channel Supply Chain Based on Blockchain. PLoS ONE 2024, 19, e0297484. [Google Scholar] [CrossRef] [PubMed]
  11. Ren, H.; Xu, Y.; Han, L.; Huang, X. Differential Game Model of Fresh Supply Chain, Considering Preservation Efforts and Member Behavior Under Government Subsidies. Sustainability 2025, 17, 4820. [Google Scholar] [CrossRef]
  12. Cai, X.; Chen, J.; Xiao, Y.; Xu, X.; Yu, G. Fresh-Product Supply Chain Management with Logistics Outsourcing. Omega 2013, 41, 752–765. [Google Scholar] [CrossRef]
  13. Xu, Y.; Cao, K. Competition or Co-Opetition: Optimal Fresh Produce Delivery Mode Strategy for Livestreaming Platform. Int. J. Prod. Econ. 2025, 283, 109565. [Google Scholar] [CrossRef]
  14. Wu, Y.; Zhu, A.; Yu, L.; Wang, W. Research on Pricing and Effort Investment Decisions for Dual-Channel Fresh Product Supply Chain Under the Participation of Third-Party Logistics Provider. Systems 2025, 13, 538. [Google Scholar] [CrossRef]
  15. Shi, L.; Cheng, H. A Stackelberg Game-Based Logistics Cooperation Model for Agricultural Product Supply Chains in Live Streaming e-Commerce. Decis. Anal. J. 2025, 15, 100569. [Google Scholar] [CrossRef]
  16. Wang, J.; Xu, X. Research on Carbon Emission Reduction and Preservation Strategies for Fresh Agricultural Products Under Different Cost-Sharing Mechanisms. Mathematics 2025, 13, 1225. [Google Scholar] [CrossRef]
  17. Malleeswaran, B.; Uthayakumar, R. A Two-Echelon Sustainable Supply Chain Model for Third-Party Logistics and Warehouse Financing Using Multi Factor-Dependent Demand under Revenue Sharing and Consumer Segmentation. Int. J. Logist. Syst. Manag. 2025, 50, 51–68. [Google Scholar] [CrossRef]
  18. Premkumar, P.; Gopinath, S.; Mateen, A. Trends in Third Party Logistics—The Past, the Present & the Future. Int. J. Logist. Res. Appl. 2021, 24, 551–580. [Google Scholar] [CrossRef]
  19. Song, Z.; He, S. Contract Coordination of New Fresh Produce Three-Layer Supply Chain. Ind. Manag. Data Syst. 2019, 119, 148–169. [Google Scholar] [CrossRef]
  20. Selvananthana, G. Evaluating the Impact of Technological Adaptation in Third-Party Logistics on Farming Household Sustainability: The Mediating Role of Supply Chain Robustness. J. Bus. Res. Insights 2024, 10, 77–105. [Google Scholar] [CrossRef]
  21. Yang, Y.; Lin, M.; Lin, Y.; Zhang, C.; Wu, C. A Survey of Blockchain Applications for Management in Agriculture and Livestock Internet of Things. Future Internet 2025, 17, 40. [Google Scholar] [CrossRef]
  22. Nagurney, A.; Li, D.; Nagurney, L.S. Spatial Price Equilibrium with Information Asymmetry in Quality and Minimum Quality Standards. Int. J. Prod. Econ. 2013, 158, 300–313. [Google Scholar] [CrossRef]
  23. Yang, J.; Liu, H.; Yu, X.; Xiao, F. Emergency Coordination Model of Fresh Agricultural Products’ Three-Level Supply Chain with Asymmetric Information. Math. Probl. Eng. 2016, 2016, 2780807. [Google Scholar] [CrossRef]
  24. Mardenli, A.; Sackmann, D.; Fiedler, A.; Rhein, S.; Alghababsheh, M. Determinants of Information Asymmetry in Agri-Food Supply Chains. Int. J. Logist. Manag. 2025, 36, 259–289. [Google Scholar] [CrossRef]
  25. Liu, Y.; Yan, B.; Chen, X. Decisions of Dual-Channel Fresh Agricultural Product Supply Chains Based on Information Sharing. Int. J. Retail. Distrib. Manag. 2024, 52, 910–930. [Google Scholar] [CrossRef]
  26. Ma, S.; Dan, B.; Li, M.; Zhou, M. To Be Traceable and Responsive: Blockchain Adoption and Information Sharing in a Fresh Produce Supply Chain. Int. Trans. Oper. Res. 2024, 31, 4174–4198. [Google Scholar] [CrossRef]
  27. Kerkkamp, R.B.O.; Van Den Heuvel, W.; Wagelmans, A.P.M. Two-Echelon Supply Chain Coordination under Information Asymmetry with Multiple Types. Omega 2018, 76, 137–159. [Google Scholar] [CrossRef]
  28. Gurnani, H.; Erkoc, M. Supply Contracts in Manufacturer-retailer Interactions with Manufacturer-quality and Retailer Effort-induced Demand. Nav. Res. Logist. 2008, 55, 200–217. [Google Scholar] [CrossRef]
  29. Ha, A.Y.; Tong, S.; Zhang, H. Sharing Demand Information in Competing Supply Chains with Production Diseconomies. Manag. Sci. 2011, 57, 566–581. [Google Scholar] [CrossRef]
Figure 1. Supply Chain Structure.
Figure 1. Supply Chain Structure.
Sustainability 18 00808 g001
Figure 2. Sensitivity Analysis of the Exaggeration Coefficient  λ . (a) Trend in the Preservation efforts level  θ . (b) Trend in Demand Quantity  Q .
Figure 2. Sensitivity Analysis of the Exaggeration Coefficient  λ . (a) Trend in the Preservation efforts level  θ . (b) Trend in Demand Quantity  Q .
Sustainability 18 00808 g002
Figure 3. Multiple Sensitivity Analysis of the Exaggeration Coefficient  λ  and Freshness Preference Coefficient  ϕ . (a) Trends in Preservation Effort  θ , Regarding Changes in Exaggeration Coefficient  λ  and Freshness Preference  ϕ . (b) Trends in the Variation of Total Profit  π c  Regarding Changes in Exaggeration Coefficient  λ  and Freshness Preference  ϕ . (c) Trend of Profit Share by Entity with Variation in Freshness Preference  ϕ .
Figure 3. Multiple Sensitivity Analysis of the Exaggeration Coefficient  λ  and Freshness Preference Coefficient  ϕ . (a) Trends in Preservation Effort  θ , Regarding Changes in Exaggeration Coefficient  λ  and Freshness Preference  ϕ . (b) Trends in the Variation of Total Profit  π c  Regarding Changes in Exaggeration Coefficient  λ  and Freshness Preference  ϕ . (c) Trend of Profit Share by Entity with Variation in Freshness Preference  ϕ .
Sustainability 18 00808 g003
Figure 4. Analysis Results on Contract Coordination Effectiveness. (a) Percentage Change in Profit for Each Party Before and After Contract Coordination. (b) Percentage Change in Total Profit Before and After Contract Coordination. (c) Total Profit Change Before and After Contract Coordination.
Figure 4. Analysis Results on Contract Coordination Effectiveness. (a) Percentage Change in Profit for Each Party Before and After Contract Coordination. (b) Percentage Change in Total Profit Before and After Contract Coordination. (c) Total Profit Change Before and After Contract Coordination.
Sustainability 18 00808 g004
Table 1. Notations and meaning.
Table 1. Notations and meaning.
NotionsMeaning
a The essential demand for fresh produce
h Consumers’ overall preference for price and freshness
p Retail price
ϕ Freshness Preference Coefficient
wWholesale price
θPreservation efforts level
sLogistics service fee
μ Unit preservation cost
t Transportation time
δ Decay coefficient of freshness over time
Q Demand for fresh produce
csSupplier’s unit production cost
ctUnit logistics cost of TPL
λ TPL’s exaggeration factor
π s ,   π t ,   π r The profit margins of each entity in the supply chain
π c Total profit of the supply chain
Table 2. Comparison of Optimal Decisions.
Table 2. Comparison of Optimal Decisions.
Decision-Making ModelθQpπc
Centralized decision-making1.7750.3358.922720.7
Decentralized decision-making0.110827.3386.041890.43
Disclaimer/Publisher’s Note: The statements, opinions and data contained in all publications are solely those of the individual author(s) and contributor(s) and not of MDPI and/or the editor(s). MDPI and/or the editor(s) disclaim responsibility for any injury to people or property resulting from any ideas, methods, instructions or products referred to in the content.

Share and Cite

MDPI and ACS Style

Shao, J.; Cao, W. Contract Design for Coordinating Fresh Produce E-Commerce Supply Chains Under Information Asymmetry. Sustainability 2026, 18, 808. https://doi.org/10.3390/su18020808

AMA Style

Shao J, Cao W. Contract Design for Coordinating Fresh Produce E-Commerce Supply Chains Under Information Asymmetry. Sustainability. 2026; 18(2):808. https://doi.org/10.3390/su18020808

Chicago/Turabian Style

Shao, Jiawei, and Wenbin Cao. 2026. "Contract Design for Coordinating Fresh Produce E-Commerce Supply Chains Under Information Asymmetry" Sustainability 18, no. 2: 808. https://doi.org/10.3390/su18020808

APA Style

Shao, J., & Cao, W. (2026). Contract Design for Coordinating Fresh Produce E-Commerce Supply Chains Under Information Asymmetry. Sustainability, 18(2), 808. https://doi.org/10.3390/su18020808

Note that from the first issue of 2016, this journal uses article numbers instead of page numbers. See further details here.

Article Metrics

Back to TopTop