Enhancing EV Hosting Capacity in Distribution Networks Using WAPE-Based Dynamic Control
Abstract
1. Introduction
- A Particle Swarm Optimization (PSO)-based formulation is developed to estimate the maximum theoretical EV HC under voltage-constrained steady-state conditions.
- The optimized EV HC obtained from PSO is validated using a simulation framework environment to assess its real-time applicability.
- A Weighted Average Power Estimator (WAPE) controller is integrated into the simulation environment to mitigate PV intermittency and EV stochasticity, enabling the system to sustain the higher optimization-derived HC without requiring conservative derating.
2. Methodology of Analysis
2.1. Optimization Framework
- Charging power,
- Voltage at the connecting point,
- Active and reactive power relationship,
- where is the voltage magnitude at bus i, is the nominal, and are the allowable bounds (e.g., 400–430 Vrms) is the EV charging power decision variable (searched by PSO) varies from 0 to 7 kW. represents the reactive power supported by EV. The rated apparent power is considered 7 kVAR for level 2 chargers. During each iteration, the velocity and position of each particle are updated according to:where and denote the position and velocity of a particle at iteration k, and are the best local and global solutions found so far, is the inertia weight controlling exploration and exploitation, and are the cognitive and social learning coefficients. The PSO process continues until the convergence criterion, defined by a minimum change in the objective function or a maximum number of iterations, is satisfied. The resulting optimal charging power is then applied in the load flow analysis to assess its impact on the network’s voltage profile.
2.2. Simulation Framework
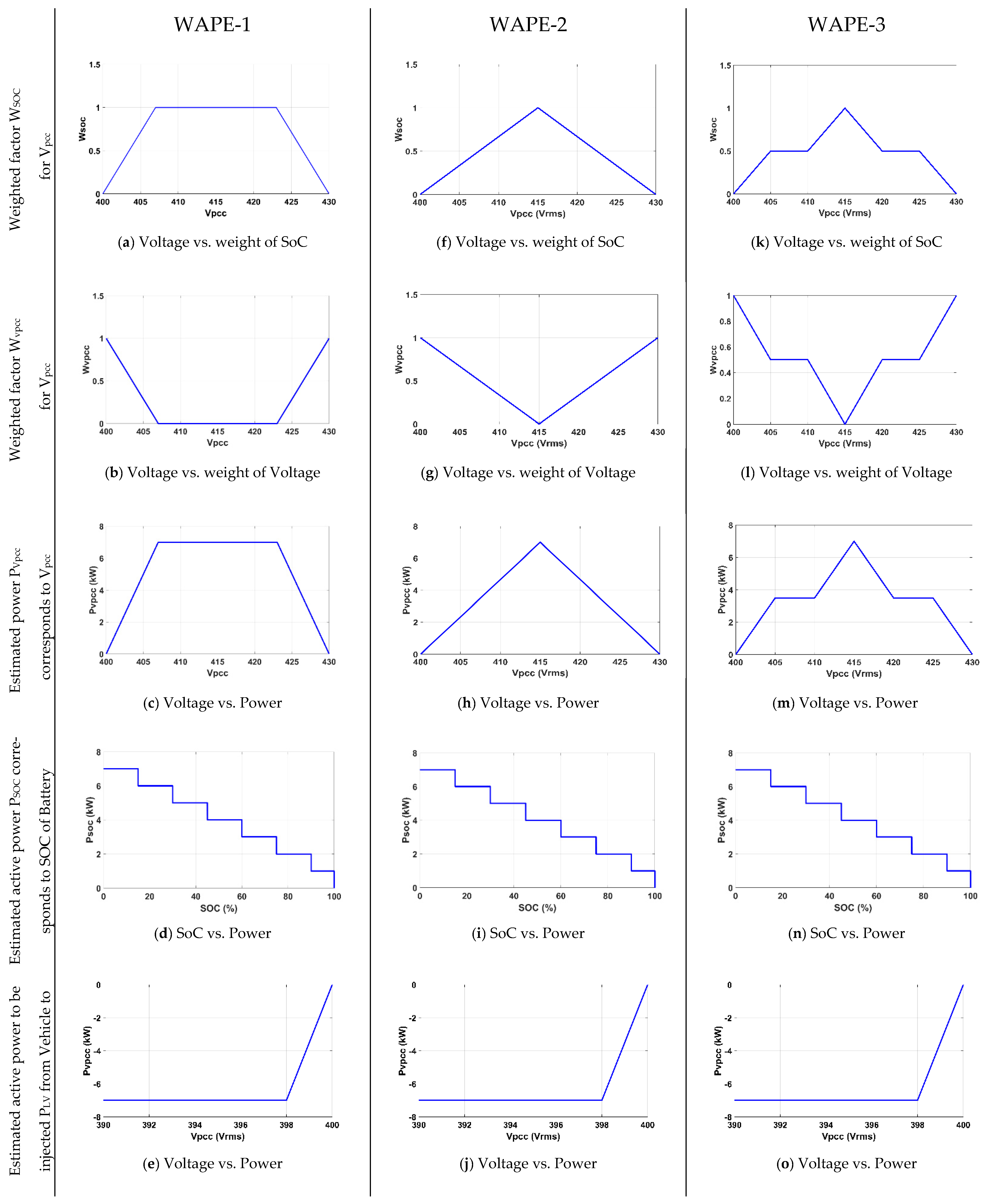
2.3. WAPE-Based Dynamic Simulation
- , Active power reference to consume/inject.
- , Reactive power reference to consume/inject.
- , Estimated active power corresponding to the in charging mode.
- , Estimated active power corresponding to the bus voltage in charging mode.
- , Estimated Power corresponding to the bus voltage in discharging mode.
- , The weighted factor for of battery in charging mode.
- , The weighted factor for in charging mode.
- S, Charger rated apparent power (kVA).
| Algorithm 1. WAPE based EV charging power management | ||||
| 1. | Measure Grid voltage, PV generation, EV Load and SOC of EV | |||
| 2. | if Cloud event/Multiple EV arrival detected | |||
| Flag: Activate WAPE control | ||||
| 3. | // Obtain references using lookup table | |||
| // Obtain weighting factors using lookup table | ||||
| // Enforce constraint | ||||
| 4. | // Compute real-time active-power reference | |||
| // Compute and provide reactive power | ||||
| 5. | else No Event/Disturbance | |||
| Flag: Normal HC based charging | ||||
| // Charging with rated HC without reactive power support | ||||
| 6. | end | |||
3. System Model
3.1. Network Model
3.2. Load Flow Model
3.3. EV Charger/Converter Model
4. Results and Discussion
4.1. Optimization vs. Simulation Based HC
4.2. Limitations of the Optimization-Based Assessment
4.2.1. PV Uncertainties
4.2.2. Uncoordinated EV Arrival
4.3. Simulation-Based HC with WAPE Controller
4.3.1. WAPE Controller for Cloud Cover
4.3.2. WAPE Controller for Uncoordinated EV Arrival
4.4. Charging Time and Driver Satisfaction
- Without WAPE (charging postponed):
- , Total EV battery capacity (kWh)
- , Full rate charging power (kW)
- , Reduced charging power during cloud (kW)
- , Full rate charging time (hours)
- , Duration of cloud or disturbance (hours)
- , Energy charged during reduced-rate period (kWh)
5. Conclusions
Author Contributions
Funding
Institutional Review Board Statement
Informed Consent Statement
Data Availability Statement
Conflicts of Interest
References
- Lopes, J.A.P.; Soares, F.J.; Almeida, P.M.R. Integration of Electric Vehicles in the Electric Power System. Proc. IEEE 2011, 99, 168–183. [Google Scholar] [CrossRef]
- International Energy Agency. Global EV Outlook. Available online: https://www.iea.org/reports/global-ev-outlook-2023 (accessed on 25 November 2025).
- Then, J.; Agalgaonkar, A.P.; Muttaqi, K.M. HC of an Australian Low-Voltage Distribution Network for Electric Vehicle Adoption. In Proceedings of the 2022 IEEE International Conference on Power Electronics, Smart Grid, and Renewable Energy (PESGRE), Trivandrum, India, 2–5 January 2022. [Google Scholar] [CrossRef]
- Zhang, Z.; Wang, K.; Zhao, Q.; Tian, Y.; Li, L. Positive Sequence Current Phase-Based Improved Reverse-Power Protection and a PV HC Assessment Method for Spot Networks. IEEE Access 2020, 8, 42529–42539. [Google Scholar] [CrossRef]
- Wang, X.; Kaleybar, H.J.; Brenna, M.; Zaninelli, D. Power quality indicators of electric vehicles in distribution grid. In Proceedings of the 2022 20th International Conference on Harmonics & Quality of Power (ICHQP), Naples, Italy, 29 May–1 June 2022. [Google Scholar] [CrossRef]
- Xi, Z.; Xiang, Y.; Huang, S.Y.; Yu, B.; Weng, L.; Tang, C.; Xu, W.; Liu, J. Hosting capability assessment and enhancement of electric vehicles in electricity distribution networks. J. Clean. Prod. 2023, 398, 136638. [Google Scholar] [CrossRef]
- Khan, M.; Kirmani, S.; Rihan, M. Impact assessment of electric vehicle charging on distribution networks. Renew. Energy Focus 2024, 50, 100599. [Google Scholar] [CrossRef]
- Ismael, S.; Aleem, S.; Abdelaziz, A.; Zobaa, A. State-of-the-art of HC in modern power systems with distributed generation. Renew Energy 2019, 130, 1002–1020. [Google Scholar] [CrossRef]
- Karmaker, A.; Prakash, K.; Siddique, M.N.I.; Hossain, M.A.; Pota, H. Electric vehicle HC analysis: Challenges and solutions. Renew. Sustain. Energy Rev. 2024, 189, 113916. [Google Scholar] [CrossRef]
- Rabiee, A.; Mohseni-Bonab, S. Maximizing HC of renewable energy sources in distribution networks: A multi-objective and scenario-based approach. Energy 2017, 120, 417–430. [Google Scholar] [CrossRef]
- Al-Dhaifallah, M.; Refaat, M.M.; Alaas, Z. Enhancing HC for electric vehicles in modern power networks using improved hybrid optimization approaches with environmental sustainability considerations. Sci. Rep. 2024, 14, 25607. [Google Scholar] [CrossRef]
- Almutairi, S.Z.; Alharbi, A.M.; Ali, Z.M. A hierarchical optimization approach to maximize HC for electric vehicles and renewable energy sources through demand response and transmission expansion planning. Sci. Rep. 2024, 14, 15765. [Google Scholar] [CrossRef]
- Zenhom, Z.M.; Aleem, S.H.E.A.; Zahab, E.A. Simultaneous distributed generation and electric vehicles HC enhancement through a synergetic hierarchical bi-level optimization approach based on demand response and Volt/VAR control. Sci. Rep. 2025, 15, 5443. [Google Scholar] [CrossRef] [PubMed]
- Rawat, T.; Singh, J.; Pandey, V.; Sharma, S. Planning renewables in distribution system with electric vehicles to improve HC and energy losses: Two-stage stochastic optimization framework. Sustain. Energy Grids Netw. 2024, 39, 101445. [Google Scholar] [CrossRef]
- Abad, M.S.S.; Ma, J.; Zhang, D.; Ahmadyar, A.S.; Marzooghi, H. Probabilistic Assessment of HC in Radial Distribution Systems. IEEE Trans. Sustain. Energy 2018, 9, 1935–1947. [Google Scholar] [CrossRef]
- McNab, S.; Schipper, J.; Yuyin, K. Modelling the HC of Orion’s Low Voltage Network for EV Charging. In Proceedings of the Electricity Engineers Association 2021 Conference, Wellington, NZ, USA, 2–4 August 2021. [Google Scholar]
- Mulenga, E.; Bollen, M.H.; Etherden, N. Adapted stochastic PV HC approach for electric vehicle charging considering undervoltage. Electricity 2021, 2, 387–402. [Google Scholar] [CrossRef]
- Chihota, M.J.; Bekker, B.; Gaunt, T. A stochastic analytic-probabilistic approach to distributed generation HC evaluation of active feeders. Int. J. Power Energy Syst. 2022, 136, 107598. [Google Scholar] [CrossRef]
- Chathurangi, D.; Jayatunga, U.; Perera, S.; Agalgaonkar, A. A generalised deterministic approach to evaluate PV HC of LV distribution networks under different operating conditions. In HC for Smart Power Grids; Springer: Berlin/Heidelberg, Germany, 2020; pp. 149–177. [Google Scholar]
- Chathurangi, D.; Jayatunga, U.; Perera, S.; Agalgaonkar, A. Evaluation of maximum solar PV penetration: Deterministic approach for over voltage curtailments. In Proceedings of the 2019 IEEE PES Innovative Smart Grid Technologies Europe (ISGT-Europe), Bucharest, Romania, 2 October 2019; IEEE: New York City, NY, USA, 2019; pp. 1–5. [Google Scholar]
- Rylander, M.; Smith, J.; Sunderman, W. Streamlined Method for Determining Distribution System HC. In Proceedings of the 2015 IEEE Rural Electric Power Conference, Asheville, NC, USA, 19–22 April 2015. [Google Scholar] [CrossRef]
- Gatta, F.M.; Geri, A.; Lamedica, R.; Maccioni, M.; Ruvio, A. PQ and HC issues for EV charging systems penetration in real MV/LV networks. In Proceedings of the 2016 Power Systems Computation Conference (PSCC), Genoa, Italy, 20–24 June 2016. [Google Scholar] [CrossRef]
- Cundeva, S.; Mateska, A.K.; Bollen, M.H.J. HC of LV residential grid for uncoordinated EV charging. In Proceedings of the 2018 18th International Conference on Harmonics and Quality of Power (ICHQP), Ljubljana, Slovenia, 13–16 May 2018. [Google Scholar] [CrossRef]
- Wang, L.; Kwon, J.; Verbas, O.; Rousseau, A.; Zhou, Z. Charging station planning to maximize extra load HC in unbalanced distribution system. In Proceedings of the 2020 IEEE Power & Energy Society General Meeting (PESGM), Montreal, QC, Canada, 2–6 August 2020; IEEE: New York City, NY, USA, 2020; pp. 1–5. [Google Scholar]
- Jones, C.B.; Lave, M.; Darbali, R. Overall capacity assessment of distribution feeders with different electric vehicle adoptions. In Proceedings of the 2020 IEEE Power & Energy Society General Meeting (PESGM), Montreal, QC, Canada, 2–6 August 2020; IEEE: New York City, NY, USA, 2020; pp. 1–5. [Google Scholar]
- Karandeh, R. Placement Evaluation of Distributed Energy Storage for Integrating EV Charging and PV Solar Infrastructure. In Proceedings of the 2021 IEEE 12th International Symposium on Power Electronics for Distributed Generation Systems (PEDG), Chicago, IL, USA, 2–6 August 2021. [Google Scholar] [CrossRef]
- Kim, T.H.; Kim, D.; Moon, S.I. Evaluation of electric vehicles HC based on interval undervoltage probability in a distribution network. IEEE Access 2021, 9, 140147–140155. [Google Scholar] [CrossRef]
- Leemput, N.; Geth, F.; Van Roy, J.; Olivella-Rosell, P.; Driesen, J.; Sumper, A. MV and LV Residential Grid Impact of Combined Slow and Fast Charging of Electric Vehicles. Energies 2015, 8, 1760–1783. [Google Scholar] [CrossRef]
- Paudyal, S.; Ceylan, O.; Bhattarai, B.P.; Myers, K.S. Optimal Coordinated EV Charging with Reactive Power Support in Constrained Distribution Grids. In Proceedings of the 2017 IEEE Power & Energy Society General Meeting (PESGM), Chicago, IL, USA, 16–20 July 2017. [Google Scholar]
- Wang, J.; Paudyal, S. Reactive Power Support from EVs for Distribution Grid Voltage Management. In Proceedings of the 2018 IEEE Power & Energy Society General Meeting, Portland, OR, USA, 5–10 August 2018. [Google Scholar] [CrossRef]
- Trinh, P.-H.; Chung, I.-Y. Integrated Active and Reactive Power Control Methods for Distributed Energy Resources in Distribution Systems for Enhancing Hosting Capacity. Energies 2024, 17, 1642. [Google Scholar] [CrossRef]
- Murthy, S.S. 12-Renewable energy generators and control. In Electric Renewable Energy Systems; Rashid, M.H., Ed.; Academic Press: Cambridge, MA, USA, 2016; pp. 237–289. [Google Scholar] [CrossRef]
- Henriksson, D.; Cervin, A.; Årzén, K. True-Time: Real-time Control System Simulation with MATLAB/Simulink. In Proceedings of the Nordic MATLAB Conference, Copenhagen, Denmark, 21–22 October 2003. [Google Scholar]
- Al–Amin; Ferdous, S.; Shoeb, M.; Shafiullah, G. Advanced Grid Integration of EVs with V2G Capabilities: Power Management Across Diverse Distribution Networks. In Proceedings of the 2024 International Conference on Sustainable Technology and Engineering (i-COSTE), Perth, WA, Australia, 18–20 December 2024. [Google Scholar] [CrossRef]
- Aref, A.; Davoudi, M.; Razavi, F.; Davoodi, M. Optimal DG Placement in Distribution Networks Using Intelligent Systems. Energy Power Eng. 2012, 4, 92–98. [Google Scholar] [CrossRef]
- Wang, D.; Turitsyn, K.; Chertkov, M. DistFlow ODE: Modeling, analyzing and controlling long distribution feeder. In Proceedings of the 2012 IEEE 51st IEEE Conference on Decision and Control (CDC), Maui, HI, USA, 10–13 December 2012. [Google Scholar] [CrossRef]
- Ferdous, S.; Shafiullah, F.S.G. Provisional energy transaction management amongst neighboring microgrids through a DC power exchange link. IET Power Electron. 2020, 13, 4129–4139. [Google Scholar] [CrossRef]
- Umoh, V.; Davidson, I.; Adebiyi, A.; Ekpe, U. Methods and Tools for PV and EV HC Determination in Low Voltage Distribution Networks—A Review. Energies 2023, 16, 3609. [Google Scholar] [CrossRef]
- Carmelito, B.E.; Filho, J.M.d. HC of Electric Vehicles on LV/MV Distribution Grids—A New Methodology Assessment. Energies 2023, 16, 1509. [Google Scholar] [CrossRef]
- McGill, E. Flexible Criteria for Assessing EV HC in Stochastic Load-Flow Simulations. Doctoral Thesis, University of Canterbury, Christchurch, New Zealand, 2021. [Google Scholar]
- Wang, Y.; Qiu, D.; Strbac, G.; Gao, Z. Coordinated Electric Vehicle Active and Reactive Power Control for Active Distribution Networks. IEEE Trans. Ind. Inform. 2023, 19, 1611–1622. [Google Scholar] [CrossRef]
- Chukwu, U.C.; Mahajan, S.M. Real-Time Management of Power Systems with V2G Facility for Smart-Grid Applications. IEEE Trans. Sustain. Energy 2014, 5, 558–566. [Google Scholar] [CrossRef]
- Leemput, N.; Geth, F.; Roy, J.V.; Büscher, J.; Driesen, J. Reactive power support in residential LV distribution grids through electric vehicle charging. Sustain. Energy Grids Netw. 2015, 3, 24–35. [Google Scholar] [CrossRef]
- Gandhi, O.; Zhang, W.; Rodríguez-Gallegos, C.D.; Srinivasan, D.; Reindl, T. Continuous optimization of reactive power from PV and EV in distribution system. In Proceedings of the 2016 IEEE Innovative Smart Grid Technologies-Asia (ISGT-Asia), Melbourne, VIC, Australia, 28 November–1 December 2016. [Google Scholar] [CrossRef]
- Wang, J.; Bharati, G.R.; Paudyal, S.; Ceylan, O.; Bhattarai, B.P.; Myers, K.S. Coordinated Electric Vehicle Charging With Reactive Power Support to Distribution Grids. IEEE Trans. Ind. Inform. 2019, 15, 54–63. [Google Scholar] [CrossRef]
- Chen, J.; Bei, G.; Zhang, Q.; Huang, L.; Liu, K.; Chen, P. Integrated reactive power optimization for distribution systems considering electric vehicle dis-/charging support. Energy Rep. 2023, 9, 1888–1896. [Google Scholar] [CrossRef]

























| Ref. | Objective | Findings/Outcome | Research Gap |
|---|---|---|---|
| [22] | The study aims to highlight the challenges associated with harmonic distortion due to the increasing penetration of EV charging stations in actual medium- and low-voltage (MV/LV) distribution networks. | In the Medium/Long-term scenario, THD increases up to 6.56%, considering all MV feeders connected, and 7.17% if one MV feeder is disconnected, whereas it exceeds the 8% maximum value if two or more feeders are disconnected. | Incorporating intermittent photovoltaic (PV) systems and additional operational constraints within medium- and low-voltage (MV/LV) networks allows for a more realistic evaluation of grid performance. |
| [23] | Investigate the HC of a realistic LV residential network with 160 households for EV chargers. | The study concludes that the distribution network can accommodate up to 72 EV chargers, equivalent to a 45% penetration level, when evenly distributed across the feeders. Exceeding this threshold with 73 or more simultaneously charging EVs significantly increases the risk of breaching the 90% undervoltage limit. | Uncertainties such as EV arrival and departure times, time-of-use behavior, and DER integration offer a more realistic system model and strengthen the reliability of HC assessments under varying conditions. |
| [24] | This study presents an integrated planning framework for strategically locating EV charging stations to minimize adverse effects on the distribution network’s HC while meeting public charging demand. | The findings indicate that the proposed framework provides an optimal estimation of EV HC for distribution system planning by evaluating both best- and worst-case operating scenarios. | Future research could focus on optimal EV charging station (EVCS) placement, modeling EV-related uncertainties. |
| [25] | An extensive capacity evaluation was performed alongside an analysis of the X/R ratios for six real-world distribution feeders to examine how voltage responds to varying levels of EV HC. | The study identified the precise integration limit at which voltage violations begin to occur, providing valuable insights into the system’s operational boundaries and sensitivity to increased EV penetration. | Future studies could investigate the impacts of higher DER penetration along with additional technical constraints such as line losses and harmonic distortion. |
| [26] | System vulnerabilities were identified under worst-case operational conditions through time-series power flow simulations combined with load HC analyses. | The inclusion of EV charging significantly increases system loading, resulting in up to 90% thermal limit violations during peak demand hours, which highlights the adverse impact of uncoordinated EV integration on network thermal stability. | Further analysis of harmonic disturbances and feeder performance is essential to better understand their effects on voltage stability, power quality, and HC. |
| [27] | This study introduces a modeling framework to determine the maximum number of EVs that can be integrated into a low-voltage distribution network, with particular emphasis on microgrid environments. | The findings indicate that the maximum HC increases with a higher voltage–voltage index (VVI), reflecting enhanced network flexibility and an improved ability to accommodate additional EV integration without violating voltage or operational limits. | This approach does not account for multiple system constraints, charging control mechanisms, or V2G functionality, which limits its applicability for comprehensive HC analysis under realistic operating conditions. |
| [16] | This study analyzes and predicts potential congestion risks across selected circuits within Orion’s network as EV charging demand continues to grow. | The results indicate that during peak load conditions, voltage levels across most sub-networks are projected to drop below 0.94 p.u., signaling potential undervoltage issues and reduced voltage stability as EV charging demand intensifies. | Considering renewable sources such as solar PV or wind power would provide deeper insights into grid flexibility, energy balancing, and the potential for reducing peak load impacts through coordinated DER–EV operation. |
| Study | Active/Reactive Power Control | HC Enhancement Considered | Dynamic PV Uncertainty | EV Arrival Stochasticity | Maintains HC During Short Disturbances | Charging During Disturbance | Key Limitation |
|---|---|---|---|---|---|---|---|
| Ref. [28] | Reactive power support via EVs | Indirect (voltage support) | ✗ | ✗ | ✗ | ✗ | Steady-state focus |
| Ref. [29] | Coordinated P–Q control | Partial | ✗ | ✗ | ✗ | ✗ | No transient analysis |
| Ref. [30] | Coordinated active/reactive control | Yes | ✗ | ✗ | ✗ | ✗ | Average-condition based |
| Ref. [31] | Integrated P–Q optimization | Yes | ✓ (slow variations) | ✗ | ✗ | ✗ | No short-term dynamics |
| This work (WAPE) | P–Q via WAPE | Yes (usable HC) | ✓ (seconds-scale) | ✓ | ✓ | ✓ (reduced rate) | — |
| Parameter | Value |
|---|---|
| EV Charger power | 7 kVA |
| System Voltage (V) | 415 V (3-ϕ) rms |
| EV Charger type | Level 2 |
| Voltage Constraint | Bus Voltage (V) | EV Power (kW) | ||
|---|---|---|---|---|
| Optimization Based | Simulation Based | |||
| 400–430 | 408.06 | 398.52 | EV1 | 7 |
| EV2 | 7 | |||
| EV3 | 7 | |||
| EV4 | 7 | |||
| EV5 | 7 | |||
| Voltage Constraint | Bus Voltage (V) | EV Power (kW) | ||
|---|---|---|---|---|
| Optimization Based | Simulation Based | |||
| 410–430 | 410.06 | 402.52 | EV1 | 2.414 |
| EV2 | 4.957 | |||
| EV3 | 5.143 | |||
| EV4 | 0.721 | |||
| EV5 | 6.822 | |||
| Ref | Year | Grid Voltage Improvement (%) | VSM Improvement (%) | Active Power Improvement (%) | Charging Time Reduction (%) |
|---|---|---|---|---|---|
| [42] | 2014 | 2.89% | 5.45% | ||
| [43] | 2015 | 0.24% | 12% | ||
| [44] | 2016 | 1.09% | |||
| [30] | 2017 | 11.58% | |||
| [45] | 2019 | 1.01% | 11% | ||
| [46] | 2023 | 40% | |||
| [41] | 2023 | 1.98% | 30% | ||
| This paper (WAPE) | 3.10% | 155.81% | 218.74% | 10% |
Disclaimer/Publisher’s Note: The statements, opinions and data contained in all publications are solely those of the individual author(s) and contributor(s) and not of MDPI and/or the editor(s). MDPI and/or the editor(s) disclaim responsibility for any injury to people or property resulting from any ideas, methods, instructions or products referred to in the content. |
© 2026 by the authors. Licensee MDPI, Basel, Switzerland. This article is an open access article distributed under the terms and conditions of the Creative Commons Attribution (CC BY) license.
Share and Cite
Al-Amin; Shafiullah, G.M.; Shoeb, M.; Ferdous, S.M. Enhancing EV Hosting Capacity in Distribution Networks Using WAPE-Based Dynamic Control. Sustainability 2026, 18, 589. https://doi.org/10.3390/su18020589
Al-Amin, Shafiullah GM, Shoeb M, Ferdous SM. Enhancing EV Hosting Capacity in Distribution Networks Using WAPE-Based Dynamic Control. Sustainability. 2026; 18(2):589. https://doi.org/10.3390/su18020589
Chicago/Turabian StyleAl-Amin, G. M. Shafiullah, Md Shoeb, and S. M. Ferdous. 2026. "Enhancing EV Hosting Capacity in Distribution Networks Using WAPE-Based Dynamic Control" Sustainability 18, no. 2: 589. https://doi.org/10.3390/su18020589
APA StyleAl-Amin, Shafiullah, G. M., Shoeb, M., & Ferdous, S. M. (2026). Enhancing EV Hosting Capacity in Distribution Networks Using WAPE-Based Dynamic Control. Sustainability, 18(2), 589. https://doi.org/10.3390/su18020589

