Next Article in Journal
Enhancing EV Hosting Capacity in Distribution Networks Using WAPE-Based Dynamic Control
Previous Article in Journal
Carbon Capture, Utilization, and Storage (CCUS) for Clean Energy
 
 
Due to scheduled maintenance work on our servers, there may be short service disruptions on this website between 11:00 and 12:00 CEST on March 28th.
Font Type:
Arial Georgia Verdana
Font Size:
Aa Aa Aa
Line Spacing:
Column Width:
Background:
Article

Generative Artificial Intelligence for Sustainable Digital Transformation in Agro-Environmental Higher Education in Ecuador

by
Juan Fernando Guamán-Tabango
1,2 and
Alexandra Elizabeth Jácome-Ortega
1,2,*
1
Facultad de Ingeniería en Ciencias Agropecuarias y Ambientales, Universidad Técnica del Norte, Av. 17 de Julio 5-21 y Gral. José María Córdova, Ibarra 100150, Ecuador
2
Grupo de Investigación Multidisciplinario (GIM), Universidad Técnica del Norte, Av. 17 de Julio 5-21 y Gral. José María Córdova, Ibarra 100150, Ecuador
*
Author to whom correspondence should be addressed.
Sustainability 2026, 18(2), 587; https://doi.org/10.3390/su18020587
Submission received: 21 October 2025 / Revised: 22 December 2025 / Accepted: 26 December 2025 / Published: 7 January 2026
(This article belongs to the Section Sustainable Education and Approaches)

Abstract

This study analyses the integration of Generative Artificial Intelligence (GenAI) in agro-environmental higher education in Ecuador, focusing on its contribution to sustainable digital transformation aligned with Sustainable Development Goals (SDGs) 4 and 9. The research was conducted at the Faculty of Agricultural and Environmental Engineering (FICAYA) of Universidad Técnica del Norte (UTN) using a quantitative, cross-sectional, and analytical design. A validated digital survey grounded in established technology-acceptance frameworks—the Technology Acceptance Model (TAM) and the Unified Theory of Acceptance and Use of Technology (UTAUT) was administered to 94% of the student population, showing satisfactory internal consistency (Cronbach’s α = 0.87). Data was analysed using descriptive statistics and multivariate techniques, including Principal Component Analysis (PCA) and k-means clustering. The results obtained in Microsoft Forms® indicate that ChatGPT-5 is the most widely used GenAI tool (54.2%), followed by Gemini (11.9%). Students reported perceived improvements in academic performance (62.5%), conceptual understanding (74.6%), and task efficiency (69.1%). PCA explained 67% of the total variance, identifying three latent dimensions: effectiveness and satisfaction, institutional access and support, and ethical concerns versus operational benefits. Furthermore, k-means clustering (k = 2) segmented users into two distinct profiles Integrators, characterised by frequent use and positive perceptions, and Cautious Users, exhibiting lower usage and greater ethical or technical concerns. Overall, the findings highlight GenAI as a catalyst for sustainable education and underline the need for institutional and ethical frameworks to support its responsible integration in Latin American universities.

1. Introduction

The digital era has transformed access to information and learning methodologies in Ecuadorian higher education. In this context, artificial intelligence (AI) has become a key tool for training in various branches of engineering, streamlining processes that once required days and can now be completed in hours or even minutes. This development underscores the need to strengthen both digital transformation and AI literacy [1]. Furthermore, AI optimises academic dynamics and redefines problem-solving for students and lecturers by enabling personalised learning, large-scale data analysis, and predictive modelling, opening new opportunities to enhance the quality, sustainability, and effectiveness of education [2]. In this regard, university digitalisation is also aligned with the Sustainable Development Goals (SDGs), particularly Goals 4 and 9, by promoting inclusive and innovative education capable of responding to contemporary environmental and technological challenges [3].
Within this broader digital transformation, Generative Artificial Intelligence (GenAI) has demonstrated strong potential to support knowledge assimilation and improve efficiency in academic tasks, with increasing adoption across Latin American universities [4]. GenAI tools offer unprecedented opportunities to personalise learning by adapting to diverse learning styles and paces [5]. This capacity not only enhances academic performance but also contributes to the development of green digital competences, which are essential for the transition towards sustainable educational models that integrate technology with environmental responsibility [6]. Consequently, GenAI has emerged as a disruptive force capable of complementing institutional teaching through improved time management, reduced consumption of physical resources, and facilitation of complex academic tasks [7].
Recent studies indicate that GenAI can increase student motivation, foster creativity, and enable more adaptive learning environments. However, the accelerated adoption of these technologies also raises significant challenges related to pedagogical integration, ethical implications, and the development of critical competences among students [8]. As digital technologies evolve, intelligent tutoring systems and adaptive learning platforms are increasingly redefining educational processes [7]. Although these tools can enrich learning through personalised feedback, their limited transparency and the still-emerging body of empirical evidence raise questions about their true educational scope and long-term impact [8]. From a sustainability perspective, educational innovation requires a careful balance between technological advancement and ethical formation, ensuring that AI supports—rather than replaces—the cognitive autonomy of future professionals in agricultural and environmental fields [9].
Concerns regarding excessive reliance on AI further reinforce this need for balance. Overuse of automated tools may displace writing, synthesis, and critical reasoning processes, potentially leading to cognitive fatigue or long-term skill atrophy [10]. These risks are compounded by issues related to data privacy and the quality of knowledge generated by models trained on massive datasets. In particular machine learning applications often require sensitive personal data, positioning data protection as a central concern in AI research and deployment, especially following the implementation of the General Data Protection Regulation (GDPR) in the European Union [11]. Within this framework, AI should assist content generation and decision support but not replace human creativity or critical judgement [12]. When integrated ethically and sustainably, however, AI can contribute to academic innovation and reduce institutional ecological footprints through resource optimisation and educational digitalisation [13].
Despite this growing relevance, empirical research on AI usage habits in Ecuadorian higher education remains limited, particularly within STEM disciplines and, more specifically, in environmental, agricultural, and related engineering sciences. Although the potential benefits of AI are widely acknowledged, many institutions continue to face economic, technological, and teacher-training constraints that hinder effective implementation [14]. In this context, the incorporation of GenAI into agro-environmental education represents a strategic opportunity to promote educational sustainability, strengthen technological resilience, and foster green innovation, especially in rural and productive territories [15]. This gap highlights the need for empirical studies that analyse not only patterns of AI use and perception, but also their implications for university education in disciplines that are critical to sustainability and national development [16].
Within this framework, the Faculty of Agricultural and Environmental Engineering (FICAYA) at Universidad Técnica del Norte (UTN) provides a particularly relevant setting for analysing the adoption of Generative Artificial Intelligence (GenAI). FICAYA emphasises applied teaching and the training of professionals capable of addressing complex agro-environmental challenges through the use of advanced digital tools. In Ecuador, the agricultural sector plays a central economic role, accounting for approximately 42% of national exports and contributing nearly 8% of the country’s Gross Domestic Product (GDP) [17]. This economic relevance reinforces the importance of understanding how students in agro-environmental disciplines engage with GenAI, as such insights help clarify the interactions between digital technologies, disciplinary knowledge, and sustainability, while anticipating the role these tools may play in future professional practice. Agro-environmental higher education thus constitutes a strategic space for linking digital innovation with environmental sustainability, enabling the training of engineers capable of applying AI to sustainable agricultural practices, natural resource management, and climate change mitigation [18].
In this context, the present study aims to evaluate the usage habits and perceptions of GenAI among students of FICAYA, considering institutional access, ease of use, academic utility, and ethical concerns. Rather than restricting the use of these tools, the research seeks to generate empirical evidence to support the formulation of institutional policies that promote critical, conscious, and functional use, strengthening fundamental cognitive competencies while avoiding excessive dependency [19]. The analysis is structured around five main axes: knowledge and access; frequency and context of use; impact on learning; perceived utility and quality; and barriers or limitations, following internationally recognised methodological models [20,21]. In addition, the study examines how usage patterns and perceptions relate to key dimensions derived from technology acceptance frameworks—specifically, the Technology Acceptance Model (TAM) and the Unified Theory of Acceptance and Use of Technology (UTAUT)—and explores latent structures and differentiated user profiles through multivariate statistical analysis [22].
Accordingly, the main objective of this research is to analyse patterns of access, use, and perceived impact of GenAI among students of FICAYA at UTN, considering institutional access, academic utility, and ethical concerns. Specifically, the study aims to: (i) characterise students’ GenAI usage habits; (ii) identify latent perception dimensions derived from TAM and UTAUT; and (iii) distinguish differentiated user profiles through multivariate statistical analysis.
By addressing this objective, the study contributes empirical evidence to support the responsible and sustainable integration of GenAI in agro-environmental higher education, offering a context-sensitive perspective that is particularly relevant for sustainability-oriented educational systems in Ecuador and Latin America [23].
The remainder of this paper is structured as follows. Section 2 describes the materials and methods, including the study design, population, data collection instrument, and statistical analysis procedures. Section 3 presents the results of the descriptive and multivariate analyses. Section 4 discusses the findings in light of existing literature and theoretical frameworks. Finally, Section 5 summarises the main conclusions and outlines implications and directions for future research.

2. Materials and Methods

This section presents the methodological framework adopted to ensure the rigor, validity, and reproducibility of the research. Data collection was conducted using Microsoft Forms® under the institutional license held by Universidad Técnica del Norte (UTN). Mathematical and statistical analyses were performed using MATLAB R2025b, also accessed through UTN’s institutional license. The section details the study design, scope and unit of analysis, sampling strategy, instrument development, and the implementation procedure.
In alignment with the conceptual framework of the study, educational sustainability is considered a guiding principle of the methodological design, particularly in contexts where digital transformation intersects with environmental responsibility. In this study, educational sustainability is understood as the ability of educational systems to maintain high-quality, inclusive, and equitable learning processes over time, while responsibly managing technological, social, and environmental resources. From this perspective, sustainable education integrates pedagogical innovation and ethical digital practices to ensure long-term societal and environmental benefits.

2.1. Study Design

The operational framework of the study defines the target population, units of analysis, and methodological assumptions that guide the measurement of variables and structure the sequence of technical decisions. Accordingly, the following subsections describe the parameters used for population selection and the criteria applied during the implementation of the research design.
The research adopts a case study design focused on a single public higher education institution. This approach is particularly suitable for the in-depth examination of emerging educational phenomena—such as the adoption of Generative Artificial Intelligence—within a clearly defined institutional and disciplinary context. By concentrating on the Faculty of Agricultural and Environmental Engineering (FICAYA) at the Universidad Técnica del Norte (UTN), the study enables a detailed analysis of usage patterns, perceptions, and ethical considerations that would be difficult to capture through multi-institutional surveys with limited contextual resolution.
The selection of UTN as the case institution is further justified by its long-standing academic trajectory and consolidated role in agro-environmental education in northern Ecuador. Since its foundation in 1986, UTN has developed one of the oldest and most extensive portfolios of undergraduate programmes related to the agro-environmental field in the region, positioning it as a representative and influential academic reference for this disciplinary area [24]. Moreover, the high response rate and internal heterogeneity of the sample strengthen the analytical robustness of the case, supporting its relevance as a reference for comparable agro-environmental higher education contexts.

2.1.1. Population

The research adopted a quantitative, cross-sectional, and descriptive–analytical approach, designed to rigorously explore patterns of use, perception, and academic effects of artificial intelligence (AI) tools among undergraduate students. This type of design is particularly suitable for characterising emerging phenomena in educational contexts and for identifying relationships among variables without direct manipulation [25].
The cross-sectional nature of the study made it possible to obtain a representative overview of student behaviour during the first academic term of 2025. In turn, the descriptive–analytical scope enabled the quantification of the frequency and distribution of AI use and the examination of relationships among cognitive, attitudinal, and academic performance dimensions, as illustrated in Figure 1.
The quantitative approach was selected for its capacity to operationalise complex constructs—such as “perceived usefulness” and “impact on learning”—through measurable variables, thereby ensuring objectivity, replicability, and statistical validity. The design integrated multivariate and regression techniques, which enabled the identification of patterns and predictive factors related to satisfaction with and effective use of AI in university settings, while incorporating unobserved intervening (latent) variables [26].

2.1.2. Institutional Context

The study was conducted in the Faculty of Engineering in Agricultural and Environmental Sciences (FICAYA) at Universidad Técnica del Norte (UTN), located in Imbabura Province, Ecuador. UTN is a public higher education institution recognised nationally for its leadership in applied research and humanistic training. FICAYA specialises in areas such as renewable energies, biotechnology, and agricultural and environmental sciences.
The institutional context was particularly pertinent to this research, given the university’s promotion of the responsible use of emerging technologies and its integration of artificial intelligence as a tool to support learning and academic innovation [27]. The academic environment at FICAYA comprises six engineering programmes: Agroindustrial Engineering, Agricultural Engineering, Environmental Engineering, Biotechnology, Renewable Energies, and Forestry. These programmes share a scientific-technical focus and are characterised by a high level of adoption of digital tools for teaching, research, and knowledge management.

2.1.3. Population and Sample

The target population comprised 1175 students enrolled across the six-degree programmes of the Faculty of Engineering in Agricultural and Environmental Sciences (FICAYA) during the October 2024–February 2025 academic period. Prior to full deployment, a pilot survey was conducted to assess the operational validity of the data collection system. This pilot, administered to 50 randomly selected students, yielded a Cronbach’s alpha of 0.94, classifying the instrument as having high internal consistency [28].
Following validation, the questionnaire was administered to the student population, obtaining 1104 valid responses a response rate of 93.96%, which is considered highly satisfactory for research conducted in higher education contexts [29]. The sample included all degree programmes and academic levels, ensuring statistical representativeness. Demographic composition was diverse, with 55.53% women and 44.47% men, and participants distributed from the first to the eighth level. This heterogeneity enabled analysis of the influence of level of study, academic experience, and gender on perceptions and usage habits of AI. The primary inclusion criterion was active undergraduate enrolment in FICAYA during the study period. No exclusion criteria were established other than incomplete responses in the digital questionnaire.

2.1.4. Rationale for the Design and Representativeness

The use of a descriptive–analytical design enabled the integration of exploratory components, combining frequency analysis, mean comparisons, and regression models to develop a comprehensive understanding of students’ interactions with artificial intelligence tools. The breadth of the sample, together with the high internal consistency of the instrument applied (α = 0.87), ensures the external validity and reliability of the findings, supporting their potential generalisation to similar academic contexts in Latin America [30].
For the statistical analysis, a 95% confidence level and a 5% margin of error were established parameters widely accepted in engineering research [31]. The achieved sample size (n = 1104) yielded statistical power greater than 0.91, ensuring the ability to detect small to moderate effects in between-group comparisons. The methodological design therefore adheres to the principles of rigour, precision, and replicability, which are essential to contemporary quantitative research [32].

2.2. Data Collection and Instrument

Data were collected through a structured digital survey specifically developed for the objectives of this research. The instrument was designed with reference to consolidated methodological frameworks from studies on technology integration and the educational use of artificial intelligence [33]. The questionnaire was implemented using Microsoft Forms®, selected for its accessibility, ease of use, and compatibility with mobile devices, which maximised coverage and student participation. Its digital format facilitated asynchronous distribution, reduced access biases, and supported the secure management of information.

2.2.1. Instrument Design Stages

The instrument was grounded in five theoretical dimensions derived from consolidated models of technology acceptance and educational use of artificial intelligence, namely the Technology Acceptance Model (TAM) and the Unified Theory of Acceptance and Use of Technology (UTAUT) [34]. The dimensions considered were: (i) knowledge and access; (ii) frequency and context of use; (iii) impact on learning and academic performance; (iv) perceived usefulness and quality; and (v) barriers or limitations. Based on these dimensions, 26 items were drafted with clear wording and balanced polarity, using a five-point Likert-type scale to measure attitudes and perceptions. In addition, multiple-choice and open-ended questions were included to collect demographic information and concrete examples of AI tools used by students [35].
Prior to large-scale deployment, the questionnaire underwent a pre-test and item validation process to assess clarity, response variability, and internal coherence. A pilot application was conducted with a group of undergraduate students representative of different academic programmes and levels within the faculty. Feedback from this pre-test enabled minor linguistic adjustments to improve item clarity and semantic consistency, while preserving the original theoretical structure of the instrument. Item-level analysis was performed to examine response distribution, variability, and item–total consistency, ensuring that all items contributed meaningfully to their respective dimensions.
Following the pilot phase, the internal consistency of the instrument was evaluated, yielding satisfactory reliability values, which supported its suitability for full-scale application. In the complete dataset, the construct structure of the questionnaire was further examined using exploratory multivariate analysis, specifically Principal Component Analysis (PCA). This procedure served to identify latent dimensions underlying students’ perceptions and usage patterns of GenAI and to empirically support the coherence of the theoretically defined domains derived from TAM and UTAUT.
The online survey format reduced time and costs, facilitated simultaneous data collection across locations, improved error control, and enabled real-time indicator generation. This digital approach aligns with current standards in educational research that promote virtual environments for large-scale studies [36]. Data security and confidentiality were ensured through institutionally managed servers with encryption within the Microsoft Forms® environment.

2.2.2. Data Analysis

To enhance the clarity, transparency, and reproducibility of the research design, Figure 2 presents a methodological framework diagram that summarises the main stages of the study. The diagram illustrates the logical sequence from the theoretical foundations and instrument design to data collection, preprocessing, statistical analysis, and interpretation of results, highlighting the interconnections among the different methodological components and providing an overview of the research workflow.
Following the workflow depicted in Figure 2, statistical analysis was conducted in MATLAB R2025a using customised scripts developed for this study, integrating (i) data preprocessing, (ii) validation, and (iii) the application of multiple statistical techniques to ensure the robustness and reproducibility of the results. Data imported from Excel files were validated through the conversion of Likert-scale responses to numerical values (1–5), handling of missing data via pairwise deletion, verification of record integrity and completeness, and demographic categorisation with systematic variable labelling.
The internal consistency of the survey instrument was assessed using Cronbach’s alpha coefficient [37], a widely accepted measure of scale reliability. Cronbach’s alpha values were interpreted according to conventional thresholds: values below 0.60 indicate poor reliability, 0.60–0.69 questionable reliability, 0.70–0.79 acceptable reliability, 0.80–0.89 good reliability, and values equal to or greater than 0.90 indicate excellent reliability. The results demonstrated satisfactory to excellent internal consistency across all theoretical dimensions, as summarised in Table 1.
Subsequently, the data analysis comprised two main stages, consistent with the methodological framework. First, descriptive statistics were used to characterise the sample through means, standard deviations, and frequency distributions. Second, inferential statistics included analysis of variance (ANOVA) for between-group comparisons across degree programmes, Pearson’s correlation analysis to identify associations among variables, and multivariate techniques such as multiple linear regression, k-means clustering, and path analysis to evaluate mediation effects.
Additionally, data normality was assessed using the Kolmogorov–Smirnov test. Effect sizes (Cohen’s d and η2) and confidence intervals were calculated to support the interpretation of statistical significance, and a statistical power greater than 0.913 was achieved. Overall, this analytical framework ensured a high level of methodological rigour, transparency, and reliability in the reported findings.

3. Results

The analysis of the collected data made it possible to characterise the habits of use, perceptions, and barriers related to GenAI among students of the FICAYA-UTN. The results are presented according to the five theoretical dimensions that structured the instrument: (i) knowledge and access, (ii) frequency and context of use, (iii) impact on learning, (iv) perceived usefulness and quality, and (v) barriers or limitations. Descriptive and inferential analyses were applied in all cases, using a 95% confidence level.

3.1. Sample Characterisation

The analysed population consisted of undergraduate students from the six academic programmes of FICAYA, representing approximately 94% of the faculty’s student body. Of the total participants, 55.5% were women and 44.5% men, with a mean age of 21.3 years, reflecting a young university population in the process of professional training. Regarding academic level, 21.7% of respondents were in the first two years of study (1st–2nd), 28.5% in intermediate levels (3rd–4th), 23.5% in advanced levels (5th–6th), and 26.3% in final levels (7th–8th). This distribution indicates a balanced representation between-early and late-stage students, with a slight predominance of intermediate and upper levels, as shown in Table 2.
The distribution of participants by degree programme is presented in Figure 3, which illustrates the representative participation of all disciplines within the faculty, thereby reinforcing the validity and comprehensiveness of the results obtained [38].
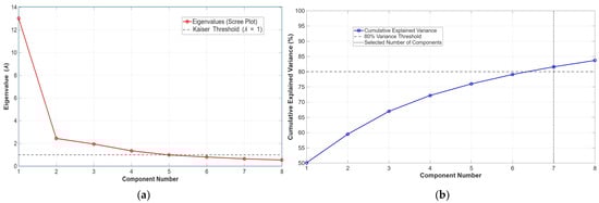
The exploratory factor analysis (principal component method) applied to the 26 variables identified three factors explaining 67% of the total variance, providing a compact representation of the phenomenon under study, as illustrated in Figure 4.

3.2. Use of Artificial Intelligence

The frequency analysis indicated that the most widely used GenAI tool among students was ChatGPT (54.2%), establishing itself as the main source of academic support. Its use was primarily focused on report writing, idea generation, understanding of technical concepts, and solving practical exercises. The ease of access, rapid response time, and adaptability across different fields of knowledge explain its broad adoption within the student community, as shown in Figure 5.
In second place, Gemini accounted for 11.9% of reported use, while other platforms such as Perplexity AI and You.com each registered shares below 10%, indicating that usage is concentrated in a small number of widely recognised, general-purpose tools. Regarding the perceived impact on academic performance, 62.5% of respondents stated that GenAI tools significantly improved their conceptual understanding and task efficiency; 27.8% reported a moderate impact or one contingent on the type of activity; and only 9.7% indicated no meaningful change, as shown in Figure 6.
The perceived usefulness reached a mean of 4.71 out of 5, and overall satisfaction with the use of these tools was 2.55 out of 3, reflecting a positive appraisal of GenAI as a learning support. These results are consistent with recent studies highlighting the transformative role of artificial intelligence in higher education [39].

3.3. Principal Component Analysis (PCA)

The Principal Component Analysis (PCA) reduced data variability to three principal components that jointly explain 67% of the total variance, supporting the adequacy of the retained dimensional structure, as shown in Figure 7. This variance-based result establishes the statistical basis for examining the relationships among variables related to the perception, use, and impact of Generative Artificial Intelligence (GenAI). Accordingly, the subsequent analysis focuses on the loading patterns of these components to identify how the variables cluster and interact, providing the empirical foundation for the interpretation presented in the following section.
A Principal Component Analysis (PCA) was applied to identify coherent groupings among 26 indicators related to the perception, use, and impact of artificial intelligence, previously classified into 11 conceptual categories, as shown in Table 3.
Based on this classification, the relationships among the indicators were assessed through the PCA. This analysis made it possible to identify which indicators had the greatest influence on the use of AI in higher education. The results are presented in Figure 8.
The results showed that these variables could be organised into three principal components PC1 (Effectiveness and Satisfaction with AI), PC2 (Institutional Access and Support), and PC3 (Ethical Concerns versus Operational Benefits) which together explained a cumulative variance of 67%, reflecting a statistically consistent and significant structure, as illustrated in Figure 9.

3.4. Description and Interpretation of the Principal Components

3.4.1. PC1: Effectiveness and Satisfaction with AI

The first component explained 50.1% of the total variance and groups variables reflecting a favourable perception of GenAI use in academic settings. The highest factor loadings corresponded to quality of work (0.223), time efficiency (0.218), personalisation (0.218), reliability (0.218) and programme fit (0.216). These indicators show that students perceive GenAI as an effective tool to improve the organisation of learning, productivity, and the quality of academic performance, thereby increasing satisfaction with formative activities.
Interpretively, this component indicates that integrating AI into educational processes fosters a positive appraisal grounded in its practical utility and the perceived benefits for the development of academic and professional competences. Perceptions of effectiveness and satisfaction suggest that students not only accept the technology but also recognise it as a complementary resource to optimise autonomous learning and the resolution of complex tasks. Moreover, its application in environmental fields enables access to consistent, comparative information, supporting the analysis of diverse sustainability scenarios and strengthening the training of professionals capable of linking technological innovation with responsible environmental management.

3.4.2. PC2: Access and Institutional Support

The second component explained 9.4% of the variance and groups variables related to institutional backing, technological accessibility, and academic communication. The largest positive loadings were associated with access to tools (0.493), information received (0.456) and university promotion (0.420), whereas negative loadings were linked to concerns about creativity (−0.157), critical thinking (−0.151) and privacy (−0.146). This pattern suggests that stronger institutional support is associated with a lower perception of ethical and cognitive risks, thereby reinforcing student confidence and the university’s digital culture [40].

3.4.3. PC3: Ethical Concerns and Operational Benefits

The third component, which accounted for 7.5% of the variance, represents the tension between functional advantages and ethical concerns arising from the use of GenAI. Positive loadings were associated with privacy concerns (0.479), creativity (0.476), and critical thinking (0.440), whereas negative loadings corresponded to personalisation (−0.129) and time efficiency (−0.135). These results reveal that, although students acknowledge the practical benefits of GenAI, they maintain ethical reservations related to cognitive autonomy, originality, and personal data protection underscoring the need for ethical training and digital literacy.

3.5. Interaction of Variables and Cluster Analysis

The three identified factors jointly explain 67% of the total variability, indicating that effectiveness and satisfaction with GenAI is the most influential dimension in the acceptance of these tools, followed by institutional support and the coexistence of practical benefits with ethical dilemmas. The latter are directly related to sustainability and the environmental domain—the core axis of training and research for students in agricultural and environmental engineering. This linkage illustrates how interaction with GenAI is functionally integrated into their formative process, enhancing the application of technology within their professional field. The representation of this relationship is shown in Figure 10.
Pearson’s correlations showed positive associations between level of knowledge and perceived impact on learning (r = 0.68, p < 0.001), as well as between frequency of use and overall satisfaction (r = 0.54, p < 0.01). The main barriers identified were difficulty of use (61.2%), privacy concerns (69.4%), and the effect on critical thinking (70.2%). The k-means clustering (k = 2) segmented users into two groups: Integrators (52.8%), characterised by high frequency of use and a positive perception of learning; and Cautious users (44.7%), with lower frequency of use and greater ethical or technical concerns. Taken together, the results indicate that GenAI is widely disseminated among university students, with a predominantly positive perception of its contribution to learning and academic performance.
From an educational sustainability perspective, this segmentation reflects varying levels of green digital literacy and technological adaptation within the university community. Integrators represent a potential driver of sustainable innovation in agro-environmental domains, whereas Cautious users highlight the need to strengthen ethical and technical training for the responsible use of AI. In this sense, GenAI emerges not only as an academic support tool but also as a strategic component for technological resilience and digital equity in higher education particularly in disciplines focused on the sustainable management of natural resources and responsible agricultural production.

4. Discussion

The findings provide insight into the influence of Generative Artificial Intelligence (GenAI) on agro-environmental higher education in Ecuador, using FICAYA–UTN as a case study. The results reveal high adoption of GenAI tools, led by ChatGPT, alongside a generally positive perception of their academic impact, while also identifying ethical tensions and institutional constraints that limit full integration. These outcomes underscore the importance of aligning digital innovation with educational and social sustainability principles, fostering green digital literacy linked to environmental responsibility and territorial development [41].
From a theoretical perspective, the results can be interpreted through the Technology Acceptance Model (TAM) and the Unified Theory of Acceptance and Use of Technology (UTAUT). The first principal component effectiveness and satisfaction corresponds to TAM constructs of perceived usefulness and perceived ease of use, indicating that GenAI adoption is primarily driven by perceived functional and cognitive benefits. The second component institutional access and support reflects UTAUT dimensions such as facilitating conditions and social influence, highlighting the role of organisational context in shaping adoption behaviours. The third component ethical concerns versus operational benefits introduces normative considerations, including privacy, creativity, and critical thinking, suggesting that GenAI adoption is mediated by students’ awareness of responsible and sustainable use [42].
Finally, the distinction between Integrators and Cautious Users reinforces the explanatory power of TAM and UTAUT, illustrating how differences in perceived usefulness, institutional support, and ethical sensitivity translate into distinct adoption patterns within sustainability-oriented educational contexts.

4.1. Predominance of ChatGPT and Convergence with Global Trends

The predominance of ChatGPT (54.2%), followed by Gemini (11.9%) and other platforms (11.4%), is consistent with international research, where ChatGPT has consolidated its position as the most widely used tool in university settings [43]. This pattern reflects a global trend towards technological concentration, in which a small number of platforms dominate the digital ecosystem due to their functional versatility and responsiveness [44], supporting their effectiveness for optimising academic tasks and facilitating the resolution of complex problems [45].
In agro-environmental education, this trend translates into leveraging GenAI to interpret climate data, process soil information, draft technical reports, and design sustainability strategies. However, concentrating use on a single tool may limit analytical diversity and reduce the technological resilience of institutions, constraining the development of critical competences across different AI models [46]. Given that generative systems are non-deterministic and may produce multiple responses to the same input, it is essential to strengthen the technical and ethical judgement of future agricultural and environmental engineers to scrutinise, contrast, and validate generated information [47]. This will ensure that GenAI contributes not only to academic efficiency, but also to institutional sustainability and the development of resilient digital infrastructures, in alignment with SDG 9 objectives [48].

4.2. Latent Structure of GenAI Use

The Principal Component Analysis (PCA) revealed three dimensions explaining 67% of the total variance: effectiveness and satisfaction with AI (50.1%), institutional access and promotion (9.4%), and ethical concerns versus operational benefits (7.5%). These findings indicate a broad yet predominantly self-taught adoption among FICAYA students, contrasting with international universities where formal training programmes and ethical guidelines are already established [45].
Institutional mediation emerges as a key factor in guiding responsible use and enhancing the pedagogical effectiveness of GenAI [47]. However, this positive perception coexists with critical viewpoints: international studies report that 69% of students reject the idea that AI tutors can match human feedback, 81% oppose replacing textbooks, and 87% disapprove of substituting face-to-face classes, while 98% acknowledge the importance of conscious and responsible use [49]. This perceptual duality highlights recognition of AI’s potential as a complementary tool for personalised learning, alongside the need to preserve the ethical and human dimension of knowledge, essential for cognitive and social sustainability in higher education [48].
The second component underscores the importance of institutional support. Greater access and university promotion are associated with lower ethical and cognitive concerns, reinforcing the role of universities in technological mediation and in building a responsible digital culture. Previous research demonstrates that institutional training can increase confidence in using tools such as ChatGPT by up to 30%, improving both teaching skills and educational experience. Nevertheless, these initiatives must be balanced with challenges related to academic integrity, algorithmic transparency, and linguistic fairness [50]. In agro-environmental contexts, such balance is crucial to ensure that AI contributes to ecological sustainability and the ethical use of environmental information, avoiding biases that could distort decision-making regarding natural resource management or the implementation of sustainable agricultural practices [51].

4.2.1. Effectiveness and Satisfaction with AI

The first component, explaining 50.1% of the variance, groups indicators related to time efficiency, quality of work, personalisation of learning, and overall satisfaction. Students perceive GenAI as an effective tool for optimising academic performance, organising time, and understanding complex technical concepts. These findings align with studies reporting significant increases in performance and motivation among groups using AI compared with control groups, with average improvements of 18.1/100 points [39].
However, this positive appraisal must be interpreted with caution, as there is a risk of technological overreliance that could weaken synthesis, reasoning, and critical thinking skills [52]. From an educational sustainability perspective, this observation emphasises the need to develop active methodologies that balance technological efficiency with the long-term strengthening of cognitive and ethical competences [53]. Accordingly, universities should integrate active learning strategies and reflective assessment practices that preserve the centrality of human judgement and environmental responsibility in professional training.

4.2.2. Access and Institutional Promotion

The second component (9.4%) reflects the influence of institutional support, technological accessibility, and academic promotion on students’ perceptions. The results show that greater institutional backing is associated with fewer ethical and cognitive concerns, thereby strengthening confidence in the use of GenAI [54]. Nevertheless, these initiatives must be balanced with risks related to academic integrity, model transparency, algorithmic bias, and linguistic fairness [55]. n this way, institutional support not only enhances academic performance but also fosters technological and educational sustainability within universities, aligning teaching practices with Sustainable Development Goals (SDGs) 4 and 9.

4.2.3. Ethical Concerns Versus Operational Benefits

The third component (7.5%) describes the tension between functional benefits and ethical dilemmas derived from the use of GenAI. Students recognise that these tools facilitate the automation and personalisation of learning, yet they also express concern regarding data privacy, creativity, critical thinking, and cognitive autonomy [55,56]. This finding aligns with international trends warning of excessive dependence on automated systems and the potential atrophy of cognitive skills when intellectual tasks are externalised [10].
In the context of agricultural and environmental sciences, such concerns are magnified, as AI may process sensitive information related to natural resources, biodiversity, emissions, or agricultural productivity. Consequently, the need for critical and environmental digital literacy is reaffirmed one focused on discernment, source verification, and ethical awareness.
The coexistence of benefits and concerns demonstrates that the impact of GenAI is not univocal but rather depends on institutional implementation conditions, level of training, and the ethical orientation of educational programmes [57]. This evidence indicates that technological sustainability in higher education extends beyond access to tools; it involves building a culture of digital and environmental responsibility that guides their use.

4.3. User Profiles: Integrators and Cautious Users

The cluster analysis identified two distinct user profiles Integrators (52.8%) and Cautious Users (44.7%). The former are characterised by high frequency of use and a positive assessment of GenAI, whereas the latter display moderate use and greater ethical or technical concerns. This segmentation confirms the heterogeneity of adoption practices previously observed in studies on technological integration [58].
In the agro-agricultural and environmental context, Integrators use GenAI to support academic activities related to their disciplines, such as modelling crop yields, optimising energy processes, or analysing climate variables. In contrast, Cautious Users require gradual support that combines technical training with ethical education.
This differentiated approach helps to reduce digital divides, strengthen technological inclusion, and consolidate a scientific and sustainable culture [59]. Moreover, the identified profiles offer an opportunity to design adaptive educational sustainability strategies: Integrators can lead green innovation processes, while Cautious Users can be empowered through digital equity policies.

4.4. International Data Comparison

The positive perceptions identified in this study, particularly regarding improvements in conceptual understanding (74.6%) and task efficiency (69.1%), are consistent with international evidence reporting similar educational benefits derived from the use of Generative Artificial Intelligence (GenAI), albeit with slightly higher levels of acceptance and perceived accuracy in more technologically consolidated contexts [50]. These differences can be partially explained by structural factors such as limitations in technological infrastructure, heterogeneous levels of digital literacy, and the absence of comprehensive national policies on artificial intelligence in education, which continue to constrain large-scale integration in several South American countries [60].
Within the Latin American context, comparable studies conducted in countries such as Mexico, Colombia, Brazil, and Argentina highlight the growing incorporation of AI tools within Education 4.0 frameworks, emphasising their role in personalised learning and innovative pedagogical practices [61]. However, these studies also report persistent challenges, including insufficient teacher training and pronounced technological gaps, which moderate the impact of AI adoption across the region. Despite these constraints, positive perceptions among students remain a common finding, reinforcing the relevance of GenAI as a supportive educational resource.
In this context, the results obtained at FICAYA–UTN provide context-sensitive empirical evidence of GenAI adoption in a resource-constrained agro-environmental educational setting, complementing regional findings and extending them to disciplines closely linked to sustainable development. In line with previous research reporting positive impacts of AI tools on academic research productivity, particularly through improved information management, writing efficiency, and reference handling [62], this study highlights the potential of GenAI to contribute to the democratisation of knowledge and the optimisation of agro-environmental processes. These aspects are especially relevant for reducing innovation gaps in strategic sectors such as agriculture and livestock production in Latin America [63]. Compared to existing regional studies, the findings from FICAYA–UTN extend current evidence by explicitly focusing on an agro-environmental and sustainability-oriented educational context.

4.5. Institutional and Pedagogical Implications

Drawing on the results, several practical implications emerge for strengthening higher education in the context of generative artificial intelligence (GenAI). First, there is a need to promote digital and ethical literacy in AI, embedding in university curricula programmes oriented towards the responsible use of these technologies, the verification of generated information, and an understanding of the epistemic limits of GenAI [54].
Second, it is important to ensure equitable access, promoting equal opportunities through the provision of institutional licences or the adoption of open alternatives that facilitate access to advanced tools [64]. Likewise, the implementation of adaptive academic assessment is recommended centred on creativity, critical thinking, and problem-solving using oral defences or reflective rubrics as instruments to enhance assessment authenticity [54].
Finally, longitudinal monitoring of AI use is advised, through the development of tracking systems that relate its application to academic performance, cognitive competences, and academic integrity [65]. Taken together, these actions will strengthen institutional capacity to integrate GenAI ethically, critically, and sustainably, contributing to the achievement of the Sustainable Development Goals (SDGs)—in particular SDG 4 (Quality Education), SDG 9 (Industry, Innovation and Infrastructure), and SDG 13 (Climate Action) [66].

4.6. Limitations and Scope

Although the findings of this study are derived from a single institutional context, they are not intended to provide direct statistical generalisation to the entire Ecuadorian higher education system. Instead, the results support an analytical generalisation, identifying patterns, relationships, and latent structures that are theoretically transferable to comparable public universities with similar socio-economic, technological, and disciplinary characteristics.
The focus on an agro-environmental faculty is particularly relevant within the Latin American context, where agriculture and environmental management play a strategic role in national and regional development. In the province of Imbabura, agricultural and agro-livestock activities generate direct employment for more than 33% of the economically active population, highlighting the importance of strengthening professional training in this sector. From this perspective, the integration of Generative Artificial Intelligence tools in agro-environmental higher education has the potential to support professional development, innovation capacity, and more efficient decision-making processes aligned with territorial and productive [67].
Nevertheless, one of the main limitations identified is the still limited institutional and regulatory dissemination of artificial intelligence technologies for systematic application in the agricultural sector in Ecuador. This constraint affects not only the scope of technology adoption among students and professionals but also the pace at which AI-based tools can be incorporated into productive and sustainability-oriented practices [68]. Additionally, the case study design restricts the external validity of the findings, as variations across regions, institutions, and disciplinary contexts may influence adoption patterns.
Future research should extend this approach through multi-institutional and longitudinal designs, incorporating diverse regional contexts and productive sectors. Such studies would allow a more comprehensive assessment of external validity and provide stronger evidence to inform national strategies for the responsible integration of artificial intelligence in agro-environmental education and agricultural development.

5. Conclusions

The study revealed widespread adoption of generative artificial intelligence (GenAI) tools among students of the Faculty of Engineering in Agricultural and Environmental Sciences (FICAYA–UTN), with ChatGPT as the predominant platform (54.2%), followed by Gemini (11.9%) and other applications (~11.4%). The k-means cluster analysis (k = 2) identified two user profiles: Integrators (52.8%), characterised by high frequency of use and a positive perception of academic impact, and Cautious users (44.7%), with lower frequency and greater ethical or technical reservations. This segmentation reflects a heterogeneous adoption influenced by levels of digital literacy, technological confidence, and institutional mediation. Nonetheless, it demonstrates that GenAI has already become an integral part of academic practice in agro-environmental disciplines, supporting the transition towards a more innovative and sustainable educational model.
The results show that 62.5% of respondents reported overall improvements in understanding and efficiency, while by specific dimension, 74.6% indicated greater conceptual understanding and 69.1% higher task efficiency. These effects are particularly relevant to agricultural and environmental sciences, where problem-solving requires integrating technical information across biological, climatic, energetic, and geospatial domains. The perceived usefulness (94.2%) and overall satisfaction (85%) confirm that GenAI acts as a cognitive and ecological mediator, improving time management, autonomous learning, and the assimilation of interdisciplinary content linked to productive and environmental sustainability.
From an educational sustainability perspective, these findings consolidate the value of GenAI as a tool to promote green digital competences, critical thinking, and efficient resource use—key elements of SDGs 4 and 9. The Principal Component Analysis (PCA) revealed three dimensions explaining 67% of the total variance in GenAI assimilation: effectiveness and satisfaction (50.1%), access and institutional support (9.4%), and ethical concerns versus operational benefits (7.5%). This structure shows that the acceptance of GenAI depends both on its practical utility in scientific–technical learning processes and on institutional support and ethical management regarding data privacy, creativity, and cognitive autonomy. The balanced integration of these factors will be decisive in consolidating cognitive and social sustainability within agro-environmental higher education.
Despite progress in GenAI adoption, significant barriers persist—related to critical thinking (70.2%), data privacy (69.4%), and usability difficulties (61.2%). These limitations reveal the urgent need for digital and ethical literacy programmes tailored to agro-environmental professional competences, such as experimental data analysis, production system modelling, and ecological impact assessment. Inclusive institutional policies are also required to ensure equitable access to advanced tools, accompanied by adaptive assessment methods that foster reflection, creativity, and problem-solving with a sustainable territorial focus.
From a regional and disciplinary standpoint, these results provide novel empirical evidence on the relationship between artificial intelligence and educational sustainability in Latin America, where universities face structural and economic conditions distinct from those of the Global North. In this regard, the critical, ethical, and contextual integration of GenAI emerges as an essential strategy to strengthen agro-environmental education, modernise applied research approaches, and promote the adoption of clean technologies that address climate change challenges. When properly managed, GenAI can become a catalyst for green innovation, connecting university digitalisation with environmental sustainability objectives and responsible regional development.
Finally, future research should adopt longitudinal and experimental designs incorporating objective metrics of academic performance, environmental impact, and the acquisition of sustainable professional competences. It is also recommended to evaluate the effectiveness of institutional green digital literacy programmes and ethical AI education policies. Overall, the results confirm that generative artificial intelligence constitutes a strategic resource for educational innovation and ecological transition, provided its implementation is guided by the principles of responsibility, equity, ethics, and critical thinking, in alignment with the Sustainable Development Goals (SDGs) and the institutional sustainability frameworks of Ecuador’s higher education system.

Author Contributions

Conceptualisation, J.F.G.-T. and A.E.J.-O.; methodology, J.F.G.-T.; software, J.F.G.-T.; validation, J.F.G.-T. and A.E.J.-O.; formal analysis, J.F.G.-T.; investigation, J.F.G.-T. and A.E.J.-O.; resources, J.F.G.-T. and A.E.J.-O.; data curation, J.F.G.-T.; writing—original draft preparation, J.F.G.-T.; writing—review and editing, A.E.J.-O.; visualisation, J.F.G.-T.; supervision, A.E.J.-O.; project administration, A.E.J.-O. All authors have read and agreed to the published version of the manuscript.

Funding

Universidad Técnica del Norte was the institution that contributed to funding this research by providing all the technological tools to achieve the objectives.

Institutional Review Board Statement

Ethical review and approval were waived for this study due to the Article 43 of Ministerial Agreement No. 00005-2022, issued by the Ecuadorian Ministry of Public Health and officially published in the Registro Oficial (Offi-cial Gazette), Fifth Supplement No. 118, dated 2 August 2022. This study use an anonymous survey for data collec-tion, which posed minimal risk to participants, and the study protocol was approved by the institutional standards of the Universidad Técnica del Norte for educational research.

Informed Consent Statement

Informed consent was obtained from all subjects involved in the study. Participation was voluntary and respondents were informed about the study’s purpose and data anonymity before proceeding with the digital survey.

Data Availability Statement

The original contributions presented in this study are included in the article. Further inquiries can be directed to the corresponding author.

Acknowledgments

The authors would like to express their gratitude to the Universidad Técnica del Norte (UTN) and the Faculty of Agricultural and Environmental Sciences (FICAYA) for their institutional and technical support in the development of this study. Special thanks are extended to the students and academic staff who participated in the data collection process and contributed to the validation of the research instrument.

Conflicts of Interest

The authors declare no conflicts of interest.

Abbreviations

The following abbreviations are used in this manuscript:
AIArtificial Intelligence
GenAIGenerative Artificial Intelligence
FICAYAFacultad de Ingeniería en Ciencias Agropecuarias y Ambientales
UTNUniversidad Técnica del Norte
PCAPrincipal Component Analysis
ANOVAAnalysis of Variance
SDGSustainable Development Goals
GDPGross Domestic Product
GDPREuropean Data Privacy Regulation

References

  1. Ramírez Mendoza, P.N.; Vargas Ayarza, A.; Cedeño Ramírez, A.; Leiva Gomez, L.E.; Calsin Pérez, R.A. El Pensamiento Complejo, La Transformación Digital y La IA En La Educación Superior. Horiz. Rev. Investig. Cienc. Educ. 2025, 9, 1027–1038. [Google Scholar] [CrossRef]
  2. Navarrete Vinces, M.E.; Alegría Camino, D.M.; Galarza Luna, A.F.; Ramírez Garofalo, D.A. La Inteligencia Artificial y El Aprendizaje Automático En Educación Superior Del Ecuador. Tesla Rev. Científica 2025, 5, e515. [Google Scholar] [CrossRef]
  3. Aarthi, S.; Ravikumar, R.N.; Sobirova, K.; Mamadiyarov, Z. Empowering a Sustainable Future Through Digital Learning and the SDGs. In Harnessing E-Learning to Create a Sustainable Future; IGI Global Scientific Publishing: Palmdale, PA, USA, 2025; pp. 145–172. [Google Scholar]
  4. Tiglla Tumbaico, B.D. Impacto de La Inteligencia Artificial Generativa (IAG) En La Personalización Del Aprendizaje En Universidades Latinoamericanas. Alpha Int. J. 2025, 3, 18–30. [Google Scholar] [CrossRef]
  5. Jiang, Y.-H.; Wei, Y.; Shao, X.; Jia, R.; Zhou, Y.; Chen, Z.-W. Generative AI in Personalized Learning: Development Trajectory, Educational Applications, and Future Education. In Proceedings of the Society for Information Technology & Teacher Education International Conference, Orlando, FL, USA, 17–21 March 2025. [Google Scholar] [CrossRef]
  6. Shadiev, R.; Reynolds, B.L.; Li, R. The Use of Digital Technology for Sustainable Teaching and Learning. Sustainability 2024, 16, 5353. [Google Scholar] [CrossRef]
  7. Supelano Londoño, M.L. Incidencia de La Inteligencia Artificial En El Aprendizaje de Los Estudiantes Universitarios. Plumilla Educ. 2024, 33, 1–24. [Google Scholar] [CrossRef]
  8. Danler, M.; Hackl, W.O.; Neururer, S.B.; Pfeifer, B. Quality and Effectiveness of AI Tools for Students and Researchers for Scientific Literature Review and Analysis. dHealth 2024, 2024, 203–208. [Google Scholar]
  9. Kamruzzaman, M.M.; Alanazi, S.; Alruwaili, M.; Alshammari, N.; Elaiwat, S.; Abu-Zanona, M.; Innab, N.; Mohammad Elzaghmouri, B.; Ahmed Alanazi, B. AI- and IoT-Assisted Sustainable Education Systems during Pandemics, Such as COVID-19, for Smart Cities. Sustainability 2023, 15, 8354. [Google Scholar] [CrossRef]
  10. Musheshe, M.; Chrispo, M. A Conceptual Study of Cognitive Atrophy in Homo Sapiens through A Darwinian Analysis of Overreliance on Artificial Intelligence. East Afr. J. Interdiscip. Stud. 2025, 8, 185–207. [Google Scholar] [CrossRef]
  11. Ting, C.-K. Quest for the Balance of AI and Privacy [Editor’s Remarks]. Comput. Intell. Mag. 2022, 17, 2. [Google Scholar] [CrossRef]
  12. Silvério Perfeito, M.V.; Silvério Perfeito, V.M.; Matos de Heredia Nascimento, C.H.; Lopes, C. Quais tensões ou conflitos circundam o uso da inteligência artificial para a produção escrita nas pesquisas em educação? Rev. Educ. Em Debate 2023, 45, 1–17. [Google Scholar] [CrossRef]
  13. Khan, S.; Mazhar, T.; Shahzad, T.; Khan, M.A.; Rehman, A.U.; Saeed, M.M.; Hamam, H. Harnessing AI for Sustainable Higher Education: Ethical Considerations, Operational Efficiency, and Future Directions. Discov. Sustain. 2025, 6, 23. [Google Scholar] [CrossRef]
  14. Macay García, L.E. El Impacto de La Inteligencia Artificial En La Gestión de Datos En La Educación Superior: Retos y Oportunidades En Ecuador. Rev. Multidiscip. Estud. Gen. 2024, 3, 1–11. [Google Scholar] [CrossRef]
  15. Ajith, G.S. Generative AI in Smart Agriculture: Opportunities and Challenges. Int. J. Innov. Sci. Res. Technol. 2024, 9, 90–92. [Google Scholar] [CrossRef]
  16. Arce, C.; Gavilanes, J.; Arce, E.; Haro, E.; Bonilla-Jurado, D. Artificial Intelligence in Higher Education: Predictive Analysis of Attitudes and Dependency Among Ecuadorian University Students. Sustainability 2025, 17, 7741. [Google Scholar] [CrossRef]
  17. World Bank. Agricultura, Silvicultura y Pesca, Valor Agregado (% Del PIB). Available online: https://datos.bancomundial.org/indicador/NV.AGR.TOTL.ZS (accessed on 25 December 2025).
  18. Goel, A.; Masurkar, S.; Pathade, G.R. An Overview of Digital Transformation and Environmental Sustainability: Threats, Opportunities, and Solutions. Sustainability 2024, 16, 11079. [Google Scholar] [CrossRef]
  19. Herrera Escobar, G.H.; Arriaga Coque, C.N.; Delgado Reyes, V.I.; Casquete Díaz, M.E.; Yépez Álava, N.C. Uso de La Inteligencia Artificial En El Aprendizaje En Estudiantes de Educación Básica Superior. Cienc. Lat. Rev. Científica Multidiscip. 2025, 9, 7870–7883. [Google Scholar] [CrossRef]
  20. Arias Benalcázar, D.V.; Arias Coronado, J.K.; Cabascango Tuquerres, A.C.; Campos Ortiz, J.M.; Lastra Garcia, E.M.; Muñoz Herrera, E.J. Análisis de Las Percepciones Del Nivel de Conocimiento Sobre Las TAC En Docentes de Bachillerato de La Zona Norte Del Ecuador. Rev. Latinoam. Calid. Educ. 2025, 2, 143–149. [Google Scholar] [CrossRef]
  21. Zamora Úbeda, Z.C.; Stynze Gómez, H.O. Conocimiento, Uso y Percepción de La Inteligencia Artificial En La Enseñanza Superior. Rev. Científica Estelí 2024, 49, 128–146. [Google Scholar] [CrossRef]
  22. Asastani, H.L.; Harisno; Kusumawardhana, V.H.; Warnars, H.L.H.S. Factors Affecting the Usage of Mobile Commerce Using Technology Acceptance Model (TAM) and Unified Theory of Acceptance and Use of Technology (UTAUT). In Proceedings of the 2018 Indonesian Association for Pattern Recognition International Conference (INAPR), Jakarta, Indonesia, 7–8 September 2018; IEEE: New York, NY, USA, 2018; pp. 322–328. [Google Scholar]
  23. Zábojník, R.; Hromada, V. The Role of Generative AI in Empowering Generation Z in Higher Education. Media Mark. Identity 2024, 758–776. [Google Scholar] [CrossRef]
  24. Trujillo, J.A. Reseña Histórica. Universidad Técnica Del Norte, Ibarra, Ecuador. 1973. Available online: https://www.utn.edu.ec/historia/ (accessed on 18 December 2025).
  25. Liu, G.Z.; Liu, T.C.; Lin, C.C.; Kuo, Y.L.; Hwang, G.J. Identifying Learning Features and Models for Context-Aware Ubiquitous Learning with Phenomenological Research Method. Int. J. Mob. Learn. Organ. 2016, 10, 238. [Google Scholar] [CrossRef]
  26. Epiquién Chancahuana, M.; Silva Diaz, Y.A.; Cruz Montero, J.M.; Merino Flores, I.; Carpio Mendoza, J.; Vega Vilca, C.S. Operacionalización de Variables En Investigaciones Cuantitativas; Fondo Editorial de la Universidad Nacional Experimental Sur del Lago, Jesús María Semprum (UNESUR): Santa Bárbara del Zulia, Venezuela, 2024. [Google Scholar]
  27. Nicolalde Jaramillo, S.G.; Narvaéz Valverde, M.M. Inteligencia Artificial En La Educación Básica: Innovaciones, Desafíos y Perspectivas Futuras. Rev. Ecos Acad. 2025, 11, e1218. [Google Scholar] [CrossRef]
  28. Chaves-Barboza, E.; Rodríguez-Miranda, L. Análisis de Confiabilidad y Validez de Un Cuestionario Sobre Entornos Personales de Aprendizaje (PLE). Rev. Ens. Pedagógicos 2018, 13, 71. [Google Scholar] [CrossRef]
  29. Olmos-Gómez, M.d.C.; Luque-Suárez, M.; Castán-García, M.; Portillo-Sánchez, R. Validation of Educational Quality as a Tool to Measure the Degree of Satisfaction of University Students. Educ. Sci. 2023, 14, 2. [Google Scholar] [CrossRef]
  30. López-Cueva, M.A.; Zegarra-Ugarte, S.J.; Torres-Pacheco, E.H.; Arpasi-Chura, R.F.; Enríquez-Salas, P.; López-Paz, P.M. Prediction of University Student Satisfaction in the Educational Experience Using Decision Trees and Logistic Regression: A Comparative Analysis. Pak. J. Life Soc. Sci. 2024, 22, 7844–7856. [Google Scholar] [CrossRef]
  31. Holický, M. Estimations of Population Parameters. In Introduction to Probability and Statistics for Engineers; Springer: Berlin, Heidelberg, 2013; pp. 95–107. [Google Scholar]
  32. Volovici, V.; Brody, D.L. Sample Size, Replicability, and Pre-Test Likelihoods—Essential, Overlooked, and Critical Components of Statistical Inference: A Journal of Neurotrauma Guide to Statistical Methods and Study Design. J. Neurotrauma 2023, 40, 1990–1994. [Google Scholar] [CrossRef]
  33. Vázquez-Parra, J.C.; Henao-Rodríguez, C.; Lis-Gutiérrez, J.P.; Palomino-Gámez, S.; Suárez-Brito, P. Perception of AI Tool Adoption and Training: Initial Validation Using GSEM Method. Appl. Comput. Inform. 2024. [Google Scholar] [CrossRef]
  34. Ammenwerth, E. Technology Acceptance Models in Health Informatics: TAM and UTAUT. In Applied Interdisciplinary Theory in Health Informatics: A Knowledge Base for Practitioners; Scott, P., de Keizer, N., Georgiou, A., Eds.; Studies in Health Technology and Informatics; IOS Press: Amsterdam, The Netherlands, 2019; Volume 263, pp. 64–71. [Google Scholar] [CrossRef]
  35. Koo, M.; Yang, S.-W. Likert-Type Scale. Encyclopedia 2025, 5, 18. [Google Scholar] [CrossRef]
  36. Jamil, N.; Belkacem, A.N. Advancing Real-Time Remote Learning: A Novel Paradigm for Cognitive Enhancement Using EEG and Eye-Tracking Analytics. IEEE Access 2024, 12, 93116–93132. [Google Scholar] [CrossRef]
  37. Saputra, F. Instrument Reliability Analysis. J. Indones. Sos. Sains 2025, 6, 791–806. [Google Scholar] [CrossRef]
  38. Harvey, L.A.; Dijkers, M.P. Surveys Can Provide Valuable Data but Careful Consideration Needs to Be given to the Methods Used to Sample the Population of Interest. Spinal Cord 2020, 58, 257–258. [Google Scholar] [CrossRef]
  39. Valenzuela Caico, R.; Pérez Carvajal, A. Inteligencia Artificial en Educación Superior: ¿Un Reemplazo para los Profesores o una Herramienta de Apoyo? Rev. Iberoam. Investig. Educ. 2025, 9, e221. [Google Scholar] [CrossRef]
  40. Alharbi, A.; Althowibi, A. Empowering Teachers in AI-TPACK: The Critical Role of Institutional Support. Ubiquity Proc. 2025, 6, 8. [Google Scholar] [CrossRef]
  41. Camas Camas, R.F.; Cislema Rivera, A.D.; Mañay Mena, G.P.; Viñan Viñan, A.P. Uso de Inteligencia Artificial Generativa (ChatGPT, DALL·E) Como Herramienta de Apoyo En Procesos Educativos. Cienc. Lat. Rev. Científica Multidiscip. 2025, 9, 9405–9414. [Google Scholar] [CrossRef]
  42. Razi-ur-Rahim, M.; Uddin, F.; Chauhan, J.; Faisal, K.P. GenAI in Indian Higher Education: Faculty at the Crossroads of Adoption. Asian Educ. Dev. Stud. 2025, 14, 1–32. [Google Scholar] [CrossRef]
  43. Abas, M.A. ChatGPT and Personalized Learning: Opportunities and Challenges in Higher Education. Int. J. Acad. Res. Bus. Soc. Sci. 2023, 13, 3536–3545. [Google Scholar] [CrossRef]
  44. Šarlauskienė, L.; Dagytė, S. Criteria for Selecting Artificial Intelligence Tools. Innov. Publ. Print. Multimed. Technol. 2024, 100–116. [Google Scholar] [CrossRef]
  45. Tumbaco Reyes, A.R.; Chamba Macas, F.V. Impacto de La Inteligencia Artificial En La Transformación Digital y Aprendizaje Educativo. EcoSur. Innov. Technol. Sustain. Dev. Lat. Am. 2025, 1, 19. [Google Scholar] [CrossRef]
  46. Ebtehaj, I. Editorial: Application of Artificial Intelligence in Environmental, Agriculture and Earth Sciences. Front. Earth Sci. 2024, 12, 1382457. [Google Scholar] [CrossRef]
  47. Franco, D.; Viegas, L.E.; Röhe, A. Guia Ético Para a Inteligência Artificial Generativa No Ensino Superior. TECCOGS Rev. Digit. Tecnol. Cogn. 2024, 108–117. [Google Scholar] [CrossRef]
  48. Saikia, S.; Verma, N.K.; Chakraborty, S. Open Access Adoption in Sustainable Development Goals Research Among the Indian Leading Universities. DESIDOC J. Libr. Inf. Technol. 2025, 45, 259–268. [Google Scholar] [CrossRef]
  49. Miranda, S. Artificial Intelligence in Education: An Exploratory Survey to Gather the Perceptions of Teachers, Students, and Educators Around the University of Salerno. Educ. Sci. 2025, 15, 975. [Google Scholar] [CrossRef]
  50. Kadwa, M.S. Written Assignments and the Ethical Considerations of Artificial Intelligence in Higher Education. Int. J. Linguist. Lit. Transl. 2025, 8, 254–257. [Google Scholar] [CrossRef]
  51. Toderas, M. Artificial Intelligence for Sustainability: A Systematic Review and Critical Analysis of AI Applications, Challenges, and Future Directions. Sustainability 2025, 17, 8049. [Google Scholar] [CrossRef]
  52. Rothinam, N.; Vengrasalam, R.; Naidu, S.; Nachiappan, S.; Jabamoney, S. Systematic Literature Review on Critical Thinking in Higher Education. Edelweiss Appl. Sci. Technol. 2025, 9, 2046–2063. [Google Scholar] [CrossRef]
  53. Banegas Pichastor, M.; Chalmeta Rosaleñ, R. Metodologías Activas, Sostenibilidad Y Objetivos De Desarrollo Sostenible. Etic@net. Rev. Científica Electrónica Educ. Comun. Soc. Conoc. 2025, 25, 158–184. [Google Scholar] [CrossRef]
  54. Chaparro Aguilar, E.; Arias Escobar, J.; Quispe Capajaña, M. Uso de Inteligencia Artificial Generativa En Contextos Académicos: Percepción de Estudiantes Universitarios. In Ingeniería Investiga; Universidad Privada de Tacna: Tacna, Peru, 2025; Volume 7. [Google Scholar] [CrossRef]
  55. Quintero Arroyo, A.Y.; Fernández Barrón, F.J. Impacto de La Inteligencia Artificial En La Ética Académica y El Desarrollo de Competencias Docentes. Ibero Cienc.—Rev. Científica Académica 2025, 4, 2422–2444. [Google Scholar] [CrossRef]
  56. Sharma, D. Balancing Innovation and Integrity in the Pacific: Exploring the Dual Impact of AI on Tertiary Education in Fiji. Int. J. Soc. Sci. Lang. Linguist. 2025, 5, 14–21. [Google Scholar] [CrossRef]
  57. Melo-López, V.-A.; Basantes-Andrade, A.; Gudiño-Mejía, C.-B.; Hernández-Martínez, E. The Impact of Artificial Intelligence on Inclusive Education: A Systematic Review. Educ. Sci. 2025, 15, 539. [Google Scholar] [CrossRef]
  58. Lowi, D.; Gentile, G.; Perotti, M.; Polano, F. La Inteligencia Artificial En La Enseñanza—Aprendizaje STEM; Un Estudio Sobre Su Uso y Percepciones En El Instituto Tecnológico de Buenos Aires: Buenos Aires, Argentina, 2025; pp. 1–13. [Google Scholar]
  59. Davila-Moran, R.C.; Sanchez Soto, J.M.; Lopez Gomez, H.E.; Silva Infantes, M.; Arias Lizares, A.; Huanca Rojas, L.M.; Cama Flores, S.J. Brief Prompt-Engineering Clinic Substantially Improves AI Literacy and Reduces Technology Anxiety in First-Year Teacher-Education Students: A Pre–Post Pilot Study. Educ. Sci. 2025, 15, 1010. [Google Scholar] [CrossRef]
  60. Tyaningsih, R.Y.; Wulandari, N.P.; Oktavihari, D. Persepsi Mahasiswa Terhadap Pemanfaatan Teknologi Artificial Intelligence (AI) Dalam Memecahkan Masalah Matematika Dan Membuat Karya Ilmiah. Griya J. Math. Educ. Appl. 2024, 4, 360–368. [Google Scholar] [CrossRef]
  61. Medina, R.F.B. Education 4.0 in Latin America: Comparative Analysis of the Use of Artificial Intelligence in Innovative Teaching Practices. J. Inf. Syst. Eng. Manag. 2025, 10, 1041–1049. [Google Scholar] [CrossRef]
  62. Larios Soldevilla, O.A.; Mendoza Ibarra, V.; Urdanegui Sibina, R.; Zilberman, J.; Lizola-Margolis, P.E.; Flores Peraltilla, A.V.; Herz Ghersi, J.; Valencia Brenis, M.; Aviles Valdez, J.R. Adoption of AI Tools and Their Impact on the Academic Research Output of Business School Students. Cogent Educ. 2025, 12, 2556892. [Google Scholar] [CrossRef]
  63. Xiong, Q.; Guo, X.; Yang, J. Digital Financial Inclusion, Land Circulation and High-Quality Development of Agriculture. Sustainability 2024, 16, 4775. [Google Scholar] [CrossRef]
  64. Kohnke, S.; Zaugg, T. Artificial Intelligence: An Untapped Opportunity for Equity and Access in STEM Education. Educ. Sci. 2025, 15, 68. [Google Scholar] [CrossRef]
  65. Pradana, H.D.; Rusijono, R.; Maureen, I.Y.; Youhanita, E. Artificial Intelligence in Learning Design: Acceptance, Perceived Effectiveness, and Barriers. J. Penelit. Pengkaj. Ilmu Pendidik. E-Saintika 2025, 9, 489–511. [Google Scholar] [CrossRef]
  66. Atstāja, D. Leveraging Sustainable Development Goals to Transform Higher Education and Advance Sustainability Science. Sustainability 2025, 17, 7807. [Google Scholar] [CrossRef]
  67. Ministerio de Agricultura y Ganadería ESTADISTICAS AGROPECUARIAS IMBABURA 2023. Available online: https://sipa.agricultura.gob.ec/index.php/situacionales-provinciales/estadisticas-imbabura (accessed on 18 December 2025).
  68. Ojeda Carrasco, C.A.; Herrera Panchi, D.J.; Pujos Aranda, J.C.; Gómez Gallo, C.F. Análisis De Implementación De Tecnologías De La Información Y La Comunicación En La Producción Pecuaria. Rev. Cienc. Innovadora 2025, 3, 74–85. [Google Scholar] [CrossRef]
Figure 1. Survey sample distribution.
Figure 1. Survey sample distribution.
Sustainability 18 00587 g001
Figure 2. Methodological framework of the study.
Figure 2. Methodological framework of the study.
Sustainability 18 00587 g002
Figure 3. Student distribution by career degree.
Figure 3. Student distribution by career degree.
Sustainability 18 00587 g003
Figure 4. Analysis for selection of the principal components: (a) Kaiser criterion for component selection; (b) cumulative variance 80% Criterion.
Figure 4. Analysis for selection of the principal components: (a) Kaiser criterion for component selection; (b) cumulative variance 80% Criterion.
Sustainability 18 00587 g004
Figure 5. AI tool usage distribution.
Figure 5. AI tool usage distribution.
Sustainability 18 00587 g005
Figure 6. Distribution of student-reported academic impact from Generative AI usage.
Figure 6. Distribution of student-reported academic impact from Generative AI usage.
Sustainability 18 00587 g006
Figure 7. Explained variance by component.
Figure 7. Explained variance by component.
Sustainability 18 00587 g007
Figure 8. Top 8 Variables by principal component loadings.
Figure 8. Top 8 Variables by principal component loadings.
Sustainability 18 00587 g008
Figure 9. Heatmap of principal component loadings for the three retained components: PC1 (Effectiveness and Satisfaction with AI), PC2 (Institutional Access and Support), and PC3 (Ethical Concerns versus Operational Benefits).
Figure 9. Heatmap of principal component loadings for the three retained components: PC1 (Effectiveness and Satisfaction with AI), PC2 (Institutional Access and Support), and PC3 (Ethical Concerns versus Operational Benefits).
Sustainability 18 00587 g009
Figure 10. Factor loadings of variables by principal component: (a) PC1 (50.1%) AI Efficacy and Satisfaction; (b) PC2 (9.4%) Institutional Access and Support; (c) PC3 (7.5%) Ethical Concerns vs. Operational Benefits.
Figure 10. Factor loadings of variables by principal component: (a) PC1 (50.1%) AI Efficacy and Satisfaction; (b) PC2 (9.4%) Institutional Access and Support; (c) PC3 (7.5%) Ethical Concerns vs. Operational Benefits.
Sustainability 18 00587 g010
Table 1. Reliability Analysis Table.
Table 1. Reliability Analysis Table.
DimensionCronbach’s αInterpretation
Knowledge and Access0.862Good reliability
Frequency of Use0.853Good reliability
Outcomes and Benefits0.958Excellent reliability
Concerns and Barriers0.810Good reliability
Table 2. Demographic characteristics of the sample.
Table 2. Demographic characteristics of the sample.
VariableCategoriesFrequency (%)
GenderMale44.5
Female55.5
Academic Level1st–2nd21.7
3rd–4th28.5
5th–6th23.5
7th–8th26.3
Table 3. Variable Classification by Conceptual Domains in AI Educational Integration Study.
Table 3. Variable Classification by Conceptual Domains in AI Educational Integration Study.
CategoriesVariablesLabel
General ExperienceVar 1Familiarity AI
Var 2Tools Access
Institutional SupportVar 3University Promotion
Var 4Information Received
UsabilityVar 5 Ease of Use
Var 6 Virtual Tutoring
Var 7 Use for Doubts
Var 8Time Organisation
FunctionalityVar 9Quick Search
Var 10Complex Tasks
Usage FrequencyVar 11Weekly Use
Academic OutcomesVar 12Understanding Improvement
Var 13Performance Increase
Var 14Personalization
Var 15Difficult Concepts
Var 16Feedback
ConfidenceVar 17Reliability
Var 18Career Alignment
SatisfactionVar 19 Satisfaction
Var 20 Work Quality
Var 21Time Efficiency
DifficultiesVar 22Usage Difficulty
ConcernsVar 23 Critical Thinking Concern
Var 24 Privacy Concern
Var 25Creativity Concern
LimitationsVar 26Limited Access
Disclaimer/Publisher’s Note: The statements, opinions and data contained in all publications are solely those of the individual author(s) and contributor(s) and not of MDPI and/or the editor(s). MDPI and/or the editor(s) disclaim responsibility for any injury to people or property resulting from any ideas, methods, instructions or products referred to in the content.

Share and Cite

MDPI and ACS Style

Guamán-Tabango, J.F.; Jácome-Ortega, A.E. Generative Artificial Intelligence for Sustainable Digital Transformation in Agro-Environmental Higher Education in Ecuador. Sustainability 2026, 18, 587. https://doi.org/10.3390/su18020587

AMA Style

Guamán-Tabango JF, Jácome-Ortega AE. Generative Artificial Intelligence for Sustainable Digital Transformation in Agro-Environmental Higher Education in Ecuador. Sustainability. 2026; 18(2):587. https://doi.org/10.3390/su18020587

Chicago/Turabian Style

Guamán-Tabango, Juan Fernando, and Alexandra Elizabeth Jácome-Ortega. 2026. "Generative Artificial Intelligence for Sustainable Digital Transformation in Agro-Environmental Higher Education in Ecuador" Sustainability 18, no. 2: 587. https://doi.org/10.3390/su18020587

APA Style

Guamán-Tabango, J. F., & Jácome-Ortega, A. E. (2026). Generative Artificial Intelligence for Sustainable Digital Transformation in Agro-Environmental Higher Education in Ecuador. Sustainability, 18(2), 587. https://doi.org/10.3390/su18020587

Note that from the first issue of 2016, this journal uses article numbers instead of page numbers. See further details here.

Article Metrics

Back to TopTop