Biochar Derived from Agricultural Residues for Wastewater Contaminant Removal
Abstract
1. Introduction
2. Mechanism of Adsorption Using Agricultural Residue-Based Biochar
2.1. General Conceptions of Adsorption
2.2. Interactions Between Biochar and Contaminants in Wastewater
2.3. Selective Adsorption
3. Preparation, Regeneration, and Characterization of Agricultural Residue-Based Biochar
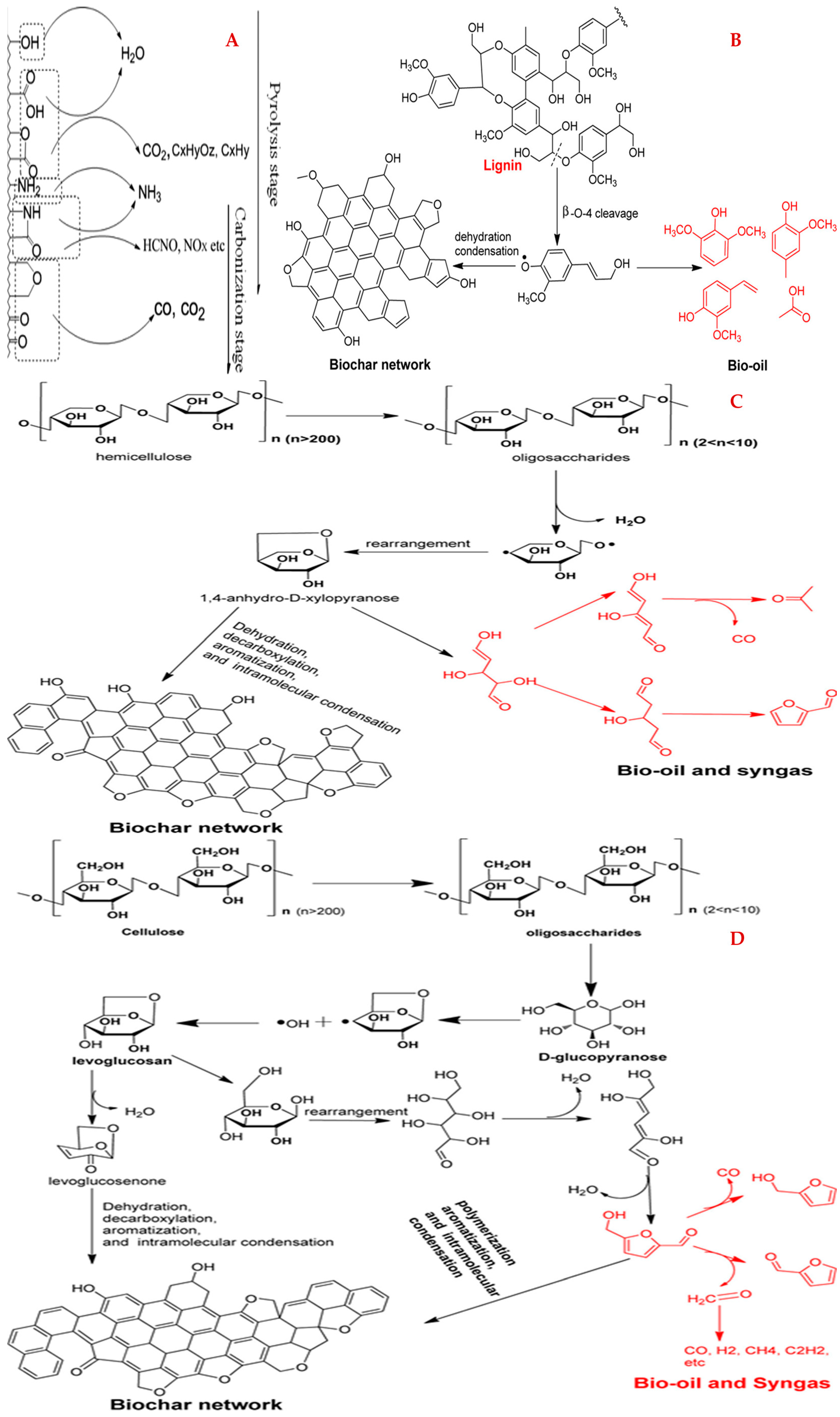
3.1. General Conceptions and Properties of Biochar
3.2. Preparation of Agricultural Residue-Based Biochar
3.3. Improved Fabrication of Agricultural Residue-Based Biochar
3.4. Regeneration of Agricultural Residue-Based Biochar
4. Use of Agricultural Residue-Based Biochar for Wastewater Remediation
5. Economic Evaluation and Environmental Impacts
6. Future Directions and Challenges
7. Conclusions
Author Contributions
Funding
Institutional Review Board Statement
Informed Consent Statement
Data Availability Statement
Acknowledgments
Conflicts of Interest
Abbreviations
| BOD | Biochemical oxygen demand |
| COD | Chemical oxygen demand |
| PhL | Ph of liquids |
| pHPZC | Point of zero charge |
| TC | Total carbon |
| TOC | Total organic carbon |
| TDS | Total dissolved solids |
| TS | The total solids |
| TSS | Total suspended solids |
| TVSS | Total volatile suspended solids |
References
- Shi, T.-T.; Yang, B.; Hu, W.-G.; Gao, G.-J.; Jiang, X.-Y.; Yu, J.-G. Garlic Peel-Based Biochar Prepared under Weak Carbonation Conditions for Efficient Removal of Methylene Blue from Wastewater. Molecules 2024, 29, 4772. [Google Scholar] [CrossRef]
- Alshakhs, F.; Gijjapu, D.R.; Aminul Islam, M.; Akinpelu, A.A.; Nazal, M.K. A Promising Palm Leaves Waste-Derived Biochar for Efficient Removal of Tetracycline from Wastewater. J. Mol. Struct. 2024, 1296, 136846. [Google Scholar] [CrossRef]
- Gao, R.; Ding, S.; Liu, Z.; Jiang, H.; Liu, G.; Fang, J. Recent Advances and Perspectives of Biochar for Livestock Wastewater: Modification Methods, Applications, and Resource Recovery. J. Environ. Chem. Eng. 2024, 12, 113678. [Google Scholar] [CrossRef]
- Mihajlović, I.; Hgeig, A.; Novaković, M.; Gvoić, V.; Ubavin, D.; Petrović, M.; Kurniawan, T.A. Valorizing Date Seeds into Biochar for Pesticide Removal: A Sustainable Approach to Agro-Waste-Based Wastewater Treatment. Sustainability 2025, 17, 5129. [Google Scholar] [CrossRef]
- Fan, W.; Zhang, X. Magnetic Coconut Shell Biochar/Sodium Alginate Composite Aerogel Beads for Efficient Removal of Methylene Blue from Wastewater: Synthesis, Characterization, and Mechanism. Int. J. Biol. Macromol. 2025, 284, 137945. [Google Scholar] [CrossRef] [PubMed]
- Wang, Y.; Chen, Y.; Wang, L.; Mo, Y.; Lin, X.; Gao, S.; Chen, M. Efficient Removal of Atrazine in Wastewater by Washed Peanut Shells Biochar: Adsorption Behavior and Biodegradation. Process Biochem. 2025, 154, 22–34. [Google Scholar] [CrossRef]
- Liu, P.; Wu, Z.; Lee, J.; Cravotto, G. Sonocatalytic Degrading Antibiotics over Activated Carbon in Cow Milk. Food Chem. 2024, 432, 137168. [Google Scholar] [CrossRef]
- Liu, P. Cavitational Technologies for the Removal of Antibiotics in Water and Milk. Ph.D. Thesis, University of Turin, Turin, Italy, 2023. [Google Scholar]
- Liu, P.; Wu, Z.; Cannizzo, F.T.; Mantegna, S.; Cravotto, G. Removal of Antibiotics from Milk via Ozonation in a Vortex Reactor. J. Hazard. Mater. 2022, 440, 129642. [Google Scholar] [CrossRef] [PubMed]
- Liu, P.; Wu, Z.; Fang, Z.; Cravotto, G. Sonolytic Degradation Kinetics and Mechanisms of Antibiotics in Water and Cow Milk. Ultrason. Sonochem. 2023, 99, 106518. [Google Scholar] [CrossRef]
- Ilyas, M.; Liao, Y.; Xu, J.; Wu, S.; Liao, W.; Zhao, X. Removal of Anthracene from Vehicle-Wash Wastewater through Adsorption Using Eucalyptus Wood Waste-Derived Biochar. Desalin. Water Treat. 2024, 317, 100115. [Google Scholar] [CrossRef]
- Rizkallah, B.M.; Galal, M.M.; Matta, M.E. Characteristics of Tetracycline Adsorption on Commercial Biochar from Synthetic and Real Wastewater in Batch and Continuous Operations: Study of Removal Mechanisms, Isotherms, Kinetics, Thermodynamics, and Desorption. Sustainability 2023, 15, 8249. [Google Scholar] [CrossRef]
- Liu, P.; Wu, Z.; Sun, Z.; Ye, J. Comparison Study of Naphthalene Adsorption on Activated Carbons Prepared from Different Raws. Korean J. Chem. Eng. 2018, 35, 2086–2096. [Google Scholar] [CrossRef]
- Liu, P.; Wu, Z.; Ge, X.; Yang, X. Hydrothermal Synthesis and Microwave-Assisted Activation of Starch-Derived Carbons as an Effective Adsorbent for Naphthalene Removal. RSC Adv. 2019, 9, 11696–11706. [Google Scholar] [CrossRef]
- Liu, P.; Wu, Z.; Manzoli, M.; Cravotto, G. Magnetic Biochar Generated from Oil-Mill Wastewater by Microwave-Assisted Hydrothermal Treatment for Sonocatalytic Antibiotic Degradation. J. Environ. Chem. Eng. 2025, 13, 114996. [Google Scholar] [CrossRef]
- Chen, Y.; Cui, Z.; Ding, H.; Wan, Y.; Tang, Z.; Gao, J. Cost-Effective Biochar Produced from Agricultural Residues and Its Application for Preparation of High Performance Form-Stable Phase Change Material via Simple Method. Int. J. Mol. Sci. 2018, 19, 3055. [Google Scholar] [CrossRef]
- Edwin, T.; Komala, P.S.; Mera, M.; Zulkarnaini, Z.; Jamil, Z. Coconut Shell Biochar as a Sustainable Approach for Nutrient Removal from Agricultural Wastewater. J. Water Land Dev. 2025, 177–184. [Google Scholar] [CrossRef]
- Konneh, M.; Wandera, S.M.; Murunga, S.I.; Raude, J.M. Adsorption and Desorption of Nutrients from Abattoir Wastewater: Modelling and Comparison of Rice, Coconut and Coffee Husk Biochar. Heliyon 2021, 7, e08458. [Google Scholar] [CrossRef]
- Tariq, M.; Ali Baig, S.; Shams, D.F.; Hussain, S.; Hussain, R.; Qadir, A.; Maryam, H.S.; Khan, Z.U.; Sattar, S.; Xu, X. Dye Wastewater Treatment Using Wheat Straw Biochar in Gadoon Industrial Areas of Swabi, Pakistan. Water Conserv. Sci. Eng. 2022, 7, 315–326. [Google Scholar] [CrossRef]
- Hossain, N.; Nizamuddin, S.; Griffin, G.; Selvakannan, P.; Mubarak, N.M.; Mahlia, T.M.I. Synthesis and Characterization of Rice Husk Biochar via Hydrothermal Carbonization for Wastewater Treatment and Biofuel Production. Sci. Rep. 2020, 10, 18851. [Google Scholar] [CrossRef]
- Huong, P.T.; Jitae, K.; Al Tahtamouni, T.M.; Le Minh Tri, N.; Kim, H.-H.; Cho, K.H.; Lee, C. Novel Activation of Peroxymonosulfate by Biochar Derived from Rice Husk toward Oxidation of Organic Contaminants in Wastewater. J. Water Process Eng. 2020, 33, 101037. [Google Scholar] [CrossRef]
- Pham, T.H.; Chu, T.T.H.; Nguyen, D.K.; Le, T.K.O.; Obaid, S.A.; Alharbi, S.A.; Kim, J.; Nguyen, M.V. Alginate-Modified Biochar Derived from Rice Husk Waste for Improvement Uptake Performance of Lead in Wastewater. Chemosphere 2022, 307, 135956. [Google Scholar] [CrossRef]
- Van Nguyen, Q.; Nguyen, K.M.; Nguyen, H.T.; Duong, T.D.; Dong, M.N.T.; Tran, H.M.T.; Van Hoang, H. Evaluation of Adsorption and Desorption of Wastewater onto Rice Husk Biochar on the Course of Hydroponic Nutrient Production. Biomass Convers. Biorefin. 2025, 15, 18615–18628. [Google Scholar] [CrossRef]
- Van Nguyen, Q.; Nguyen, K.M.; Nguyen, H.T.; Van Hoang, H.; Duong, T.D.; Dong, M.T.N.; Tran, H.T.M. Transforming Domestic Wastewater into Hydroponic Nutrients Using Corncob-Derived Biochar Adsorption. J. Soil. Sci. Plant Nutr. 2025, 25, 3708–3724. [Google Scholar] [CrossRef]
- Hosseini, S.M.; Bojmehrani, A.; Zare, E.; Zare, Z.; Hosseini, S.M.; Bakhshabadi, H. Optimization of Antioxidant Extraction Process from Corn Meal Using Pulsed Electric Field-subcritical Water. J. Food Process Preserv. 2021, 45, e15458. [Google Scholar] [CrossRef]
- Walanda, D.K.; Anshary, A.; Napitupulu, M.; Walanda, R.M. The Utilization of Corn Stalks as Biochar to Adsorb BOD and COD in Hospital Wastewater. Int. J. Des. Nat. Ecodynam. 2022, 17, 113–118. [Google Scholar] [CrossRef]
- Lou, L.; Li, W.; Yao, H.; Luo, H.; Liu, G.; Fang, J. Corn Stover Waste Preparation Cerium-Modified Biochar for Phosphate Removal from Pig Farm Wastewater: Adsorption Performance and Mechanism. Biochem. Eng. J. 2024, 212, 109530. [Google Scholar] [CrossRef]
- Chu, T.T.H.; Nguyen, M.V. Improved Cr (VI) Adsorption Performance in Wastewater and Groundwater by Synthesized Magnetic Adsorbent Derived from Fe3O4 Loaded Corn Straw Biochar. Environ. Res. 2023, 216, 114764. [Google Scholar] [CrossRef]
- Favre, F.; Slijepcevic, A.; Piantini, U.; Frey, U.; Abiven, S.; Schmidt, H.-P.; Charlet, L. Real Wastewater Micropollutant Removal by Wood Waste Biomass Biochars: A Mechanistic Interpretation Related to Various Biochar Physico-Chemical Properties. Bioresour. Technol. Rep. 2022, 17, 100966. [Google Scholar] [CrossRef]
- Chen, H.; Guo, H.; Jiang, D.; Cheng, S.; Xing, B.; Meng, W.; Fang, J.; Xia, H. Microwave-Assisted Pyrolysis of Rape Stalk to Prepare Biochar for Heavy Metal Wastewater Removal. Diam. Relat. Mater. 2023, 134, 109794. [Google Scholar] [CrossRef]
- Xiao, X.; Chen, B.; Chen, Z.; Zhu, L.; Schnoor, J.L. Insight into Multiple and Multilevel Structures of Biochars and Their Potential Environmental Applications: A Critical Review. Environ. Sci. Technol. 2018, 52, 5027–5047. [Google Scholar] [CrossRef] [PubMed]
- Wijitkosum, S. Biochar Derived from Agricultural Wastes and Wood Residues for Sustainable Agricultural and Environmental Applications. Int. Soil. Water Conserv. Res. 2022, 10, 335–341. [Google Scholar] [CrossRef]
- Jeyasubramanian, K.; Thangagiri, B.; Sakthivel, A.; Dhaveethu Raja, J.; Seenivasan, S.; Vallinayagam, P.; Madhavan, D.; Malathi Devi, S.; Rathika, B. A Complete Review on Biochar: Production, Property, Multifaceted Applications, Interaction Mechanism and Computational Approach. Fuel 2021, 292, 120243. [Google Scholar] [CrossRef]
- Wainaina, S.; Awasthi, M.K.; Sarsaiya, S.; Chen, H.; Singh, E.; Kumar, A.; Ravindran, B.; Awasthi, S.K.; Liu, T.; Duan, Y.; et al. Resource Recovery and Circular Economy from Organic Solid Waste Using Aerobic and Anaerobic Digestion Technologies. Bioresour. Technol. 2020, 301, 122778. [Google Scholar] [CrossRef]
- Das, S.K.; Ghosh, G.K.; Avasthe, R. Conversion of Crop, Weed and Tree Biomass into Biochar for Heavy Metal Removal and Wastewater Treatment. Biomass Convers. Biorefin. 2023, 13, 4901–4914. [Google Scholar] [CrossRef]
- Liu, P.; Wu, Z.; Barge, A.; Boffa, L.; Martina, K.; Cravotto, G. Determination of Trace Antibiotics in Water and Milk via Preconcentration and Cleanup Using Activated Carbons. Food Chem. 2022, 385, 132695. [Google Scholar] [CrossRef]
- Masmoudi, M.A.; Abid, N.; Feki, F.; Karray, F.; Chamkha, M.; Sayadi, S. Study of Olive Mill Wastewater Adsorption onto Biochar as a Pretreatment Option within a Fully Integrated Process. EuroMediterr. J. Environ. Integr. 2024, 9, 621–635. [Google Scholar] [CrossRef]
- Fito, J.; Abewaa, M.; Nkambule, T. Magnetite-Impregnated Biochar of Parthenium Hysterophorus for Adsorption of Cr(VI) from Tannery Industrial Wastewater. Appl. Water Sci. 2023, 13, 78. [Google Scholar] [CrossRef]
- Abdu, M.; Babaee, S.; Worku, A.; Msagati, T.A.M.; Nure, J.F. The Development of Giant Reed Biochar for Adsorption of Basic Blue 41 and Eriochrome Black T. Azo Dyes from Wastewater. Sci. Rep. 2024, 14, 18320. [Google Scholar] [CrossRef] [PubMed]
- Collivignarelli, M.C.; Illankoon, W.A.M.A.N.; Milanese, C.; Calatroni, S.; Caccamo, F.M.; Medina-Llamas, M.; Girella, A.; Sorlini, S. Preparation and Modification of Biochar Derived from Agricultural Waste for Metal Adsorption from Urban Wastewater. Water 2024, 16, 698. [Google Scholar] [CrossRef]
- Cheng, D.; Ngo, H.H.; Guo, W.; Chang, S.W.; Nguyen, D.D.; Zhang, X.; Varjani, S.; Liu, Y. Feasibility Study on a New Pomelo Peel Derived Biochar for Tetracycline Antibiotics Removal in Swine Wastewater. Sci. Total Environ. 2020, 720, 137662. [Google Scholar] [CrossRef]
- Yu, J.; Hu, H.; Wu, X.; Zhou, T.; Liu, Y.; Ruan, R.; Zheng, H. Coupling of Biochar-Mediated Absorption and Algal-Bacterial System to Enhance Nutrients Recovery from Swine Wastewater. Sci. Total Environ. 2020, 701, 134935. [Google Scholar] [CrossRef] [PubMed]
- Díaz, B.; Sommer-Márquez, A.; Ordoñez, P.E.; Bastardo-González, E.; Ricaurte, M.; Navas-Cárdenas, C. Synthesis Methods, Properties, and Modifications of Biochar-Based Materials for Wastewater Treatment: A Review. Resources 2024, 13, 8. [Google Scholar] [CrossRef]
- Wu, Z.; Sun, Z.; Liu, P.; Li, Q.; Yang, R.; Yang, X. Competitive Adsorption of Naphthalene and Phenanthrene on Walnut Shell Based Activated Carbon and the Verification via Theoretical Calculation. RSC Adv. 2020, 10, 10703–10714. [Google Scholar] [CrossRef] [PubMed]
- Ashebir, H.; Nure, J.F.; Worku, A.; Msagati, T.A.M. Prosopis Juliflora Biochar for Adsorption of Sulfamethoxazole and Ciprofloxacin from Pharmaceutical Wastewater. Desalin. Water Treat. 2024, 320, 100691. [Google Scholar] [CrossRef]
- Cui, Y.; Du, W.; Zhang, Y.; Hu, J.; Kang, W. Adsorption Characteristics and Removal Mechanism of Quinoline in Wastewater by Walnut Shell-Based Biochar. J. Water Process Eng. 2025, 70, 106980. [Google Scholar] [CrossRef]
- Tang, G.; Mo, H.; Gao, L.; Chen, Y.; Zhou, X. Adsorption of Crystal Violet from Wastewater Using Alkaline-Modified Pomelo Peel-Derived Biochar. J. Water Process Eng. 2024, 68, 106334. [Google Scholar] [CrossRef]
- Poonam; Bharti, S.K.; Kumar, N. Kinetic Study of Lead (Pb2+) Removal from Battery Manufacturing Wastewater Using Bagasse Biochar as Biosorbent. Appl. Water Sci. 2018, 8, 119. [Google Scholar] [CrossRef]
- Ou, W.; Lan, X.; Guo, J.; Cai, A.; Liu, P.; Liu, N.; Liu, Y.; Lei, Y. Preparation of Iron/Calcium-Modified Biochar for Phosphate Removal from Industrial Wastewater. J. Clean. Prod. 2023, 383, 135468. [Google Scholar] [CrossRef]
- Illankoon, W.A.M.A.N.; Milanese, C.; Karunarathna, A.K.; Liyanage, K.D.H.E.; Alahakoon, A.M.Y.W.; Rathnasiri, P.G.; Collivignarelli, M.C.; Sorlini, S. Evaluating Sustainable Options for Valorization of Rice By-Products in Sri Lanka: An Approach for a Circular Business Model. Agronomy 2023, 13, 803. [Google Scholar] [CrossRef]
- Yu, Y.; Yang, B.; Petropoulos, E.; Duan, J.; Yang, L.; Xue, L. The Potential of Biochar as N Carrier to Recover N from Wastewater for Reuse in Planting Soil: Adsorption Capacity and Bioavailability Analysis. Separations 2022, 9, 337. [Google Scholar] [CrossRef]
- Yusuff, A.S.; Popoola, L.T.; Ibrahim, I.S. Adsorptive Removal of Anthraquinone Dye from Wastewater Using Silica-Nitrogen Reformed Eucalyptus Bark Biochar: Parametric Optimization, Isotherm and Kinetic Studies. J. Taiwan Inst. Chem. Eng. 2025, 166, 105503. [Google Scholar] [CrossRef]
- Cano, F.J.; Sánchez-Albores, R.; Ashok, A.; Escorcia-García, J.; Cruz-Salomón, A.; Reyes-Vallejo, O.; Sebastian, P.J.; Velumani, S. Carica Papaya Seed- Derived Functionalized Biochar: An Environmentally Friendly and Efficient Alternative for Dye Adsorption. J. Mater. Sci. Mater. Electron. 2025, 36, 663. [Google Scholar] [CrossRef]
- Cano, F.J.; Reyes-Vallejo, O.; Sánchez-Albores, R.M.; Sebastian, P.J.; Cruz-Salomón, A.; Hernández-Cruz, M.d.C.; Montejo-López, W.; González Reyes, M.; Serrano Ramirez, R.d.P.; Torres-Ventura, H.H. Activated Biochar from Pineapple Crown Biomass: A High-Efficiency Adsorbent for Organic Dye Removal. Sustainability 2024, 17, 99. [Google Scholar] [CrossRef]
- Ambaye, T.G.; Vaccari, M.; van Hullebusch, E.D.; Amrane, A.; Rtimi, S. Mechanisms and Adsorption Capacities of Biochar for the Removal of Organic and Inorganic Pollutants from Industrial Wastewater. Int. J. Environ. Sci. Technol. 2021, 18, 3273–3294. [Google Scholar] [CrossRef]
- Kılıç, M.; Keskin, M.E.; Mazlum, S.; Mazlum, N. Hg(II) and Pb(II) Adsorption on Activated Sludge Biomass: Effective Biosorption Mechanism. Int. J. Min. Process 2008, 87, 1–8. [Google Scholar] [CrossRef]
- Jia, Z.; Zeng, W.; Xu, H.; Li, S.; Peng, Y. Adsorption Removal and Reuse of Phosphate from Wastewater Using a Novel Adsorbent of Lanthanum-Modified Platanus Biochar. Process Saf. Environ. Prot. 2020, 140, 221–232. [Google Scholar] [CrossRef]
- Wang, G.; Yang, R.; Liu, Y.; Wang, J.; Tan, W.; Liu, X.; Jin, Y.; Qu, J. Adsorption of Cd(II) onto Auricularia Auricula Spent Substrate Biochar Modified by CS2: Characteristics, Mechanism and Application in Wastewater Treatment. J. Clean. Prod. 2022, 367, 132882. [Google Scholar] [CrossRef]
- Wu, Z.; Liu, P.; Wu, Z.; Cravotto, G. In Situ Modification of Activated Carbons by Oleic Acid under Microwave Heating to Improve Adsorptive Removal of Naphthalene in Aqueous Solutions. Processes 2021, 9, 391. [Google Scholar] [CrossRef]
- Idris, M.O.; Yaqoob, A.A.; Ibrahim, M.N.M.; Ahmad, A.; Alshammari, M.B. Introduction of Adsorption Techniques for Heavy Metals Remediation. In Emerging Techniques for Treatment of Toxic Metals from Wastewater; Elsevier: Amsterdam, The Netherlands, 2023; pp. 1–18. [Google Scholar]
- Bai, X.; Zhang, M.; Niu, B.; Zhang, W.; Wang, X.; Wang, J.; Wu, D.; Wang, L.; Jiang, K. Rotten Sugarcane Bagasse Derived Biochars with Rich Mineral Residues for Effective Pb (II) Removal in Wastewater and the Tech-Economic Analysis. J. Taiwan Inst. Chem. Eng. 2022, 132, 104231. [Google Scholar] [CrossRef]
- Enaime, G.; Baçaoui, A.; Yaacoubi, A.; Lübken, M. Biochar for Wastewater Treatment—Conversion Technologies and Applications. Appl. Sci. 2020, 10, 3492. [Google Scholar] [CrossRef]
- Adewoye, T.L.; Ogunleye, O.O.; Abdulkareem, A.S.; Salawudeen, T.O.; Tijani, J.O. Optimization of the Adsorption of Total Organic Carbon from Produced Water Using Functionalized Multi-Walled Carbon Nanotubes. Heliyon 2021, 7, e05866. [Google Scholar] [CrossRef]
- Ghebrehiwot, H.; Fynn, R.; Morris, C.; Kirkman, K. Shoot and Root Biomass Allocation and Competitive Hierarchies of Four South African Grass Species on Light, Soil Resources and Cutting Gradients. Afr. J. Range Forage Sci. 2006, 23, 113–122. [Google Scholar] [CrossRef]
- Zhao, X.; Wang, Q.; Sun, Y.; Li, H.; Lei, Z.; Zheng, B.; Xia, H.; Su, Y.; Ali, K.M.Y.; Wang, H.; et al. Beryllium Adsorption from Beryllium Mining Wastewater with Novel Porous Lotus Leaf Biochar Modified with PO43−/NH4+ Multifunctional Groups (MLLB). Biochar 2024, 6, 89. [Google Scholar] [CrossRef]
- Amdeha, E. Biochar-Based Nanocomposites for Industrial Wastewater Treatment via Adsorption and Photocatalytic Degradation and the Parameters Affecting These Processes. Biomass Convers. Biorefin. 2024, 14, 23293–23318. [Google Scholar] [CrossRef]
- Motasemi, F.; Afzal, M.T. A Review on the Microwave-Assisted Pyrolysis Technique. Renew. Sustain. Energy Rev. 2013, 28, 317–330. [Google Scholar] [CrossRef]
- Gayathri, R.; Gopinath, K.P.; Kumar, P.S. Adsorptive Separation of Toxic Metals from Aquatic Environment Using Agro Waste Biochar: Application in Electroplating Industrial Wastewater. Chemosphere 2021, 262, 128031. [Google Scholar] [CrossRef] [PubMed]
- Soundari, L.; Prasanna, K. Optimum Usage of Biochar Derived from Agricultural Biomass in Removing Organic Pollutant Present in Pharmaceutical Wastewater. Sustain. Chem. Environ. 2025, 10, 100259. [Google Scholar] [CrossRef]
- Sutarut, P.; Cheirsilp, B.; Boonsawang, P. The Potential of Oil Palm Frond Biochar for the Adsorption of Residual Pollutants from Real Latex Industrial Wastewater. Int. J. Environ. Res. 2023, 17, 16. [Google Scholar] [CrossRef]
- Liu, W.-J.; Jiang, H.; Yu, H.-Q. Development of Biochar-Based Functional Materials: Toward a Sustainable Platform Carbon Material. Chem. Rev. 2015, 115, 12251–12285. [Google Scholar] [CrossRef]
- Yap, M.W.; Mubarak, N.M.; Sahu, J.N.; Abdullah, E.C. Microwave Induced Synthesis of Magnetic Biochar from Agricultural Biomass for Removal of Lead and Cadmium from Wastewater. J. Ind. Eng. Chem. 2017, 45, 287–295. [Google Scholar] [CrossRef]
- Liu, P.; Boffa, L.; Chemat, A.; Cravotto, D. Review and Perspectives on the Role of Microwaves in Membrane Processes. ACS Sustain. Resour. Manag. 2026. [Google Scholar] [CrossRef]
- Hassan, N.S.; Jalil, A.A.; Izzuddin, N.M.; Bahari, M.B.; Hatta, A.H.; Kasmani, R.M.; Norazahar, N. Recent Advances in Lignocellulosic Biomass-Derived Biochar-Based Photocatalyst for Wastewater Remediation. J. Taiwan Inst. Chem. Eng. 2024, 163, 105670. [Google Scholar] [CrossRef]
- Gao, L.; Goldfarb, J.L. Heterogeneous Biochars from Agriculture Residues and Coal Fly Ash for the Removal of Heavy Metals from Coking Wastewater. RSC Adv. 2019, 9, 16018–16027. [Google Scholar] [CrossRef] [PubMed]
- Vu, N.-T.; Do, K.-U. Insights into Adsorption of Ammonium by Biochar Derived from Low Temperature Pyrolysis of Coffee Husk. Biomass Convers. Biorefin. 2023, 13, 2193–2205. [Google Scholar] [CrossRef]
- Lap, B.Q.; Thinh, N.V.D.; Hung, N.T.Q.; Nam, N.H.; Dang, H.T.T.; Ba, H.T.; Ky, N.M.; Tuan, H.N.A. Assessment of Rice Straw–Derived Biochar for Livestock Wastewater Treatment. Water Air Soil. Pollut. 2021, 232, 162. [Google Scholar] [CrossRef]
- Fseha, Y.H.; Shaheen, J.; Sizirici, B. Phenol Contaminated Municipal Wastewater Treatment Using Date Palm Frond Biochar: Optimization Using Response Surface Methodology. Emerg. Contam. 2023, 9, 100202. [Google Scholar] [CrossRef]
- Choudhary, V.; Philip, L. Sustainability Assessment of Acid-Modified Biochar as Adsorbent for the Removal of Pharmaceuticals and Personal Care Products from Secondary Treated Wastewater. J. Environ. Chem. Eng. 2022, 10, 107592. [Google Scholar] [CrossRef]
- Hussain, A.; Maitra, J.; Khan, K.A. Development of Biochar and Chitosan Blend for Heavy Metals Uptake from Synthetic and Industrial Wastewater. Appl. Water Sci. 2017, 7, 4525–4537. [Google Scholar] [CrossRef]
- Lee, J.W.; Han, J.; Choi, Y.-K.; Park, S.; Lee, S.H. Reswellable Alginate/Activated Carbon/Carboxymethyl Cellulose Hydrogel Beads for Ibuprofen Adsorption from Aqueous Solutions. Int. J. Biol. Macromol. 2023, 249, 126053. [Google Scholar] [CrossRef]
- Sun, R.; Luo, G.; Li, X.; Tian, H.; Yao, H. Theoretical Research on Role of Sulfur Allotropes on Activated Carbon Surface in Adsorbing Elemental Mercury. Chem. Eng. J. 2021, 404, 126639. [Google Scholar] [CrossRef]
- Ghenaatian, H.R.; Shakourian-Fard, M.; Kamath, G. The Effect of Sulfur and Nitrogen/Sulfur Co-Doping in Graphene Surface on the Adsorption of Toxic Heavy Metals (Cd, Hg, Pb). J. Mater. Sci. 2019, 54, 13175–13189. [Google Scholar] [CrossRef]
- Qiu, L.; Zheng, P.; Zhang, M.; Yu, X.; Abbas, G. Phosphorus Removal Using Ferric–Calcium Complex as Precipitant: Parameters Optimization and Phosphorus-Recycling Potential. Chem. Eng. J. 2015, 268, 230–235. [Google Scholar] [CrossRef]
- Kumi, A.G.; Ibrahim, M.G.; Fujii, M.; Nasr, M. Petrochemical Wastewater Treatment by Eggshell Modified Biochar as Adsorbent: Atechno-Economic and Sustainable Approach. Adsorpt. Sci. Technol. 2022, 2022, 2323836. [Google Scholar] [CrossRef]
- Zhang, P.; Duan, W.; Peng, H.; Pan, B.; Xing, B. Functional Biochar and Its Balanced Design. ACS Environ. Au 2022, 2, 115–127. [Google Scholar] [CrossRef] [PubMed]
- Alsawy, T.; Rashad, E.; El-Qelish, M.; Mohammed, R.H. A Comprehensive Review on the Chemical Regeneration of Biochar Adsorbent for Sustainable Wastewater Treatment. NPJ Clean Water 2022, 5, 29. [Google Scholar] [CrossRef]
- Jia, Y.; Ou, Y.; Khanal, S.K.; Sun, L.; Shu, W.; Lu, H. Biochar-Based Strategies for Antibiotics Removal: Mechanisms, Factors, and Application. ACS EST Eng. 2024, 4, 1256–1274. [Google Scholar] [CrossRef]
- Ezeonuegbu, B.A.; Machido, D.A.; Whong, C.M.Z.; Japhet, W.S.; Alexiou, A.; Elazab, S.T.; Qusty, N.; Yaro, C.A.; Batiha, G.E.-S. Agricultural Waste of Sugarcane Bagasse as Efficient Adsorbent for Lead and Nickel Removal from Untreated Wastewater: Biosorption, Equilibrium Isotherms, Kinetics and Desorption Studies. Biotechnol. Rep. 2021, 30, e00614. [Google Scholar] [CrossRef]
- Shruthi, S.; Vishalakshi, B. Hybrid Banana Pseudo Stem Biochar- Poly (N-Hydroxyethylacrylamide) Hydrogel and Its Magnetic Nanocomposite for Effective Remediation of Dye from Wastewater. J. Environ. Chem. Eng. 2024, 12, 112682. [Google Scholar] [CrossRef]
- Egila, J.N.; Dauda, B.E.N.; Iyaka, Y.A.; Jimoh, T. Agricultural Waste as a Low Cost Adsorbent for Heavy Metal Removal from Wastewater. Int. J. Phys. Sci. 2011, 6, 2152–2157. [Google Scholar]
- El Ouassif, H.; Gayh, U.; Ghomi, M.R. Biochar Production from Agricultural Waste (Corncob) to Remove Ammonia from Livestock Wastewater. Int. J. Recycl. Org. Waste Agric. 2024, 13, 132409. [Google Scholar] [CrossRef]
- Yoder, J.; Galinato, S.; Granatstein, D.; Garcia-Pérez, M. Economic Tradeoff between Biochar and Bio-Oil Production via Pyrolysis. Biomass Bioenergy 2011, 35, 1851–1862. [Google Scholar] [CrossRef]
- Fdez-Sanromán, A.; Pazos, M.; Rosales, E.; Sanromán, M.A. Unravelling the Environmental Application of Biochar as Low-Cost Biosorbent: A Review. Appl. Sci. 2020, 10, 7810. [Google Scholar] [CrossRef]
- Gaunt, J.L.; Lehmann, J. Energy Balance and Emissions Associated with Biochar Sequestration and Pyrolysis Bioenergy Production. Environ. Sci. Technol. 2008, 42, 4152–4158. [Google Scholar] [CrossRef]
- An, J.Y.; Hwang, G.Y.; Um, J.B. An A Nalysis of the Influence Factors o f Farmers’ Acceptance Intention o n Low Carbon Agricultural Technology Bio-Char. J. Agric. Ext. Community Dev. 2023, 30, 199–212. [Google Scholar]
- Bergman, R.D.; Zhang, H.; Englund, K.; Windell, K.; Gu, H. Estimating GHG emissions from the manufacturing of field-applied biochar pellets. In Proceedings of the 59th International Convention of Society of Wood Science and Technology, Curitiba, Brazil, 6–10 March 2016. [Google Scholar]
- Van Thuan, D.; Chu, T.T.H.; Thanh, H.D.T.; Le, M.V.; Ngo, H.L.; Le, C.L.; Thi, H.P. Adsorption and Photodegradation of Micropollutant in Wastewater by Photocatalyst TiO2/Rice Husk Biochar. Environ. Res. 2023, 236, 116789. [Google Scholar] [CrossRef] [PubMed]





| Feature | Agricultural Residue Biochar | Woody Biochar | Manure/Waste Biochar |
|---|---|---|---|
| Carbon content | Moderate (45–70%) | High (70–90%) | Low (25–45%) |
| Ash content | High (10–40%) | Very low (<5%) | Very high (>40%) |
| Nutrient levels | Moderate (some P, K, Si) | Low (mostly carbon) | Very high (N, P, K, Ca, Mg) |
| Porosity | High (fine pores) | Very high (large pores) | Low (pores often clogged by ash) |
| Stability | Moderate to high | Very high (resists decay) | Low (decays faster in soil) |
| pH level | High (alkaline) | Moderate to high | Often very high (highly alkaline) |
| Mechanisms | Illustrations | Examples | Refs. |
|---|---|---|---|
| Precipitation | Contaminants can chemically precipitate via reaction with the liquid solute or biochar surface and are finally adsorbed on the biochar surface | (i) Between Al3+, Fe3+, Ca2+, Mg2+, Zn2+, Cu2+, Pb2+, and Cd2+ and OH- at alkaline conditions (ii) Between PO43− and Fe-doped biochar to form Fe3(PO4)2·(H2O)8 | [37,42,48] |
| Complexation | Biochar surface’s functional groups can act as electron donors or acceptors and interact with metal ions or ammonium ions to produce complexes | (i) Between -OH groups and Fe2+ (ii) Between phosphate and ammonium ions (iii) Between -COOH and C=O or -OH with Cr6+ (iv) Between -OH and C=O or C-OH with Pb2+ (v) Between -NH2 and Cu2+ or Pb2+ | [28,40,49] |
| H-bonding | H-bonding (theoretical bond energies of 4–17 kJ/mol) can be formed via the interaction between the functional groups on the biochar surface (e.g., -NH2 and -OH) with F-, N-, or O- containing molecules | (i) Between -OH and ammonium ion or -NO2 (ii) Between -OH and -OH or -NH2 (iii) Between -COOH and its conjugate acid | [5,50,51] |
| Electrostatic attraction and repulsion | Electrostatic interaction refers to the formation of ionic bonds between surface-charged biochar and ions or charged molecules. Electrostatic interaction is highly related to the pH of liquids, surface charge of the biochar, and pKa of the target substrates, which can be limited under high pH conditions | (i) Between cationic dye and -COO− of biochar (ii) Between the Si-N of biochar and anionic dyes (iii) Between Mn2+ and -OH, -COOH, or C=O of biochar (iv) Between PO43− and nitrate or nitrite of biochar (v) Between the same ions on the biochar surface and in liquids | [5,52,53,54] |
| π-π electron donor–acceptor interaction | π-π interactions (theoretical bond energies of 4–167 kJ/mol) are weak non-covalent bonds, referring to interactions between groups with π electron systems (e.g., -Ph, -C=C-, C=O, -COOH, -OH, and C-O) of the biochar surface and the target compounds | (i) Between -Ph of biochar and the enone structure of tetracycline (ii) Between -OH or -COOH of biochar surface and -Ph of phenolic compounds | [2,6,12] |
| Pore filling | Pore filling is a physisorption process, referring to the substrate being adsorbed and concentrated on biochar’s pore, depending on the properties of biochar (e.g., porosity) and the substrate (e.g., polarity) | (i) Extensively occurs during various porous biochar involved adsorption | [42,55] |
| Ion exchange | Ion exchange refers to the exchange of ions between the biochar surface and the charged substrate in liquid | (i) Between the SiO2 of biochar and ammonium-N (ii) Between Ca2+, Na+, or K+ of biochar and Hg2+ (iii) Between -COOH, -OH, and -FeOOH of biochar with Cr6+ | [23,28,56] |
| Ligand exchange | Ligand exchange refers to the original ligand of a coordination compound of biochar being selectively substituted by other ligands in liquids, which is limited at high pH | (i) Between -OH of biochar and PO43− in liquids (ii) Between S- and O-containing groups of biochar with Cd2+ in liquids | [27,57,58] |
| Hydrophobic interaction | Hydrophobic interaction refers to the interaction between aromatized, graphitized layers or the hydrophobically modified surface of biochar and hydrophobic substances | (i) Extensively occurs between the hydrophobic surface of biochar and hydrophobic compounds (ii) Between oleic acid-modified activated biochar and naphthalene | [40,59] |
| Redox effects | Redox effects occur between biochar surfaces with oxidation or reduction capabilities and substrates in liquids | (i) [Adsorbent]-Fe2+ + CrO42− + 4OH− + 4H2O → 3 Fe(OH)3 +Cr(OH)3 | [38] |
| Van der Waals forces | Van der Waals forces, a weaker electrostatic interaction than H-bonding, refer to non-directional and unsaturated interactions between the biochar surface and substrates in liquids | (i) Between the biochar surface and neutral creatinine, urea, or uric acids | [23] |
| Strategies | Advantages | Limitations |
|---|---|---|
| Conventional high-temperature heating (pyrolysis) | Most common and well-established method. Can use a variety of feedstocks. Higher temperatures (above 500 °C) yield highly stable carbon and porous biochar with high fixed carbon content. Products (bio-oil, syngas, and biochar) can be used for energy. | Longer processing times (especially slow pyrolysis). Heat transfer can be slow and non-uniform, particularly in large reactors. Requires a significant amount of energy, especially to drive off moisture from wet biomass. |
| High-temperature heating under vacuum | Lower decomposition temperature and shorter processing time compared to atmospheric pyrolysis. This strategy can potentially increase bio-oil yield and improve product quality by quickly removing volatiles. | Increased complexity and cost due to the need for vacuum equipment. This strategy may require specialized reactor design. |
| Microwave calcination (pyrolysis) | Rapid and uniform heating due to direct energy transfer to the biomass. Shorter processing time and higher energy efficiency compared to conventional heating. Can produce biochar with enhanced microporous structure and surface functional groups. | Potential for hotspots and temperature non-uniformity in large-scale applications. Reactor design and precise control are more complex. |
| Hydrothermal synthesis (hydrothermal carbonization) | Uses wet biomass directly (no pre-drying needed), which is an advantage for high-moisture feedstocks. Operates at lower temperatures (180–250 °C) under high pressure. Produced hydrochar is carbon-rich but often less stable than pyrolysis biochar. | Requires specialized equipment (autoclaves) to handle high pressure. Longer reaction times (hours to days). Hydrochar may have lower C-stability and surface area than high-temperature biochar. |
| Microwave hydrothermal synthesis | Combines the benefits of microwave heating with hydrothermal carbonization. Offers significantly reduced reaction time (hours to minutes) and homogeneous heating compared to conventional hydrothermal carbonization. Allows for rapid and precise process control. | Requires specialized microwave equipment designed for high-pressure hydrothermal conditions. Cost and scalability can be challenging. |
| Salt-melting method (molten salt pyrolysis) | Molten salts can act as pore-forming agents or activating agents to produce biochar with high specific surface areas and enhanced properties (e.g., magnetic biochar). The salt can often be recovered and reused, promoting sustainability. | Introduces a new chemical, i.e., salt, into the process, requiring a separation step to recover the salt and clean the biochar. Higher complexity and potential for secondary pollution if not properly managed. |
| Wastewater | Precursors of Biochar | Pollutants | Fabrication Conditions of Biochar | Adsorption Conditions | Surface Area, Pore Size, and Total Pore Volume | Functional Groups and Assumed Mechanisms | Adsorption Capacities | REs (%) | Refs. |
|---|---|---|---|---|---|---|---|---|---|
| Municipal wastewater | Date seed | Carbendazim | 550 °C, 0.5 h, N2 atmosphere | 3 g biochar/L, pH 7, 40 min, 200 mL, 1 mg/L, batch mode | 307.5 m2/g, 3.80 nm, 0.278 cm3/g | -OH, -COOH, -Ph π–π electron donor–acceptor interactions, π–π stacking, dipole–dipole interactions, pore filling, electrostatic attraction, H-bonding | - | 88.7 | [4] |
| Linuron | 85.9 | ||||||||
| Walnut shell | Quinoline | 500 °C, 2 h, N2 atmosphere | 0.01 g KOH-activated biochar, 50 mg/L, 25 °C, 50 mL, batch mode | 969.8 m2/g, 2.34 nm, 0.4 cm3/g | C-O-C, C-O, C=OC-H, C-C, C=C-OH porous adsorption, π–π interaction, H-bonding, electrostatic attraction | 78.2 mg/g | - | [47] | |
| TSS | 81–85 | ||||||||
| Ammonia | 87–91 | ||||||||
| Total K and N | 59–69 | ||||||||
| Total K | 78–88 | ||||||||
| As ion | 79–87 | ||||||||
| Cd ion | 53–95 | ||||||||
| Cr ion | 83–88 | ||||||||
| Pb ion | 78–95 | ||||||||
| Zn ion | 90–95 | ||||||||
| Cu ion | 93–96 | ||||||||
| Rice husks | Mn, Se, Fe ions | Biochar in 1 M NaOH (mBiochar/mNaOH, 2:1), 12 h, 25 °C | 0.25 g NaOH-biochar/, biochar/HCl− biochar, 0.303 mg/L Mn, 0.116 mg/L Se, 0.390 mg/L Fe, 50 mL, 200 rpm, 10 h, batch mode | - | C≡C, C≡N, C=C, C-O, C-H, Si-O-Si electrostatic attraction, ion exchange, complexation, precipitation | - | 76, 66, 66 | [40] | |
| Biochar in 10% wt. HCl, 3 h, 500 °C at 10 °C/min, 200, 8 h, mL/min of N2 flow | - | 30, 26, 59 | |||||||
| 350 °C at 10 °C/min, 6 h, 200 mL/min of N2 flow | - | 3, 39, 48 | |||||||
| Coffee husk | Ammonium | 350 °C, 1 h | 20 g biochar/L, 130 rpm, 6 h, 108 mg/L, pH 7.4, batch mode | 0.43 m2/g, -, - | -OH, C-H, C=O, C=C, -COOH Complexation, ion exchange, H-bonding, electrostatic attraction | - | 20 | [76] | |
| Industrial wastewater | Garlic peel | Methylene blue | 150 °C at 5 °C/min, 2 h, vacuum atmosphere | 0.005 g biochar, 20 mL, 50 mg/L, 1 h, 25 °C, batch mode | 5.46 m2/g, 1.49 nm, 0.18 cm3/g | O-H, C=O, C-O, C=C-H Electrostatic attraction, H-bonding, π-π stacking | 14.33 mg/g | - | [1] |
| Citrus trees | Tetracycline | - | 3.5 g biochar, 50 mL, pH 4, 90 mg/L, 20 °C, batch mode | 364.9 m2/g, 1.08 nm, 0.2 cm3/g | O-H, C=C, C=O, C-H, C-Cl π-π interaction | - | 95 | [12] | |
| Rice husk | Pb ion | 500 °C at 5 °C/min, 2 h, N2 atmosphere | Biochar, 35.7 mg/L, pH 6.68, 100 mL, batch mode | 63 m2/g, -, 0.381 cm3/g | C-H, C=O, -OH, C-O Ion exchange, surface physisorption, electrostatic interaction, complexation | - | 63.8 | [22] | |
| Prosopis juliflora | Sulfamethoxazole | 600 °C at 10 °C/min, 2 h, N2 atmosphere | 1 g biochar/L, pH 5, 5.3 mg/L, 2 h, batch mode | 875 m2/g, -, - | -OH, -COOH, -Ph, C-N, C-H, C-Cl, C-O electrostatic interactions, H-bonding, π-π stacking | - | 76.7 | [45] | |
| Ciprofloxacin | 1 g biochar/L, pH 5, 8.3 mg/L, 2 h, batch mode | 80.4 | |||||||
| COD | 1 g biochar/L, pH 5, 2.5 g/L, 2 h, batch mode | 79.4 | |||||||
| TOC | 1 g biochar/L, pH 5, 1.05 g/L, 2 h | 88.2 | |||||||
| Corn straw | Cr ion | 500 °C, 2 h, Ar atmosphere | 0.05 g Fe3O4/biochar, 32.8 mg/L, 3 h, pH 6, batch mode | 508.4 m2/g, 4.6 nm, 0.55 cm3/g | Fe-O, Fe-OOH, C=O, O-H Surface physisorption, pore filling, and electrostatic interaction | - | 72.6 | [28] | |
| Potato peel | Cu ion | 450 °C, 6 L/min of N2 flow | 0.25 g chitosan-modified biochar, 4 h, batch mode | - | -NH2 - | 1.117 mg/L | - | [80] | |
| Pb ion | 0.506 mg/L | ||||||||
| Bamboo | Phosphate | 900 °C at 8 °C/min, 2 h, N2 atmosphere | Iron/CaO-modified biochar, 1660 mg/L, 48 h, batch mode | 146.5 m2/g, 2.78 nm, 0.1 cm3/g | - Chemical precipitation | - | ~100 | [48] | |
| Parthenium hysterophorus | Cr ion | 500 °C, 2 h | Fe3O4/biochar, 85.13 mg/L, batch mode | 237.4 m2/g, -, - | O-H, C-O-C, C-OH, Fe-O, Van der Waals forces, H- H-bonding, hydrophobic interactions | - | 81.8 | [38] | |
| Oil palm fronds | COD | 300–438 °C at 13 °C/min, 3 h | 15 g biochar/L, 4 h, 150 mL, batch mode | 68.98 m2/g, 1.68 nm, - | O-H, C=C, C-H, C-O, S=O, Si-O-Si, S-S Ion exchange, H-bonding | - | 41.2 | [70] | |
| Suspended solids | 87.6 | ||||||||
| Sulfate | 58.8 | ||||||||
| Sulfide | 56.8 | ||||||||
| Auricularia auricula spent substrate | Cd ion | 500 °C, 2 h, anoxic conditions | 0.1 g CS2-modified biochar/L, 5.21 mg/L Cd2+, 1.11 mg/L Cu2+, 48.72 mg/L Zn2+, 25 °C, pH 5.59, 2 h, batch mode | 2.54 m2/g, 13.4 nm, 0.009 cm3/g | C-S, -OH, S=C=S, C=O, -NH2 Complexation, precipitation | 14.01 mg/g | - | [58] | |
| Cu ion | 13.56 mg/g | ||||||||
| Zn ion | 50.19 mg/g | ||||||||
| Jujube seeds | TSS | Jujube seeds/H2SO4, 1:3 for 4 h, sonication 20 min at 24 kHz | 2 g biochar/L, pH 1 h, 30 °C, 20 mg/L, batch mode | 48.32 m2/g, -, 0.16 cm3/g | -OH, C=C, C=O, C-OH, La-OP-, -CO= Ligand exchange, electrostatic attraction, complexation | - | 10 | [68] | |
| TDS | 2 g biochar/L, pH 1 h, 30 °C, 2.8 g/L, batch mode | 0.79 | |||||||
| Ni ion | 2 g biochar/L, pH 1 h, 30 °C, 15 mg/L, batch mode | 99.9 | |||||||
| Zn ion | 2 g biochar/L, pH 1 h, 30 °C, 20 mg/L | ~100 | |||||||
| Cu ion | 2 g biochar/L, pH 1 h, 30 °C, 40 mg/L, batch mode | ~100 | |||||||
| Cr ion | 2 g biochar/L, pH 1 h, 30 °C, 70 mg/L, batch mode | ~100 | |||||||
| Mandarin tree pruning | Dissolved organics | 600 °C, N2 atmosphere | 5 g biochar, 6800 mg/L, 100 mL, 25 °C, 160 rpm | - | - Precipitation, surface complexation, electrostatic interactions, π–π interactions | - | 28 | [37] | |
| 1 g biochar, 17 g/L, 100 mL, 25 °C, 160 rpm, batch mode | 140 mg/g | - | |||||||
| Palm bunch | Methyl paraben | 450 °C at 10 °C/min, 0.5 h, 400 mL/min of N2 flow | H2SO4-activated biochar, batch mode | 60.3 m2/g, -, 0.54 cm3/g | C=C, -OH, C=O, S=O, C≡C Channel diffusion, H bonding, Van der Waals force, n-π/π-π interaction | - | 80.3 | [79] | |
| Carbamazepine | 79.9 | ||||||||
| Ibuprofen | 70.2 | ||||||||
| Triclosan | 74.3 | ||||||||
| Bagasse | Pb ion | 300 °C, 2.5 h | 5 g biochar, pH 5, 2.5 h, 25 °C, 2.393 mg/L, batch mode | 12.38 m2/g | C=O, C=C, C-H, C-N, -COO-, -COOH, -Ph-OH Complexation, ion exchange | 12.74 mg/g | 75.4 | [49] | |
| Livestock wastewater | Corncob | Ammonia | 450 °C for 1.5 h, 4 °C/min | 0.3 g, 50 mL, 6.2 mg/L, pH 12, 1.5 h, batch mode | - | - | - | 83.98 | [92] |
| Rice straw | COD | 300 °C, 6 h | 4 g biochar/L, pH 9, batch mode | 35.4 m2/g, -, 0.36 cm3/g | - Polarity, hydrophobic/aromatic interaction, and molecular size | - | 40 | [77] | |
| BOD | 4 g biochar/L, pH 9, batch mode | 40 | |||||||
| COD | 373 mg/L COD, 1.75 h, column mode | 79 | |||||||
| BOD | 240 mg/L BOD, 1.75 h, column mode | 84 | |||||||
| Corn straw | TS | 500 °C, 1 h, N2 atmosphere | Biochar or NaOH-activated biochar, 10.6 g/L TS, 0.3 g/L TVSS, 2985.6, 1908.2, 1270.3, 981.4, 85.7, 4138.6, 655.9, 0.6, 2.7, 1.1, 6.1, 0.5, and 0.2 mg/L for TC, TOC, TV, NH4+-N, TP, COD, K, Mg, Cu, Zn, Ca, Fe, and Mn, respectively, batch mode | - | - H-bonding, electrostatic attraction, ion exchange, hydrophobic interaction | - | 50–42 | [42] | |
| TVSS | 67–67 | ||||||||
| TC | 53–72 | ||||||||
| TOC | 55–73 | ||||||||
| TN | 18–33 | ||||||||
| NH4+-N | 22–32 | ||||||||
| TP | 19–25 | ||||||||
| COD | 20–26 | ||||||||
| K ion | 39–67 | ||||||||
| Mg ion | 33–83 | ||||||||
| Cu ion | 59–41 | ||||||||
| Zn ion | 27–73 | ||||||||
| Ca ion | 30–54 | ||||||||
| Fe ion | 80–80 | ||||||||
| Mn ion | 100 | ||||||||
| Corn stover | Phosphate | 500 °C, 2 h, N2 atmosphere | 0.2 g Ce-modified biochar, 100 mL, 24 h, 180 rpm, 25 °C, batch mode | 14.1 m2/g, 7.05 nm, - | -CH2-, -CH-, Ce-O surface precipitation, ligand exchange, complexation, electrostatic attraction | 27.96 mg/g | 43.3 | [27] | |
| Textile wastewater | Coconut shells | Methylene blue | - | 0.02 g Fe3O4/biochar/sodium alginate aerogel beads, 50 mL, 50 mg/L, 150 rpm, 25 °C, 24 h, pH 7, batch mode | 152.5 m2/g, 2.60 nm, - | -OH, -COOH pro-filling, H-bonding, electrostatic interaction | - | - | [5] |
| Eucalyptus bar | Anthraquinon | 500 °C, 1.5 h, anaerobic condition | 0.913 g biochar composite/L, 21 mg/L, pH 3.9, 1.95 h, batch mode | 57.4 m2/g, 1.48 nm, 0.41 cm3/g | Si-OH, Si-N, -COOH, -OH, C-O-C, C=O π–π interaction, electrostatic attraction, surface functional groups, chemisorption, pore filling | - | - | [52] | |
| Wheat straw | COD | 300–500 °C | 2.5 g biochar/L, 25 mL, pH 7.62, 150 rpm, batch mode | - | C=C, C=O, C-H, C-O-C, -OH, -COOH Ion exchange, Surface physisorption, electrostatic interaction, complexation | - | 62 | [19] | |
| Giant reed | Basic blue 41 | 10 °C/min at 600 °C for 2 h, 5 L/min of N2 flow | 4 g biochar/L, 5.7 mg/L, 1 h, batch mode | 429.0 m2/g, -, 0.09 cm3/g | C-H, C-O, C-C, C-OH, C=O, C=C electrostatic interactions | 5.14 mg/L | 90.3 | [39] | |
| Color | 4 g biochar/L, 106 Pt–Co, 1 h, batch mode | 83 Pt-Co | 89.3 | ||||||
| Turbidity | 4 g biochar/L, 48.55 NTU, 1 h, batch mode | 33.7 NTU | 69.4 | ||||||
| COD | 4 g biochar/L, 928 mg/L, 1 h, batch mode | 582 mg/L | 62.7 | ||||||
| Human urine | Corncob | N, P, K | 600 °C, anaerobic condition | 60 g biochar, 600 mL, 5 days, batch mode | 1.7 m2/g, -, 0.0005 cm3/g | -OH, -COOH, C = C ion exchange, chemical interaction | 1200, 242.8, 43.7 mg/L | - | [24] |
| Rice husk | TC | - | 0.1 g biochar/mL, 5 days, batch mode | 4.63 m2/g, -, - | -OH, C-H, C-O, C=C H-bonding, ligand exchange, ion exchange, electrostatic interactions | - | 60–80 | [23] | |
| N, P, K | 236.5, 256.7, 4.6 mg/L | 50, 70, 80 | |||||||
| Pharmaceutical wastewater | Groundnut shells, drumstick seeds, coconut fiber | BOD | Groundnut shell: 500 °C, 4 h; drumstick seeds: 600 °C, 2 h; coconut fiber: 700 °C, for 2 h | 35 g biochar mixture (1:1:1), 443.6 mg/L, pH 7, 25 °C, 1.5 h, batch mode | - | -OH, -CH3, C-H, C=C, C-OH, C=O - | - | 72.1 | [69] |
| Hospital wastewater | Corn stalks | COD | 400–500 °C | 56.0 mg/L, batch mode | - | - | - | 57.1 | [26] |
| BOD | 46.8 mg/L, batch mode | 56.8 | |||||||
| Vehicle-wash wastewater | Eucalyptus wood | Anthracene | 450 °C, 1 h, N2 atmosphere | 0.4 g biochar, 40 ppm, 1 h, pH 5, 50 °C, batch mode | 18.4 m2/g, 1.5 nm, 0.01 cm3/g | C-H, C=C, C=O Van der Waals dispersive contacts, electrostatic interactions, H-bonding | - | 98.4 | [11] |
| Slaughterhouse wastewater | Coconut husk | NO3-N and NO2-N | 700 °C, 6 h, under N2 atmosphere | 1.5 g biochar, 26 °C, pH 7.35, 50 mL, 120 rpm, 2 h, batch mode | 6.84 nm | -OH, C=C, Si-O-Si ligand exchange, electrostatic attraction, complexation | 0.2–13 mg/g | - | [68] |
| Rice husk | 1.97 nm | 0.2–12 mg/g | |||||||
| Coffee husk | 1.63 nm | 0.2–12 mg/g | |||||||
| Actual wastewater | Platanus balls | Phosphate | 600 °C at 10 °C/min, 2 h, N2 atmosphere | 1 g La-modified biochar, column mode | 77.01 m2/g | LaO-, O-PO-, P-O electrostatic adsorption, ligand exchange, complexation | 14,850 mg/g | - | [57] |
| Synthetic wastewater | Peanut shell | Atrazine | 450 °C, 4 h | 0.02 g biochar, 25 mL, 20 mg/L, 150 rpm, batch mode | 61.8 m2/g, 1.96 nm, 0.03 cm3/g | -OH, NH2, C-O, C=O, C-H, C=C, C-C π-π interactions, H-bonding | 2.8 mg/g | - | [6] |
| Coconut shell | Ammonium, nitrate, phosphate | - | 0.5 g biochar, 100 mL, 80 mg/L, 6 h, 80 rpm, batch mode | - | C=C, C-O-C, C=O ion exchange, chemical interaction | 10.12, 7.51, 10.79 mg/g | - | [17] | |
| Lotus leaf | Be ion | 600 °C, 3 h | 0.05 g PO43−/NH4+ modified biochar, 50 mL, 35 °C, pH 5.5, 16 h, 175 rpm, batch mode | 4.927 m2/g, 3.86 nm | Phosphoric acid, ammonia, -OH surface complexation and precipitation, pore filling, | 40.38 mg/g | - | [65] | |
| Palm leaves | Tetracycline | 500 °C, 2 h, 10 °C/min under N2 atmosphere | 1 g biochar/L, 20 mL, 0.5 mg/L, 180 rpm, pH 5.7, 24 h, 25 °C, batch mode | 31.5 m2/g, 5.38 nm, 0.03 cm3/g | -COOH, -OH, C=O, C-O, C=C, C-H H-bonding, π-π interaction, electrostatic interaction, pore filling | - | 80 | [2] | |
| Fronds and leaves of date palm | Phenol | 600 °C at 8 °C/min, anaerobic condition | 0.1 g biochar, pH 6, 20 h, 800 mg/L, 50 mL, 200 rpm, batch mode | 245.8 m2/g, 4.6 nm, 0.12 cm3/g | O-H, C=C, C-H, Si-O, -COOH π-π interactions, H-bonding, pore filling, electrostatic interaction | 241 mg/g | 60.3 | [78] | |
| 0.1 g biochar, pH 6, 20 h, 52 mg/L, 50 mL, 200 rpm, batch mode | 22.28 mg/g | 85.7 | |||||||
| Wheat straw | Inorganic-N | 450 °C at 5 °C/min, 5 h, 400 mL/min of N2 flow | 10 g Mg-modified biochar/L, 24 h, 250 mL, 25 °C, 80 rpm, batch mode | 23.4 m2/g, -, 0.062 cm3/g | C=C, -OH, -Ph -NH2, -COOH H-bonding, π-π/n-π interaction | 4.44 mg/g | - | [51] | |
| Rotten sugarcane bagasse | Pb ion | 600 °C, 2 h, air atmosphere | 0.03 g biochar, 50 mg/L, pH 5, batch mode | 391.9 m2/g, 20.9 nm, 0.532 cm3/g | -COOH, CHO, C=O, C-H, C=C, O-C=O Ion exchange, surface complexation/function group coordination, precipitation, π-π interaction | - | 97.3 | [61] | |
| Cu ion | 99.8 | ||||||||
| Cr ion | 100 | ||||||||
| Pomelo peel | Tetracycline | 400 °C at 10 °C/min, 2 h | 0.08 KOH-activated biochar/L, 10 mg/L, Ph 7, 21 °C, 75 h, batch mode | 2457.4 m2/g, -, 1.14 cm3/g | C≡C, C≡N, C-C, C=C, C-H, C-O-C, C=O π-π electron donor–acceptor interaction, electrostatic interaction, pore filling | - | 85.0 | [41] | |
| Oxytetracycline | 82.2 | ||||||||
| Chlortetracycline | 96.6 |
Disclaimer/Publisher’s Note: The statements, opinions and data contained in all publications are solely those of the individual author(s) and contributor(s) and not of MDPI and/or the editor(s). MDPI and/or the editor(s) disclaim responsibility for any injury to people or property resulting from any ideas, methods, instructions or products referred to in the content. |
© 2026 by the authors. Licensee MDPI, Basel, Switzerland. This article is an open access article distributed under the terms and conditions of the Creative Commons Attribution (CC BY) license.
Share and Cite
Liu, P.; Boffa, L.; Cravotto, G. Biochar Derived from Agricultural Residues for Wastewater Contaminant Removal. Sustainability 2026, 18, 435. https://doi.org/10.3390/su18010435
Liu P, Boffa L, Cravotto G. Biochar Derived from Agricultural Residues for Wastewater Contaminant Removal. Sustainability. 2026; 18(1):435. https://doi.org/10.3390/su18010435
Chicago/Turabian StyleLiu, Pengyun, Luisa Boffa, and Giancarlo Cravotto. 2026. "Biochar Derived from Agricultural Residues for Wastewater Contaminant Removal" Sustainability 18, no. 1: 435. https://doi.org/10.3390/su18010435
APA StyleLiu, P., Boffa, L., & Cravotto, G. (2026). Biochar Derived from Agricultural Residues for Wastewater Contaminant Removal. Sustainability, 18(1), 435. https://doi.org/10.3390/su18010435

