Next Article in Journal
Blockchain and Data Management Security for Sustainable Digital Ecosystems: A Systematic Literature Review
Next Article in Special Issue
An Assessment of Alternative Fuels for Ocean-Going Deep-Sea Vessels: A Case Study in IMO Maritime 2050 GHG Emission Reduction Targets
Previous Article in Journal
From Technological Flexibility to Sustainable Products: The Mediating Role of Environmental Scanning and Circular Economy Principles
 
 
Font Type:
Arial Georgia Verdana
Font Size:
Aa Aa Aa
Line Spacing:
Column Width:
Background:
Article

Evaluating the Greenhouse Gas Fuel Intensity of Marine Fuels Under the Maritime Net-Zero Framework

1
Maritime Faculty, Zonguldak Bülent Ecevit University, 67300 Zonguldak, Türkiye
2
Mechanical Engineering, Faculty of Engineering, Zonguldak Bülent Ecevit University, 67300 Zonguldak, Türkiye
3
Liverpool Logistics Offshore and Marine Research Institute (LOOM), Faculty of Engineering, Liverpool John Moores University, Liverpool L3 3AF, UK
*
Author to whom correspondence should be addressed.
Sustainability 2026, 18(1), 184; https://doi.org/10.3390/su18010184
Submission received: 5 November 2025 / Revised: 8 December 2025 / Accepted: 15 December 2025 / Published: 24 December 2025

Abstract

Greenhouse gas (GHG) emissions from maritime transport account for nearly 3% of global totals, making the decarbonisation of this sector a critical priority. In response, the International Maritime Organization (IMO) adopted the GHG Strategy, targeting the full decarbonisation of international shipping by 2050, with interim milestones in 2030 and 2040. This study evaluates the greenhouse gas fuel intensity of three representative vessel types, an oil tanker, a container ship, and a bulk carrier, using one-year operational fuel consumption data in line with the Regulations of the IMO Net-Zero Framework. Both conventional fuels, including conventional marine fuels, and alternative options, encompassing liquefied natural gas (LNG), e-hydrogen, e-ammonia, e-methanol, and biodiesel, are assessed for compliance during 2028–2035. The findings reveal that conventional fuels are unable to meet future targets, resulting in significant compliance deficits and balancing costs of remedial units. LNG provides short-term benefits but is limited by methane slip. In contrast, e-hydrogen and e-ammonia enable long-term compliance and generate surplus units. E-methanol shows a partial potential, while biodiesel delivers only modest improvements. The results underscore the need for a transition toward near-zero-well-to-wake-emission fuels. This study contributes by combining life cycle assessments with regulatory compliance analysis, offering insights for policymakers and industry stakeholders.

1. Introduction

Excessive greenhouse gas (GHG) emissions are a major driver of today’s environmental crises. In response, 195 countries signed the Paris Agreement in December 2015 under the United Nations Framework Convention on Climate Change, committing to building low-emission economies and limiting global temperature increases [1,2,3]. Maritime transport has grown exponentially over the past twenty years and currently accounts for the largest share of global transport, with 12,292 million tons, despite contracting caused by economic crises, the pandemic, and war [4]. This significant proportion of shipping is carried out primarily by bulk carriers, oil tankers, and container ships, at 85% [4]. Maritime transport accounts for approximately 3% of global GHG emissions and therefore plays a significant role in global greenhouse gas emissions [5].
Recognising this challenge, the International Maritime Organization (IMO) initially committed to reducing carbon dioxide (CO2) emissions by 70% and total GHG emissions by 50% by 2050. However, at its 80th session in 2023, the Marine Environment Protection Committee (MEPC) adopted a more ambitious decarbonisation pathway. The revised IMO 2023 GHG Strategy targets a full decarbonisation of international shipping by 2050, with intermediate goals of reducing CO2 emissions per transport work by at least 40% by 2030, 70% by 2040, and ultimately 100% by 2050, relative to 2008 levels [6,7].
Additionally, IMO uses the GHG fuel intensity (GFI) metric, which expresses GHG emissions from well to wheel per unit of energy used on a ship, to reduce GHG emissions from alternative fuels used. This includes electricity supplied by wind propulsion and solar energy. The GFI obtained is reported annually as part of the Data Collection System [8]. In this context, alternative marine fuels such as liquefied natural gas (LNG) [9,10], hydrogen [11,12,13,14], ammonia [15,16,17,18], methanol [19,20,21], and various biofuels [22,23,24] have gained increasing attention as viable pathways to decarbonise shipping. Yet the environmental benefits of these fuels must be assessed comprehensively using a life cycle perspective [25], which considers both well-to-tank (WtT) and tank-to-wake (TtW) emissions. Supporting this, Li et al. [26] reviewed technologies for marine alternative fuels to support shipping decarbonisation. They find that these fuels can cut CO2 emissions and stress that life cycle environmental and economic analysis is key for selecting suitable options.
The variability of production pathways, feedstocks, and energy inputs significantly influences the overall GHG intensity of these fuels, thereby shaping their compliance potential under forthcoming IMO regulations. Various studies have been conducted to reduce emissions from ships and achieve net-zero targets. Manias et al. [27] proposed the Wind–Wake ratio, which provides an objective measure based on the amount of renewable energy required to propel the ship. Mallouppas and Yfantis [28] reviewed the possible ways and existing technologies that will help the maritime sector achieve the IMO’s deep carbon reduction targets by 2050. Lehmann et al. [29] emphasised the importance of stronger incentives to encourage investment in green fuels and accelerate the sector’s transformation. Zou and Yang [30] investigated LNG, methanol, hydrogen, and ammonia fuels from a dual perspective, considering a wide range of vessel sizes. Chen et al. [31] examined the performance of various low- and zero-carbon marine fuels, highlighting the trade-offs between their life cycle emissions, cost competitiveness, and technological feasibility. Wang, Chi et al. [32] provided a comprehensive review of carbon emission monitoring, capture, utilisation, and storage technologies for ships, identifying current gaps and challenges. They conclude that these technologies can significantly reduce emissions, but regulatory, technical, and application barriers must be addressed to enable a wider adoption.
Regarding the regulatory perspective, Bayramoğlu [33] explored the parametric effects of alternative fuel utilisation, voyage duration, and parallel generator configurations on exhaust emissions as well as the Energy Efficiency Existing Ship Index (EEXI) and Carbon Intensity Indicator (CII) indices in cargo ships. Mohammadpour and Salehi [34] emphasised that environmental regulations must be considered alongside the distinctive operational constraints of marine engines, a viewpoint consistent with the present study’s focus on evaluating alternative marine fuels under regulatory frameworks. Wang, Liang et al. [35] examined IMO carbon emission regulations and examined monitoring methods and carbon control technologies for ships across short-, medium-, and long-term horizons. They find that operational measures help short-term goals, while methanol and biofuels aid medium-term reduction, but achieving zero emissions requires ammonia fuel and carbon capture for long-term targets. Feng et al. [36] highlighted that a comprehensive assessment of alternative marine fuels should incorporate technical properties, emission reduction potential, risks, and implementation challenges, which closely aligns with the objectives of the present study under the IMO Net-Zero Framework.
The present study evaluates the GFI of three representative ship types, an oil tanker, a container ship, and a bulk carrier, based on their recorded fuel consumption and operational characteristics. Using the latest IMO guidelines and life cycle assessment frameworks, the analysis investigates both conventional and alternative marine fuels under multiple scenarios. The objective is to determine the compliance of these ships with the IMO Net-Zero Framework between 2028 and 2035, quantify potential compliance deficits and associated costs, and identify the fuels with the highest potential to achieve long-term sustainability.
Reducing GHG emissions from maritime transport is one of the IMO’s primary objectives, and, in this regard, various regulations have been introduced and implemented for marine vessels. The regulations developed by the IMO to date primarily consider the TtW emissions of marine fuels and set limits accordingly. Indicators regarding energy efficiency measures, such as the Energy Efficiency Design Index (EEDI), EEXI, and CII, all focus exclusively on fuels’ CO2 emissions sourced from the TtW process during their calculation stages. However, within the regulations on the IMO Net-Zero Framework, the life cycle emissions of fuels have been addressed, and specific GFI limitations have been defined for the period between 2028 and 2035. Based on these limitations, the required number of remedial units, the accumulated surplus units, and the compliance deficiencies in Tier 1 and Tier 2 have been calculated for each ship. Remedial units represent the additional compliance credits a ship must acquire to offset its greenhouse gas intensity shortfall under the IMO GFI framework. Surplus units denote the excess compliance credits generated when a ship’s greenhouse gas intensity performance exceeds the required threshold, which can be banked or transferred [37].
In the literature, numerous studies address the life cycle WtT and TtW processes of marine fuels, including conventional, alternative, and renewable types. However, a noticeable gap exists concerning research that simultaneously considers the life cycle of marine fuels and the implications of regulations on the IMO Net-Zero Framework. Unlike prior studies, which treat LCA and regulatory compliance as separate domains, this paper introduces an integrated approach that combines life cycle assessment with the strategic requirements of IMO Net-Zero regulations. This integration enables a holistic evaluation of marine fuel pathways, not only in terms of environmental performance but also in alignment with regulatory trajectories toward decarbonization. By embedding regulatory constraints within the LCA framework, the study provides a forward-looking perspective that captures both technical and policy dimensions, an aspect largely absent in the existing research. Consequently, this work offers a novel methodological contribution that bridges environmental assessment and regulatory compliance, serving as a critical reference for decision-makers and researchers navigating the transition to net-zero shipping.
A flowchart has been created to present a structured overview of the research design and to clarify the subsequent methodology by visually outlining the processes, thereby improving the readability and comprehensibility of the study. The flowchart illustrates the study’s objectives, the dataset collected to achieve these objectives, the types of ships from which the data were obtained, the associated GHG emissions from these vessels, the inputs used in GFI calculations, and all remaining procedures conducted in accordance with the IMO Net-Zero regulations in Figure 1.
In the subsequent sections of this study, the methodology is outlined in detail, covering both the data collection process and the development of the mathematical model in accordance with relevant regulations and guidelines. This is followed by the presentation and discussion of the results in comparison with findings from other prominent studies. Finally, the paper concludes with key insights, implications, and recommendations for future research.

2. Data Collection

Three case study vessels representing fundamental ship types were selected to assess GFI within the scope of this study. The technical and operational data of ships are obtained from recognised organisations, maritime authorities, and ship tracking sites, and they are presented in Table 1.
To assess the GFI of the ship, information on the annual energy consumption of the ship, the methods used to produce this energy, and the associated combustion characteristics are required. A substantial portion of the energy required for operations on existing merchant ships is supplied by marine fuels. Accordingly, the type of fuel used is a key factor for assessing the GFI of the ship. Annual fuel consumption values were derived from noon reports from onboard ships corresponding to different operational years for each vessel: 2025 for the oil tanker (MV-1), 2019 for the container ship (MV-2), and 2023 for the bulk carrier (MV-3). Daily fuel consumption entries from noon reports were aggregated by summing all recorded values for each operational day within the respective year and then validated against voyage logs to produce annual totals for each vessel.
The three selected ships have used heavy fuel oil (HFO) and marine diesel oil (MDO) in their main and auxiliary engines to perform operations, as they are equipped with conventional propulsion systems. Firstly, the GFI compliance of the reference ships will be assessed based on their annual recorded fuel consumption data. Additionally, the potential of alternative fuels, renewable energy systems, and GHG treatment technologies will be evaluated to lower the attained GFI (GFIattained) values within the scope of this article. Table 2 presents data on both currently used maritime fuels and alternative fuels with potential for future use.
The emission factors for certain fuels, specifically CH4 and N2O, are not yet available in the current guidelines. To address these gaps, the terms “TBM” (to be measured) and “N/A” (not available) are used where data are missing. Since feedstock type and production pathways significantly influence WtT emissions, thereby affecting the GFI, these parameters are included in Table 2 to enhance reproducibility and scientific validity. CH4 emissions linked to methanol, ethanol, and biodiesel are negligible, while N2O, despite its high global warming potential (GWP), shows comparatively low emission levels and is excluded from this analysis. Although present regulatory frameworks do not yet incorporate these factors into emission calculations, they are expected to be integrated once forthcoming guidelines are published and the relevant values are finalised.
The calculation of the GFIattained of ships is carried out in accordance with the 2024 Guidelines on the Life Cycle GHG Intensity of Marine Fuels. This guide specifies each potential marine fuel feedstock type, nature/carbon source, process type, and energy used in the calculation process. However, in addition to this guideline, the calculation phase requires the WtT GHG intensity, lower calorific value (LCV), and the emission factor of GHG for each fuel. The values for each fuel, except for the main marine fuels, are not included in the appendix described in Resolution MEPC.391 (81). Therefore, reports published by other authorities and academics were considered when calculating the GFI values of potential marine fuels. Primarily, Regulation (EU) 2023/1805 of the European Parliament and of the Council and Directive (EU) 2018/2001 have been considered.
These guidelines provide technical information on renewable and low-carbon fuels in maritime transport. The other information required regarding potential marine fuels has been obtained from reports published by Concawe, specifically “e-fuels: A techno-economic assessment of European domestic production and imports towards 2050,” and the International Council on Clean Transportation (ICCT), which has a report titled “Key issues in Life Cycle Assessment (LCA) methodology for marine fuels.” The detailed technical assessment of e-fuels is primarily based on the Concawe report. Based on this report, the emissions from plant infrastructure, plant maintenance, and part replacements are added to the WtT GHG intensity of e-fuels, which are described as cradle-to-tank emission impacts. For methanol and e-fuels, upstream production emissions corresponding to WtT emissions have been obtained from the ICCT report and added to Table 2. Lastly, various types of biofuels are employed as marine fuels. In particular, the biofuel with the lowest WtT GHG intensity, as identified in the Directive (EU) 2018/2001 of the European Parliament and of the Council, has been included in Table 2, and the calculations were made within this framework.

3. Global Warming Potential

Certain gases released during the production and consumption of fuels for ship operations in maritime transport lead to global warming. The GWP metric is employed to quantify the relative climate impact of GHGs. It denotes the amount of radiative energy absorbed by one tonne of a specific gas in comparison to one tonne of CO2 over a defined time horizon, typically 20, 100, or 500 years. The IMO guidelines apply a 100-year time horizon for GWP calculations. GWP is a key metric for comparing the climate impact of different GHGs, with CO2 serving as the baseline at a value of 1. A higher GWP indicates that a gas exerts a stronger warming effect relative to CO2. Because CO2 remains in the climate system for thousands of years, its emissions lead to long-term increases in atmospheric concentrations, reinforcing its role as the reference point for GWP assessments. According to the Fifth Assessment Report of the Intergovernmental Panel on Climate Change (IPCC), the GWP values for CO2, CH4, and N2O over a 100-year period (GWP-100) are shown in Table 3 [44].
CH4 possesses a GWP-100 of approximately 28, indicating that, over a 100-year time horizon, one tonne of CH4 traps roughly 28 times more radiative energy than an equivalent mass of CO2. Despite its high warming potential, CH4 has a relatively short atmospheric lifetime, averaging around a decade. In contrast, N2O remains in the atmosphere for over a century and exhibits a GWP-100 of approximately 265, making it significantly more potent than CO2 in terms of long-term climate impact.

4. Upcoming Regulations for the Prevention of Air Pollution from Ships

The IMO Net-Zero Framework regulation and the developed annual GFIattained within the IMO Net-Zero Framework aim to reduce GHG emissions from all ships with a gross tonnage of 5000 and above. The IMO seeks to achieve the objectives outlined in the 2023 IMO Strategy on Reduction of GHG Emissions from Ships, ensure the use of clean fuels and renewable energy in maritime transport, provide incentives for green technologies, and ensure a balanced transition by creating a fair environment for all maritime stakeholders, owing to this regulation. The GFIattained value calculated for each ship is described in Equation (1) [48].
GFI attained = j = 1 J EI j   ×   Energy j Energy total
GFIattained denotes the annual attained GFI of a marine vessel for a specified year. This metric is derived by evaluating the vessel’s total energy consumption alongside the types of fuels or alternative energy sources utilised, incorporating well-to-wake (WtW) GHG emissions to reflect the full life cycle impact of the energy used. The term j denotes the fuel type or energy source. The variable J indicates the total number of fuel or energy sources used during the reporting period of marine vessel operation. Each J value is determined independently for every fuel type or energy source employed, thereby enabling a comprehensive assessment of energy diversity and associated emissions. These data are derived from the IMO Ship Fuel Oil Consumption Database. EIj represents the GHG intensity of each fuel, and it is expressed in gCO2eq/MJ. This value means the amount of gCO2eq emitted to obtain 1 MJ of energy from a fuel during the WtW process [48].
The gCO2eq amount is calculated based on the 100-year GWP of GHGs, which are CO2, CH4, and N2O. CO2 serves as the reference gas, with the relative impacts of the other gases expressed in terms of their warming effect compared to that of CO2. GWP values for a 100-year time horizon are provided in the Intergovernmental Panel on Climate Change (IPCC) Assessment Reports, and IMO applies the values reported in the Fifth Assessment Report (AR5) [49,50,51]. The calculation equation of gCO2eq (100y) has been described in Equation (2) [41].
g CO 2 eq 100 y = GWP CO 2 100 y ×   g CO 2 + GWP CH 4 100 y   × gCH 4 + GWP N 2 O 100 y × g N 2 O
The EIj value for each fuel type is calculated according to the guidelines created by the organisation. The most recent data are currently available from RESOLUTION MEPC.391 (81) [41], which is the 2024 guideline on the life cycle GHG intensity of marine fuels. It indicates the amount of energy for each fuel used in ship operations during the reporting period. Energyi indicates the amount of energy in MJ for each fuel used in ship operations during the reporting period. Energytotal denotes the total amount of energy in MJ used by the marine vessels during the reporting period. Although the fuel used in the operation of the ship accounts for a significant portion of Energytotal, the use of electricity supplied from shore-side electrical power, called cold ironing, the utilisation of renewable and zero-emission energy sources such as solar, wind, and wave power is also considered in this total energy calculation each year [37].
In particular, the use of zero-emission energy sources significantly lowers the GFIattained value, which ensures compliance with upcoming regulations on GFI, denoted as GFI. Within this scope, maritime authorities have determined the target annual GFI (GFIT) with two tiers for each year, covering the period from 2028 to 2035. Marine vessels are required to comply with these tiers within the specified years to avoid any tax liabilities. One of these is the base target annual GFI, while the other is the direct compliance target annual GFI. Table 4 summarises the GFI-related terms given in the paper [37].
Both the base and the direct compliance targets, along with the threshold of uptake of zero- or near-zero-GHG-emission technologies, fuels, and/or energy sources (ZNZs), are presented in Figure 2. The base and direct compliance target thresholds have been progressively lowered from 2028 to 2035 for marine vessels required to comply with the GFI target. Equation (3) is utilised to calculate the GFIT [48].
GFI T = ( 1     Z T / 100 )   ×   GFI 2008
The variable T denotes the calendar years spanning from 2028 to 2035 and is defined as the annual GFI reduction factor. Its primary objective is to facilitate the progressive mitigation of GHG emissions from maritime transport by incrementally reducing the reference GFI value established in 2008 (GFI2008). The GFI2008, which accounts for WtW emissions, is quantified at 93.3 gCO2eq per MJ [37]. This value represents the average GFI of international maritime transport in 2008, a benchmark year recognised as a milestone in the sector’s decarbonisation efforts.
Within the scope of the base and direct compliance targets presented in Figure 1, each vessel shall be positioned within the specified boundaries, considering the GFIAttained value and year at the end of each reporting period. The vessel’s annual GFI compliance is assessed based on the boundaries within which the vessel falls. The calculation of the GFI compliance balance is given in Equation (4) [37,48].
GFI   compliance   balance   ( tonnes   of   CO 2 eq ) = Direct   compliance   target   annual   GFI     GFI   attained   ×   Energy total
If the GFIattained value of a ship falls below the annual GFI direct compliance target, the ship shall be deemed in direct compliance and will be awarded surplus units, calculated based on the positive GFI compliance balance. These surplus units are recorded in the IMO GFI Registry at the conclusion of each reporting period. They can be utilised in three distinct ways in accordance with the guidelines established by the organisation.
Firstly, surplus units may offset the negative GFI compliance balance of other vessels in service; however, only those vessels addressing Tier 2 compliance deficits can transfer surplus units from other ships. Remedial units must be utilised to rectify Tier 1 compliance deficits. Alternatively, ship operators may reserve surplus units for future reporting periods, as direct compliance targets become increasingly stringent in subsequent years. Finally, operators may voluntarily contribute to GHG emissions reduction by cancelling surplus units. They remain valid for two calendar years following their recording in the IMO GFI Registry; if unused, they will be cancelled. Ultimately, cancelled surplus units contribute to GHG mitigation strategies as outlined in the final option [48].
If the GFI compliance balance is less than zero, i.e., if the GFIattained value exceeds the direct compliance target annual GFI, a compliance deficit occurs for the ship. This deficit must be balanced in accordance with the GFI compliance approaches. A ship with a compliance deficit can fall into one of two boundaries, illustrated in Figure 2.
In the first case, the ship’s GFIattained value is equal to or less than the base target annual GFI, but it exceeds the direct compliance target annual GFI. The ship is positioned within the grey area in Figure 1 and has a Tier 1 compliance deficit (tonnes of CO2eq), which is calculated based on Equation (5).
Tier   1   compliance   deficit = Direct   compliance   target   annual   GFI     GFI   attained   ×   Energy total
In the second case, the ship’s GFIattained value exceeds the base target annual GFI. The ship is positioned within the red area in Figure 1. Therefore, the ship has both Tier 1 and 2 compliance deficits (tonnes of CO2eq). To calculate these deficits, Equations (6) and (7) are utilised.
Tier   1   compliance   deficit = Direct   compliance   target   annual   GFI     Base   target   annual   GFI     ×   Energy total
Tier   2   compliance   deficit = Base   target   annual   GFI     GFI   attained   ×   Energy total
The Tier 1 compliance deficit of a ship at the end of the reporting period is addressed using remedial units. The initial price for Tier 1 remedial units during the 2028–2030 reporting periods is set at USD 100, which balances one tonne of CO2eq emitted over a WtW process.
In addition to the Tier 1 compliance deficit, the Tier 2 compliance deficit can be balanced in three distinct ways. Firstly, the deficit may be offset by surplus units transferred from other vessels. Secondly, surplus units recorded in the IMO GFI Registry over the preceding two reporting periods can be utilised. Thirdly, remedial units used to address the Tier 1 compliance deficit may also be applied to the Tier 2 deficit. However, the initial price for a Tier 2 remedial unit is USD 380 per tonne of CO2eq.
From the reporting period of 2031 onwards, the utilisation of remedial units will be monitored and evaluated based on the outputs from the 2028–2030 reporting period. Subsequently, the committee authorised by the organisation will determine the new prices for Tier 1 and Tier 2 units.
ZNZs play a vital role in achieving carbon neutrality goals, particularly in the maritime transport sector. Consequently, the GFI threshold for ZNZs is maintained at very low levels, resulting in a significant reduction of GHG emissions from ships. There are two established thresholds for ZNZs: the first is set at 19 gCO2eq per MJ, applicable until the end of 2034. After this period, the threshold will decrease to 14 gCO2eq per MJ starting in 2035 [37]. Ships that exceed the ZNZ threshold will be eligible to receive awards from the IMO Net-Zero Fund, with allocations managed by the organisation in accordance with forthcoming guidelines. In addition to the ZNZ awards, the IMO Net-Zero Fund will be utilised to finance initiatives aimed at advancing marine technology development, supporting the maritime workforce, providing technical assistance, and promoting knowledge sharing [8].
Under the draft revised MARPOL Annex VI, published by MEPC 83, new regulations concerning the IMO Net-Zero Framework have been introduced. This framework establishes annual limits on GHG emissions for ships from 2028 to 2035. Ships that exceed these limits are required to contribute to the IMO Net-Zero Fund an amount equivalent to their excess emissions.
In this study, the GFIattained values of three operational ships were calculated based on their annual fuel consumption and fuel types. These ships predominantly rely on traditional fuels, and adhering to the GHG emission limits associated with these fuels over time presents significant challenges. Therefore, this study aims to demonstrate that compliance could be achieved through a transition from conventional fuels to alternative fuel options. To this end, five alternative fuel scenarios have been implemented for the ships:
  • Scenario I: Utilisation of LNG and MDO in the main and auxiliary engines of the ships.
  • Scenario II: E-hydrogen (H2) produced through the electrolysis of water using renewable energy is employed in the main engines, while MDO is used in the auxiliary engines.
  • Scenario III: E-ammonia (NH3) produced via the Haber–Bosch process using renewable electricity is utilised in the main engines, with MDO employed in the auxiliary engines.
  • Scenario IV: E-methanol (CH3OH) is synthesised by combining renewably sourced CO2 with hydrogen obtained from water electrolysis powered by renewable electricity. The produced CH3OH is used in the main engines, while MDO is utilised in the auxiliary engines.
  • Scenario V: Biodiesel (Bio-D) produced from waste cooking oil is employed in the main engines for ship operation, with MDO used in the auxiliary engines.
In addition to these scenarios, other potential marine fuels for use in ship main engines, alongside MDO for auxiliary engines, were evaluated. During the calculation phase, several limitations were carefully considered to ensure the accuracy, reliability, and reproducibility of the results. The following limitations were systematically identified and integrated into the methodology to robustly support the findings presented in Section 5:
  • The assessment focuses exclusively on the marine fuels specified in Appendix A of the 2024 Guidelines on the Life Cycle GHG Intensity of Marine Fuels, as established by Resolution MEPC.391(81). This excludes other potential marine fuel options not covered within this framework.
  • The reported WTT GHG emissions for marine fuels show a considerable variation across organisational reports, the academic literature, and other stakeholder publications over different years. Consequently, the calculations in this study are based on GHG emissions derived from current cultivation, processing, and distribution practices documented in the referenced sources.
  • The assessment encompasses three primary vessel types, container ships, bulk carriers, and oil tankers, based on their energy consumption from annual noon reports. Generalising the results to other vessel types may introduce inaccuracies.
  • Some WtT GHG intensity factors, including CO2, CH4, and N2O emission factors for marine fuels, are absent from the 2024 Guidelines. A significant majority of these factors are derived from Directive 2018/2001 and Regulation 2023/1805 of the European Parliament and Council. Additional missing data have been sourced from reports by authorised institutions and academic studies.
  • The IMO’s GFI calculation framework is based on the Fifth Assessment Report of the IPCC. Accordingly, GWP values based on cumulative forcing over 100 years were utilised in this study, accounting for CO2, CH4, and N2O emissions, while excluding Carbon Tetrafluoride and Difluoroethane emissions.
  • To balance Tier 1 and Tier 2 compliance deficits, the initial prices of remedial units are set at USD 100 and USD 380 per tonne of CO2eq, respectively, for the 2028, 2029, and 2030 reporting periods. From 2031 onwards, the prices will be reviewed and determined by the organisational committee. In this study, the prices of remedial units remain unchanged until the end of the 2035 reporting period.

5. Results

The assessment of ships’ compliance with the IMO Net-Zero Framework regulations was mainly conducted using a set of technical and operational specifications of the reference marine vessels, the life cycle characteristics and technical properties of potential marine fuels, and the quantified GWP of emissions arising from ship operations. These parameters form the analytical basis for evaluating the relative performance of alternative marine fuels and recorded operational data. The resulting findings are presented and described in the following.
The GFI values of potential marine fuels are presented in the figure, based on calculations if ships operated on a single type of fuel during the reporting period. Given the shift in the base target annual GFI from 2025 to 2028, the compliance of these fuels with the target is illustrated on an annual basis in Figure 3.
The red and green markers shown in Figure 3 and Figure 4 indicate the upper and lower limits reported for the respective parameters based on the production methodology. These markers provide a visual representation of the range of values considered in the analysis, with the green marker denoting the lower bound and the red marker denoting the upper bound.
The base target annual GFI decreases from 89.6 gCO2eq/MJ in 2028 to 65.3 gCO2eq/MJ in 2035. Bio-D (1) and Bio-D (3) only meet the 2029 base targets, with their GFI values of 86.79 gCO2eq/MJ and 86.81 gCO2eq/MJ, respectively. They lose their superiority over the base target in the 2030 transition. To meet the 2030 target, which is 85.8 gCO2eq/MJ, at least the Bio-D (2) of 85.78 gCO2eq/MJ, C2H5OH of 84.55 gCO2eq/MJ, and LNG (1) fuels should be used.
The intensity of GHG emissions varies according to the production pathway, which directly influences compliance with respect to regulatory thresholds. Under these conditions, LNG (1), having 75.05 gCO2eq/MJ, the best GFI values, is projected to remain compliant with the base target limits until the end of 2032. Methanol, denoted as CH3OH (2) and (5), surpasses the 2031 threshold, with an approximate GFI value of 79 gCO2eq/MJ; however, it remains within the 2032 threshold of 77.6 gCO2eq/MJ. CH3OH (2) and (5) are produced through methanolysis and from black liquor gasification integrated with a pulp mill, respectively.
Apart from CH3OH (2), which is also highlighted as an e-fuel, the remaining e-fuels play a critical role in ensuring compliance with the GFI thresholds for the period 2032 to 2035. CH3OH (3) complies with the GFI limits up to the end of 2033, whereas LNG (2) remains within the thresholds through the end of 2034 thanks to its lowest GFI value of 68.25 gCO2eq/MJ. Finally, H2 (2) and NH3 (2), exceeding the 2035 threshold, demonstrate a substantial potential toward achieving net-zero GHG emissions by 2050 in maritime transportation; their maximum GFI values are 10.8 gCO2eq/MJ and 11.4 gCO2eq/MJ, respectively. With the utilisation of these fuels, ships can exceed the ZNZ threshold and become eligible for incentives under the IMO Net-Zero Fund.
The direct compliance target annual GFI establishes more stringent thresholds compared to the base target annual GFI, with the allowable limit increasing by an additional 13% each year. For example, in 2028, the base target is a 4% reduction relative to the reference value, while the direct compliance target mandates a 17% reduction. The compliance of the assessed potential marine fuels with the direct compliance target annual GFI is illustrated annually in Figure 4.
The direct compliance target is considerably more challenging than the base target, resulting in most fuels utilised in marine engines struggling to meet the established thresholds. LNG (1) can only exceed the thresholds up to the end of 2029 with its best GFI value. In contrast, LNG (2), produced through methanation with renewable hydrogen and CO2, meets the threshold values by the end of 2031, with GFI values ranging from 68.25 gCO2eq/MJ to 76.68 gCO2eq/MJ based on reliable data. CH3OH (3) has a GFI value of 70.3 gCO2eq/MJ, which is sufficient to comply with the base target thresholds through the end of 2033; however, it only exceeds the 2031 threshold of the direct compliance target. H2 (2) and NH3 (2) consistently surpass the base target thresholds for each year from 2028 to 2035, exceeding the 2035 threshold of 53.2 gCO2eq/MJ under the direct compliance target.
Within the scope of the IMO Net-Zero Framework regulations, which include the annual base target, direct compliance target, compliance deficits and their balancing mechanisms, the utilization of remedial and surplus units, and the benefits of employing ZNZs in ship propulsion systems, the regulatory compliance of ships has been assessed. The recorded energy consumption values of ships and their corresponding energy sources, as documented in the IMO GFI Registry, were utilised to evaluate existing ship operations and to develop five distinct scenarios.
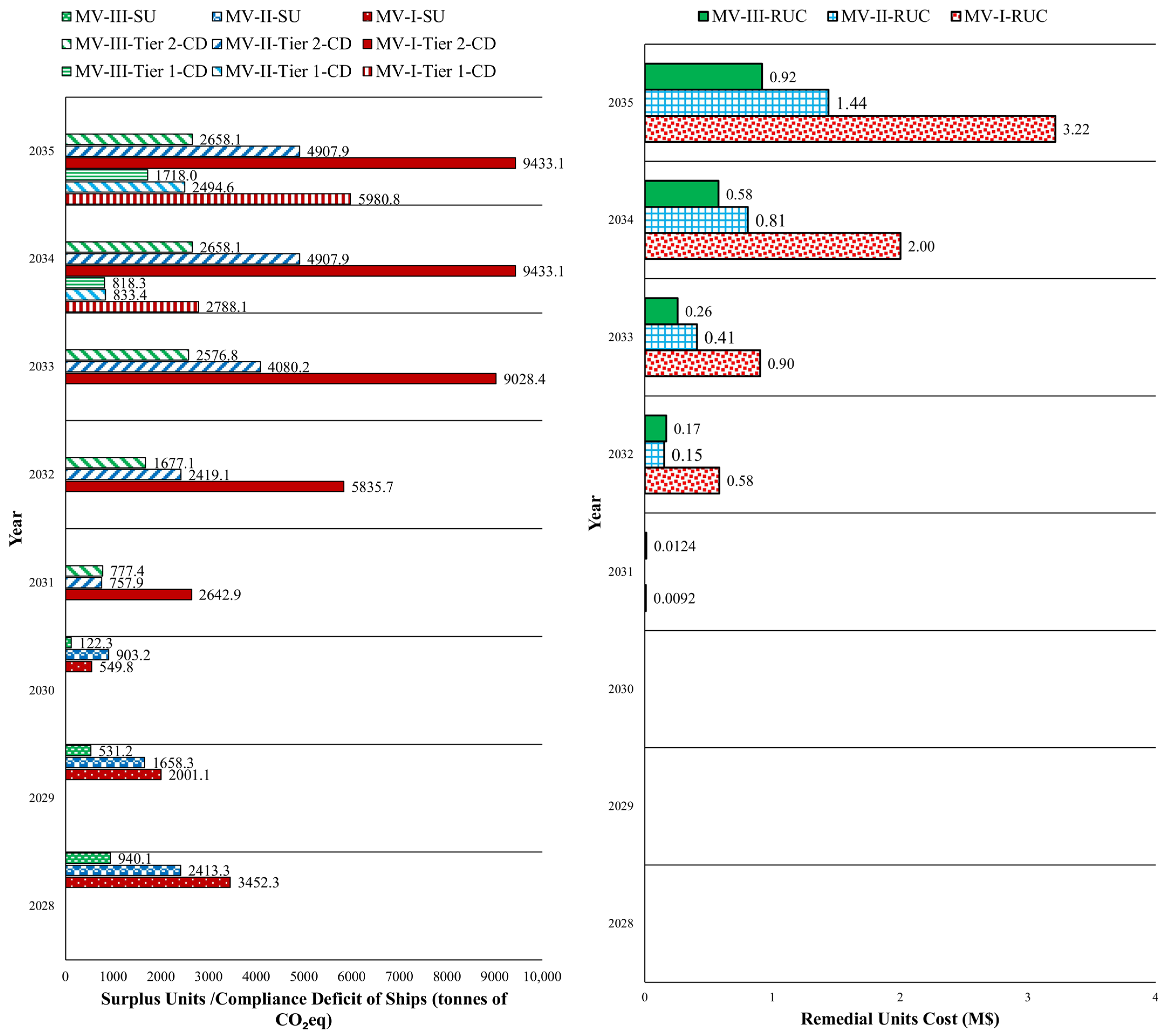
As a first step, the ship’s annual energy consumption and its sources were analysed to assess compliance with the IMO Net-Zero Framework regulations for the years 2028 to 2035. The findings related to the use of HFO in the main engines and MGO in the auxiliary engines during ship operations are presented in Figure 5.
These compliance deficits shown in Figure 5 arise from the recorded annual energy consumption data of ships. Each of the three vessels operates using HFO in main engines and MDO in auxiliary engines throughout the year. The GFI values for both marine fuels exceed the base and direct compliance target annual GFI values for 2028; therefore, there is no possibility of gaining surplus units between 2028 and 2035. Additionally, the vessels must balance their Tier 1 and Tier 2 compliance deficits to meet the targets.
The Tier 1 compliance deficits are 9433.10, 4907.92, and 2658.15 tonnes of CO2eq, respectively. To address these compliance deficiencies, companies must purchase remedial units costing USD 0.94 million, USD 0.49 million, and USD 0.27 million annually for these vessels. In addition to Tier 1, companies must also cover their ships’ Tier 2 compliance deficits. The costs of these remedial units have increased over the years, as the targets have become more challenging. If the selected ships continue operating in the same manner, the costs for remedial units required by the end of 2028 are estimated at USD 0.58 million, USD 0.30 million, and USD 0.16 million, respectively. By 2035, these costs are projected to increase substantially, reaching USD 7.74 million, USD 4.03 million, and USD 2.18 million, corresponding to the offset of 20,379.7, 10,594.5, and 5743.2 tonnes of CO2eq emissions, respectively. Consequently, by the end of 2035, the ship operating company will require USD 8.69 million, USD 4.52 million, and USD 2.45 million to balance their ships’ compliance deficiencies.
When LFO is used instead of HFO in the main engine, the GFIattained improves only slightly; consequently, the cost of remedial units shows only minor variations, around 2% over the years. By the end of 2035, the costs for remedial units for each ship are projected to be USD 8.49 million, USD 4.42 million, and USD 2.39 million, respectively. Detailed results are presented in Figure A1. Additionally, Figure 6 shows the findings obtained from ship operations using LNG in the main engines and MDO in the auxiliary engines, within the scope of the regulation.
In the first scenario, LNG (1) and MDO are utilised in the main and auxiliary engines of the vessels, respectively. LNG’s relatively low GFI value ensures that ships will gain surplus units by the end of 2028. The surplus units accrued by the ships at that time are 769.13, 259.45, and 224.18 tonnes of CO2eq, respectively.
However, from 2029 onwards, the GFI attained by the ships falls below the direct compliance target, resulting in Tier 1 compliance deficits. The compliance deficits arising at the end of 2029 and 2030 are significantly balanced by the surplus units gained in 2028. By the end of 2029, the compliance deficits for the MVI and MV3 vessels are balanced, and the increasing surplus units are utilised by the end of 2030. For MV 2, by the end of 2029, all surplus units gained in 2028 had been used, leading to a reduction in required remedial units to USD 0.024 million.
By the end of 2030, the remedial units required to balance the compliance deficiencies of the ships are estimated at USD 0.20 million, USD 0.13 million, and USD 0.06 million, respectively. Up to 2034, only Tier 1 compliance deficits are observed. However, by the end of 2034, Tier 2 compliance deficits also emerge alongside Tier 1. By the end of 2035, the costs of the remedial units that the ships must obtain will rise to USD 2.41 million, USD 1.33 million, and USD 0.67 million, respectively.
When e-LNG, denoted as LNG (2), is employed instead of conventionally produced LNG, ships generate a greater surplus while requiring fewer remedial units. Detailed findings are shown in Figure A2. By the end of the 2030 reporting period, the ships will have accumulated 12,391.79, 5840.96, and 3523.98 tonnes of CO2eq surplus units, respectively. The surplus units accumulated by the end of 2029 will completely cover the compliance deficit of the ships in 2031.
The surplus units accumulated by the end of 2030 significantly reduce the compliance deficits for the ships in 2032, leading to the purchase of remedial units costing USD 0.1 million, USD 0.09 million, and USD 0.03 million, respectively. By the end of 2033, ships will incur a penalty of USD 100 per tonne of CO2eq to balance their Tier 1 deficits. From 2034 onwards, as the GFIattained value of the ships falls below the base target, they will incur penalties for both Tier 1 and Tier 2, with penalties set at USD 380 per tonne of CO2eq.
By the end of the 2035 reporting period, the remedial unit costs that ships must acquire are projected to be USD 2.41 million, USD 1.33 million, and USD 0.67 million, respectively. Additionally, the outcomes based on the use of H2 in main engines and MDO in auxiliary engines during ship operations are illustrated in Figure 7, in compliance with the regulations.
In the second scenario, H2 (2) and MDO are used in the main and auxiliary engines of the ships, respectively. The use of renewable energy in the production phase of H2 (2) significantly lowers the GFI attained by the ships. As a result, there will be no Tier 1 or Tier 2 compliance deficits occurring from 2028 to 2035, meaning ships do not need to purchase remedial units to balance their deficiencies during this period.
Ships gain substantial surplus units over the years, with the highest surplus units recorded at the end of 2028, totalling 46,240.7, 23,337.6, and 13,068.3 tonnes of CO2eq, respectively. However, as targets become more challenging, the surplus units gained annually are projected to decline by the end of 2035 to 27,374.5, 13,521.8, and 7752.0 tonnes of CO2eq, respectively. These surplus units contribute significantly to the goal of reducing global greenhouse gas emissions from maritime transportation.
Conversely, H2 produced from natural gas using conventional methods (H2 (1)) or hydrogen produced from H2O using grid electricity (H2 (3)) results in substantial GHG emissions during production. If either H2 (1) or H2 (3) is used in place of H2 (2) in the ships’ main engines, the vessels would be required to purchase large amounts of remedial units to balance their compliance deficiencies. For instance, using H2 (3) in the main engine of MV-I results in a remedial unit cost of USD 35.42 million by the end of the 2035 reporting period. The results from the use of NH3 in main engines and MDO in auxiliary engines during ship operations are illustrated in Figure 8, in compliance with the regulations.
In the third scenario, NH3 (2) and MDO are utilised in the main and auxiliary engines of the ships, respectively. Like the second scenario, no Tier 1 or Tier 2 compliance deficits emerge between 2028 and 2035. The surplus units gained by the end of 2028 are 45,816.1, 23,122.1, and 12,948.4 tonnes of CO2eq, respectively. However, these surplus units have been gradually decreasing over the years. By the end of 2035, the annual surplus units for the ships are projected to decrease by approximately 42% compared to the end of 2028, resulting in amounts of 26,949.9, 13,306.3, and 7632.1 tonnes of CO2eq, respectively.
If NH3 (1), produced from natural gas using conventional methods, is used instead of NH3 (2), a substantial compliance deficit emerges, contrasting sharply with the scenario where significant surplus units are gained. By the end of the 2035 reporting period, the costs of the ships’ remedial units are estimated at USD 16.6 million, USD 8.5 million, and USD 4.7 million, respectively. Within the regulatory framework, Figure 9 illustrates the outcomes of ship operations utilising CH3OH in the main engines and MDO in the auxiliary engines.
In the fourth scenario, e-methanol, denoted as CH3OH (3), and MDO are used in the main and auxiliary engines of the ships, respectively. Ships operating on these fuels will gain surplus units every year until the end of 2030, and these surplus units can be saved for use in the subsequent two reporting periods. The surplus units accumulated by the end of 2029 and 2030 are applied through the end of 2031 and 2032, respectively, to balance the compliance deficits of the ships.
By the end of 2029 and 2030, the MV-I and MV-III vessels have accumulated 2550.9 and 653.5 tonnes of CO2eq surplus units, respectively. The use of these surplus units significantly mitigates the compliance deficits of the ships in 2031. Remedial units costing USD 0.0092 million and USD 0.0124 million are sufficient to balance these deficiencies. The surplus units gained by the MV-II vessel by the end of 2029 fully cover the deficit at the end of 2030, while the surplus units gained at the end of 2030 cover 38% of the deficit arising at the end of 2031, reducing the compliance deficit for MV-II to 1515.87 tonnes by the end of 2031. By that time, the cost of required remedial units for the ships will be USD 0.58 million, USD 0.15 million, and USD 0.17 million, respectively.
Only Tier 1 deficits will occur for the ships until the end of 2033, but both Tier 1 and Tier 2 deficits will arise in the reporting periods at the end of 2034 and 2035. By the end of 2035, the costs of the remedial units required to balance these deficits are estimated at USD 3.22 million, USD 1.44 million, and USD 0.92 million.
Suppose methanol from black liquor gasification integrated in a pulp mill, denoted as CH3OH (5), is used instead of CH3OH (3). In that case, none of the reference ships can accumulate surplus units in any of the reporting periods from 2028 to 2035 due to the significantly higher GHG emissions produced during the production stage. The costs of remedial units required to balance Tier 1 and Tier 2 deficiencies by the end of 2025 are estimated to be USD 5.34 million, USD 2.82 million, and USD 1.5 million, respectively.
CH3OH (2), methanol produced through methanolysis, performs similarly to CH3OH (5) in terms of the calculated GFI attained value of the ships, resulting in comparable compliance deficits and remedial unit costs. Since the GFI of the remaining CH3OH (1) and CH3OH (4) is substantially higher than the reference values, the costs of the remedial units arising from using these fuels are correspondingly high. The outcomes of ship operations with Bio-D in the main engines and MDO in the auxiliary engines are illustrated in Figure 10, in compliance with the regulations.
In the fifth scenario, Bio-D (2) and MDO are used in the main and auxiliary engines of the ships, respectively. By the end of 2028, a Tier 1 compliance deficit has emerged, marking the first reporting period for the ships. Additionally, a Tier 2 compliance deficit appears for the first time at the end of the 2030 reporting period. The costs of the remedial units for the ships at the end of 2028 are estimated at USD 0.68 million, USD 0.36 million, and USD 0.19 million, respectively.
By the end of 2030, the introduction of the Tier 2 compliance deficit will lead to an exponential increase in the costs of remedial units. By the end of the 2035 reporting period, the costs for the ships’ remedial units reach USD 7.12 million, USD 3.72 million, and USD 2.01 million, respectively. These costs are nearly comparable to those incurred by ships operating with conventional fuels.
Since the GFI values of other biodiesels, including Bio-D (1), (3), (4), and (5), are comparatively higher than that of Bio-D (2), the resulting deficiencies in ships and the corresponding quantities of remedial units required to balance these deficiencies are greater. This indicates that using Bio-D (2) may lead to significant compliance challenges compared to other biodiesel options.
In addition to the primary scenarios, this study evaluates ethanol as a potential marine fuel, with detailed results presented in Figure A4. Ethanol has a calorific value of 27 MJ/kg, which is lower than that of conventional fuels. Moreover, the GHG emissions associated with its production are comparable to those of traditional fuels. Consequently, ethanol offers only a marginal improvement in the GFI, and the benefits from its use remain limited.
As a result, all reference ships operating on ethanol are required to purchase remedial units in each reporting period from 2028 to 2035. By the end of the 2035 reporting period, the costs of the remedial units required to balance the deficiencies are estimated at USD 6.79 million, USD 3.55 million, and USD 1.91 million, respectively. This indicates that, while ethanol may be considered as an alternative fuel, its effectiveness in achieving compliance and reducing costs is minimal compared to other fuel options.

6. Discussion

The analysis of operational data from three different ships, conducted within the scope of the IMO Net-Zero Framework regulations, yields a set of outputs that emphasise each vessel’s compliance deficiencies, surplus units, and remedial unit costs, considering the marine fuel option employed from the end of 2025 to the end of 2028. The findings and the academic studies supporting them are summarised in the following paragraphs.
By continuing to rely on conventional fuels in the same manner while operating their ships, ship operators will encounter a substantial financial burden at the end of the 2028 reporting period, which will escalate in the subsequent years because the remedial unit costs for Tier 1 and Tier 2 compliance will be reviewed and defined after the beginning of 2031. The authorised organisations have the potential to reduce harmful emissions from ships through carbon tax measures. However, the operational expenditures faced by ship operators due to carbon tax practices can be balanced by various incentives, such as subsidies for those adopting energy-efficient and environmentally friendly technologies in their fleets [52]. The gradual increase in taxes, such as the remedial units used in balancing the release of GHGs sourced from the life cycle of marine fuels, will accelerate the shift of ship operators towards alternative fuels [53].
Our results indicate that the adoption of alternative fuels significantly improves compliance with the IMO Net-Zero Framework by reducing the attained GFI values compared to conventional fossil fuels. This outcome aligns with Bengtsson et al. [54], who demonstrated that fossil fuels are ineffective in achieving substantial GHG reductions across the WtW life cycle, reinforcing the necessity of alternative fuels under stringent environmental regulations. Furthermore, our analysis shows that fuels with lower WtT emissions contribute disproportionately to overall GFI improvement, highlighting the critical role of upstream processes such as cultivation, processing, and distribution. This finding supports Rony et al. [55], who emphasised that alternative fuel adoption not only aids regulatory compliance but also advances global sustainability objectives, particularly sustainable development goal 7 on affordable and clean energy. By quantifying the compliance cost implications and GFI performance of different fuel options, our study provides empirical evidence that complements these prior observations and underscores the practical challenges of transitioning to low-carbon marine fuels.
The analysis demonstrates that ships utilising H2 and NH3 achieve sustainable GFIattained values during operation, often generating surplus compliance units each reporting period. However, our results also reveal that, when these fuels are produced via conventional natural gas-based pathways, their WtT emissions significantly increase, in some cases exceeding the GFI values associated with traditional fossil fuels. This finding underscores that compliance costs and environmental benefits are highly dependent on the full well-to-wake life cycle rather than operational emissions alone.
For instance, Lee et al. [56] reported that e-methanol and e-ammonia can reduce GHG emissions by 88.2% and 86.6%, respectively, when produced using renewable electricity, which aligns with our observation that green production pathways are essential for achieving meaningful reductions. Similarly, Zincir and Arslanoglu [57] highlighted that, while hydrogen offers a substantial GHG mitigation compared to conventional fuels, its nitrogen oxide (NOx) emissions remain a concern, and ammonia’s WtT phase can be particularly carbon-intensive unless renewable-based processes such as the Bosch method are adopted. By quantifying the compliance implications of these production pathways, our study provides empirical evidence that complements these findings and emphasises that fuel choice alone is insufficient. The production methods critically determine both environmental performance and economic burden under the IMO Net-Zero Framework.
The findings show that LNG serves as an effective transitional fuel under the IMO Net-Zero Framework, enabling ships to meet both base and direct compliance targets for a longer period compared to conventional fuels. This advantage is primarily due to LNG (2)’s lower WtT emissions, which significantly reduce the attained GFI values in the short term. These findings are consistent with Al-Douri et al. [58], who reported that LNG can achieve an 18% reduction in GHG emissions across the full life cycle relative to traditional marine fuels. Furthermore, our analysis highlights that LNG’s compliance benefits are complemented by practical factors such as the expansion of bunkering infrastructure, cost competitiveness, and the abundance of feedstock, all of which facilitate its adoption. However, while LNG offers immediate compliance advantages, its long-term role remains limited given the IMO’s progressive reduction trajectory and the eventual need for zero-carbon fuels. By quantifying LNG’s compliance window and associated cost implications, our study provides empirical evidence that supports its role as a short-term strategy, while underscoring the necessity of transitioning to sustainable alternatives in the medium term.
Methane slip remains a central challenge when evaluating the climate performance of LNG-fuelled ships. Empirical measurements from modern low-pressure LNG dual-fuel marine engines show that a portion of the methane remains unburned and is released with the exhaust [59]. This “slip” of CH4 can significantly lower the GHG benefits typically attributed to LNG because CH4’s global warming potential is many times higher than CO2 over short and intermediate timescales [57]. The slip rate depends strongly on the engine type, operational load, and vessel operating conditions. Since many ships operate under variable loads, including periods of low power demand, this variation undermines the reliability of CO2-only emission reductions [60]. Therefore, any GFI or life cycle emissions standard must explicitly account for actual CH4 slip rather than relying solely on assumptions, as neglecting this factor risks significantly overstating the climate benefits associated with LNG.
The GFIattained values of ships using methanol in their engines have varied considerably, since methanol can be produced from a wide range of feedstocks and methods. Among these fuels, CH3OH (3) produced by combining renewably sourced CO2 with hydrogen through electrolysis represents an important option for achieving short-term goals, as met using LNG (2) in ship engines. Supporting this outcome, Li et al. [61] highlighted that renewable e-methanol exhibits substantially lower life cycle GHG emissions; however, its production costs remain higher compared to conventional pathways, such as grey methanol. Additionally, Perčić et al. [62] emphasised that the use of methanol-fuelled engines in ships is the most cost-effective alternative fuel in terms of life cycle emissions compared to the utilisation of other potential marine fuels.
Although GHG emissions from the TtW phase of ethanol are lower than those from conventional fuels, emissions during the WtT phase are only slightly reduced compared to conventional fuels. Consequently, if ethanol continues to be produced using current conventional methods, ships where ethanol is employed in ship engines will be unable to accumulate surplus emission units, and even if they incur costs of remedial units in each reporting period within the IMO Net-Zero Framework regulations. Complying with this finding, Kim and Lee [63] emphasised that the utilisation of bioethanol as a marine fuel results in a 5.9% reduction in CO2 emissions compared to MGO, while also lowering NOX emissions to 1.9 ppm and eliminating sulphur oxides. However, its combustion efficiency is 64%, which is 8.3% lower than that of MGO. Therefore, at this stage, bioethanol cannot be considered a suitable replacement for marine fuel. With current technology and production methods, bioethanol is considered a more suitable option for mitigating GHG emissions when used as a supplementary fuel or blended with other fuels.
Our findings show that Bio-D (2) from waste cooking oil provides only a limited improvement in GFIattained compared to conventional fuels because WtT emissions from cultivation, processing, and distribution remain relatively high, even under best-case conditions. As a result, ships using this fuel may still face compliance costs through remedial unit purchases between 2028 and 2035. This contrasts with the potential of advanced biofuels reported in the literature. Lee et al. [56] found that biomass-based Fischer–Tropsch diesel can reduce GHG emissions by up to 92%, while Rony et al. [55] noted reductions ranging from 25 to 100% for bio-methanol and biodiesel. However, our analysis confirms that the current biofuel production infrastructure is insufficient for meeting maritime energy demand, limiting their practical role in sustainable operations. These results emphasise that feedstock choice and production pathways strongly influence both environmental performance and economic outcomes under the IMO Net-Zero Framework.
At the beginning of 2032, the base and direct compliance targets for the period between 2036 and 2040 will be established by committee. By 2040, the ZT is expected to be set at 65% for the base target. Under this scenario, the base target annual GFI will be 32.655 gCO2 eq/MJ for the end of the 2040 reporting year. Within the scope of this study, ships operating exclusively on H2 (2) and NH3 (2) fuels will not incur compliance deficits. For all other fuels, a compliance deficit arises, necessitating the purchase of substantial remedial units to balance these deficits. If the direct compliance target declines at the same rate as the base target, the uptake of zero- or near-zero-GHG-emission technologies, fuels, and/or energy sources in marine vessels will become unavoidable by 2040 and thereafter.
The price of remedial units for balancing Tier 1 and Tier 2 compliance deficits is determined until the end of the 2030 reporting period. From 2031 onward, the committee will review and, if necessary, adjust the price of remedial units for subsequent years. The increase in the price of remedial units will pose a significant economic burden, particularly for ship operators using marine fuels with high GFI values in their fleet, especially for the reporting periods in 2031 and subsequent years.
E-fuels in general can meet the requirements of a GFI standard because their life cycle emissions can be significantly lower than those of fossil fuels when they are produced using renewable electricity and captured CO2. Studies in emerging marine and energy systems show that synthetic fuels made from green hydrogen and non-fossil CO2 can achieve sharp reductions in WtW emissions. These fuels also function as drop-in energy carriers, which means they can be used in existing engines and supply chains without large infrastructure changes [26]. This compatibility makes their low carbon intensity immediately relevant for GFI compliance.
However, the extent to which e-fuels can meet GFI targets is highly sensitive to upstream production conditions. Recent studies show that, when electricity inputs remain carbon-intensive or when CO2 is derived from fossil sources without adequate mitigation, the resulting life cycle GHG intensity can surpass GFI thresholds [32], which aligns with the findings of this study. Ensuring compliance, therefore, requires production systems that draw on independently verified renewable electricity, low-carbon CO2 capture pathways, and rigorous, transparent life cycle accounting [35]. When these criteria are met, the literature consistently demonstrates that e-fuels can achieve the progressively lower GHG intensity benchmarks embedded in contemporary GFI frameworks.
E-fuels carry significant supply chain vulnerabilities that may undermine their potential for large-scale, reliable deployment. First, they require a continuous and abundant supply of renewable electricity and hydrogen, which in turn depends on the stability and resilience of the upstream energy supply network. Disruptions in the power supply or constraints in sourcing clean electricity can compromise the viability of hydrogen-based fuels [64]. Secondly, the sourcing of CO2 feedstock for e-fuel synthesis remains a bottleneck: sustainable carbon sources (whether captured industrial emissions or direct-air capture) are currently limited and scaling them up to meet the demand for large-volume e-fuel production may prove difficult [65]. Third, the high capital and operational costs associated with synthesis infrastructure, including electrolysers, CO2 capture units, and liquid fuel synthesis plants, pose economic and financing risks, especially in the absence of long-term regulatory or policy support [65].
The influence of ship energy efficiency measures on GFI outcomes also merits explicit consideration. Research on wind-assisted propulsion, air lubrication systems, and voyage or speed optimisation demonstrates that these technologies can significantly reduce fuel consumption, which in turn lowers the effective GHG intensity per transport work. For example, studies report that modern rotor sails and suction wings can achieve fuel use reductions of 5–20% depending on the vessel type and operating profile [66]. Air lubrication systems have produced similar efficiency gains by reducing hull friction [67], while speed optimisation continues to be one of the most impactful operational strategies for lowering emissions [68]. When combined with low-carbon fuels, these measures generate synergistic effects by reducing both the required volume of the fuel and the overall life cycle emissions per nautical mile. This interaction suggests that GFI compliance should be evaluated in an integrated framework that accounts for both fuel characteristics and vessel-level efficiency improvements, rather than treating the two dimensions in isolation.

7. Conclusions

This study assessed marine fuels using annual noon report data from three vessel types within the IMO Net Zero Framework, which is based on the GFI metric encompassing life cycle GHG emissions as defined by the MEPC. The paper differentiated itself by introducing an integrated approach that combines life cycle assessment with IMO Net-Zero regulatory requirements, enabling a holistic evaluation of marine fuel pathways in terms of both environmental performance and compliance.
The analysis shows that compliance cannot be achieved solely by eliminating emissions during the TtW phase. Incorporating renewable energy and sustainable feedstocks in the WtT phase through green production methods is essential for reducing life cycle emissions and improving GFI values. These improvements help minimise Tier 1 and Tier 2 compliance deficiencies, reduce the associated remedial costs, and enable the accumulation of surplus units.
The results underline the different roles of transitional and long-term fuels in decarbonization strategies. Transitional fuels such as LNG and biofuels provide short-term emission reductions due to mature supply chains and a compatibility with existing engines, but their long-term viability is limited by life cycle emissions, CH4 slip, and biomass availability. Long-term fuels such as e-fuels, ammonia, and hydrogen offer near-zero life cycle emissions; however, they face challenges related to cost, energy intensity, and infrastructure readiness. Their adoption depends on large-scale investments in renewable electricity, electrolysis, carbon capture, and port infrastructure, supported by regulatory certainty, carbon pricing, and targeted subsidies.
Among renewable alternatives, synthetic e-fuels demonstrate a strong environmental performance when produced using renewable electricity and captured CO2, although high production costs and electricity demand remain significant barriers. Ammonia and hydrogen eliminate carbon emissions at the point of use but present safety concerns, low volumetric energy density, and immature bunkering infrastructure. Fuel properties such as LCV also affect vessel design and cargo capacity, influencing operational efficiency and profitability.
Promotion pathways for alternative fuels vary significantly depending on their category. Transitional fuels primarily advance through incremental improvements in engine efficiency, the gradual expansion of bunkering networks, and moderate policy incentives, offering short-term compliance benefits with relatively low capital investment. In contrast, long-term fuels require coordinated global strategies, regulatory certainty, and an integration with renewable energy systems to overcome substantial technological and infrastructural barriers. These pathways are shaped by pronounced techno-economic–environmental trade-offs. Fuels with low GFI values often exhibit lower LCVs, necessitating larger storage volumes that reduce cargo capacity and affect operational profitability. Additional trade-offs include safety considerations and the complexity of developing adequate bunkering infrastructure. For widespread adoption, alternative fuels must achieve both environmental integrity and economic viability, which depends on competitive pricing, robust distribution networks, and strong policy support to facilitate their integration into maritime operations.
The WtT emission factors applied in this analysis are sourced from specified references; however, these values may vary depending on fuel production pathways and regional supply chains. Additionally, the GFI scheme used here is based on the draft IMO application, which has been postponed by one year and may be subject to further revisions. Given the dependency on WtT emission factors and underlying fuel assumptions, the results carry inherent uncertainty. This should be considered when interpreting compliance projections and comparative assessments. Additionally, this study does not include a “Total Cost of Ownership” analysis, and the reported compliance costs represent only a small portion of the overall economic impact. Broader financial implications, such as capital expenditure, operational costs, and market dynamics, are outside the scope of this assessment.
The findings of this study provide guidance for ship operators and maritime stakeholders in selecting fuels that meet compliance targets while maintaining operational efficiency. To address current limitations and strengthen decision-making, future research should focus on integrating “Total Cost of Ownership” analyses with life cycle and compliance assessments to capture the full economic impact of fuel choices. Studies should also examine the variability of WtT emission factors across different production pathways and regions, incorporating uncertainty quantification to improve robustness. Additionally, exploring the combined effect of alternative fuels with emission reduction technologies such as carbon capture, energy efficiency measures, and hybrid propulsion systems under the IMO Net-Zero Framework would provide a more comprehensive strategy for decarbonization. Finally, leveraging high-resolution operational data and scenario-based modelling can refine compliance projections and support the development of adaptive policies for sustainable maritime transport.

Author Contributions

Conceptualization, M.B. and K.B.; methodology, M.B., K.B. and O.Y.; software, K.B.; validation, M.B. and O.Y.; formal analysis, M.B. and O.Y.; investigation, M.B., K.B. and O.Y.; data curation, M.B. and K.B.; writing—original draft preparation, M.B., K.B. and O.Y.; writing—review and editing, M.B., K.B. and O.Y.; visualization, M.B. and O.Y. All authors have read and agreed to the published version of the manuscript.

Funding

This research received no external funding.

Institutional Review Board Statement

Not applicable.

Informed Consent Statement

Not applicable.

Data Availability Statement

Data is contained within the article.

Acknowledgments

The authors have reviewed and edited the output and take full responsibility for the content of this publication.

Conflicts of Interest

The authors declare no conflicts of interest.

Appendix A

Figure A1. Cost of remedial units and compliance deficiencies arising in Tiers 1 and 2 resulting from the use of LFO and MDO in the main and auxiliary engines of ships, respectively.
Figure A1. Cost of remedial units and compliance deficiencies arising in Tiers 1 and 2 resulting from the use of LFO and MDO in the main and auxiliary engines of ships, respectively.
Sustainability 18 00184 g0a1
Figure A2. Cost of remedial units, accumulated surplus units, and compliance deficiencies arising in Tiers 1 and 2 resulting from the use of LNG and MDO in the main and auxiliary engines of ships, respectively.
Figure A2. Cost of remedial units, accumulated surplus units, and compliance deficiencies arising in Tiers 1 and 2 resulting from the use of LNG and MDO in the main and auxiliary engines of ships, respectively.
Sustainability 18 00184 g0a2
Figure A3. Cost of remedial units and compliance deficiencies arising in Tiers 1 and 2 resulting from the use of CH3OH and MDO in the main and auxiliary engines of ships, respectively.
Figure A3. Cost of remedial units and compliance deficiencies arising in Tiers 1 and 2 resulting from the use of CH3OH and MDO in the main and auxiliary engines of ships, respectively.
Sustainability 18 00184 g0a3
Figure A4. Cost of remedial units and compliance deficiencies arising in Tiers 1 and 2 resulting from the use of C2H5OH and MDO in the main and auxiliary engines of ships, respectively.
Figure A4. Cost of remedial units and compliance deficiencies arising in Tiers 1 and 2 resulting from the use of C2H5OH and MDO in the main and auxiliary engines of ships, respectively.
Sustainability 18 00184 g0a4

References

  1. Nayak, S.K.; Mishra, P.C.; Nanda, S.; Devarajan, Y. Impacts of Organic Antioxidant Additive on the Performance and Emission Characteristics of a Diesel Engine Fuelled with Hydrogen-Biodiesel Blends in Dual-Fuel Mode. Int. J. Hydrogen Energy 2025, 127, 930–944. [Google Scholar]
  2. Sheikh, W.; Islam, T.M.R.; Hasan, K.R. Achieving Net-Zero Emissions in Shipping: The Critical Role of Environmental Awareness and Managerial Commitment. Ocean Eng. 2025, 337, 121908. [Google Scholar] [CrossRef]
  3. UN Paris Agreement. In Proceedings of the Report of the Conference of the Parties to the United Nations Framework Convention on Climate Change (21st Session, 2015: Paris); Retrived December; HeinOnline: Getzville, NY, USA, 2015; Volume 4, p. 2.
  4. UNCTAD. 2024 Review of Maritime Transport. Chapter I—International Maritime Trade. Available online: https://unctad.org/system/files/official-document/rmt2024ch1_en.pdf (accessed on 1 December 2025).
  5. Bullock, S.; Mason, J.; Larkin, A. The Urgent Case for Stronger Climate Targets for International Shipping. Clim. Policy 2022, 22, 301–309. [Google Scholar] [CrossRef]
  6. Bach, H.; Hansen, T. IMO off Course for Decarbonisation of Shipping? Three Challenges for Stricter Policy. Mar. Policy 2023, 147, 105379. [Google Scholar]
  7. Liu, L.; Tang, Y.; Liu, D. Investigation of Future Low-Carbon and Zero-Carbon Fuels for Marine Engines from the View of Thermal Efficiency. Energy Rep. 2022, 8, 6150–6160. [Google Scholar] [CrossRef]
  8. DNV IMO MEPC 83: GHG Requirements Approved, Taking Effect from 2028. Available online: https://www.dnv.com/news/2025/imo-mepc-83-ghg-requirements-approved-taking-effect-from-2028/ (accessed on 12 November 2025).
  9. Hu, S.; Li, W.; Xi, Y.; Li, W.; Hou, Z.; Wu, J.; Han, B. Evolution Pathway of Process Risk of Marine Traffic with the STAMP Model and a Genetic Algorithm: A Simulation of LNG-Fueled Vessel in-and-out Harbor. Ocean Eng. 2022, 253, 111133. [Google Scholar] [CrossRef]
  10. Sharma, N.R.; Dimitrios, D.; Olcer, A.I.; Nikitakos, N. LNG a Clean Fuel—the Underlying Potential to Improve Thermal Efficiency. J. Mar. Eng. Technol. 2022, 21, 111–124. [Google Scholar] [CrossRef]
  11. van Rheenen, E.S.; Padding, J.T.; Kana, A.A.; Visser, K. Comparative Energy Analysis of Hydrogen Carriers as Energy Source on Ships. J. Mar. Eng. Technol. 2025, 1–15. [Google Scholar] [CrossRef]
  12. Van Rheenen, E.S.; Padding, J.T.; Slootweg, J.C.; Visser, K. Hydrogen Carriers for Zero-Emission Ship Propulsion Using PEM Fuel Cells: An Evaluation. J. Mar. Eng. Technol. 2024, 23, 166–183. [Google Scholar] [CrossRef]
  13. Echim, S.-M.; Budea, S. Use of Hydrogen Energy and Fuel Cells in Marine and Industrial Applications—Current Status. Hydrogen 2025, 6, 50. [Google Scholar] [CrossRef]
  14. Bortnowska, M.; Zmuda, A. A Comparative Analysis of Hydrogen Fuel Cells and Internal Combustion Engines Used for Service Operation Vessels Propulsion. Energies 2025, 18, 5104. [Google Scholar] [CrossRef]
  15. Wang, H.; Zhou, P.; Jeong, B.; Mesbahi, A.; Mujeeb-Ahmed, M.P.; Jang, H.; Giannakis, A.; Sykaras, K.; Papadakis, A. Life Cycle Analysis of Ammonia Fuelled Ship—Case Ship Studies for Marine Vessels. J. Clean. Prod. 2025, 520, 146105. [Google Scholar] [CrossRef]
  16. Pocitarenco, N.; Aneziris, O.; Koromila, I.; Nivolianitou, Z.; Gerbec, M.; Maras, V.; Salzano, E. A Systematic Literature Review on Safety of Ammonia as a Marine Fuel. Chem. Eng. Trans. 2025, 116, 733–738. [Google Scholar] [CrossRef]
  17. Reiter, A.J.; Kong, S.-C. Combustion and Emissions Characteristics of Compression-Ignition Engine Using Dual Ammonia-Diesel Fuel. Fuel 2011, 90, 87–97. [Google Scholar] [CrossRef]
  18. Sun, K.; Song, E.-Z.; Lu, H.; Ning, Y.-L. Simulation Study on Diesel-Ignited Ammonia/Hydrogen Mixture Fuel Combustion on Engine Combustion and Emission Performance. J. Mar. Eng. Technol. 2025, 24, 432–443. [Google Scholar] [CrossRef]
  19. Xing, H.; Stuart, C.; Spence, S.; Chen, H. Alternative Fuel Options for Low Carbon Maritime Transportation: Pathways to 2050. J. Clean Prod. 2021, 297, 126651. [Google Scholar] [CrossRef]
  20. Akac, A.; Anagnostopoulou, A.; Kappatos, V. Investigation of Methanol as Long-Term Energy Efficiency Solution for Maritime Decarbonization in Container Vessels. Transp. Res. Procedia 2025, 83, 170–177. [Google Scholar] [CrossRef]
  21. Wu, P.-C.; Lin, C.-Y. Feasibility and Cost-Benefit Analysis of Methanol as a Sustainable Alternative Fuel for Ships. J. Mar. Sci. Eng. 2025, 13, 973. [Google Scholar] [CrossRef]
  22. Hoang, A.T. Prediction of the Density and Viscosity of Biodiesel and the Influence of Biodiesel Properties on a Diesel Engine Fuel Supply System. J. Mar. Eng. Technol. 2021, 20, 299–311. [Google Scholar] [CrossRef]
  23. Sevim, C.; Zincir, B. Selection of Optimum Sustainable Biofuel for Maritime Transportation Using Analytic Hierarchy Process. J. Mar. Eng. Technol. 2025, 1–16. [Google Scholar] [CrossRef]
  24. Chen, X.; Arellano-Treviño, M.A.; Orton, K.A.; Dutta, A.; Mukarakate, C.; Iisa, K.; Tan, E.C.D. Sustainable Marine Fuel Production through Mild Hydrotreating of Catalytic Fast Pyrolysis Bio-Oil. Fuel 2025, 398, 135455. [Google Scholar] [CrossRef]
  25. Tripathi, S.; Kolodziej, C.P.; Masum, F.; Al-Ghussain, L.; Lu, Z.; Gomez, D.D.C.; He, X.; Jin, E.; Bouchard, J.; Hawkins, T. Life Cycle Greenhouse Gas Emissions and Cost of Marine Transport with Conventional Fuels and Methanol. Energy Convers. Manag. X 2025, 27, 101116. [Google Scholar] [CrossRef]
  26. Li, Z.; Wang, K.; Liang, H.; Wang, Y.; Ma, R.; Cao, J.; Huang, L. Marine Alternative Fuels for Shipping Decarbonization: Technologies, Applications and Challenges. Energy Convers. Manag. 2025, 329, 119641. [Google Scholar] [CrossRef]
  27. Manias, P.; McKinlay, C.; Teagle, D.A.H.; Hudson, D.; Turnock, S. A Wind-to-Wake Approach for Selecting Future Marine Fuels and Powertrains. Int. J. Hydrogen Energy 2024, 82, 1039–1050. [Google Scholar] [CrossRef]
  28. Mallouppas, G.; Yfantis, E.A. Decarbonization in Shipping Industry: A Review of Research, Technology Development, and Innovation Proposals. J. Mar. Sci. Eng. 2021, 9, 415. [Google Scholar] [CrossRef]
  29. Lehmann, N.; Panagakos, G.; Barfod, M.B. Impact Assessment of Regulations on Container Shipping Decarbonization: An Evidence-Based Case Study. Transp. Res. D Transp. Env. 2025, 146, 104902. [Google Scholar] [CrossRef]
  30. Zou, J.; Yang, B. Evaluation of Alternative Marine Fuels from Dual Perspectives Considering Multiple Vessel Sizes. Transp. Res. D Transp. Env. 2023, 115, 103583. [Google Scholar] [CrossRef]
  31. Chen, S.; Zheng, S.; Sys, C. Policies Focusing on Market-Based Measures towards Shipping Decarbonization: Designs, Impacts and Avenues for Future Research. Transp. Policy 2023, 137, 109–124. [Google Scholar] [CrossRef]
  32. Wang, K.; Chi, Y.; Liang, H.; Jing, Z.; Li, Z.; Ma, R.; Huang, L. Carbon Emission Monitoring and Control Technology for Ships: A Review. Mar. Pollut. Bull. 2025, 219, 118219. [Google Scholar] [CrossRef] [PubMed]
  33. Bayramoğlu, K. The Effects of Alternative Fuels, Cruising Duration and Variable Generators Combination on Exhaust Emissions, Energy Efficiency Existing Ship Index (EEXI) and Carbon Intensity Rating (CII). Ocean Eng. 2024, 302, 117723. [Google Scholar] [CrossRef]
  34. Mohammadpour, J.; Salehi, F. A Review of Alternative Liquid Fuels in Marine Engines. Appl. Energy Combust. Sci. 2025, 24, 100394. [Google Scholar] [CrossRef]
  35. Wang, K.; Liang, H.; Liu, X.; Li, Z.; Jing, Z.; Chi, Y.; Ma, R.; Cao, J.; Huang, L. Investigations and Applications of Carbon Control Technology: The Roadmap to Zero-Carbon Shipping. Ocean Eng. 2025, 339, 121898. [Google Scholar] [CrossRef]
  36. Feng, P.; Ma, N.; Gu, X. A Practical Method for Predicting the Propulsive Performance of Energy Efficient Ship with Wave Devouring Hydrofoils at Actual Seas. Proc. Inst. Mech. Eng. Part M J. Eng. Marit. Environ. 2014, 228, 348–361. [Google Scholar] [CrossRef]
  37. ClassNK. What Is the IMO’s Mid-Term Measures and How It Works. Available online: https://download.classnk.or.jp/documents/IMO_MTM_HowItWorks_E.pdf (accessed on 2 December 2025).
  38. ABS ABS Record® Online Database. Available online: https://ww2.eagle.org/en/rules-and-resources/abs-vessel-information.html (accessed on 1 December 2025).
  39. ClassNK. Register of Ships. Available online: https://www.classnk.com/register/regships/regships.aspx (accessed on 1 December 2025).
  40. IMO Fourth Greenhouse Gas Study 2020. Available online: https://www.imo.org/en/ourwork/Environment/Pages/Fourth-IMO-Greenhouse-Gas-Study-2020.aspx (accessed on 9 September 2024).
  41. IMO. IMO 2024 Guidelines on Life Cycle GHG Intensity of Marine Fuels. Available online: https://wwwcdn.imo.org/localresources/en/KnowledgeCentre/IndexofIMOResolutions/MEPCDocuments/MEPC.391(81).pdf (accessed on 1 December 2025).
  42. Marco, B.; Vincenzo, M.; Jana, R.; Nicolae, S.; Oliver, H.; Aliki, G.; Simon, L.; Aikaterini, M.; Raffaele, S.; Burkhard, S. Clean Energy Technology Observatory: Renewable Fuels of Non-Biological Origin in the European Union—2024 Status Report on Technology Development, Trends, Value Chains and Markets; Publications Office of the European Union: Luxembourg, 2023.
  43. Carvalho, F.; O’malley, J.; Osipova, L.; Pavlenko, N. Key Issues in Lca Methodology for Marine Fuels 2023; International Council on Clean Transportation: Washington, DC, USA, 2023. [Google Scholar]
  44. Soler, A.; Dekeyser, J.; Ramasary, A.; Gordillo, V.; Lilley, W.; Schmidt, P.; Weindorf, W.; Raksha, T.; Failer, S.; Astono, Y.; et al. E-Fuels: A Technoeconomic Assessment of European Domestic and Imports Towards 2050—Update; Concawe: Brussels, Belgium, 2024. [Google Scholar]
  45. European Union. Regulation (EU) 2023/1805 of the European Parliament and of the Council. Available online: https://eur-lex.europa.eu/eli/reg/2023/1805/oj/eng (accessed on 2 September 2025).
  46. EU. Directive (EU) 2018/2001 of the European Parliament and of the Council of 11 December 2018 on the Promotion of the Use of Energy from Renewable Sources. Off. J. Eur. Union 2018, 20, 2. [Google Scholar]
  47. Pachauri, R.K.; Meyer, L.; Hallegatte France, S.; Bank, W.; Hegerl, G.; Brinkman, S.; van Kesteren, L.; Leprince-Ringuet, N.; van Boxmeer, F. Climate Change 2014 Synthesis Report; Kristin Seyboth (USA): Evergreen, CO, USA, 2014. [Google Scholar]
  48. IPCC. IPCC Global Warming Potential Values Relative to CO2. 2018. Available online: https://ghgprotocol.org/sites/default/files/2024-08/Global-Warming-Potential-Values%20%28August%202024%29.pdf (accessed on 4 November 2025).
  49. IPCC. Fifth Assessment Report; IPCC: Paris, France, 2014.
  50. IMO. Report of Fuel Oil Consumption Data Submitted to the IMO Ship Fuel Oil Consumption Database in GISIS (Reporting Year: 2023). Available online: https://wwwcdn.imo.org/localresources/en/OurWork/Environment/Documents/Reporting%20year%202023.pdf (accessed on 2 December 2025).
  51. IMO. Draft Amendments to Marpol Annex Vi Regulations for the Prevention of Air Pollution From Ships. Available online: https://wwwcdn.imo.org/localresources/en/MediaCentre/HotTopics/Documents/Circular%20Letter%20No.5005%20-%20Draft%20Revised%20Marpol%20Annex%20Vi%20(Secretariat).pdf (accessed on 2 December 2025).
  52. Yuan, Q.; Wang, S.; Peng, J. Operational Efficiency Optimization Method for Ship Fleet to Comply with the Carbon Intensity Indicator (CII) Regulation. Ocean Eng. 2023, 286, 115487. [Google Scholar] [CrossRef]
  53. Zhao, Y.; Liu, F.; Zhang, Y.; Wang, Z.; Song, Z.; Zan, G.; Wang, Z.; Guo, H.; Zhang, H.; Zhu, J.; et al. Economic Assessment of Maritime Fuel Transformation for GHG Reduction in the International Shipping Sector. Sustainability 2024, 16, 10605. [Google Scholar] [CrossRef]
  54. Bengtsson, S.; Andersson, K.; Fridell, E. A Comparative Life Cycle Assessment of Marine Fuels: Liquefied Natural Gas and Three Other Fossil Fuels. Proc. Inst. Mech. Eng. Part. M J. Eng. Marit. Environ. 2011, 225, 97–110. [Google Scholar] [CrossRef]
  55. Rony, Z.I.; Mofijur, M.; Hasan, M.M.; Rasul, M.G.; Jahirul, M.I.; Ahmed, S.F.; Kalam, M.A.; Badruddin, I.A.; Khan, T.M.Y.; Show, P.-L. Alternative Fuels to Reduce Greenhouse Gas Emissions from Marine Transport and Promote UN Sustainable Development Goals. Fuel 2023, 338, 127220. [Google Scholar] [CrossRef]
  56. Lee, H.; Lee, J.; Roh, G.; Lee, S.; Choung, C.; Kang, H. Comparative Life Cycle Assessments and Economic Analyses of Alternative Marine Fuels: Insights for Practical Strategies. Sustainability 2024, 16, 2114. [Google Scholar] [CrossRef]
  57. Zincir, B.A.; Arslanoglu, Y. Comparative Life Cycle Assessment of Alternative Marine Fuels. Fuel 2024, 358, 129995. [Google Scholar] [CrossRef]
  58. Al-Douri, A.; Alsuhaibani, A.S.; Moore, M.; Nielsen, R.B.; El-Baz, A.A.; El-Halwagi, M.M. Greenhouse Gases Emissions in Liquified Natural Gas as a Marine Fuel: Life Cycle Analysis and Reduction Potential. Can. J. Chem. Eng. 2022, 100, 1178–1186. [Google Scholar] [CrossRef]
  59. Lehtoranta, K.; Vesala, H.; Flygare, N.; Kuittinen, N.; Apilainen, A.-R. Measuring Methane Slip from LNG Engines with Different Devices. J. Mar. Sci. Eng. 2025, 13, 890. [Google Scholar] [CrossRef]
  60. Lehtoranta, K.; Kuittinen, N.; Vesala, H.; Koponen, P. Methane Emissions from a State-of-the-Art LNG-Powered Vessel. Atmosphere 2023, 14, 825. [Google Scholar] [CrossRef]
  61. Li, C.; Wang, Z.; Liu, H.; Guo, F.; Li, C.; Xiu, X.; Wang, C.; Qin, J.; Wei, L. Energy and Configuration Management Strategy for Solid Oxide Fuel Cell/Engine/Battery Hybrid Power System with Methanol on Marine: A Case Study. Energy Convers. Manag. 2024, 307, 118355. [Google Scholar] [CrossRef]
  62. Perčić, M.; Vladimir, N.; Fan, A. Techno-Economic Assessment of Alternative Marine Fuels for Inland Shipping in Croatia. Renew. Sustain. Energy Rev. 2021, 148, 111363. [Google Scholar] [CrossRef]
  63. Kim, J.-W.; Lee, T.-H. A Comparative Study of Combustion Characteristics for the Evaluation of the Feasibility of Crude Bioethanol as a Substitute for Marine Fuel Oil. J. Mar. Sci. Eng. 2025, 13, 433. [Google Scholar] [CrossRef]
  64. Ma, H.; Sun, Z.; Xue, Z.; Zhang, C.; Chen, Z. A Systemic Review of Hydrogen Supply Chain in Energy Transition. Front. Energy 2023, 17, 102–122. [Google Scholar] [CrossRef]
  65. Colelli, L.; Dell’Aversano, S.; Bassano, C.; Vanga, G.; Gallucci, K.; Vilardi, G. Liquid E-Fuels for a Sustainable Future: A Comprehensive Review of Production, Regulation, and Technological Innovation. Energy Convers. Manag. 2026, 347, 120529. [Google Scholar] [CrossRef]
  66. Gaul, K.; Rutkowski, G. Harnessing the Wind: The Rise of Wind-Assisted Ship Propulsion (WASP) in the Transformation of Maritime Transport. TransNav Int. J. Mar. Navig. Saf. Sea Transp. 2025, 19, 217–225. [Google Scholar] [CrossRef]
  67. Hitchmough, D.; Blanco-Davis, E.; Spiteri, A.; Seddighi, M.; Yuksel, O.; Shagar, G.V.; Wang, J. The Modelling of the Multiphase Flow Mechanics in Air Lubrication Systems and Their Interaction with Appendages: A Review. J. Mar. Sci. Eng. 2025, 13, 2238. [Google Scholar] [CrossRef]
  68. Fatorachian, H.; Kazemi, H. Sustainable Optimization Strategies for On-Demand Transportation Systems: Enhancing Efficiency and Reducing Energy Use. Sustain. Environ. 2025, 11, 2464388. [Google Scholar] [CrossRef]
Figure 1. Overview of study flowchart underpinning data collection, methods, and outcomes.
Figure 1. Overview of study flowchart underpinning data collection, methods, and outcomes.
Sustainability 18 00184 g001
Figure 2. Annual variation in GFI limits, incorporating base targets, direct compliance targets, and ZNZs across years.
Figure 2. Annual variation in GFI limits, incorporating base targets, direct compliance targets, and ZNZs across years.
Sustainability 18 00184 g002
Figure 3. GFIattained value of marine fuels considering base target annual GFI.
Figure 3. GFIattained value of marine fuels considering base target annual GFI.
Sustainability 18 00184 g003
Figure 4. GFIattained value of marine fuels considering direct compliance target annual GFI.
Figure 4. GFIattained value of marine fuels considering direct compliance target annual GFI.
Sustainability 18 00184 g004
Figure 5. Ships’ Tier 1 and 2 compliance deficits and required remedial units to balance.
Figure 5. Ships’ Tier 1 and 2 compliance deficits and required remedial units to balance.
Sustainability 18 00184 g005
Figure 6. Cost of remedial units, accumulated surplus units, and compliance deficiencies in Tiers 1 and 2 resulting from the use of LNG and MDO in main and auxiliary engines.
Figure 6. Cost of remedial units, accumulated surplus units, and compliance deficiencies in Tiers 1 and 2 resulting from the use of LNG and MDO in main and auxiliary engines.
Sustainability 18 00184 g006
Figure 7. Accumulated surplus units resulting from the use of H2 (2) and MDO in the main and auxiliary engines of ships, respectively.
Figure 7. Accumulated surplus units resulting from the use of H2 (2) and MDO in the main and auxiliary engines of ships, respectively.
Sustainability 18 00184 g007
Figure 8. Accumulated surplus units as a result of the use of NH3 (2) and MDO in the main and auxiliary engines of ships, respectively.
Figure 8. Accumulated surplus units as a result of the use of NH3 (2) and MDO in the main and auxiliary engines of ships, respectively.
Sustainability 18 00184 g008
Figure 9. Evaluation of remedial unit costs, accumulated surplus units, and compliance deficiencies in Tier 1 and Tier 2, resulting from the use of CH3OH and MDO in the main and auxiliary engines of marine vessels, respectively.
Figure 9. Evaluation of remedial unit costs, accumulated surplus units, and compliance deficiencies in Tier 1 and Tier 2, resulting from the use of CH3OH and MDO in the main and auxiliary engines of marine vessels, respectively.
Sustainability 18 00184 g009
Figure 10. Cost of remedial units and compliance deficiencies arising in Tier 1 and Tier 2 resulting from the use of Bio-D and MDO in the main and auxiliary engines of ships, respectively.
Figure 10. Cost of remedial units and compliance deficiencies arising in Tier 1 and Tier 2 resulting from the use of Bio-D and MDO in the main and auxiliary engines of ships, respectively.
Sustainability 18 00184 g010
Table 1. Specifications of the case study vessels.
Table 1. Specifications of the case study vessels.
ParameterMarine Vessel I (MV-I)Marine Vessel II (MV-II)Marine Vessel III (MV-III)References
Ship TypeOil TankerContainer shipBulk carrier[38,39]
Length Overall (m)333.12210.49288.97
Breadth (m)6029.845
Depth (m)30.416.424.4
Deadweight (tonnes)313,99834,943176,859
Gross Tonnage (tons)162,04426,19589,603
Main Engine (kW)30,42321,77016,860
Avg. Sailing and Design Speed (kn)12.2/15.512.9/21.210.9/14.5[39,40,41]
Avg. Days at Sea252226252[41]
Annual Avg. Fuel Consumption (tons)17,605.79 HFO
1638.83 MGO
8935.46 HFO
1064.12 MGO
4973.02 HFO
450.61 MGO
Extracted from noon reports of the ship
Table 2. Marine fuels’ technical properties.
Table 2. Marine fuels’ technical properties.
Fuel Type
[Feedstock and Production Pathway]
Fuel CodeWtT GHG Intensity (gCO2eq/MJ)LCV (MJ/kg)Cf CO2
(gCO2/gfuel)
Cf CH4
(gCH4/gfuel)
Cf N2O
(gN2O/gfuel)
Heavy fuel oil (HFO)HFO16.8 [41]
14.1 [41]
13.5 [42]
40.2 [41]
40.5 [42]
3.114 [41]0.00005 [41]0.00018 [41]
Marine diesel/gas oilMDO17.7 [41]
14.4 [42]
42.7 [41]3.206 [41]0.00005 [41]0.00018 [41]
Light fuel oilLFO13.2 [42] 41 [42]
41 [41]
3.151 [41]0.00005 [41]0.00018 [41]
LNGLNG (1)18.5 [42] 48 [41]
49 [42]
2.75 [41]
2.755 [40]
0 [42]
0.01196 [41]
0.00011 [41]
0.0001 [41]
H2 (SMR)
[Natural gas]
H2 (1)132 [42]120 [41]0 [41]0 [42] TBM [42]
NH3
[Natural gas]
NH3 (1)121 [42] 18.6 [41]0 [41]N/A [42]TBM [42]
Methanol
[Natural gas and steam methanol reforming (SMR)]
CH3OH (1)31.3 [43]
28 [44]
19.9 [42]1.375 [42]TBM [42]TBM [42]
E-methanol
[Methanolysis]
CH3OH (2)10.6 [44]
10 [44]
19.9 [42]1.375 [41] TBM [42]TBM [42]
E-methanol
[Renewable electrolysis]
CH3OH (3)1.2 [44]
E-methanol
[Electrolysis by grid electricity]
CH3OH (4)177 [44]
E-LNG
[Methanation with renewable hydrogen and CO2]
LNG (2)11.7 [41]48 [41]
49.1 [42]
2.75 [41]
2.755 [40]
0 [40]
0.01196 [40]
0.00011 [41]
0.0001 [41]
E-H2
[Water electrolysis by renewable energies]
H2 (2)10.8 [44]
17 [43]
120 [41]0 [41]0 [45]TBM [42]
E-H2
[Water electrolysis by grid electricity]
H2 (3)191 [44]
E-NH3
[From renewable electricity via Haber–Bosch process]
NH3 (2)11.4 [44]18.6 [41]0 [45]N/A [45]TBM [45]
Biofuels
Ethanol
[Wheat straw]
C2H5OH13.7 [46]27 [46]1.913 [45]TBM [45]TBM [45]
Methanol from black liquor gasification integrated with pulp millCH3OH (5)10.4 [46]19.9 [46]
20 [46]
1.375 [45]TBM [45]TBM [45]
Biodiesel
[Fischer–Tropsch diesel from black liquor gasification integrated with pulp mill]
Bio-D (1)10.2 [46]37 [46]2.834 [42]TBM [42]TBM [42]
Biodiesel
[Waste cooking oil]
Bio-D (2)11.2 [46]38 [46]
Renewable diesel (HVO)
hydrotreated vegetable oil
[Sunflower]
Bio-D (3)14.9 [41]
39.4 [46]
44 [41]3.115 [42]0.00005 [42]0.00018 [42]
Diesel (FAME)Bio-D (4)20.8 [41]37.2 [41]
38 [46]
2.834 [42]TBM [42]TBM [42]
Table 3. GWP of specified gases [47].
Table 3. GWP of specified gases [47].
Type of GasGWP-100
CO21
CH428
N2O265
Table 4. Definition of GFI-related terms.
Table 4. Definition of GFI-related terms.
TermDefinition
GFIattainedThe actual greenhouse gas fuel intensity (GFI) achieved by the ship during the reporting year, expressed in gCO2eq/MJ.
GFITThe target GFI for the reporting year, calculated by applying the IMO reduction rate to the 2008 baseline (93.3 gCO2eq/MJ). It is examined in two tiers.
Base Target Annual GFIThe upper-tier (Tier 1) annual GFI target under the IMO Net-Zero Framework, starting at 4% reduction in 2028 and reaching 30% by 2035, relative to the 2008 baseline.
Direct Compliance Target Annual GFIThe lower-tier (Tier 2) annual GFI target for direct compliance, starting at a 17% reduction in 2028 and reaching 43% by 2035, relative to the 2008 baseline.
Disclaimer/Publisher’s Note: The statements, opinions and data contained in all publications are solely those of the individual author(s) and contributor(s) and not of MDPI and/or the editor(s). MDPI and/or the editor(s) disclaim responsibility for any injury to people or property resulting from any ideas, methods, instructions or products referred to in the content.

Share and Cite

MDPI and ACS Style

Bayraktar, M.; Bayramoğlu, K.; Yuksel, O. Evaluating the Greenhouse Gas Fuel Intensity of Marine Fuels Under the Maritime Net-Zero Framework. Sustainability 2026, 18, 184. https://doi.org/10.3390/su18010184

AMA Style

Bayraktar M, Bayramoğlu K, Yuksel O. Evaluating the Greenhouse Gas Fuel Intensity of Marine Fuels Under the Maritime Net-Zero Framework. Sustainability. 2026; 18(1):184. https://doi.org/10.3390/su18010184

Chicago/Turabian Style

Bayraktar, Murat, Kubilay Bayramoğlu, and Onur Yuksel. 2026. "Evaluating the Greenhouse Gas Fuel Intensity of Marine Fuels Under the Maritime Net-Zero Framework" Sustainability 18, no. 1: 184. https://doi.org/10.3390/su18010184

APA Style

Bayraktar, M., Bayramoğlu, K., & Yuksel, O. (2026). Evaluating the Greenhouse Gas Fuel Intensity of Marine Fuels Under the Maritime Net-Zero Framework. Sustainability, 18(1), 184. https://doi.org/10.3390/su18010184

Note that from the first issue of 2016, this journal uses article numbers instead of page numbers. See further details here.

Article Metrics

Back to TopTop