Winery Residues Transformed into Biochar and Co-Applied with Trichoderma Increase Grape Productivity and Soil Quality
Abstract
1. Introduction
2. Materials and Methods
2.1. Biochar Production and Characterization
2.2. Inoculum Production
2.3. Field Experiment
2.4. Statistical Analyses
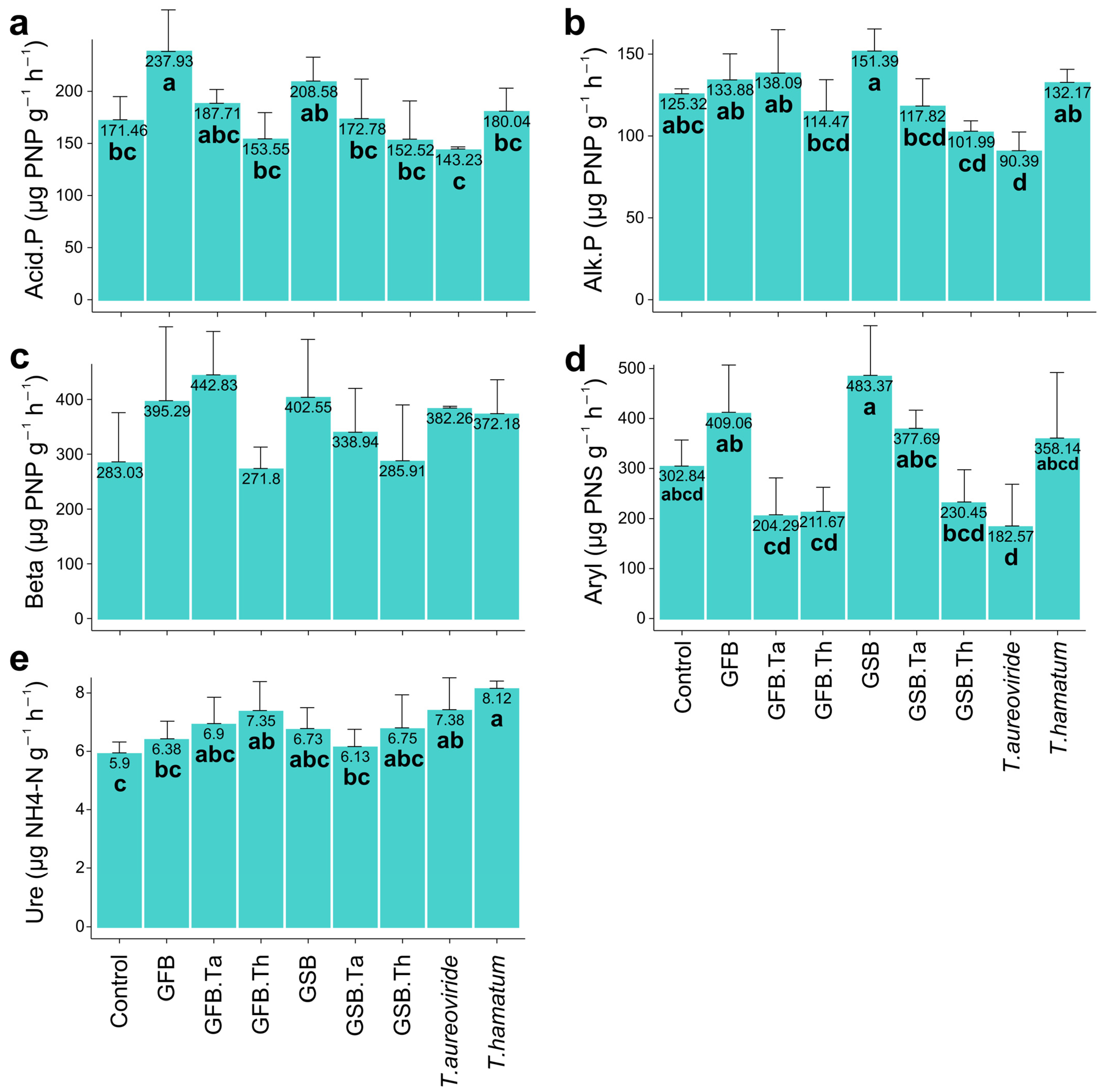
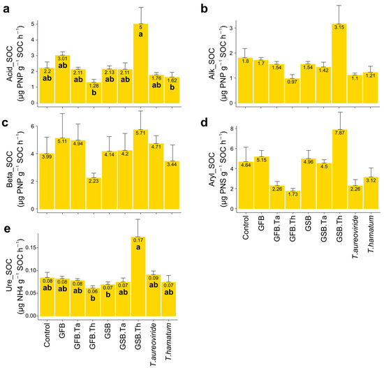
3. Discussion
4. Conclusions
Author Contributions
Funding
Institutional Review Board Statement
Informed Consent Statement
Data Availability Statement
Acknowledgments
Conflicts of Interest
Abbreviations
| GSB | grape stalks biochar |
| GFB | grape fermentation residues |
| Ctrl | control |
| Ta | Trichoderma aureoviride URM 5158 |
| Th | Trichoderma hamatum URM 6656 |
| MBC | Microbial biomass carbon |
| SOC | Soil organic carbon |
| NGB | Number of grape bunches |
| WGB | Total bunch weight per plant |
| Acid.P | Acid phosphatase |
| Alk.P | Alkaline phosphatase |
| Beta | beta-glucosidase |
| Ary | Arylsulfatase |
| Ure | Urease |
References
- Giffard, B.; Winter, S.; Guidoni, S.; Nicolai, A.; Castaldini, M.; Cluzeau, D.; Leyer, I. Vineyard management and its impacts on soil biodiversity, functions, and ecosystem services. Front. Ecol. Evol. 2022, 10, 850272. [Google Scholar] [CrossRef]
- Teixeira, A.; Martins, V.; Manso, J.; Correia, S.; Ferreira, A.R.; Fontes, N.; Gerós, H. Exploring the influence of cover crops with native plant species on soil and berry microbiota in a Moscatel Galego vineyard: Implications for sustainable viticulture. Agric. Ecosyst. Environ. 2025, 380, 109384. [Google Scholar] [CrossRef]
- Kurniawan, T.A.; Othman, M.H.D.; Liang, X.; Goh, H.H.; Gikas, P.; Chong, K.K.; Chew, K.W. Challenges and opportunities for biochar to promote circular economy and carbon neutrality. J. Environ. Manage. 2023, 332, 117429. [Google Scholar] [CrossRef]
- Zhou, Y.; Zhao, Z.; Li, D.; Wang, Y.; Yang, J.; Han, W.; Li, S. Effects of aged biochar additions at different addition ratios on soil greenhouse gas emissions. Sci. Total Environ. 2024, 955, 176914. [Google Scholar] [CrossRef] [PubMed]
- Zhang, M.; Xu, Y.; Wang, J.; Hu, J.; Qi, S.; Jiang, Z.; Yang, S. Impact of biochar on the antibiotic resistome and associated microbial functions in the rhizosphere and bulk soil of rice fields under water-saving and flooded irrigation. Environ. Pollut. 2024, 342, 123026. [Google Scholar] [CrossRef]
- Marques, C.A.; Silva, D.A.D.; Apresentação, M.D.J.F.D.; Nakashima, G.T.; Yamaji, F.M. Biochar production with sugarcane straw (Saccharum sp.). Res. Soc. Dev. 2022, 11, e31211124675. [Google Scholar] [CrossRef]
- Singh, H.; Northup, B.K.; Rice, C.W.; Prasad, P.V. Biochar applications influence soil physical and chemical properties, microbial diversity, and crop productivity: A meta-analysis. Biochar 2022, 4, 8. [Google Scholar] [CrossRef]
- Razzaghi, F.; Obour, P.B.; Arthur, E. Does biochar improve soil water retention? A systematic review and meta-analysis. Geoderma 2020, 361, 114055. [Google Scholar] [CrossRef]
- Zou, C.; Yu, N.; Ma, C.; Li, B.; Liu, S. Effects of pyrolysis temperature and atmosphere on grinding properties of semicoke prepared from Shenmu low-rank coal. J. Anal. Appl. Pyrolysis 2023, 173, 106059. [Google Scholar] [CrossRef]
- Wang, C.; Chen, D.; Shen, J.; Yuan, Q.; Fan, F.; Wei, W.; Li, Y.; Wu, J. Biochar alters soil microbial communities and potential functions 3–4 years after amendment in a double rice cropping system. Agric. Ecosyst. Environ. 2021, 311, 107291. [Google Scholar] [CrossRef]
- Palansooriya, K.N.; Wong, J.T.F.; Hashimoto, Y.; Huang, L.; Rinklebe, J.; Chang, S.X.; Bolan, N.; Wang, H.; Ok, Y.S. Response of microbial communities to biochar-amended soils: A critical review. Biochar 2019, 1, 3–22. [Google Scholar] [CrossRef]
- Ghodake, G.S.; Shinde, S.K.; Kadam, A.A.; Saratale, R.G.; Saratale, G.D.; Kumar, M.; Palem, R.R.; Al-Shwaiman, H.A.; Elgorban, A.M.; Syed, A.; et al. Review on biomass feedstocks, pyrolysis mechanism and physicochemical properties of biochar: State-of-the-art framework to speed up vision of circular bioeconomy. J. Clean. Prod. 2021, 297, 126645. [Google Scholar] [CrossRef]
- Ruan, G.; Yang, Y.; Peng, X.; Wang, J.; Guo, Y.; Hu, W.; Lin, D. A review of the current status of nitrogen self-doped biochar applications. J. Environ. Chem. Eng. 2025, 13, 115291. [Google Scholar] [CrossRef]
- Araujo, I.D.S.; Filho, A.P.M.; da Costa, D.P.; Silva, A.O.; da França, R.F.; Junior, M.D.A.L.; Duda, G.P.; Lima, J.R.D.S.; da Silva, M.M.; Araujo, A.S.F.; et al. Biochar and plant growth-promoting bacteria boost chemical and biological properties of semiarid soil in cowpea. Soil Syst. 2025, 9, 19. [Google Scholar] [CrossRef]
- Poveda, J.; Millen, M.R.; Bailey, A.M. Analysis of Trichoderma as an effective biological control agent against the honey fungus (Armillaria spp.). Biol. Control 2024, 188, 105424. [Google Scholar] [CrossRef]
- Kredics, L.; Büchner, R.; Balázs, D.; Allaga, H.; Kedves, O.; Racić, G.; Sipos, G. Recent advances in the use of Trichoderma-containing multicomponent microbial inoculants for pathogen control and plant growth promotion. World J. Microbiol. Biotechnol. 2024, 40, 162. [Google Scholar] [CrossRef] [PubMed]
- Woo, S.L.; Hermosa, R.; Lorito, M.; Monte, E. Trichoderma: A multipurpose, plant-beneficial microorganism for eco-sustainable agriculture. Nat. Rev. Microbiol. 2023, 21, 312–326. [Google Scholar] [CrossRef] [PubMed]
- Liu, B.; Ji, S.; Zhang, H.; Wang, Y.; Liu, Z. Isolation of Trichoderma in the rhizosphere soil of Syringa oblata from Harbin and their biocontrol and growth promotion function. Microbiol. Res. 2020, 235, 126445. [Google Scholar] [CrossRef]
- Asghar, W.; Kataoka, R. Effect of co-application of Trichoderma spp. with organic composts on plant growth enhancement, soil enzymes and fungal community in soil. Arch. Microbiol. 2021, 203, 4281–4291. [Google Scholar] [CrossRef]
- Contreras-Cornejo, H.A.; Schmoll, M.; Esquivel-Ayala, B.A.; González-Esquivel, C.E.; Rocha-Ramírez, V.; Larsen, J. Mechanisms for plant growth promotion activated by Trichoderma in natural and managed terrestrial ecosystems. Res. Microbiol. 2024, 281, 127621. [Google Scholar] [CrossRef]
- Illescas, M.; Pedrero-Méndez, A.; Pitorini-Bovolini, M.; Hermosa, R.; Monte, E. Phytohormone production profiles in Trichoderma species and their relationship to wheat plant responses to water stress. Pathogens 2021, 10, 991. [Google Scholar] [CrossRef] [PubMed]
- Wei, M.; Liu, X.; He, Y.; Xu, X.; Wu, Z.; Yu, K.; Zheng, X. Biochar inoculated with Pseudomonas putida improves grape (Vitis vinifera L.) fruit quality and alters bacterial diversity. Rhizosphere 2020, 16, 100261. [Google Scholar] [CrossRef]
- de Medeiros, E.V.; da Costa, D.P.; Silva, E.L.D.; de França, A.F.; Lima, J.R.D.S.; Hammecker, C.; Mendes, L.W.; Pereira, A.P.D.A.; Araujo, A.S.F. Biochar and Trichoderma as an eco-friendly and low-cost alternative to improve soil chemical and biological properties. Waste Biomass Valorization 2023, 15, 1439–1450. [Google Scholar] [CrossRef]
- Nair, R.R.; Schaate, A.; Klepzig, L.F.; Turcios, A.E.; Lecinski, J.; Shamsuyeva, M.; Endres, H.-J.; Papenbrock, J.; Behrens, P.; Weichgrebe, D. Physico-chemical characterization of walnut shell biochar from uncontrolled pyrolysis in a garden oven and surface modification by ex-situ chemical magnetization. Clean Technol. Environ. Policy 2023, 25, 2727–2746. [Google Scholar] [CrossRef]
- Domingues, R.R.; Trugilho, P.F.; Silva, C.A.; Melo, I.C.N.D.; Melo, L.C.; Magriotis, Z.M.; Sánchez-Monedero, M.A. Properties of biochar derived from wood and high-nutrient biomasses with the aim of agronomic and environmental benefits. PLoS ONE 2017, 12, e0176884. [Google Scholar] [CrossRef]
- Teixeira, P.C.; Donagemma, G.K.; Fontana, A.; Teixeira, W.G. Manual de Métodos de Análise de Solo; EMBRAPA: Brasília, Brazil, 2017; 15p. [Google Scholar]
- da Silva, J.A.T.; de Medeiros, E.V.; Tenório, D.D.A.; Moreira, K.A.; Nascimento, T.C.E.d.S.; Souza-Motta, C. Trichoderma aureoviride URM 5158 and Trichoderma hamatum URM 6656 are biocontrol agents that act against cassava root rot through different mechanisms. J. Phytopathol. 2016, 164, 1003–1011. [Google Scholar] [CrossRef]
- da Silva, J.S.A.; de Medeiros, E.V.; da Costa, D.P.; de Souza, C.A.F.; de Oliveira, J.B.; da França, R.F.; Souza-Motta, C.M.; Lima, J.R.d.S.; Hammecker, C. Biochar and Trichoderma aureoviride URM 5158 as alternatives for the management of cassava root rot. Appl. Soil Ecol. 2022, 172, 104353. [Google Scholar] [CrossRef]
- Pernambuco Agency of Water and Climate (APAC). APAC Portal [Internet]. Available online: https://www.apac.pe.gov.br/#tabs (accessed on 3 April 2025).
- dos Santos, H.D.; Jacomine, P.T.; Dos Anjos, L.H.C.; De Oliveira, V.Á.; Lumbreras, J.F.; Coelho, M.R.; De Almeida, J.A.; de Araujo Filho, J.C.; De Oliveira, J.B.; Cunha, T.J.F. Brazilian Soil Classification System; Embrapa: Brasília, Brazil, 2018. [Google Scholar]
- Yeomans, J.C.; Bremner, J.M. A rapid and precise method for routine determination of organic carbon in soil. Commun. Soil. Sci. Plant Anal. 1988, 19, 1467–1476. [Google Scholar] [CrossRef]
- Mendonça, E.D.S.; Matos, E.D.S. Soil Organic Matter: Methods of Analysis. 2005. Available online: https://www.ciodaterra.com.br/materia-organica-do-solo-metodos-de-analises?srsltid=AfmBOopx79zLFMoNfIK9asAjqq3VppRf1-zeBjAgFGwhB2Q7dwu0jiSS (accessed on 3 April 2025). (In Portuguese).
- Bartlett, R.J.; Ross, D.S. Colorimetric Determination of Oxidizable Carbon in Acid Soil Solutions. Soil Sci. Soc. Am. J. 1988, 52, 1191–1192. [Google Scholar] [CrossRef]
- Eivazi, F.; Tabatabai, M.A. Glucosidases and galactosidases in soils. Soil Biol. Biochem. 1988, 20, 601–606. [Google Scholar] [CrossRef]
- Tabatabai, M.A.; Bremner, J.M. Use of p-nitrophenyl phosphate for assay of soil phosphatase activity. Soil Biol. Biochem. 1969, 1, 301–307. [Google Scholar] [CrossRef]
- Kandeler, E.; Gerber, H. Short-term assay of soil urease activity using colorimetric determination of ammonium. Biol. Fert. Soils. 1988, 6, 68–72. [Google Scholar] [CrossRef]
- R Core Team. R: A Language and Environment for Statistical Computing; R Foundation for Statistical Computing: Vienna, Austria, 2023; Available online: https://www.r-project.org/ (accessed on 24 January 2025).
- Lin, G.; Wang, Y.; Wu, X.; Meng, J.; Ok, Y.S.; Wang, C.H. Enhancing agricultural productivity with biochar: Evaluating feedstock and quality standards. Bioresour. Technol. Rep. 2024, 205, 102059. [Google Scholar] [CrossRef]
- He, M.; Li, L.; Liu, X.; Zhang, H.; Zhang, W.; Wang, J. A critical review on performance indicators for evaluating soil biota and soil health of biochar-amended soils. J. Hazard. Mater. 2021, 414, 125378. [Google Scholar] [CrossRef]
- Iwuozor, K.O.; Emenike, E.C.; Omonayin, E.O.; Bamigbola, J.O.; Ojo, H.T.; Awoyale, A.A.; Eletta, O.A.; Adeniyi, A.G. Unlocking the hidden value of pods: A review of thermochemical conversion processes for biochar production. Bioresour. Technol. Rep. 2023, 22, 101488. [Google Scholar] [CrossRef]
- Abhishek, K.; Shrivastava, A.; Vimal, V.; Gupta, A.K.; Bhujbal, S.K.; Biswas, J.K.; Singh, L.; Ghosh, P.; Pandey, A.; Sharma, P.; et al. Biochar application for greenhouse gas mitigation, contaminants immobilization and soil fertility enhancement: A state-of-the-art review. Sci. Total Environ. 2022, 853, 158562. [Google Scholar] [CrossRef]
- Yuan, Y.; Liu, Q.; Zheng, H.; Li, M.; Liu, Y.; Wang, X.; Xing, B. Biochar as a sustainable tool for improving the health of salt-affected soils. Soil Environ. Health 2023, 1, 100033. [Google Scholar] [CrossRef]
- Jia, A.; Song, X.; Li, S.; Liu, Z.; Liu, X.; Han, Z.; Wang, G. Biochar enhances soil hydrological function by improving the pore structure of saline soil. Agric. Water Manag. 2024, 306, 109170. [Google Scholar] [CrossRef]
- Herrmann, L.; Lesueur, D.; Robin, A.; Robain, H.; Wiriyakitnateekul, W.; Bräu, L. Impact of biochar application dose on soil microbial communities associated with rubber trees in North East Thailand. Sci. Total Environ. 2019, 689, 970–979. [Google Scholar] [CrossRef]
- Fouladidorhani, M.; Shayannejad, M.; Mosaddeghi, M.R.; Shariatmadari, H.; Arthur, E. Biochar, manure and superabsorbent improve the physical quality of saline-sodic soil under greenhouse conditions. Soil Sci. Soc. Am. J. 2023, 87, 1003–1017. [Google Scholar] [CrossRef]
- Nazim, M.; Ghafoor, A.; Hussain, A.; Tabassum, M.; Nawaz, A.; Ahmad, M.; Ali, M. Biochar as a Climate-Smart Agricultural Practice: Reducing Greenhouse Gas Emissions and Promoting Sustainable Farming. Phyton-Int. J. Exp. Bot. 2025, 94, 65–99. [Google Scholar] [CrossRef]
- Costa, R.M.; Araujo, E.M.B.; Silva, D.E.O.; Rocha, S.M.B.; Bonifacio, A.; Sousa, R.S.; Pereira, A.P.d.A.; de Medeiros, E.V.; Sagrilo, E.; de Oliveira Junior, J.O.L.; et al. Seasonal responses of soil microbial biomass C and enzymatic activity comparing no-tillage and integrated crop-livestock systems. Eur. J. Soil Biol. 2024, 121, 103628. [Google Scholar] [CrossRef]
- Barbosa, F.L.A.; Santos, J.M.R.; Mota, J.C.A.; Costa, M.C.G.; Araujo, A.S.F.; Garcia, K.G.V.; Almeida, M.S.; Nascimento, Í.V.; Medeiros, E.V.; Ferreira, O.P.; et al. Potential of biochar to restoration of microbial biomass and enzymatic activity in a highly degraded semiarid soil. Sci. Rep. 2024, 14, 26065. [Google Scholar] [CrossRef]
- Luo, G.; Xue, C.; Jiang, Q.; Xiao, Y.; Zhang, F.; Guo, S.; Shen, Q.; Ling, N. Soil carbon, nitrogen, and phosphorus cycling microbial populations and their resistance to global change depend on soil C: N: P stoichiometry. mSystems 2020, 5, e00162-20. [Google Scholar] [CrossRef] [PubMed]
- Alves de Barros, J.; Martins Filho, P.; Paes da Costa, D.; dos Passos Vieira, A.; Rodrigues Araújo, E.; Henrique Leal Lopes, M.; de Souza Júnior, J.H.; Moura da Silva, M.; Hammecker, C.; Medeiros, E.V. Residual effect of biochar on microbial biomass and enzyme activities of soil cultivated with grape varieties: A two-year field assessment. Rev. Bras. Geogr. Física 2024, 17, 2284–2293. [Google Scholar] [CrossRef]
- Luo, X.; Chen, W.; Liu, Q.; Wang, X.; Miao, J.; Liu, L.; Li, F. Corn straw biochar addition elevated phosphorus availability in a coastal salt-affected soil under the conditions of different halophyte litter input and moisture contents. Sci. Tot. Environ. 2024, 908, 168355. [Google Scholar] [CrossRef]
- Stone, M.M.; DeForest, J.L.; Plante, A.F. Changes in extracellular enzyme activity and microbial community structure with soil depth at the Luquillo Critical Zone Observatory. Soil Biol. Biochem. 2014, 75, 237–247. [Google Scholar] [CrossRef]
- Xu, H.; Qu, Q.; Lu, B.; Li, P.; Xue, S.; Liu, G. Response of soil specific enzyme activity to vegetation restoration in the Loess hilly region of China. Catena 2020, 191, 104564. [Google Scholar] [CrossRef]
- Raiesi, F.; Beheshti, A. Soil specific enzyme activity shows more clearly soil responses to paddy rice cultivation than absolute enzyme activity in primary forests of northwest Iran. Appl. Soil Ecol. 2014, 75, 63–70. [Google Scholar] [CrossRef]
- Guzmán-Guzmán, P.; Porras-Troncoso, M.D.; Olmedo-Monfil, V.; Herrera-Estrella, A. Trichoderma species: Versatile plant symbionts. Phytopathology 2019, 109, 6–16. [Google Scholar] [CrossRef]
- Verma, I.; Soni, S.K.; Singh, P.C. Trichoderma produces methyl jasmonate-rich metabolites in the presence of Fusarium, showing biostimulant activity and wilt resistance in tomatoes. Plant Phys. Bioch. 2024, 215, 108953. [Google Scholar] [CrossRef] [PubMed]







| Attributes | Grape Stalk Biochar (GSB) | Grape Fermentation Biochar (GFB) |
|---|---|---|
| pH | 10.44 | 10.28 |
| CEC | 9.0 | 107.9 |
| C (g kg−1) | 332 | 142.8 |
| N (g kg−1) | 7.4 | 21.7 |
| C/N | 44.8 | 6.6 |
| P (g kg−1) | 11.8 | 7.6 |
| K (g kg−1) | 82 | 51.9 |
| Ca (g kg−1) | 13.2 | 6.8 |
| Mg (g kg−1) | 3.6 | 2.0 |
| Na (g kg−1) | 4.6 | 4.5 |
| Si (g kg−1) | 1.2 | 0.1 |
| Fe (mg kg−1) | 5055.9 | 796.0 |
| Cu (mg kg−1) | 26.8 | 29.9 |
| Mn (mg kg−1) | 118.8 | 57.0 |
| Zn (mg kg−1) | 182.8 | 263.2 |
| B (g kg−1) | 29.0 | 20.1 |
| pH | E.C. | Ca2+ | Mg2+ | Na+ | K+ | P | B.S | H+Al | CTC | Al3+ | V% | C | O.M |
|---|---|---|---|---|---|---|---|---|---|---|---|---|---|
| H2O | dS m−1 | Cmolc dm−3 | |||||||||||
| 7.40 | 0.52 | 3.60 | 1.80 | 0.44 | 0.22 | 96.08 | 6.02 | 0.00 | 6.02 | 0.00 | 100 | 10.70 | 18.50 |
Disclaimer/Publisher’s Note: The statements, opinions and data contained in all publications are solely those of the individual author(s) and contributor(s) and not of MDPI and/or the editor(s). MDPI and/or the editor(s) disclaim responsibility for any injury to people or property resulting from any ideas, methods, instructions or products referred to in the content. |
© 2025 by the authors. Licensee MDPI, Basel, Switzerland. This article is an open access article distributed under the terms and conditions of the Creative Commons Attribution (CC BY) license (https://creativecommons.org/licenses/by/4.0/).
Share and Cite
de Lima, E.M.; Martins Filho, A.P.; da Costa, D.P.; de Barros, J.A.; da França, R.F.; de Sousa Lima, J.R.; Duda, G.P.; da Silva, M.M.; Araujo, A.S.F.; Medeiros, E.V.d. Winery Residues Transformed into Biochar and Co-Applied with Trichoderma Increase Grape Productivity and Soil Quality. Sustainability 2025, 17, 4150. https://doi.org/10.3390/su17094150
de Lima EM, Martins Filho AP, da Costa DP, de Barros JA, da França RF, de Sousa Lima JR, Duda GP, da Silva MM, Araujo ASF, Medeiros EVd. Winery Residues Transformed into Biochar and Co-Applied with Trichoderma Increase Grape Productivity and Soil Quality. Sustainability. 2025; 17(9):4150. https://doi.org/10.3390/su17094150
Chicago/Turabian Stylede Lima, Elisiane Martins, Argemiro Pereira Martins Filho, Diogo Paes da Costa, Jamilly Alves de Barros, Rafaela Felix da França, José Romualdo de Sousa Lima, Gustavo Pereira Duda, Mairon Moura da Silva, Ademir Sérgio Ferreira Araujo, and Erika Valente de Medeiros. 2025. "Winery Residues Transformed into Biochar and Co-Applied with Trichoderma Increase Grape Productivity and Soil Quality" Sustainability 17, no. 9: 4150. https://doi.org/10.3390/su17094150
APA Stylede Lima, E. M., Martins Filho, A. P., da Costa, D. P., de Barros, J. A., da França, R. F., de Sousa Lima, J. R., Duda, G. P., da Silva, M. M., Araujo, A. S. F., & Medeiros, E. V. d. (2025). Winery Residues Transformed into Biochar and Co-Applied with Trichoderma Increase Grape Productivity and Soil Quality. Sustainability, 17(9), 4150. https://doi.org/10.3390/su17094150

