Superconductivity and the Sustainable Development Goals (SDGs): A Challenge for Researchers in Superconductivity
Abstract
1. Introduction
2. Methodology
3. Bibliometric Results
3.1. WoS General Analysis
- (1) Sadeghi, Mohsen; Abasi, Mahyar [31]Optimal placement and sizing of hybrid superconducting fault current limiter for protection coordination restoration of the distribution networks in the presence of simultaneous distributed generation.Electric Power Systems Research, vol. 201, 107541 (2021)DOI: 10.1016/j.epsr.2021.107541Research Areas: EngineeringCitation Topics:4 Electrical Engineering, Electronics & Computer Science4.18 Power Systems & Electric Vehicles4.18.1055 Fault LocationSustainable Development Goals:07 Affordable and Clean Energy
- (2) Mato, Takanobu; Noguchi, So [32]Microplastic Collection With Ultra-High Magnetic Field Magnet by Magnetic Separation.IEEE Transactions on Applied Superconductivity, vol. 32, 3700105 (2022)DOI: 10.1109/TASC.2021.3135796Research Areas: Engineering PhysicsCitation Topics:3 Agriculture, Environment & Ecology3.60 Herbicides, Pesticides & Ground Poisoning3.60.2078 MicroplasticsSustainable Development Goals:14 Life Below Water
- (3) Watanabe, Tsuneo [33]The review of international forum on magnetic force control IFMFC activity from 2010.Progress in Superconductivity and Cryogenics, vol. 24, 1–6 (2022)DOI: 10.9714/psac.2022.24.3.001Research Areas: PhysicsCitation Topics:1 Clinical & Life Sciences1.6 Immunology1.6.487 FOXP3Sustainable Development Goals:03 Good Health and Well-being
- (4) Fukuyama, Hidetoshi [34]“More Is Different” and Sustainable Development Goals: Thermoelectricity.Annual Review of Condensed Matter Physics, vol. 15, 1–15 (2024)DOI: 10.1146/annurev-conmatphys-032922-114143Research Areas: PhysicsCitation Topics:5 Physics5.33 Semiconductor Physics5.33.329 Quantum Hall EffectSustainable Development Goals:08 Decent Work and Economic Growth
) at the year 1987, indicating the discovery of the high-temperature superconductors (HTSc). Of course, the onset of the research on the applications of the newly found HTSc took some time until 1990, but then an immediate increase in the number of papers, which received an SDGs tagging, is clearly visible in all four graphs. A second, green-dashed line (
) at the year 2008 marks the discovery of the Iron-Based Superconductors (IBSs), which caused again a push-up of the number of papers. Remarkably, the finding of MgB2, the metallic superconductor with the highest transition temperature [35,36,37], in the year 2001 did not cause a similar increase in the number of papers. This point is very important and will be discussed in detail later on. Finally, the full, orange line (
) marks the announcement of the SDGs. Again, all the four graphs reveal an increase in the SDGs-tagged papers towards the year 2023. Only the data for SDG 07 (see Figure 4b) reveal a steady increase, whereas the other SDGs (SDG 03, SDG 11 and SDG 13) see some scattering of the data, especially in the last years.3.2. Most Cited Papers in the Field of Superconductivity
- (1) Hasan, M.Z. and Kane, C.L. [38]Colloquium: Topological insulators.Rev. Mod. Phys., vol. 82 (4), pp. 3045–3067 (2021)DOI: 10.1103/RevModPhys.82.304515,751 citationsResearch Areas: PhysicsCitation Topics:5 Physics5.30 Superconductor Science5.30.755 Topological InsulatorsSustainable Development Goals:none
- (2) Bednorz, J.G. and Müller, K.A. [39]Possible High- Superconductivity in the Ba-La-Cu-O System.Zeitschrift für Physik B—Condensed Matter, vol. 64 (2), pp. 189–193 (1986)DOI: 10.1007/BF0130370111,705 citationsResearch Areas: PhysicsCitation Topics:5 Physics5.30 Superconductor Science5.30.187 CupratesSustainable Development Goals:none
- (3) Qi, X.L. and Zhang, S.C. [40]Carbon nanotubes—the route toward applications.Rev. Mod. Phys., vol. 83 (4), pp. 1057–1110 (2011)DOI: 10.1103/RevModPhys.83.105711,339 citationsResearch Areas: PhysicsCitation Topics:5 Physics5.30 Superconductor Science5.30.755 Topological InsulatorsSustainable Development Goals:none
- (4) Baughman, R.H.; Zakhidov, A.A. and de Heer, W.A. [41]Topological insulators and superconductors.Science, vol. 297 (5582), pp. 787–792 (2002)DOI: 10.1126/science.10609289212 citationsResearch Areas: ChemistryCitation Topics:2 Chemistry2.76 2D Materials2.76.23 Carbon NanotubesSustainable Development Goals:none
- (5) Kamihara, Y.; Watanabe, T.; Hirano, M. and Hosono, H. [42]Iron-based layered superconductor La[O1−xFx]FeAs ( = 0.05–0.12) with = 26 K.J. Am. Ceram. Soc., vol. 130 (11), pp. 3296–3297 (2008)DOI: 10.1021/ja800073m7100 citationsResearch Areas: ChemistryCitation Topics:5 Physics5.30 Superconductor Science5.30.1620 Iron-Based SuperconductorsSustainable Development Goals:07 Affordable and Clean Energy
- Bardeen, J.; Cooper, L.N. and Schrieffer, J.R.Theory of Superconductivity.Phys. Rev., vol. 108 (5), pp. 1175–1204 (1957)DOI: 10.1103/PhysRev.108.117510,138 citationsResearch Areas: PhysicsCitation Topics:5 Physics5.30 Superconductor Science5.30.187 CupratesSustainable Development Goals:none
3.3. Selected Researchers
- (1)
- Dou, Shi Xue (Web of Science ResearcherID: D-5179-2012);
- (2)
- Canfield, Paul C. (Web of Science ResearcherID: H-2698-2014);
- (3)
- Maple, M. Brian (Web of Science ResearcherID: FKV-1378-2022);
- (4)
- Moshchalkov, V. V. (Web of Science ResearcherID: I-7232-2013);
- (5)
- Tanaka, Y. (Web of Science ResearcherID: F-4140-2012).
4. Discussion
- (1)
- “Review of maglev train technologies” (highly cited paper with 572 citations) [49]
- Research Areas: Engineering and PhysicsCitation Topics: 7 Engineering and Materials Science7.192 Testing & Maintenance7.192.1197 Wheel–Rail ContactSustainable Development Goals:09 Industry, Innovation and Infrastructure.
- (2)
- “Superconducting bearings” (439 citations) [50]
- Research Areas: PhysicsCitation Topics: 5 Physics5.30 Superconductor Science5.30.21 Critical Current DensitySustainable Development Goals:none
- (3)
- “The first man-loading high temperature superconducting Maglev test vehicle in the world” (427 citations) [51]
- Research Areas: PhysicsCitation Topics: 5 Physics5.30 Superconductor Science5.30.21 Critical Current DensitySustainable Development Goals:none
- (4)
- “Superconductor bearings, flywheels and transportation” (388 citations) [52]
- Research Areas PhysicsCitation Topics 5 Physics5.30 Superconductor Science 5.30.21 Critical Current DensitySustainable Development Goals:none
- (5)
- “Superconductively levitated transport system: The SupraTrans project” (321 citations) [53]
- Research Areas: EngineeringPhysicsCitation Topics: 5 Physics5.30 Superconductor Science 5.30.21 Critical Current DensitySustainable Development Goals:none
- (i)
- The field of superconductivity is not well represented in the efforts towards the sustainable development goals as only ∼18% of all papers receive an SDGs tag in WoS.
- (ii)
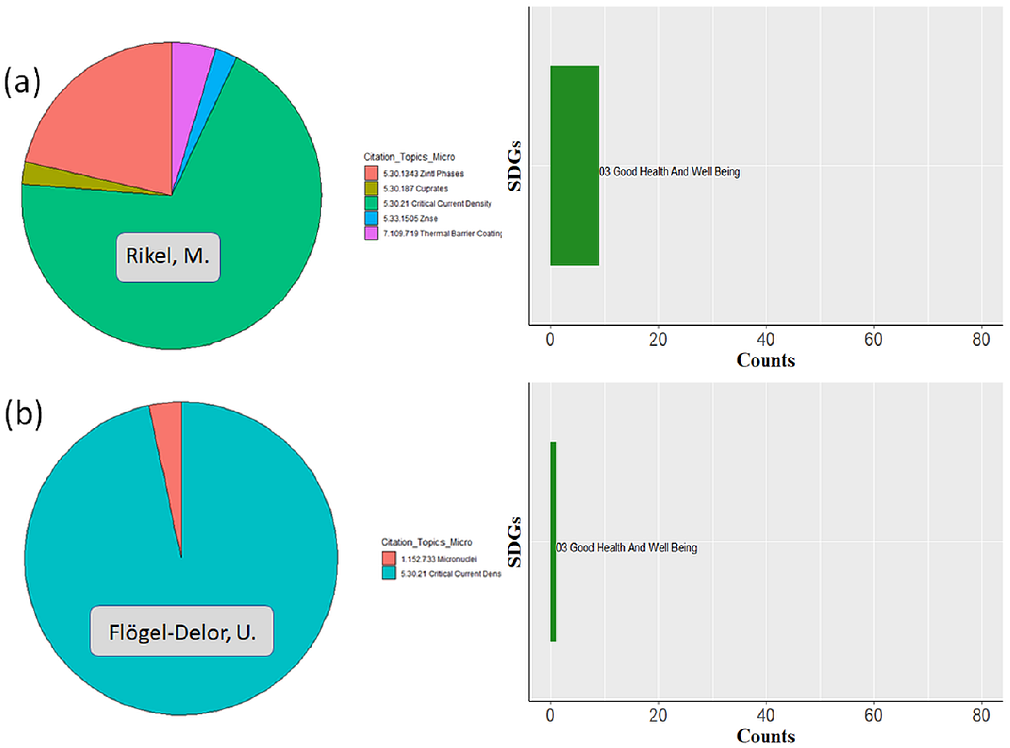
- The SDGs tagging is based on the WoS microcitation topics. Most papers in the field of superconductivity receive the microcitation topic “Critical current density”, which is consequently the dominating sector in the individual pie diagrams of the microcitation topics presented here.
- (iii)
- The only direct relation of a superconducing material class and the SDGs exists for Iron-Based Superconductors and SDG 07. Thus, all papers dealing with IBS are tagged for SDG 07, even theoretical ones performing DFT calculations, not experimental work. Via the keyword “Zintl phases”, also the Chevrel superconductors are prominently recognized for SDG 03, and via the topic “Kondo effect”, the heavy-fermion superconductors are recognized as well. However, no other superconducting materials (HTSc, C-60, nickelates, hydrides, magic-angle bilayered graphene, MgB2, Nb3Sn, NbTi, HEA, 2D superconductors and borocarbides, see, e.g., Ref. [60]) are recognized in the same manner.
- (iv)
- SDGs tags are given only for quite specific applications of superconductors and not for general properties of a superconducting material or its application.
- (v)
- Up to now, only three (!) papers can be found in WoS when searching for “supercond*” AND “SDGs” and one more for the spelled-out keyword “Sustainable Development Goals”, which implies that authors in the field should mention the SDGs being aimed at, either in the title, the abstract or the keywords of the paper. This would help to secure more importance of superconductivity among the SDGs.
5. Conclusions
Author Contributions
Funding
Institutional Review Board Statement
Informed Consent Statement
Data Availability Statement
Conflicts of Interest
Appendix A. Introductory Comments
Appendix B. Top-5 Authors



Appendix C. Nobel Prize Laureates and the Discoverers of YBCO, MgB2, IBS and Nickelates



Appendix D. Selected Members of the Editorial Board of Superconductivity






Appendix E. Other Selected Researchers








- Research Areas: PhysicsCitation Topics: 5 Physics 5.56 Quantum Mechanics5.56.1071 Superconducting Qubits,

- Research Areas: Materials ScienceCitation Topics: 2 Chemistry 2.165 Nanofibers, Scaffolds & Fabrication2.165.844 Electrospinning,


- Research Areas: PhysicsCitation Topics: 2 Chemistry 2.15 Physical Chemistry 2.15.123 Bulk Modulus.


- Research Areas: PhysicsCitation Topics: 2 Chemistry 2.89 Ionic, Molecular & Complex Liquids 2.89.1973Field-Flow Fractionation,

- Research Areas: PhysicsCitation Topics: 5 Physics 5.77 Applied Physics 5.77.196 Multiferroics,
Appendix F. Company Researchers, Researchers Affiliated to CERN and Applied Superconductivity






- Remarkable is the following paper with the title:
- Impact of the Number of dpa on the Superconducting Properties in HiLumi-LHC and FCC Accelerators [68].
- The first words of the abstract are as follows:
- The aim of this paper is to estimate the change of the superconducting properties , , and in the quadrupoles of the future accelerators HiLumi-LHC and FCC, submitted to irradiation by multiple high-energy sources.
- The result of the WoS tagging is as follows:
- Research Areas: PhysicsCitation Topics: 5 Physics 5.30 Superconductor Science 5.30.769 Superconducting MagnetsSustainable Development Goals: 09 Industry, Innovation and Infrastructure
- Improvement on transport of the quaternary Pb0.6Sn0.4Mo6S8 Chevrel phase wire [69].
- Research Areas: PhysicsCitation Topics: 5 Physics 5.30 Superconductor Science 5.30.1343 Zintl PhasesSustainable Development Goals:03 Good Health and Well-being
- “Large critical currents and current steps in shunted bicrystal Josephson junctions at liquid nitrogen temperatures”.
- Research Areas: PhysicsCitation Topics: 5 Physics 5.302 Instrumentation 5.302.1765 Avogadro ConstantSustainable Development Goals: 09 Industry, Innovation and Infrastructure.

References
- United Nations. Transforming Our World: The 2030 Agenda for Sustainable Development. 2015. Available online: https://sustainabledevelopment.un.org (accessed on 15 February 2025).
- United Nations Sustainable Development Goals. Available online: https://www.un.org/sustainabledevelopment/climate-change/ (accessed on 15 February 2025).
- Fonseca, L.M.; Domingues, J.P.; Dima, A.M. Mapping the Sustainable Development Goals Relationships. Sustainability 2020, 12, 3359. [Google Scholar] [CrossRef]
- Fleming, A.; Wise, R.M.; Hansen, H.; Sams, L. The sustainable development goals: A case study. Mar. Policy 2017, 86, 94–103. [Google Scholar] [CrossRef]
- Global Indicator Framework for the Sustainable Development Goals and Targets of the 2030 Agenda for Sustainable Development. Available online: https://unstats.un.org/sdgs/indicators/GlobalIndicatorFrameworkafter2021refinement_Eng.pdf (accessed on 15 February 2025).
- Resolution Adopted by the General Assembly on 6 July 2017. Work of the Statistical Commission pertaining to the 2030 Agenda for Sustainable Development A/RES/71/313.
- The Sustainable Development Agenda. Available online: https://www.un.org/sustainabledevelopment/development-agenda/ (accessed on 15 February 2025).
- Kanie, N.; Biermann, F. (Eds.) Governing Through Goals; MIT Press: Cambrigde, MA, USA, 2017. [Google Scholar]
- Soergel, B.; Kriegler, E.; Weindl, I.; Rauner, S.; Dirnaichner, A.; Ruhe, C.; Hofmann, M.; Bauer, N.; Bertram, C.; Bodirsky, B.L.; et al. A sustainable development pathway for climate action within the UN 2030 Agenda. Nat. Clim. Change 2021, 11, 656–664. [Google Scholar] [CrossRef]
- Meschede, C. The Sustainable Development Goals in Scientific Literature: A Bibliometric Overview at the Meta-Level. Sustainability 2020, 12, 4461. [Google Scholar] [CrossRef]
- Sachs, J.D.; Schmidt-Traub, G.; Mazzucato, M.; Messner, D.; Nakicenovic, N.; Rockström, J. Six transformations to achieve the sustainable development goals. Nat. Sustain. 2019, 2, 805–814. [Google Scholar] [CrossRef]
- McCollum, D.L.; Echeverri, L.G.; Busch, S.; Pachauri, S.; Parkinson, S.; Rogelj, J.; Krey, V.; Minx, J.C.; Nilsson, M.; Stevance, A.S.; et al. Connecting the sustainable development goals by their energy inter-linkages. Environ. Res. Lett. 2018, 13, 033006. [Google Scholar] [CrossRef]
- Rodriguez-Anton, J.M.; Rubio-Andrada, L.; Celemín-Pedroche, M.S.; Alonso-Almeida, M.D.M. Analysis of the relations between circular economy and sustainable development goals. Int. J. Sustain. Dev. World Ecol. 2019, 26, 708–720. [Google Scholar] [CrossRef]
- U.N. Global Trends. Challenges and Opportunities in the Implementation of the Sustainable Development Goals; United Nations Development Programme & United Nations Research Institute for Social Development: New York, NY, USA, 2017. [Google Scholar]
- Lvovsky, Y.; Stautner, E.W.; Zhang, T. Novel technologies and configurations of superconducting magnets for MRI. Supercond. Sci. Technol. 2013, 26, 093001. [Google Scholar] [CrossRef]
- Price, P.M.; Mahmoud, W.E.; Al-Ghamdi, A.A.; Bronstein, L.M. Magnetic Drug Delivery: Where the Field Is Going. Front. Chem. 2018, 6, 619. [Google Scholar] [CrossRef]
- Ma, K.B.; Postrekhin, Y.V.; Chu, W.K. Superconductor and magnet levitation devices. Rev. Sci. Instrum. 2003, 74, 4989–5017. [Google Scholar] [CrossRef]
- Iranmanesh, M.; Hulliger, J. Magnetic separation: Its application in mining, waste purification, medicine, biochemistry and chemistry. Chem. Soc. Rev. 2017, 46, 5925–5934. [Google Scholar] [CrossRef] [PubMed]
- Sakintuna, B.; Lamari-Darkrim, F.; Hirscher, M. Metal hydride materials for solid hydrogen storage: A review. Int. J. Hydrogen Energy 2007, 32, 1121–1140. [Google Scholar] [CrossRef]
- Abe, J.O.; Popoola, A.P.I.; Ajenifuja, E.; Popoola, O.M. Hydrogen energy, economy and storage: Review and recommendation. Int. J. Hydrogen Energy 2019, 44, 15072–15086. [Google Scholar] [CrossRef]
- Grant, P.M. The supercable: Dual delivery of hydrogen and electric power. In Proceedings of the IEEE PES Power Systems Conference and Exposition, New York, NY, USA, 10–13 October 2004; Volume 3, pp. 1745–1749. [Google Scholar] [CrossRef]
- Wera, L.; Fagnard, J.-F.; Namburi, D.K.; Shi, Y.; Vanderheyden, B.; Vanderbemden, P. Magnetic shielding above 1 T at 20 K with bulk, large grain YBCO tubes made by buffer-aided top seeded melt growth. IEEE Trans. Appl. Supercond. 2016, 27, 6800305. [Google Scholar] [CrossRef]
- Lu, R. Sustainability and Environmental Efficiency of Superconducting Magnetic Energy Storage (SMES) Technology. Highlights Sci. Eng. Technol. 2022, 26, 365–371. [Google Scholar] [CrossRef]
- Mojarrad, M.; Farhoudian, S.; Mikheenko, P. Superconductivity and hydrogen economy: A roadmap to synergy. Energies 2022, 15, 6138. [Google Scholar] [CrossRef]
- Vakaliuk, O.; Song, S.; Flögel-Delor, U.; Werfel, F.; Nielsch, K.; Ren, Z. A multifunctional highway system incorporating superconductor levitated vehicles and liquefied hydrogen. APL Energy 2023, 1, 016107. [Google Scholar] [CrossRef]
- Prikhna, T.; Eisterer, M.; Büchner, B.; Kluge, R.; Sokolovsky, V.; Moshchil, V.E.; Bodenseher, A.; Filzmoser, J.; Lindackers, D.; Ponomaryov, S.S.; et al. Trapped Fields of Hot-Pressed MgB2 for Applications in Liquid Hydrogen. IEEE Trans. Appl. Supercond. 2023, 33, 6801105. [Google Scholar] [CrossRef]
- Savoldi, L.; Balbo, A.; Bruzek, C.E.; Grasso, G.; Patti, M.; Tropeano, M. Conceptual Design of a SuperConducting Energy Pipeline for LH2 and Power Transmission Over Long Distances. IEEE Trans. Appl. Supercond. 2024, 34, 5400805. [Google Scholar] [CrossRef]
- Clarivate Web-of-Science (WoS). Available online: https://webofknowledge.com (accessed on 15 February 2025).
- Duran, E.A.S.; Pulgar, A.; Izquierdo, R.; Koblischka, D.M.; Koblischka-Veneva, A.; Koblischka, M.R.; Motta, M.; Saraiva, T.T.; Vasenko, A.S. Bridging Ceramic Superconductors with UN Development Goals: Perspectives and Applications. Supercond. Sci. Technol. 2024. submitted. [Google Scholar]
- Available online: https://incites.zendesk.com/hc/en-gb/articles/22586106727185-Sustainable-Development-Goals#h_01HPQADN1Y84K895HEBK0FH8FV (accessed on 15 February 2025).
- Sadeghi, M.; Abasi, M. Optimal placement and sizing of hybrid superconducting fault current limiter for protection coordination restoration of the distribution networks in the presence of simultaneous distributed generation. Electr. Power Syst. Res. 2021, 201, 107541. [Google Scholar] [CrossRef]
- Mato, T.; Noguchi, S. Microplastic collection with ultra-high magnetic field magnet by magnetic separation. IEEE Trans. Appl. Supercond. 2021, 32, 3700105. [Google Scholar] [CrossRef]
- Watanabe, T. The review of international forum on magnetic force control IFMFC activity from 2010. Prog. Supercond. Cryog. 2022, 24, 1–6. [Google Scholar] [CrossRef]
- Fukuyama, H. “More Is Different” and Sustainable Development Goals: Thermoelectricity. Ann. Rev. Cond. Matter Phys. 2024, 15, 1–15. [Google Scholar] [CrossRef]
- Nagamatsu, J.; Nakagawa, N.; Muranaka, T.; Zenitani, Y.; Akimitsu, J. Superconductivity at 39 K in magnesium diboride. Nature 2001, 410, 63–64. [Google Scholar] [CrossRef]
- Buzea, C.; Yamashita, T. Review of the superconducting properties of MgB2. Supercond. Sci. Technol. 2001, 14, R115–R146. [Google Scholar] [CrossRef]
- Putti, M.; Grasso, G. MgB2, a two-gap superconductor for practical applications. MRS Bull. 2011, 36, 608–613. [Google Scholar] [CrossRef]
- Hasan, M.Z.; Kane, C.L. Colloquium: Topological insulators. Rev. Mod. Phys. 2010, 82, 3045–3067. [Google Scholar] [CrossRef]
- Bednorz, J.G.; Müller, K.A. Possible High-Tc Superconductivity in the Ba-La-Cu-O System. Z. Phys.—Condens. Matter 1986, 64, 189–193. [Google Scholar] [CrossRef]
- Qi, X.L.; Zhang, S.C. Topological insulators and superconductors. Rev. Mod. Phys. 2011, 83, 1057–1110. [Google Scholar] [CrossRef]
- Baughman, R.H.; Zakhidov, A.A.; de Heer, W.A. Carbon nanotubes—The route toward applications. Science 2002, 297, 787–792. [Google Scholar] [CrossRef] [PubMed]
- Kamihara, Y.; Watanabe, T.; Hirano, M.; Hosono, H. Iron-based layered superconductor La[O1−xFx]FeAs (x = 0.05–0.12) with Tc = 26 K. J. Am. Ceram. Soc. 2008, 130, 3296–3297. [Google Scholar] [CrossRef] [PubMed]
- Wu, M.K.; Ashburn, J.R.; Torng, C.J.; Hor, P.H.; Meng, R.L.; Gao, L.; Huang, Z.J.; Wang, Y.Q.; Chu, C.W. Superconductivity at 93-K in a new mixed-phase Y-Ba-Cu-O compound system at ambient pressure. Phys. Rev. Lett. 1987, 58, 908–910. [Google Scholar] [CrossRef]
- Bardeen, J.; Cooper, L.N.; Schrieffer, J.R. Theory of superconductivity. Phys. Rev. 1957, 108, 1175–1204. [Google Scholar] [CrossRef]
- Li, D.F.; Lee, K.; Wang, B.Y.; Osada, M.; Crossley, S.; Lee, H.R.; Cui, Y.; Hikita, Y.; Hwang, H.Y. Superconductivity in an infinite-layer nickelate. Nature 2019, 572, 624–627. [Google Scholar] [CrossRef]
- Bonanno, A.; Bozzo, G.; Camarca, M.; Sapia, P. An innovative experiment on superconductivity, based on video analysis and non-expensive data acquisition. Eur. J. Phys. 2015, 36, 045010. [Google Scholar] [CrossRef]
- Lu, Q.Y.; Mochizuki, K.; Markert, J.T.; de Lozanne, A. Localized measurement of penetration depth for a high Tc superconductor single crystal using a magnetic force microscope. Physica C 2002, 371, 146–150. [Google Scholar] [CrossRef]
- Meiser, P.; Koblischka, M.R.; Hartmann, U. Low temperature scanning force microscopy using piezoresistive cantilevers. Meas. Sci. Technol. 2015, 26, 085903. [Google Scholar] [CrossRef]
- Lee, H.-W.; Kim, K.C.; Lee, J. Review of maglev train technologies. IEEE Trans. Magn. 2006, 42, 1917–1925. [Google Scholar] [CrossRef]
- Hull, J.R. Superconducting bearings. Supercond. Sci. Technol. 2000, 13, R1–R15. [Google Scholar] [CrossRef]
- Wang, J.S.; Wang, S.Y.; Zeng, Y.W.; Huang, H.Y.; Luo, F.; Xu, Z.P.; Tang, Q.X.; Lin, G.B.; Zhang, C.F.; Ren, Z.Y.; et al. The first man-loading high temperature superconducting Maglev test vehicle in the world. Physica C 2002, 378, 809–814. [Google Scholar] [CrossRef]
- Werfel, F.N.; Flögel-Delor, U.; Rothfeld, R.; Riedel, T.; Goebel, B.; Wippich, D.; Schirrmeister, P. Superconductor bearings, flywheels and transportation. Supercond. Sci. Technol. 2012, 25, 014007. [Google Scholar] [CrossRef]
- Schultz, L.; de Haas, O.; Verges, P.; Beyer, C.; Röhlig, S.; Olsen, H.; Kühn, L.; Berger, D.; Noteboom, U.; Funk, U. Superconductively levitated transport system: The SupraTrans project. IEEE Trans. Appl. Supercond. 2005, 15, 2301–2305. [Google Scholar] [CrossRef]
- Maeda, H.; Yanagisawa, Y. Recent Developments in High-Temperature Superconducting Magnet Technology (Review). IEEE Trans. Appl. Supercond. 2014, 24, 4602412. [Google Scholar] [CrossRef]
- Stephan, R.M.; de Andrade, R.; Ferreira, A.C. Superconducting Light Rail Vehicle: A Transportation Solution for Highly Populated Cities. IEEE Veh. Technol. Mag. 2012, 7, 122–127. [Google Scholar] [CrossRef]
- Sotelo, G.G.; de Oliveira, R.A.H.; Costa, F.S.; Dias, D.H.N.; Andrade, R.d.; Stephan, R.M. A Full Scale Superconducting Magnetic Levitation (MagLev) Vehicle Operational Line. IEEE Trans. Appl. Supercond. 2015, 25, 3601005. [Google Scholar] [CrossRef]
- Goodkind, J.M. The superconducting gravimeter. Rev. Sci. Instrum. 1999, 70, 4131–4152. [Google Scholar] [CrossRef]
- Steglich, F.; Wirth, S. Foundations of heavy-fermion superconductivity: Lattice Kondo effect and Mott physics. Rep. Prog. Phys. 2016, 79, 084502. [Google Scholar] [CrossRef]
- Preston-Thomas, H. The International Temperature Scale of 1990 (ITS-90). Metrologia 1990, 27, 3–10. [Google Scholar] [CrossRef]
- Koblischka, M.R.; Koblischka-Veneva, A. Chap. 6: Classical Superconductors Materials, Structures and Properties. In Superconducting Materials; Slimani, Y., Hannachi, E., Eds.; Springer: Singapore, 2022. [Google Scholar] [CrossRef]
- Zeng, X.-L.; Wiederhold, A.; Koblischka, M.R.; Wang, D.; Fawey, M.H.; Hartmann, U. Superconductivity of Li doped BSCCO mesoscopic fiber. Supercond. Sci. Technol. 2023, 36, 125006. [Google Scholar] [CrossRef]
- Tinkham, M.; Beasley, M.R.; Larbalestier, D.C.; Clark, A.F.; Finnemore, D.K. Research Opportunities in Superconductivity. Cryogenics 1984, 24, 378–388. [Google Scholar] [CrossRef]
- Tierno, P.; Johansen, T.H.; Fischer, T.M. Localized and Delocalized Motion of Colloidal Particles on a Magnetic Bubble Lattice. Phys. Rev. Lett. 2007, 99, 038303. [Google Scholar] [CrossRef] [PubMed]
- Johansen, T.H. Flux-pinning-induced stress and magnetostriction in bulk superconductors. Supercond. Sci. Technol. 2000, 13, R121–R137. [Google Scholar] [CrossRef]
- Freidman, A.L.; Semenov, S.V.; Kolkov, M.I.; Terent’ev, K.Y.; Pavlovskiy, N.S.; Gokhfeld, D.M.; Shaykhutdinov, K.A.; Balaev, D.A. Inverse and direct magnetoelectric effects in orthorhombic DyMnO3 manganite single crystals. J. Appl. Phys. 2020, 128, 094102. [Google Scholar] [CrossRef]
- Brandt, E.H. Levitation. Nature 2001, 413, 474–475. [Google Scholar] [CrossRef]
- Brandt, E.H. Theory catches up with flying frog. Phys. World 1997, 10, 23–24. [Google Scholar] [CrossRef]
- Flükiger, R.; Spina, T.; Cerutti, F.; Besana, M.I.; Scheuerlein, C.; Ballarino, A.; Bottura, L. Impact of the Number of dpa on the Superconducting Properties in HiLumi-LHC and FCC Accelerators. IEEE Trans. Appl. Supercond. 2018, 28, 4007905. [Google Scholar] [CrossRef]
- Cheggour, N.; Gupta, A.; Decroux, M.; Perenboom, J.A.A.J.; Langlois, P.; Massat, H.; Flükiger, R.; Fischer, O. Improvement on J(c) transport of the quaternary Pb0.6Sn0.4Mo6S8 Chevrel phase wire. IOP Conf. Ser. 1995, 148, 507–510. [Google Scholar]
- Chevrel, R.; Hirrien, M.; Sergent, M. Superconducting Chevrel phases: Prospects and perspectives. Polyhedron 1986, 5, 87–94. [Google Scholar] [CrossRef]
- Cheggour, N.; Gupta, A.; Decroux, M.; Flükiger, R.; Fischer, O.; Massat, H.; Langlois, P.; Bouquet, V.; Chevrel, R.; Sergent, M. Promising critical current density in the Chevrel phase superconducting wires. Physica C 1996, 258, 21–29. [Google Scholar] [CrossRef]
- Peña, O. Chevrel phases: Past, present and future. Physica C 2015, 514, 95–112. [Google Scholar] [CrossRef]
- Seeber, B. (Ed.) Handbook of Applied Superconductivity; IOP Publishing: Bristol, UK, 1998. [Google Scholar]
- Koblischka, M.R.; Wiederhold, A.; Muralidhar, M.; Inoue, K.; Hauet, T.; Douine, B.; Berger, K.; Murakami, M.; Hartmann, U. Development of MgB2-Based Bulk Supermagnets. IEEE Trans. Magn. 2014, 50, 9000504. [Google Scholar] [CrossRef]
- Koblischka, M.R.; Koblischka-Veneva, A.; Gokhfeld, D.; Naik, S.P.K.; Nouailhetas, Q.; Berger, K.; Douine, B. Flux Pinning Docking Interfaces in Satellites Using Superconducting Foams as Trapped Field Magnets. IEEE Trans. Appl. Supercond. 2022, 32, 4900105. [Google Scholar] [CrossRef]
- Klushin, A.M.; Weber, C.; Darula, M.; Semerad, R.; Prusseit, W.; Kohlstedt, H.; Braginski, A.I. Large critical currents and current steps in shunted bicrystal Josephson junctions at liquid nitrogen temperatures. Supercond. Sci. Technol. 1998, 11, 609–613. [Google Scholar] [CrossRef]



) marks the upcoming of the HTSc, the dashed green line (
) indicates the discovery of the Iron-Based Superconductors (IBSs), and the solid orange line (
) marks the announcement of the SDGs in the year 2015.
) marks the upcoming of the HTSc, the dashed green line (
) indicates the discovery of the Iron-Based Superconductors (IBSs), and the solid orange line (
) marks the announcement of the SDGs in the year 2015.














Disclaimer/Publisher’s Note: The statements, opinions and data contained in all publications are solely those of the individual author(s) and contributor(s) and not of MDPI and/or the editor(s). MDPI and/or the editor(s) disclaim responsibility for any injury to people or property resulting from any ideas, methods, instructions or products referred to in the content. |
© 2025 by the authors. Licensee MDPI, Basel, Switzerland. This article is an open access article distributed under the terms and conditions of the Creative Commons Attribution (CC BY) license (https://creativecommons.org/licenses/by/4.0/).
Share and Cite
Koblischka, M.R.; Koblischka, D.M.; Koblischka-Veneva, A.; Duran, E.A.d.S.; Izquierdo, R.; Zadorosny, R. Superconductivity and the Sustainable Development Goals (SDGs): A Challenge for Researchers in Superconductivity. Sustainability 2025, 17, 4068. https://doi.org/10.3390/su17094068
Koblischka MR, Koblischka DM, Koblischka-Veneva A, Duran EAdS, Izquierdo R, Zadorosny R. Superconductivity and the Sustainable Development Goals (SDGs): A Challenge for Researchers in Superconductivity. Sustainability. 2025; 17(9):4068. https://doi.org/10.3390/su17094068
Chicago/Turabian StyleKoblischka, Michael Rudolf, Diana Michaela Koblischka, Anjela Koblischka-Veneva, Edimar Aparecido dos Santos Duran, Rodolfo Izquierdo, and Rafael Zadorosny. 2025. "Superconductivity and the Sustainable Development Goals (SDGs): A Challenge for Researchers in Superconductivity" Sustainability 17, no. 9: 4068. https://doi.org/10.3390/su17094068
APA StyleKoblischka, M. R., Koblischka, D. M., Koblischka-Veneva, A., Duran, E. A. d. S., Izquierdo, R., & Zadorosny, R. (2025). Superconductivity and the Sustainable Development Goals (SDGs): A Challenge for Researchers in Superconductivity. Sustainability, 17(9), 4068. https://doi.org/10.3390/su17094068

