Digital Pathways to Sustainable Agriculture: Examining the Role of Agricultural Digitalization in Green Development in China
Abstract
1. Introduction
2. Theoretical Analysis and Research Hypotheses
2.1. The Empowering Role of Agricultural Digitalization in Green Agricultural Development: Why It Works
2.2. The Empowering Role of Agricultural Digitalization in Green Agricultural Development: How It Works
3. Research Design
3.1. Variable Selection
3.1.1. Dependent Variable
3.1.2. Core Explanatory Variable
3.1.3. Control Variables
3.1.4. Moderating Variables
3.2. Data Sources
3.3. Descriptive Analysis
3.4. Model Specification
3.4.1. Two-Way Fixed Effects Model
3.4.2. Semiparametric Model
3.4.3. Spatial Spillover Effect Model
3.4.4. Quantile Regression Model
4. Empirical Analysis
4.1. Overall Impact Effect Analysis
4.2. Robustness Checks
- (1)
- Correlation between explanatory variables and residuals
- (2)
- Robustness tests
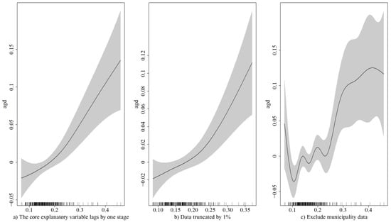
- Lagged core explanatory variable. Considering the potential interdependencies between variables within the same period, this study lags the agricultural digitalization variable by one period and examines its impact on green agricultural development. The results are presented in Table 4 (1). The findings indicate that agricultural digitalization significantly promotes green agricultural development at the 1% significance level. As shown in Figure 3a, the effect gradually increases, supporting the robustness of the results.
- A 1% data truncation. To address the potential influence of extreme values on the regression outcomes, a 1% truncation is applied to the data, excluding the most extreme outliers. This approach enhances the reliability of the regression results and ensures that the analysis reflects the general characteristics of the majority of the data. The empirical results are shown in Table 4 (2). The findings suggest that agricultural digitalization significantly promotes green agricultural development at the 5% significance level. As illustrated in Figure 3b, the impact effect steadily increases, confirming the robustness of the results.
- Exclusion of data from municipalities directly under central government. Given the substantial differences in administrative levels, economic development, and population sizes between municipalities directly under the central government (e.g., Beijing, Shanghai, Tianjin, and Chongqing) and other regions, excluding these data helps avoid potential distortions in the overall analysis. The results, excluding the municipal data, are presented in Table 4 (3). The results indicate that agricultural digitalization significantly promotes green agricultural development at the 1% significance level. As depicted in Figure 3c, the impact effect shows a fluctuating upward trend, confirming the robustness of the results. However, the observed continuous fluctuations may stem from the larger economic scale and higher population density in municipalities, which could influence the performance of certain variables.
4.3. Heterogeneity Analysis
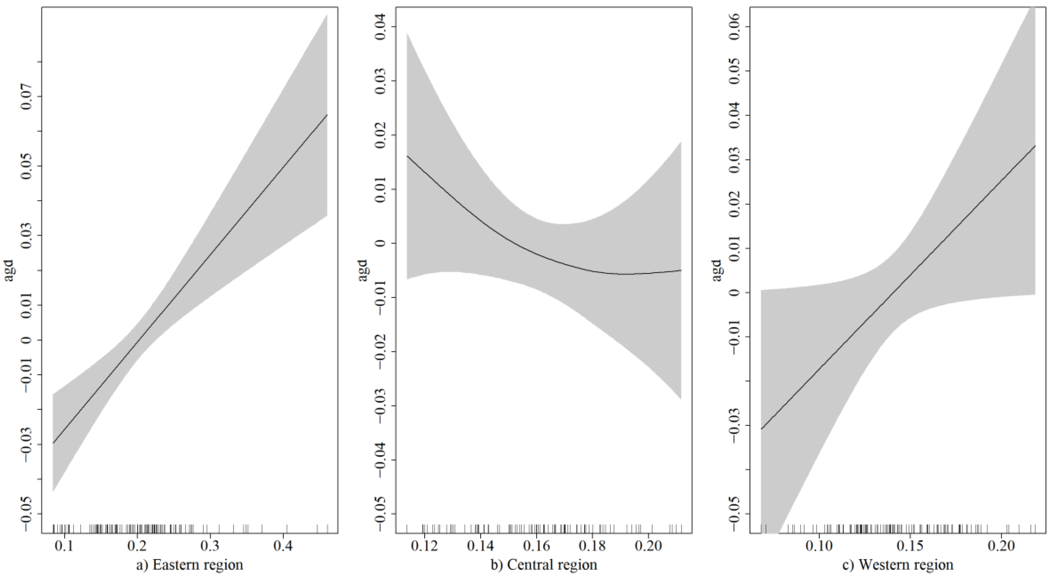
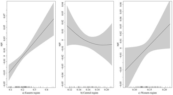
4.3.1. Regional Heterogeneity
4.3.2. Heterogeneity of Green Agricultural Development Levels
5. Mechanism Test
6. Further Analysis: Spatial Spillover Effect Analysis
7. Conclusions and Policy Recommendations
7.1. Research Conclusions
7.2. Policy Suggestion
7.3. Discussion
Author Contributions
Funding
Institutional Review Board Statement
Informed Consent Statement
Data Availability Statement
Conflicts of Interest
References
- Shen, Z.; Wang, S.; Boussemart, J.-P.; Hao, Y. Digital transition and green growth in Chinese agriculture. Technol. Forecast. Soc. Change 2022, 181, 121742. [Google Scholar] [CrossRef]
- CCTV News. Key Points of the 2024 No. 1 Central Document. China Rural Sci. Technol. 2024, 3, 6–10. [Google Scholar]
- General Office of the CPC Central Committee. Opinions on Innovating Institutional Mechanisms to Promote Green Agricultural Development. In Gazette of the Ministry of Agriculture and Rural Affairs of the People’s Republic of China; Ministry of Agricultur and Rural Affairs of the People’s Republic of China: Beijing, China, 2017; pp. 4–9. [Google Scholar]
- Jin, S.; Lin, Y.; Luan, J. Agricultural Green Development Now Has Clear Guidelines: An Interpretation of the 14th Five-Year National Plan for Agricultural Green Development; China Development Observation: Beijing, China, 2021; pp. 47–49. [Google Scholar]
- Han, A.; Liu, P.; Wang, B.; Zhu, A. E-commerce development and its contribution to agricultural non-point source pollution control: Evidence from 283 cities in China. J. Environ. Manag. 2023, 344, 118613. [Google Scholar] [CrossRef] [PubMed]
- Zhai, X.; Luo, Y. Can Urban Internet Development Attract Labor Force? Evidence from Chinese Cities. Sustainability 2025, 17, 260. [Google Scholar] [CrossRef]
- Pauschinger, D.; Klauser, F.R. The introduction of digital technologies into agriculture: Space, materiality and the public–private interacting forms of authority and expertise. J. Rural Stud. 2022, 91, 217–227. [Google Scholar] [CrossRef]
- Chen, X.; Wang, Q.; Wang, S. Enterprise digital transformation and bank credit loans—Empirical evidence from listed companies in China. Pac. Basin Financ. J. 2025, 90, 102672. [Google Scholar] [CrossRef]
- Ullah, A.; Dogan, M.; Pervaiz, A.; Ather Bukhari, A.A.; Akkus, H.T.; Dogan, H. The impact of digitalization, technological and financial innovation on environmental quality in OECD countries: Investigation of N-shaped EKC hypothesis. Technol. Soc. 2024, 77, 102484. [Google Scholar] [CrossRef]
- Moreno, J.C.; Berenguel, M.; Donaire, J.G.; Rodríguez, F.; Sánchez-Molina, J.A.; Guzmán, J.L.; Giagnocavo, C.L. A pending task for the digitalisation of agriculture: A general framework for technologies classification in agriculture. Agric. Syst. 2024, 213, 103794. [Google Scholar] [CrossRef]
- Zhou, F. The impact of digital economy development on agricultural carbon emissions—Empirical research based on Chinese data. Appl. Econ. Lett. 2024, 1–8. [Google Scholar] [CrossRef]
- Wang, Y.; Qian, Y. Driving factors to agriculture total factor productivity and its contribution to just energy transition. Environ. Impact Assess. Rev. 2024, 105, 107369. [Google Scholar] [CrossRef]
- Kumar, N.; Maiti, D. Long-run macroeconomic impact of climate change on total factor productivity—Evidence from emerging economies. Struct. Change Econ. Dyn. 2024, 68, 204–223. [Google Scholar] [CrossRef]
- Yang, C.; Ji, X.; Cheng, C.; Liao, S.; Obuobi, B.; Zhang, Y. Digital economy empowers sustainable agriculture: Implications for farmers’ adoption of ecological agricultural technologies. Ecol. Indic. 2024, 159, 111723. [Google Scholar] [CrossRef]
- Hu, Y.; Liu, J.; Zhang, S.; Liu, Y.; Xu, H.; Liu, P. New mechanisms for increasing agricultural total factor productivity: Analysis of the regional effects of the digital economy. Econ. Anal. Policy 2024, 83, 766–785. [Google Scholar] [CrossRef]
- Feng, J.; Wang, Y. Does digital inclusive finance promote agricultural development?A test based on threshold and spillover effects. Financ. Res. Lett. 2024, 69, 106104. [Google Scholar] [CrossRef]
- Hu, M.; Chen, G.; Li, Z. The Progress and Framework of Ecological Welfare Performance Within the Context of the “Dual Carbon” Goal: A Comprehensive Literature Review. Sustainability 2025, 17, 410. [Google Scholar] [CrossRef]
- Liu, J.; Fan, X.; Li, X.; Zheng, Y.; Li, Y.; Cui, C.; Bai, Z.; Ma, L.; Zhai, B.; Li, Z. Responses of different agricultural structures to nitrogen loss and agricultural green development in Northwest China. Agric. Ecosyst. Environ. 2024, 367, 108956. [Google Scholar] [CrossRef]
- Gebara, C.H.; Thammaraksa, C.; Hauschild, M.; Laurent, A. Selecting indicators for measuring progress towards sustainable development goals at the global, national and corporate levels. Sustain. Prod. Consum. 2024, 44, 151–165. [Google Scholar] [CrossRef]
- Cao, L.; Wang, G. Impact of digital finance on agricultural output: From the perspective of digital development of agriculture. Financ. Res. Lett. 2024, 66, 105698. [Google Scholar] [CrossRef]
- Ji, M.; Li, J.; Zhang, M. What drives the agricultural carbon emissions for low-carbon transition? Evidence from China. Environ. Impact Assess. Rev. 2024, 105, 107440. [Google Scholar] [CrossRef]
- Wang, X.; Yang, C.; Qiao, C. Agricultural Service Trade and Green Development: A Perspective Based on China’s Agricultural Total Factor Productivity. Sustainability 2024, 16, 7963. [Google Scholar] [CrossRef]
- Guo, J.; Chen, L.; Kang, X. Digital inclusive finance and agricultural green development in China: A panel analysis (2013–2022). Financ. Res. Lett. 2024, 69, 106173. [Google Scholar] [CrossRef]
- Yan, J.; Işık, C.; Ongan, S. Energy intensity, supply chain digitization, technological progress bias in China’s industrial sectors. Energy Econ. 2025, 145, 108442. [Google Scholar] [CrossRef]
- MacPherson, J.; Voglhuber-Slavinsky, A.; Olbrisch, M.; Schobel, P.; Donitz, E.; Mouratiadou, I.; Helming, K. Future agricultural systems and the role of digitalization for achieving sustainability goals. A review. Agron. Sustain. Dev. 2022, 42, 70. [Google Scholar] [CrossRef]
- Vishnoi, S.; Goel, R.K. Climate smart agriculture for sustainable productivity and healthy landscapes. Environ. Sci. Policy 2024, 151, 103600. [Google Scholar] [CrossRef]
- Chen, Y.; Li, M. How does the digital transformation of agriculture affect carbon emissions? Evidence from China’s provincial panel data. Humanit. Soc. Sci. Commun. 2024, 11, 713. [Google Scholar] [CrossRef]
- Liu, Y.; Huang, Y. Assessing the interrelationship between fossil fuels resources and the biomass energy market for achieving a sustainable and green economy. Resour. Policy 2024, 88, 104397. [Google Scholar] [CrossRef]
- Li, X.; Zhang, J. Rural digital credit and residential energy consumption: Evidence from the agricultural production perspective. Energy 2024, 290, 130111. [Google Scholar] [CrossRef]
- S.S., V.C.; S., A.H.; Albaaji, G.F. Precision farming for sustainability: An agricultural intelligence model. Comput. Electron. Agric. 2024, 226, 109386. [Google Scholar] [CrossRef]
- Huo, D.; Malik, A.W.; Ravana, S.D.; Rahman, A.U.; Ahmedy, I. Mapping smart farming: Addressing agricultural challenges in data-driven era. Renew. Sustain. Energy Rev. 2024, 189, 113858. [Google Scholar] [CrossRef]
- Santos, F.J.; Guzmán, C.; Ahumada, P. Assessing the digital transformation in agri-food cooperatives and its determinants. J. Rural Stud. 2024, 105, 103168. [Google Scholar] [CrossRef]
- Latino, M.E.; Menegoli, M.; Corallo, A. Agriculture Digitalization: A Global Examination Based on Bibliometric Analysis. IEEE Trans. Eng. Manag. 2024, 71, 1330–1345. [Google Scholar] [CrossRef]
- Abate, G.T.; Abay, K.A.; Chamberlin, J.; Kassim, Y.; Spielman, D.J.; Paul Jr Tabe-Ojong, M. Digital tools and agricultural market transformation in Africa: Why are they not at scale yet, and what will it take to get there? Food Policy 2023, 116, 102439. [Google Scholar] [CrossRef]
- Abbate, S.; Centobelli, P.; Cerchione, R. The digital and sustainable transition of the agri-food sector. Technol. Forecast. Soc. Change 2023, 187, 122222. [Google Scholar] [CrossRef]
- Qiu, H.; Tang, W.; Huang, Y.; Deng, H.; Liao, W.; Ye, F. E-commerce operations and technology perceptions in promoting farmers’ adoption of green production technologies: Evidence from rural China. J. Environ. Manag. 2024, 370, 122628. [Google Scholar] [CrossRef]
- Zhe, L.; Jie, W.; Yuan, H. The effect of place attachment of geographical indication agricultural products on repurchase intention. J. Retail. Consum. Serv. 2023, 72, 103266. [Google Scholar] [CrossRef]
- Deng, H.; Zheng, W.; Shen, Z.; Štreimikienė, D. Does fiscal expenditure promote green agricultural productivity gains: An investigation on corn production. Appl. Energy 2023, 334, 120666. [Google Scholar] [CrossRef]
- Tang, Y.; Zhao, Q.; Ren, Y. Nexus among government digital development, resource dependence, and carbon emissions in China. Resour. Policy 2024, 95, 105186. [Google Scholar] [CrossRef]
- Hasan, H.R.; Musamih, A.; Salah, K.; Jayaraman, R.; Omar, M.; Arshad, J.; Boscovic, D. Smart agriculture assurance: IoT and blockchain for trusted sustainable produce. Comput. Electron. Agric. 2024, 224, 109184. [Google Scholar] [CrossRef]
- Bibri, S.E.; Krogstie, J.; Kaboli, A.; Alahi, A. Smarter eco-cities and their leading-edge artificial intelligence of things solutions for environmental sustainability: A comprehensive systematic review. Environ. Sci. Ecotechnol. 2024, 19, 100330. [Google Scholar] [CrossRef]
- Chen, P.; Gao, J.; Zhang, M.; Wu, D. New-type professional farmers: How to make use of different types of social capital to engage in agriculture specialization. J. Rural Stud. 2025, 114, 103545. [Google Scholar] [CrossRef]
- Zhang, Y.; Cui, R.; Wei, X.; Chen, T. How digital financial inclusion enhances agroecological efficiency: Impact effects and mechanism tests. Int. Rev. Econ. Financ. 2025, 97, 103755. [Google Scholar] [CrossRef]
- Qu, L.; Li, Y.; Yang, F.; Ma, L.; Chen, Z. Assessing sustainable transformation and development strategies for gully agricultural production: A case study in the Loess Plateau of China. Environ. Impact Assess. Rev. 2024, 104, 107325. [Google Scholar] [CrossRef]
- Gao, D.; Zhi, Y.; Yang, X. Assessing carbon emission reduction benefits of the electrification transition of agricultural machinery for sustainable development: A case study in China. Sustain. Energy Technol. Assess. 2024, 63, 103634. [Google Scholar] [CrossRef]
- Ke, C.; Huang, S.-Z. The effect of environmental regulation and green subsidies on agricultural low-carbon production behavior: A survey of new agricultural management entities in Guangdong Province. Environ. Res. 2024, 242, 117768. [Google Scholar] [CrossRef] [PubMed]
- Saxena, A.; Prakash Gupta, J.; Tiwary, J.K.; Kumar, A.; Sharma, S.; Pandey, G.; Biswas, S.; Raghav Chaturvedi, K. Innovative Pathways in Carbon Capture: Advancements and Strategic Approaches for Effective Carbon Capture, Utilization, and Storage. Sustainability 2024, 16, 10132. [Google Scholar] [CrossRef]
- Sun, X.; Meng, Z.; Zhang, X.; Wu, J. The role of institutional quality in the nexus between green financing and sustainable development. Res. Int. Bus. Financ. 2025, 73, 102531. [Google Scholar] [CrossRef]
- General Office of Ministry of Agriculture and Rural Affairs. Notice of the General Office of the Ministry of Agriculture and Rural Affairs on Issuing the Measures for Monitoring and Evaluating the Level of Green Agricultural Development (Trial). In Gazette of the Ministry of Agriculture and Rural Affairs of the People’s Republic of China; Ministry of Agricultur and Rural Affairs of the People’s Republic of China: Beijing, China, 2023; pp. 50–52. [Google Scholar]
- Zhao, Y.; Wang, J.; Pan, W. Regional characteristics and impact mechanisms of new urbanization and green development level in China at the provincial level. Econ. Geogr. 2023, 43, 1–9. [Google Scholar] [CrossRef]
- Tang, Y.; Chen, M. The Impact of Agricultural Digitization on the High-Quality Development of Agriculture: An Empirical Test Based on Provincial Panel Data. Land 2022, 11, 2152. [Google Scholar] [CrossRef]
- Gao, Y.; Wang, S.; Han, Z. Agricultural Digitalization and the Development of New Agricultural Operators. J. Zhongnan Univ. Econ. Law 2023, 5, 108–121. [Google Scholar] [CrossRef]
- Mu, J.; Ma, L. Measurement of China’s Agricultural and Rural Digital Economy Development Index and Regional Characteristics. J. South China Agric. Univ. 2021, 20, 90–98. [Google Scholar]
- Su, J.; Pan, T.; Dong, C. Study on the Development of Agricultural Digitalization and the Evaluation of Regional Differences in China. J. Northwest AF Univ. 2023, 23, 135–144. [Google Scholar] [CrossRef]
- Wang, D.; Peng, Z.; Li, L. Measuring and evaluating the integrated development level of digital economy and agriculture in China. Chin. Rural Econ. 2023, 6, 48–71. [Google Scholar] [CrossRef]
- Zhang, H.; Wang, H.; Li, Z. Research on High Quality Development Evaluation of Digital Agriculture Under the Background of Rural Revitalization—Based on the Data Analysis of 31 Provinces and Cities in China From 2015 to 2019. J. Shaanxi Norm. Univ. 2021, 50, 141–154. [Google Scholar] [CrossRef]
- Zhu, H.; Chen, H. Measurement, Spatial-temporal Evolution and Promotion Path of Digital Village Development in China. Issues Agric. Econ. 2023, 3, 21–33. [Google Scholar] [CrossRef]
- Zhang, W.; Bai, Y. Theoretical Construction, Empirical Analysis and Optimization Path of the Coupling of Digital Economy and Rural Revitalization. China Soft Sci. 2022, 1, 132–146. [Google Scholar]
- Zhang, J.-Y.; Wang, Y.; Wan, B.-J.; Qi, L.-H.; Shu, T.; Feng, Z.-C. Clinicians’ response ability for public health emergencies: A questionnaire development and validation study. J. Public Health 2023, 32, 2337–2343. [Google Scholar] [CrossRef]
- Di, F.; Hu, Z. Construction and Application of China’s Agricultural Modernizarion Evaluation Index System. Chin. J. Agric. Resour. Reg. Plan. 2020, 41, 46–56. [Google Scholar]
- Wang, Y.; Cheng, J. Digitalization of Agricultural Production and Operation and Farmers’ Economic Performance. J. Soc. Sci. 2021, 8, 80–90. [Google Scholar] [CrossRef]
- Wang, C. The Rural New Industrial and Social Differentiation Mechanisms in the Digital Age. J. China Agric. Univ. 2023, 40, 5–17. [Google Scholar] [CrossRef]
- Zhang, X.; Ran, G. Digitization of Inclusive Finance, Equalization of Public Service and Common Prosperity of Farmers in Rural Areas——Empirical Analysis on County Statisics. J. Shanxi Univ. Financ. Econ. 2023, 45, 30–43. [Google Scholar] [CrossRef]
- Wang, D.; Ran, X. Rural digitalization, human capital and integrated development of rural industries: Empirical evidence based on China provincial panel data. J. Chongqing Univ. 2022, 28, 1–14. [Google Scholar]
- Wang, J.; Yang, G.; Zhou, C. Does internet use promote agricultural green development?Evidence from China. Int. Rev. Econ. Financ. 2024, 93, 98–111. [Google Scholar] [CrossRef]
- Zhou, X.; Zhang, Y. Administration or marketization: Environmental regulation, marketization and agricultural green total factor productivity. J. Environ. Manag. 2024, 370, 122433. [Google Scholar] [CrossRef] [PubMed]
- Ruben, R. From market-based development to value chain transformation: What markets can (not) do for rural poverty alleviation? J. Rural Stud. 2024, 109, 103328. [Google Scholar] [CrossRef]
- Golden, L.A.; Hubbard, M.L.; Som Castellano, R.L.; Lyons, J. Examining cover crop agri-environmental program participation: Evidence from a western US farmer survey. J. Environ. Manag. 2024, 357, 120763. [Google Scholar] [CrossRef]
- Xue, Z.; Hou, Y.; Cao, G.; Sun, G. How does digital transformation drive innovation in Chinese agribusiness: Mechanism and micro evidence. J. Innov. Knowl. 2024, 9, 100489. [Google Scholar] [CrossRef]
- Musolesi, A.; Golinelli, D.; Mazzanti, M. Modelling green knowledge production and environmental policies with semiparametric panel data regression models. Empir. Econ. 2024, 68, 327–352. [Google Scholar] [CrossRef]
- Ma, X.; Feng, X.; Fu, D.; Tong, J.; Ji, M. How does the digital economy impact sustainable development? —An empirical study from China. J. Clean. Prod. 2024, 434, 140079. [Google Scholar] [CrossRef]
- Liu, W.; Gao, Y.; Tang, O.; Cheng, Y. Comprehensive performance analysis of deep integration and innovative development of logistics and manufacturing industries: A comparison analysis between coastal and inland regions in China. Ocean Coast. Manag. 2024, 257, 107332. [Google Scholar] [CrossRef]
- Sun, Y.; Li, S. The impact of digital development on non-agricultural employment of rural women: Evidence from the broadband China strategy. Appl. Econ. 2024, 57, 2224–2240. [Google Scholar] [CrossRef]
- Lou, H.; Shi, X.; Ren, X.; Yang, S.; Cai, M.; Pan, Z.; Zhu, Y.; Feng, D.; Zhou, B. Limited terrestrial carbon sinks and increasing carbon emissions from the Hu Line spatial pattern perspective in China. Ecol. Indic. 2024, 162, 112035. [Google Scholar] [CrossRef]





| Primary Indicator | Secondary Indicator | Indicator Explanation | Indicator Weight | Indicator Attribute | |
|---|---|---|---|---|---|
| Resource conservation and utilization | Per capita cultivated land area | Cultivated land area per capita (hm2/person) | 0.066 | + | |
| Proportion of effective irrigated area | Effective irrigated area/total cultivated land area (%) | 0.085 | + | ||
| Environmental safety and friendliness | Agricultural film usage per unit area | Amount of agricultural film used/sown area (kg/hm2) | 0.064 | − | |
| Fertilizer use per unit area | Amount of fertilizer used/sown area (kg/hm2) | 0.058 | − | ||
| Pesticide use per unit area | Amount of pesticide used/sown area (kg/hm2) | 0.068 | − | ||
| Ecological conservation and restoration | Per capita living tree stock | Living tree stock per capita in the region (m3/person) | 0.075 | + | |
| Per capita area of nature reserves | Area of nature reserves per capita in the region (hm2/person) | 0.072 | + | ||
| Per capita water resource availability | Total water resources per capita in the region (m3/person) | 0.083 | + | ||
| Output quality and efficiency | Agricultural productivity | Labor input | Total number of workers in primary industry at year end (10,000 persons) | 0.174 | + |
| Land input | Crop sown area (hm2) | + | |||
| Output quality and efficiency | Capital input | Expenditure on agricultural, forestry, and water affairs (100 million) | + | ||
| Output value per unit of cultivated land | Total output value per unit of cultivated land (CNY/hm2) | + | |||
| Affluence and quality of life | Per capita disposable income of rural residents | Disposable income per capita of rural residents (CNY/person) | 0.102 | + | |
| Rural Engel’s coefficient | — | 0.061 | − | ||
| Incidence of foodborne diseases | Number of cases of foodborne diseases (cases) | 0.092 | + | ||
| Primary Indicator | Secondary Indicator | Indicator Explanation | Indicator Weight | Indicator Attribute |
|---|---|---|---|---|
| Digital foundation | Rural broadband penetration rate | Number of rural broadband users/Total number of internet broadband users | 0.078 | + |
| Rural household computer ownership rate | Number of computers per 100 rural households | 0.061 | + | |
| Rural household mobile phone ownership rate | Number of mobile phones per 100 rural households | 0.048 | + | |
| Broadcast and TV network coverage rate | Number of rural cable TV users/Total number of rural households | 0.041 | + | |
| Rural postal route construction rate | Length of rural postal routes/Total length of urban and rural postal routes | 0.055 | + | |
| Rural postal service coverage rate | Number of administrative villages with postal services/Total number of administrative villages | 0.032 | + | |
| Agricultural meteorological stations | Number of agricultural meteorological observation stations (units) | 0.045 | + | |
| Digitalization process | Digitalized production | (Number of agricultural workers/Total number of employed persons) × Number of enterprises using internet technology for production and operation | 0.072 | + |
| Digitalized management | (Retail sales of consumer goods in townships and villages/Total retail sales of consumer goods) × Online retail sales of physical goods (RMB)/Per capita GDP (RMB) | 0.074 | + | |
| Digitalized services | Number of “Taobao villages” in rural areas/Total number of administrative villages | 0.076 | + | |
| Digital support system | Fiscal support intensity for agriculture | Fiscal agricultural expenditure (RMB)/Per capita GDP (RMB) | 0.071 | + |
| Financial support intensity for agriculture | Agricultural loan balance (RMB)/Per capita GDP (RMB) | 0.070 | ||
| IoT technology investment intensity | Total fixed asset investment in rural transportation, storage, and postal industries (RMB)/Total fixed asset investment in rural areas (RMB) | 0.063 | + | |
| Agricultural production investment intensity | Total fixed asset investment in agriculture, forestry, animal husbandry, and fishery (RMB)/Total fixed asset investment in society (RMB) | 0.073 | + | |
| Agricultural digital talent scale | Number of agricultural science and technology personnel/Number of workers in primary industry | 0.076 | + | |
| Digital technology purchasing power | Per capita disposable income in rural areas (RMB)/Per capita GDP (RMB) | 0.069 | + |
| Variable | Total Effect (1) | Total Effect (2) |
|---|---|---|
| dc | 0.015 (0.014) | 2.258 *** (0.003) |
| ppi | 0.016 ** (0.006) | 0.007 (0.005) |
| gsa | −0.040 * (0.016) | 0.025 (0.017) |
| tgo | 0.014 (0.015) | −0.013 (0.018) |
| dr | 0.010 * (0.005) | 0.007 * (0.003) |
| N | 330 | 330 |
| R2 | 0.079 | 0.128 |
| Variable | (1) | (2) | (3) |
|---|---|---|---|
| dc | 2.198 *** (0.003) | 2.389 ** (0.003) | 8.322 *** (0.003) |
| ppi | 0.002 (0.004) | 0.001 (0.004) | −0.006 (0.005) |
| gsa | 0.018 (0.017) | 0.020 (0.015) | 0.016 (0.017) |
| tgo | −0.005 (0.017) | −0.008 (0.016) | −0.003 (0.018) |
| dr | 0.006 * (0.003) | 0.004 (0.003) | 0.003 (0.004) |
| N | 330 | 314 | 297 |
| R2 | 0.119 | 0.122 | 0.136 |
| Variable | Geographical Location | Coastal and Inland | Grain Producing Area | Hu Huanyong Line | |||||
|---|---|---|---|---|---|---|---|---|---|
| Eastern Region (1) | Central Region (2) | Western Region (3) | Inland Region (4) | Coastal Region (5) | Major Grain-Producing Areas (6) | Non-Grain-Producing Areas (7) | Southeastern Region (8) | Northwestern Region (9) | |
| dc | 1.000 *** (0.001) | 4.532 * (0.001) | 1.000 * (0.002) | 2.895 *** (0.003) | 1.393 *** (0.001) | 1.898 ** (0.001) | 7.894 * (0.003) | 1.173 *** (0.001) | 4.374 * (0.003) |
| ppi | 0.016 ** (0.005) | 0.037 *** (0.007) | 0.013 (0.014) | 0.048 *** (0.008) | 0.014 ** (0.005) | 0.025 ** (0.008) | −0.022 ** (0.007) | 0.006 * (0.003) | 0.000 (0.011) |
| gsa | −0.031 (0.039) | 0.050 ** (0.018) | −0.098 * (0.040) | −0.020 (0.017) | 0.037 (0.037) | 0.096 *** (0.017) | −0.141 *** (0.057) | 0.067 *** (0.020) | −0.236 *** (0.035) |
| tgo | 0.010 (0.029) | −0.037 ** (0.013) | 0.111 * (0.050) | 0.019 (0.018) | −0.027 (0.029) | −0.669 *** (0.014) | 0.069 (0.085) | −0.025 (0.015) | 0.309 *** (0.043) |
| dr | −0.001 (0.003) | −0.007 (0.004) | 0.015 ** (0.006) | 0.008 (0.005) | −0.002 (0.004) | −0.003 (0.004) | −0.002 (0.004) | −0.006 * (0.003) | −0.003 (0.007) |
| N | 121 | 88 | 121 | 209 | 121 | 143 | 187 | 220 | 110 |
| R2 | 0.416 | 0.812 | 0.413 | 0.348 | 0.362 | 0.634 | 0.259 | 0.205 | 0.471 |
| Quantile | Q10 | Q20 | Q30 | Q40 | Q50 | Q60 | Q70 | Q80 | Q90 |
|---|---|---|---|---|---|---|---|---|---|
| dii | −0.059 (0.047) | 0.004 (0.050) | −0.005 (0.053) | 0.007 (0.050) | 0.013 (0.058) | 0.062 (0.051) | 0.114 * (0.046) | 0.148 * (0.075) | 0.194 * (0.085) |
| Control variables | Y | Y | Y | Y | Y | Y | Y | Y | Y |
| Individual fixed effects | Y | Y | Y | Y | Y | Y | Y | Y | Y |
| Time fixed effects | Y | Y | Y | Y | Y | Y | Y | Y | Y |
| N | 330 | 330 | 330 | 330 | 330 | 330 | 330 | 330 | 330 |
| R2 | 0.699 | 0.696 | 0.703 | 0.715 | 0.732 | 0.746 | 0.762 | 0.774 | 0.794 |
| Variable | Market-Oriented Type | Policy-Incentive Type | Innovation-Driven Type | |||
|---|---|---|---|---|---|---|
| (1) | (2) | (3) | (4) | (5) | (6) | |
| dii | 0.697 * (0.340) | 0.897 *** (0.198) | 0.481 *** (0.063) | 0.176 * (0.089) | 0.404 *** (0.085) | 0.559 *** (0.067) |
| gfe | 0.706 *** (0.088) | |||||
| gfe × dii | 0.650 * (0.291) | |||||
| gfl | 0.358 ** (0.114) | |||||
| gfl × dii | 0.686 * (0.337) | |||||
| er | −0.248 * (0.102) | |||||
| er × dii | 0.455 ** (0.227) | |||||
| nab | 0.186 ** (0.058) | |||||
| nab × dii | 0.362 * (0.184) | |||||
| agm | 0.182 (0.155) | |||||
| agm × dii | 0.574 * (0.276) | |||||
| fad | 0.134 (0.131) | |||||
| fad × dii | 0.248 * (0.101) | |||||
| ppi | 0.415 *** (0.098) | 0.093 (0.096) | 0.107 (0.098) | 0.197 * (0.094) | 0.011 (0.096) | 0.074 (0.097) |
| gsa | 0.761 * (0.308) | 0.545 (0.335) | 0.619 (0.340) | 0.044 (0.317) | 0.151 (0.340) | 0.522 (0.338) |
| tgo | −0.661 ** (0.244) | 0.081 (0.246) | −0.019 (0.256) | −0.428 (0.426) | −0.095 (0.249) | 0.141 (0.249) |
| dr | −0.007 (0.037) | 0.031 (0.041) | 0.059 (0.040) | 0.015 (0.038) | 0.049 (0.039) | 0.064 (0.040) |
| N | 330 | 330 | 330 | 330 | 330 | 330 |
| R2 | 0.471 | 0.374 | 0.369 | 0.439 | 0.393 | 0.357 |
| Statistic | Statistic Value | p-Value |
|---|---|---|
| LM-lag | 71.951 | 0.000 |
| Robust-LM-lag | 22.448 | 0.000 |
| LR-spatial-error | 58.670 | 0.000 |
| LR-spatial-lag | 9.168 | 0.002 |
| Hausman | 75.000 | 0.000 |
| Spatial Matrix Form | Geographical Distance (1) | Economic Distance (2) | Gravity Distance (3) |
|---|---|---|---|
| W × Dii | 0.417 *** (0.087) | 0.424 *** (0.106) | 0.417 *** (0.087) |
| Direct effect | 0.132 *** (0.047) | 0.107 ** (0.052) | 0.138 *** (0.048) |
| Indirect effect | 1.528 *** (0.207) | 0.996 *** (0.186) | 0.831 *** (0.125) |
| Total effect | 1.660 *** (0.217) | 1.103 *** (0.191) | 0.969 *** (0.137) |
| Control variables | Y | Y | Y |
| rho | 0.351 ** (0.143) | 0.574 *** (0.057) | 0.478 *** (0.061) |
| Sigma2 | 0.000 *** | 0.000 *** | 0.000 *** |
| N | 330 | 330 | 330 |
| R2 | 0.653 | 0.535 | 0.583 |
Disclaimer/Publisher’s Note: The statements, opinions and data contained in all publications are solely those of the individual author(s) and contributor(s) and not of MDPI and/or the editor(s). MDPI and/or the editor(s) disclaim responsibility for any injury to people or property resulting from any ideas, methods, instructions or products referred to in the content. |
© 2025 by the authors. Licensee MDPI, Basel, Switzerland. This article is an open access article distributed under the terms and conditions of the Creative Commons Attribution (CC BY) license (https://creativecommons.org/licenses/by/4.0/).
Share and Cite
Meng, Y.; Li, D. Digital Pathways to Sustainable Agriculture: Examining the Role of Agricultural Digitalization in Green Development in China. Sustainability 2025, 17, 3652. https://doi.org/10.3390/su17083652
Meng Y, Li D. Digital Pathways to Sustainable Agriculture: Examining the Role of Agricultural Digitalization in Green Development in China. Sustainability. 2025; 17(8):3652. https://doi.org/10.3390/su17083652
Chicago/Turabian StyleMeng, Ying, and Dong Li. 2025. "Digital Pathways to Sustainable Agriculture: Examining the Role of Agricultural Digitalization in Green Development in China" Sustainability 17, no. 8: 3652. https://doi.org/10.3390/su17083652
APA StyleMeng, Y., & Li, D. (2025). Digital Pathways to Sustainable Agriculture: Examining the Role of Agricultural Digitalization in Green Development in China. Sustainability, 17(8), 3652. https://doi.org/10.3390/su17083652
