Next Article in Journal
Driving Style Tendency Quantification Method Based on Short-Term Lane Change Feature Extraction
Previous Article in Journal
Analysis of Digital Twin Applications in Energy Efficiency: A Systematic Review
 
 
Font Type:
Arial Georgia Verdana
Font Size:
Aa Aa Aa
Line Spacing:
Column Width:
Background:
Article

Research on the Mechanism of Intelligent Transformation of Enterprises Driven by Targeted Talent Introduction Policies: Taking New-Energy-Automobile Enterprises as an Example

The School of Management Engineering, Qingdao University of Technology, Qingdao 266520, China
*
Author to whom correspondence should be addressed.
Sustainability 2025, 17(8), 3562; https://doi.org/10.3390/su17083562
Submission received: 11 March 2025 / Revised: 9 April 2025 / Accepted: 11 April 2025 / Published: 15 April 2025

Abstract

The strategic goal of high-quality national development depends on intelligent manufacturing, where introducing and cultivating high-end technical talent is crucial. Although prior research has linked talent policies to technological innovation, few studies have examined how targeted talent policies promote intelligent transformation in enterprises. Methods: Focusing on industry fit, this study uses new-energy-vehicle companies to represent advanced manufacturing. Drawing on targeted talent policies issued by major Chinese cities from 2016 to 2022, we employ a multi-period difference-in-differences model to assess how these policies attract high-skilled talent related to the new-energy automotive sector and drive intelligent investment and technological upgrading. Results: Our findings indicate that targeted talent policies significantly boost intelligent investment, which holds for robustness tests. Mechanism analyses reveal that these policies optimize firms’ human capital by increasing the share of highly educated and technical employees, thereby enhancing technological innovation, patent output, production quality, and efficiency. Conclusions: This research extends the capital–skill complementarity theory by highlighting the importance of specialized talent for intelligent transformation. The results offer data-driven insights for refining talent policies to support the intelligent development of the new-energy-automobile industry.

1. Introduction

Global climate change and energy security issues have compelled nations to prioritize green, low-carbon development, making the green transformation of the manufacturing industry an irreversible trend [1]. In this context, new-energy vehicles (NEVs) have not only emerged as a core technology for reducing carbon emissions but also as a critical engine for promoting sustainable development and driving the transformation towards intelligent manufacturing [2]. China attaches great importance to this sector, designating NEVs as a key strategic emerging industry during the 14th Five-Year Plan period and vigorously propelling its development through a comprehensive policy framework that includes research and development, production, sales, charging infrastructure construction, and consumer incentives [3]. For instance, through NEV subsidies, the expansion of charging infrastructure, and the implementation of the dual credits policy, China has rapidly emerged as the world’s largest NEV market [4]. According to the International Energy Agency [5], in 2023, NEV sales in China surpassed 10 million units, accounting for nearly 50% of global sales, with a national market penetration rate exceeding 30% and reaching over 50% in some first-tier cities.
It is noteworthy that the NEV industry exhibits a high degree of technological diversity, encompassing battery electric vehicles (BEVs), plug-in hybrid electric vehicles (PHEVs), and novel technological pathways such as fuel-cell electric vehicles (FCEVs). FCEVs, for example, convert hydrogen and oxygen into electricity through direct chemical reactions, offering significant advantages such as high energy density, rapid refueling, and zero emissions, which make them particularly suitable for heavy-duty and long-distance transportation [6]. Simultaneously, with the evolution of intelligent management strategies, fuel-cell systems are increasingly integrating artificial intelligence-based technologies in thermal management, health monitoring, and dynamic regulation, further enhancing system reliability and efficiency [5]. This deep integration of “intelligent + green” technologies is driving the synergistic development of multiple technological pathways within the NEV sector.
Compared with traditional automobile manufacturing, NEV enterprises rely significantly more on interdisciplinary technical talent for research and innovation [7]. In this context, “intelligent transformation” refers to the systematic reengineering of research and development, production, operation, and service processes by leveraging next-generation digital technologies—such as big data, artificial intelligence, cloud computing, and the Internet of Things—to achieve comprehensive improvements in intelligent manufacturing and independent technological innovation. NEVs require the optimization of conventional mechanical and electrical systems and the integration of advanced information technology and control strategies to facilitate an end-to-end upgrade from product design to end-user services.
Since 2016, China has introduced a series of talent recruitment policies that attract highly skilled professionals through housing subsidies, skills training, family support, and healthcare benefits [8]. These initiatives have effectively promoted talent mobility in key cities and fostered a virtuous cycle of internal talent accumulation within NEV enterprises [9]. However, existing policies emphasize traditional evaluation criteria such as academic credentials and work experience. At the same time, they often overlook the urgent need for interdisciplinary skills and intelligent capabilities in areas like intelligent manufacturing, fuel-cell system monitoring, and automated management. This mismatch has limited the effectiveness of policies in attracting and nurturing high-end talent [10]. According to the China Association of Automobile Manufacturers, the current talent supply–demand ratio in NEV enterprises is approximately 1:3, with a talent gap exceeding one million, and there is an especially acute demand for specialized professionals in critical fields [11]. Therefore, it is imperative to address the talent gap emerging in the intelligent transformation of NEV enterprises and further refine and promote targeted talent-recruitment policies. This paper addresses these challenges by examining the impact of refined talent-introduction policies on NEV enterprises’ intelligent development. Using a quasi-natural experiment, we hand-collected data on talent policies issued by cities between 2016 and 2022. Policies were analyzed for keywords such as “new energy”, “intelligent manufacturing”, and “artificial intelligence” to identify targeted measures. Our sample comprised A-share (i.e., companies listed on the Shanghai or Shenzhen Stock Exchange with shares denominated in RMB) listed NEV companies from 2007 to 2022. The findings reveal that targeted talent-introduction policies significantly enhance enterprises’ intelligent investment levels and adoption of artificial intelligence technologies, thus driving their intelligent transformation.
The key contributions of this study are as follows: First, this study identifies and addresses the constraints imposed by the shortage of highly specialized talent on firms’ intelligent transformation. The existing literature primarily interprets firms’ increasing investment in intelligent technologies as a response to rising labor costs due to occupational safety concerns, population aging, or labor resistance, viewing intelligentization mainly as a means of labor substitution [12]. However, such perspectives often overlook the synergistic role of intelligent transformation and high-quality human capital. Focusing on the supply of highly specialized talent, this study reveals how high-level talent introduction can serve as an endogenous driver for firms’ intelligent upgrading, thus extending the theoretical framework from “passive substitution” to “active empowerment”. Second, the study constructs a causal identification framework between talent introduction and intelligent transformation from a micro-level perspective. While prior research has primarily focused on traditional manufacturing enterprises, systematic investigations into the micro-level interaction between policy-driven labor reallocation and intelligent upgrading in emerging industries remain limited. Using firms in the new energy vehicle (NEV) sector—an exemplary case of intelligent manufacturing—as the empirical setting, this study identifies the dynamic effects of targeted talent-introduction policies on firms’ intelligent investment, contributing to the causal analysis in this field. Third, this study explores policy effects’ boundary conditions and applicability through multidimensional heterogeneity analysis. In addition to conventional firm- and city-level factors such as ownership, size, economic development, and housing prices, the analysis introduces firms’ positions within the NEV industry chain (upstream, midstream, and downstream) as a novel dimension of heterogeneity. This provides theoretical supplementation to existing policy-evaluation literature, which often lacks industrial embeddedness, and enhances the understanding of policy adaptability and matching effectiveness across sectors. Finally, the study offers methodological and policy-level innovations. Rather than relying solely on macro-level data or single proxies for intelligent transformation, a composite indicator system is developed using firms’ annual report texts and asset structure, thereby improving the accuracy and forward-looking nature of the measurement. Moreover, the empirical findings provide a micro-level foundation for refining talent policies toward more targeted, industry-aligned strategies, supporting a shift from broad incentives to structurally tailored talent governance.

2. Literature Review

This study combines a systematic literature review and narrative analysis to comprehensively synthesize and summarize the research findings in the relevant fields. The criteria for selecting references primarily include the innovation of the research, the quality of empirical analysis and theoretical discussions related to enterprise intelligentization and talent introduction policies, and the academic authority of the sources. The references primarily come from renowned domestic and international journals and academic conference papers that balance theoretical innovation and empirical rigor.

2.1. Definition of Enterprise Intelligence

The concept of “intelligence” was first introduced at the Hannover Messe in Germany in 2013 and quickly became a key term in transforming and upgrading the manufacturing sector. Although no universally accepted definition of “intelligence” exists in academia, multiple perspectives have progressively enriched its connotation. Liu et al. regard enterprise intelligence in manufacturing as a manifestation of technological transformation and innovation [13]. Li et al. argue that intelligent manufacturing represents a comprehensive transformation involving the application of artificial intelligence (AI) and information and communication technologies (ICT) to reform production processes [14]. Compared to Chinese scholars, international researchers emphasize system integration and functional realization. Wright et al. were among the first to define intelligent manufacturing as a process enabling robots to complete small-batch production using knowledge engineering, with a focus on operational “intelligence” [15]. Davis further elevated intelligent manufacturing as a critical representation of enterprise intelligence, highlighting its role in supply-chain integration and responsiveness to customer demand [16]. Although existing definitions emphasize different aspects, most focus on the technological and organizational dimensions. However, they lack a systematic explanation of its social, institutional, and strategic dimensions, leaving room for theoretical expansion in future research.

2.2. Measurement of Enterprise Intelligence

The measurement of enterprise intelligence has evolved along three primary methodological trajectories: the physical proxy method, the composite indicator method, and the text-mining method.
The physical proxy method predominantly employs industrial robots as a key indicator of intelligence adoption. For instance, Acemoglu and Restrepo constructed a regional robot penetration index within a general equilibrium framework to examine the impact of robotics on the U.S. labor market [17]. Building upon this, Wang et al. adapted the index to more accurately reflect the structural characteristics of China’s manufacturing sector [18]. Similarly, Graetz and Michaels used robot density as the number of industrial robots per thousand workers as a proxy for automation intensity and enterprise intelligence [19]. This method benefits from its intuitiveness and the widespread availability of standardized data. However, it rests on the critical assumption that robot deployment directly equates to intelligence. This assumption neglects soft elements such as intelligent algorithms, data integration systems, and organizational learning, offering only a partial view of intelligent transformation.
In contrast, the composite indicator method seeks to address the limitations of single-dimensional proxies by constructing multi-dimensional evaluation frameworks. For example, Brynjolfsson and McAfee developed an index system based on the guidelines from China’s Ministry of Industry and Information Technology, incorporating indicators related to infrastructure, application scenarios, and organizational benefits to assess how industrial intelligence influences labor market structures [20]. While more comprehensive, this method often suffers from indicator subjectivity, weighting ambiguity, and limited adaptability across sectors and regions. The text-mining method has recently emerged as a promising alternative, leveraging natural language processing (NLP) to quantify enterprise intelligence from unstructured textual data such as annual reports. Wen et al. used the frequency of intelligence-related keywords as a proxy for enterprise-level digital transformation [21]. Li et al. extended this approach by constructing a domain-specific keyword dictionary containing 29 intelligence-related terms and applying Python-based algorithms to compute keyword proportions across firms within the same industry [22]. This method offers significant advantages regarding automation, timeliness, and capturing firms’ strategic orientations.
Nevertheless, it also faces limitations, including the lack of standardized keyword systems, semantic ambiguity, and potential over-reliance on narrative disclosures, which may introduce subjective bias and hinder cross-study comparability. Haskel and Westlake proposed a capital-based measurement framework to mitigate these limitations, incorporating the proportion of AI-related intangible assets and fixed investments as proxies for intelligent transformation [23]. This approach enhances objectivity by grounding intelligence measurement in firms’ resource-allocation patterns, thereby more accurately reflecting the depth and breadth of intelligent adoption within corporate value chains.

2.3. Targeted Talent-Introduction Policy

Talent is a core driver of technological innovation and industrial upgrading. Its allocation plays a vital role in shaping enterprise-level intelligent transformation. The existing literature widely recognizes that talent-introduction policies improve recruitment efficiency through agglomeration effects [24] and significantly contribute to regional economic growth, innovation capacity, and industrial restructuring [23,25]. However, many studies remain focused on generic policy instruments, such as salary subsidies and housing benefits, overlooking the differentiated needs across regions and industries. Yu argue that current policies overly rely on universal incentives, failing to meet the specific needs of enterprises, which in turn reduces policy attractiveness and increases talent turnover risks [26]. In response, some scholars advocate for a new “precision matching—classified recruitment” mechanism. Hunt emphasizes the importance of aligning talent policies with the specific needs of key nodes within the industrial value chain, recommending the development of personalized incentive systems and scientifically grounded classification and evaluation frameworks to enhance policy targeting [27]. Building upon this, Tan further points out that policymaking should incorporate enterprise participation and dynamically assess real skill demands at the local level, avoiding the “detachment” of policy design from practical needs. Although concepts such as “precision recruitment” and “flexible recruitment” are gaining traction, there remains a lack of systematic studies on the coupling mechanisms between talent policies and enterprise-level behavior. Specifically, how policies influence corporate staffing strategies, organizational change, and technology adoption processes requires further empirical exploration [28].

2.4. Intelligent Impact of Talent-Introduction Policy on Enterprises

At the theoretical level, talent-introduction policies affect enterprise intelligence in three key ways: expanding the supply of skilled labor to alleviate technical labor shortages, reducing hiring costs and increasing recruitment willingness, and optimizing human-resource structures to enhance the effective use of intelligent equipment [29]. Existing studies have shown that the concentration of high-skilled talent significantly improves person–job matching efficiency [30] and generates knowledge spillovers and collaborative innovation effects [31]. Acemoglu et al. found that firms in cities with talent policies experience shorter recruitment cycles, indicating improved resource allocation. Monetary incentives (e.g., housing subsidies and relocation allowances) can partially offset salary expenditures, easing labor burdens and encouraging firms to create more high-skilled positions [32]. At the micro level, these talents often possess advanced cognitive abilities and experience with complex systems, enabling them to handle programming, system integration, testing, and debugging in intelligent manufacturing processes [33]. This provides a continuous driving force for technology adoption, process optimization, and innovation output. However, most existing studies stop at the “supply–matching” level, lacking a deeper analysis of internal mechanisms such as knowledge transformation and intelligent system adoption. For instance, little is known about how talent participates in technological decision making, how knowledge diffuses within the organization, or how talent shapes innovation culture. Moreover, empirical research on strategic emerging industries like new-energy vehicles is still limited, and the applicability and transferability of related findings remain to be further tested.

2.5. Literature Review and Research Gaps

A review of the existing literature reveals several key limitations in studies related to enterprise intelligence and talent-introduction policies. First, the definition of “enterprise intelligence” remains vague, lacking a theoretical framework incorporating dynamic evolution and interdisciplinary integration. Future research should incorporate perspectives from organizational behavior and institutional change to enrich the concept. Second, there is no standardized method for measuring enterprise intelligence. The current approaches lack systematic comparison and integration, making it difficult to conduct accurate assessments. It is necessary to construct scientific evaluation models based on multi-source heterogeneous data. Third, most studies still operate within the framework of traditional talent policies, focusing mainly on macro-regions or conventional manufacturing firms. There is a notable lack of empirical research on targeted talent policies and insufficient attention to intelligent manufacturing sectors such as new-energy vehicles. Regarding mechanism analysis, the literature primarily emphasizes improvements in talent supply and recruitment efficiency while underestimating the more profound role of high-skilled talent in driving enterprise intelligence transformation. Specifically, there is a lack of systematic modeling and empirical testing of the entire chain from “policy—human capital—technology adoption—intelligent transformation”. Future research should deepen mechanism-based analysis by exploring how policies influence internal human-resource structures and organizational behavior, thereby driving the endogenous evolution of enterprise intelligence. This will enable both theoretical advancement and practical guidance.

3. Research Design

3.1. Research Hypotheses

New technologies can significantly change the structure of employment and labor force [34,35], such as intelligent production equipment that promotes the re-engineering of the enterprise’s product-manufacturing process or its “innovative production function”. Davenport and Ronanki state that the micro first appears as a skilled job shortage [36]. This suggests that enterprises must invest heavily in intelligent equipment like industrial robots and hire highly skilled workers [33], which is especially true in automation-dependent industries like the new-energy-automobile industry [37]. The intensity of intelligent equipment use in firms often increases the demand for a specialized and highly skilled workforce [32], whose design, research and development, and system maintenance, among others, require such personnel. The innovative manufacturing process relies on these workers for operation and maintenance and innovation promotion [38]. To address this, a targeted talent-introduction policy is essential. The policy has designed a series of attractive incentives, including generous compensation and benefits, personalized career development paths, and training and education opportunities that keep pace with the industry’s frontiers to attract many highly skilled personnel highly compatible with the new-energy automotive industry. This talent boosts enterprises’ ability to apply and innovate intelligent manufacturing equipment, improves their technical level, and accelerates knowledge transfer. The policy ensures that the introduced talents are highly matched with the enterprise’s actual needs, familiar with the new-energy-automobile industry’s technology and process flow, and able to quickly adapt to new technology and equipment. In the key links of intelligent equipment design, research and development, and system maintenance, these talents play an irreplaceable role in promoting. Based on the analysis, this paper suggests:
H1. 
The refined talent-introduction policy has attracted highly skilled talents with high matching degrees to enter the enterprises and enhanced the enterprises’ ability to apply and innovate intelligent manufacturing equipment, which in turn has enhanced the level of intelligent investment and promoted the intelligent development of new-energy-automobile enterprises.
The targeted talent-introduction policy accurately locates and attracts high-skilled and highly educated talents (especially employees with bachelor’s degrees or above) to new-energy-automobile enterprises, directly improving the workforce’s skill and education level and profoundly optimizing the enterprise’s human-capital structure [39]. Highly skilled and educated talent bring new ideas, technologies, and management methods to enterprises due to their professional knowledge, learning ability, and innovation ability [40]. Enterprises’ technological innovation and product upgrades benefit from such talents in R&D, production, management, and other areas. The agglomeration effect of highly educated talents also attracts more talented people, creating a virtuous cycle [41]. The addition of highly skilled and educated talent boosts brand image and market competitiveness, providing solid talent support and intellectual guarantee for intelligent enterprise transformation [42]. Based on the analysis, this paper suggests:
H2. 
The targeted talent-introduction policy lays a solid foundation for the intelligent development of new-energy-automobile enterprises by optimizing the human-capital structure of enterprises.
The targeted talent introduction policy attracts high-fit talents with profound professionalism and keen insight who can quickly capture industry development trends and technological frontiers and bring innovative ideas and thoughts to enterprises. Under the targeted talent-introduction policy, these talents have actively participated in enterprise R&D and promoted AI and other patent applications and landings. These patents protect enterprises’ technical achievements and give them market advantages [43]. Applying patents on the ground also promotes enterprise intelligence by using intelligent manufacturing equipment and optimizing production processes [44]. Patent output also boosts brand value and market influence, laying the groundwork for long-term growth [45]. Based on the analysis, this paper suggests:
H3. 
Targeted talent-introduction policy promotes the intelligent development of new-energy-vehicle enterprises by enhancing technological innovation capability and patent output.

3.2. Model Building

Since the targeted talent-introduction policies have been gradually implemented across different cities since 2016, exhibiting a clear pattern of phased rollout, this study treats the policy implementation as a quasi-natural experiment. To assess the impact of these policies on firms’ intelligent manufacturing decisions, we employ a multi-period difference-in-differences (DID) model for identification and estimation. First, in terms of identification strategy, the introduction of such talent policies is primarily driven by local government strategies rather than firms’ endogenous decisions regarding intelligent transformation. Therefore, the policy can be regarded as an exogenous shock, effectively mitigating concerns related to reverse causality. Second, the multi-period DID framework enables us to exploit the variation in policy implementation timing across cities, allowing for the dynamic capture of policy effects and enhancing the precision of the estimates.
Regarding the construction of the control group, we selected firms located in cities that had not yet introduced relevant talent policies during the observation period. These cities are comparable to treated ones in terms of industrial structure, economic development, and firm distribution, which helps to ensure the validity of the counterfactual scenario and the robustness of the estimated treatment effects. Moreover, we include firm and year-fixed effects in the model to control for unobservable individual heterogeneity and time-specific shocks, thereby reducing potential biases from omitted variables. This comprehensive approach enables a rigorous evaluation of the causal impact of talent-introduction policies on firms’ intelligent manufacturing decisions. The specific model is specified as follows:
Int _ invest i , t = β 0 + β 1 Talenl i , t + β 2 Conlrol i , t + δ i + σ t + ε i , t
Considering that different firms are affected by talent-introduction policies in other years, this paper uses firm–year-level data for the study. Where ‘i’ stands for enterprise, and ‘t’ stands for a year. Control is the group of control variables, σ is the time-fixed effect, and δ is the individual fixed effect of enterprise that does not change with time. εi,t represents the random error term. The primary explanatory variable Talenti,t indicates whether or not the city implemented the talent-introduction policy that year. The measures of talent introduction adopted in the study are the policies (and policies including academic thresholds, subsidy policies, etc.) that were first issued by the local government and are the most closely related to the introduction of talent. The search results show that each city’s talent-introduction policies mainly focus on the first release of policies. Policies (including educational thresholds, subsidy policies, etc.): The search can be obtained to determine that each city’s first release of the talent-introduction policy was mainly concentrated from 2016 to 2019. During this period, the city has implemented the talent-introduction policy. Talenti,t is 1. Otherwise, it is 0.

3.3. Variable Setting

3.3.1. Core Explanatory Variables

The data on targeted talent-introduction policies are collected and organized by combining text-analysis methods and manual collection. In this paper, through the official websites of the human-resources departments of local municipalities, the official websites of social security departments, talent websites, and portals, as well as other websites such as the Beida Faber database and the news media, we search for the keyword “year + city name + talent policy” and screen for the subdivided directory of the introduction of talent in each talent policy to find out whether or not there are “new energy”, “new materials”, “new energy vehicles”, “new energy vehicles and parts”, “intelligent manufacturing”, “automation”, “artificial intelligence”, “machine learning”, “flexible production line” and other words that are strongly related to the new-energy automotive industry, and study the policy documents to finalize the data associated with the local talent-introduction policy.

3.3.2. Explained Variables

Assessing enterprise intelligent transformation requires valid measurement outcomes and accessible and reliable indicator data. Existing enterprise intelligence assessments focus on industrial robot inventory, application, and AI patents. However, these metrics do not only partially capture an enterprise’s intelligent transformation [3]. This paper examines enterprise-level new-energy-vehicle data. Qi et al. and Zhang et al. research is used to assess measurement method reliability and study feasibility [3,46]. We develop an indicator and metric to measure enterprise intelligence investment depth and breadth. This is achieved by carefully identifying intelligence investments related to the company’s intangible and fixed assets. An effective indicator is created to measure companies’ intelligence investment through a careful analysis of intangible and fixed assets. The framework helps enterprises evaluate resource allocation and strategic direction during intelligent transformation by considering capital allocation in information technology, hardware facilities, and technology platforms. Some measurement methods are listed below.
I A A I = i   I A N f I A n a m e i
Specifically, N denotes the total number of intangible asset items whose names contain keywords such as “intelligence”, “software”, “system”, “information platform”, or “data”. fIA(namei) represents the amount of investment in intangible asset items whose names include the keywords “intelligence”, “software”, “system”, “information platform”, “data”, etc., where namei is the name of the ith intangible asset item. The core of this indicator lies in the fact that identifying intangible asset items closely related to intelligent technology captures enterprises’ intelligent investment in intellectual property rights, technology platforms, and information systems and provides direct data support for analyzing the enterprises’ intelligent technological innovation capability.
A A I = i   F A M f F A n a m e j
The amount of intelligent investment in fixed assets follows a similar logic. M refers to the set of fixed-asset items whose descriptions include terms such as “electronic equipment” or “computer”. fFA(namej) represents the amount of investment in fixed assets whose names contain keywords such as “electronic equipment”, “computer”, “data equipment”, etc. namej is the name of the jth fixed-asset item. This part of intelligent investment mainly focuses on hardware facilities, network infrastructure equipment, and data-processing systems, directly reflecting the enterprise’s capital investment in digital infrastructure and intelligent production equipment.
T A = I A t o t a l + F A t o t a l
IAtotal represents the annual total intangible assets of the enterprise, while FAtotal is the annual total fixed assets of the enterprise. The sum of the two is the annual total assets of the enterprise TA. This indicator not only serves as a reflection of the overall asset strength of the enterprise but also provides a reference benchmark for calculating the level of intelligent investment. By combining all asset categories of an enterprise, the proportion of intelligent investment in the enterprise’s total assets can be examined more comprehensively, thus reflecting the relative investment strength of the enterprise in intelligent transformation.
Int _ invest = I A AI + F A AI T   A
The proportion of total intelligence-related investment in intangible and fixed assets relative to the enterprise’s total annual assets measures the level of investment in intelligence. This indicator reflects enterprises’ overall investment status in the intelligent transformation process. IAAI and FAAI represent an enterprise’s intelligent investment in technology, equipment, and related fields. In contrast, the proportion of intelligent investment to the enterprise’s overall economic resources can be effectively measured using the enterprise’s total annual assets as the denominator.

3.4. Control Variables

This paper selects the variables that may affect the level of enterprise intelligent investment as control variables. Table 1 shows the symbols and metrics of the variables involved in the model.

3.5. Data Sources

This paper uses city talent-introduction policies from 2016–2019 as an exogenous shock to study Chinese A-share (i.e., companies listed on the Shanghai or Shenzhen Stock Exchange with shares denominated in RMB) new-energy-automobile listed companies’ investment in intelligent equipment to realize corporate intelligent manufacturing from 2007 to 2022. China issued “New Energy Vehicle Production Access Management” in 2007. The sample began in 2007 when China released the “New Energy Vehicle Production Entry Management Rules”, as the new-energy-vehicle industry entered the introduction period. Enterprises’ intelligent investment, financial data, and equity attributes are from the CSMAR database; employees’ data are from the WIND database; and patents’ data are from the Incopat database. The number of AI patents is based on the input intelligent semantic retrieval and analysis tool, and the number of patents with names like “automation”, “intelligence”, “artificial intelligence”, “neural network”, and “deep learning (For the specific operation process, please refer to the Supplementary Material). Sample-processing details: Combine all data, exclude delisted companies, companies listed for less than one year, ST and ‘ST’ companies, samples with abnormally missing relevant variables, and companies whose office location changed during the sample period. Both continuous variables were shrunk by 1% bilaterally.

4. Results of Quasi-Natural Experiments

4.1. Descriptive Statistics of Variables

Table 2 presents descriptive statistical characteristics. The data indicate that targeted talent-acquisition measures implemented between 2016 and 2019 covered 83% of firms during the sample period, suggesting a broader coverage and more substantial policy impact. In addition, the median and mean levels of investment in intelligence at the firm level are less different, and the data are more evenly distributed.

4.2. Baseline Regression Results

Table 3 reports the impact of targeted talent-introduction policies on the effects of new-energy-vehicle firms’ intelligent decision-making. Column (2) presents the results of the univariate test for the level of firms’ investment in intelligence, and the coefficient estimate of the key explanatory variable talent is 0.016 and significant at the 1% level. After controlling for variables that may affect the level of intelligent investment at the enterprise level, the coefficient estimate of talent in column (4) is 0.013 and is significant at the 1% level, indicating that the level of intelligent investment of enterprises increases by 1.33% on average after the city introduces the talent-introduction policy. Taken together, the talent-introduction policy does improve the intelligence level of new-energy-automobile enterprises in the policy cities, which is manifested in the significant increase in intelligent investment; therefore, assuming H1 holds true. Notably, despite controlling for several firm characteristics in our model, omitted variable bias may still exist [47]. For instance, regional policies, industrial clustering effects, or other local government support measures might concurrently impact firms’ intelligent investment and talent mobility, thereby confounding the results. Future research could employ instrumental variables or more granular data—at district or industry levels—to further examine these potential influences [48].

4.3. Robustness Check

4.3.1. Equilibrium Trend Test

The parallel trend test is a fundamental assumption of the difference-in-differences (DID) methodology. Its underlying principle is that, without policy intervention, the treatment and control groups should follow similar trend patterns. If the outcome variable exhibits analogous trajectories for both groups before the intervention, it lends greater credibility to the causal identification of the policy effect. In order to test the parallel trend hypothesis of the double-difference model, this paper adopts the panel-event study method [49] to test the time trend of the human-targeted talent-introduction policy implementation periods. We take the year before the policy implementation (t = −11, labeled as “current” in the figure) as the reference period. The event window includes six years before the policy (t = −6 to t = −2, corresponding to “pre6” to “pre2” in the figure) and six years after the policy implementation (t = +1 to t = +6, corresponding to “post1” to “post6”). This structure allows us to compare the estimated coefficients across periods and assess the dynamic effects of the policy over time. Figure 1 shows that before implementing the targeted talent-introduction policy, the dynamics of firms at the brilliant investment level in policy and non-policy cities are homogeneous and do not differ significantly (the regression coefficient βpre is not significantly different from 0). Thus, the parallel trend assumption is satisfied. After implementing the talent-introduction policy, the level of intelligent investment of enterprises in policy cities shows a significant increase compared with enterprises in non-policy cities, indicating that the targeted talent-introduction policy has a specific intelligent effect.

4.3.2. Placebo Testing

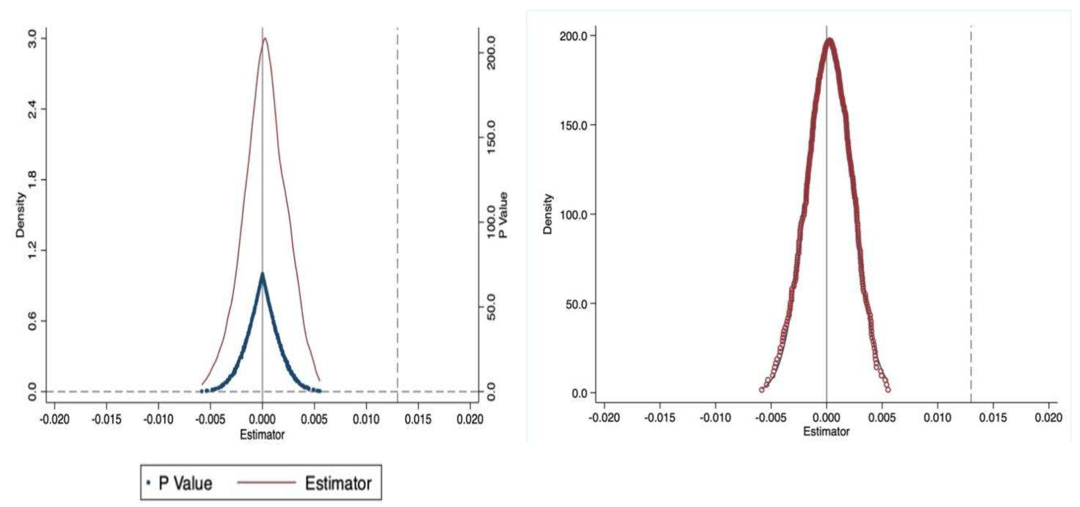
The core idea of the placebo test is to construct a “false treatment” to assess whether the observed policy effects stem from the actual intervention. If significant effects are observed after randomly assigning the treatment group or the policy implementation time, it suggests that model specifications or inherent data characteristics might drive the estimated results; conversely, the absence of such effects supports the causal validity and robustness of the actual policy intervention. This study employs a placebo test to ascertain that the impact of the targeted talent-introduction policy on the intelligence of new-energy-automobile enterprises is not attributable to other stochastic factors. This paper references the placebo test conducted by Bai et al. for the multi-period DID model, which involves random assignment of the city implementing the policy, the year of the talent-introduction policy, and 500 Monte Carlo simulations [50]. The specific results are shown in Figure 2. Following the disruption of treatment groups and policy time points, the estimated coefficients for the level of intelligent investment cluster around 0, with p-values predominantly exceeding 0.1. This contrasts markedly with the estimated coefficient of the actual policy in the baseline regression model, which is 0.013, thereby mitigating the influence of specific unobservable city characteristics and other stochastic factors on the results.

4.3.3. Propensity Score Matching (PSM-DID)

PSM simulates the conditions of a randomized experiment by controlling for differences in observable characteristics between the treatment and control groups before the policy is implemented, thereby mitigating selection bias. When combined with the DID approach, this method enhances the precision of the policy-effect estimation. Factors including local-government incentive policies, urban infrastructure development, and the level of economic development influence the location of enterprises. This study may encounter issues related to sample self-selection and sample imbalance in the division of the experimental and control groups. This paper utilizes the one-year pre-policy characteristics as a benchmark for propensity score matching to address this issue. A probit model incorporating all control variables estimates the treatment and control groups, with the predicted value as the score. The control group is matched to the treatment group based on nearest-neighbor matching scores. The base model was subsequently re-estimated utilizing the matched samples. The conclusions in Table 4 (1) align with the baseline results following the correction for potential selection bias.

4.3.4. Substitution of Explanatory Variables

The variable replacement test examines whether the research findings are contingent upon a specific measurement of the outcome variable. If the results remain consistent and significant after substituting the outcome variable, it indicates that the core mechanism possesses construct robustness, effectively ruling out measurement bias. This paper substitutes the core explanatory variables to mitigate the resulting bias stemming from the measurement of explanatory variables and further substantiates the conclusion that the targeted talent-introduction policy enhances the intelligent development of new-energy-automobile enterprises. It employs the per capita value of the enterprise’s intelligent machines and equipment as an indicator to assess the extent of AI adoption, thereby comprehensively evaluating the influence of the talent-introduction policy on the enterprise’s investment in intelligentization from the perspective of AI adoption. The influence of talent-introduction policies on intelligent investment in enterprises. The regression coefficient for the degree of enterprise AI adoption, as presented in Table 4 (2), is 0.0927 and is significant at the 1% level. This finding aligns with expectations and suggests robust benchmark regression results.

4.3.5. Incorporating Additional Fixed Effects

Incorporating multidimensional fixed effects addresses the potential confounding bias arising from omitted variables, particularly when regional policies or industry trends may influence the outcome variable. By serving as “structural control variables”, fixed effects substantially improve the identification of the policy effect. Utilizing the framework established by Zhao et al. [51], we account for industry dimensions and region-specific influences through the implementation of “industry-time” fixed effects and “city-time” fixed effects, respectively. The study additionally accounts for fixed effects at province- and city-time levels. This study incorporates “province-time” fixed effects to address the endogeneity issue arising from omitted variables. The regression results presented in Table 4 (3) indicate that the coefficient of talent remains significantly positive, demonstrating that this study has primarily mitigated the endogeneity bias associated with omitted variables, thereby enhancing the credibility of its findings.

4.3.6. Lagged Explanatory Variables

Lagging the explanatory variable is a strategy to address potential issues of reverse causality. Theoretically, causation should follow a temporal order—where the cause precedes the effect. By introducing a lagged policy variable, the approach effectively mitigates estimation biases resulting from simultaneity or bidirectional causality, thereby strengthening the temporal logic and credibility of the causal inference. This study addresses the delayed implementation of the talent-introduction policy and seeks to mitigate the endogeneity issue associated with reverse causality. To this end, the analysis employs a one-period lag of the explanatory variables to replicate the benchmark regression. Additionally, the talent-introduction policy from the previous year is incorporated as an explanatory variable in the benchmark regression model for further validation. Table 4 presents the regression results, indicating that the regression coefficient for the explanatory variables lagged by one period is 0.0094, which is significant at the 5% level. The impact of the talent-introduction policy remains significant even after incorporating the lagged term of the explanatory variables, thereby confirming the robustness of the core conclusions from the prior study.

5. Mechanism of Action and Heterogeneity Analysis

5.1. Mechanism Testing

B a c h e l o r _ l a b o r i , t = α 1 + β 1 × T a l e n l i , t + γ 1 × C o n l r o l i , t + δ i + σ t + + ε   i , t  
  T e c h _ l a b o r i , t = α 2 + β 2 × T a l e n l i , t + γ 2 × C o n l r o l i , t + δ i + σ t + + ε i , t
A I _ p a t i , t = α 3 + β 3 × T a l e n l i , t + γ 3 × C o n l r o l i , t + δ i + σ t + + ε i , t
P a t _ o t h e r i , t = α 4 + β 4 × T a l e n l i , t + γ 4 × C o n l r o l i , t + δ i + σ t + + ε i , t
As mentioned earlier, the targeted talent-introduction policy provides talent reserves and support for enterprises applying intelligent equipment. The inflow of highly skilled personnel accelerates the application and landing of artificial intelligence and other patents and promotes enterprises’ intelligent investment. Therefore, this paper adopts the wages of highly skilled talents and the number of AI and other patent applications to test the mechanism.
Based on the definition of high-quality talent from previous literature [52], this study defines employees with a bachelor’s degree or higher and technical employees as high-quality talent. Specifically, the variable Bachelor_labor represents the proportion of employees with a bachelor’s degree or higher, while Tech_labor denotes the proportion of technical employees. The results of the high-quality talent examination are presented in columns (1) and (2) of Table 5. Column (1) indicates that targeted talent-introduction policies significantly increase the recruitment of highly educated personnel, effectively enhancing the overall proportion of highly educated employees within the company. This further supports the direct role of such policies in attracting and integrating high-level human resources (i.e., employees with bachelor’s degrees or higher). Column (2) shows that talent-introduction policies also significantly increase the proportion of technical employees, suggesting that these policies provide companies with specialized skilled labor, thereby promoting hiring more technical personnel. The “Capital-Skill Complementarity Theory” suggests a complementary relationship between physical capital (incredibly advanced technological capital such as intelligent devices and digital systems) and high-quality labor. Specifically, as companies introduce more advanced production equipment and technological systems, their reliance on highly educated and skilled personnel to operate, manage, and maintain these systems increases. Therefore, during intelligent transformation, the marginal productivity of high-quality talent rises, and companies’ demand for such talent also increases. In this context, talent-introduction policies act as an external incentive mechanism to attract more highly educated or skilled workers to companies, thus optimizing the human-capital structure. The increase in high-quality talent further enhances the efficiency of capital investment, making companies more likely to adopt advanced production technologies and intelligent systems in their transformation processes. This creates a virtuous cycle of “high-quality talent—capital investment—intelligent transformation”. In conclusion, talent-introduction policies significantly strengthen the human-capital base required for companies’ intelligent transformation by increasing the proportion of highly educated and skilled employees. This therefore further validates the complementary relationship between human and physical capital, assuming H2 holds true.
The variable AI_pat represents the count of AI patent applications submitted by enterprises. This study integrates findings from Wang to identify high-frequency keywords in the artificial intelligence domain [53]. This identification is based on the classification of artificial intelligence outlined in the Classification of Strategic Emerging Industries and relevant literature from the China Knowledge Network (CNKI) database. Secondly, the high-frequency keywords were entered into the IncoPat database for retrieval. The “Artificial Intelligence China Patent Technology Analysis Report”, published by the National Industrial Information Security Development Research Centre, indicates that each AI patent category code in the State Intellectual Property Office’s patent database has been verified and supplemented, aligning with the corresponding enterprises. Calculate the number of other patent applications by subtracting the total number of AI patents filed from the total number of enterprise patents submitted. The test results regarding the number of patents are presented in columns (3) and (4) of Table 5.
The findings indicate that the targeted talent-introduction policy markedly enhances the volume of AI patent applications and other patent submissions, thereby effectively elevating the overall R&D capabilities of the enterprise. The targeted talent-introduction policy effectively supplies enterprises with senior knowledge-based professionals, enhances the talent hierarchy, cultivates a diverse R&D team, and consequently advances the enterprise’s innovation capacity and operational efficiency. Simultaneously, supported by economic subsidies from the talent-introduction policy, enterprises will implement internal incentive mechanisms, including innovation rewards and promotion opportunities. This may lead to opportunistic behavior among newly introduced talents [54], enhancing their enthusiasm for innovation. The results indicate that the targeted talent-introduction policy enhances technological breakthroughs in enterprises while simultaneously increasing the output of innovation achievements, such as AI patents and other patents, thereby establishing a technological reserve and know-how base for these enterprises. Intelligent manufacturing requires the integration of various new technologies, including automation, the Internet of Things, and artificial intelligence. The accumulation of patents ensures that enterprises possess a robust technical foundation in these critical areas, thereby supporting subsequent intelligent development. Conversely, the advantages of technology monopolies conferred by patents can motivate enterprises to enhance R&D investment and foster advancements in intelligent technologies. Overall, we assume H3 is confirmed.

5.2. Heterogeneity Test

5.2.1. Firm Level

This study investigates the types of enterprises more inclined to enhance their intelligent investment and expedite the transition to intelligent manufacturing after implementing talent-introduction policies. Firm characteristics encompass the nature of property rights, firm size, and the geographic location of business premises. This study utilizes the research methodology established by Li to delineate the company’s size classification [55]. A comprehensive evaluation of the four key indicators—sales revenue growth rate, profit retention rate, capital expenditure ratio, and years of business operation—yields corresponding scores, which are then used to rank the entire sample in descending order. Firms are classified into three categories: the top one-third are designated as large firms, the bottom one-third as small firms, and the middle one-third as medium-sized firms.
This study, based on the Global Value Chain (GVC) theory [56] and the technological and economic characteristics of the new energy vehicle (NEV) industry, divides the industrial chain into three core segments: the upstream segment includes raw materials and key component manufacturing, such as battery materials, motors, and electronic control systems, where enterprises typically undertake technological innovation and core technology R&D tasks; the midstream segment primarily refers to vehicle manufacturers and module integrators, engaged in the product assembly and integration phase; the downstream segment includes sales services, charging infrastructure, aftermarket services, and related financial leasing enterprises. For specific classification, this paper employs a dual verification standard: first, by classifying based on the primary business revenue structure, where upstream enterprises have a raw material and component revenue ratio of ≥60%, midstream enterprises have a vehicle manufacturing revenue ratio of ≥70%, and downstream enterprises have a service revenue ratio of ≥50%; second, by matching the industry classification codes in the “New Energy Vehicle Industry Development Plan (2021–2035)” [57], ensuring consistency and accuracy in classification. This dual approach guarantees the industrial-chain segmentation’s theoretical basis and empirical rigor.
The subgroup regression results indicate that non-state-owned enterprises (non-SOEs) are more significantly motivated to implement targeted talent-acquisition policies compared to state-owned enterprises (SOEs). State-owned enterprises (SOEs) possess ownership characteristics that impose a greater social responsibility for “stabilizing employment”. Employees in SOEs typically embody a “compiled” identity that reflects an implicit agreement between the socialist state and its citizens, resulting in elevated dismissal costs. Conversely, non-state-owned enterprises (non-SOEs) bear reduced social responsibility, which similarly contributes to higher dismissal costs [42]; NSOEs exhibit reduced social responsibility, leading to diminished dismissal costs and a more flexible allocation of labor [18].
Second, as indicated in columns 3–5 (Table 6), large-scale enterprises are more inclined to implement targeted talent-acquisition policies than medium- and small-scale enterprises. Large-scale enterprises likely possess more significant brand influence and market competitiveness. Due to their extensive business operations and comprehensive industrial chains, large-scale enterprises can generate a resource-aggregation effect that fosters a virtuous cycle through attracting talent. Large enterprises’ management systems and policy research resources are more comprehensive than small and medium-sized enterprises. This allows large enterprises to respond more swiftly to government talent-introduction policies and to leverage the advantages provided by these policies fully. This implementation enables enterprises to attract and retain talent efficiently.
The regression results of the industry-chain grouping are shown in columns (6) to (8) of Table 6. The regression coefficient for upstream enterprises is 0.034, which is significant at the 5% level, while for midstream enterprises, the coefficient is 0.013, with a significance level of 1%. For downstream enterprises, the coefficient is also 0.013, but it does not show statistical significance. These results reflect significant structural differences in the effects of talent policy transmission across different segments of the industrial chain. Upstream enterprises, as key support for technological innovation and critical component R&D, have a higher dependency on high-end technical talent, which leads to a significant increase in intelligent transformation investments after receiving targeted talent-introduction policies.
In contrast, although midstream enterprises also benefit from policy incentives, their marginal effects are more subdued due to the relative maturity of vehicle manufacturing and module integration technologies. Downstream enterprises, primarily focused on market and service operations, exhibit lower efficiency in absorbing and converting intelligent technologies, which results in the policy’s impact not being significantly amplified. Future policy design should fully consider the specific needs and technology intensity of each segment in the industrial chain, implementing differentiated strategies to maximize the comprehensive effect of policies in driving industry upgrades and enterprise transformation.

5.2.2. Urban Level

The impact of enterprise characteristics on policy effectiveness is complemented by the significance of environmental conditions and supporting facilities at the city level, which are crucial in determining the effectiveness of talent-introduction policies in intelligent driving. Environmental variables at the city level encompass urban economic development and housing-price levels. This paper utilizes the average per capita gross domestic product (GDP) and house prices to develop a city characteristics index system. A value above the average median indicates a high level of economic development and elevated house prices, designated as “1”; otherwise, it is marked as “0”. Enterprises are categorized into two groups, followed by the implementation of group regression analysis.
Table 7, Columns 1–2, indicates that an increase in the city’s economic development level correlates with a more pronounced effect of targeted talent-introduction policies. Cities characterized by advanced economic development exhibit a robust financial standing of local governments, enhanced capacity for financial support [43], improved medical services, education systems, and other infrastructures, and increased employment opportunities. These factors significantly augment the appeal for talent and facilitate talent inflow [9]. The impact of talent-introduction policy is more pronounced in cities with higher levels of economic development, aligning with expectations.
In urban areas with elevated housing costs, companies are more inclined to leverage targeted talent-acquisition strategies to implement innovative manufacturing technologies effectively. The ongoing increase in urban housing prices intensifies labor costs for firms, thereby incentivizing the adoption of innovative manufacturing technologies to lower overall production expenses. Moreover, housing subsidies have emerged as a critical mechanism for attracting talent within the newly implemented talent-attraction policies. Numerous cities have implemented various housing security measures to improve the city’s appeal to high-quality talent, including rental subsidies, temporary housing, and financial assistance for home purchases. These initiatives effectively lower the employment costs for enterprises seeking high-quality talent in areas with elevated housing prices. The coefficients in columns (3) and (4) of Table 7 are significantly positive, demonstrating that the impact of talent-introduction policies is more pronounced in cities with elevated house prices, consistent with expectations.

5.2.3. Policy Characteristics Dimension

To further enhance the external validity of the core findings, this study constructs a policy-intensity index system. It conducts heterogeneity analysis within the subsample of cities implementing talent-introduction policies. The objective is to examine how variations in policy intensity influence the degree of enterprise intelligent transformation. Drawing on the policy heterogeneity analysis method proposed by Yu et al. [58], we systematically review local government documents related to talent-introduction policies. Using content analysis, we identify five key institutional elements based on the configuration of policy instruments: Healthcare Support (Healthcare): whether the policy provides medical check-ups, exclusive healthcare access, or medical insurance subsidies for introduced talents; Performance-Based Incentives (Award): whether the policy includes outcome-oriented rewards such as talent awards or innovation achievement bonuses; Innovation and Entrepreneurship Support (Inno): whether the policy offers startup funding, office space, financing assistance, or subsidies for achievement commercialization; Economic Subsidies (Cash): whether the policy includes living allowances, employment subsidies, or tax incentives; Housing and Settlement Support (House): whether the policy provides home purchase subsidies, rental support, household registration facilitation, school enrollment for children, or support for family relocation.
A value of 1 is assigned for each policy element if the corresponding provision is explicitly mentioned in the policy text; otherwise, it is scored as 0. The total policy intensity score is the sum of the five dimensions, with a theoretical range from 0 to 5. Based on this scoring system, we divide the cities that have implemented talent policies into two groups according to the median score: Firms in cities with a score of ≥3 are assigned to the high-intensity policy group (PolicyStrength = 1), indicating more systematic and comprehensive incentive policies. Firms in cities with a score of <3 are assigned to the low-intensity policy group (PolicyStrength = 0), reflecting relatively single-policy tools and weaker incentives. The interaction term extended model is constructed as follows:
I n v e s t i t = α + β 1   T a l e n t i t + β 2 T a l e n t i t × PolicyStrength i + γ   C o n t r o l i t + δ i + σ t + ε i t
As presented in Table 8, the empirical results indicate that talent-introduction policies significantly positively affect enterprise intelligence transformation in regions with high policy intensity. In contrast, the effect is weak and statistically insignificant in regions with low policy intensity. This finding suggests that policy intensity plays a crucial moderating role in shaping policy outcomes. The diversity of policy measures and the comprehensiveness of incentives form the foundation for achieving policy objectives. Stronger policies often accompany more apparent government commitments, more comprehensive supporting measures, and greater institutional enforcement capacity. These factors enhance the credibility of policy signals and strengthen firms’ expectations regarding transformation incentives, encouraging more active investment in intelligent upgrading. Conversely, in regions where policy support is limited in scope, it is difficult to establish effective resource-allocation incentives, resulting in a diminished marginal effect of talent policies. Therefore, policy design should further optimize the structural composition of policy content, enhance the complementarity and enforcement of policy instruments, and strive to maximize the overall policy effect while promoting a more balanced distribution of policy benefits across regions.

6. Conclusions and Implications

6.1. Conclusions of the Study

In the context of global climate change and the green economic transformation, the rapid growth of the new-energy-automobile industry depends on advancing intelligent manufacturing, particularly by cultivating high-end technical talent. While prior studies have examined the link between talent policies and technological innovation, research on how targeted talent policies drive the intelligent development of new-energy-vehicle enterprises still needs to be expanded. This paper analyzes how targeted policies introduced in Chinese cities (2016–2022) have spurred intelligent investments and technological upgrades by attracting high-skilled talent aligned with the new-energy-vehicle sector. Unlike generalized policies, this study focuses on terms such as “new energy”, “intelligent manufacturing”, and “artificial intelligence” to evaluate their precise impact on talent flow.
The findings are threefold: (a) Targeted talent-attraction policies significantly enhance the intelligent investment levels of new-energy-vehicle firms, supporting human-capital theory. This finding, robust to IV and PSM tests, underscores firms’ need to acquire and allocate key talent in dynamic settings. (b) Mechanism tests reveal that the policy works through two channels: optimizing firms’ human-capital structure by increasing the share of highly educated and skilled employees and boosting innovation and patent outputs by aligning talent with firms’ intelligent development needs. This shows a “policy—human capital—technology adoption— intelligent transformation” process, echoing capital–skill complementarity theory. (c) Heterogeneous analyses show that the policy’s effects vary. Large and non-state-owned firms benefit more due to better resource integration. The policy is more effective for upstream than midstream and downstream firms, showing a structural distribution in the supply chain. Effects are stronger in economically advanced, high-housing, and high-priced cities, with higher policy intensity, indicating that policy design and implementation significantly impact outcomes.
Despite this study’s valuable theoretical and empirical contributions, several limitations should be acknowledged. First, the measurement of enterprise intelligent transformation remains relatively coarse, as it primarily relies on keyword identification within intangible and fixed assets. This approach may not fully capture the more profound structural changes in managerial processes, organizational design, and technological integration. Future research could incorporate more granular firm-level data, such as the deployment of intelligent equipment, to construct more precise measurement frameworks. Second, the mechanism analysis does not yet explore internal governance, organizational coordination, or knowledge diffusion, which may play critical roles in mediating the impact of talent policies. Further studies could adopt surveys or case-based approaches to investigate these micro-level behavioral mechanisms in greater depth. Finally, the sample is limited to A-share-listed new-energy-vehicle enterprises in China, which may constrain the generalizability of the findings. Expanding the research scope to include other high-end manufacturing sectors or emerging service industries would enhance the external validity and applicability of the results.

6.2. Recommendations for Countermeasures

The findings of this paper have several policy implications:
(1) Strengthening Talent Training Systems: To address global technological competition, the intelligent transformation of the new-energy-automobile industry must prioritize talent development. A systematic, multi-level training framework should focus on cultivating technical, R&D, and strategic innovation skills. Efforts should mainly target intelligent manufacturing, automation, and green technologies, ensuring a robust talent pipeline with practical and innovative capabilities.
(2) Broadening and Refining Talent Policies: Given their effectiveness, talent policies should be expanded to cover a broader scope and tailored to the sector’s needs. The government should introduce differentiated strategies to attract highly skilled technical talent, industry leaders, and multinational teams. Enhanced international cooperation can further integrate global expertise and elevate China’s competitive edge in intelligent manufacturing.
(3) Improving Support Systems: To enhance talent attraction, supportive measures should improve urban infrastructure, reduce living costs, and provide comprehensive benefits, including housing, healthcare, and education. Policymaking should also avoid excessive market intervention, ensuring coherence and alignment across regions and periods to sustain policy effectiveness.
(4) Promoting Intelligent Manufacturing Adoption: Adopting advanced manufacturing technologies, such as robotics, AI, and big data, is crucial for market competitiveness and industrial upgrading. Policies should incentivize their widespread application, enabling digital transformation, operational efficiency, and sustainable development to secure a global technological edge.
Despite its contributions, this study highlights areas for improvement. First, more refined measures of enterprise intelligence are needed, integrating micro-level data to explore underlying mechanisms. Second, better solutions for heterogeneity in multi-period difference-in-differences models are required to improve estimation accuracy and provide robust insights for policymakers.

Supplementary Materials

The following supporting information can be downloaded at: https://www.mdpi.com/article/10.3390/su17083562/s1, Appendix: Patent Data Preprocessing Description.

Author Contributions

Y.X.: Writing—review & editing, Supervision. Y.L.: Writing—original draft, Methodology, Investigation, Conceptualization. C.Z.: Writing—review and supervision. All authors have reviewed the previous versions of the manuscript. All authors have read and agreed to the published version of the manuscript.

Funding

Ministry of Education Humanities and Social Sciences Research General Project “Study on the Responsibility Sharing Accounting and Accountability Mechanism for Coordinated Air Pollution Control in the Yellow River Basin” Project No: 24YJC630260.

Institutional Review Board Statement

Not applicable.

Informed Consent Statement

Not applicable.

Data Availability Statement

No new data were created or analyzed in this study. Data sharing is not applicable to this article.

Acknowledgments

The authors sincerely thank the National Bureau of Statistics of China for providing related datasets.

Conflicts of Interest

The authors declare no competing financial interests or personal relationships that could influence the work reported in this paper.

Abbreviations

Int_investIntelligent investment
Tech_laborTechnology labor
AI_patArtificial intelligence patent
Pat_otherOther patents

References

  1. Zweig, D.; Kang, S. America Challenges China’s National Talent Programs; Center for Strategic and International Studies Report: Washington, DC, USA, 2020. [Google Scholar]
  2. Li, W.; Zhou, Y. The role of electric vehicles in decarbonizing China’s transport sector. Nat. Commun. 2022, 13, 3804. [Google Scholar] [CrossRef]
  3. Stern, N. Why Are We Waiting? The Logic, Urgency, and Promise of Tackling Climate Change; MIT Press: Cambridge, MA, USA, 2016. [Google Scholar]
  4. Zhang, X.; Li, A.; Wen, J. Policy design and market development of electric vehicles in China. Energy Policy 2022, 166, 112922. [Google Scholar] [CrossRef]
  5. Wang, Z.; Zhang, Y. Subsidies and infrastructure investments for electric vehicles: Lessons from China. Energy Econ. 2021, 93, 104889. [Google Scholar] [CrossRef]
  6. International Energy Agency. Global EV Outlook 2023. 2023. Available online: https://www.iea.org (accessed on 1 June 2024).
  7. Jia, C.; Zhou, J.; He, H.; Li, J.; Wei, Z.; Li, K.; Shi, M. A novel energy management strategy for hybrid electric bus with fuel cell health and battery thermal- and health-constrained awareness. Energy 2023, 271, 127105. [Google Scholar] [CrossRef]
  8. Brynjolfsson, E.; McAfee, A. Machine, Platform, Crowd: Harnessing Our Digital Future; W.W. Norton & Company: New York, NY, USA, 2017. [Google Scholar]
  9. Liu, Z.; Wei, Y.D. Talent policy and urban development in China: A case study of Hangzhou. Sustainability 2020, 12, 275. [Google Scholar] [CrossRef]
  10. Florida, R.; Adler, P.; Mellander, C. The city as innovation machine. Reg. Stud. 2020, 54, 310–319. [Google Scholar] [CrossRef]
  11. Baumol, W.J. The Cost Disease: Why Computers Get Cheaper and Health Care Doesn’t; Yale University Press: New Haven, CT, USA, 2019. [Google Scholar]
  12. Cao, Z.; Li, X. Human resource gaps in the electric vehicle industry: Challenges and opportunities. Energy Rep. 2021, 7, 1128–1135. [Google Scholar] [CrossRef]
  13. Acemoglu, D.; Restrepo, P. Demographics and automation. Rev. Econ. Stud. 2022, 89, 1–44. [Google Scholar] [CrossRef]
  14. Liu, J. The impact of intelligent manufacturing on income inequality. China Soft Sci. 2021, 43–52. [Google Scholar]
  15. Li, L.; Shi, X.; Liu, J. Forty years of China’s manufacturing industry: The process and prospects of intelligentization. China Soft Sci. 2019, 10. [Google Scholar]
  16. Wright, P.K. Manufacturing Intelligence (Vol. Massachusetts); Addison-Wesley Publishing Company Inc.: Reading, MA, USA, 1988. [Google Scholar]
  17. Davis, J.; Edgar, T.; Porter, J.; Bernaden, J.; Sarli, M. intelligent manufacturing, manufacturing intelligence and demand-dynamic performance. Comput. Chem. Eng. 2012, 47, 145–156. [Google Scholar] [CrossRef]
  18. Acemoglu, D.; Restrepo, P. Robots and Jobs: Evidence from US Labor Markets. J. Political Econ. 2020, 128, 2188–2244. [Google Scholar] [CrossRef]
  19. Wang, Y.; Dong, W. How does the rise of robots affect the Chinese labor market?—Evidence from publicly listed manufacturing companies. Econ. Res. 2020, 55, 159–175. [Google Scholar]
  20. Graetz, G.; Michaels, G. Robots at work. Rev. Econ. Stat. 2018, 100, 753–768. [Google Scholar] [CrossRef]
  21. Brynjolfsson, E.; McAfee, A. The Second Machine Age: Work, Progress, and Prosperity in a Time of Brilliant Technologies; W.W. Norton & Company: New York, NY, USA, 2014. [Google Scholar]
  22. Wen, H.; Zhong, Q. The impact of intelligent development on firms’ total factor productivity: Evidence from listed manufacturing companies. China Sci. Technol. Forum 2021, 84–94. [Google Scholar]
  23. Li, W.; Wang, F. Intelligent transformation, cost stickiness, and firm performance: An empirical test based on traditional manufacturing enterprises. Stud. Sci. Sci. 2022, 40, 91–102. [Google Scholar]
  24. Haskel, J.; Westlake, S. Capitalism Without Capital: The Rise of the Intangible Economy; Princeton University Press: Princeton, NJ, USA, 2017. [Google Scholar]
  25. Jian, X.; Du, D.; Liang, D. Scale or effectiveness? The nonlinear impact of talent agglomeration on high-quality economic development in China. Heliyon 2024, 10, e30121. [Google Scholar] [CrossRef]
  26. Tang, G.; Lin, C. Trends and experiences of talent introduction policies in selected countries in the new era. China Talent. 2024, 34–35. [Google Scholar]
  27. Yu, C. Challenges in Talent Attraction Policies: A Case Study of China’s ‘Thousand Talents Plan’. J. Chin. Political Sci. 2018, 23, 211–230. [Google Scholar]
  28. Hunt, J. Which immigrants are most innovative and entrepreneurial? Distinctions by entry visa. J. Labor Econ. 2011, 29, 417–457. [Google Scholar] [CrossRef]
  29. Tan, W. Aligning Talent Policies with Local Industrial Needs: A Policy Analysis. Reg. Stud. 2023, 57, 245–258. [Google Scholar]
  30. Hoole, C.; Hotz, G. The impact of a total reward system of work engagement. SA J. Ind. Psychol. 2016, 42, 1–14. [Google Scholar] [CrossRef]
  31. Starr, E.; Frake, J.; Agarwal, R. Mobility constraint externalities. Organ. Sci. 2019, 30, 961–980. [Google Scholar] [CrossRef]
  32. Boustan, L.; Choi, J.; Clingingsmith, D. Automation After the Assembly Line: Computerized Machine Tools, Employment and Productivity in the United States. SSRN Electronic Journal. 2022. Available online: https://jchoi7206.github.io/JiwonChoi/NC_Paper_Complete_17AUG2022.pdf (accessed on 1 June 2024).
  33. Acemoglu, D.; Koster, H.R.; Ozgen, C. Robots and Workers: Evidence from the Netherlands. 2023. Available online: https://www.nber.org/system/files/working_papers/w31009/w31009.pdf (accessed on 1 June 2024).
  34. Xu, S.-J. Skilled Labor Supply and Corporate Investment: Evidence from the H-1B Visa Program. SSRN 2016, 2877241. [Google Scholar] [CrossRef]
  35. Abubakar, I.R.; Aina, Y.A. The prospects and challenges of developing more inclusive, safe, resilient and sustainable cities in Nigeria. Land Use Policy 2019, 87, 104105. [Google Scholar] [CrossRef]
  36. Boyd, R.; Holton, R.J. Technology, innovation, employment and power: Does robotics and artificial intelligence really mean social transformation? J. Sociol. 2018, 54, 331–345. [Google Scholar] [CrossRef]
  37. Davenport, T.H.; Ronanki, R. Artificial intelligence for the real world. Harv. Bus. Rev. 2018, 96, 108–116. [Google Scholar]
  38. Adachi, D.; Kawaguchi, D.; Saito, Y.U. Robots and employment: Evidence from Japan, 1978–2017. J. Labor Econ. 2024, 42, 591–634. [Google Scholar] [CrossRef]
  39. Bianchi, N.; Giorcelli, M. The dynamics and spillovers of management interventions: Evidence from the training within industry program. J. Political Econ. 2022, 130, 1630–1675. [Google Scholar] [CrossRef]
  40. Deming, D.J. The growing importance of social skills in the labor market. Q. J. Econ. 2018, 133, 1593–1640. [Google Scholar]
  41. Sun, Z.; Hou, Y. Industrial intelligence and industrial gradient transfer: A re-examination of the “Flying Geese Theory”. World Econ. 2021, 44, 26. [Google Scholar]
  42. Ma, C.; Ma, W.; Li, C. The root causes and manifestations of ownership segmentation in China’s labor market. Manag. World 2017, 33, 22–34. [Google Scholar]
  43. Nathan, M.; Overman, H. Will coronavirus cause a big city exodus? UK housing and urban policy post-pandemic. Urban Stud. 2020, 57, 2445–2455. [Google Scholar]
  44. Agrawal, A.; Gans, J.; Goldfarb, A. The Economics of Artificial Intelligence: An Agenda; University of Chicago Press: Chicago, IL, USA, 2019. [Google Scholar]
  45. Cockburn, I.; Henderson, R.; Stern, S. The Impact of Artificial Intelligence on Innovation; NBER Working Paper No. 24449; National Bureau of Economic Research: Cambridge, MA, USA, 2018. [Google Scholar]
  46. Qi, H.; Cao, X.; Liu, Y. The impact of the digital economy on corporate governance: Based on the perspectives of information asymmetry and managerial irrational behavior. Reform 2020, 15. [Google Scholar]
  47. Angrist, J.D.; Pischke, J.-S. Mostly Harmless Econometrics: An Empiricist’s Companion; Princeton University Press: Princeton, NJ, USA, 2009. [Google Scholar]
  48. Acemoglu, D.; Autor, D. Skills, Tasks and Technologies: Implications for Employment and Earnings. In Handbook of Labor Economics; Ashenfelter, O., Card, D., Eds.; Elsevier: Amsterdam, The Netherlands, 2011; Volume 4, pp. 1043–1171. [Google Scholar]
  49. Clarke, D.; Tapia-Schythe, K. Implementing the panel event study. Stata J. 2021, 21, 853–884. [Google Scholar] [CrossRef]
  50. Bai, J.; Yu, X. The impact of global value chain embedding on energy conservation and emission reduction: Theory and evidence. Financ. Trade Econ. 2022, 43. [Google Scholar] [CrossRef]
  51. Zhao, K. The Relationship Between Strategic Emerging Industry Agglomeration and High-Quality Regional Economic Growth: Based on Sample Data from the Yangtze River Delta Region; Wuhan Business University: Wuhan, China, 2021. [Google Scholar]
  52. Yin, J. Research on Countermeasures to Improve the Employment Policy for High-Quality Talent Introduction in Hebei Province; Hebei University: Wuhan, China, 2020. [Google Scholar]
  53. Wang, Z. Research on the intensity of enterprise artificial intelligence technology and the transformation of internal labor structure. Econ. Dyn. 2020, 67–83. [Google Scholar]
  54. Bloom, N.; Sadun, R.; Van Reenen, J. Management practices and uncertainty. Rev. Econ. Stud. 2020, 87, 531–557. [Google Scholar]
  55. Li, Y.; Li, Z.; Tang, S. Enterprise lifecycle, corporate governance, and the efficiency of corporate capital allocation. Nankai Bus. Rev. 2011, 110–121. [Google Scholar]
  56. Gereffi, G.; Humphrey, J.; Sturgeon, T. The governance of global value chains. Rev. Int. Political Econ. 2005, 12, 78–104. [Google Scholar] [CrossRef]
  57. Ministry of Industry and Information Technology of the People’s Republic of China. New Energy Vehicle Industry Development Plan (2021–2035); General Office of the State Council of the People’s Republic of China: Beijing, China, 2021. (In Chinese) [Google Scholar]
  58. Yu, M.; He, M.; Zhang, M. Talent introduction policies, labor force optimization, and the intelligentization of manufacturing. China Ind. Econ. 2024, 116–134. [Google Scholar] [CrossRef]
Figure 1. Equilibrium trend test.
Figure 1. Equilibrium trend test.
Sustainability 17 03562 g001
Figure 2. Placebo test.
Figure 2. Placebo test.
Sustainability 17 03562 g002
Table 1. Variable names and descriptions.
Table 1. Variable names and descriptions.
Name (of a Thing)NotationMetric
Enterprise sizeSizeLogarithm of total assets of the enterprise at the end of the period
Leverage ratioLevProportion of funds for corporate debt to total funds
Return on net assetsROEThe ratio of the net profit of the enterprise to the average balance of shareholders’ equity
Total asset turnoverATOThe ratio of business income to average total assets of enterprises
Fixed assets as a percentageFixedNumber of students enrolled in general secondary schools as a percentage of total population
Percentage of independent directorsIndepThe ratio of the number of independent directors to the total number of board members
Management cost ratioMfeeThe ratio of net fixed assets to total assets of the enterprise
Capital Misappropriation by Major ShareholdersOccupyThe ratio of other receivables to total assets of the enterprise
Percentage of shares held by the largest shareholderTop1The ratio of the number of shares held by the largest shareholder to the total number of shares
Shareholding checks and balancesBalance1The ratio of shareholding of the second largest shareholder to that of the first largest shareholder
Are the four majorBig4Firms audited by the Big 4 (PwC, Deloitte, KPMG, Ernst & Young) take the value of 1, 0 otherwise.
Table 2. Full sample descriptive statistics.
Table 2. Full sample descriptive statistics.
VariableNMeanP50SdMinMax
Treat40520.83810.367601
Int_invest40520.1630.1360.13900.815
Size405222.2422.051.26019.4827.62
Lev40520.4440.4450.1860.03201.698
ROE40520.06000.07400.239−9.3842.389
ATO40520.7170.6350.4100.02705.175
FIXED40520.2030.1890.1140.001000.832
Indep405237.1833.335.21716.6766.67
Mfee40520.07600.06700.05800.003001.707
Occupy40520.01200.006000.022000.354
TOP1405232.7830.9414.512.88189.99
Balance140520.3780.3090.2880.002001
Big440520.071000.25701
Table 3. Benchmark regression results.
Table 3. Benchmark regression results.
(1)(2)(3)(4)
Int_investInt_invest
Talent0.0198 ***0.0163 ***0.0407 ***0.0133 ***
(4.59)(3.64)(11.38)(3.51)
Control variableNoNoYesYes
Individual-fixed effectNoYesNoYes
Year-fixed effectsNoYesNoYes
N4052405240524052
R20.00490.76020.41730.8208
*** p < 0.01; t statistics in parentheses.
Table 4. Results of correlation robustness tests.
Table 4. Results of correlation robustness tests.
(1)(2)(3)(4)
Psm-didSubstitution of explanatory variablesFixed province effectOne period behind
Talent0.0136 ***
(3.53)
0.0927 **
(2.03)
0.0135 ***
(3.46)
0.0094 **
(2.48)
Control variableYesYesYesYes
Individual-fixed effectYesYesYesYes
Year-fixed effectsYesYesYesYes
Province-fixed effectsNoNoYesYes
N4015401540153445
R20.81950.93640.83020.8396
** p < 0.05, *** p < 0.01; t statistics in parentheses.
Table 5. Mechanism test results.
Table 5. Mechanism test results.
(1)(2)(3)(4)
Bachelor_laborTech_laborAI_patPat_other
Talent0.0102 **
(1.99)
0.0073 **
(2.08)
0.0742 **
(2.00)
0.1567 **
(2.12)
Control variableYesYesYesYes
Individual-fixed effectYesYesYesYes
Year-fixed effectsYesYesYesYes
N4052379239224012
R20.75540.82400.37270.4557
** p < 0.05; t statistics in parentheses.
Table 6. Results of firm-level heterogeneity test.
Table 6. Results of firm-level heterogeneity test.
(1)(2)(3)(4)(5)(6)(7)(8)
State-owned enterpriseNon-state enterpriseLarge firmMedium-sized firmSmall firmUpstream enterprisesMidstream enterprisesDownstream enterprises
Talent0.00940.0097 **0.0143 **0.00830.01080.0333 **0.0129 ***0.0115
(1.49)(2.18)(2.39)(1.38)(1.59)(3.08)(2.74)(1.22)
Control variablebebebebebebebebe
Individual-fixed effectbebebebebebebebe
Year-fixed effectsbebebebebebebebe
N138626181379151811384602918636
R20.83320.84610.85230.83460.89470.87940.82200.7812
** p < 0.05, *** p < 0.01; t statistics in parentheses.
Table 7. Results of heterogeneity test based on city level.
Table 7. Results of heterogeneity test based on city level.
(1)(2)(3)(4)
High Level of Economic DevelopmentLow Level of Economic DevelopmentHigh Levels of Housing PricesLow Level of House Prices
Talent0.0098 **0.00450.0141 ***0.0060
(2.32)(0.76)(2.83)(1.12)
Control variableYesYesYesYes
Individual-fixed effectYesYesYesYes
Year-fixed effectsYesYesYesYes
N2115204618162376
R20.86080.79560.83060.8120
** p < 0.05, *** p < 0.01; t statistics in parentheses.
Table 8. Results of heterogeneity test based on policy characteristics.
Table 8. Results of heterogeneity test based on policy characteristics.
(1)(2)
High intensity of talent policiesLow intensity of talent policies
Talent × PolicyStrength0.0088 **0.0091
(2.20)(1.250)
Control variablebebe
Individual fixed effectbebe
Year fixed effectsbebe
N40204020
R20.81810.8180
Note: ** p < 0.05; t statistics in parentheses.
Disclaimer/Publisher’s Note: The statements, opinions and data contained in all publications are solely those of the individual author(s) and contributor(s) and not of MDPI and/or the editor(s). MDPI and/or the editor(s) disclaim responsibility for any injury to people or property resulting from any ideas, methods, instructions or products referred to in the content.

Share and Cite

MDPI and ACS Style

Xue, Y.; Lu, Y.; Zhu, C. Research on the Mechanism of Intelligent Transformation of Enterprises Driven by Targeted Talent Introduction Policies: Taking New-Energy-Automobile Enterprises as an Example. Sustainability 2025, 17, 3562. https://doi.org/10.3390/su17083562

AMA Style

Xue Y, Lu Y, Zhu C. Research on the Mechanism of Intelligent Transformation of Enterprises Driven by Targeted Talent Introduction Policies: Taking New-Energy-Automobile Enterprises as an Example. Sustainability. 2025; 17(8):3562. https://doi.org/10.3390/su17083562

Chicago/Turabian Style

Xue, Yawei, Yuchen Lu, and Chunqian Zhu. 2025. "Research on the Mechanism of Intelligent Transformation of Enterprises Driven by Targeted Talent Introduction Policies: Taking New-Energy-Automobile Enterprises as an Example" Sustainability 17, no. 8: 3562. https://doi.org/10.3390/su17083562

APA Style

Xue, Y., Lu, Y., & Zhu, C. (2025). Research on the Mechanism of Intelligent Transformation of Enterprises Driven by Targeted Talent Introduction Policies: Taking New-Energy-Automobile Enterprises as an Example. Sustainability, 17(8), 3562. https://doi.org/10.3390/su17083562

Note that from the first issue of 2016, this journal uses article numbers instead of page numbers. See further details here.

Article Metrics

Back to TopTop