M3RTNet: Combustion State Recognition Model of MSWI Process Based on Res-Transformer and Three Feature Enhancement Strategies
Abstract
1. Introduction
2. Materials and Methods
2.1. Introduction of Flame Combustion Image
2.2. Methods
2.2.1. The Multi-Scale Attention Residual Network
2.2.2. The Deformable Multi-Head Attention Transformer
2.2.3. The Context Feature Fusion Module
2.2.4. The Classifier
3. Experiments and Results
3.1. Experimental Environment and Design
3.2. Evaluation Metrics
3.3. Flame Burning Images Dataset
3.4. Model Experimental Results
3.5. Results of Ablation Experiments
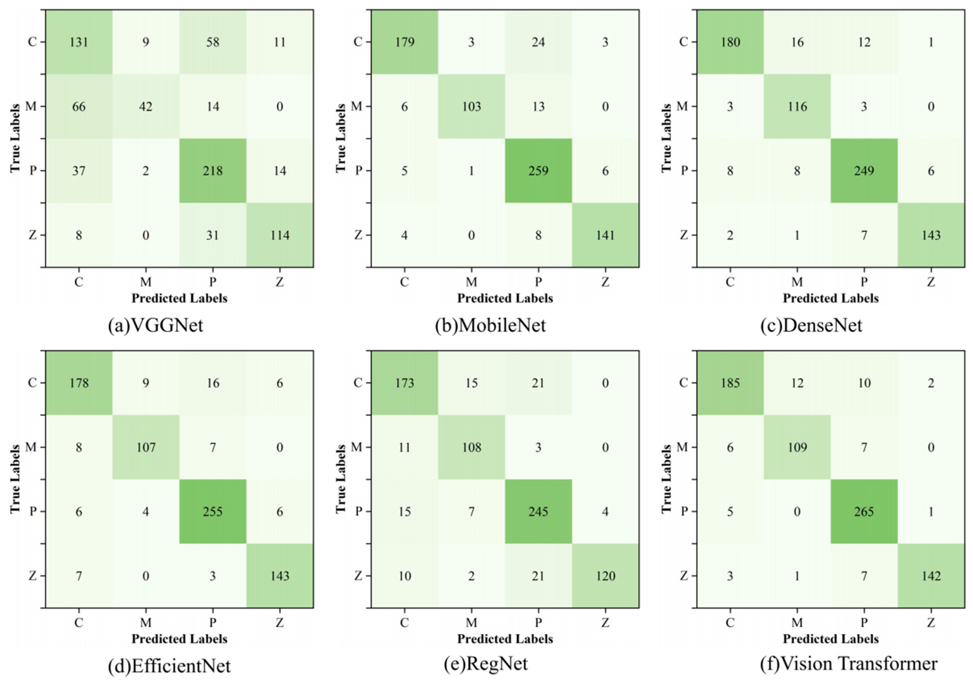
3.6. Results of Comparative Experiment
4. Conclusions
Author Contributions
Funding
Institutional Review Board Statement
Informed Consent Statement
Data Availability Statement
Conflicts of Interest
References
- Li, M.; Li, S.; Chen, S.; Meng, Q.; Wang, Y.; Yang, W.; Shi, L.; Ding, F.; Zhu, J.; Ma, R.; et al. Measures for Controlling Gaseous Emissions During Composting: A Review. Int. J. Environ. Res. Public Health 2023, 20, 3587. [Google Scholar] [CrossRef] [PubMed]
- Chen, D.M.C.; Bodirsky, B.L.; Krueger, T.; Mishra, A.; Popp, A. The world’s growing municipal solid waste: Trends and impacts. Environ. Res. Lett. 2020, 15, 12. [Google Scholar] [CrossRef]
- Funari, V.; Dalconi, M.C.; Farnaud, S.; Nawab, J.; Gupta, N.; Yadav, K.K.; Kremser, K.; Toller, S. Modern management options for solid waste and by-products: Sustainable treatment and environmental benefits. Front. Environ. Sci. 2024, 12, 3. [Google Scholar] [CrossRef]
- Khan, M.S.; Mubeen, I.; Yu, C.M.; Zhu, G.J.; Khalid, A.; Yan, M. Waste to energy incineration technology: Recent development under climate change scenarios. Waste Manag. Res. 2022, 40, 1708–1729. [Google Scholar] [CrossRef]
- Kasinski, S.; Debowski, M. Municipal Solid Waste as a Renewable Energy Source: Advances in Thermochemical Conversion Technologies and Environmental Impacts. Energies 2024, 17, 4704. [Google Scholar] [CrossRef]
- Li, K.; Deng, J.; Zhu, Y.; Zhang, W.Y.; Zhang, T.; Tian, C.; Ma, J.W.; Shao, Y.Y.; Yang, Y.F.; Shao, Y.Q. Utilization of municipal solid waste incineration fly ash with different pretreatments with gold tailings and coal fly ash for environmentally friendly geopolymers. Waste Manag. 2025, 194, 342–352. [Google Scholar] [CrossRef]
- Bian, J.; Xie, B.; Wu, H.; Wu, S.; Fang, H. Boiler Flame Combustion State Identification Based on Multi-feature Fusion and WOA-SVM. China Spec. Equip. Saf. 2024, 40, 13–18+54. [Google Scholar]
- Li, X.; Tang, D.; Zhang, S.; Wang, T. Overview of Combustion Status Monitoring Technology for Power Plant Boilers. China Spec. Equip. Saf. 2024, 40, 28–33. [Google Scholar]
- Borisova, M.A.; Ryshikova, M.V.; Gomazova, A.A. Municipal Solid Waste Management in China. In Proceedings of the 2018 IEEE International Conference “Management of Municipal Waste as an Important Factor of Sustainable Urban Development” (WASTE), Saint Petersburg, Russia, 4–6 October 2018; IEEE: New York, NY, USA, 2018; pp. 10–13. [Google Scholar]
- Gabbar, H.A.; Herra, E.V.; Galvan-Perez, D.; Cruz, J.E.E.; Aldeeb, M.A. Semiautomated Control System of Microwave Plasma Torch for Waste-to-Energy Treatment. IEEE Trans. Plasma Sci. 2024, 52, 5573–5580. [Google Scholar] [CrossRef]
- Yan, X.; Song, G.W.; Liu, J.Y.; Liu, X.; Wang, H.L.; Hao, Z.P. A comprehensive emission inventory of air pollutants from municipal solid waste incineration in China’s megacity, Beijing based on the field measurements. Sci. Total Environ. 2024, 948, 9. [Google Scholar] [CrossRef]
- Munir, M.T.; Li, B.; Naqvi, M. Revolutionizing municipal solid waste management (MSWM) with machine learning as a clean resource: Opportunities, challenges and solutions. Fuel 2023, 348, 128548. [Google Scholar] [CrossRef]
- Gao, C.Q.; Bian, R.X.; Li, P.; Yin, C.Y.; Teng, X.; Zhang, J.R.; Gao, S.D.; Niu, Y.T.; Sun, Y.J.; Wang, Y.A.; et al. Analysis of carbon reduction potential from typical municipal solid waste incineration plants under MSW classification. J. Environ. Manag. 2025, 373, 9. [Google Scholar] [CrossRef] [PubMed]
- Zhao, Z.; Zhou, Z.; Lu, Y.; Wei, Q.; Xu, H. Research on Dynamic Modeling Method of Waste Incinerator Combustion Process. Proc. CSEE 2024, 1–13. [Google Scholar] [CrossRef]
- Zhou, C.; Cao, Y.; Yang, S. Video Based Combustion State Identification for Municipal Solid Waste Incineration. IFAC-PapersOnLine 2020, 53, 13448–13453. [Google Scholar] [CrossRef]
- Duan, H.; Tang, J.; Qiao, J. Recognition of Combustion Condition in MSWI Process Based on Multi-Scale Color Moment Features and Random Forest. In Proceedings of the Chinese Automation Congress (CAC), Hangzhou, China, 22–24 November 2019; pp. 2542–2547. [Google Scholar]
- Guo, H.; Tang, J.; Zhang, H.; Wang, D. A method for generating images of abnormal combustion state in MSWI process based on DCGAN. In Proceedings of the 2021 3rd International Conference on Industrial Artificial Intelligence (IAI), Shenyang, China, 8–11 November 2021; pp. 1–6. [Google Scholar]
- Ding, H.; Tang, J.; Qiao, J. Control Methods of Municipal Solid Wastes Incineration Process: A Survey. In Proceedings of the 2021 40th Chinese Control Conference (CCC), Shanghai, China, 26–28 July 2021; pp. 662–667. [Google Scholar]
- Pan, X.; Tang, J.; Xia, H.; Tian, H.; Wang, T.; Xu, W. Construction of flame image classification criteria and reference database for municipal solid waste incineration process. In Proceedings of the 2023 35th Chinese Control and Decision Conference (CCDC), Yichang, China, 20–22 May 2023; pp. 343–348. [Google Scholar]
- Guo, T.; Yao, X.; He, D.; Liu, B. Diagnosis Method of Combustion State in Waste Incinerator Based on Image Recognition. Nonferrous Metall. Equip. 2022, 36, 43–47. [Google Scholar] [CrossRef]
- Wang, X.; Deng, Z.; Qin, B. Working condition recognition based on lightweight network and knowledge distillation for rotary kilns. J. Electron. Meas. Instrum. 2023, 37, 149–159. [Google Scholar] [CrossRef]
- Li, W.T.; Gu, J.; Wang, D.; Wu, G.C. Research on intelligent recognition method of multi-modal information working condition in electric magnesium melting furnace. Control Theory Appl. 2024, 1–15. [Google Scholar]
- Li, W.T.; Tong, Q.Q.; Wang, D.; Wu, G.C. Research on Fused Magnesium Furnace Working Condition Recognition Method Based on Deep Convolutional Stochastic Configuration Networks. Acta Autom. Sin. 2024, 50, 527–543. [Google Scholar] [CrossRef]
- He, K.; Zhang, X.; Ren, S.; Sun, J. Deep Residual Learning for Image Recognition. In Proceedings of the 2016 IEEE Conference on Computer Vision and Pattern Recognition (CVPR), Las Vegas, NV, USA, 27–30 June 2016; pp. 770–778. [Google Scholar]
- Ouyang, D.; He, S.; Zhang, G.; Luo, M.; Guo, H.; Zhan, J.; Huang, Z. Efficient Multi-Scale Attention Module with Cross-Spatial Learning. In Proceedings of the ICASSP 2023—2023 IEEE International Conference on Acoustics, Speech and Signal Processing (ICASSP), Rhodes Island, Greece, 4–10 June 2023; pp. 1–5. [Google Scholar]
- Wang, K.; Liew, J.H.; Zou, Y.; Zhou, D.; Feng, J. PANet: Few-Shot Image Semantic Segmentation with Prototype Alignment. In Proceedings of the 2019 IEEE/CVF International Conference on Computer Vision (ICCV), Seoul, Republic of Korea, 27 October–2 November 2019; pp. 9196–9205. [Google Scholar]
- Nayak, D.R. RDTNet: A residual deformable attention based transformer network for breast cancer classification. Expert Syst. Appl. 2024, 249, 123569. [Google Scholar] [CrossRef]
- Dai, J.; Qi, H.; Xiong, Y.; Li, Y.; Zhang, G.; Hu, H.; Wei, Y. Deformable Convolutional Networks. In Proceedings of the 2017 IEEE International Conference on Computer Vision (ICCV), Venice, Italy, 22–29 October 2017; pp. 764–773. [Google Scholar]
- Simonyan, K.; Zisserman, A. Very deep convolutional networks for large-scale image recognition. arXiv 2014, arXiv:1409.1556. [Google Scholar]
- Howard, A.G.; Zhu, M.; Chen, B.; Kalenichenko, D.; Wang, W.; Weyand, T.; Andreetto, M.; Adam, H. MobileNets: Efficient Convolutional Neural Networks for Mobile Vision Applications. arXiv 2017, arXiv:1704.04861. [Google Scholar]
- Huang, G.; Liu, Z.; Weinberger, K.Q. Densely Connected Convolutional Networks. In Proceedings of the 2017 IEEE Conference on Computer Vision and Pattern Recognition (CVPR), Honolulu, HI, USA, 21–26 July 2017; pp. 2261–2269. [Google Scholar]
- Tan, M.; Le, Q. Efficientnet: Rethinking model scaling for convolutional neural networks. In Proceedings of the International Conference on Machine Learning, Long Beach, CA, USA, 10–15 June 2019; pp. 6105–6114. [Google Scholar]
- Radosavovic, I.; Kosaraju, R.P.; Girshick, R.B.; He, K.; Dollár, P. Designing Network Design Spaces. In Proceedings of the 2020 IEEE/CVF Conference on Computer Vision and Pattern Recognition (CVPR), Seattle, WA, USA, 13–19 June 2020; pp. 10425–10433. [Google Scholar]
- Dosovitskiy, A.; Beyer, L.; Kolesnikov, A.; Weissenborn, D.; Zhai, X.; Unterthiner, T.; Dehghani, M.; Minderer, M.; Heigold, G.; Gelly, S.; et al. An Image is Worth 16x16 Words: Transformers for Image Recognition at Scale. arXiv 2020, arXiv:2010.11929. [Google Scholar]









| Grate | Amount | Normal | Partial | Channeling | Smoldering | Size |
|---|---|---|---|---|---|---|
| Left | 3289 | 655 | 1176 | 1044 | 414 | 720 × 576 |
| Right | 2685 | 564 | 1002 | 534 | 585 | 720 × 576 |
| Total | 5974 | 1219 | 2178 | 1578 | 999 | 720 × 576 |
| Name | Details | EMA | DMAT | CFFM | Acc | Pre | Rec | F1 |
|---|---|---|---|---|---|---|---|---|
| Network1 | Resnet50 | 0.9192 | 0.9145 | 0.9250 | 0.9197 | |||
| Network2 | Resnet50 + EMA | √ | 0.9285 | 0.9265 | 0.9305 | 0.9285 | ||
| Network3 | Resnet50 + DMAT | √ | 0.9232 | 0.9259 | 0.9270 | 0.9264 | ||
| Network4 | Resnet50 + CFFM | √ | 0.9219 | 0.9202 | 0.9255 | 0.9228 | ||
| Network5 | Resnet50 + EMA + DMAT | √ | √ | 0.9483 | 0.9508 | 0.9453 | 0.9480 | |
| Network6 | Resnet50 + EMA + CFFM | √ | √ | 0.9523 | 0.9518 | 0.9513 | 0.9515 | |
| Network7 | Resnet50 + DMAT + CFFM | √ | √ | 0.9364 | 0.9409 | 0.9363 | 0.9386 | |
| Network8 | M3RTNet | √ | √ | √ | 0.9616 | 0.9615 | 0.9607 | 0.9611 |
| Name | Acc | Pre | Rec | F1 |
|---|---|---|---|---|
| VGGNet [29] | 0.6689 | 0.7083 | 0.6301 | 0.6669 |
| MobileNet [30] | 0.9033 | 0.9193 | 0.8945 | 0.9067 |
| DenseNet [31] | 0.9113 | 0.9069 | 0.9164 | 0.9116 |
| EfficientNet [32] | 0.9046 | 0.9040 | 0.9011 | 0.9025 |
| RegNet [33] | 0.8556 | 0.8646 | 0.8503 | 0.8574 |
| ViT [34] | 0.9285 | 0.9298 | 0.9211 | 0.9254 |
| M3RTNet | 0.9616 | 0.9615 | 0.9607 | 0.9611 |
Disclaimer/Publisher’s Note: The statements, opinions and data contained in all publications are solely those of the individual author(s) and contributor(s) and not of MDPI and/or the editor(s). MDPI and/or the editor(s) disclaim responsibility for any injury to people or property resulting from any ideas, methods, instructions or products referred to in the content. |
© 2025 by the authors. Licensee MDPI, Basel, Switzerland. This article is an open access article distributed under the terms and conditions of the Creative Commons Attribution (CC BY) license (https://creativecommons.org/licenses/by/4.0/).
Share and Cite
Zhang, J.; Sun, R.; Tang, J.; Pei, H. M3RTNet: Combustion State Recognition Model of MSWI Process Based on Res-Transformer and Three Feature Enhancement Strategies. Sustainability 2025, 17, 3412. https://doi.org/10.3390/su17083412
Zhang J, Sun R, Tang J, Pei H. M3RTNet: Combustion State Recognition Model of MSWI Process Based on Res-Transformer and Three Feature Enhancement Strategies. Sustainability. 2025; 17(8):3412. https://doi.org/10.3390/su17083412
Chicago/Turabian StyleZhang, Jian, Rongcheng Sun, Jian Tang, and Haoran Pei. 2025. "M3RTNet: Combustion State Recognition Model of MSWI Process Based on Res-Transformer and Three Feature Enhancement Strategies" Sustainability 17, no. 8: 3412. https://doi.org/10.3390/su17083412
APA StyleZhang, J., Sun, R., Tang, J., & Pei, H. (2025). M3RTNet: Combustion State Recognition Model of MSWI Process Based on Res-Transformer and Three Feature Enhancement Strategies. Sustainability, 17(8), 3412. https://doi.org/10.3390/su17083412

