Navigating Green Trade Barriers: Strategic Decisions in Cross-Border E-Commerce Green Packaging and Self-Logistics
Abstract
1. Introduction
1.1. Background
1.2. Motivation and Contribution
2. Literature Review
3. Model Setup
3.1. Notations and Problem Description
3.2. Decision Sequence
4. Model Formulations and Sensitivity Analysis
4.1. Mode NT
4.2. Mode NP
4.3. Mode GT
4.4. Mode GP
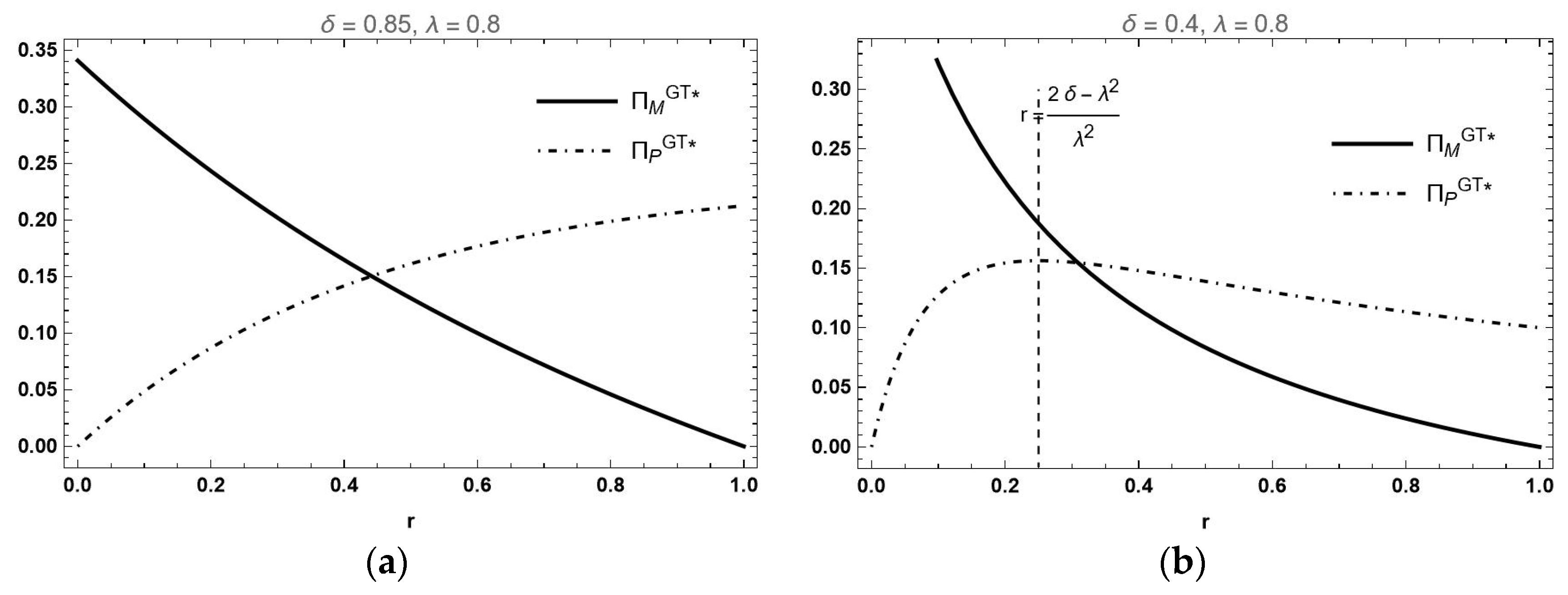
5. Mode Comparison and Numerical Analysis
5.1. Platform Decision: Self-Logistics Provision Strategy
5.2. Manufacturer Decision: Green Packaging Production Strategy
5.3. Equilibrium Outcomes
6. Extensions
6.1. Wholesale Contract
6.2. Third-Party Green Logistics
6.3. Consumer Attitudes
7. Conclusions and Future Research
7.1. Conclusions
7.2. Limitations and Future Research
Author Contributions
Funding
Institutional Review Board Statement
Informed Consent Statement
Data Availability Statement
Acknowledgments
Conflicts of Interest
Appendix A
References
- Lai, N.Y.G.; Kuah, A.T.; Kim, C.H.; Wong, K.H. Toward sustainable express deliveries for online shopping: Reusing packaging materials through reverse logistics. Thunderbird Int. Bus. Rev. 2022, 64, 351–362. [Google Scholar]
- Yin, L.; Zhong, R.R.; Wang, J. Ontology based package design in fresh E-Commerce logistics. Expert Syst. Appl. 2023, 212, 118783. [Google Scholar]
- Su, Y. Influence and Countermeasures of Green Trade Barriers on Agricultural Products Export Based on Data Analysis Technology. In Proceedings of the Cyber Security Intelligence and Analytics: 2021 International Conference on Cyber Security Intelligence and Analytics (CSIA2021), Shenyang, China, 19–20 March 2021; Volume 2, pp. 335–341. [Google Scholar]
- Soares, J.; Miguel, I.; Venâncio, C.; Lopes, I.; Oliveira, M. Public views on plastic pollution: Knowledge, perceived impacts, and pro-environmental behaviours. J. Hazard. Mater. 2021, 412, 125227. [Google Scholar]
- Hoffmann, R.; Muttarak, R.; Peisker, J.; Stanig, P. Climate change experiences raise environmental concerns and promote Green voting. Nat. Clim. Change 2022, 12, 148–155. [Google Scholar]
- Zhang, M.; Yang, Y.; Du, P.; Wang, J.; Wei, Y.; Qin, J.; Yu, L. The effect of public environmental participation on pollution governance in China: The mediating role of local governments’ environmental attention. Environ. Impact Assess. Rev. 2024, 104, 107345. [Google Scholar]
- Yu, J.; Zhou, C.; Leng, G. Is it always advantageous to establish self-built logistics for online platforms in a competitive retailing setting? IEEE Trans. Eng. Manag. 2023, 71, 1726–1743. [Google Scholar]
- Liu, H.; Xu, T.; Jing, S.; Liu, Z.; Wang, S. The interplay between logistics strategy and platform’s channel structure design in B2C platform market. Eur. J. Oper. Res. 2023, 310, 812–833. [Google Scholar]
- Aguilera, R.V.; Aragón-Correa, J.A.; Marano, V.; Tashman, P.A. The corporate governance of environmental sustainability: A review and proposal for more integrated research. J. Manag. 2021, 47, 1468–1497. [Google Scholar]
- Caglar, A.E.; Daştan, M.; Bulut, E.; Marangoz, C. Evaluating a pathway for environmental sustainability: The role of competitive industrial performance and renewable energy consumption in European countries. Sustain. Dev. 2024, 32, 1811–1824. [Google Scholar] [CrossRef]
- Nguyen, A.T.; Parker, L.; Brennan, L.; Lockrey, S. A consumer definition of eco-friendly packaging. J. Clean. Prod. 2020, 252, 119792. [Google Scholar] [CrossRef]
- Meet, R.K.; Kundu, N.; Ahluwalia, I.S. Does socio demographic, green washing, and marketing mix factors influence Gen Z purchase intention towards environmentally friendly packaged drinks? Evidence from emerging economy. J. Clean. Prod. 2024, 434, 140357. [Google Scholar]
- Huang, M.; Zhao, Y.; Wang, Y.; Guo, Q. Application of a green logistics strategy to fulfil online retailing: Split-order consolidated delivery in large-scale online supermarkets. Int. J. Logist. Res. Appl. 2024, 27, 746–759. [Google Scholar]
- Sun, H.; Li, J. Behavioural choice of governments, enterprises and consumers on recyclable green logistics packaging. Sustain. Prod. Consum. 2021, 28, 459–471. [Google Scholar]
- Bozhanova, V.; Korenyuk, P.; Belous-Sergeeva, S.; Bielienkova, O.; Koval, V. Green enterprise logistics management system in circular economy. Int. J. Math. Eng. Manag. Sci. 2022, 7, 350–363. [Google Scholar]
- Kim, J.; Kitkuakul, S.; Alden, D.L. The Impact of Social Norms on Consumer Willingness to Choose Green Packaging for an Extra Charge in the United States and South Korea. J. Int. Consum. Mark. 2024, 36, 463–484. [Google Scholar]
- Wandosell, G.; Parra-Meroño, M.C.; Alcayde, A.; Baños, R. Green packaging from consumer and business perspectives. Sustainability 2021, 13, 1356. [Google Scholar] [CrossRef]
- Maziriri, E.T. Green packaging and green advertising as precursors of competitive advantage and business performance among manufacturing small and medium enterprises in South Africa. Cogent Bus. Manag. 2020, 7, 1719586. [Google Scholar]
- Mahmoud, M.A.; Tsetse, E.K.K.; Tulasi, E.E.; Muddey, D.K. Green packaging, environmental awareness, willingness to pay and consumers’ purchase decisions. Sustainability 2022, 14, 16091. [Google Scholar] [CrossRef]
- Dangelico, R.M.; Vocalelli, D. “Green Marketing”: An analysis of definitions, strategy steps, and tools through a systematic review of the literature. J. Clean. Prod. 2017, 165, 1263–1279. [Google Scholar]
- Pan, C.; Lei, Y.; Wu, J.; Wang, Y. The influence of green packaging on consumers’ green purchase intention in the context of online-to-offline commerce. J. Syst. Inf. Technol. 2021, 23, 133–153. [Google Scholar]
- Yu, X. Low-carbon design of green packaging based on deep learning perspective for smart city. IEEE Access 2023, 11, 117423–117433. [Google Scholar]
- Leong, C.-M.; She, L.; Lim, T.-Y.; Wong, N.M. To buy or not to buy? Green packaging, gender differences and the intention to purchase. Int. J. Soc. Econ. 2024, 51, 1353–1369. [Google Scholar]
- Giuffrida, M.; Mangiaracina, R.; Perego, A.; Tumino, A. Cross-border B2C e-commerce to Greater China and the role of logistics: A literature review. Int. J. Phys. Distrib. Logist. Manag. 2017, 47, 772–795. [Google Scholar]
- Ren, S.; Choi, T.-M.; Lee, K.-M.; Lin, L. Intelligent service capacity allocation for cross-border-E-commerce related third-party-forwarding logistics operations: A deep learning approach. Transp. Res. Part E Logist. Transp. Rev. 2020, 134, 101834. [Google Scholar]
- Qi, X.; Qin, W.; Lin, B. Case study on synergistic development strategy of cross-border e-commerce and logistics: An empirically model estimation. PLoS ONE 2024, 19, e0304393. [Google Scholar]
- Zhang, X.; Zha, X.; Dan, B.; Liu, Y.; Sui, R. Logistics mode selection and information sharing in a cross-border e-commerce supply chain with competition. Eur. J. Oper. Res. 2024, 314, 136–151. [Google Scholar]
- Qin, X.; Liu, Z.; Tian, L. The strategic analysis of logistics service sharing in an e-commerce platform. Omega 2020, 92, 102153. [Google Scholar]
- Li, D.; Liu, Y.; Fan, C.; Hu, J.; Chen, X. Logistics service strategies under different selling modes. Comput. Ind. Eng. 2021, 162, 107684. [Google Scholar]
- Niu, B.; Li, Q.; Mu, Z.; Chen, L.; Ji, P. Platform logistics or self-logistics? Restaurants’ cooperation with online food-delivery platform considering profitability and sustainability. Int. J. Prod. Econ. 2021, 234, 108064. [Google Scholar]
- Li, S.; Jia, S. A Benders decomposition algorithm for the order fulfilment problem of an e-tailer with a self-owned logistics system. Transp. Res. Part E Logist. Transp. Rev. 2019, 122, 463–480. [Google Scholar]
- Xu, Y.; Wang, J.; Cao, K. Dynamic joint strategy of channel encroachment and logistics choice considering trade-in service and strategic consumers. Transp. Res. Part E Logist. Transp. Rev. 2024, 185, 103528. [Google Scholar]
- Chen, L.; Dong, T.; Pang, M.; Liu, Q.; Wang, Z.; Rao, C. Logistics service strategy for e-commerce supply chain: Interactive impacts of cost reduction effort and fairness concern. Manag. Decis. Econ. 2024, 45, 1067–1089. [Google Scholar]
- Mahmoudi, A.; Govindan, K.; Shishebori, D.; Mahmoudi, R. Product pricing problem in green and non-green multi-channel supply chains under government intervention and in the presence of third-party logistics companies. Comput. Ind. Eng. 2021, 159, 107490. [Google Scholar]
- Laguir, I.; Stekelorum, R.; El Baz, J. Going green? Investigating the relationships between proactive environmental strategy, GSCM practices and performances of third-party logistics providers (TPLs). Prod. Plan. Control. 2021, 32, 1049–1062. [Google Scholar]
- Stekelorum, R.; Laguir, I.; Gupta, S.; Kumar, S. Green supply chain management practices and third-party logistics providers’ performances: A fuzzy-set approach. Int. J. Prod. Econ. 2021, 235, 108093. [Google Scholar]
- Jiang, L.; Wang, Y.; Yan, X. Decision and coordination in a competing retail channel involving a third-party logistics provider. Comput. Ind. Eng. 2014, 76, 109–121. [Google Scholar]
- Huang, S.; Fan, Z.-P.; Wang, X. The impact of transportation fee on the performance of capital-constrained supply chain under 3PL financing service. Comput. Ind. Eng. 2019, 130, 358–369. [Google Scholar]
- Jauhari, W.A.; Ramadhany, S.C.N.; Rosyidi, C.N.; Mishra, U.; Hishamuddin, H. Pricing and green inventory decisions for a supply chain system with green investment and carbon tax regulation. J. Clean. Prod. 2023, 425, 138897. [Google Scholar]
- Shen, J.; Yan, H.; Sheng, L.; Zhang, B.; Shi, Y.; Shen, S. Pricing decision in an uncertain green product supply chain under cost sharing contract. Expert Syst. Appl. 2024, 250, 123899. [Google Scholar]
- Li, G.; Tian, L.; Zheng, H. Information sharing in an online marketplace with co-opetitive sellers. Prod. Oper. Manag. 2021, 30, 3713–3734. [Google Scholar]
- Zha, Y.; Li, Q.; Huang, T.; Yu, Y. Strategic information sharing of online platforms as resellers or marketplaces. Mark. Sci. 2023, 42, 659–678. [Google Scholar] [CrossRef]
- Miao, Z.; Peng, H.; Lan, Y. The role of online platform selling mode in recycling channel selection: A game-theoretic analysis of profit and environmental impact. Int. J. Prod. Econ. 2025, 280, 109471. [Google Scholar]
- Ali, H.; Das, S.; Shaikh, A.A. Investigate an imperfect green production system considering rework policy via Teaching-Learning-Based Optimizer algorithm. Expert Syst. Appl. 2023, 214, 119143. [Google Scholar] [CrossRef]
- Das, S.; Mandal, G.; Manna, A.K.; Shaikh, A.A.; Bhunia, A.K. Effects of emission reduction and rework policy in a production system of green products: An interval valued optimal control theoretic approach. Comput. Ind. Eng. 2023, 179, 109212. [Google Scholar] [CrossRef]
- Gao, J.; Wei, H. Study on the impact of environmental subsidies and green labels on greenwashing in sustainable production. J. Clean. Prod. 2025, 486, 144531. [Google Scholar]











Disclaimer/Publisher’s Note: The statements, opinions and data contained in all publications are solely those of the individual author(s) and contributor(s) and not of MDPI and/or the editor(s). MDPI and/or the editor(s) disclaim responsibility for any injury to people or property resulting from any ideas, methods, instructions or products referred to in the content. |
© 2025 by the authors. Licensee MDPI, Basel, Switzerland. This article is an open access article distributed under the terms and conditions of the Creative Commons Attribution (CC BY) license (https://creativecommons.org/licenses/by/4.0/).
Share and Cite
Xu, W.; Yan, W.; Pang, W. Navigating Green Trade Barriers: Strategic Decisions in Cross-Border E-Commerce Green Packaging and Self-Logistics. Sustainability 2025, 17, 3310. https://doi.org/10.3390/su17083310
Xu W, Yan W, Pang W. Navigating Green Trade Barriers: Strategic Decisions in Cross-Border E-Commerce Green Packaging and Self-Logistics. Sustainability. 2025; 17(8):3310. https://doi.org/10.3390/su17083310
Chicago/Turabian StyleXu, Wentao, Wei Yan, and Wen Pang. 2025. "Navigating Green Trade Barriers: Strategic Decisions in Cross-Border E-Commerce Green Packaging and Self-Logistics" Sustainability 17, no. 8: 3310. https://doi.org/10.3390/su17083310
APA StyleXu, W., Yan, W., & Pang, W. (2025). Navigating Green Trade Barriers: Strategic Decisions in Cross-Border E-Commerce Green Packaging and Self-Logistics. Sustainability, 17(8), 3310. https://doi.org/10.3390/su17083310
