Next Article in Journal
Integrating Building Information Modeling and Life Cycle Assessment to Enhance the Decisions Related to Selecting Construction Methods at the Conceptual Design Stage of Buildings
Next Article in Special Issue
Tourist Motivations and Segmentation in Coastal Tourism: A Study in Montañita, Ecuador
Previous Article in Journal
Multiobjective Optimization of the Economic Efficiency of Biodegradable Plastic Products: Carbon Emissions and Analysis of Geographical Advantages for Production Capacity
Previous Article in Special Issue
Integrating Social Media-Driven Service Innovation and Sustainable Leadership: Advancing Sustainable Practices in Tourism and Hospitality
 
 
Font Type:
Arial Georgia Verdana
Font Size:
Aa Aa Aa
Line Spacing:
Column Width:
Background:
Article

Community-Led Sustainable Tourism in Rural Areas: Enhancing Wine Tourism Destination Competitiveness and Local Empowerment

by
Milena Turčinović
,
Aleksandra Vujko
* and
Nemanja Stanišić
Faculty of Tourism and Hospitality Management, Singidunum University, 11000 Beograd, Serbia
*
Author to whom correspondence should be addressed.
Sustainability 2025, 17(7), 2878; https://doi.org/10.3390/su17072878
Submission received: 26 February 2025 / Revised: 22 March 2025 / Accepted: 22 March 2025 / Published: 24 March 2025
(This article belongs to the Special Issue Sustainable Tourism Management and Marketing)

Abstract

Community-led sustainable tourism represents a paradigm shift that emphasizes the role of local residents in shaping tourism initiatives that not only promote environmental stewardship but also enhance local economies and preserve cultural heritage. The research focused on two rural wine destinations, Banoštor in Serbia and Radda in Chianti, Italy, utilizing a constructivist epistemological approach to understand community-led tourism. The study aimed to assess how community involvement enhances the competitiveness of rural destinations, evaluates the social, cultural, and economic empowerment of local communities, and examines the role of community participation in sustainable tourism development. The factor analysis identified three key factors—destination competitiveness, local empowerment, and community participation—that collectively account for 86.25% of the variance in sustainable community-led tourism. This model highlights how community-led initiatives can enhance the competitiveness of rural destinations by attracting eco-conscious travelers and ensuring that economic benefits remain within the community, thus preserving local culture and traditions. Furthermore, active community participation in tourism planning is crucial for sustainability, as it fosters a sense of ownership and aligns tourism development with local values, ultimately leading to long-term benefits for both the community and the destination. To enhance competitiveness, Banoštor must improve wine offerings, invest in marketing, and develop infrastructure while empowering local communities through tourism initiatives, ensuring that local voices are heard and tourism revenues benefit residents.

1. Introduction

Tourist destinations are essential components of global economic, social, and environmental frameworks, serving as significant catalysts for regional development and cultural exchange [1]. With the ongoing expansion of the tourism sector, these destinations encounter mounting challenges concerning sustainability, resource management, and economic equity. A heightened awareness of the environmental and social consequences of tourism has prompted a transition toward more sustainable and responsible travel practices, prompting numerous destinations to implement strategies that adhere to sustainability principles [2]. Enhancing destination competitiveness through community-led initiatives involves a strategic approach to leveraging local resources and cultural heritage [3,4]. Rural areas often possess unique attributes, such as stunning landscapes, traditional crafts, and indigenous practices, that can be marketed to attract tourists seeking authentic experiences [5]. Community engagement plays a pivotal role in improving tourist experiences by ensuring that services and offerings reflect the true essence of the locale. Strategies for building a unique brand identity for rural destinations can include collaborative marketing efforts, where communities collectively promote their offerings through social media and tourism networks [6].
Despite the increasing recognition of community-led sustainable tourism, research has predominantly focused on broader sustainable tourism frameworks, leaving gaps in understanding how community participation specifically influences the competitiveness and sustainability of niche tourism sectors, such as wine tourism. While previous studies have explored the economic benefits of rural tourism, there is limited research on the extent to which community involvement directly impacts the success of wine tourism destinations and fosters local empowerment. This study aims to bridge this gap by examining the role of community-led initiatives in enhancing the competitiveness of wine tourism destinations and assessing their socio-economic and cultural impacts on rural communities.
Recognizing the potential for rural communities to engage in tourism plays a key role in sustainable rural development, which forms the central research gap this study addresses. The existing literature has not adequately explored how local participation in wine tourism affects destination competitiveness and the empowerment of local populations. This study seeks to fill this gap by focusing on two wine tourism destinations—Radda in Chianti (Italy) and Banoštor (Serbia)—and comparing them in terms of geographical predispositions, community involvement, and tourism development strategies. By drawing insights from the best practices of Tuscany’s well-established wine tourism sector, this research aims to provide recommendations for the development of sustainable wine tourism in Serbia. The concept of community-led sustainable tourism has gained traction as a viable model for rural development, particularly through the lens of wine tourism [7,8]. This approach emphasizes the importance of environmental stewardship, social equity, and economic viability within tourism practices. As rural communities grapple with the dual challenges of economic stagnation and environmental degradation, the cultivation of wine tourism emerges as a promising solution [9]. By leveraging local resources and fostering community involvement, sustainable wine tourism not only enhances the economic prospects of rural areas but also preserves cultural heritage and promotes environmental consciousness [10].
Local empowerment and socio-economic benefits of sustainable tourism are profound, with significant impacts on job creation, income generation, and social cohesion [11]. Economic impacts include the creation of new employment opportunities in hospitality, guiding, and local craft industries, which can reduce out-migration and improve living standards within rural communities [12,13]. Socially, sustainable tourism fosters community cohesion by encouraging collaboration and shared goals among residents [14]. Cultural preservation is also a critical aspect, as tourism can serve as a means to celebrate and revive local traditions, languages, and crafts that may otherwise be at risk of fading [15]. However, challenges persist, including the need for training and capacity-building for local residents, as well as the potential for tourism to lead to cultural commodification or environmental degradation if not managed responsibly. Addressing these challenges requires a concerted effort from all stakeholders, including government bodies, NGOs, and the communities themselves, to create frameworks that support sustainable practices while promoting local empowerment [16,17].
According to Festa et al. [18], Tuscany’s wine tourism sector has seen consistent growth in recent years. According to Ferrari et al. [19], the Chianti region and other famous wine areas like Montalcino and Montepulciano typically see millions of visitors annually. In fact, wine tourism is one of the most important forms of tourism in Tuscany, with some estimates suggesting over 2 million visitors to the region’s wineries each year [20]. Tuscany’s wine regions have been seeing around 2.5 to 3 million tourists per year, with some of the most popular wineries and areas—like Radda in Chianti—attracting several thousand visitors annually [21]. While there is no single precise figure for the number of visitors to wine cellars specifically in Fruška Gora, the overall wine tourism experience in the region is a growing industry, with estimates suggesting that over 100,000 visitors per year come to the wineries of Fruska Gora, particularly during wine festivals and the harvest season [22]. Tourism has an impact on the sustainable development of rural destinations, especially those that have the potential to market a specific tourist product, such as wine tourism, on the tourist market [23].
Recognition of the potential for engaging in rural tourism by the local population plays a key role in the sustainable development of rural destinations, which was the initial hypothesis of the paper, H. We want to test how communities are actively involved in tourism development and how their involvement impacts both the competitiveness of the destination and the empowerment of local populations. The goal of the paper was to highlight two wine tourism places (Radda in Chianti and Banoštor) through the example of best practice, such as Tuscany, and compare them according to geographical predispositions and other similarities, and then to have the results of the research be a push-up effect development of wine tourism in Serbia. Bearing this in mind, three research objectives were set, which gave rise to three auxiliary hypotheses of the paper:
-
To examine the role of community participation in sustainable tourism development in rural areas
H1. 
The support of the local community is crucial for the development of sustainable forms of tourism, such as wine tourism
-
To assess how community-led tourism enhances the competitiveness of rural destinations
H2. 
The involvement of all community members contributes to the competitive advantage of the wine destination and sets it apart on the market
-
To evaluate the social, cultural, and economic empowerment of local communities involved in tourism initiative
H3. 
Wine tourism affects the empowerment of the local community and entrepreneurship
It was concluded that the local population concentrated the positive aspects of the development of rural tourism around three key factors: destination competitiveness, local empowerment, and community participation.
Community-led tourism initiatives significantly enhance the competitiveness of rural destinations by fostering active participation from all community members, which aligns tourism projects with local needs and values. This inclusive approach not only cultivates a sense of ownership among residents but also promotes the unique cultural heritage of the destination, attracting tourists seeking authentic experiences. As a result, positive tourist experiences lead to increased loyalty and repeat visitation, further solidifying the destination’s competitive edge in the market.
The evaluation of social, cultural, and economic empowerment of local communities involved in tourism initiatives highlights the importance of local empowerment in sustainable tourism development. Allowing communities to influence tourism projects ensures that these initiatives are beneficial and sustainable for residents, promoting responsible tourism practices. Additionally, providing training and skill development opportunities enhances service quality and economic benefits for the community while exceeding tourist expectations, which can lead to increased satisfaction and repeat visits.
Community participation is essential for the sustainable development of tourism in rural areas, particularly in initiatives like wine tourism. Engaging local populations in tourism planning and decision-making helps ensure that development aligns with community values, which can prevent negative impacts and promote balanced growth. Additionally, the tourism industry can support community-driven projects and cultural preservation, enhancing the attractiveness of destinations while safeguarding local heritage and traditions.

2. Theoretical Background

To understand the significance of community participation in tourism development, it is essential to first define what this concept entails. Community participation encompasses various forms of engagement, from informing the community about tourism initiatives to involving them in the decision-making process [24]. The importance of local residents’ involvement cannot be overstated; when communities participate, they lend their unique perspectives, ensuring that tourism development aligns with local values and needs [25]. This involvement fosters a sense of ownership and pride among residents, leading to a more sustainable tourism model [26,27,28]. According to Domi and Belletti [29], in Tuscany, many local communities have successfully engaged in eco-tourism initiatives that not only attract visitors but also safeguard their natural resources and cultural identity. Such models demonstrate how community participation can create a symbiotic relationship between tourism and local communities, ensuring that tourism development is both economically viable and socially responsible [30]. The benefits extend beyond the local communities themselves; sustainable tourism practices contribute to the preservation of biodiversity and cultural heritage, appealing to increasingly conscious travelers who seek authentic experiences [31].
According to Iqbal et al. [24], community participation in tourism development can be categorized into three distinct levels: informative, consultative, and collaborative participation. Informative participation involves raising awareness among local residents about tourism opportunities and potential impacts [32]. According to Wondirad and Ewnetu [25], workshops and informational sessions can educate communities on the benefits and challenges of tourism, fostering an informed citizenry. The next level, consultative participation, seeks to gather feedback and opinions from residents regarding proposed tourism projects [33]. This can include surveys, town hall meetings, and focus groups, which provide valuable insights into community needs and expectations. According to Di Ruocco and D’Auria [34], in destinations like Italy, consultative processes have been implemented to gather local sentiments on tourism initiatives, allowing for adjustments to be made based on community feedback [35]. Lastly, collaborative participation represents the highest level of engagement, where local residents actively partake in joint decision-making and implementation of tourism projects [36]. This model has been exemplified in places like New Zealand, where indigenous communities such as the Māori are integral to the management of tourism services, ensuring that their cultural narratives are authentically represented, and in Denmark, where local communities play a key role in tourism management. Each level of community participation not only enhances the decision-making process but also cultivates a deeper connection between residents and their environment [37].
The socio-economic status of local residents plays a critical role in their ability and willingness to engage in tourism-related activities [38]. Communities facing economic hardships may prioritize immediate survival over participation in tourism development. Education and awareness about the impacts of tourism—both positive and negative—are crucial in empowering local residents [39]. For instance, communities that receive training on sustainable practices can better advocate for their interests and contribute meaningfully to tourism initiatives. Furthermore, government policies and support for community engagement significantly shape participation levels. When local governments facilitate inclusive policies that encourage active involvement from residents, such as providing funding for community-led projects, the outcomes are often more positive [40].
Destination attractiveness is a primary driver of tourism competitiveness and is shaped by various factors, including natural resources, cultural heritage, and infrastructure [41]. Infrastructure, encompassing transportation, accommodation, and tourist services, is equally vital; well-developed infrastructure facilitates ease of travel and enhances the overall visitor experience [42]. Furthermore, the role of marketing and promotion cannot be understated [43]. Effective campaigns, like New Zealand’s “100% Pure New Zealand”, have successfully positioned the country as a prime destination for adventure and eco-tourism [44]. Local events and festivals also serve as significant attractors; for example, wine events not only showcase the nation’s vibrant culture but also boost tourism revenue and visibility [45]. Collectively, these factors contribute to a destination’s attractiveness, enabling it to compete effectively in the global tourism market.
Sustainability in tourism has emerged as a crucial criterion for competitiveness as more travelers prioritize eco-friendly experiences and responsible travel practices [17]. Sustainable tourism is defined as tourism that meets the needs of present tourists while protecting and enhancing opportunities for the future [46]. This paradigm shift underscores the importance of implementing sustainable practices, which can include eco-friendly accommodations and responsible tourism initiatives that promote local cultures and environments. According to Randelli and Martellozzo [47], Tuscany has successfully integrated sustainability into its tourism model by developing eco-tourism ventures that emphasize conservation and community engagement, resulting in a thriving tourism sector that attracts environmentally conscious travelers.
Tourist satisfaction serves as a vital indicator of a destination’s competitive edge, as it directly influences repeat visitation and word-of-mouth promotion [48]. A critical aspect of tourist satisfaction is the quality of customer service and the overall experience provided to visitors [49]. Destinations that prioritize exceptional service, such as Italy, known for its courteous hospitality and well-trained staff, often see higher levels of satisfaction among tourists [50]. Measurement of tourist satisfaction can be achieved through feedback mechanisms, including surveys and online reviews, which help destinations identify areas for improvement and tailor their offerings to meet visitor expectations [51]. The relationship between tourist satisfaction and repeat visitation is well documented; satisfied tourists are more likely to return and recommend the destination to friends and family, creating a positive feedback loop that enhances the destination’s reputation [52,53]. Consequently, destinations that actively seek to improve the tourist experience not only bolster their immediate competitiveness but also secure their place in the long-term tourism landscape.
One of the most immediate and tangible benefits of tourism for local communities is the economic uplift it can provide [54]. The tourism sector is a significant source of job creation, particularly in regions with limited economic opportunities [55,56]. Beyond direct employment, tourism stimulates local business revenue by creating demand for goods and services. Local entrepreneurs often seize opportunities to cater to tourists, leading to the establishment of restaurants, shops, and guided tours that showcase local culture [57]. This entrepreneurial spirit not only enhances local economies but also fosters a sense of ownership and pride among community members [58]. Furthermore, the influx of tourism can lead to infrastructure development as governments and private investors recognize the need for improved transportation, sanitation, and public services to accommodate visitors [59]. Thus, tourism serves as a vital engine of economic growth, offering local communities both immediate financial benefits and long-term infrastructural improvements [60].
In addition to economic advantages, tourism can foster significant social gains within local communities. One of the most profound impacts is the strengthening of community identity and pride [61,62]. As local cultures and traditions are showcased to visitors, residents often develop a renewed appreciation for their heritage. The cultural impacts of tourism on local communities are both profound and complex. On the one hand, tourism can play a pivotal role in the preservation and promotion of local traditions and heritage [63,64]. The increased visibility of cultural practices, such as traditional dance and crafts, can inspire younger generations to engage with their cultural roots [65]. Initiatives such as community-led cultural tours and workshops provide tourists with authentic experiences while empowering local artisans and cultural practitioners [66]. Ultimately, the cultural impacts of tourism highlight the need for a balanced approach that prioritizes both the preservation of local culture and the economic benefits that tourism can bring.
The development of sustainable tourism requires a multidimensional approach that incorporates destination attractiveness, infrastructure, marketing, and community participation. These elements must be aligned with sustainability principles to ensure that tourism contributes to both economic growth and environmental conservation. Destination attractiveness is crucial for the competitive positioning of tourism locations, and its sustainability relies on the adoption of eco-friendly practices. In Tuscany, Italy, the region’s natural beauty, characterized by vineyards, rolling hills, and historic villages, is closely tied to sustainable tourism efforts [18]. Eco-tourism initiatives, especially in wine tourism, focus on organic farming and environmental conservation, appealing to eco-conscious travelers while protecting the area’s biodiversity and cultural heritage. Tuscany’s approach illustrates how aligning tourism development with local ecological values can enhance and sustain a destination’s attractiveness [20]. Infrastructure development plays a vital role in promoting sustainable tourism, as exemplified by New Zealand’s approach. The country’s “100% Pure New Zealand” campaign showcases the integration of eco-friendly infrastructure, such as geothermal energy resorts, sustainable transportation, and effective waste management systems [67]. These investments not only minimize the tourism sector’s carbon footprint but also enhance the visitor experience, demonstrating the importance of sustainability in maintaining a competitive and environmentally responsible tourism destination. Effective marketing strategies are essential for promoting sustainability in tourism, as they encourage responsible travel and environmental conservation. In Bordeaux, France, wine tourism exemplifies this approach, with local producers adopting sustainable practices like organic farming and water conservation, which are marketed to eco-conscious travelers [9]. The region’s marketing campaigns not only showcase its commitment to sustainability but also enhance local culture and heritage, demonstrating how marketing can foster responsible tourism and improve a destination’s competitiveness. Active involvement of local communities in decision-making is crucial for sustainable tourism. In regions like Tuscany, New Zealand, and Bordeaux, community participation ensures that tourism development aligns with local values and sustainability goals.

Exploring Wine Tourism

Wine tourism has emerged as a dynamic segment within the broader tourism industry, intricately linking cultural and gastronomic experiences while offering unique opportunities for winery development. Positioned at the intersection of these two types of tourism, wine tourism not only promotes vineyard visits and wine tastings but also encompasses wine festivals and shows, making it a multifaceted niche that attracts diverse visitors [68]. The strategic orientation of wine tourism aligns with a diversification strategy that supports long-term growth for wineries, thereby enhancing brand image and customer loyalty while boosting direct sales and additional revenue [8]. As the wine sector undergoes significant transformations, incorporating wine tourism into development strategies has become imperative for adapting to changing market demands. According to Vecchio et al. [9], the sustainability of wine tourism is deeply rooted in the local culture, requiring a balance between ethical practices and the needs of the community. This includes reducing pesticide usage, conserving water, and adopting renewable energy sources, all of which are essential sustainable practices in the industry [9]. To cultivate a viable wine tourism industry, it is crucial to integrate these sustainable practices with collaborative efforts among stakeholders, ensuring the conservation of resources while simultaneously supporting rural economic diversification [68]. Ultimately, the success of wine tourism hinges on the effective management of unique resources, such as land and labor, which are vital for both grape growing and winemaking, thereby creating a sustainable tourism offer that benefits both the industry and the local community.

3. Materials and Methods

The subject of this research was the role of community participation in the sustainable development and competitiveness of wine tourism destinations with implications for Serbia, and the research was conducted among the local population of two rural wine destinations, Banoštor in Serbia (283) and Radda in Chianti in Italy (319). According to Ahmed [69], the ideal sample size for a population of 700 (confidence level of 95% and margin of error of 5%) would be 246 respondents, so the Banoštor sample that participated in the research is valid and authoritative. The ideal sample size for a population of 1500 (confidence level of 95% and margin of error of 5%) would be 306 respondents, so the Radda in Chianti sample that participated in the research is also valid and authoritative. Out of the total number of respondents, 308 respondents were male and 294 respondents were female. Minors did not participate in the research because they were most often not accompanied by parents or guardians, and of the others, the group aged 41 to 55 (242 respondents) was the most represented. Then, those over 56 (162). There were 144 respondents between the ages of 26 and 40 and 54 between the ages of 18 and 25. As for education, most respondents had a high school education (262), followed by college (160). There were 144 of them with a university degree, and 27 of them with only high school, that is, 9 of them with the highest diplomas and titles of master and Ph.D. As for the structure of employment, the respondents were asked to state only whether their jobs have direct connections with tourism or the hotel industry, of which 342 declared that they had no direct connections, while 260 of them said that they were employed in these sectors.
In our research paper, we adopted a constructivist epistemological approach. Constructivism posits that knowledge is formed through human experiences, with individuals or groups deriving meaning from their social and cultural contexts. This epistemology emphasizes subjective understanding and recognizes multiple realities shaped by localized experiences. In the context of community-led tourism, constructivism proves to be particularly beneficial, as it facilitates an understanding of how rural community members perceive and interpret their experiences with tourism. For example, while local residents may regard tourism as a mechanism for economic development, they may simultaneously harbor concerns regarding its cultural implications or sustainability. This epistemological framework aids in exploring the varied perspectives of individuals within the community and how these perspectives either support or resist tourism development. Utilizing qualitative methods, such as interviews, is crucial for grasping the social construction of meaning within the community. We aim to investigate how locals comprehend their roles in tourism development and their perceptions of local empowerment concerning sustainable tourism practices. This epistemological approach offers a comprehensive understanding of how community-led sustainable tourism can empower local communities, enhance competitiveness, and foster a more sustainable tourism model in rural regions.
Recognition of the potential for engaging in rural tourism by the local population plays a key role in the sustainable development of rural destinations, which was the initial hypothesis of the work of H. This approach would look at the socio-economic and environmental benefits that arise when the local community takes the lead in shaping sustainable tourism initiatives.
In order to check and test the sub-hypotheses, it was necessary to obtain answers to three key questions:
  • In what ways can community-led tourism initiatives enhance the competitiveness of rural destinations compared to non-community-driven destinations?
  • What are the social, economic, and cultural benefits for local communities involved in sustainable tourism?
  • How does community participation in tourism planning and decision-making influence the sustainability of rural tourism?
The next thing that needed to be performed was factor analysis, which separated three factors. Namely, during the summer period of 2024, the local population was asked a group of 30 questions that had to be ranked on a five-point Likert scale (Table 1). In the period from June to August 2024, the authors of the paper stayed in these two wine places in Serbia and Italy on several occasions and thus obtained the data. A significant limitation of the study is its short data collection period, which only covers the peak tourist season from June to August 2024. This timeframe fails to capture seasonal variations in tourism patterns that can greatly influence tourist behavior and local community engagement. To enhance the findings, future research should extend the data collection to include both high and low tourist seasons, allowing for a more thorough understanding of how these fluctuations affect community participation and tourism development, as well as the adaptation of strategies during off-peak months.
After analyzing the data, the grouped responses singled out the following three factors as very characteristic: destination competitiveness, local empowerment, and community participation. Factor analysis was employed to reduce the number of observed variables and identify latent factors influencing community participation. This method is essential in tourism research as it helps uncover underlying dimensions that define perceptions of local empowerment, sustainability, and competitiveness.
Χ i = λ 1 F 1 + λ 2 F 2 + λ 3 F 3 + ε i
where Χ i represents observed variables, λ are factor loadings, F are the extracted factors, and ε is the error term.
After the extraction of factors, the study proceeded with Structural Equation Modeling (SEM). This methodology functions as a multivariate approach aimed at demonstrating causal relationships among variables in accordance with a structural model. Through path coefficients that indicate the strength of these relationships, this technique clarifies the connections between dependent data. SEM is a powerful method capable of addressing multicollinearity, which arises when two or more variables show a high level of correlation. A notable advantage of SEM over multiple regression and factor analysis is that all components of SEM modeling must be guided by theoretical frameworks. The development and adjustment of models are significantly influenced by theory. A considerable misapplication of Structural Equation Modeling (SEM) may occur when data are simply modified to conform to a suitable SEM, which can lead to the expansion of theory based exclusively on the results of the analysis.
Structural Equation Modeling was applied to examine causal relationships between community participation, destination competitiveness, and local empowerment. In tourism studies, SEM is widely used to test theoretical models by analyzing direct and indirect effects between variables. This approach is particularly relevant for understanding complex socio-economic interactions within rural tourism frameworks.
Y = βX + ζY
where Y is the dependent variable (community participation), X represents independent variables (local empowerment, destination competitiveness), β is the path coefficient, and ζ is the error term.
In order to compare the answers of the respondents in relation to the place where the local population is from, the Pearson chi-square test was used. For statistically significant differences in answers, those with a value of p less than 0.05 are considered. With higher values, it can be stated that there is no statistical significance in relation to the place where the local population is from. The Pearson chi-square test was used to compare survey responses between the two destinations (Banoštor and Radda in Chianti). This statistical test determines whether observed differences in community perceptions and engagement levels are significant. A p-value of less than 0.05 was used to establish statistical significance, indicating meaningful variations between the two case studies.
χ 2 = O E 2   E
where O is the observed frequency and E is the expected frequency.
Research design and methods applied at each stage are as follows:
  • Literature Review and Theoretical Framework → Identifying key concepts: sustainable tourism, community participation, competitiveness of wine tourism destinations → Method: Systematic Literature Review (SLR), Content Analysis;
  • Defining Research Hypotheses and Model → Formulating hypotheses based on the literature and defining SEM variables → Method: Theoretical Modeling, Conceptual Framework Development;
  • Selection of Case Study Locations → Choosing Banostor (Serbia) and Radda in Chianti (Italy) → Method: Case Study Research, Purposive Sampling;
  • Data Collection—Survey Design → Developing a structured questionnaire with 30 Likert scale questions → Method: Survey Method, Questionnaire Design;
  • Fieldwork and Data Collection → Conducting surveys with local residents (June–August 2024) → Method: Structured Interviews, On-Site Survey Research;
  • Exploratory Factor Analysis (EFA) → Identifying key latent factors (destination competitiveness, local empowerment, community participation) → Method: Factor Analysis;
  • Structural Equation Modeling (SEM) → Establishing causal relationships between variables → Method: SEM, Path Analysis;
  • Comparative Analysis of Local Communities → Comparing responses between Banostor and Radda in Chianti → Method: Pearson Chi-Square Test;
  • Interpretation of Results and Discussion → Analyzing findings in the context of sustainable tourism → Method: Qualitative Content Analysis, Statistical Interpretation;
  • Conclusion and Policy Recommendations → Providing insights for sustainable tourism development in Serbia → Method: Policy Analysis, Strategic Recommendations.

3.1. Banoštor, Fruška Gora, Vojvodina, Serbia

Banoštor is a small village located in Vojvodina, an autonomous province in northern Serbia. Banoštor is situated in the Srem district of Vojvodina, along the northern edge of Fruška. The mountain is a protected national park and is famous for its diverse flora and fauna, making it a popular spot for nature lovers, hikers, and outdoor enthusiasts [4]. Banoštor, like much of the Fruška Gora region, has a long history of wine production [70]. The area’s climate and soil are ideal for cultivating high-quality grapes, particularly varieties such as Chardonnay and Cabernet Sauvignon. Wine tourism is becoming increasingly popular in the region, with several local wineries offering tours and tastings. Fruška Gora is known for its wine road, which is a route connecting many of the region’s wineries. Banoštor’s proximity to this wine route makes it a part of the larger tradition of wine culture in the area. Historically, it was part of the Austro-Hungarian Empire and has been influenced by both Serbian and Hungarian cultures. With a population of about 700 inhabitants, Banoštor retains the peaceful, close-knit feel of a traditional village. Life here moves at a slower pace, with a strong sense of community and connection to the land. The village’s small size makes it a perfect example of rural Serbian life, where agriculture, especially wine and fruit cultivation, is central to the local economy [70]. Here are some notable wine cellars and wineries in and around Banoštor:
-
Winery Šijački: One of the most famous wineries in Banoštor and its surroundings. Šijački produces wines from traditional varieties such as Vranac, Sauvignon Blanc, Chardonnay, and Cabernet Sauvignon. This winery is known for maintaining tradition and a modern approach to viticulture and vinification. In addition to wine, Šijački also offers tourism in the vineyard, with the possibility of tastings, tours of the vineyards, and the organization of smaller events;
-
Stojković winery: Produces wines that reflect the specific characteristics of the Fruška Gora terroir, using both local and international grape varieties. Some of the most famous wines they produce include Chardonnay, Cabernet Sauvignon, Sauvignon Blanc, and Vranac;
-
The Urošević winery: Uses traditional grape varieties that are characteristic of Vojvodina and Fruška Gora, such as Chardonnay, Sauvignon Blanc, Vranac, Cabernet Sauvignon, and Merlot. Through careful selection of grapes and controlled vinification processes, the wines of the Urošević Winery reflect the characteristics of the local terroir, which includes the fertile and sunny slopes of Fruška Gora;
-
Winery Adamović: Produces a wide range of wines, which include both white and red grape varieties. The quality of the wines produced at the Adamović winery is recognized for its richness of taste and harmony, which is the result of the specific microclimate conditions of Fruška Gora;
-
Winery “Quet”: One of the well-known wine brands in Fruška Gora, located near Banoštor, and is known for its top-quality wines and commitment to quality. This winery is relatively young but has already managed to gain a reputation in the Serbian wine industry thanks to its innovative approach and the use of modern techniques in viticulture and vinification.

3.2. Radda in Chianti, Monti del Chianti, Tuscany, Italy

Radda in Chianti is a charming village located in the heart of Tuscany, specifically in the Chianti Classico wine region. It is set in the Monti del Chianti mountain range, which is part of the rolling hills that define the region’s landscape. Radda in Chianti is a village steeped in history, dating back to medieval times [71]. It was once an important settlement within the Republic of Florence and played a role in the defense of the region against external threats. The village itself is a walled settlement with narrow streets and ancient buildings, many of which still reflect the medieval architecture. Radda is located in the heart of the Chianti Classico wine production zone, which is one of the most famous and prestigious wine regions in the world. The area is known for producing high-quality Chianti Classico DOCG wines, with the Sangiovese grape being the cornerstone of production. Radda is often considered one of the top locations for wine tourism in Tuscany, offering a more intimate, smaller-scale experience compared to other areas in Chianti. With a population of about 1500 inhabitants, Radda retains a peaceful, authentic atmosphere, typical of many Tuscan hill towns [70]. Here are some notable wine cellars and wineries in and around Radda in Chianti:
  • Castello di Volpaia: A historic winery located in the village of Volpaia, just outside Radda, this estate has been making wine for centuries. They offer guided tours of the vineyards, cellars, and wine tastings featuring their signature Chianti Classico and other wines;
  • Fattoria di Montemaggio: Situated in the hills surrounding Radda, Montemaggio produces wines using organic and sustainable practices. Their wine tastings are offered in a beautiful setting, with an emphasis on the terroir and history of the region;
  • Podere Il Cocco: Located just outside of Radda, this family-owned winery is known for producing wines that reflect the unique character of the Chianti Classico region. They offer personalized tours of the vineyards and cellars, along with tastings of their wines;
  • San Giusto a Rentennano: A bit further south of Radda, San Giusto a Rentennano produces high-quality Chianti Classico wines, including their flagship wine “Percarlo.” Their estate is stunning, and they offer private tours of the vineyards and cellars paired with tastings of their wines;
  • Castello di Albola: Situated between Radda and the town of Greve in Chianti, Castello di Albola is a large estate that offers guided tours of its vineyards and ancient cellars, as well as tastings of their renowned Chianti Classico wines;
  • Isole e Olena: This winery, while slightly outside Radda, is known for producing exceptional Chianti Classico wines. They offer wine tastings and have a welcoming atmosphere, focusing on tradition and quality.

4. Results and Discussion

The factor analysis (see Table 2) yielded a model that categorizes the variables into three factors, collectively accounting for 86.25% of the variance. Looking at Table 2, it can be seen that the Eigenvalue > 1 for three factors, which is proof that the extracted factors are adequate and sufficient.
Table 3 shows the extracted factors. The singled-out factors are as follows: F1. Destination Competitiveness, F2. Local Empowerment, and F3. Community Participation. In rural areas, community-led sustainable tourism can enhance both destination competitiveness and local empowerment. By focusing on the strengths of the community and fostering a participatory approach, destinations can create unique, authentic experiences that appeal to tourists while ensuring long-term benefits for residents. This strategy not only boosts tourism but also supports the preservation of cultural and natural resources, contributing to overall sustainable development. Factor 1. Destination Competitiveness: Community Involvement (v4): Successful tourism projects often involve input from diverse community members, including residents, businesses, and local leaders. This inclusive approach ensures that the projects align with the community’s needs and values, fostering a sense of ownership and support among locals; Cultural Heritage (v20): A destination known for its unique cultural heritage and landmarks attracts tourists seeking authentic experiences. Preserving and promoting this heritage can significantly enhance a destination’s appeal and competitiveness; Tourist Loyalty (v21): When tourists have positive experiences, they are more likely to return. This repeat visitation is a strong indicator of a destination’s competitiveness, as it reflects satisfaction with the overall experience.
Factor 2. Local Empowerment: Community Empowerment (v9): Empowering the local community to influence tourism development ensures that projects are sustainable and beneficial to residents. This can lead to more responsible tourism practices that prioritize local interests and resources; Exceeding Expectations (v14): Providing exceptional service quality, attractions, and amenities can set a destination apart. Exceeding tourist expectations not only enhances satisfaction but also boosts word-of-mouth referrals and repeat visits; Skill Development (v30): Offering training and skill development opportunities for locals can improve the quality of service and ensure that tourism benefits the community economically. This investment in human capital is crucial for sustainable tourism growth.
Factor 3. Community Participation: Support for Community Projects (v7): The tourism industry can bolster community-driven initiatives by providing resources and support. This collaboration can lead to innovative projects that enhance the destination’s attractiveness and sustainability; Comprehensive Consultation (v8): Involving the local population in discussions about infrastructure, environmental preservation, and cultural heritage ensures that tourism development aligns with the community’s vision. This participatory approach can prevent negative impacts and promote balanced growth; Cultural Preservation (v27): Tourism can play a pivotal role in preserving and promoting local culture and traditions. By highlighting these aspects, destinations can offer unique experiences that attract tourists while safeguarding cultural heritage.
When it comes to Factor 1. Destination Competitiveness, it should be said that sustainable tourism can significantly improve the destination’s competitiveness, making it more attractive to visitors who are increasingly looking for authentic experiences that respect local cultures and the environment. By focusing on sustainability, rural destinations can differentiate themselves from others that may rely on mass tourism practices that damage the environment or dilute cultural heritage. This approach not only attracts eco-conscious travelers but also boosts tourist satisfaction through unique offerings such as local cuisine, traditional crafts, and immersive cultural experiences. This answered the following question: In what ways can community-led tourism initiatives enhance the competitiveness of rural destinations compared to non-community-driven destinations? Also, this confirms sub-hypothesis h1—that the involvement of all community members contributes to the competitive advantage of the wine destination and sets it apart on the market.
Factor 2. Local Empowerment shows that local empowerment is a key aspect of sustainable community-led tourism as it ensures that the economic benefits of tourism are retained within the community and not extracted by external corporations. This can take many forms: creating jobs for local people in hospitality or guide services, supporting local artisans through craft markets, and reinvesting tourism revenue into community projects such as schools or health facilities. Socially and culturally, this empowerment helps preserve traditions and promotes pride among residents as they share their heritage with visitors. This answered the following question: What are the social, economic, and cultural benefits for local communities involved in sustainable tourism? Also, this confirms the sub-hypothesis h2—that wine tourism affects the empowerment of the local community and entrepreneurship.
Factor 3. Community Participation shows that the level of involvement of the local population in the development of tourism is of vital importance for its success. When communities actively participate in decision-making processes related to tourism initiatives—such as planning events or developing marketing strategies—they are more likely to support these initiatives and ensure they reflect community identity and values. This participation fosters a sense of ownership of the tourism experience, leading to better management practices that prioritize sustainability and long-term sustainability. In short, sustainable community-led tourism not only strengthens the competitive advantage of rural destinations but also empowers the local population economically, socially, and culturally through active participation in all aspects of tourism development. This answered the following question: How does community participation in tourism planning and decision-making influence the sustainability of rural tourism? Also, sub-hypothesis h3 was confirmed—that the support of the local community is crucial for the development of sustainable forms of tourism, such as wine tourism.
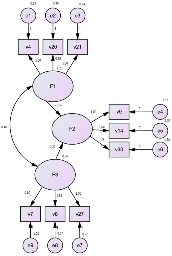
Table 4 shows that sustainable community-led tourism refers to a model in which local communities take responsibility for the development of tourism in their areas, ensuring that it is in line with their values and needs while promoting environmental sustainability. Sustainable community-led tourism in rural areas focuses on increasing the competitiveness of the destination while empowering local communities. These include attracting tourists through sustainable practices and high tourist satisfaction (destination competitiveness), ensuring that local people benefit economically, socially, and culturally from tourism (local empowerment), and actively involving them in the decision-making process related to tourism development (community participation). By balancing these factors, rural destinations can thrive while fostering a sense of ownership and pride among local residents. The figure shown (Figure 1) is a path diagram, which is used in Structural Equation Modeling (SEM) to illustrate the relationships between latent variables (factors) and observed variables (indicators). Here, the latent variables are F1, F2, and F3 and the observed variables are v4, v20, v21, v9, v14, v30, v7, v8, and v27. The plot also includes the error terms (e1, e2, e3, e4, e5, e6, e7, e8, and e9) associated with the observed variables.
Factor 1. Destination Competitiveness represents the way in which tourism affects the destination’s ability to compete with other destinations. It includes aspects such as attractiveness, sustainability, and tourist satisfaction. Factor 2. Local Empowerment measures the degree to which local communities benefit from tourism. These include economic, social, and cultural benefits. Factor 3. Community Participation represents the level of involvement of the local population in tourism development and decision-making. Figure 1 shows the relationships between the factors. Factors F1 to F2: The path coefficient is −0.57, indicating a negative relationship between destination competitiveness and local empowerment. This suggests that as the focus on destination competitiveness increases, perceived local empowerment may decrease. Factors F2 to F3: The path coefficient is 0.28, indicating a positive relationship between local empowerment and community participation. This implies that greater local empowerment leads to greater community participation. Factors F1 to F3: The path coefficient is 0.40, indicating a positive relationship between destination competitiveness and community participation. This suggests that increasing the competitiveness of a destination can also encourage community participation.
Looking at Table 5, it can be concluded that the research did not show statistically significant differences in the responses of the respondents in relation to where they come from; that is, the local population confirms all the positive aspects of the development of tourism in their wine regions. This confirmed the initial hypothesis H that recognition of the potential for engaging in rural tourism by the local population plays a key role in the sustainable development of rural destinations.
Sustainable tourism initiatives can enhance destination competitiveness in both Banoštor and Radda in Chianti by focusing on authentic experiences that respect local culture and the environment. In Banoštor, community involvement and cultural heritage are crucial for boosting competitiveness, while Radda benefits from its established wine tourism sector and strong branding. Local empowerment and community participation are essential in both regions, with Banoštor emphasizing job creation and skill development and Radda in Chianti leveraging institutional support to ensure tourism revenue benefits the community and preserves cultural identity. In summary, while both Banoštor and Radda in Chianti benefit from community-led sustainable tourism, the specific impacts of community engagement vary according to local conditions. In Banoštor, community participation and empowerment are vital for overcoming developmental challenges, while in Radda in Chianti, a more developed tourism infrastructure allows for a more advanced integration of sustainability and local involvement. The comparative analysis of these two regions highlights the importance of adapting community engagement strategies to local contexts, ensuring that tourism development aligns with both local needs and sustainable practices. Future studies should further explore how these dynamics play out across different rural tourism destinations, particularly those in developing economies, to refine the understanding of community participation’s role in enhancing the competitiveness and sustainability of rural tourism.

5. Discussion and Conclusions

By embracing the principles of sustainable tourism and fostering local involvement, communities can harness the economic benefits of wine tourism while safeguarding their unique identities and resources. The impact of wine tourism on rural communities is profound, offering both challenges and opportunities that require careful management and strategic planning. As rural areas continue to navigate the complexities of tourism development, implementing effective strategies for sustainability will be crucial in ensuring that the benefits of wine tourism are enjoyed by both residents and visitors alike. Through collaboration, eco-friendly practices, and thoughtful marketing, rural wine regions can position themselves as leaders in sustainable tourism, ultimately enhancing their resilience and vitality for generations to come. The research highlights the importance of community participation in sustainable tourism development, emphasizing that local empowerment leads to significant social, cultural, and economic benefits, ultimately creating a more sustainable tourism model in rural areas.
Research carried out in two wine villages, comparable in terms of population, natural environment, and quality of wines, indicates that the local communities of Banoštor and Radda in Chianti provide consistent responses regarding the advancement of tourism in their respective areas. Regarding the first factor, destination competitiveness, residents of both locales concur that community involvement bolsters local support, cultural heritage enhances the appeal of attractions, and tourist loyalty guarantees ongoing success—all vital components that contribute to a destination’s competitiveness within the tourism sector. The second factor, local empowerment, also received similar feedback. Community empowerment fosters local ownership and accountability, exceeding expectations, generates positive experiences for tourists, and cultivates loyalty, while skill development fortifies the local workforce, resulting in more sustainable and competitive tourism practices. In rural wine destinations, where a large number of locals are involved in tourism, skills development becomes even more essential for enhancing sustainability and competitiveness. Local communities often possess a deep knowledge of winemaking, agriculture, and their unique cultural heritage, which can be leveraged to create authentic tourism experiences. By providing training in areas like tourism management, hospitality, sustainable farming practices, and marketing, local residents can improve the quality of service, attract more visitors, and ensure that tourism benefits the entire community. These destinations can integrate eco-tourism principles by promoting sustainable viticulture practices, such as organic farming, water conservation, and soil preservation. Furthermore, locals can offer visitors experiential tourism such as vineyard tours, wine tasting, and cooking classes that showcase traditional skills and products, creating a competitive advantage. Investing in skills development also empowers locals to create small-scale businesses around tourism, from accommodation and local cuisine to wine-related experiences, reducing the reliance on larger operators. This ensures that the economic benefits remain within the community while preserving the local culture and environment.
These elements are essential for ensuring that tourism yields benefits for both visitors and the local community in a sustainable manner. The third factor addressed was community participation, where support for community initiatives encourages innovation and sustainability, consultation on development guarantees that tourism initiatives align with community values and mitigate adverse effects, and cultural preservation enriches a destination’s distinctiveness and attractiveness, thereby enhancing its long-term competitiveness in the tourism market.
Our research aligns with several studies that emphasize the importance of community involvement, cultural heritage, and skill development in enhancing the competitiveness and sustainability of wine tourism destinations. A Tomay [72] highlights that social capital—comprising strong local networks, information sharing, coordinated activities, collective decision-making, trust, and reciprocity—is crucial for the success of wine tourism ecosystems. This social capital fosters cooperation and collective action, leading to sustainable rural development. Similarly, Vukovic et al. [10] found that residents’ personal benefits from wineries positively influence their perceptions of the economic, socio-cultural, and environmental impacts of wine tourism on local communities. This underscores the significance of community participation and empowerment in tourism initiatives. Moreover, research on the Douro Wine Region in Portugal [73] indicates that wine tourism serves as a tool for sustainable development by promoting local wine producers, preserving natural resources, and enhancing the quality of life for local populations. This approach integrates cultural heritage with tourism, creating authentic experiences that attract visitors and benefit the community. Collectively, these studies support our conclusions that community involvement, cultural heritage, and skill development are vital components in advancing tourism and ensuring the sustainability and competitiveness of rural wine destinations. On the other hand, there are also numerous differences with other research. Our research takes a more holistic and community-centered approach by linking destination competitiveness, skills development, and sustainability, whereas other studies often focus on economic benefits, social capital, or branding sustainability rather than direct community participation in shaping tourism. There are some notable differences in focus and emphasis: stronger focus on destination competitiveness (our research explicitly links community involvement, cultural heritage, and tourist loyalty to destination competitiveness, while the study conducted by Tomay [72] emphasizes social capital and collective action as primary drivers of wine tourism success, rather than framing it in terms of competitiveness); community participation vs. economic impact (our study stresses community participation and empowerment, ensuring that local values guide tourism development and economic benefits remain within the community. On the other hand, Vukovic et al. [10] focus more on the economic benefits perceived by residents and their influence on attitudes toward wine tourism rather than on community-driven decision-making); integration of eco-tourism principles (our research proposes integrating eco-tourism principles (organic farming, water conservation, soil preservation) into wine tourism). While sustainability is a common theme in wine tourism research, many studies (e.g., the Douro Wine Region study [73]) focus more on marketing and branding sustainability efforts rather than the direct application of sustainable agricultural practices in tourism development.
Our study highlights strong community participation, skills development, and sustainability as key factors for successful wine tourism. However, challenges related to training gaps, local governance, market competition, environmental risks, and cultural preservation must be addressed to ensure long-term sustainable growth. To ensure the sustainable development of wine tourism in Serbia, it is essential to expand research to include more potential wine destinations and invest in continuous education for both locals and tourists. Strengthening policy support, improving infrastructure, and fostering international promotion will enhance Serbia’s competitiveness in the global wine tourism market. Encouraging sustainable viticulture, supporting small-scale entrepreneurship, and integrating digital innovations can further boost local economic benefits while preserving cultural and environmental integrity. Collaboration with established wine regions and the adoption of best practices will also play a crucial role in positioning Serbia as a leading wine tourism destination.
In light of these findings, several policy recommendations are proposed for enhancing the sustainability and competitiveness of wine tourism in rural regions. First, there should be a focus on enhancing local capacity-building through training programs that emphasize sustainable viticulture practices, hospitality, tourism management, and marketing skills. This investment will help ensure that local communities are equipped to manage tourism sustainably, create authentic experiences, and maintain long-term economic resilience. Additionally, there should be improvements in infrastructure that prioritize sustainability, such as eco-friendly accommodations, waste management, and sustainable transportation options for tourists. Marketing efforts should highlight local heritage and eco-tourism principles, promoting the region as a responsible and authentic destination. Finally, policy support should be directed toward fostering collaboration between local communities, tourism operators, and government bodies to ensure tourism development aligns with the values and needs of the local population.
While this study provides valuable insights, several avenues for future research remain. Longitudinal studies could be conducted to assess the long-term effects of community participation on the sustainability of tourism in wine regions. This would help identify how community-driven tourism evolves and its impact on local development over time. Furthermore, research could explore the role of digital innovations in enhancing marketing efforts and promoting sustainable tourism practices. Investigating cross-cultural differences in community participation across various wine regions would provide comparative insights into community-led tourism models, offering valuable lessons for areas at different stages of tourism development. Finally, expanding research into additional wine destinations in Serbia and other emerging wine regions would offer a broader perspective.

Practical Implications

The findings of this research provide valuable insights for policymakers, tourism developers, and local communities aiming to enhance sustainable wine tourism in rural areas. By prioritizing local involvement and sustainable tourism principles, rural wine destinations can achieve long-term economic, social, and environmental benefits. To bolster the competitiveness of a destination, it is essential to promote community engagement, which cultivates local support and enhances the destination’s attractiveness. By prioritizing cultural heritage as a significant draw, visitor experiences and loyalty are enriched. Furthermore, investing in branding and marketing initiatives that showcase the distinctiveness of local wine tourism can elevate international competitiveness. It is imperative to enhance local empowerment to achieve sustainable tourism. Equipping residents with vital skills through training in tourism management, sustainable viticulture, hospitality, and digital marketing leads to improved service quality and increased job prospects. Supporting small-scale tourism ventures, such as boutique wineries, agritourism accommodations, and culinary experiences, ensures that economic advantages remain within the community. Additionally, fostering knowledge exchange between established wine regions and emerging destinations encourages innovation and the adoption of best practices in sustainable tourism. Promoting community involvement assists in aligning development efforts with the values and expectations of the local populace. By advocating for participatory decision-making in tourism planning, the inclusion of local perspectives is assured. The endorsement of environmentally sustainable practices, including organic wine production, water conservation, and waste management, plays a significant role in fostering ecological sustainability. Additionally, the facilitation of cultural and educational initiatives that link visitors to local traditions enhances the tourism experience while safeguarding rural identities. The establishment of sustainable tourism strategies necessitates the formation of collaborations among winemakers, tourism operators, and governmental organizations to foster a cohesive strategy for tourism development. By utilizing digital resources for intelligent tourism, such as virtual vineyard tours and e-commerce for wine sales, market accessibility is enhanced while minimizing environmental repercussions. Furthermore, instituting monitoring systems to assess the effects of tourism on local communities and the environment facilitates adaptive management and ongoing enhancement. The study’s findings indicate that rural wine destinations such as Banoštor and Radda in Chianti share a common perspective on the importance of community engagement in tourism development. Given that Serbia’s wine regions are still in the early stages of tourism growth, these insights serve as a valuable foundation for guiding future strategies. By adopting a collaborative and sustainable approach, rural wine regions can position themselves as leaders in responsible tourism while preserving their cultural heritage and natural landscapes for generations to come.

Author Contributions

Conceptualization, A.V. and M.T.; methodology, A.V.; software, M.T.; validation, A.V., M.T. and N.S.; formal analysis, N.S.; investigation, M.T.; resources, A.V.; data curation, A.V.; writing—original draft preparation, A.V.; writing—review and editing, N.S.; visualization, A.V.; supervision, N.S. All authors have read and agreed to the published version of the manuscript.

Funding

This research received no external funding.

Institutional Review Board Statement

The study was conducted in accordance with the Declaration of Helsinki and approved by the Ethics Committee of Singidunum University (protocol code 196, 25 January 2025) for studies involving humans.

Informed Consent Statement

Informed consent was obtained from all subjects involved in the study.

Data Availability Statement

The aggregated data analyzed in this study are available from the corresponding author upon reasonable request.

Conflicts of Interest

The authors declare no conflicts of interest.

References

  1. Tang, H.; Yang, H.; Gan, D.; He, H.; Wang, S. Transforming tourist behavior: An integrated emotional and normative framework for promoting environmental intentions at eco-destinations. J. Destin. Mark. Manag. 2025, 36, 100993. [Google Scholar] [CrossRef]
  2. Li, Q.; Wang, Y.; Shan, W.; Guan, J. Dual trust, emotional bond, and tourists’ on-site pro-environmental behavior at nature-based destinations: Extending norm-activation theory from the perspective of social dilemma. J. Outdoor Recreat. Tour. 2025, 49, 100839. [Google Scholar] [CrossRef]
  3. Arici, E.H.; Köseoglu, A.M. What are the most influential drivers of tourism destination competitiveness? J. Destin. Mark. Manag. 2025, 36, 100990. [Google Scholar] [CrossRef]
  4. Song, Z. Research on Assessing Comprehensive Competitiveness of Tourist Destinations Within Cities, Based on Field Theory and Competitiveness Theory. Sustainability 2025, 17, 90. [Google Scholar] [CrossRef]
  5. Woosnam, M.K.; Joo, D.; Gaither, J.C.; Ribeiro, A.M.; Sánchez, J.J.; Brooks, R.; Lee, K.D. Residents’ behavioral support for tourism in a burgeoning rural destination. J. Outdoor Recreat. Tour. 2024, 48, 100816. [Google Scholar] [CrossRef]
  6. Haven-Tang, C.; Sedgley, D. Partnership working in enhancing the destination brand of rural areas: A case study of Made in Monmouthshire, Wales, UK. J. Destin. Mark. Manag. 2014, 3, 59–67. [Google Scholar] [CrossRef]
  7. Ruiz-Ballesteros, E.; González-Portillo, A. Limiting rural tourism: Local agency and community-based tourism in Andalusia (Spain). Tour. Manag. 2024, 104, 104938. [Google Scholar] [CrossRef]
  8. Mora, D.; Moral-Cuadra, S.; López-Guzmán, T.; Aguilar-Rivero, M. Circular Economy Practices in Wine Tourism: Environmental Policies and Strategies for the Development of Wine Routes in Spain. Int. J. Gastron. Food Sci. 2025, 39, 101122. [Google Scholar] [CrossRef]
  9. Vecchio, R.; Annunziata, A.; Bouzdine-Chameeva, T. How to promote sustainable wine tourism: Insights from Italian and French young adults. Ann. Tour. Res. Empir. Insights 2024, 5, 100137. [Google Scholar] [CrossRef]
  10. Vuković, D.; Vujko, A.; Maiti, M.; Riad, S. Residents’ perceptions of wine tourism on the rural destinations development. Br. Food J. 2020, 122, 2739–2753. [Google Scholar] [CrossRef]
  11. Giambona, F.; Magrini, A.; Fusco, E. Assessing tourism sustainability in European Union countries: A multi-directional benefit of the doubt composite indicator. Socio-Econ. Plan. Sci. 2024, 95, 102042. [Google Scholar] [CrossRef]
  12. Nesticò, A.; Maselli, G. Sustainability indicators for the economic evaluation of tourism investments on islands. J. Clean. Prod. 2020, 248, 119217. [Google Scholar] [CrossRef]
  13. Asmelash, G.A.; Kumar, S. Assessing progress of tourism sustainability: Developing and validating sustainability indicators. Tour. Manag. 2019, 71, 67–83. [Google Scholar] [CrossRef]
  14. Lee, H.T.; Hsieh, P.H. Indicators of sustainable tourism: A case study from a Taiwan’s wetland. Ecol. Indic. 2016, 67, 779–787. [Google Scholar] [CrossRef]
  15. Ceres, G.; Shindler, L.; Mercuri, F.; Zammit, U. Development and application of affordable microclimate and indoor air quality monitoring platforms for historic libraries in cultural heritage preservation. J. Cult. Herit. 2024, 70, 203–212. [Google Scholar] [CrossRef]
  16. Jiang, Y.; Zhu, L.; Goulão, F.L.; Li, X.; Su, L.; Chen, L.; Li, A. The bamboo weaving training as a strategy for women’s empowerment toward sustainability in rural revitalization: Practices, challenges and perspectives. Women’s Stud. Int. Forum 2024, 106, 102975. [Google Scholar] [CrossRef]
  17. Bojović, P.; Vujko, A.; Knežević, M.; Bojović, R. Sustainable approach to the development of the tourism sector in the conditions of global challenges. Sustainability 2024, 16, 2098. [Google Scholar] [CrossRef]
  18. Festa, G.; Shams, S.M.R.; Metallo, G.; Cuomo, T.M. Opportunities and challenges in the contribution of wine routes to wine tourism in Italy—A stakeholders’ perspective of development. Tour. Manag. Perspect. 2020, 33, 100585. [Google Scholar] [CrossRef]
  19. Ferrari, G.; Jiménez, M.J.; Secondi, L. Tourists’ Expenditure in Tuscany and its impact on the regional economic system. J. Clean. Prod. 2018, 171, 1437–1446. [Google Scholar] [CrossRef]
  20. Abraben, A.L.; Grogan, A.K.; Gao, Z. Organic price premium or penalty? A comparative market analysis of organic wines from Tuscany. Food Policy 2017, 69, 154–165. [Google Scholar] [CrossRef]
  21. Chastain, L.; Islar, M. Firescape politics of wildfires in the Mediterranean: Example from rural Tuscany, Italy. Geoforum 2024, 154, 104068. [Google Scholar] [CrossRef]
  22. Torović, L.J.; Lakatoš, I.; Majkić, T.; Beara, I. Risk to public health related to the presence of ochratoxin A in wines from Fruška Gora. LWT 2020, 129, 109537. [Google Scholar] [CrossRef]
  23. Ratten, V.; Strickland, P. Wine Tourism; Reference Module in Social Sciences; Elsevier: Amsterdam, The Netherlands, 2024. [Google Scholar] [CrossRef]
  24. Iqbal, A.; Ramachandran, S.; Siow, L.M.; Subramaniam, T.; Afandi, S.H.M. Meaningful community participation for effective development of sustainable tourism: Bibliometric analysis towards a quintuple helix model. J. Outdoor Recreat. Tour. 2022, 39, 100523. [Google Scholar] [CrossRef]
  25. Wondirad, A.; Ewnetu, B. Community participation in tourism development as a tool to foster sustainable land and resource use practices in a national park milieu. Land Use Policy 2019, 88, 104155. [Google Scholar] [CrossRef]
  26. Rasoolimanesh, M.S.; Ringle, M.C.; Jaafar, M.; Ramayah, T. Urban vs. rural destinations: Residents’ perceptions, community participation and support for tourism development. Tour. Manag. 2017, 60, 147–158. [Google Scholar] [CrossRef]
  27. Gutierrez, M.L.E. Re-examining the participation and empowerment nexus: Applications to community-based tourism. World Dev. Perspect. 2023, 31, 100518. [Google Scholar] [CrossRef]
  28. Wei, X.; Pu, P.; Cheng, L.; Jiang, H.; Liu, Y. Ethnic community’s perception of benefit-sharing and participation intentions in national park tourism in China: An asymmetric modeling approach. Ecol. Indic. 2014, 166, 112257. [Google Scholar] [CrossRef]
  29. Domi, S.; Belletti, G. The role of origin products and networking on agritourism performance: The case of Tuscany. J. Rural Stud. 2022, 90, 113–123. [Google Scholar] [CrossRef]
  30. Antolini, F.; Terraglia, I.; Cesarini, S. Integrating multiple data sources to measure sustainable tourism in Italian regions. Socio-Econ. Plan. Sci. 2024, 95, 101959. [Google Scholar] [CrossRef]
  31. Cheng, L.; Ju, Y.; Wang, T.; Wall, G.; Li, J.; Wang, M. Authentic experiences and visitor stickiness: When landscapes are restored at a world natural heritage site. Tour. Manag. 2025, 108, 105124. [Google Scholar] [CrossRef]
  32. Han, S.; Olya, H.; Kim, J.M.; Kim, T. Generative-based community sustainable tourism development: From conceptualization to practical framework. J. Hosp. Tour. Manag. 2024, 61, 34–44. [Google Scholar] [CrossRef]
  33. Silva, F.L.; Carballo-Cruz, F.; Ribeiro, J.C. Residents’ perceptions of tourism development in the context of a new governance framework for Portuguese protected areas: The case of a small peripheral natural park. J. Rural Stud. 2024, 112, 103451. [Google Scholar] [CrossRef]
  34. Di Ruocco, I.; D’Auria, A. Implementing community impact evaluation (CIE) in special economic zones: Lessons from Campania (Italy) towards global practices. Reg. Sci. Policy Pract. 2025, 17, 100169. [Google Scholar] [CrossRef]
  35. Giudice, B.; Voghera, A. Planning for landscape and heritage. A community perspective to overcome risks and vulnerabilities in the Italian case study. Int. J. Disaster Risk Reduct. 2024, 110, 104610. [Google Scholar] [CrossRef]
  36. Reina-Usuga, L.; Camino, F.; Gomez-Casero, G.; Alba, J.A.C. Rural tourism initiatives and their relationship to collaborative governance and perceived value: A review of recent research and trends. J. Destin. Mark. Manag. 2024, 34, 100926. [Google Scholar] [CrossRef]
  37. Jørgensen, T.M.; Fuglsang, L.; Sundbo, J. Tourism transitions, complex challenges and robust destination development in peri-urban areas: A case study of Zealand, Denmark. J. Destin. Mark. Manag. 2024, 33, 100905. [Google Scholar] [CrossRef]
  38. dos Santos, M.R.E.; Pereira, N.L.; Pinto, P.; Boley, B.B.; Ribeiro, A.M. Imperialism, empowerment, and support for sustainable tourism: Can residents become empowered through an imperialistic tourism development model? Tour. Manag. Perspect. 2024, 53, 101270. [Google Scholar] [CrossRef]
  39. Vaduva, S.; Echevarria-Cruz, S.; Takacs, J. The economic and social impact of a university education upon the development of the Romanian tourism industry. J. Hosp. Leis. Sport Tour. Educ. 2020, 27, 100270. [Google Scholar] [CrossRef]
  40. Zhang, W.; Ren, S.; Zhang, Y.; Li, C. Government investment, level of marketization and high-quality tourism development. Int. Rev. Econ. Financ. 2024, 96 Pt A, 103536. [Google Scholar] [CrossRef]
  41. Xu, A.; Jin, L.; Yang, J. Balancing tourism growth, Fintech, natural resources, and environmental sustainability: Findings from top tourist destinations using MMQR approach. Resour. Policy 2024, 89, 104670. [Google Scholar] [CrossRef]
  42. Zhou, Z.; Wen, S.; Li, T.T.; Zhang, X.; Chi, M. Virtual streamer and destination visitation: An attractiveness transfer perspective. J. Destin. Mark. Manag. 2024, 33, 100922. [Google Scholar] [CrossRef]
  43. Duan, J.; Liang, X.; Liao, J.; Nakashima, R.; Shi, H.; Hu, C.; Kumada, T.; Peng, K.; Tong, T. “Big picture” predicts destination attractiveness: The role of physical breadth and contextual breadth. Tour. Manag. 2025, 108, 105114. [Google Scholar] [CrossRef]
  44. Morgan, J.N.; Pritchard, A.; Piggott, N. New Zealand, 100% Pure. The creation of a powerful niche destination brand. J. Brand Manag. 2002, 9, 335–354. [Google Scholar] [CrossRef]
  45. Mason, C.M.; Paggiaro, A. Investigating the role of festivalscape in culinary tourism: The case of food and wine events. Tour. Manag. 2012, 33, 1329–1336. [Google Scholar] [CrossRef]
  46. Chen, S.; Paramaiah, C.; Kumar, P.; Khan, S.; Haomu, Q. Toward sustainable tourism: Insights from green financing and renewable energy. Energy Strategy Rev. 2025, 57, 101618. [Google Scholar] [CrossRef]
  47. Randelli, F.; Martellozzo, F. Is rural tourism-induced built-up growth a threat for the sustainability of rural areas? The case study of Tuscany. Land Use Policy 2019, 86, 387–398. [Google Scholar] [CrossRef]
  48. Qiu, N.; Li, H.; Pan, C.; Wu, J.; Guo, J. The study on the relationship between perceived value, satisfaction, and tourist loyalty at industrial heritage sites. Heliyon 2024, 10, e37184. [Google Scholar] [CrossRef]
  49. Zhang, Y.; Huang, H. Unraveling how poor logistics service quality of cross-border E-commerce influences customer complaints based on text mining and association analysis. J. Retail. Consum. Serv. 2025, 84, 104237. [Google Scholar] [CrossRef]
  50. Bovo, M.; Cordini, M. The city between services: Territory as a learning environment in a neighborhood of Milan, Italy. Cities 2025, 156, 105557. [Google Scholar] [CrossRef]
  51. Truong, H.L.T.; Lenglet, F.; Mothe, C. Destination distinctiveness: Concept, measurement, and impact on tourist satisfaction. J. Destin. Mark. Manag. 2018, 8, 214–231. [Google Scholar] [CrossRef]
  52. Zeng, Y.; Filimonau, V.; Wang, L.; Zhong, L. The impact of perceived unfavorable weather on tourist loyalty in high-altitude destinations: The case of the Qinghai-Tibet plateau, China. J. Outdoor Recreat. Tour. 2023, 43, 100658. [Google Scholar] [CrossRef]
  53. Dai, A.; Zhang, J.; Pai, K.C.; Lee, J.T. The impact of the perception of smart hotel attributes and perceptions of service innovation on tourist happiness and brand loyalty. Int. J. Hosp. Manag. 2025, 127, 104107. [Google Scholar] [CrossRef]
  54. Webster, C.; Ivanov, S. Transforming competitiveness into economic benefits: Does tourism stimulate economic growth in more competitive destinations? Tour. Manag. 2014, 40, 137–140. [Google Scholar] [CrossRef]
  55. Elgin, C.; Elveren, Y.A. Unpacking the economic impact of tourism: A multidimensional approach to sustainable development. J. Clean. Prod. 2024, 478, 143947. [Google Scholar] [CrossRef]
  56. Zhang, Y.; Li, S.; Zhou, Q.; Wu, F. The economic benefits and environmental costs of trans-eastern tourism in China. Environ. Impact Assess. Rev. 2024, 108, 107603. [Google Scholar] [CrossRef]
  57. Auster, E.R.; Barr, W.S.; Brazier, E.R. Wildlife tourism in reintroduction projects: Exploring social and economic benefits of beaver in local settings. J. Nat. Conserv. 2020, 58, 125920. [Google Scholar] [CrossRef]
  58. Maldonado, H.J.; Moreno-Sánchez, M.R.; Espinoza, S.; Bruner, A.; Garzón, N.; Myers, J. Peace is much more than doves: The economic benefits of bird-based tourism as a result of the peace treaty in Colombia. World Dev. 2018, 106, 78–86. [Google Scholar] [CrossRef]
  59. Sun, Z.; Liu, L.; Pan, R.; Wang, Y.; Zhang, B. Tourism and economic growth: The role of institutional quality. Int. Rev. Econ. Financ. 2025, 98, 103913. [Google Scholar] [CrossRef]
  60. Tan, Y.; Jiang, G.; Merajuddin, S.S.; Zhao, F. Urbanization and tourism economic development. Financ. Res. Lett. 2025, 73, 106632. [Google Scholar] [CrossRef]
  61. da Costa, A.R.; Almeida, F.L.L.; Chim-Miki, F.A.; Brandão, F. Identifying social value in tourism: The role of sociocultural indicators. J. Hosp. Tour. Manag. 2025, 62, 148–162. [Google Scholar] [CrossRef]
  62. Ji, F.; Wang, F.; Wu, B. How does virtual tourism involvement impact the social education effect of cultural heritage? J. Destin. Mark. Manag. 2023, 28, 100779. [Google Scholar] [CrossRef]
  63. Liu, Y.; Wang, Y.; Dupre, K.; McIlwaine, C. The impacts of world cultural heritage site designation and heritage tourism on community livelihoods: A Chinese case study. Tour. Manag. Perspect. 2022, 43, 100994. [Google Scholar] [CrossRef]
  64. Mteti, H.S.; Mpambije, J.C.; Manyerere, J.D. Unlocking cultural tourism: Local community awareness and perceptions of cultural heritage resources in Katavi Region in southern circuit of Tanzania. Soc. Sci. Humanit. Open 2025, 11, 101295. [Google Scholar] [CrossRef]
  65. Demissie, E.T.; Italemahu, Z.T. Local heritage conservation practices and challenges in Ethiopia: Evidences from the ancient rock-hewn churches in Lay Gayint District, South Gondar, Amhara region. Soc. Sci. Humanit. Open 2024, 10, 101139. [Google Scholar] [CrossRef]
  66. González, A.J.; Lorenzo-Cuyás, D. The ‘social heroes’ approach as a methodology for valorising the primary sector and promoting local products. A pilot study in Lanzarote, Canary Islands. Int. J. Gastron. Food Sci. 2025, 39, 101123. [Google Scholar] [CrossRef]
  67. Bello, F.G.; Carr, N.; Lovelock, B. Community participation framework for protected area-based tourism planning. Tour. Plan. Dev. 2016, 13, 469–485. [Google Scholar] [CrossRef]
  68. Jovanović, R.; Almeida-García, F.; Cortés-Macías, R.; Parzych, K. Assessment of wine tourism potential in the countries of the former Yugoslavia. J. Outdoor Recreat. Tour. 2025, 49, 100863. [Google Scholar] [CrossRef]
  69. Ahmed, K.S. How to choose a sampling technique and determine sample size for research: A simplified guide for researchers. Oral Oncol. Rep. 2024, 12, 100662. [Google Scholar] [CrossRef]
  70. Vujko, A.; Bojović, R.; Nedeljković, D.; Jović, M.D.; Todorović, M.J. Can organic farming contribute on sustainable women entrepreneurship in rural tourism? An nacional park evidence. Geoj. Tour. Geosites 2024, 57, 2143–2151. [Google Scholar] [CrossRef]
  71. Nesto, B.; Di Savino, F. Chianti Classico: The Search for Tuscany’s Noblest Wine; University of California Press: Berkeley, CA, USA, 2016. [Google Scholar] [CrossRef]
  72. Tomay, K.; Tuboly, E. The role of social capital and trust in the success of local wine tourism and rural development. Sociol. Rural. 2023, 63, 200–222. [Google Scholar] [CrossRef]
  73. Jezierska-Thöle, A.; Gonia, A.; Podgórski, Z.; Gwiaździńska-Goraj, M. Wine Tourism as a Tool for Sustainable Development of the Cultural Landscape—A Case Study of Douro Wine Region in Portugal. Sustainability 2025, 17, 1494. [Google Scholar] [CrossRef]
Figure 1. Structural Equation Modeling (SEM). Source: Prepared by the authors (2025).
Figure 1. Structural Equation Modeling (SEM). Source: Prepared by the authors (2025).
Sustainability 17 02878 g001
Table 1. Variables used and statements.
Table 1. Variables used and statements.
v1. Community Awareness: The local community is informed and aware of ongoing tourism development plans.
v2. Community Participation: Community members are encouraged to participate in tourism planning and development processes.
v3. Resident Consultations: There are regular consultations or meetings where local residents can share their opinions and ideas about tourism development.
v4. Community Involvement: Tourism projects in this area are developed with input from a broad range of community members (e.g., residents, businesses, local leaders).
v5. Community-Centered Development: Tourism development initiatives reflect the needs and priorities of the local community.
v6. Inclusive Participation: There are mechanisms in place to ensure that community participation in tourism development is inclusive of all social groups (e.g., women, youth, marginalized groups).
v7. Community Projects: The tourism industry supports community-driven projects and initiatives.
v8. Comprehensive Consultation: The local population is consulted on issues such as infrastructure development, environmental preservation, and cultural heritage related to tourism.
v9. Community Empowerment: The local community has a sense of empowerment and influence over the direction of tourism development in this area.
v10. Active Stewardship: Community members actively participate in managing the impact of tourism on the local environment and resources.
v12. Diverse Attractions: The destination offers a wide range of unique and diverse attractions that appeal to a variety of tourists.
v12. Scenic Appeal: The destination’s natural and cultural landscapes are key factors in attracting visitors.
v13. Sustainable Tourism: Tourism activities in the destination contribute to environmental conservation and local community well-being.
v14. Exceeding Expectations: The destination exceeds tourist expectations in terms of service quality, attractions, and amenities.
v15. Visitor Endorsement: Tourists are likely to recommend the destination to friends or family based on their own experiences.
v16. Quality Experiences: The destination provides high-quality visitor experiences, such as exceptional customer service and well-maintained attractions.
v17. Preferred Destination: This destination is a top choice for tourists when compared to other similar destinations in the region.
v18. Exclusive Experiences: The destination offers unique experiences that cannot be found in other competing destinations.
v19. Innovative Growth: The destination invests in the development of new attractions and experiences to stay competitive.
v20. Cultural Heritage: The destination is well known for its unique cultural heritage and landmarks.
v21. Tourist Loyalty: Tourists are likely to return to this destination in the future.
v22. Business Prosperity: Local businesses (restaurants, shops, tour operators) benefit significantly from tourism.
v23. Economic Boost: The income generated from tourism is helping to improve the local economy.
v24. Infrastructure Enhancement: Tourism has contributed to the improvement of local infrastructure (e.g., roads, public services).
v25. Community Support: The community is generally supportive of tourism development in the area.
v26. Cultural Exchange: Tourism has fostered positive social interactions between locals and visitors.
v27. Cultural Preservation: Tourism has helped preserve and promote the local culture and traditions.
v28. Heritage Pride: Local people feel proud of their cultural heritage, and tourism provides a platform to showcase it.
v29. Mutual Understanding: Tourism has led to greater cultural exchange and understanding between locals and visitors.
v30. Skill Development: Tourism provides training and skill development opportunities for local residents.
Table 2. Total variance explained.
Table 2. Total variance explained.
FactorInitial EigenvaluesExtraction Sums of Squared LoadingsRotation Sums of Squared Loadings
Total% of VarianceCumulative %Total% of VarianceCumulative %Total% of VarianceCumulative %
1373941,54241,542349338,80838,808282231,35031,350
2241526,83068,373214823,86362,671236926,31957,669
3161017,88786,260155217,24179,911200222,24379,911
4553614092,399
5251278895,187
6178197997,166
7122135198,517
807583099,348
9059652100,000
Table 3. Factor matrix.
Table 3. Factor matrix.
Factors
Factor 1Factor 2Factor 3
v4. Community Involvement0.9300.234−0.086
v20. Cultural Heritage0.864−0.073−0.395
v21. Tourist Loyalty0.9240.198−0.017
v9. Community Empowerment−0.6110.648−0.291
v14. Exceeding Expectations−0.6020.597−0.210
v30. Skill Development−0.2020.813−0.410
v7. Community Projects0.3790.2510.461
v8. Comprehensive Consultation0.3280.5870.662
v27. Cultural Preservation0.0210.4500.664
Table 4. Standardized regression weights (group number 1—default model).
Table 4. Standardized regression weights (group number 1—default model).
Estimate
F2<---F1−1.071
F2<---F30.452
v4<---F10.950
v20<---F10.844
v21<---F10.948
v9<---F20.510
v14<---F20.524
v30<---F20.122
v27<---F30.743
v8<---F30.955
v7<---F30.580
Table 5. Pearson chi-square analysis of local population origins and their support for the positive aspects of tourism development in wine regions.
Table 5. Pearson chi-square analysis of local population origins and their support for the positive aspects of tourism development in wine regions.
ValuedfAsymp. Sig. (2-Sided)
Pearson Chi-Square270940.608
Pearson Chi-Square534340.254
Pearson Chi-Square119940.878
Pearson Chi-Square175140.781
Pearson Chi-Square120040.878
Pearson Chi-Square221440.696
Pearson Chi-Square25140.993
Pearson Chi-Square253740.638
Pearson Chi-Square270040.609
Disclaimer/Publisher’s Note: The statements, opinions and data contained in all publications are solely those of the individual author(s) and contributor(s) and not of MDPI and/or the editor(s). MDPI and/or the editor(s) disclaim responsibility for any injury to people or property resulting from any ideas, methods, instructions or products referred to in the content.

Share and Cite

MDPI and ACS Style

Turčinović, M.; Vujko, A.; Stanišić, N. Community-Led Sustainable Tourism in Rural Areas: Enhancing Wine Tourism Destination Competitiveness and Local Empowerment. Sustainability 2025, 17, 2878. https://doi.org/10.3390/su17072878

AMA Style

Turčinović M, Vujko A, Stanišić N. Community-Led Sustainable Tourism in Rural Areas: Enhancing Wine Tourism Destination Competitiveness and Local Empowerment. Sustainability. 2025; 17(7):2878. https://doi.org/10.3390/su17072878

Chicago/Turabian Style

Turčinović, Milena, Aleksandra Vujko, and Nemanja Stanišić. 2025. "Community-Led Sustainable Tourism in Rural Areas: Enhancing Wine Tourism Destination Competitiveness and Local Empowerment" Sustainability 17, no. 7: 2878. https://doi.org/10.3390/su17072878

APA Style

Turčinović, M., Vujko, A., & Stanišić, N. (2025). Community-Led Sustainable Tourism in Rural Areas: Enhancing Wine Tourism Destination Competitiveness and Local Empowerment. Sustainability, 17(7), 2878. https://doi.org/10.3390/su17072878

Note that from the first issue of 2016, this journal uses article numbers instead of page numbers. See further details here.

Article Metrics

Back to TopTop