Evolution Trends in Carbon Emissions and Sustainable Development Paths in China’s Planting Industry from the Perspective of Carbon Sources
Abstract
1. Introduction
2. Theories and Research Methods
2.1. Measuring Theories and Models of Planting Industry’s Carbon Emission
2.2. Kernel Density Analysis
3. Data Resources and Processing
4. Research Results and Analysis
4.1. Measuring Results of Carbon Emissions in China’s Planting Industry
4.2. Carbon Emissions’ Evolutionary Trend in China’s Planting Industry from the Perspective of Carbon Sources
4.2.1. The Overall Evolutionary Trend of Carbon Emissions
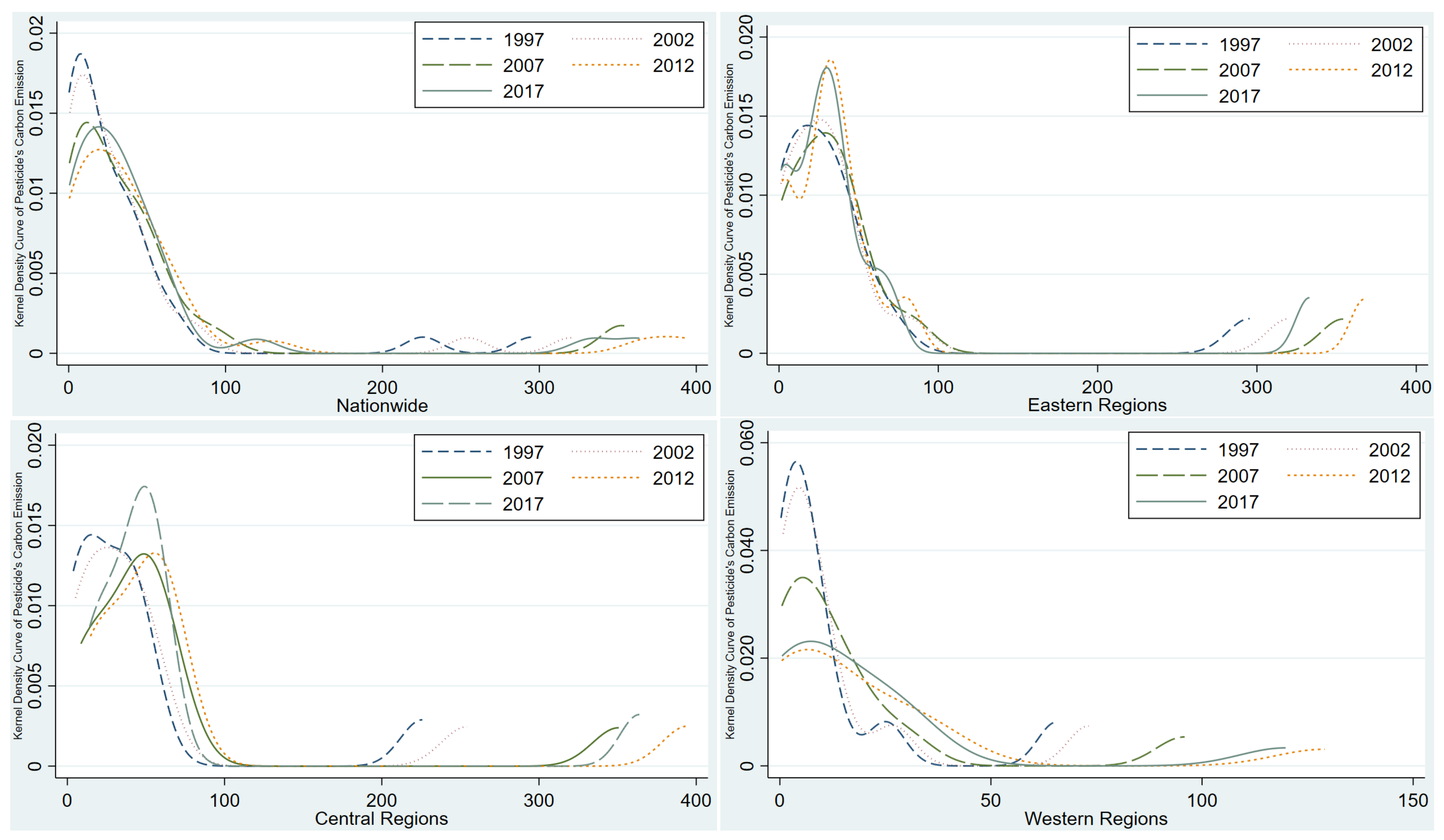
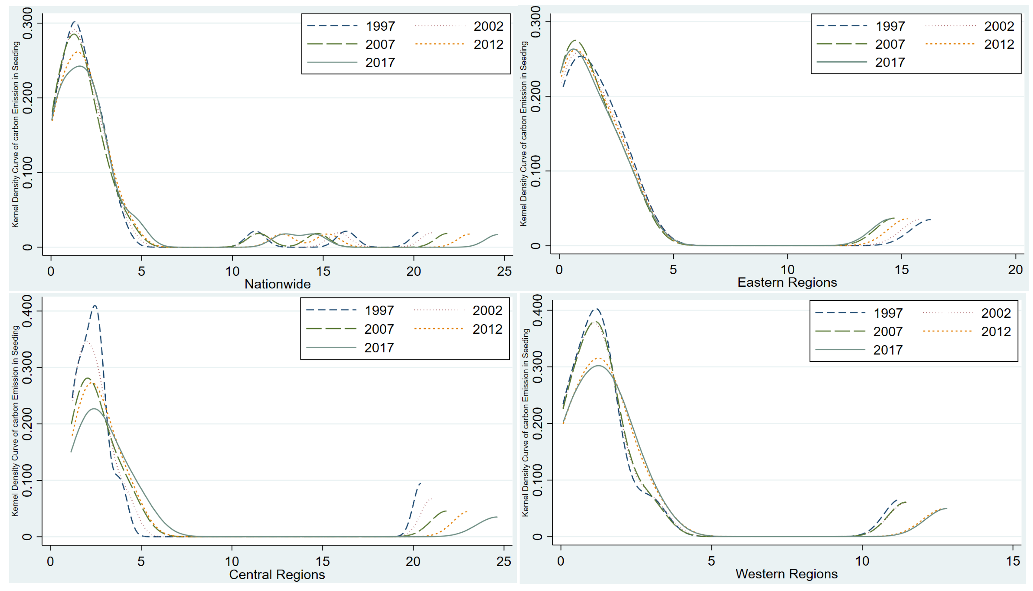
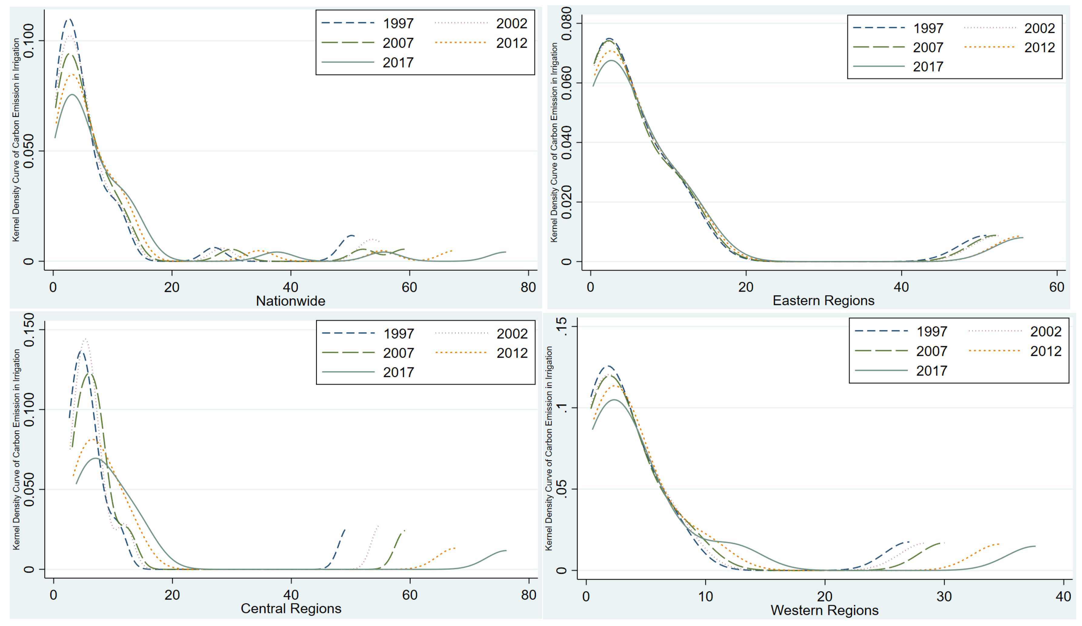
4.2.2. Evolutionary Trends of All Kinds of Carbon Sources’ Carbon Emissions in Agriculture
5. Discussion
5.1. Thoughts on the Evolutionary Trends of Carbon Emissions in the Planting Industry and the Adaptability of Policies
5.2. Thoughts on the Differences in Carbon Source Contributions and Targeted Emission Reduction Strategies
6. Research Conclusions and Revelations
7. Limitations and Reflection
Author Contributions
Funding
Institutional Review Board Statement
Informed Consent Statement
Data Availability Statement
Conflicts of Interest
References
- China Meteorological Administration. World Meteorological Organization: Temperature in the 2010-to-2019 Period is the Highest on Record [EB/OL]. Available online: http://news.weather.com.cn/2019/12/3263864.shtml (accessed on 4 December 2019).
- Wei, X.; Shi, F.; Fan, J.; Yang, Q. Climate Change Impacts on Marine Lives and Ecosystems. Adv. Mar. Sci. 2011, 29, 241–252. [Google Scholar]
- Piao, S.; Zhang, X.; Chen, A.; Liu, Q.; Lian, X.; Wang, X.; Peng, S.; Wu, X. The impacts of climate extremes on the terrestrial carbon cycle: A review. Sci. China Earth Sci. 2019, 49, 1321–1334. [Google Scholar] [CrossRef]
- Li, Y.; Wang, C.; Zhao, B.; Liu, W. Effects of climate change on agricultural meteorological disaster and crop insects diseases. Trans. Chin. Soc. Agric. Eng. 2010, 26, 263–271. [Google Scholar]
- Hu, C.; Wei, Y.Y.; Hu, W. Research on the Relationship between Agricultural Policy, Technological Innovation and Agricultural Carbon Emissions. Issues Agric. Econ. 2018, 9, 66–75. [Google Scholar]
- Laborde, D.; Mamun, A.; Martin, W.; Piñeiro, V.; Vos, R. Agricultural subsidies and global greenhouse gas emissions. Nat. Commun. 2021, 12, 2601. [Google Scholar] [CrossRef]
- Fukase, E.; Martin, W. Economic growth, convergence, and world food demand and supply. World Dev. 2020, 132, 104954. [Google Scholar] [CrossRef]
- FAO. The State of Food and Agriculture 2016 (SOFA): Climate Change, Agriculture and Food Security; FAO: Rome, Italy, 2016. [Google Scholar]
- Chen, J.; Cheng, S.; Song, M. Changes in energy-related carbon dioxide emissions of the agricultural sector in China from 2005 to 2013. Renew. Sustain. Energy Rev. 2018, 94, 748–761. [Google Scholar] [CrossRef]
- Dalgaard, T.; Olesen, J.E.; Petersen, S.O.; Petersen, B.M.; Jørgensen, U.; Kristensen, T.; Hermansen, J.E. Developments in greenhouse gas emissions and net energy use in Danish agriculture–How to achieve substantial CO2 reductions? Environ. Pollut. 2011, 159, 3193–3203. [Google Scholar] [CrossRef]
- Yun, T.; Zhang, J.; He, Y. Research on spatial-temporal characteristics and driving factor of agricultural carbon emissions in China. J. Integr. Agric. 2014, 13, 1393–1403. [Google Scholar]
- Bennetzen, E.H.; Smith, P.; Porter, J.R. Decoupling of greenhouse gas emissions from global agricultural production: 1970–2050. Glob. Change Biol. 2016, 22, 763–781. [Google Scholar] [CrossRef]
- Cui, Y.; Khan, S.U.; Deng, Y.; Zhao, M. Regional difference decomposition and its spatiotemporal dynamic evolution of Chinese agricultural carbon emission: Considering carbon sink effect. Environ. Sci. Pollut. Res. 2021, 28, 38909–38928. [Google Scholar]
- Ma, J.; Feng, X.; Wang, S.; Liu, F.; Li, Y. Drivers and reduction potential of carbon emissions from cultivated land use. Catena 2024, 247, 108508. [Google Scholar]
- Huan, H.; Wang, L.; Zhang, Y. Regional differences, convergence characteristics, and carbon peaking prediction of agricultural carbon emissions in China. Environ. Pollut. 2025, 366, 125477. [Google Scholar] [CrossRef] [PubMed]
- Liu, D.; Zhu, X.; Wang, Y. China’s agricultural green total factor productivity based on carbon emission: An analysis of evolution trend and influencing factors. J. Clean. Prod. 2021, 278, 123692. [Google Scholar]
- Zhang, J.; Peng, X.; Zhang, J.; Liu, J.; Lu, W. Stage characteristics, spatial differences and dynamic evolution of crop carbon sink in Hubei Province based on the crop data from 1997 to 2022. J. Environ. Eng. Technol. 2024, 14, 1513–1522. [Google Scholar]
- Li, B.; Zhang, J.; Li, H. Research on Spatial-temporal Characteristics and Affecting Factors Decomposition of Agricultural Carbon Emission in China. China Popul. Resour. Environ. 2011, 21, 80–86. [Google Scholar]
- Liu, H.; Bao, Z.; Yang, Q. Evolution of Regional Differences and Dynamic Distribution in Carbon Emission of China’s agriculture: Empirical Researches Based on Dagum Gini Coefficient Decomposition and Nonparametric Method for Estimation. J. Agrotech. Econ. 2013, 3, 72–81. [Google Scholar]
- Tian, Y.; Zhang, J.; Li, B. Agricultural Carbon Emissions in China: Calculation, Spatial-Temporal Comparison and Decoupling Effects. Resour. Sci. 2012, 34, 2097–2105. [Google Scholar]
- Zhang, G.; Wang, S. China’s Agricultural Carbon Emission: Structure, Efficiency and Its Determinants. Issues Agric. Econ. 2014, 35, 18–26+110. [Google Scholar]
- Chen, W.; Yin, T.; Li, H. Spatiotemporal distribution characteristics of carbon emission from plant industry and the relationship with agriculture development in China from 1997 to2015. J. Arid. Land Resour. Environ. 2019, 33, 37–44. [Google Scholar]
- Wang, X.; Ma, S.T.; Pu, C.; Zhao, X.; Wang, Y.Q.; Zhang, H.L. Trends and influencing factors of agricultural carbon emissions in the Southwest China. China Popul. Resour. Environ. 2017, 27, 231–234. [Google Scholar]
- Wen, Q.; Tian, Y.; Wang, Y. Provincial differences and driving mechanism of agricultural carbon emission in China. J. Arid. Land Resour. Environ. 2015, 29, 1–6. [Google Scholar]
- Hong, K.; Zhu, Z. Temporal and spatial characteristics and influential factors of agricultural land use carbon emissions in Pearl River Delta: Based on the data from 1996 to 2014. J. Hunan Agric. Univ. (Soc. Sci.) 2017, 18, 70–76. [Google Scholar]
- Leahy, S.; Clark, H.; Reisinger, A. Challenges and prospects for agricultural greenhouse gas mitigation pathways consistent with the Paris Agreement. Front. Sustain. Food Syst. 2020, 4, 69. [Google Scholar]








| Carbon Sources | Emission Factors | Reference Sources |
|---|---|---|
| Chemical Fertilizers | 0.8956 kg/kg | Oak Ridge National Laboratory [17] |
| Pesticides | 4.9341 kg/kg | Oak Ridge National Laboratory [17] |
| Agricultural Films | 5.1800 kg/kg | Agricultural Resource and Ecological Environment Research Institute, Nanjing Agricultural University [18,19] |
| Agricultural Diesel Oil | 0.5927 kg/kg | IPCC (2006) [20] |
| Agricultural Seeding | 3.1260 kg/hm2 | College of Biological Sciences and Technology, China Agricultural University [21] |
| Agricultural Irrigation | 25.0000 kg/hm2 | [22,23,24] |
| Year | Chemical Fertilizer | Pesticide | Film | Diesel Oil | Seeding | Irrigation | Carbon Emissions in Agriculture | ||||||
|---|---|---|---|---|---|---|---|---|---|---|---|---|---|
| Carbon Emissions | Proportion | Carbon Emissions | Proportion | Carbon Emissions | Proportion | Carbon Emissions | Proportion | Carbon Emissions | Proportion | Carbon Emissions | Proportion | ||
| 1997 | 4478.60 | 68.00% | 589.85 | 8.96% | 601.67 | 9.14% | 739.69 | 11.23% | 48.13 | 0.73% | 128.31 | 1.95% | 6586.26 |
| 1998 | 4605.01 | 67.76% | 607.73 | 8.94% | 625.16 | 9.20% | 779.34 | 11.47% | 48.67 | 0.72% | 130.32 | 1.92% | 6796.23 |
| 1999 | 3693.74 | 61.74% | 652.10 | 10.90% | 651.99 | 10.90% | 802.81 | 13.42% | 48.88 | 0.82% | 132.90 | 2.22% | 5982.42 |
| 2000 | 3713.52 | 61.35% | 631.33 | 10.43% | 691.76 | 11.43% | 832.80 | 13.76% | 48.86 | 0.81% | 134.55 | 2.22% | 6052.83 |
| 2001 | 3809.67 | 60.92% | 629.01 | 10.06% | 750.73 | 12.00% | 880.34 | 14.08% | 48.67 | 0.78% | 135.62 | 2.17% | 6254.04 |
| 2002 | 3886.45 | 60.68% | 647.49 | 10.11% | 792.93 | 12.38% | 893.55 | 13.95% | 48.34 | 0.75% | 135.89 | 2.12% | 6404.65 |
| 2003 | 4580.76 | 63.84% | 653.88 | 9.11% | 824.49 | 11.49% | 933.50 | 13.01% | 47.64 | 0.66% | 135.03 | 1.88% | 7175.30 |
| 2004 | 4765.79 | 62.85% | 683.88 | 9.02% | 870.23 | 11.48% | 1078.54 | 14.22% | 48.00 | 0.63% | 136.19 | 1.80% | 7582.63 |
| 2005 | 4888.18 | 62.39% | 720.35 | 9.19% | 912.88 | 11.65% | 1127.79 | 14.39% | 48.61 | 0.62% | 137.50 | 1.75% | 7835.31 |
| 2006 | 4572.24 | 60.04% | 758.42 | 9.96% | 955.96 | 12.55% | 1139.58 | 14.97% | 49.08 | 0.64% | 139.42 | 1.83% | 7614.71 |
| 2007 | 4574.58 | 58.91% | 800.72 | 10.31% | 1003.61 | 12.92% | 1197.55 | 15.42% | 47.97 | 0.62% | 141.30 | 1.82% | 7765.73 |
| 2008 | 4692.08 | 59.61% | 825.11 | 10.48% | 1039.59 | 13.21% | 1119.08 | 14.22% | 48.85 | 0.62% | 146.18 | 1.86% | 7870.88 |
| 2009 | 4840.14 | 59.61% | 843.24 | 10.38% | 1077.28 | 13.27% | 1161.57 | 14.31% | 49.59 | 0.61% | 148.15 | 1.82% | 8119.98 |
| 2010 | 4981.05 | 59.48% | 867.52 | 10.36% | 1125.61 | 13.44% | 1199.15 | 14.32% | 50.23 | 0.60% | 150.87 | 1.80% | 8374.43 |
| 2011 | 5108.72 | 59.38% | 881.72 | 10.25% | 1188.57 | 13.82% | 1219.48 | 14.17% | 50.73 | 0.59% | 154.20 | 1.79% | 8603.43 |
| 2012 | 5229.28 | 59.34% | 891.13 | 10.11% | 1234.40 | 14.01% | 1249.35 | 14.18% | 51.08 | 0.58% | 157.59 | 1.79% | 8812.83 |
| 2013 | 5294.65 | 59.08% | 889.06 | 9.92% | 1291.47 | 14.41% | 1277.21 | 14.25% | 51.46 | 0.57% | 158.68 | 1.77% | 8962.53 |
| 2014 | 5369.95 | 59.00% | 891.55 | 9.80% | 1336.55 | 14.69% | 1290.19 | 14.18% | 51.72 | 0.57% | 161.35 | 1.77% | 9101.31 |
| 2015 | 5393.86 | 59.00% | 879.73 | 9.62% | 1348.64 | 14.75% | 1302.58 | 14.25% | 52.01 | 0.57% | 164.68 | 1.80% | 9141.50 |
| 2016 | 5359.28 | 59.28% | 858.76 | 9.50% | 1348.15 | 14.91% | 1254.86 | 13.88% | 52.09 | 0.58% | 167.85 | 1.86% | 9041.00 |
| 2017 | 5247.68 | 59.38% | 816.63 | 9.24% | 1309.69 | 14.82% | 1241.71 | 14.05% | 52.00 | 0.59% | 169.54 | 1.92% | 8837.24 |
| Average Value | 4718.34 | 60.82% | 762.82 | 9.83% | 999.11 | 12.88% | 1081.94 | 13.95% | 49.65 | 0.64% | 146.01 | 1.88% | 7757.87 |
Disclaimer/Publisher’s Note: The statements, opinions and data contained in all publications are solely those of the individual author(s) and contributor(s) and not of MDPI and/or the editor(s). MDPI and/or the editor(s) disclaim responsibility for any injury to people or property resulting from any ideas, methods, instructions or products referred to in the content. |
© 2025 by the authors. Licensee MDPI, Basel, Switzerland. This article is an open access article distributed under the terms and conditions of the Creative Commons Attribution (CC BY) license (https://creativecommons.org/licenses/by/4.0/).
Share and Cite
Zhang, X.; Liu, C.; Zhang, J.; Liu, J.; Hu, W. Evolution Trends in Carbon Emissions and Sustainable Development Paths in China’s Planting Industry from the Perspective of Carbon Sources. Sustainability 2025, 17, 2772. https://doi.org/10.3390/su17062772
Zhang X, Liu C, Zhang J, Liu J, Hu W. Evolution Trends in Carbon Emissions and Sustainable Development Paths in China’s Planting Industry from the Perspective of Carbon Sources. Sustainability. 2025; 17(6):2772. https://doi.org/10.3390/su17062772
Chicago/Turabian StyleZhang, Xuenan, Caibo Liu, Jinxin Zhang, Juntong Liu, and Wanling Hu. 2025. "Evolution Trends in Carbon Emissions and Sustainable Development Paths in China’s Planting Industry from the Perspective of Carbon Sources" Sustainability 17, no. 6: 2772. https://doi.org/10.3390/su17062772
APA StyleZhang, X., Liu, C., Zhang, J., Liu, J., & Hu, W. (2025). Evolution Trends in Carbon Emissions and Sustainable Development Paths in China’s Planting Industry from the Perspective of Carbon Sources. Sustainability, 17(6), 2772. https://doi.org/10.3390/su17062772

