Experimental Study on Mechanical Properties of Wind-Oxidized Sandstone Reinforced by Grouting Under Cyclic Loading and Unloading
Abstract
1. Introduction
2. Test Survey
2.1. Test Materials and Equipment
2.2. Specimen Preparation
2.3. Test Methods
3. Experimental Results and Analysis
3.1. Uniaxial Compression Experiment of Grouting Reinforced Solid
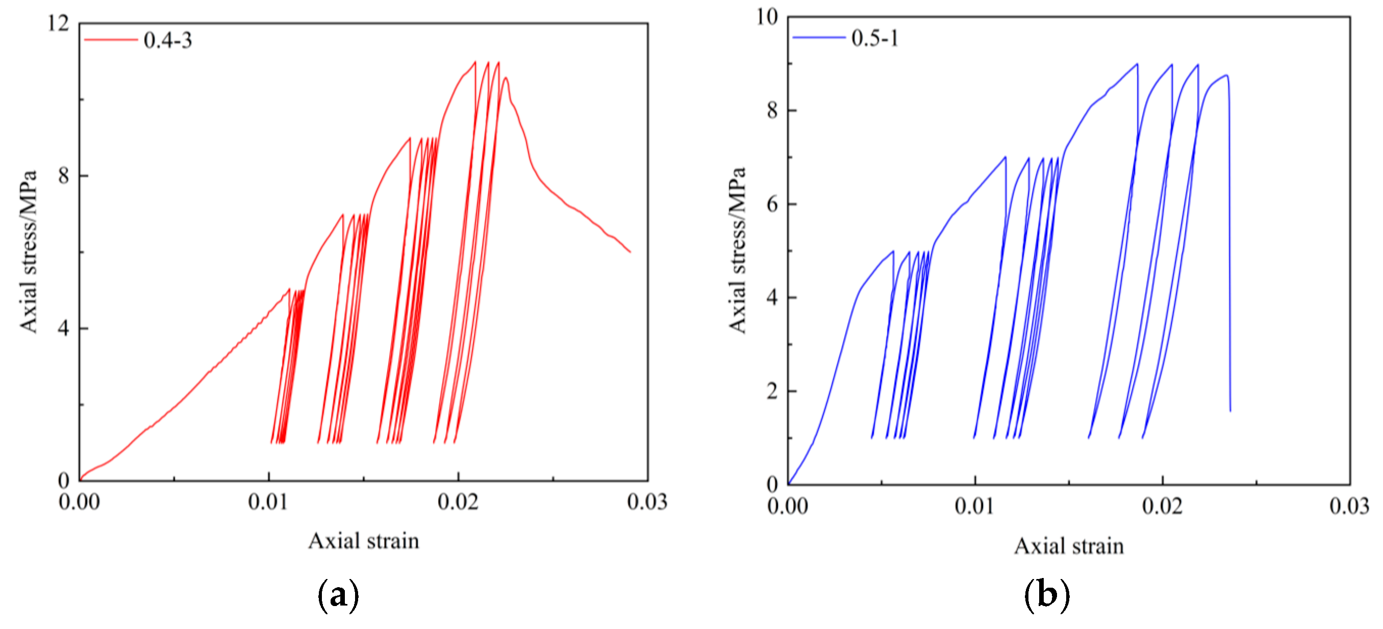
3.2. Cyclic Loading and Unloading Experiment of Grouting Reinforcement Body
3.2.1. Analysis of Hysteresis Loop Development Law
3.2.2. Analysis of Acoustic Emission Characteristics
3.2.3. Analysis of Digital Speckle Results
3.2.4. Analysis of Scanning Electron Microscope Results
4. Conclusions
Author Contributions
Funding
Institutional Review Board Statement
Informed Consent Statement
Data Availability Statement
Acknowledgments
Conflicts of Interest
References
- He, T.J. Laws of Strata Pressure Behavior in the Working Face of Efflorescent Oxygenized Belt. Ground Press Roof Manag. 2002, 19, 54–55+58–117. [Google Scholar]
- Yang, B.S.; Duan, W.J. Research on key technologies for safe mining of coal seams in the weathering and oxidation zone. J. China Coal Soc. 2003, 608–612. [Google Scholar] [CrossRef]
- Xuan, Y.Q.; Yang, Y.L. Research on key technologies for safe mining of coal seams in the weathering and oxidation zone under thick loose beds. China Coalf. Geol. 2003, 15, 38–40. [Google Scholar]
- Gu, S.C.; Wang, P.; Yang, C.F. Mechanical characteristics and stability analysis of surrounding rock reinforcement in rectangular roadway. Sci. Rep. 2022, 12, 22234. [Google Scholar] [CrossRef]
- Zou, J.; Sheng, Y.; Xia, M.; Wang, F. A novel numerical-iterative-approach for strain-softening surrounding rock incorporating rockbolts effectiveness and hydraulic-mechanical coupling based on Three-Dimensional Hoek-Brown strength criterion. Tunn. Undergr. Space Technol. 2020, 101, 103358. [Google Scholar] [CrossRef]
- Wang, W.; Liu, Q.; Ma, H.; Lu, H.; Wang, Z. Numerical analysis of material modeling rock reinforcement in 2D FDEM and parameter study. Comput. Geotech. 2020, 126, 103767. [Google Scholar] [CrossRef]
- Kang, H.; Li, W.; Gao, F.; Yang, J. Grouting theories and technologies for the reinforcement of fractured rocks surrounding deep roadways. DUSE 2023, 2, 2–19. [Google Scholar] [CrossRef]
- Luo, Y. Influence of water on mechanical behavior of surrounding rock in hard-rock tunnels: An experimental simulation. Eng. Geol. 2020, 277, 105816. [Google Scholar] [CrossRef]
- Wu, B.; Wang, X.; Bai, J.; Wu, W.; Meng, N.; Lin, H. An investigation on the effect of high energy storage anchor on surrounding rock conditions. R. Soc. Open Sci. 2020, 7, 201105. [Google Scholar] [CrossRef]
- Yu, W.; Wang, W.; Chen, X.; Du, S. Field investigations of high stress soft surrounding rocks and deformation control. J. Rock Mech. Geotech. Eng. 2015, 7, 421–433. [Google Scholar] [CrossRef]
- Wang, L.G.; Miao, X.X.; Dong, J.T.; Tan, X.N. Numerical simulation research of bolt-grouting support in deep soft roadway. Rock Soil Mech. 2005, 26, 983–985. [Google Scholar] [CrossRef]
- Yu, X.; Sun, Z.; Deng, M.; Xin, J. Grouting Technique for Gob-Side Entry Retaining in Deep Mines. Adv. Civ. Eng. 2021, 2021, 5343937. [Google Scholar] [CrossRef]
- Ye, Z.; Zhang, L.; Zhou, Z.; Pan, K.; Liu, X.; Liu, W.; Wu, Q. Mechanical properties of the combination of surrounding rock and primary support under impacting load. Sustainability 2023, 15, 4410. [Google Scholar] [CrossRef]
- Zhang, Z.; Chen, F.; Li, N.; Swoboda, G.; Liu, N. Influence of fault on the surrounding rock stability of a tunnel: Location and thickness. Tunn. Undergr. Space Tech. 2017, 61, 1–11. [Google Scholar] [CrossRef]
- Zhang, L.; Liu, Y.; Yang, Q. Study on time-dependent behavior and stability assessment of deep-buried tunnels based on internal state variable theory. Tunn. Undergr. Space Tech. 2016, 51, 164–174. [Google Scholar] [CrossRef]
- Li, S.; Liu, R.; Zhang, Q.; Zhang, X. Protection against water or mud inrush in tunnels by grouting: A review. J. Rock Mech. Geotech. Eng. 2016, 8, 753–766. [Google Scholar] [CrossRef]
- Lu, Y.; Wang, L.; Li, Z.; Sun, H. Experimental study on the shear behavior of regular sandstone joints filled with cement grout. Rock Mech. Rock Eng. 2016, 50, 1321–1336. [Google Scholar] [CrossRef]
- Sui, W.; Liu, J.; Hu, W.; Qi, J.; Zhan, K. Experimental investigation on sealing efficiency of chemical grouting in rock fracture with flowing water. Tunn. Undergr. Space Tech. 2015, 50, 239–249. [Google Scholar] [CrossRef]
- Soler, J.M.; Vuorio, M.; Hautojärvi, A. Reactive transport modeling of the interaction between water and a cementitious grout in a fractured rock. Application to ONKALO (Finland). Appl. Geochem. 2011, 26, 1115–1129. [Google Scholar] [CrossRef]
- Evdokimov, P.D.; Adamovich, A.N.; Fradkin, L.P.; Denisov, V.N. Shear strengths of fissures in ledge rock before and after grouting. Hydrotech. Constr. 1970, 4, 229–233. [Google Scholar] [CrossRef]
- Salimian, M.H.; Baghbanan, A.; Hashemolhosseini, H.; Dehghanipoodeh, M.; Norouzi, S. Effect of grouting on shear behavior of rock joint. Int. J. Rock Mech. Min. Sci. 2017, 98, 159–166. [Google Scholar] [CrossRef]
- Peng, Z.; Limin, L.; Yang, L. Mechanism and experiment of self-stress grouting reinforcement for fractured rock mass of underground engineering. Tunn. Undergr. Space Tech. 2023, 131, 104826. [Google Scholar] [CrossRef]
- Zhu, Y.J.; Heng RE, N.; Wang, W.A.; Peng, L.I.; Wang, X.Z.; Wei, M.X. Grouting test and reinforcement mechanism analysis of rock with single penetrated fracture surface. Rock Soil Mech. 2022, 43, 3221–3230. [Google Scholar] [CrossRef]
- Ma, S.; Ma, D. Grouting material for broken surrounding rock and its mechanical properties of grouting reinforcement. Geotech. Geol. Eng. 2021, 39, 3785–3793. [Google Scholar] [CrossRef]
- Gu, B.; Zhuo, J.; Xu, G.; Gao, L. Study on the effects of ultrasonic impact treatment on the local mechanical properties of welded joints based on the digital image correlation. Measurement 2025, 239, 115441. [Google Scholar] [CrossRef]
- Meng, Q.; Zhang, M.; Zhang, Z.; Han, L.; Pu, H. Experimental research on rock energy evolution under uniaxial cyclic loading and unloading compression. ASTM Geotech. Test. J. 2018, 41, 717–729. [Google Scholar] [CrossRef]
- Peng, K.; Zhou, J.; Zou, Q.; Yan, F. Deformation characteristics of sandstones during cyclic loading and unloading with varying lower limits of stress under different confining pressures. Int. J. Fatigue 2019, 127, 82–100. [Google Scholar] [CrossRef]
- Li, J.; Hong, L.; Zhou, K.; Xia, C.; Zhu, L. Influence of loading rate on the energy evolution characteristics of rocks under cyclic loading and unloading. Energies 2020, 13, 4003. [Google Scholar] [CrossRef]
- Shen, R.; Chen, T.; Li, T.; Li, H.; Fan, W.; Hou, Z.; Zhang, X. Study on the effect of the lower limit of cyclic stress on the mechanical properties and acoustic emission of sandstone under cyclic loading and unloading. Theor. Appl. Fract. Mech. 2020, 108, 102661. [Google Scholar] [CrossRef]
- Zhang, H.; Wang, L.; Li, J.; Deng, H.; Xu, X. Study on the mechanical properties of unloading damaged sandstone under cyclic loading and unloading. Sci. Rep. 2023, 13, 7370. [Google Scholar] [CrossRef]
- Hou, W.; Ma, D.; Li, Q.; Zhang, J.; Liu, Y.; Zhou, C. Mechanical and hydraulic properties of fault rocks under multi-stage cyclic loading and unloading. IJCST 2023, 10, 54. [Google Scholar] [CrossRef]
- Meng, Q.B.; Liu, J.F.; Ren, L.; Pu, H.; Chen, Y.L. Experimental study on rock strength and deformation characteristics under triaxial cyclic loading and unloading conditions. Rock Mech. Rock Eng. 2021, 54, 777–797. [Google Scholar] [CrossRef]
- Peng, K.; Zhou, J.; Zou, Q.; Zhang, J.; Wu, F. Effects of stress lower limit during cyclic loading and unloading on deformation characteristics of sandstones. Constr. Build. Mater. 2019, 217, 202–215. [Google Scholar] [CrossRef]
- Guo, H.; Ji, M.; Zhang, Y.; Zhang, M. Study of mechanical property of rock under uniaxial cyclic loading and unloading. Adv. Civ. Eng. 2018, 2018, 1670180. [Google Scholar] [CrossRef]
- Song, Z.; Konietzky, H.; Wu, Y.; Du, K.; Cai, X. Mechanical behaviour of medium-grained sandstones exposed to differential cyclic loading with distinct loading and unloading rates. J. Rock Mech. Geotech. Eng. 2022, 14, 1849–1871. [Google Scholar] [CrossRef]
- Liang, J.; Liu, W.; Yin, X.; Li, W.; Yang, Z.; Yang, J. Experimental study on the performance of shield tunnel tail grout in ground. Undergr. Space 2025, 20, 277–292. [Google Scholar] [CrossRef]
- Liu, W.; Liang, J.; Xu, T. Tunnelling-induced ground deformation subjected to the behavior of tail grouting materials. Tunn. Undergr. Space Technol. 2023, 140, 105253. [Google Scholar] [CrossRef]
- Zhu, N.; Yin, D.; Li, X.; Sheng, S. Experimental Research on the Performance of All-Solid-Waste Cementitious Grouting Filling Materials. Sustainability 2025, 17, 417. [Google Scholar] [CrossRef]













| Material/% | SiO2 | Al2O3 | SO3 | Fe2O3 | CaO | Na2O | MaO | R2O5 |
|---|---|---|---|---|---|---|---|---|
| superfine fly ash | 45.1 | 36.8 | 1.2 | 0.85 | 4.5 | 2.14 | — | — |
| superfine cement | 19.26 | 3.91 | — | 0.065 | 61.77 | — | 4.21 | 3.35 |
| Alcoholysis Degree /% | Sodium Acetate /% | Volatile/% | Viscosity /mpa.s | Purity/% | Residual Acetate /% |
|---|---|---|---|---|---|
| 80.2 | 0.9 | 4 | 40 | 95.1 | 15.12 |
| n | The Proportion of Gangue in Different Particle Size Ranges | |||
|---|---|---|---|---|
| 0 ≤ d ≤ 5 | 5 ≤ d ≤ 10 | 10 ≤ d ≤ 15 | 15 ≤ d ≤ 20 | |
| 0.4 | 57.43 | 18.36 | 13.34 | 10.87 |
| 0.5 | 50.00 | 20.71 | 15.89 | 13.40 |
| 0.6 | 43.53 | 22.45 | 18.17 | 15.85 |
| 0.7 | 37.89 | 23.67 | 20.20 | 18.24 |
| Serial Number | Height/cm | Diameter/cm | Compressive Strength /MPa | Average Compressive Strength/MPa |
|---|---|---|---|---|
| 0.4–1 | 9.95 | 5.02 | 14.14 | 13.72 |
| 0.4–2 | 9.88 | 4.98 | 12.38 | |
| 0.4–3 | 10.04 | 5.01 | 14.64 | |
| 0.5–1 | 9.98 | 5.09 | 10.78 | 9.40 |
| 0.5–2 | 10.05 | 5.02 | 9.92 | |
| 0.5–3 | 10.06 | 4.96 | 8.54 | |
| 0.6–1 | 9.92 | 4.97 | 12.30 | 11.50 |
| 0.6–2 | 10.07 | 5.03 | 10.90 | |
| 0.6–3 | 10.03 | 5.04 | 11.28 | |
| 0.7–1 | 10.12 | 5.06 | 17.28 | 15.76 |
| 0.7–2 | 10.08 | 5.08 | 15.68 | |
| 0.7–3 | 9.98 | 5.03 | 14.30 |
Disclaimer/Publisher’s Note: The statements, opinions and data contained in all publications are solely those of the individual author(s) and contributor(s) and not of MDPI and/or the editor(s). MDPI and/or the editor(s) disclaim responsibility for any injury to people or property resulting from any ideas, methods, instructions or products referred to in the content. |
© 2025 by the authors. Licensee MDPI, Basel, Switzerland. This article is an open access article distributed under the terms and conditions of the Creative Commons Attribution (CC BY) license (https://creativecommons.org/licenses/by/4.0/).
Share and Cite
Deng, B.; Chen, S.; Tian, M.; Yin, D. Experimental Study on Mechanical Properties of Wind-Oxidized Sandstone Reinforced by Grouting Under Cyclic Loading and Unloading. Sustainability 2025, 17, 2190. https://doi.org/10.3390/su17052190
Deng B, Chen S, Tian M, Yin D. Experimental Study on Mechanical Properties of Wind-Oxidized Sandstone Reinforced by Grouting Under Cyclic Loading and Unloading. Sustainability. 2025; 17(5):2190. https://doi.org/10.3390/su17052190
Chicago/Turabian StyleDeng, Benliang, Shaojie Chen, Maolin Tian, and Dawei Yin. 2025. "Experimental Study on Mechanical Properties of Wind-Oxidized Sandstone Reinforced by Grouting Under Cyclic Loading and Unloading" Sustainability 17, no. 5: 2190. https://doi.org/10.3390/su17052190
APA StyleDeng, B., Chen, S., Tian, M., & Yin, D. (2025). Experimental Study on Mechanical Properties of Wind-Oxidized Sandstone Reinforced by Grouting Under Cyclic Loading and Unloading. Sustainability, 17(5), 2190. https://doi.org/10.3390/su17052190

