Heavy Metal Accumulation in Maize and Wheat in Acidic Soil: A Comparative Study
Abstract
1. Introduction
2. Materials and Methods
2.1. Sample Collection and Characterization
2.1.1. Study Area and Sample Collection
2.1.2. Preparation and Analysis of Soil Samples
2.1.3. Preparation and Analysis of Plant Samples
2.2. Pollution Risk Assessment
2.3. Data Analysis
2.3.1. Structural Equation Models
2.3.2. Random Forest
2.3.3. Partial Dependence Function
2.3.4. Validation
2.3.5. Spearman Correlation Analysis
2.3.6. Statistical Analysis Methods
3. Results and Discussion
3.1. Heavy Metals Content in Soil
3.2. Heavy Metal Content in Maize and Wheat
3.3. Bioconcentration Factor of Maize and Wheat
3.4. Influence of Soil Properties on Heavy Metals and Their Enrichment in Wheat and Maize
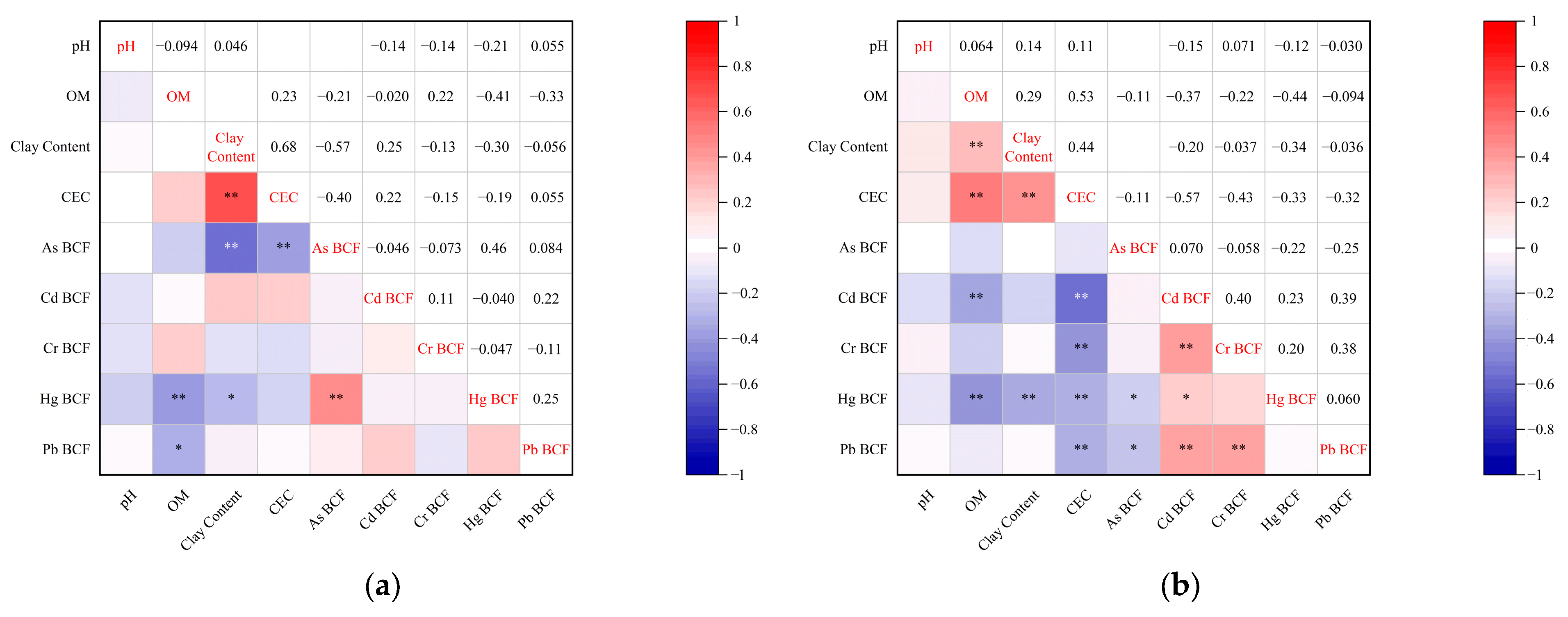
3.4.1. Influence of Soil Properties on the Accumulation of Heavy Metals in Wheat and Maize
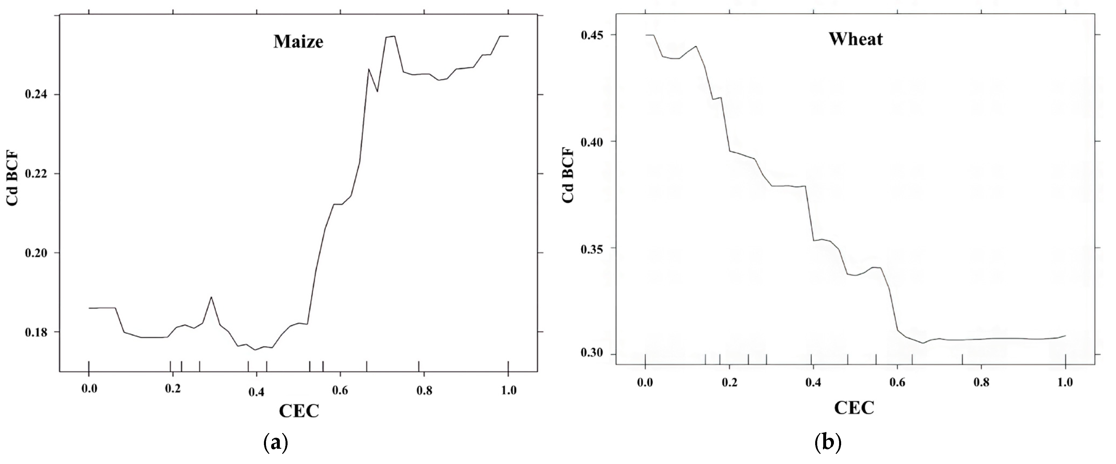
3.4.2. Influence of Soil Properties on Cd Enrichment Ability of Wheat and Maize Grains
3.4.3. Influence of Soil Properties on as Enrichment Ability of Wheat and Maize Grains
3.5. Influence of Other Factors on Heavy Metals Enrichment of Wheat and Maize
3.5.1. Interaction Between Soil and Crop Heavy Metals
3.5.2. Climate and Planting Conditions
3.5.3. Rhizosphere Environment
4. Conclusions
Author Contributions
Funding
Institutional Review Board Statement
Informed Consent Statement
Data Availability Statement
Conflicts of Interest
References
- Liang, Q.; Tian, K.; Li, L.; He, Y.; Zhao, T.; Liu, B.; Wu, Q.; Huang, B.; Zhao, L.; Teng, Y. Ecological and human health risk assessment of heavy metals based on their source apportionment in cropland soils around an e-waste dismantling site, Southeast China. Ecotoxicol. Environ. Saf. 2022, 242, 113929. [Google Scholar] [CrossRef] [PubMed]
- Zhou, Y.; Jiang, D.; Ding, D.; Wu, Y.; Wei, J.; Kong, L.; Long, T.; Fan, T.; Deng, S. Ecological-health risks assessment and source apportionment of heavy metals in agricultural soils around a super-sized lead-zinc smelter with a long production history, in China. Environ. Pollut. 2022, 307, 119487. [Google Scholar] [CrossRef] [PubMed]
- Wang, C.; Zhang, Q.; Kang, S.; Li, M.; Zhang, M.; Xu, W.; Xiang, P.; Ma, L.Q. Heavy metal(loid)s in agricultural soil from main grain production regions of China: Bioaccessibility and health risks to humans. Sci. Total Environ. 2023, 858, 159819. [Google Scholar] [CrossRef]
- Liang, J.; Feng, C.; Zeng, G.; Gao, X.; Zhong, M.; Li, X.; Li, X.; He, X.; Fang, Y. Spatial distribution and source identification of heavy metals in surface soils in a typical coal mine city, Lianyuan, China. Environ. Pollut. 2017, 225, 681–690. [Google Scholar] [CrossRef]
- Wan, Y.; Liu, J.; Zhuang, Z.; Wang, Q.; Li, H. Heavy Metals in Agricultural Soils: Sources, Influencing Factors, and Remediation Strategies. Toxics 2024, 12, 63. [Google Scholar] [CrossRef]
- Hou, D.; O’ Connor, D.; Igalavithana, A.D.; Alessi, D.S.; Luo, J.; Tsang, D.C.W.; Sparks, D.L.; Yamauchi, Y.; Rinklebe, J.; Ok, Y.S. Metal contamination and bioremediation of agricultural soils for food safety and sustainability. Nat. Rev. Earth Environ. 2020, 1, 366–381. [Google Scholar] [CrossRef]
- Rashid, A.; Schutte, B.J.; Ulery, A.; Deyholos, M.K.; Sanogo, S.; Lehnhoff, E.A.; Beck, L. Heavy Metal Contamination in Agricultural Soil: Environmental Pollutants Affecting Crop Health. Agronomy 2023, 13, 1521. [Google Scholar] [CrossRef]
- GB 15618-2018; Soil Environmental Quality—Risk Control Standard for Soil Contamination of Agricultural Land. Ministry of Ecology and Environment of the People’s Republic of China: Beijing, China, 2018.
- Mishra, S.; Bharagava, R.N.; More, N.; Yadav, A.; Zainith, S.; Mani, S.; Chowdhary, P. Heavy Metal Contamination: An Alarming Threat to Environment and Human Health. In Environmental Biotechnology: For Sustainable Future; Sobti, R.C., Arora, N.K., Kothari, R., Eds.; Springer: Singapore, 2019; pp. 103–125. [Google Scholar]
- Rai, P.K.; Lee, S.S.; Zhang, M.; Tsang, Y.F.; Kim, K. Heavy metals in food crops: Health risks, fate, mechanisms, and management. Environ. Int. 2019, 125, 365–385. [Google Scholar] [CrossRef]
- Zhong, X.; Chen, Z.; Li, Y.; Ding, K.; Liu, W.; Liu, Y.; Yuan, Y.; Zhang, M.; Baker, A.J.M.; Yang, W.; et al. Factors influencing heavy metal availability and risk assessment of soils at typical metal mines in Eastern China. J. Hazard. Mater. 2020, 400, 123289. [Google Scholar] [CrossRef]
- Wang, Y.; Zhang, Z.; Li, Y.; Liang, C.; Huang, H.; Wang, S. Available heavy metals concentrations in agricultural soils: Relationship with soil properties and total heavy metals concentrations in different industries. J. Hazard. Mater. 2024, 471, 134410. [Google Scholar] [CrossRef]
- Cao, X.; Wang, X.; Tong, W.; Gurajala, H.K.; Lu, M.; Hamid, Y.; Feng, Y.; He, Z.; Yang, X. Distribution, availability and translocation of heavy metals in soil-oilseed rape (Brassica napus L.) system related to soil properties. Environ. Pollut. 2019, 252 Pt A, 733–741. [Google Scholar] [CrossRef] [PubMed]
- Liu, N.; Zhang, S.B.; Guo, X.Y.; Ning, R.Y. Influencing factors of cadmium content in wheat grain: A meta-analysis and decision tree analysis. Environ. Sci. 2023, 44, 2265–2274. [Google Scholar] [CrossRef]
- Li, Y.; Wang, K.; Dötterl, S.; Xu, J.; Garland, G.; Liu, X. The critical role of organic matter for cadmium-lead interactions in soil: Mechanisms and risks. J. Hazard. Mater. 2024, 476, 135123. [Google Scholar] [CrossRef] [PubMed]
- Shi, Y.; Wu, S.; Zhou, S.; Wang, C.; Chen, H. Simulation of the Absorption, Migration and Accumulation Process of Heavy Metal Elements in Soil-crop System. Environ. Sci. 2016, 37, 3996–4003. [Google Scholar] [CrossRef]
- Tong, S.; Yang, L.; Gong, H.; Wang, L.; Li, H.; Yu, J.; Li, Y.; Deji, Y.; Nima, C.; Zhao, S.; et al. Bioaccumulation characteristics, transfer model of heavy metals in soil-crop system and health assessment in plateau region, China. Ecotoxicol. Environ. Saf. 2022, 241, 113733. [Google Scholar] [CrossRef]
- Zha, X.; Deng, L.; Jiang, W.; An, J.; Wang, H.; Tian, Y. Source analysis and distribution prediction of soil heavy metals in a typical area of the Qinghai-Tibet Plateau. Ecol. Indic. 2024, 166, 112460. [Google Scholar] [CrossRef]
- Liu, Y.; Ma, Z.; Liu, G.; Jiang, L.; Dong, L.; He, Y.; Shang, Z.; Shi, H. Accumulation risk and source apportionment of heavy metals in different types of farmland in a typical farming area of northern China. Environ. Geochem. Health 2021, 43, 5177–5194. [Google Scholar] [CrossRef]
- Fei, X.; Lou, Z.; Xiao, R.; Ren, Z.; Lv, X. Source analysis and source-oriented risk assessment of heavy metal pollution in agricultural soils of different cultivated land qualities. J. Clean. Prod. 2022, 341, 130942. [Google Scholar] [CrossRef]
- Chataut, G.; Bhatta, B.; Joshi, D.; Subedi, K.; Kafle, K. Greenhouse gases emission from agricultural soil: A review. J. Agric. Food Res. 2023, 11, 100533. [Google Scholar] [CrossRef]
- NY/T 1121.2-2006; Soil Testing Part 2: Method for Determination of Soil pH. Ministry of Agriculture and Rural Affairs of the People’s Republic of China: Beijing, China, 2006.
- LY/T 1243-1999; Determination of Cation Exchange Capacity in Forest Soil. State Forestry Administration: Beijing, China, 1999.
- NY/T 1121.6-2006; Soil Testing Part 6: Method for Determination of Soil Organic Matter. Ministry of Agriculture and Rural Affairs of the People’s Republic of China: Beijing, China, 2006.
- LY/T 1225-1999; Determination of Forest Soil Particle-Size Composition (Mechanicalcomposition). State Forestry Administration: Beijing, China, 1999.
- HJ 803-2016; Soil and Sediment—Determination of Aqua Regia Extracts of 12 Metal Elements—Inductively Coupled Plasma Mass Spectrometry. Ministry of Ecology and Environment of the People’s Republic of China: Beijing, China, 2016.
- GB/T 22105.1-2008; Soil Quality—Analysis of Total Mercury, Arsenic and Lead Contents—Atomic Fluorescence Spectrometry—Part 1: Analysis of Total Mercury Contents in Soils. Standardization Administration of China: Beijing, China, 2008.
- GB/T 22105.2-2008; Soil Quality—Analysis of Total Mercury, Arsenic and Lead Contents—Atomic Fluorescence Spectrometry—Part 2: Analysis of Total Arsenic Contents in Soils. Standardization Administration of China: Beijing, China, 2008.
- GB 5009.268-2016; National Food Safety Standard—Determination of Multi-Elements in Foods. National Health and Family Planning Commission; China Food and Drug Administration: Beijing, China, 2016.
- GB 5009.17-2014; National Food Safety Standard—Determination of Total and Organic Mercury in Foods. National Health and Family Planning Commission: Beijing, China, 2014.
- Kumi; Michael; Anku; Wilson, W.; Antwi; Yeboah, B.; Penny; Govender, P. Evaluation of the suitability of integrated bone char- and biochar-treated groundwater for drinking using single-factor, Nemerow, and heavy metal pollution indexes. Environ. Monit. Assess. 2023, 195, 647. [Google Scholar] [CrossRef]
- Wei, J.; Zheng, X.; Liu, J. Modeling Analysis of Heavy Metal Evaluation in Complex Geological Soil Based on Nemerow Index Method. Metals 2023, 13, 439. [Google Scholar] [CrossRef]
- Xie, N.; Kang, C.; Ren, D.; Zhang, L. Assessment of the variation of heavy metal pollutants in soil and crop plants through field and laboratory tests. Sci. Total Environ. 2022, 811, 152343. [Google Scholar] [CrossRef] [PubMed]
- Adimalla, N.; Qian, H.; Wang, H. Assessment of heavy metal (HM) contamination in agricultural soil lands in northern Telangana, India: An approach of spatial distribution and multivariate statistical analysis. Environ. Monit. Assess. 2019, 191, 246. [Google Scholar] [CrossRef]
- Lu, T.; Wang, W.; Liu, L.; Wang, L.; Hu, J.; Li, X.; Qiu, G. Remediation of cadmium-polluted weakly alkaline dryland soils using iron and manganese oxides for immobilized wheat uptake. J. Clean. Prod. 2022, 365, 132794. [Google Scholar] [CrossRef]
- Jobst, L.J.; Bader, M.; Moshagen, M. A Tutorial on Assessing Statistical Power and Determining Sample Size for Structural Equation Models. Psychol. Methods 2023, 28, 207–221. [Google Scholar] [CrossRef]
- Klaar, A.C.R.; Stefenon, S.F.; Seman, L.O.; Mariani, V.C.; Coelho, L.D.S. Structure Optimization of Ensemble Learning Methods and Seasonal Decomposition Approaches to Energy Price Forecasting in Latin America: A Case Study about Mexico. Energies 2023, 16, 3184. [Google Scholar] [CrossRef]
- Angelini, M.; Blasilli, G.; Lenti, S.; Santucci, G. A Visual Analytics Conceptual Framework for Explorable and Steerable Partial Dependence Analysis. IEEE Trans. Vis. Comput. Graph. 2024, 30, 4497–4513. [Google Scholar] [CrossRef]
- Talapatra, A.; Uberuaga, B.P.; Stanek, C.R.; Pilania, G. Band gap predictions of double perovskite oxides using machine learning. Commun. Mater. 2023, 4, 46. [Google Scholar] [CrossRef]
- Saccenti, E. Analysis and Interpretation of Metabolite Associations Using Correlations. In Metabolomics: Recent Advances and Future Applications; Soni, V., Hartman, T.E., Eds.; Springer International Publishing: Cham, Switzerland, 2023; pp. 59–92. [Google Scholar]
- Chai, L.; Wang, Y.; Wang, X.; Ma, L.; Cheng, Z.; Su, L. Pollution characteristics, spatial distributions, and source apportionment of heavy metals in cultivated soil in Lanzhou, China. Ecol. Indic. 2021, 125, 107507. [Google Scholar] [CrossRef]
- Li, C.; Li, M.; Zeng, J.; Yuan, S.; Luo, X.; Wu, C.; Xue, S. Migration and distribution characteristics of soil heavy metal(loid)s at a lead smelting site. J. Environ. Sci. 2024, 135, 600–609. [Google Scholar] [CrossRef]
- Ma, X.; Guan, D.; Zhang, C.; Yu, T.; Li, C.; Wu, Z.; Li, B.; Geng, W.; Wu, T.; Yang, Z. Improved mapping of heavy metals in agricultural soils using machine learning augmented with spatial regionalization indices. J. Hazard. Mater. 2024, 478, 135407. [Google Scholar] [CrossRef]
- Zhao, X.; Zhang, J.; Ma, R.; Luo, H.; Wan, T.; Yu, D.; Hong, Y. Worldwide examination of magnetic responses to heavy metal pollution in agricultural soils. Agriculture 2024, 14, 702. [Google Scholar] [CrossRef]
- Baruah, M.P.; Singha, K.; Jha, P. Heavy metal concentration in agricultural soil near industrial clusters around Raipur city: A geochemical appraisal. Environ. Qual. Manag. 2024, 34, e22190. [Google Scholar] [CrossRef]
- GB 2762-2022; National Food Safety Standard—Limits of Contaminants in Food. National Health and Family Planning Commission; China Food and Drug Administration: Beijing, China, 2022.
- (EC) No 1881/2006; Commission Regulation (EC) No 1881/2006 of 19 December 2006 Setting Maximum Levels for Certain Contaminants in Foodstuffs. Official Journal of the European Union: Luxembourg, 2006. Available online: https://eur-lex.europa.eu/legal-content/EN/TXT/?uri=uriserv%3AOJ.L_.2006.364.01.0005.01.ENG&toc=OJ%3AL%3A2006%3A364%3ATOC (accessed on 23 February 2025).
- Xue, P.; Zhao, Q.; Sun, H.; Geng, L.; Yang, Z.; Liu, W. Characteristics of heavy metals in soils and grains of wheat and maize from farmland irrigated with sewage. Environ. Sci. Pollut. Res. 2019, 26, 5554–5563. [Google Scholar] [CrossRef] [PubMed]
- Rezapour, S.; Atashpaz, B.; Moghaddam, S.S.; Damalas, C.A. Heavy metal bioavailability and accumulation in winter wheat (Triticum aestivum L.) irrigated with treated wastewater in calcareous soils. Sci. Total Environ. 2019, 656, 261–269. [Google Scholar] [CrossRef]
- Yang, G.; Zhu, G.; Li, H.; Han, X.; Li, J.; Ma, Y. Accumulation and bioavailability of heavy metals in a soil-wheat/maize system with long-term sewage sludge amendments. J. Integr. Agric. 2018, 17, 1861–1870. [Google Scholar] [CrossRef]
- Dong, H.; Gao, Z.; Liu, J.; Jiang, B. Study on the Accumulation of Heavy Metals in Different Soil-Crop Systems and Ecological Risk Assessment: A Case Study of Jiao River Basin. Agronomy 2023, 13, 2238. [Google Scholar] [CrossRef]
- Bai, L.; Ding, S.; Huang, X.; Chen, X.; Chen, Y.; Cao, X.; Wang, X.; Yu, X.; Dai, J. Prediction of the cadmium content in grains of low-accumulating wheat cultivars and soil cadmium threshold for safe production. J. Clean. Prod. 2023, 417, 138081. [Google Scholar] [CrossRef]
- Shen, Z.; Wang, H.; Liang, D.; Li, Y.; Shen, W.; Li, Y. Physicochemical properties of suspended sediment in typical waters of the mid-lower Yangtze River Basin. Hydrol. Sci. J. 2022, 67, 1892–1903. [Google Scholar] [CrossRef]
- Wang, S.Y.; Wu, W.Y.; Liu, F.; Liao, R.K.; Hu, Y.Q. Accumulation of heavy metals in soil-crop systems: A review for wheat and corn. Environ. Sci. Pollut. Res. 2017, 24, 15209–15225. [Google Scholar] [CrossRef]
- Wang, L.; Zhang, Q.; Liao, X.; Li, X.; Zheng, S.; Zhao, F. Phytoexclusion of heavy metals using low heavy metal accumulating cultivars: A green technology. J. Hazard. Mater. 2021, 413, 125427. [Google Scholar] [CrossRef] [PubMed]
- Xu, D.; Shen, Z.; Dou, C.; Dou, Z.; Li, Y.; Gao, Y.; Sun, Q. Effects of soil properties on heavy metal bioavailability and accumulation in crop grains under different farmland use patterns. Sci. Rep. 2022, 12, 9211. [Google Scholar] [CrossRef] [PubMed]
- Dou, W.Q.; An, Y.; Qin, L.; Lin, D.S.; Zeng, Q.N.; Xia, Q. Advances in effects of soil pH on cadmium form. Soils 2020, 52, 439–444. [Google Scholar] [CrossRef]
- Sharma, P.; Dutta, D.; Udayan, A.; Nadda, A.K.; Lam, S.S.; Kumar, S. Role of microbes in bioaccumulation of heavy metals in municipal solid waste: Impacts on plant and human being. Environ. Pollut. 2022, 305, 119248. [Google Scholar] [CrossRef]
- Yang, F.; Tang, C.; Antonietti, M. Natural and artificial humic substances to manage minerals, ions, water, and soil microorganisms. Chem. Soc. Rev. 2021, 50, 6221–6239. [Google Scholar] [CrossRef]
- Sun, Q.; Yang, H.; Feng, X.; Liang, Y.; Gao, P.; Song, Y. A novel iron-based composite modified by refinery sludge for fixing Pb, Zn, Cu, Cd, and As in heavy metal polluted soil: Preparation, remediation process and feasibility analysis. J. Environ. Chem. Eng. 2023, 11, 111233. [Google Scholar] [CrossRef]
- Wu, P.; Guo, Z.; Hua, K.; Wang, D. Long-term application of organic amendments changes heavy metals accumulation in wheat grains by affecting soil chemical properties and wheat yields. J. Soils Sediments 2023, 23, 2136–2147. [Google Scholar] [CrossRef]
- Zhuang, Z.; Niño-Savala, A.G.; Mi, Z.; Wan, Y.; Su, D.; Li, H.; Fangmeier, A. Cadmium accumulation in wheat and maize grains from China: Interaction of soil properties, novel enrichment models and soil thresholds. Environ. Pollut. 2021, 275, 116623. [Google Scholar] [CrossRef]
- Hou, S.; Zheng, N.; Tang, L.; Ji, X.; Li, Y. Effect of soil pH and organic matter content on heavy metals availability in maize (Zea mays L.) rhizospheric soil of non-ferrous metals smelting area. Environ. Monit. Assess. 2019, 191, 634. [Google Scholar] [CrossRef]
- Lopes, C.; Herva, M.; Franco-Uría, A.; Roca, E. Multicorrelation models and uptake factors to estimate extractable metal concentrations from soil and metal in plants in pasturelands fertilized with manure. Environ. Pollut. 2012, 166, 17–22. [Google Scholar] [CrossRef]
- Shahkolaie, S.S.; Baranimotlagh, M.; Khodaverdiloo, H.; Khormali, F.; Dordipour, E. Immobilization of lead and cadmium in a calcareous soil, bio-accumulation in maize (Zea mays L.) and potential environmental risk as affected by amendments. Environ. Earth Sci. 2024, 83, 395. [Google Scholar] [CrossRef]
- Yao, B.; Chen, P.; Zhang, H.; Sun, G. A predictive model for arsenic accumulation in rice grains based on bioavailable arsenic and soil characteristics. J. Hazard. Mater. 2021, 412, 125131. [Google Scholar] [CrossRef] [PubMed]
- Tian, H.; Wang, Y.; Xie, J.; Li, H.; Zhu, Y. Effects of soil properties and land use types on the bioaccessibility of Cd, Pb, Cr, and Cu in Dongguan City, China. Bull. Environ. Contam. Toxicol. 2020, 104, 64–70. [Google Scholar] [CrossRef] [PubMed]
- Chen, H.; Yuan, X.; Li, T.; Hu, S.; Ji, J.; Wang, C. Characteristics of heavy metal transfer and their influencing factors in different soil-crop systems of the industrialization region, China. Ecotoxicol. Environ. Saf. 2016, 126, 193–201. [Google Scholar] [CrossRef]
- Xiang, M.; Li, Y.; Yang, J.; Lei, K.; Li, Y.; Li, F.; Zheng, D.; Fang, X.; Cao, Y. Heavy metal contamination risk assessment and correlation analysis of heavy metal contents in soil and crops. Environ. Pollut. 2021, 278, 116911. [Google Scholar] [CrossRef]
- Rizvi, A.; Zaidi, A.; Ameen, F.; Ahmed, B.; Alkahtani, M.D.F.; Khan, M.S. Heavy metal induced stress on wheat: Phytotoxicity and microbiological management. RSC Adv. 2020, 10, 38379–38403. [Google Scholar] [CrossRef]
- Zhang, H.; Yuan, X.; Xiong, T.; Wang, H.; Jiang, L. Bioremediation of co-contaminated soil with heavy metals and pesticides: Influence factors, mechanisms and evaluation methods. Chem. Eng. J. 2020, 398, 125657. [Google Scholar] [CrossRef]
- Duchenne-Moutien, R.A.; Neetoo, H. Climate Change and Emerging Food Safety Issues: A Review. J. Food Prot. 2021, 84, 1884–1897. [Google Scholar] [CrossRef]
- Zhang, Z.; Li, J.; Wang, H.; Li, Y.; Duan, X. Impact of co-contamination by PAHs and heavy metals on micro-ecosystem in bioretention systems with soil, sand, and water treatment residuals. J. Clean. Prod. 2023, 383, 135417. [Google Scholar] [CrossRef]
- Hatfield, J.L.; Prueger, J.H. Temperature extremes: Effect on plant growth and development. Weather. Clim. Extrem. 2015, 10, 4–10. [Google Scholar] [CrossRef]
- Kaur, H.; Tashima; Singh, S.; Kumar, P. Reconditioning of plant metabolism by arbuscular mycorrhizal networks in cadmium contaminated soils: Recent perspectives. Microbiol. Res. 2023, 268, 127293. [Google Scholar] [CrossRef] [PubMed]
- Fakhar, A.; Gul, B.; Gurmani, A.R.; Khan, S.M.; Ali, S.; Sultan, T.; Chaudhary, H.J.; Rafique, M.; Rizwan, M. Heavy metal remediation and resistance mechanism of Aeromonas, Bacillus, and Pseudomonas: A review. Crit. Rev. Environ. Sci. Technol. 2022, 52, 1868–1914. [Google Scholar] [CrossRef]
- Ubeynarayana, N.; Jeyakumar, P.; Bishop, P.; Pereira, R.C.; Anderson, C.W.N. Effect of soil cadmium on root organic acid secretion by forage crops. Environ. Pollut. 2021, 268, 115839. [Google Scholar] [CrossRef] [PubMed]
- Lu, H.; Xu, D.; Kong, T.; Wang, D. Characteristics of Enzyme Activities during Phytoremediation of Cd-Contaminated Soil. Sustainability 2022, 14, 9350. [Google Scholar] [CrossRef]







| Data | pH | OM (g/kg) | CEC (cmol(+)/kg) | As (mg/kg) | Cd (mg/kg) | Cr (mg/kg) | Hg (mg/kg) | Pb (mg/kg) |
|---|---|---|---|---|---|---|---|---|
| Minimum | 3.83 | 6.55 | 5.22 | 1.12 | 0.04 | 16 | 0.00765 | 17 |
| Maximum | 6.31 | 23 | 17.7 | 11.2 | 0.7 | 403 | 0.0935 | 176 |
| Mean | 4.77 | 13.6 | 10.84 | 4.83 | 0.13 | 67.23 | 0.023 | 31.3 |
| Median | 4.65 | 13.45 | 10.65 | 4.515 | 0.1 | 49 | 0.01945 | 27 |
| Exceeding quantity | / | / | / | 0 | 4 | 7 | 0 | 2 |
| <LOD (1) quantity | 0 | 0 | 0 | 0 | 40 | 0 | 0 | 0 |
| Standard deviation | 0.531 | 2.988 | 2.768 | 2.131 | 0.097 | 54.709 | 0.012 | 17.255 |
| Coef. of variation | 0.111 | 0.22 | 0.255 | 0.441 | 0.761 | 0.814 | 0.541 | 0.551 |
| Skewness | 1.152 | 0.301 | 0.469 | 0.841 | 3.509 | 3.137 | 2.576 | 5.276 |
| Kurtosis | 1.044 | 0.716 | −0.403 | 0.427 | 15.63 | 13.162 | 9.534 | 38.294 |
| Data | As | Cd | Cr | Hg | Pb |
|---|---|---|---|---|---|
| Pmin i | 0.028 | 0.133 | 0.107 | 0.006 | 0.200 |
| Pmax i | 0.280 | 2.333 | 2.687 | 0.117 | 2.514 |
| Pavg i | 0.121 | 0.426 | 0.448 | 0.019 | 0.435 |
| I | 0.216 | 1.677 | 1.926 | 0.084 | 1.804 |
| Data | As | Cd | Cr | Hg | Pb | |
|---|---|---|---|---|---|---|
| Maize (n = 56) | Minimum (mg/kg) | 0.005 | ND | ND | ND | ND |
| Maximum (mg/kg) | 0.053 | 0.049 | 0.890 | 0.013 | 0.100 | |
| Mean (mg/kg) | 0.013 | 0.007 | 0.256 | 0.006 | 0.043 | |
| Standard deviation | 0.007 | 0.008 | 0.174 | 0.004 | 0.020 | |
| Coef. of Variation | 0.535 | 1.152 | 0.654 | 0.596 | 0.472 | |
| Median (mg/kg) | 0.012 | 0.005 | 0.205 | 0.005 | 0.040 | |
| Wheat (n = 82) | Minimum (mg/kg) | 0.003 | 0.010 | ND | ND | ND |
| Maximum (mg/kg) | 0.158 | 0.186 | 0.890 | 0.013 | 0.190 | |
| Mean (mg/kg) | 0.027 | 0.039 | 0.265 | 0.006 | 0.048 | |
| Standard deviation | 0.029 | 0.026 | 0.142 | 0.003 | 0.032 | |
| Coef. of Variation | 1.067 | 0.663 | 0.537 | 0.488 | 0.669 | |
| Median (mg/kg) | 0.013 | 0.033 | 0.250 | 0.006 | 0.040 |
| Data | As BCF | Cd BCF | Cr BCF | Hg BCF | Pb BCF | |
|---|---|---|---|---|---|---|
| Maize (n = 56) | Minimum | 0.001 | 0.007 | 2.12 × 10−4 | 0.023 | 1.46 × 10−4 |
| Maximum | 0.012 | 0.327 | 0.018 | 0.628 | 0.004 | |
| Mean | 0.004 | 0.068 | 0.004 | 0.121 | 0.001 | |
| Wheat (n = 82) | Minimum | 0.001 | 0.071 | 8.22 × 10−5 | 0.016 | 1.47 × 10−4 |
| Maximum | 0.060 | 1.171 | 0.017 | 0.734 | 0.006 | |
| Mean | 0.006 | 0.467 | 0.004 | 0.106 | 0.001 |
Disclaimer/Publisher’s Note: The statements, opinions and data contained in all publications are solely those of the individual author(s) and contributor(s) and not of MDPI and/or the editor(s). MDPI and/or the editor(s) disclaim responsibility for any injury to people or property resulting from any ideas, methods, instructions or products referred to in the content. |
© 2025 by the authors. Licensee MDPI, Basel, Switzerland. This article is an open access article distributed under the terms and conditions of the Creative Commons Attribution (CC BY) license (https://creativecommons.org/licenses/by/4.0/).
Share and Cite
Wang, X.; Lv, P.; Zhang, F.; Wang, W.; Liu, X.; Zhang, Q.; Mu, J.; Huang, X.; Bai, L.; Dai, J. Heavy Metal Accumulation in Maize and Wheat in Acidic Soil: A Comparative Study. Sustainability 2025, 17, 2084. https://doi.org/10.3390/su17052084
Wang X, Lv P, Zhang F, Wang W, Liu X, Zhang Q, Mu J, Huang X, Bai L, Dai J. Heavy Metal Accumulation in Maize and Wheat in Acidic Soil: A Comparative Study. Sustainability. 2025; 17(5):2084. https://doi.org/10.3390/su17052084
Chicago/Turabian StyleWang, Xiaorou, Pengchao Lv, Fujin Zhang, Weiyu Wang, Xunsheng Liu, Qiang Zhang, Jingjing Mu, Xianmin Huang, Liyong Bai, and Jiulan Dai. 2025. "Heavy Metal Accumulation in Maize and Wheat in Acidic Soil: A Comparative Study" Sustainability 17, no. 5: 2084. https://doi.org/10.3390/su17052084
APA StyleWang, X., Lv, P., Zhang, F., Wang, W., Liu, X., Zhang, Q., Mu, J., Huang, X., Bai, L., & Dai, J. (2025). Heavy Metal Accumulation in Maize and Wheat in Acidic Soil: A Comparative Study. Sustainability, 17(5), 2084. https://doi.org/10.3390/su17052084
