Carbon Absorption Potential of Abandoned Rice Paddy Fields in Korea
Abstract
1. Introduction
2. Materials and Methods
2.1. Study Site
2.2. Derivation of Allometric Equation
log Y = log a + b log X
- Y: Estimated biomass;
- X: DBH;
- a: Regression coefficient;
- b: Slope of the regression line.
2.3. Measurement of Net Primary Productivity (NPP)
2.4. Measurement of Soil Respiration
2.5. Calculation of Carbon Absorption Capacity
2.6. Area of Abandoned Rice Paddy Fields
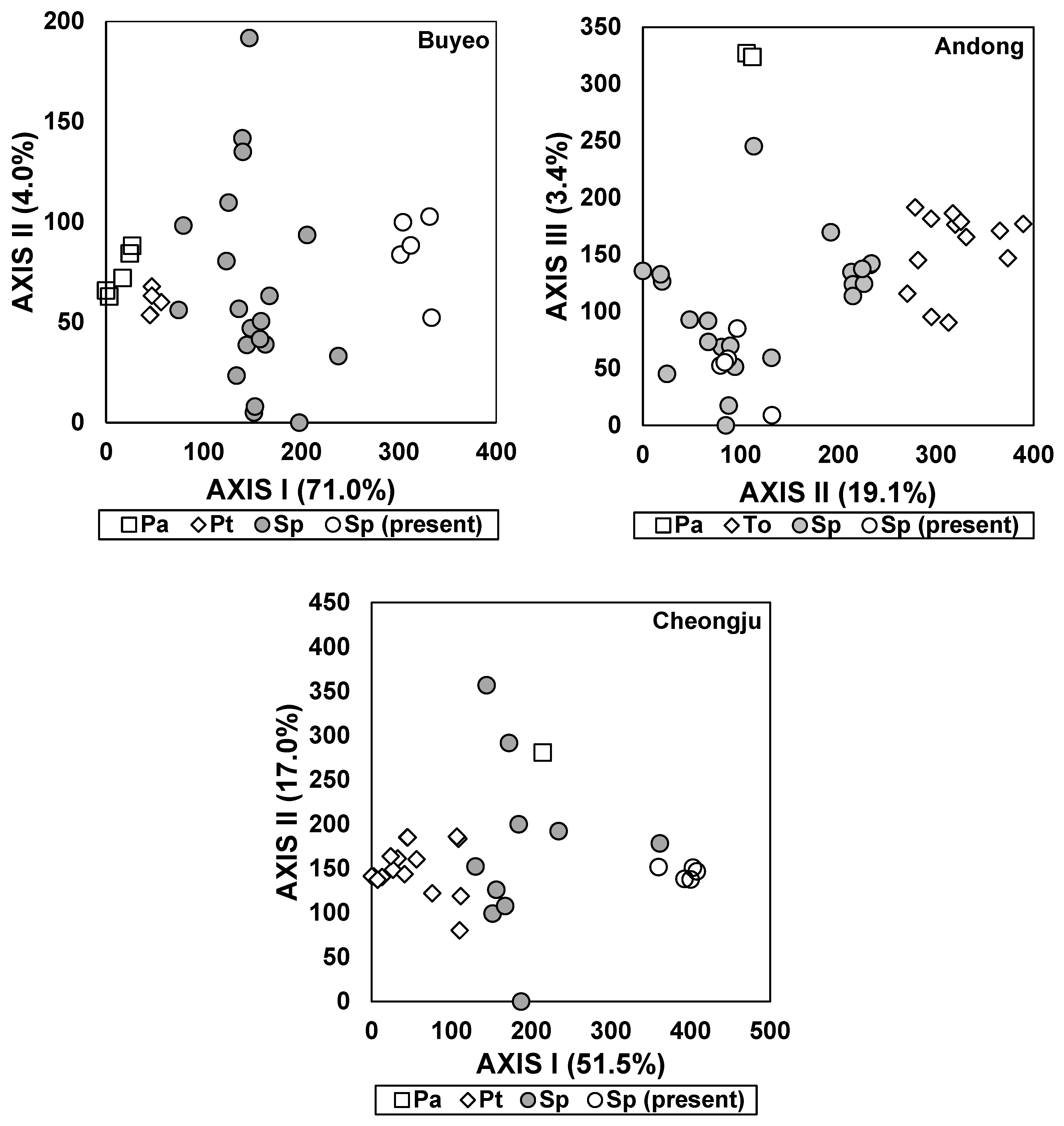
3. Results
3.1. Derivation of the Allometric Equation of Willow
3.2. Diameter Growth of Willow Trees
3.3. The Carbon Absorption Capacity of Willow Communities
3.4. Soil Respiration
3.5. A Change in the Area of Rice Paddy Fields and the Occurrence of Abandoned Rice Paddy Fields
3.6. Carbon Absorption Capacity of Abandoned Rice Paddy Fields
4. Discussion
4.1. Importance and Necessity of Carbon Farming as a New Carbon Sink
4.2. Ecological Position and Roles of Abandoned Rice Paddy Fields
4.3. Ecological Consideration for Securing Carbon Sinks with High Absorption Capacity
5. Conclusions
Author Contributions
Funding
Institutional Review Board Statement
Informed Consent Statement
Data Availability Statement
Conflicts of Interest
Abbreviations
| NPP | Net Primary productivity |
| SR | Soil Respiration |
| HR | Heterotrophic Respiration |
| NEP | Net Ecosystem Production |
References
- Yu, Z.; Lu, C.; Tian, H.; Canadell, J.G. Largely Underestimated Carbon Emission from Land Use and Land Cover Change in the Conterminous United States. Glob. Change Biol. 2019, 25, 3741–3752. [Google Scholar] [CrossRef] [PubMed]
- Campbell, J.E.; Lobell, D.B.; Genova, R.C.; Field, C.B. The Global Potential of Bioenergy on Abandoned Agriculture Lands. Environ. Sci. Technol. 2008, 42, 5791–5794. [Google Scholar] [CrossRef] [PubMed]
- Estel, S.; Kuemmerle, T.; Alcántara, C.; Levers, C.; Prishchepov, A.; Hostert, P. Mapping Farmland Abandonment and Recultivation across Europe Using MODIS NDVI Time Series. Remote Sens. Environ. 2015, 163, 312–325. [Google Scholar] [CrossRef]
- Gibbs, H.K.; Salmon, J.M. Mapping the World’s Degraded Lands. Appl. Geogr. 2015, 57, 12–21. [Google Scholar] [CrossRef]
- Castillo, C.P.; Kavalov, B.; Diogo, V.; Jacobs-Crisioni, C.; e Silva, F.B.; Lavalle, C. Agricultural Land Abandonment in the EU within 2015–2030. In JRC Research Reports; Joint Research Centre: Brussels, Belgium, 2018. [Google Scholar]
- Schuh, B.; Andronic, C.; Derszniak-Noirjean, M.; Gaupp-Berghausen, M.; Hsiung, C.; Münch, A. Research for AGRI Committee—The Challenge of Land Abandonment after 2020 and Options for Mitigating Measures, European Parliament, Policy. Basic Appl. Ecol. 2020, 45, 86–103. [Google Scholar]
- Ramankutty, N.; Mehrabi, Z.; Waha, K.; Jarvis, L.; Kremen, C.; Herrero, M.; Rieseberg, L.H. Trends in Global Agricultural Land Use: Implications for Environmental Health and Food Security. Annu. Rev. Plant Biol. 2018, 69, 789–815. [Google Scholar] [CrossRef] [PubMed]
- Inouye, R.S.; Huntly, N.J.; Tilman, D.; Tester, J.R.; Stillwell, M.; Zinnel, K.C. Old-Field Succession on a Minnesota Sand Plain. Ecology 1987, 68, 12–26. [Google Scholar] [CrossRef]
- Lee, C.; You, Y.; Robinson, G.R. Secondary Succession and Natural Habitat Restoration in Abandoned Rice Fields of Central Korea. Restor. Ecol. 2002, 10, 306–314. [Google Scholar] [CrossRef]
- Lim, B.S.; Seol, J.; Kim, A.R.; An, J.H.; Lim, C.H.; Lee, C.S. Succession of the Abandoned Rice Fields Restores the Riparian Forest. Int. J. Environ. Res. Public Health 2022, 19, 10416. [Google Scholar] [CrossRef] [PubMed]
- Hong, M.G.; Park, H.; Nam, B.E.; Kim, J.G. Vegetational characteristics of abandoned paddy terraces in comparison with natural and constructed wetlands. J. Wetl. Res. 2019, 21, 199–206. [Google Scholar]
- Ellenberg, D.; Mueller-Dombois, D. Aims and Methods of Vegetation Ecology; John Willy & Sons: Hoboken, NJ, USA, 1974. [Google Scholar]
- Rejmánek, M. Vegetation Ecology Matures in Its Homeland. Ecology 1990, 71, 2399–2400. [Google Scholar] [CrossRef]
- Glenn-Lewin, D.C.; Peet, R.K.; Veblen, T.T. Plant Succession: Theory and Prediction; Springer Science & Business Media: Berlin, Germany, 1992; ISBN 978-0-412-26900-4. [Google Scholar]
- Rejmánek, M.; van Katwyk, K.P. Old Field Succession: A Bibliographic Review (1901–1991); University of California: Davis, CA, USA, 2005. [Google Scholar]
- Pickett, S.T.A. Population Patterns through Twenty Years of Oldfield Succession. Vegetatio 1982, 49, 45–59. [Google Scholar] [CrossRef]
- Bazzaz, F.A.; Chiariello, N.R.; Coley, P.D.; Pitelka, L.F. Allocating Resources to Reproduction and Defense. BioScience 1987, 37, 58–67. [Google Scholar] [CrossRef]
- Inouye, R.S.; Tilman, D. Convergence and Divergence of Old-Field Plant Communities Along Experimental Nitrogen Gradients. Ecology 1988, 69, 995–1004. [Google Scholar] [CrossRef]
- Schmidt, W. An Experimental Study of Old-Field Succession in Relation to Different Environmental Factors. Vegetatio 1988, 77, 103–114. [Google Scholar] [CrossRef]
- Osbornová, J.; Kovárová, M.; Leps, J.; Prach, K. Succession in Abandoned Fields: Studies in Central Bohemia, Czechoslovakia; Springer Science & Business Media: Berlin, Germany, 2012; ISBN 978-94-009-2444-4. [Google Scholar]
- Cramer, V.A.; Hobbs, R.J.; Standish, R.J. What’s New about Old Fields? Land Abandonment and Ecosystem Assembly. Trends Ecol. Evol. 2008, 23, 104–112. [Google Scholar] [CrossRef] [PubMed]
- Martínez-Duro, E.; Ferrandis, P.; Escudero, A.; Luzuriaga, A.L.; Herranz, J.M. Secondary Old-Field Succession in an Ecosystem with Restrictive Soils: Does Time from Abandonment Matter? Appl. Veg. Sci. 2010, 13, 234–248. [Google Scholar] [CrossRef]
- Meiners, S.J.; Cadotte, M.W.; Fridley, J.D.; Pickett, S.T.; Walker, L.R. Is Successional Research Nearing Its Climax? New Approaches for Understanding Dynamic Communities. Funct. Ecol. 2015, 29, 154–164. [Google Scholar] [CrossRef]
- Chang, C.C.; Turner, B.L. Ecological Succession in a Changing World. J. Ecol. 2019, 107, 503–509. [Google Scholar] [CrossRef]
- Yang, Y.; Hobbie, S.E.; Hernandez, R.R.; Fargione, J.; Grodsky, S.M.; Tilman, D.; Zhu, Y.-G.; Luo, Y.; Smith, T.M.; Jungers, J.M.; et al. Restoring Abandoned Farmland to Mitigate Climate Change on a Full Earth. One Earth 2020, 3, 176–186. [Google Scholar] [CrossRef]
- Knops, J.M.H.; Tilman, D. Dynamics of Soil Nitrogen and Carbon Accumulation for 61 Years After Agricultural Abandonment. Ecology 2000, 81, 88–98. [Google Scholar] [CrossRef]
- Lal, R. Soil Carbon Sequestration Impacts on Global Climate Change and Food Security. Science 2004, 304, 1623–1627. [Google Scholar] [CrossRef] [PubMed]
- Singh, S.; Kiran, B.R.; Mohan, S.V. Carbon Farming: A Circular Framework to Augment CO2 Sinks and to Combat Climate Change. Environ. Sci. Adv. 2024, 3, 522–542. [Google Scholar] [CrossRef]
- Arneth, A.; Denton, F.; Agus, F.; Elbehri, A.; Erb, K.H.; Osman Elasha, B.; Rahimi, M.; Rounsevell, M.; Spence, A.; Valentini, R.; et al. Framing and Context. In Climate Change and Land; Intergovernmental Panel on Climate Change (IPCC): Geneva, Switzerland, 2019; pp. 1–98. [Google Scholar]
- Paustian, K.; Lehmann, J.; Ogle, S.; Reay, D.; Robertson, G.P.; Smith, P. Climate-Smart Soils. Nature 2016, 532, 49–57. [Google Scholar] [CrossRef] [PubMed]
- Bell, S.M.; Barriocanal, C.; Terrer, C.; Rosell-Melé, A. Management Opportunities for Soil Carbon Sequestration Following Agricultural Land Abandonment. Environ. Sci. Policy 2020, 108, 104–111. [Google Scholar] [CrossRef]
- OECD. Reforming Agricultural Policies for Climate Change Mitigation; OECD Publishing: Paris, France, 2022; ISBN 92-64-49386-7. [Google Scholar]
- Saleem, A.; Anwar, S.; Nawaz, T.; Fahad, S.; Saud, S.; Ur Rahman, T.; Khan, M.N.R.; Nawaz, T. Securing a sustainable future: The climate change threat to agriculture, food security, and sustainable development goals. J. Umm Al-Qura Univ. Appl. Sci. 2024, 1–17. [Google Scholar] [CrossRef]
- European Commission. COMMISSION STAFF WORKING DOCUMENT Sustainable Carbon Cycles—Carbon Farming Accompanying the Communication from the Commission to the European Parliament and the Council Sustainable Carbon Cycles. Available online: https://climate.ec.europa.eu/document/download/d3529f84-0f18-40ee-ab72-124ba786fb5a_en (accessed on 28 November 2024).
- Fawzy, S.; Osman, A.I.; Doran, J.; Rooney, D.W. Strategies for Mitigation of Climate Change: A Review. Environ. Chem. Lett. 2020, 18, 2069–2094. [Google Scholar] [CrossRef]
- Saikanth, D.R.K.; Kishore, A.J.; Sadineni, T.; Singh, V.; Upadhyay, L.; Kumar, S.; Panigrahi, C.K. A Review on Exploring Carbon Farming as a Strategy to Mitigate Greenhouse Gas Emissions. Int. J. Plant Soil Sci. 2023, 35, 380–388. [Google Scholar] [CrossRef]
- Avasiloaiei, D.I.; Calara, M.; Brezeanu, P.M.; Gruda, N.S.; Brezeanu, C. The Evaluation of Carbon Farming Strategies in Organic Vegetable Cultivation. Agronomy 2023, 13, 2406. [Google Scholar] [CrossRef]
- Lim, B.-S.; Joo, S.-J.; Seok, J.-E.; Lee, C.-S. An Assessment of the Carbon Budget of the Passively Restored Willow Forests Along the Miho River, Central South Korea. Climate 2024, 12, 182. [Google Scholar] [CrossRef]
- IPCC. A Report of Working Group of the Intergovernmental Panel on Climate Change; Intergovernmental Panel on Climate Change: Cambridge, UK, 2001.
- PP Systems. EGM-5 Operation Manual V. 1.03. 2018. Available online: https://ppsystems.com/download/technical_manuals/80109-1-EGM-5_Operation_V103.pdf (accessed on 28 November 2024).
- Bekku, Y.; Koizumi, H.; Oikawa, T.; Iwaki, H. Examination of Four Methods for Measuring Soil Respiration. Appl. Soil Ecol. 1997, 5, 247–254. [Google Scholar] [CrossRef]
- Lucian, L.; Monica, M.; Mădălina, B.; György, D.; Ioana, C.; Natalia, E.; Rahim, N. Measurements and Statistical Analysis of CO2 Efflux and Related Parameters from Crop and Forested Lands. IOP Conf. Ser. Earth Environ. Sci. 2023, 1216, 012005. [Google Scholar] [CrossRef]
- Davidson, E.A.; Janssens, I.A.; Luo, Y. On the Variability of Respiration in Terrestrial Ecosystems: Moving beyond Q10. Glob. Change Biol. 2006, 12, 154–164. [Google Scholar] [CrossRef]
- Madalina, V.; Valentina, C.; Natalia, E.; Lucian, L.; Monica, M.; Anda, R.; Norbert, B.; Madalina, B.; Silvius, S.; György, D. Experimental Determination of Carbon Dioxide Flux in Soil and Correlation with Dependent Parameters. IOP Conf. Ser. Earth Environ. Sci. 2020, 616, 012010. [Google Scholar] [CrossRef]
- Ruddiman, W.F. Plows, Plagues, and Petroleum: How Humans Took Control of Climate; Princeton University Press: Princeton, NJ, USA, 2010; ISBN 978-1-4008-3473-0. [Google Scholar]
- Masson-Delmotte, V.; Schulz, M.; Abe-Ouchi, A.; Beer, J.; Ganopolski, A.; Rouco, J.G.; Jansen, E.; Lambeck, K.; Luterbacher, J.; Naish, T. Information from Paleoclimate Archives. In Climate Change 2013: The Physical Science Basis Contribution of Working Group I to the Fifth Assessment Report of the Intergovernmental Panel on Climate Change ed TF Stocker et al; IPCC: Cambridge, UK; New York, NY, USA, 2013. [Google Scholar]
- Koch, A.; Brierley, C.; Maslin, M.M.; Lewis, S.L. Earth System Impacts of the European Arrival and Great Dying in the Americas after 1492. Quat. Sci. Rev. 2019, 207, 13–36. [Google Scholar] [CrossRef]
- Ahn, J.; Brook, E.J.; Mitchell, L.; Rosen, J.; McConnell, J.R.; Taylor, K.; Etheridge, D.; Rubino, M. Atmospheric CO2 over the Last 1000 Years: A High-Resolution Record from the West Antarctic Ice Sheet (WAIS) Divide Ice Core. Glob. Biogeochem. Cycles 2012, 26. [Google Scholar] [CrossRef]
- Han, S.J.; Kim, H.W.; Kim, H.R.; Kim, H.J.; Han, D.U.; Park, S.K.; You, Y.H. Net Primary Production, Annual Accumulation of Organic Carbon and Leaf Decomposition in Salix Plant Community. J. Wetl. Res. 2010, 12, 15–22. [Google Scholar]
- Kim, T.G.; Lee, P.H.; Oh, K. The Actual Vegetation Map, Standing Crop Biomass and Primary Productivity of Salix spp. in the Upo Wetland. J. Wetl. Res. 2007, 9, 33–43. [Google Scholar]
- Kim, C.S.; Lee, P.H.; Oh, K. Productivity and Production Structure of Salix nipponica. J. Wetl. Res. 1999, 1, 61–69. [Google Scholar]
- Han, D.U.; Yoo, J.W.; Yoo, Y.H.; Lee, E.J.; Park, S.K. Aboveground Primary Productivity of Salix nipponica and Secondary Productivity of Sesarma dehaani at Janghang Wetland in Han River Estuary. Korean J. Ecol. Environ. 2010, 43, 298–306. [Google Scholar]
- Lloyd, J.; Taylor, J.A. On the Temperature Dependence of Soil Respiration. Funct. Ecol. 1994, 8, 315–323. [Google Scholar] [CrossRef]
- Cyamweshi, A.R.; Kuyah, S.; Mukuralinda, A.; Muthuri, C.W. Potential of Alnus acuminata based agroforestry for carbon sequestration and other ecosystem services in Rwanda. Agroforest Syst. 2021, 95, 1125–1135. [Google Scholar] [CrossRef]
- Rytter, L.; Rytter, R.-M. Growth and carbon capture of grey alder (Alnus incana (L.) Moench.) under north European conditions—Estimates based on reported research. For. Ecol. Manag. 2016, 373, 56–65. [Google Scholar] [CrossRef]
- Matzek, V.; Stella, J.; Ropion, P. Development of a Carbon Calculator Tool for Riparian Forest Restoration. Appl. Veg. Sci. 2018, 21, 584–594. [Google Scholar] [CrossRef]
- Han, S.H.; Park, B.B. Comparison of Allometric Equation and Destructive Measurement of Carbon Storage of Naturally Regenerated Understory in a Pinus Rigida Plantation in South Korea. Forests 2020, 11, 425. [Google Scholar] [CrossRef]
- The Government of the Republic of Korea. 2050 Carbon Neutral Strategy of the Republic of Korea Towards a Sustainable and Green Society; The Government of the Republic of Korea: Seoul, Republic of Korea, 2020.
- Rodrigues, C.I.D.; Brito, L.M.; Nunes, L.J.R. Soil Carbon Sequestration in the Context of Climate Change Mitigation: A Review. Soil Syst. 2023, 7, 64. [Google Scholar] [CrossRef]
- Villat, J.; Nicholas, K.A. Quantifying Soil Carbon Sequestration from Regenerative Agricultural Practices in Crops and Vineyards. Front. Sustain. Food Syst. 2024, 7, 1234108. [Google Scholar] [CrossRef]
- Chaudhary, S.; Wang, Y.; Khanal, N.R.; Xu, P.; Fu, B.; Dixit, A.M.; Yan, K.; Liu, Q.; Lu, Y. Social Impact of Farmland Abandonment and Its Eco-Environmental Vulnerability in the High Mountain Region of Nepal: A Case Study of Dordi River Basin. Sustainability 2018, 10, 2331. [Google Scholar] [CrossRef]
- Estiveira, H. Cultivating Carbon: Unraveling the Secrets of Soil Health. Available online: https://www.alltech.com/blog/cultivating-carbon-unraveling-secrets-soil-health (accessed on 10 January 2025).
- Pandao, M.R.; Jejal, A.D.; Shukla, E.P.; Prabhumitrareddy, S.; Rout, S.; Baral, K.; Bhadani, M. Unlocking the Benefits of Carbon Sequestration for Enhancing Soil Health. Int. J. Environ. Clim. Change 2023, 13, 1349–1359. [Google Scholar] [CrossRef]
- DeClerck, F.A.; Koziell, I.; Sidhu, A.; Wirths, J.; Benton, T.; Garibaldi, L.A.; Kremen, C.; Maron, M.; Rumbaitis Del Rio, C.; Clark, M.; et al. Biodiversity and Agriculture: Rapid Evidence Review; International Water Management Institute (IWMI): Colombo, Sri Lanka; CGIAR Research Program on Water, Land and Ecosystems (WLE): Colombo, Sri Lanka, 2021; ISBN 978-92-9090-921-7. [Google Scholar]
- Corson, M.S.; Mondière, A.; Morel, L.; van der Werf, H.M.G. Beyond Agroecology: Agricultural Rewilding, a Prospect for Livestock Systems. Agric. Syst. 2022, 199, 103410. [Google Scholar] [CrossRef]
- Vikas; Ranjan, R. Agroecological Approaches to Sustainable Development. Front. Sustain. Food Syst. 2024, 8, 1405409. [Google Scholar] [CrossRef]
- Baraj, B.; Mishra, M.; Sudarsan, D.; da Silva, R.M.; Santos, C.A.G. Climate Change and Resilience, Adaptation, and Sustainability of Agriculture in India: A Bibliometric Review. Heliyon 2024, 10, e29586. [Google Scholar] [CrossRef] [PubMed]
- Sahoo, S.; Singha, C.; Govind, A.; Moghimi, A. Review of Climate-Resilient Agriculture for Ensuring Food Security: Sustainability Opportunities and Challenges of India. Environ. Sustain. Indic. 2025, 25, 100544. [Google Scholar] [CrossRef]
- Raina, N.; Zavalloni, M.; Viaggi, D. Incentive Mechanisms of Carbon Farming Contracts: A Systematic Mapping Study. J. Environ. Manag. 2024, 352, 120126. [Google Scholar] [CrossRef]
- Boix-Fayos, C.; de Vente, J. Challenges and Potential Pathways towards Sustainable Agriculture within the European Green Deal. Agric. Syst. 2023, 207, 103634. [Google Scholar] [CrossRef]
- Rao, C.; Jagadesh, M.; Baral, K.; Karthik, R. Carbon Farming and Sustainable Development Goals in India. Indian J. Fertil. 2024, 20, 644–657. [Google Scholar]
- Howard, R.J.; Tallontire, A.; Stringer, L.; Marchant, R. Unraveling the Notion of “Fair Carbon”: Key Challenges for Standards Development. World Dev. 2015, 70, 343–356. [Google Scholar] [CrossRef]
- Baumber, A.; Cross, R.; Ampt, P.; Waters, C.; Ringbauer, J.; Bowdler, I.; Scott, A.; Gordon, L.; Sutton, A.; Metternicht, G. Soil-Based Carbon Farming: Opportunities for Collaboration. J. Rural Stud. 2024, 108, 103268. [Google Scholar] [CrossRef]
- Günther, P.; Garske, B.; Heyl, K.; Ekardt, F. Carbon Farming, Overestimated Negative Emissions and the Limits to Emissions Trading in Land-Use Governance: The EU Carbon Removal Certification Proposal. Environ. Sci. Eur. 2024, 36, 72. [Google Scholar] [CrossRef]
- Tan, S.S.X.; Kuebbing, S.E. A Synthesis of the Effect of Regenerative Agriculture on Soil Carbon Sequestration in Southeast Asian Croplands. Agric. Ecosyst. Environ. 2023, 349, 108450. [Google Scholar] [CrossRef]
- Bose, D.; Bhattacharya, R.; Kaur, T.; Pandya, R.; Sarkar, A.; Ray, A.; Mondal, S.; Mondal, A.; Ghosh, P.; Chemudupati, R.I. Innovative Approaches for Carbon Capture and Storage as Crucial Measures for Emission Reduction within Industrial Sectors. Carbon Capture Sci. Technol. 2024, 12, 100238. [Google Scholar] [CrossRef]
- Kyriakarakos, G.; Petropoulos, T.; Marinoudi, V.; Berruto, R.; Bochtis, D. Carbon Farming: Bridging Technology Development with Policy Goals. Sustainability 2024, 16, 1903. [Google Scholar] [CrossRef]
- Dybala, K.E.; Matzek, V.; Gardali, T.; Seavy, N.E. Carbon Sequestration in Riparian Forests: A Global Synthesis and Meta-Analysis. Glob. Chang Biol. 2019, 25, 57–67. [Google Scholar] [CrossRef] [PubMed]
- Naiman, R.J.; Decamps, H.; McClain, M.E. Riparia: Ecology, Conservation, and Management of Streamside Communities; Elsevier: Amsterdam, The Netherlands, 2010; ISBN 978-0-08-047068-9. [Google Scholar]
- Sutfin, N.A.; Wohl, E.E.; Dwire, K.A. Banking Carbon: A Review of Organic Carbon Storage and Physical Factors Influencing Retention in Floodplains and Riparian Ecosystems. Earth Surf. Process. Landf. 2016, 41, 38–60. [Google Scholar] [CrossRef]
- Capon, S.J.; Chambers, L.E.; Mac Nally, R.; Naiman, R.J.; Davies, P.; Marshall, N.; Pittock, J.; Reid, M.; Capon, T.; Douglas, M.; et al. Riparian Ecosystems in the 21st Century: Hotspots for Climate Change Adaptation? Ecosystems 2013, 16, 359–381. [Google Scholar] [CrossRef]
- O’Brien, J.M.; Warburton, H.J.; Graham, S.E.; Franklin, H.M.; Febria, C.M.; Hogsden, K.L.; Harding, J.S.; McIntosh, A.R. Leaf Litter Additions Enhance Stream Metabolism, Denitrification, and Restoration Prospects for Agricultural Catchments. Ecosphere 2017, 8, e02018. [Google Scholar] [CrossRef]
- Knopf, F.L.; Johnson, R.R.; Rich, T.; Samson, F.B.; Szaro, R.C. Conservation of Riparian Ecosystems in the United States. Wilson Bull. 1988, 100, 272–284. [Google Scholar]
- Nilsson, C.; Aradottir, A.L.; Hagen, D.; Halldórsson, G.; Høegh, K.; Mitchell, R.J.; Raulund-Rasmussen, K.; Svavarsdóttir, K.; Tolvanen, A.; Wilson, S.D. Evaluating the Process of Ecological Restoration. Ecol. Soc. 2016, 21, 41. [Google Scholar] [CrossRef]
- Zedler, J.B.; Kercher, S. WETLAND RESOURCES: Status, Trends, Ecosystem Services, and Restorability. Annu. Rev. Environ. Resour. 2005, 30, 39–74. [Google Scholar] [CrossRef]
- Perry, L.G.; Andersen, D.C.; Reynolds, L.V.; Nelson, S.M.; Shafroth, P.B. Vulnerability of Riparian Ecosystems to Elevated and Climate Change in Arid and Semiarid Western North America. Glob. Change Biol. 2012, 18, 821–842. [Google Scholar] [CrossRef]
- Clifton, B.; Ghezzehei, T.A.; Viers, J.H. Carbon Stock Quantification in a Floodplain Restoration Chronosequence along a Mediterranean-Montane Riparian Corridor. Sci. Total Environ. 2024, 946, 173829. [Google Scholar] [CrossRef] [PubMed]
- Cierjacks, A.; Kleinschmit, B.; Babinsky, M.; Kleinschroth, F.; Markert, A.; Menzel, M.; Ziechmann, U.; Schiller, T.; Graf, M.; Lang, F. Carbon stocks of soil and vegetation on Danubian floodplain. J. Plant Nutr. Soil Sci. 2010, 173, 644–653. [Google Scholar] [CrossRef]
- Rieger, I.; Kowarik, I.; Cierjacks, A. Drivers of carbon sequestrationby biomass compartment of riparian forests. Ecosphere 2015, 6, 185. [Google Scholar] [CrossRef]
- Aishan, T.; Betz, F.; Halik, Ü.; Cyffka, B.; Rouzi, A. Biomass carbon sequestration potential by riparian forest in the Tarim River Watershed, Northwest China: Implication for the mitigation of climate change impact. Forests 2018, 9, 196. [Google Scholar] [CrossRef]
- Fernandes, M.R.; Aguiar, F.C.; Martins, M.J.; Rico, N.; Ferreira, M.T.; Correia, A.C. Carbon stock estimations in a Mediterranean riparian forest: A case study combining field data and UAV imagery. Forests 2020, 11, 376. [Google Scholar] [CrossRef]
- Zhu, Y.; Liu, R.; Zhang, H.; Liu, S.; Zhang, Z.; Yu, F.H.; Gregoire, T.G. Post-flooding disturbance recovery promotes carbon capture in riparian zones. Biogeosciences 2023, 20, 1357–1370. [Google Scholar] [CrossRef]
- Peroni, F.; Codato, D.; Buscemi, L.; Cibrario, M.; Pappalardo, S.E.; De Marchi, M. Rethinking urban riparian ecosystems as a frontline strategy to counter climate change: Mapping 60 years of carbon sequestration evolution in Padua, Italy. Front. Clim. 2023, 5, 1235886. [Google Scholar] [CrossRef]
- Kozlowski, T.T. Physiological-ecological impacts of flooding on riparian forest ecosystems. Wetlands 2002, 22, 550–561. [Google Scholar] [CrossRef]
- Hennings, N.; Becker, J.N.; Guillaume, T.; Damris, M.; Dippold, M.A.; Kuzyakov, Y. Riparian wetland properties counter the effect of land-use change on soil carbon stocks after rainforest conversion to plantations. Catena 2021, 196, 104941. [Google Scholar] [CrossRef]
- Riccioli, F.; Guidi Nissim, W.; Masi, M.; Palm, E.; Mancuso, S.; Azzarello, E. Modeling the Ecosystem Services Related to Phytoextraction: Carbon Sequestration Potential Using Willow and Poplar. Appl. Sci. 2020, 10, 8011. [Google Scholar] [CrossRef]
- McIntosh, R.P. The Background of Ecology; Cambridge University Press: Cambridge, UK, 1985. [Google Scholar]
- Walker, L.R.; Walker, J.; Hobbs, R.J. Linking Restoration and Ecological Succession; Springer: London, UK, 2007. [Google Scholar]
- Hanusch, M.; He, X.; Ruiz-Hernández, V.; Junker, R.R. Succession Comprises a Sequence of Threshold-Induced Community Assembly Processes towards Multidiversity. Commun. Biol. 2022, 5, 424. [Google Scholar] [CrossRef]
- Poorter, L.; Amissah, L.; Bongers, F.; Hordijk, I.; Kok, J.; Laurance, S.G.W.; Lohbeck, M.; Martínez-Ramos, M.; Matsuo, T.; Meave, J.A.; et al. Successional Theories. Biol. Rev. 2023, 98, 2049–2077. [Google Scholar] [CrossRef] [PubMed]
- Gayton, D.V. Ground Work: Basic Concepts of Ecological Restoration in British Columbia; Southern Interior Forest Extension and Research Partnership: Victoria, BC, Canada, 2001; ISBN 978-1-894822-01-5. [Google Scholar]
- Young, T.P.; Chase, J.M.; Huddleston, R.T. Community Succession and Assembly: Comparing, Contrasting and Combining Paradigms in the Context of Ecological Restoration. Ecol. Restor. 2001, 19, 5–18. [Google Scholar] [CrossRef]
- Etter, A.; Andrade, A.; Nelson, C.R.; Cortés, J.; Saavedra, K. Assessing Restoration Priorities for High-Risk Ecosystems: An Application of the IUCN Red List of Ecosystems. Land Use Policy 2020, 99, 104874. [Google Scholar] [CrossRef]
- Luken, J.O. Directing Ecological Succession; Chapman and Hall: London, UK, 1990. [Google Scholar]
- Davis, M.A.; Pergl, J.; Truscott, A.M.; Kollmann, J.; Bakker, J.P.; Domenech, R.; Prach, K.; Prieur-Richard, A.H.; Veeneklaas, R.M.; Pyšek, P.; et al. Vegetation change: A reunifying concept in plant ecology. Perspect. Plant Ecol. Evol. Syst. 2005, 7, 69–76. [Google Scholar] [CrossRef]
- Palmer, M.A.; Ambrose, R.F.; Poff, N.L. Ecological Theory and Community Restoration Ecology. Restor. Ecol. 1997, 5, 291–300. [Google Scholar] [CrossRef]
- Rapson, G.L. Tertiary Succession: A New Concept to Help Vegetation Restoration. Restor. Ecol. 2023, 31, e13683. [Google Scholar] [CrossRef]
- Axelsson, E.P.; Grady, K.C.; Alloysius, D.; Falck, J.; Lussetti, D.; Vairappan, C.S.; Sau Wai, Y.; Ioki, K.; Lardizabal, M.L.T.; Ahmad, B.; et al. Lessons Learned from 25 Years of Operational Large-Scale Restoration: The Sow-A-Seed Project, Sabah, Borneo. Ecol. Eng. 2024, 206, 107282. [Google Scholar] [CrossRef]
- Gann, G.D.; McDonald, T.; Walder, B.; Aronson, J.; Nelson, C.R.; Jonson, J.; Hallett, J.G.; Eisenberg, C.; Guariguata, M.R.; Liu, J. International Principles and Standards for the Practice of Ecological Restoration. Restor. Ecol. 2019, 27, S1–S46. [Google Scholar] [CrossRef]
- England, J.; Angelopoulos, N.; Cooksley, S.; Dodd, J.; Gill, A.; Gilvear, D.; Johnson, M.; Naura, M.; O’Hare, M.; Tree, A.; et al. Best Practices for Monitoring and Assessing the Ecological Response to River Restoration. Water 2021, 13, 3352. [Google Scholar] [CrossRef]
- Young, R.E.; Gann, G.D.; Walder, B.; Liu, J.; Cui, W.; Newton, V.; Nelson, C.R.; Tashe, N.; Jasper, D.; Silveira, F.A.O.; et al. International Principles and Standards for the Ecological Restoration and Recovery of Mine Sites. Restor. Ecol. 2022, 30, e13771. [Google Scholar] [CrossRef]










| Area | Density (Individuals per ha) | NPP of Individuals (ton·yr−1) | NPP (ton·ha−1·yr−1) |
|---|---|---|---|
| Cheongju | 5600 | 4.35 | 24.36 |
| Andong | 6000 | 3.29 | 19.74 |
| Buyeo | 13,600 | 2.85 | 38.69 |
| Mean | 8400 | 3.50 | 27.60 |
| NPP (ton·C·ha−1·yr−1) | Heterotrophic Respiration (ton·C·ha−1·yr−1) | NEP (ton·C·ha−1·yr−1) |
|---|---|---|
| 13.81 | 5.25 | 8.56 |
| Area (ha) | NEP (ton·C·ha−1·yr−1) | Carbon Absorption Capacity (million·ton·C·ha−1·yr−1) |
|---|---|---|
| 613,000 | 8.56 | 5.25 |
Disclaimer/Publisher’s Note: The statements, opinions and data contained in all publications are solely those of the individual author(s) and contributor(s) and not of MDPI and/or the editor(s). MDPI and/or the editor(s) disclaim responsibility for any injury to people or property resulting from any ideas, methods, instructions or products referred to in the content. |
© 2025 by the authors. Licensee MDPI, Basel, Switzerland. This article is an open access article distributed under the terms and conditions of the Creative Commons Attribution (CC BY) license (https://creativecommons.org/licenses/by/4.0/).
Share and Cite
Lee, C.-S.; Lim, B.-S.; Seok, J.-E. Carbon Absorption Potential of Abandoned Rice Paddy Fields in Korea. Sustainability 2025, 17, 2054. https://doi.org/10.3390/su17052054
Lee C-S, Lim B-S, Seok J-E. Carbon Absorption Potential of Abandoned Rice Paddy Fields in Korea. Sustainability. 2025; 17(5):2054. https://doi.org/10.3390/su17052054
Chicago/Turabian StyleLee, Chang-Seok, Bong-Soon Lim, and Ji-Eun Seok. 2025. "Carbon Absorption Potential of Abandoned Rice Paddy Fields in Korea" Sustainability 17, no. 5: 2054. https://doi.org/10.3390/su17052054
APA StyleLee, C.-S., Lim, B.-S., & Seok, J.-E. (2025). Carbon Absorption Potential of Abandoned Rice Paddy Fields in Korea. Sustainability, 17(5), 2054. https://doi.org/10.3390/su17052054

