Next Article in Journal
Data Science and AI for Sustainable Futures: Opportunities and Challenges
Next Article in Special Issue
A Critical Review of the Utilization of Recycled Glass in Transportation Infrastructure Including Roads and Railways
Previous Article in Journal
The Role of Flower Strips in Increasing Beneficial Insect Biodiversity and Pest Control in Vineyards
 
 
Font Type:
Arial Georgia Verdana
Font Size:
Aa Aa Aa
Line Spacing:
Column Width:
Background:
Article

Development of Sustainable Artificial Lightweight Aggregates with Binary Mixtures of Waste Rich in Aluminosilicate and Carbonate in Kaolinitic Clay

by
José Anselmo da Silva Neto
1,*,
Marcos Alyssandro Soares dos Anjos
1,2,
Ricardo Peixoto Suassuna Dutra
1,
Maelson Mendonça de Souza
3 and
Cinthia Maia Pederneiras
4
1
Department of Materials Science and Engineering, Federal University of Paraíba (UFPB), João Pessoa 58051-900, Brazil
2
Department of Civil Engineering, Federal Institute of Paraíba (IFPB), João Pessoa 58015-020, Brazil
3
Department of Civil Engineering, Federal Institute of Rio Grande do Norte (IFRN), Natal 59015-000, Brazil
4
c5Lab Sustainable Construction Materials Association, 2795-242 Linda-a-Velha, Portugal
*
Author to whom correspondence should be addressed.
Sustainability 2025, 17(5), 2017; https://doi.org/10.3390/su17052017
Submission received: 21 January 2025 / Revised: 11 February 2025 / Accepted: 24 February 2025 / Published: 26 February 2025

Abstract

In Brazil, artificial lightweight aggregates (LWAs) are predominantly produced in the Southeast Region using clay as the primary raw material. However, clay extraction has significant environmental impacts and limits access to LWAs in the North and Northeast regions, resulting in high costs and hindering sustainable construction solutions. This study addresses these challenges by developing sustainable LWAs in the Northeast Region using raw materials from the metropolitan area of João Pessoa, Paraíba, namely chamotte (CHT), which is rich in aluminosilicates, and eucalyptus firewood ash (EFA), which is rich in carbonates, combined with kaolinitic clay (KC). Sixty-four binary mixtures were produced, demonstrating diverse properties in density, water absorption, and compressive strength. EFA-rich mixtures achieved the highest expansion (80%) and lowest density (1.20 g/cm3), while CHT-rich mixtures provided superior strength (>10 MPa) and deformation (>20 GPa). These properties highlight their suitability for diverse applications, from structural uses to landscaping, enhanced by distinct color variations. Statistical optimization identified the residue content and sintering temperature as key factors, confirming the technical viability of incorporating up to 80% industrial waste into sustainable LWA production. Therefore, the results confirm the technical feasibility of producing LWAs using CHT and EFA in the metropolitan region of João Pessoa/Paraíba, achieving properties comparable to commercial LWAs. By incorporating up to 80% industrial waste, this study reduces dependence on non-renewable resources, decreases CO2 emissions and transportation costs, and promotes sustainable practices. The findings offer a scalable, eco-friendly solution to resource-limited regions’ material scarcity.

1. Introduction

In Brazil, the most widely used lightweight aggregates (LWAs) are produced from expanded clays. Only one company in the Southeast Region manufactures LWAs, which serve all of South America [1]. The extraction of clay, a non-renewable natural resource, can cause significant environmental impacts, including soil degradation, river silting, and the destruction of ecosystems [2,3].
Recent studies have developed new LWAs from waste materials, promoting sustainability and industrial waste recycling. Examples of these materials include ornamental stone waste [4], powdered glass [5], sewage sludge [6], sugarcane bagasse and rice husk ash [7,8], and fly ash [9]. Despite the variety of wastes used in LWA production, no studies have yet investigated the combined use of kaolinitic clay (KC) with chamotte (CHT), a waste product from ceramic tile and brick production, or with eucalyptus firewood ash (EFA).
The selection of KC with iron oxide contents exceeding 5% by mass significantly impacts the expansion of LWAs. This is attributed to the reduction of iron oxide by the organic matter present in the clays [10]. The high concentration of Fe2O3 facilitates gas release during the samples’ viscous melting [11].
CHT, a ceramic waste generated from firing clay at high temperatures, is produced in Brazil at an estimated rate of over 4 million tonnes annually. Paraíba, located in northeastern Brazil, ranks as the country’s fifth-largest ceramic coatings producer [12]. According to Souza et al. [1], CHT’s granulometry, chemical composition, mineralogy, and mass loss indicate a high potential for using CHT residue, which is rich in aluminosilicate (SiO2 and Al2O3), to produce LWAs. Additionally, SiO2 and Al2O3 enhance the capture of gases [13].
EFA is widely used in energy production and is one of the primary sources for the Brazilian ceramic industry [14,15]. In 2023, Brazil produced approximately 33.5 million cubic meters of firewood, 82% of this in the Northeast Region [16]. It is possible to obtain up to 2% by mass of ash from the firewood used [17]. EFA consists of fluxing oxides rich in carbonates, particularly calcium oxide (CaO). The high concentration of CaO facilitates the production of expandable LWAs due to the release of carbon dioxide (CO2) during glass formation [18,19].
Several studies have highlighted the limitations of predictive methods for LWA expansion. Ref. [4] found no consistent correlation between the SiO2/ΣOF ratio and expansion in aluminosilicate-rich materials. Ref. [10] noted that sintering conditions can alter prediction accuracy, while [18] pointed out that the chemical characteristics of residues, such as carbonates, complicate model application. Ref. [19] observed that traditional methods overlook interactions between mineralogical composition and temperature. Subsequent studies, such as [20,21,22,23,24,25], confirmed that current models fail to account for key variables in LWA production.
The predictability of LWA swellability remains primarily based on trial and error, with several variables influencing the results, including aggregate size, waste content, heating rate, pre-sintering, sintering, firing time, and water content. Studies have shown that variations in aggregate size and waste content affect expansion behavior [2], while heating rate and sintering time impact LWA properties [18]. Controlling water content during production is also challenging [26], and discrepancies in sintering conditions lead to inconsistent performance [27,28]. These complexities underline the need for an optimized mixing plan, which this study addresses using the Taguchi method to ensure systematic production and consistent commercial product attributes.
This research focuses on developing regional LWAs from ceramic industry waste in João Pessoa, Paraíba, Brazil. The goal is to enhance acceptance among companies in the North and Northeast regions. The initiative aims to reduce CO2 emissions, transportation costs, and delivery times, reduce the use of clay, and incorporate up to 80% of industrial waste, thereby promoting more sustainable solutions.
Therefore, advancing knowledge about the physical, chemical, mineralogical, thermal, visual, and microstructural behavior of residues rich in aluminosilicates and carbonates in kaolinitic clay is essential. The present research fills a significant gap by providing relevant experimental results from 64 distinct mixtures, creating a catalog for applications in engineering works and services and ensuring data reliability through statistical modeling.

2. Experimental Program

2.1. Collection and Processing of Raw Materials

For the production of the LWAs, materials from a local ceramic factory in the metropolitan region of João Pessoa, Paraíba, Brazil were used. These materials included kaolinitic clay (KC), chamotte residue (CHT), and eucalyptus firewood ash (EFA). The raw materials were processed, including oven drying at 110 ± 5 °C for 24 h and grinding in a metal ball mill with a mass ratio 1:4 (material/balls) for one hour to obtain particle size fractions close to 0.15 mm (Figure 1). This method is similar to the procedures of [1,4,21,22] and aims to achieve the specifications of [11].

2.2. Characterization of Raw Materials

All raw materials were subjected to physical, chemical, mineralogical, thermal, and microstructural tests.

2.2.1. Granulometric Composition

The Cilas 1180 laser particle sizer obtained the particle size distribution of the raw materials; this sizer measures the material distribution in the range of 0.5 to 500 μm. The particle size curve of the raw materials is shown in Figure 2.
The particle size analysis revealed that KC, CHT, and EFA have average diameters of 36.91 μm, 31.38 μm, and 20.42 μm, respectively, and all the particle size curves are outside the limits of [11]. Replacing KC with CHT and EFA can improve sintering and gas entrapment by increasing the proportion of particles in the optimum range [1,11,21,22,29].

2.2.2. Specific Mass

The specific mass of the raw materials, measured according to the standard [30], was 2.61 g/cm3 for KC, 2.55 g/cm3 for CHT, and 2.49 g/cm3 for EFA. The lower specific mass of CHT compared with KC is due to the burning that increases its porosity. At the same time, EFA has the lowest specific mass due to the combination of high porosity and oxides formed during combustion.

2.2.3. Chemical Composition (XRF)

The chemical composition of the raw materials (≤n°. 200 mesh) was determined by X-ray fluorescence (Shimadzu EDX-720, Tokyo, Japan), and the loss on ignition was determined according to the standard [31]. The results are described in Table 1.
KC, with 27.48% Al2O3, does not favor expansion [23]. According to [32], CHT has a suitable composition for expansion but lacks plasticity for molding LWAs. EFA has less than 50% SiO2, below what is necessary for the expansion process [23].
KC with a SiO2/ΣOF ratio of 3.03 is within the ideal range of 1.00–3.85 [4]; however, it does not follow the criteria of [23]. With high SiO2 and Al2O3 contents, KC and CHT favor gas capture and significantly influence strength. At the same time, EFA, rich in fluxing oxides, controls the pyroclastic deformation temperature and facilitates the obtaining of LWAs due to the formation of CO2 due to the decarbonization of calcium carbonate (Figure 4c) [13,26,33,34,35,36].

2.2.4. Mineralogical Composition (XRD)

Mineralogical characterization was performed by X-ray diffraction using a Siemens Bruker D5000 diffractometer, with CuKα radiation (λ = 1.5418 Å), at 30 kV and 30 mA, in a range of 5° to 80° 2θ, at 1°/min, and with a step of 0.02° 2θ. The results showed kaolinite, muscovite, and quartz in KC and CHT, and calcium carbonate, potassium, and calcium sulfate in EFA (Figure 3).
The presence of kaolinite and muscovite in KC and CHT intensifies CO2 entrapment and increases gas generation during pyroplastic deformation, with muscovite playing a significant role in the swelling phenomenon [24,26,34]. In contrast, quartz contributes to viscosity control [13,35]. Calcium carbonate, potassium, and calcium sulfate in EFA promote gas release, enabling the production of expandable materials [23,34,36,37].

2.2.5. Simultaneous Thermal Analysis (TG/DTA)

Simultaneous thermal analysis of the powdered raw materials was performed with thermogravimetry (TG) and differential thermal analysis (DTA) using a Shimadzu DTG-60H, under a nitrogen atmosphere at 100 mL/min, with heating of 10 °C/min from 25 °C to 1200 °C, using alumina cells and samples of approximately 10 mg. The detailed results are shown in Figure 4.
The TG of KC shows a mass loss of 11% in two endothermic stages: water release (45–135 °C) and the transformation of kaolinite into metakaolinite (~500 °C) [38,39,40]. CHT is thermally stable in TG without significant mass loss; the endothermic peak in DTA at 40 °C indicates residual water removal [41,42]. The TG of EFA shows a more significant mass loss due to volatile compounds. In DTA, EFA presents four endothermic peaks: dehydration of adsorbed H2O (166.7 °C), organic decomposition (354.2 °C), carbonate decomposition (731.7 °C), and mineral transformations (880.4 °C), [38,39].

2.2.6. Microstructure

Microstructural analyses were performed using a Hitachi TM3000 SEM for KC and a Carl Zeiss Auriga SEM for CHT and EFA. Powder samples (≤n°. 200 mesh) were dried at 110 °C for 24 h, mounted on aluminum stubs with carbon tape, and sputtered with gold. Images were obtained at a voltage of 20 kV (Figure 5).
KC has a lamellar structure with thin and parallel layers, reflecting its crystalline nature and contributing to muscovite’s plasticity and high cation exchange capacity [43]. Due to the clay’s previous firing process, CHT has irregular and angular particles with rough and porous surfaces [44]. EFA reveals a highly porous structure and a heterogeneous distribution of particles, which vary in size and shape, including irregular and scaly shapes [45].

2.3. Preparation of Mixtures

After analyzing the literature on the main parameters of LWAs [2,27,36,46], the Taguchi method with the L32 matrix (21 × 46) was chosen to optimize the experimental design. A total of 32 mixtures (Table 2) were performed for each type of residue (CHT and EFA) with KC, resulting in 64 mixtures in total. All samples were heated at 10 °C/min [1,4,18].
Figure 6 shows the chemical compositions of CHT and KC mixtures, plotted in the Riley ternary diagram [23]. The mixtures are identified as 1, 2, 3, and 4, corresponding to 20%, 40%, 60%, and 80% CHT, supplemented with KC until reaching 100%, respectively. Mixtures with 20%, 40%, 60%, and 80% EFA do not appear in the diagram because they have an SiO2 content < 50%, but it is possible to produce LWAs with these constitutions [1,4,47].
Figure 6 shows that the mixtures are located within or close to the expandable region, indicating that they should have sufficient viscosity to capture gases at high temperatures and modify the pore microstructure of the aggregates [20,21,22]. Figure 7 shows that the SiO2/ƩOF ratio of the aggregates (CHT and EFA) ranges from 0.18 to 7.03. The literature indicates that the optimum range for density, water absorption, and mechanical strength of LWAs is 1.00 to 3.85 [4,19,24,48,49,50].
Figure 7a,b show that only the mixture with 20% residue (CHT and EFA) and 80% KC is in the optimum range of SiO2/ƩOF, although the other mixtures are close to the optimum range described in the literature (1.00–3.85). Furthermore, the CHT residue increases the SiO2/ƩOF ratio, while EFA reduces it.

2.4. Homogenization and Shaping of Samples

Manual homogenization of the raw materials and adding water (Table 2) formed spherical granules with approximately 6.25 mm and 12.5 mm diameters, producing 150 granules per mixture.

2.5. Drying, Sintering, and Cooling

The spherical granules were dried in two stages: 24 h at room temperature and 24 h at 110 ± 5 °C. Subsequently, according to the Taguchi method, they were sintered in a 150 L MLCA electric furnace, MILLEY. After sintering, the aggregates were handled only after 24 h, when the furnace temperature was below 45 °C.

2.6. Characterization of Lightweight Aggregates

The aggregates were subjected to physical tests and visual and microstructural analysis using the same methodology as the raw materials for microstructural tests.

2.6.1. Bloating Index

The bloating index (BI), in percentage, represents the volume change during sintering, as defined by [51]. The initial and final volumes of 20 granules were measured with a 300 mm digital caliper and calculated from the average of four diameter measurements.

2.6.2. Mass Loss

The mass loss during sintering (LOI) was defined as a percentage [52]. The initial and final masses of 20 aggregates were measured with a precision electronic balance (0.01 g), and the average of the values was calculated.

2.6.3. Density and Water Absorption

The apparent specific mass (ρd) of the aggregates produced was determined by [53]. According to the standard [53], water absorption is a percentage. The mass of thirty aggregates (3 groups of 10 LWAs) was measured with a precision electronic balance (0.01 g), with averages calculated for both tests.

2.6.4. Unit Mass

The unit mass was calculated according to the standard [54]. Thirty aggregates (3 groups of 10 LWAs) were calculated, and the average of the estimates was calculated.

2.6.5. Crush Resistance

The crushing strength (S) of the sintered samples was determined by loading individual aggregates to failure following the standard methodology for LWAs and calculated [4,51,55]. The test was conducted on a Shimadzu press with a capacity of up to 50 kN and a loading speed of 0.1 mm/min, with the average calculated from 10 aggregates.

2.6.6. Modulus of Deformation

The modulus of elasticity of the aggregates produced was estimated from the relationship proposed by ACI 213 R-03 [56]. The calibration of 10 produced aggregates and the average obtained were calculated.

2.6.7. Visual Analysis

For visual analysis, all aggregates produced were photographed in different formulations, using a white background, a ruler for reference, and an LED light for illumination. The COOLPIX P520 camera was mounted on a WF3716 tripod.

2.7. Classification of Lightweight Aggregates

A detailed analysis was conducted to evaluate the potential applications of the samples produced with these LWAs in different engineering contexts. For this purpose, classification criteria were established based on the technical standard [57] and data from commercial lightweight aggregate catalogs, aiming to identify the suitability of these materials for different engineering application scenarios [58,59,60], as shown in Table 3.

2.8. Statistical Modeling

The signal-to-noise (S/N) ratio was calculated to evaluate the factors’ effects. There are three types of S/N ratios: lower is better, nominal is better, and higher is better [61,62]. Thus, to reduce the number of responses, only the essential properties of LWAs were evaluated, as follows: particle density, water absorption, and crush resistance. In this study, particle density and water absorption were set to minimums, while mechanical strength was set to the maximum response.
With 95% confidence and 5% significance, ANOVA used the F test to identify significant factors. Two-dimensional contour plots showed the interaction between variables and their influences on the properties of LWAs. A prediction of optimum values was also performed to test the significance of the model. Statistical modeling was performed using Minitab21 software.

3. Results and Discussion

From all the properties evaluated, it was generally noticed that the minimum and maximum points with the most significant influence on the responses were the residue content and the sintering temperature of the other independent variables. Thus, this discussion will focus on these two independent variables in each evaluated response.

3.1. Expansion Rate and Mass Loss

Figure 8 illustrates the behavior of mixtures containing CHT and EFA residues regarding the expansion index and mass loss. The analysis of Figure 8a reveals that mixtures with CHT residues demonstrate a moderate expansion (10% to 40%) with low mass loss (2% to 7%). In comparison, mixtures with EFA (Figure 8b) exhibit a more significant expansion (5% to 80%) accompanied by a more significant mass loss (13% to 30%).
CHT, which contains quartz, kaolinite, and muscovite, presents a stable structure and releases few gases during sintering, resulting in less expansion and mass loss. In contrast, EFA, which is rich in volatile compounds such as calcium carbonate, potassium, and calcium sulfate and generates large amounts of gases, such as CO2, during thermal decomposition, promoting greater expansion and, consequently, significant mass loss [34,63,64,65,66,67].
Shrinkage was observed in CHT mixtures 2, 3, 4, 18, and 20 when the residue content was 20%, and the sintering temperature exceeded 1110 °C. Similarly, mixtures 3, 4, 7, 10, 20, 23, and 26, which contain EFA, exhibited the same shrinkage phenomenon. This behavior was noted at a residue content up to 60% at temperatures above 1145 °C, especially at 1180 °C, where the waste contents range from 20% to 60%. The shrinkage occurs due to the partial melting of the material, which reduces the porosity and densifies the ceramic matrix without releasing sufficient expansive gases [64,68].
The CHT samples were observed to melt above 40% residue and at 1180 °C (mixtures 7, 10, 13, 23, 26, and 29). This melting occurs due to the ceramic matrix’s fusion, resulting in structure loss [10,63]. EFA mixtures 7 and 23 contracted and expanded at 80% content, reaching an expansion above 40% and 80% (mixtures 13 and 16), respectively. The EFA with a higher content of volatile compounds initially contracts since sintering densifies the ceramic matrix and releases gases. However, with high contents of 80%, the release of gases is intense, forming bubbles that increase porosity and generate significant expansion in the mixtures [2,18,66].
Greater expansion was achieved in mixtures 27 and 32, which contained higher amounts of CHT (60%) and EFA (80%), especially at lower sintering temperatures at 1075 °C. These mixtures exhibited expansion values of approximately 40% and 80%, respectively. This outcome promotes environmental circularity by utilizing waste generated by the ceramic industry to create a new product.

3.2. Specific Gravity and Water Absorption

Figure 9 demonstrates the behavior of mixtures containing CHT and EFA residues in terms of specific mass and water absorption. Mixtures with CHT residues presented a water absorption below 20% and a specific mass above 1.45 g/cm3. In comparison, EFA mixtures demonstrated a water absorption above 20% and a specific mass of almost all samples below 1.60 g/cm3, with some samples close to the 1.00 g/cm3 limit.
CHT’s mineralogical stability contributes to forming a denser and less porous microstructure during the sintering process, resulting in lower water absorption and higher specific gravity. EFA contains a higher proportion of volatile compounds, which release gases during heating, causing the formation of a more porous structure. This porosity increases the water absorption capacity and reduces the density of the samples.
The CHT group (mixture 4) exhibited the lowest water absorption, below 2.5%, with 20% residue sintered at 1180 °C, resulting in a specific mass of approximately 2.20 g/cm3 (Figure 9a). The high temperature promotes partial fusion of the materials, filling the pores and generating a denser structure with low porosity [64,69,70,71,72]. However, by increasing the CHT residue content to 80% and reducing the sintering temperature to 1075 °C (mixture 32), the water absorption exceeded 20%, and a lower specific mass of 1.45 g/cm3 was obtained. A higher content of CHT residue (aluminosilicates) and the lower sintering temperature prevent complete densification, favoring the formation of pores [1,2,10,18,25,73,74].
The behavior observed in the EFA group (Figure 9b) shows that the smallest amount of residue (20%) reduces the porosity of the mixtures, resulting in approximately 1% water absorption at 1145 °C (mixture 3). Increasing the temperature to 1180 °C with 20% residue increases porosity and reduces the specific mass (mixture 4). This is attributed to its mineralogical composition, rich in volatile compounds, such as calcium carbonate and sulfate, that decompose at lower temperatures. With 20% residue, the minimal amount of organic material releases less gas, promoting more efficient sintering, which closes the pores and generates a denser structure [75,76].
Generally, in both residues, especially EFA, increasing the residue content from 20% to 80% at the lower sintering temperature of 1075 °C leads to an increase in water absorption of 55% and a reduction in the specific mass of up to 1.20 g/cm3. The lower temperature does not promote complete fusion, resulting in greater porosity due to more voids. Additionally, a higher waste content leads to increased gas release, forming interconnected pores, increasing water absorption and reducing density [77,78].

3.3. Unit Mass and Expansion Index

Figure 10 illustrates the behavior of mixtures with CHT and EFA residues in terms of unit mass and expansion index. In the CHT group (Figure 10a), the samples are mainly close to the limit for classification as light, according to the standard [54]. Some mixtures, specifically 1, 2, 3, 4, 8, 9, 18, 19, and 20, are considered with average unit masses. In contrast, in the EFA group (Figure 10b), the unit masses are lower than those of the CHT group and present higher expansion indexes. Only three compositions in the EFA group, mixtures 3, 11, and 20, are classified as having average unit masses, which showed shrinkage.
CHT, which is composed mainly of aluminosilicate, creates a denser and more stable matrix, leading to higher unit masses [1]. In contrast, EFA contains carbonate compounds, generating a less dense structure with greater porosity and, consequently, higher expansion rates [2,76,79,80,81]. The mixtures classified with average unit masses in the EFA group, which exhibited shrinkage, achieved a balance between the amount of water and the reactivity of the components, resulting in less space for expansion. In addition, the sintering temperature influences the fusion of the components and the cohesion of the structure, with sintering in the CHT group promoting a more stable matrix.
Minor expansions generally led to larger unit masses in both groups. In the CHT group, larger unit masses were observed with smaller residue percentages (20%) and temperatures above 1075 °C, resulting in approximately −25% contractions in mixture 4 at 1180 °C. As the residue content increased above 40%, the unit masses decreased, especially at temperatures below 1145 °C and with 80% residue, reaching values of 0.5 g/cm3, as seen in mixture 32. The EFA group presented similar behavior, but the reduction in unit masses was more pronounced at residue contents above 40%, reaching values below 0.5 g/cm3, also observed in mixture 32.
At lower residue contents, the clay matrix undergoes more excellent fusion and densification at high temperatures, which results in higher unit masses due to lower porosity, as described by [10,23,34,47,64]. However, when the residue content increases above 40%, sintering becomes less effective because the residues interfere with the formation of a dense structure, increasing porosity, as discussed by Moreno-Maroto [63]. In the case of EFA, the decomposition of compounds, such as calcium carbonate and calcium sulfate, generates reactions that cause significant expansion and pore formation, significantly reducing unit masses, corroborating the findings of [2,17,38].

3.4. Crush Resistance and Specific Mass

Figure 11 shows the behavior of the mixtures with CHT and EFA residues regarding crushing strength and specific mass. It can be observed that the crushing strengths are directly proportional to the specific masses in both groups. When comparing the groups, the CHT group (Figure 11a) demonstrates the highest strengths, with almost all samples presenting values above 5 MPa. In contrast, most samples exhibit strengths below this value in the EFA group (Figure 11b).
CHT’s mineralogical and chemical composition promotes excellent crystallinity and mechanical stability in the mixtures, forming a cohesive and dense structure after sintering. These factors result in higher mechanical strengths and specific masses due to the formation of more stable crystalline phases, which contribute to microstructural consolidation [1,34,39]. On the other hand, the compounds present in EFA negatively affect mechanical strength. During the sintering process, these components generate amorphous and porous phases, resulting in lower density and, consequently, lower mechanical strengths [37,42,47,76]. The decomposition of organic material, as observed in thermogravimetry (Figure 4c) present in EFA, leads to the formation of pores, which compromises structural cohesion and explains the significantly lower strengths compared with the CHT group.
In the EFA group, mixtures 27, 28, 30, 31, and 32 presented strengths below 1 MPa, classified as unsuitable for any engineering work and service application, according to the recommendations for commercial LWAs [58,59,60,82,83,84]. The highest strengths in the CHT and EFA groups were achieved with 20% residue at sintering temperatures of 1180 °C and 1145 °C. In the CHT group, this strength was close to 40 MPa (mixture 4), while in the EFA group, it was around 30 MPa (mixture 3).
The lowest strengths and specific masses were obtained by increasing residue content and reducing sintering temperature. The most pronounced reduction occurred when residue content increased from 20% to 80%, and temperature decreased from 1180 °C to 1075 °C. Comparing mixtures 4 and 32 in the CHT group, a decrease of approximately 35 MPa in strength and 0.70 g/cm3 in specific mass was observed. The reduction in mixtures 3 and 32 in the EFA group was approximately 30 MPa and 1.20 g/cm3.
The higher residue content, especially with less stable compounds (EFA), leads to amorphous phases that reduce mechanical strength [4,33,35]. Lower temperatures do not effectively promote the formation of crystalline phases, resulting in lower strengths in both groups [4,7,10,46,85]. Consequently, sintering at lower temperatures reduces densification, leading to a more porous structure, as seen in water absorption [2].

3.5. Modulus of Deformation and Specific Mass

Figure 12 shows the behavior of mixtures containing CHT and EFA residues in terms of the deformation modulus and specific mass. According to the results, the deformation modulus of mixtures with CHT and EFA residues is proportional to their specific mass. Nearly all CHT mixtures exhibited a deformation close to 25 GPa, whereas the EFA group had a deformation below 15 GPa. Nevertheless, all samples remain within the commercial limit of LWAs, which range from 3 to 35 GPa.
The highest deformations and specific masses were observed with 20% CHT and sintering at 1180 °C (mixture 4). In contrast, increasing the CHT content to 80% and sintering at 1075 °C (mixture 32) reduced both deformations and specific masses, with variations of approximately 30 GPa and 1.20 g/cm3. In the EFA group, the highest deformation also occurred with 20% residue, but at a lower sintering temperature of 1145 °C (mixture 3), compared with the CHT group (1180 °C), reaching values above 35 GPa. Increasing the EFA content to 80% and reducing the temperature to 1075 °C (mixture 32) showed a significant decrease in the deformation modulus and specific masses of 25 GPa and 1.20 g/cm3, respectively.
The lower temperature and higher residue content reduce densification and the formation of crystalline phases, resulting in increased porosity and decreased stiffness and specific mass [4,7,10,21]. CHT exhibits superior structural stability at high temperatures, while EFA leads to greater porosity due to the presence of volatile compounds.

3.6. Visual Analysis

Figure 13 and Figure 14 show the LWAs produced by the CHT and EFA groups, with particle sizes of 6.25 mm and 12.5 mm, according to the experimental program. In the CHT group (Figure 13), the colors range from dark red to light orange. In the EFA group (Figure 14), the samples present colors ranging from dark brown to light beige, influenced by the high concentration of metal oxides.
A high CHT content can lighten the color by reducing F2O3 (oxidation); however, above 40%, the samples melted at 1180 °C, indicating a critical limit for substitution. In the case of EFA, a higher content can lighten the colors due to the melting effect of the ash, which reduces the melting point and affects the final color. Sintering conditions similar to CHT’s show that temperature and time variations influence the material’s oxidation and transformations, directly impacting the color.

3.7. Microstructure Results

Figure 15 and Figure 16 show the microstructure of LWAs produced with different CHT and EFA compositions (20% and 80%) and sintered at different temperatures (1075 °C, 1145 °C, and 1180 °C). These images provide valuable insights into the formation of LWAs’ fundamental properties, highlighting the main factors that influence their structure, such as the variation in composition and sintering temperature.
Figure 15a exhibits a porous microstructure due to sintering at 1075 °C, while Figure 15b presents a more compact structure with trapped bubbles and no large voids. Kaolinite and muscovite enhance gas trapping with increasing temperature, as observed in the expansion (Figure 8). The edges of Figure 15a are porous and rough. At the same time, in Figure 15b, they are whitish and glassy, indicating greater mechanical strength and lower water absorption, as seen in the results of Figure 9 and Figure 11.
Figure 15d presents a more porous microstructure due to low sintering (1075 °C), while Figure 15c has a denser and more compact structure (1145 °C), attributed to the formation and partial fusion of the components, considering that the temperature of 1180 °C with this same composition caused the melting of the sample. The edges of the LWA with 80% CHT at 1075 °C (Figure 15d) are more porous and irregular, while the edges of the 80% CHT—1145 °C sample shown in Figure 15c are denser due to the higher sintering efficiency.
Figure 16a of the 20% EFA sample at a sintering temperature of 1075 °C shows a microstructure with more pores, while the LWA with 20% EFA at 1180 °C (Figure 16b) is more compact due to more efficient sintering. The edges of the LWA shown in Figure 16a are rough and porous, reflecting the insufficient fusion of the components, creating gases that do not entirely escape from the surface, forming bubbles, while the LWA with 20% EFA shown in Figure 16b is denser and more compact, indicating that 1180 °C promoted partial sealing of the pores.
The LWA with 80% EFA sintered at 1075 °C (Figure 16d) and a higher EFA content presents high porosity without sufficient fusion to seal the pores. In contrast, the LWA with 80% EFA sintered at 1180 °C (Figure 16c) is less porous. The edges of the 80% EFA—1075 °C sample (Figure 16d) are porous and irregular, while the edges of the LWA with 80% EFA at 1180 °C shown in Figure 16c are more compact and partially sealed, resulting from more efficient sintering at this higher temperature. Therefore, sintering promotes the decomposition of CaCO3 into calcium oxide (CaO) and releases CO2. This process is inadequate to seal the pores at lower temperatures, leading to larger voids.

3.8. Classification of LWAs

Table 4 presents the classification of LWAs produced with CHT and EFA. The CHT group demonstrated 73 distinct applications, with residue contents higher than 40%, resulting in a significant increase in uses in engineering works and services. In contrast, the EFA group presented more applications when the residue replacement content was lower than 40%, totaling 64 distinct applications among the group mixtures.
According to the results obtained, in the CHT group, a minimum replacement of 20% of the residue increased the particle density of the LWAs to values above 2.00 g/cm3, compromising compliance with the pre-established application criteria. On the other hand, increasing the CHT residue content, even with variations in other parameters, ensured at least one viable technical application. In the EFA group, more than 40% of replacements resulted in water absorption above 38%, making their use in commercial LWAs unfeasible.

4. Statistical Modeling

4.1. Specific Mass

Table 5 and Table 6 present the signal-to-noise ratio (S/N) results for analyzing the density of CHT and EFA particles, respectively, and a ranking of the parameters that have the most significant influence in obtaining the desired result.
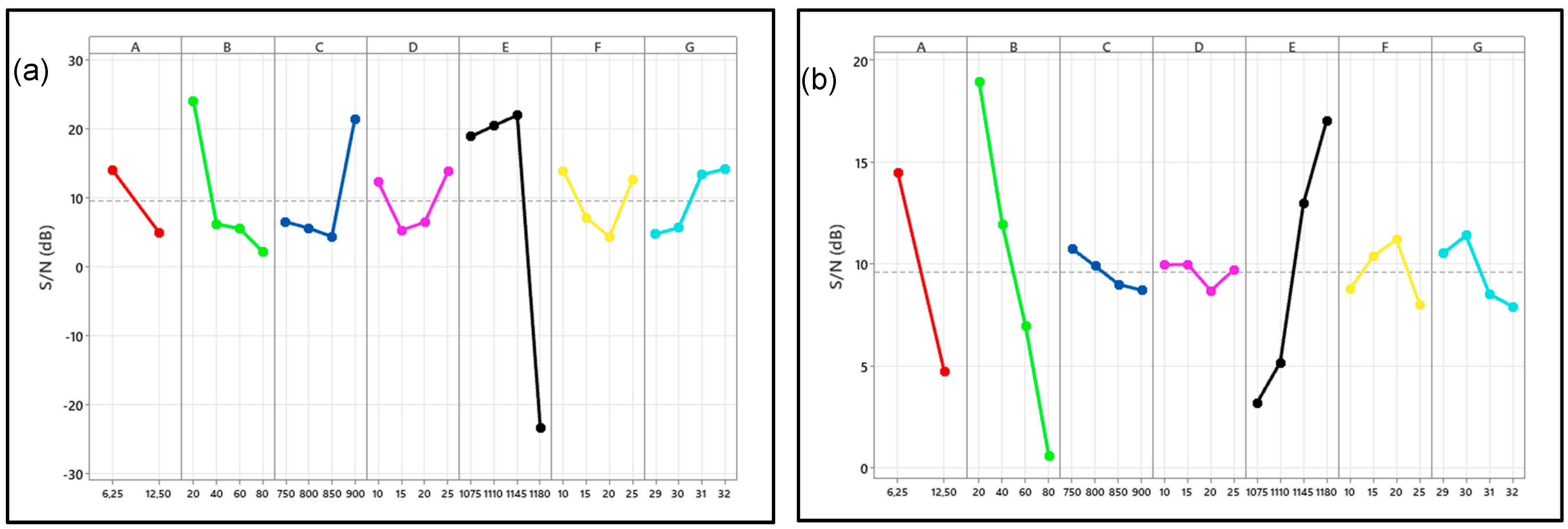
In Table 5 and Figure 17a, sintering and residue content were the main factors influencing the CHT group’s density. On the other hand, in Table 6 and Figure 17b, residue content and sintering were the factors that most affected the density of EFA. Thus, the lowest specific gravity was 1.51/cm3 and 1.01 g/cm3 for CHT and EFA, respectively, with maximum residue content and minimum sintering temperature.
Table 7 and Table 8 present the results of the analysis of variance (ANOVA) of the particle density of CHT and EFA, respectively. The ρd model for CHT and EFA presents an R2 of 92.22% and 94.02% for the training data and an adjusted R2 of 79.91% and 84.55%, respectively. This indicates that the models are robust and effective in predicting the particle density for both materials.
Based on the results of the S/N ratio and ANOVA analysis (Table 5 and Table 6), the optimal combination of parameters and their levels to achieve the minimum particle density of CHT and EFA were, respectively, A2B4C3D3E4F3G1 (12.5 mm aggregate, 80% CHT, pre-sintering at 850 °C—20 min, sintering at 1180 °C—20 min and water content at 29%) and A2B4C1D3E1F4G4 (12.5 mm aggregate, 80% EFA, pre-sintering at 750 °C—20 min, sintering at 1075 °C—25 min and water content at 32%).
Despite the optimized parameters suggested by the CHT model, the 80% CHT content at 1180 °C caused the sample to melt, so the model understood it to be the minimum (ρd = 0.00 g/cm3). This indicates the need to adjust to a lower temperature level, 1075 °C, ensuring thermal stability in this CHT composition during the sintering process. Thus, the CHT model for ρd is A2B4C3D3E1F3G1 (12.5 mm aggregate, 80% CHT, pre-sintering at 850 °C—20 min, sintering at 1075 °C—20 min and water content at 29%).

4.2. Water Absorption

Table 9 and Table 10 present the signal-to-noise ratio (S/N) results for the analysis of water absorption of CHT and EFA, respectively, as well as a ranking of the parameters that have the most significant influence on obtaining the desired result.
In Table 9 and Figure 18a, sintering, pre-sintering, and residue content were the main factors influencing the water absorption of the CHT group. In contrast, Table 10 and Figure 18b show that residue content, sintering, and pre-sintering most affected the water absorption of EFA. The lowest water absorptions for CHT and EFA were seen when sintering at 1180 °C and 20% of residues with values of 1.51% and 1.87%, respectively. Conversely, the highest water absorptions of CHT and EFA were seen at 1075 °C and 80% of residues with values of 21.32% and 58.39%, respectively.
Table 11 and Table 12 present the results of the analysis of variance (ANOVA) of the particle density of CHT and EFA, respectively. The WA24H model for CHT and EFA presents an R2 of 94.80% and 97.51% for the training data and an adjusted R2 of 86.57% and 93.57%, respectively. This indicates that the models are robust and effective in predicting the particle density for both materials.
Based on the results of the S/N ratio and ANOVA analyses (Table 9 and Table 10), the optimal combination of parameters and their levels to achieve the minimum water absorption of CHT and EFA were, respectively, A1B2C1D3E4F3G2 (6.25 mm aggregate, 40% CHT, pre-sintering at 750 °C—20 min, sintering at 1180 °C—20 min, and water content at 30%) and A1B1C3D1E4F3G3 (6.25 mm aggregate, 20% EFA, pre-sintering at 850 °C—10 min, sintering at 1180 °C—20 min, and water content at 31%).
Despite the optimized parameters suggested by the CHT model, the 40% CHT content at 1180 °C caused the sample to melt, so the model understood it to be the minimum (WA24H = 0.00%). This means adjusting the residue content to the lowest level, which in this case would be 20% CHT, ensuring thermal stability in this composition at 1180 °C during the sintering process. Thus, the CHT model for WA24H is A1B1C1D3E4F3G2 (6.25 mm aggregate, 20% CHT, pre-sintering at 750 °C—20 min, sintering at 1180 °C—20 min, and water content at 30%).

4.3. Crush Resistance

Table 13 and Table 14 present the signal-to-noise ratio (S/N) results for the crushing resistance analysis of CHT and EFA, respectively, and a ranking of the parameters that significantly influence obtaining the desired result.
In Table 13 and Figure 19a, sintering and residue content were the main factors influencing the CHT group’s crushing strength. On the other hand, in Table 14 and Figure 19b, residue content and sintering were the ones that most affected the crushing strength of EFA. The highest strengths of CHT and EFA, respectively, were seen when sintering at 1145 °C and 1180 °C and 20% of residues with values of 38.52 MPa and 27.96 MPa.
Table 15 and Table 16 present the results of the analysis of variance (ANOVA) of the crushing strength of CHT and EFA, respectively. Model S for CHT and EFA presents an R2 of 83.09% and 85.05% for the training data and an adjusted R2 of 56.31% and 61.38%, respectively. This suggests that both models have a moderate ability to explain the variation in the data, with the EFA model showing a slightly better fit after accounting for complexity.
Based on the results of S/N ratio and ANOVA analyses (Table 13 and Table 14), the optimal combination of parameters and their levels to achieve the maximum crushing strength of CHT and EFA were, respectively, A1B1C4D4E3F1G4 (6.25 mm aggregate, 20% CHT, pre-sintering at 900 °C—25 min, sintering at 1145 °C—10 min, and water content at 32%) and A1B1C1D1E4F3G2 (6.25 mm aggregate, 20% EFA, pre-sintering at 750 °C—10 min, sintering at 1180 °C—20 min, and water content at 30%).
Then, contour plots (Figure 20, Figure 21 and Figure 22) were constructed with the two leading independent variables (sintering and residue content) in each response based on the essential properties of the LWAs (specific mass, water absorption, and crushing strength).
The CHT group presents higher specific masses, especially at lower residue contents. At the same time, the EFA group shows a decrease in specific masses with decreasing temperature and increasing residue content (Figure 20). Regarding water absorption, both groups show that a higher residue content generally increases water absorption. In contrast, higher sintering temperatures tend to reduce water absorption, resulting in denser and less porous materials (Figure 21). Finally, the increase in mechanical strength in both groups is seen with lower residue content and increasing sintering temperature, with higher strengths for the CHT group (Figure 22).
In Table 17, predictions of optimum values were made to test the significance of the LWA model, considering the desirable characteristics for use in structural lightweight concrete in the CHT and EFA groups. The parameters evaluated included specific mass (<2.00 g/cm3), water absorption (0 to 20%), and crushing strength (>2.30 MPa), as detailed in Table 3 for commercial use.
In both groups, CHT and EFA (Table 17), the values observed from the established mixtures met the requirements for applying LWAs in structural lightweight concrete. Therefore, the developed models presented high predictability, demonstrating good capacity to estimate the expected results.

5. Conclusions

This study demonstrated the technical feasibility of producing LWAs using industrial waste rich in aluminosilicates (CHT) and carbonates (EFA) combined with kaolinitic clay (KC). The results indicated that the waste content and sintering conditions are the most influential factors in the final properties of LWAs, such as density, porosity, and mechanical strength. These characteristics allow the adaptation of LWAs for different applications, from structural uses to thermal insulation or landscaping solutions.
Conventional methodologies, such as the sum of SiO2/ƩOF and the Riley diagram, proved inadequate to predict the expansive behavior of the studied mixtures. The complex interaction between the mineralogical components of the waste and the sintering parameters overcomes the limitations of these empirical approaches. This work reinforces the importance of replacing traditional methods with more robust tools, such as statistical modeling (Taguchi method), to predict and control critical material properties.
Statistical modeling was essential to identify the determining factors in LWA performance and to adjust production according to specific application needs. The developed models were statistically validated, ensuring reliability and robustness. For example, precise control of experimental parameters allowed for the production of aggregates with higher porosity or density as required, demonstrating the process’s potential to meet different engineering scenarios. This level of precision provides flexibility in the practical application of LWAs, aligning technical performance.
Finally, this study presents a sustainable alternative for producing LWAs, reducing dependence on natural resources, CO2 emissions, and logistics costs, especially in resource-limited regions. By integrating materials science and statistical modeling, this research promotes an innovative and scalable approach, contributing to the advancement of more sustainable and efficient construction practices. This has a direct impact on waste reduction and the development of eco-efficient materials.

Author Contributions

J.A.d.S.N.: writing—review and editing, investigation, formal analysis, data curation. M.A.S.d.A.: writing—review and editing, visualization, validation, formal analysis, data curation, conceptualization. R.P.S.D.: writing—review and editing, validation, supervision, formal analysis, data curation. M.M.d.S.: writing—review and editing, validation, supervision, formal analysis, data curation. C.M.P.: writing—review and editing, validation, supervision, formal analysis, data curation. All authors have read and agreed to the published version of the manuscript.

Funding

The authors gratefully acknowledge the financial support provided by CAPES under grant number 88887.799961/2022-00, awarded to José Anselmo da Silva Neto.

Institutional Review Board Statement

Not applicable.

Informed Consent Statement

Not applicable.

Data Availability Statement

The original contributions presented in this study are included in the article. Further inquiries can be directed to the corresponding author.

Acknowledgments

The authors express their gratitude for the support received from the Coordination for the Improvement of Higher Education Personnel (CAPES), the National Council for Scientific and Technological Development (CNPq), and the Paraíba Research Foundation (FAPESq). We also thank the Laboratory of Structures and Materials of the Federal University of Paraíba (LABEME/UFPB) and the Federal Institute of Paraíba (IFPB) for the infrastructure provided, which was essential for realizing this project.

Conflicts of Interest

The authors declare that they have no known competing financial interests or personal relationships that could have appeared to influence the work reported in this paper.

References

  1. Souza, M.M.; Barbosa, N.P.; Anjos, M.A.S. Characteristics and utilization prospects of red ceramic waste in lightweight aggregates: A systematic review. Ceramics 2022, 68, 402–408. [Google Scholar] [CrossRef]
  2. Silva Neto, J.A.; Dias, L.S.; Medeiros, F.K.; Barbosa, M.S.; Marçal, N.A.; Dutra, R.P.S.; Negreiros, A.M.; Bezerra, U.T. A scientiometric review of artificial lightweight aggregates applying VOSviewer Software. Contrib. Soc. Sci. 2024, 17, e5619. [Google Scholar] [CrossRef]
  3. Rodrigues, H.K.S.; Oliveira, H.A.; Melo, F.M.C.; Almeida, V.G.O. Properties of a structural lightweight concrete with incorporation of expanded clay and granite residue. Matéria 2022, 27, e13153. [Google Scholar]
  4. Souza, M.A.; Anjos, M.A.S.; Sá, M.V.V.A.; Farias, E.C.; Mello, L.C.A. Development of lightweight aggregates from ornamental stone cutting waste (granite and marble) and clay. Matéria 2020, 25, e12559. [Google Scholar]
  5. Li, X.; He, C.; Lv, H.; Jian, S.; Jiang, W.; Jiang, D.; Wu, K.; Dan, J. Effect of sintering temperature and dwelling time on the characteristics of lightweight aggregate produced from sewage sludge and waste glass powder. Ceram. Int. 2021, 47, 33435–33443. [Google Scholar] [CrossRef]
  6. Chen, H.-J.; Chen, P.C.; Peng, C.F.; Huang, C.W. Production of Synthetic Lightweight Aggregates from Industrial Sludge. Materials 2022, 15, 4097. [Google Scholar] [CrossRef] [PubMed]
  7. Souza, N.S.L.; Anjos, M.A.S.; Sá, M.V.V.A.; Farias, E.C.; Souza, M.M.; Branco, F.G.; Pereira, A. Evaluation of Sugarcane Bagasse Ash for Lightweight Aggregates Production. Constr. Build. Mater. 2021, 271, 121604. [Google Scholar] [CrossRef]
  8. Lyra, G.P.; Santis, B.C.D.; Santos, V.; Pallone, E.M.J.; Kiminami, R.H.G.A.; Rossignolo, J.A. Microwave Fast Sintering Production of Sustainable Lightweight Aggregates with Agroindustrial Waste. J. Mater. Civ. Eng. 2022, 34, 04022155. [Google Scholar] [CrossRef]
  9. Ibrahim, M.A.; Atmaca, N. Cold Bonded and Low Temperature Sintered Artificial Aggregate Production by Using Waste Materials. Period. Polytech. Civ. Eng. 2023, 67, 112–122. [Google Scholar] [CrossRef]
  10. Souza, M.M.; Anjos, M.A.S.; Sá, M.V.V.A. Using Scheelite Residue and Rice Husk Ash to Manufacture Lightweight Aggregates. Constr. Build. Mater. 2021, 270, 121845. [Google Scholar] [CrossRef]
  11. Cougny, G. Specifications for clayey raw materials used to produce expanded lightweight aggregates. Bull. Eng. Geol. Environ. 1990, 41, 47–55. [Google Scholar]
  12. Brazilian Ceramics Association (ABC). 2023. Annual Waste Generation Report. Available online: https://www.abceram.org.br (accessed on 17 August 2024).
  13. Shang, X.; Li, Z.; Chang, J.; Chen, Y.; Yang, J.; Duan, Z. Production, properties and life cycle assessment of artificial lightweight aggregates produced with corn straw ash (CSA) and concrete slurry waste (CSW). Constr. Build. Mater. 2024, 411, 134274. [Google Scholar] [CrossRef]
  14. Kuasoski, M.; Doliveira, S.L.D.; Silva, A.Q.; Panhoca, L.; Schevchenko, I. Sustainable Practices of the Red Ceramic Industry and Its Influence on Local Communities. J. Clean. Prod. 2020, 265, 121765. [Google Scholar] [CrossRef]
  15. Bichel, A.; SANTOS, T.T. Spatial Dynamics of Firewood and Charcoal Production in Brazil. J. Clean. Prod. 2021, 313, 127714. [Google Scholar] [CrossRef]
  16. Brazilian Forest Service (SFB). Timber Statistical Yearbook 2023: Brazil; SFB: Brasília, Brazil, 2023.
  17. Capela, M.N.; Tobaldi, D.M.; Seabra, M.P.; Tarelho, L.A.C.; Labrincha, J.A. Characterization of ashes produced from different biomass fuels used in combustion systems in a pulp and paper industry towards its recycling. Biomass Bioenergy 2022, 166, 106598. [Google Scholar] [CrossRef]
  18. Aguiar, J.G.C.; Souza, M.M.D.; Farias, E.C.D. Development of lightweight aggregates from coffee grounds and rice husk ash. Matéria 2024, 29, e20230313. [Google Scholar] [CrossRef]
  19. Lau, P.C.; Teo, D.C.L.; Mannan, M.A. Characteristics of lightweight aggregate produced from lime-treated sewage sludge and palm oil fuel ash. Constr. Build. Mater. 2017, 152, 558–567. [Google Scholar] [CrossRef]
  20. Liu, M.; Liu, X.; Wang, W.; Guo, J.; Zhang, L.; Zhang, H. Effect of SiO2 and Al2O3 on characteristics of lightweight aggregate made from sewage sludge and river sediment. Ceram. Int. 2018, 44, 4313–4319. [Google Scholar] [CrossRef]
  21. Liu, J.; Cheng, L.; Jin, H.; Xing, F. Sustainable utilization of concrete slurry waste in eco-friendly artificial lightweight cold-bonded aggregates: An alternative pathway for efficiently sequestering CO2. Constr. Build. Mater. 2024, 421, 135759. [Google Scholar] [CrossRef]
  22. Liu, J.; Li, M.; Jin, H.; Cheng, L.; Feng, X. The role of different ratios of biochar in the artificial lightweight cold-bonded aggregates (ALCBAs) containing high volume of red mud (RM). Constr. Build. Mater. 2024, 422, 135815. [Google Scholar] [CrossRef]
  23. Riley, C.M. Relation of chemical properties to the bloating of clays. J. Am. Ceram. Soc. 1951, 34, 121–128. [Google Scholar] [CrossRef]
  24. Soltan, A.M.; Kahl, W.A.; Raoof, F.A.; El-kaliouby, B.A.H.; Serry, M.A.K.; Kader, N.A.A. Lightweight aggregates from mixtures of granite wastes with clay. J. Clean. Prod. 2016, 117, 139–149. [Google Scholar] [CrossRef]
  25. Souza, M.M.; Anjos, M.A.S.; Sá, M.V.V.A.; Souza, N.L. Developing and Classifying Lightweight Aggregates from Sewage Sludge and Rice Husk Ash. Case Stud. Constr. Mater. 2020, 12, e00340. [Google Scholar] [CrossRef]
  26. Tian, Y.; Thanos, A.C.; Kawashima, S.; Teng, X.; Themelis, N.J. Performance of Waste-to-Energy fine combined ash/filter cake ash-metakaolin based artificial aggregate. Constr. Build. Mater. 2022, 327, 127011. [Google Scholar] [CrossRef]
  27. Chen, H.J.; Lin, H.C.; Tang, C.W. Application of the Taguchi Method for Optimizing the Process Parameters of Producing Controlled Low-Strength Materials by Using Dimension Stone Sludge and Lightweight Aggregates. Sustainability 2021, 13, 5576. [Google Scholar] [CrossRef]
  28. Güven, O. Application of the Taguchi Method for Parameter Optimization of the Surface Grinding Process. Mater. Test. 2015, 57, 43–48. [Google Scholar] [CrossRef]
  29. Phong, H.V.N.; Trung, V.T.; Minh, T.D.; My, N.V.; Lo, V.T. Effects of lightweight particle content on the mechanical strength of cylindrical aggregates. J. Sci. Technol. Civ. Eng. (STCE)—HUCE 2022, 16, 117–127. [Google Scholar]
  30. NBR 16605; Portland Cement and Other Powdered Materials—Determination of Specific Mass. Brazilian Association of Technical Standards (ABNT): Rio de Janeiro, Brazil, 2017.
  31. NBR NM 17086-6; Portland Cement—Chemical Analysis. Part 6: Determination of Loss on Ignition. Brazilian Association of Technical Standards (ABNT): Rio de Janeiro, Brazil, 2023.
  32. NBR 7180; Soil—Determination of the Plasticity Limit. Brazilian Association of Technical Standards (ABNT): Rio de Janeiro, Brazil, 2016.
  33. González-Corrochano, B.; Alonso-Azcárate, J.; Rodas, M.; Barrenechea, J.F.; Luque, F.J. Microstructure and mineralogy of lightweight aggregates manufactured from mining and industrial wastes. Constr. Build. Mater. 2011, 25, 3591–3602. [Google Scholar] [CrossRef]
  34. Ayati, B.; Verónica, F.M.; Newport, D.; Cheeseman, C. Use of clay in the manufacture of lightweight aggregate. Constr. Build. Mater. 2018, 162, 124–131. [Google Scholar] [CrossRef]
  35. Liu, M.; Wang, C.; Bai, Y.; Xu, G. Effects of sintering temperature on the characteristics of lightweight aggregate made from sewage sludge and river sediment. J. Alloys Compd. 2018, 748, 522–527. [Google Scholar] [CrossRef]
  36. Bekkeri, G.B.; Shetty, K.K.; Nayak, G. Synthesis of artificial aggregates and their impact on performance of concrete: A review. J. Mater. Cycles Waste Manag. 2023, 25, 1988–2011. [Google Scholar] [CrossRef]
  37. Wei, Y.L.; Cheng, S.H.; Ou, K.T.; Kuo, P.J.; Chung, T.H.; Xie, X.Q. Effect of calcium compounds on lightweight aggregates prepared by firing a mixture of coal fly ash and waste glass. Ceram. Int. 2017, 43, 15573–15579. [Google Scholar] [CrossRef]
  38. Nosov, D.; Trník, A. Thermodilatometric Study of High-Temperature Reactions in Illitic Clay and CaCO3 Mixture in Anorthite Stoichiometry; AIP Publishing: Stavropol, Russia, 2023. [Google Scholar]
  39. Vasić, M.V.; Lidija, R.; Lato, P.; Zagorka, R. Raw kaolinitic–illitic clays as high-mechanical-performance hydraulically pressed refractories. J. Therm. Anal. Calorim. 2023, 148, 1783–1803. [Google Scholar] [CrossRef]
  40. Lemougna, P.N.; Arnold, I.; Erkkin, L.; Pekka, T.; Juho, Y.; Katja, K.; Mirja, I. Upcycling glass wool and spodumene tailings in building ceramics from kaolinitic and illitic clay. J. Build. Eng. 2024, 81, 108122. [Google Scholar] [CrossRef]
  41. Candido, V.S.; Pinheiro, R.M.; Monteiro, S.N.; Vieira, C.M.F. Development of ceramic adoquim with kaolinitic clays, chamotte and argillite. Cerâmica 2013, 59, 310–316. [Google Scholar] [CrossRef]
  42. Ehrenbring, H.Z.; Tutikian, B.F.; Medeiros, D.R. Study of replacement levels of natural aggregate by chamotte in ceramic structural blocks for the development of grouts. Matéria 2017, 22, e11865. [Google Scholar]
  43. Choe, Y.; An, J.; Won, J. Sedimentation kinetics of kaolinitic and illitic clay: Impact of cation valence, ionic concentration, and water content. Appl. Clay Sci. 2024, 253, 107351. [Google Scholar] [CrossRef]
  44. Pavlova, I.A.; Getman, A.A.; Farafontova, E. P The use of technological raw materials in high-alumina chamotte production. E3S Web Conf. 2024, 474, 01055. [Google Scholar] [CrossRef]
  45. Vieira, T.A.S.; Trugilho, P.F.; Sónia, A.C.; Antônio, J.V.; Guimarães, A.C.; Branco-Vieira, M. Impact of Chemical Composition on Eucalyptus Wood Clones for Sustainable Energy Production. Forests 2023, 14, 2240. [Google Scholar] [CrossRef]
  46. Hao, D.L.C.; Razak, R.A.; Kheimi, M.; Yahya, Z.; Abdullah, M.M.A.B.; Burduhos Nergis, D.D.; Fansuri, H.; Ediati, R.; Mohamed, R.; Abdullah, A. Artificial Lightweight Aggregates Made from Pozzolanic Material: A Review on the Method, Physical and Mechanical Properties, Thermal and Microstructure. Materials 2022, 15, 3929. [Google Scholar] [CrossRef] [PubMed]
  47. Dondi, M.; Cappelletti, P.; D’Amore, M.; Gennaro, R.; Graziano, S.F.; Langella, A.; Raimondo, M.; Zanelli, C. Lightweight aggregates from waste materials: Reappraisal of expansion behavior and prediction schemes for bloating. Constr. Build. Mater. 2016, 127, 394–409. [Google Scholar] [CrossRef]
  48. Santis, B.C.; Rossignolo, J.A. Evaluation of the influence of lightweight calcined clay aggregates on the performance of structural concrete. Built Environ. 2014, 14, 21–32. [Google Scholar]
  49. Han, M.; Han, D.; Shin, J. Use of bottom ash and stone dust to make lightweight aggregate. Constr. Build. Mater. 2015, 99, 192–199. [Google Scholar] [CrossRef]
  50. Zhou, Y.; Guan, Q.; Leng, F.; Wang, J.; Li, T. Utilization of Basalt Saw Mud as a Spherical Porous Functional Aggregate for the Preparation of Ordinary Structure Concrete. J. Wuhan Univ. Technol.-Mater. Sci. Ed. 2024, 39, 364–375. [Google Scholar] [CrossRef]
  51. Huang, C.H.; Wang, S.Y. Application of water treatment sludge in the manufacturing of lightweight aggregate. Constr. Build. Mater. 2013, 43, 174–183. [Google Scholar] [CrossRef]
  52. Li, B.; Ling, T.C.; Qu, L.; Wang, Y. Effects of a two-step heating process on the properties of lightweight aggregate prepared with sewage sludge and saline clay. Constr. Build. Mater. 2016, 114, 119–126. [Google Scholar] [CrossRef]
  53. NBR NM 16917; Coarse aggregate—Determination of Specific Mass, Apparent Specific Mass and Water Absorption. Brazilian Association of Technical Standards (ABNT): Rio de Janeiro, Brazil, 2021.
  54. NBR NM 16972; Aggregates—Determination of Unit Mass and Void Index. Brazilian Association of Technical Standards (ABNT): Rio de Janeiro, Brazil, 2021.
  55. Li, Y.; Wu, D.; Zhang, J.; Chang, L.; Wu, D.; Fang, Z.; Shi, Y. Measurement and statistics of single pellet mechanical strength of differently shaped catalysts. Powder Technol. 2000, 113, 176–184. [Google Scholar] [CrossRef]
  56. ACI 213 R-03; Guide for Structural Lightweight Aggregate Concrete. American Concrete Institute: Farmington Hills, MI, USA, 2003.
  57. BS EN 13055-1; Lightweight Aggregates. Lightweight Aggregates for Concrete. Mortar and Grout. BSI: Yokohama, Japan, 2002.
  58. Cinexpan, Expanded Clay. Technical Data Sheet Type 1506. Available online: https://www.cinexpan.com.br/pdf/ficha-tecnica-tipo-1506.pdf (accessed on 15 July 2024).
  59. Cinexpan, Expanded Clay. Technical Data Sheet Type 2215. Available online: https://www.cinexpan.com.br/pdf/ficha-tecnica-tipo-2215.pdf (accessed on 15 July 2024).
  60. Arlita. Arlita Leca Technical Guide. Available online: https://www.arlita.es/sites/default/files/201707/Weber_Guia_tecnica_Arlita_Leca.pdf (accessed on 17 July 2023).
  61. Taguchi, G. Introduction to Quality Engineering: Designing Quality into Products and Processes; Asian Productivity Organization: Tokyo, Japan, 1987. [Google Scholar]
  62. Bakhshi, M.; Soheili, H.; Dalalbashi, A. Optimization of a structural lightweight fiber-reinforced concrete for best performance under impact loading. Cem. Concr. Compos. 2023, 136, 104875. [Google Scholar] [CrossRef]
  63. Moreno-Maroto, J.M.; González-corrochano, B.; Alonso-Azcárate, J.; Rodríguez, L.; Acosta, A. Manufacturing of Lightweight Aggregates with Carbon Fiber and Mineral Wastes. Cem. Concr. Compos. 2017, 83, 335–348. [Google Scholar] [CrossRef]
  64. Khan, S.A.; Hussain, F.; Amjad, H.; Khushnood, R.A. A Scientometric Review of the Synthesis and Application of Expanded Clay Aggregate in Cementitious Composites. Constr. Build. Mater. 2024, 437, 136654. [Google Scholar] [CrossRef]
  65. Islam, S.; Ara, G.; Akhtar, U.S.; Mostafa, M.G.; Haque, I.; Shuva, Z.M.; Samad, A. Development of Lightweight Structural Concrete with Artificial Aggregate Manufactured from Local Clay and Solid Waste Materials. Heliyon 2024, 10, e34887. [Google Scholar] [CrossRef] [PubMed]
  66. Geng, J.; Han, K.; Wang, Y.; Zhu, J.; Yang, Z.; Liu, J.; Zhang, H.; Sun, X.; Liang, B.; Zheng, Y. Properties of Artificial Lightweight Aggregates Prepared from Coal and Biomass Co-Fired Fly Ashes and Sewage Sludge Fly Ash. Ceram. Int. 2024, 50, 28609–28618. [Google Scholar] [CrossRef]
  67. Renukuntla, A.; Murthi, P. Bibliometric analysis on Characterization of Sustainable lightweight Self Compacting Concrete with Recycled Aggregate. E3S Web Conf. 2024, 559, 04001. [Google Scholar] [CrossRef]
  68. Stempkowska, A.; Tomasz, G. Improved Artificial Aggregates for Use in Green Roof Design. Sustainability 2024, 16, 5512. [Google Scholar] [CrossRef]
  69. Oliveira, Y.L.; Silva, J.G.; Nunes, R.S. Study of the Reuse of Ceramic Tile Waste (Chamotte) in the Formulation of Mass for Ceramic Blocks. Ind. Ceram. 2016, 21, 45–50. [Google Scholar]
  70. Tajra, F.; Mohamed, A.E.; Stephan, D. The Production and Properties of Cold-Bonded Aggregate and Its Applications in Concrete: A Review. Constr. Build. Mater. 2019, 225, 29–43. [Google Scholar] [CrossRef]
  71. Moreno-Maroto, J.M.; González-corrochano, B.; Alonso-Azcárate, J.; Martinez-García, C. Sintering of sepiolite-rich by-products for the manufacture of lightweight aggregates: Technological properties, thermal behavior and mineralogical changes. Constr. Build. Mater. 2021, 71, e241. [Google Scholar] [CrossRef]
  72. Chinnu, S.N.; Minnu, S.N.; Bahurudeen, A.; Senthilkumar, R. Recycling of Industrial and Agricultural Wastes as Alternative Coarse Aggregates: A Step towards Cleaner Production of Concrete. Constr. Build. Mater. 2021, 287, 123056. [Google Scholar] [CrossRef]
  73. Lo, T.Y.; Cui, H.; Memon, S.A.; Noguchi, T. Manufacturing of Sintered Lightweight Aggregate Using High-Carbon Fly Ash and Its Effect on the Mechanical Properties and Microstructure of Concrete. J. Clean. Prod. 2016, 112, 753–762. [Google Scholar] [CrossRef]
  74. Li, X.; He, C.; Lv, Y.; Jian, S.; Liu, G.; Jiang, W.; Jiang, D. Utilization of Municipal Sewage Sludge and Waste Glass Powder in Production of Lightweight Aggregates. Constr. Build. Mater. 2020, 256, 119413. [Google Scholar] [CrossRef]
  75. Wei, Y.-L.; Cheng, S.H.; Chen, W.J.; Lu, Y.H.; Chen, K.; Wu, P.C. Influence of various sodium salt species on formation mechanism of lightweight aggregates made from coal fly ash-based material. Constr. Build. Mater. 2020, 239, 117890. [Google Scholar] [CrossRef]
  76. Mohammed, M.S.; Elkady, H.; Abdel-Gawwad, H.A. Utilization of Construction and Demolition Waste and Synthetic Aggregates. J. Build. Eng. 2021, 43, 103207. [Google Scholar] [CrossRef]
  77. González-Corrochano, B.; Alonso-Azcárate, J.; Rodas, M.; Luque, F.J.; Barranechea, J.F. Microstructure and mineralogy of lightweight aggregates produced from washing aggregate sludge, fly ash and used motor oil. Cem. Concr. Compos. 2010, 32, 694–707. [Google Scholar] [CrossRef]
  78. Kwek, S.Y.; Awang, H.; Cheah, C.B.; Mohamad, H. Development of Sintered Aggregate Derived from POFA and Silt for Lightweight Concrete. J. Build. Eng. 2022, 49, 104039. [Google Scholar] [CrossRef]
  79. Duan, Z.; Yang, W.; Zou, S.; Liu, H.; Zhao, W.; Chen, W. A Critical Review on Cold-Bonded Artificial Aggregate Developed from Solid Wastes: From Granulation Analysis to Performance Evaluation. J. Build. Eng. 2025, 99, 111588. [Google Scholar] [CrossRef]
  80. Li, Q.; Wang, B.; Yang, L.; Liu, C. Preparation and Characteristics of Cold-Bonded Lightweight Aggregates by Recycling Mine Tailings and Industrial Waste Residues Based-Binder. J. Build. Eng. 2024, 95, 110190. [Google Scholar] [CrossRef]
  81. Rafieizonooz, M.; Kim, J.H.; Kim, J.S.; Jo, J.B.; Elnaz, K. Microstructure, XRD, and Strength Performance of Ultra-High-Performance Lightweight Concrete Containing Artificial Lightweight Fine Aggregate and Silica Fume. J. Build. Eng. 2024, 94, 109967. [Google Scholar] [CrossRef]
  82. EN 13055-1:2002; Lightweight Aggregates-Part 1: Lightweight Aggregates for Concrete, Mortar and Grout. British Standard Institution: London, UK, 2002.
  83. Singh, N.; Raza, J.; Colangelo, F.; Farina, I. Advancements in Lightweight Artificial Aggregates: Typologies, Compositions, Applications, and Prospects for the Future. Sustainability 2024, 16, 9329. [Google Scholar] [CrossRef]
  84. Gosk, E.; Kalinowska-Wichrowska, K.; Kosior-Kazberuk, M.; YILDIZ, M.J.; Derpeński, Ł.; Zamojski, P.; Lipowicz, P. The Basic Properties of Lightweight Artificial Aggregates Made with Recycled Concrete Fines. Sustainability 2024, 16, 9134. [Google Scholar] [CrossRef]
  85. Sousa, J.T.F.; Anjos, M.A.S.; Silva Neto, J.A.S.; Farias, E.C.; Branco, F.G.; Pederneiras, C.M. Self-Compacting Concrete with Artificial Lightweight Aggregates from Sugarcane Ash and Calcined Scheelite Mining Waste. Appl. Sci. 2025, 15, 452. [Google Scholar] [CrossRef]
Figure 1. Raw materials before and after processing.
Figure 1. Raw materials before and after processing.
Sustainability 17 02017 g001
Figure 2. Granulometric curve of raw materials.
Figure 2. Granulometric curve of raw materials.
Sustainability 17 02017 g002
Figure 3. XRD of raw materials.
Figure 3. XRD of raw materials.
Sustainability 17 02017 g003
Figure 4. Simultaneous thermal analysis (TG/DTA): (a) KC, (b) CHT, and (c) EFA.
Figure 4. Simultaneous thermal analysis (TG/DTA): (a) KC, (b) CHT, and (c) EFA.
Sustainability 17 02017 g004
Figure 5. Scanning electron micrographs of the raw materials: (a) KC, (b) CHT, and (c) EFA.
Figure 5. Scanning electron micrographs of the raw materials: (a) KC, (b) CHT, and (c) EFA.
Sustainability 17 02017 g005
Figure 6. Chemical composition of CHT mixtures in the Riley (1951) ternary diagram.
Figure 6. Chemical composition of CHT mixtures in the Riley (1951) ternary diagram.
Sustainability 17 02017 g006
Figure 7. Values of the SiO2/ƩOF ratio: (a) mixtures prepared with CHT, (b) mixtures prepared with EFA.
Figure 7. Values of the SiO2/ƩOF ratio: (a) mixtures prepared with CHT, (b) mixtures prepared with EFA.
Sustainability 17 02017 g007
Figure 8. Expansion and mass loss index of LWAs with (a) CHT and (b) EFA.
Figure 8. Expansion and mass loss index of LWAs with (a) CHT and (b) EFA.
Sustainability 17 02017 g008
Figure 9. Water absorption and specific gravity of LWAs with (a) CHT and (b) EFA.
Figure 9. Water absorption and specific gravity of LWAs with (a) CHT and (b) EFA.
Sustainability 17 02017 g009
Figure 10. Expansion index and unit mass of LWAs with (a) CHT and (b) EFA.
Figure 10. Expansion index and unit mass of LWAs with (a) CHT and (b) EFA.
Sustainability 17 02017 g010
Figure 11. Crushing strength and specific gravity of LWAs with (a) CHT and (b) EFA.
Figure 11. Crushing strength and specific gravity of LWAs with (a) CHT and (b) EFA.
Sustainability 17 02017 g011
Figure 12. Deformation modulus and specific gravity of LWAs with (a) CHT and (b) EFA.
Figure 12. Deformation modulus and specific gravity of LWAs with (a) CHT and (b) EFA.
Sustainability 17 02017 g012
Figure 13. Mixtures of CHT LWAs.
Figure 13. Mixtures of CHT LWAs.
Sustainability 17 02017 g013
Figure 14. Mixtures of EFA LWAs.
Figure 14. Mixtures of EFA LWAs.
Sustainability 17 02017 g014
Figure 15. Scanning electron micrographs of CHT LWAs: (a) 20% CHT—1075 °C; (b) 20% CHT—1180 °C; (c) 80% CHT—1145 °C; (d) 80% CHT—1075 °C.
Figure 15. Scanning electron micrographs of CHT LWAs: (a) 20% CHT—1075 °C; (b) 20% CHT—1180 °C; (c) 80% CHT—1145 °C; (d) 80% CHT—1075 °C.
Sustainability 17 02017 g015
Figure 16. Scanning electron micrograph of EFA LWAs: (a) 20% EFA—1075 °C; (b) 20% EFA—1180 °C; (c) 80% EFA—1180 °C; (d) 80% EFA—1075 °C.
Figure 16. Scanning electron micrograph of EFA LWAs: (a) 20% EFA—1075 °C; (b) 20% EFA—1180 °C; (c) 80% EFA—1180 °C; (d) 80% EFA—1075 °C.
Sustainability 17 02017 g016
Figure 17. S/N responses for particle density of (a) CHT and (b) EFA. Legend: A: aggregate size (mm); B: residue content (%); C: pre-sintering (°C); D: pre-sintering time (min); E: sintering (°C); F: sintering time (°C); G: water content (%).
Figure 17. S/N responses for particle density of (a) CHT and (b) EFA. Legend: A: aggregate size (mm); B: residue content (%); C: pre-sintering (°C); D: pre-sintering time (min); E: sintering (°C); F: sintering time (°C); G: water content (%).
Sustainability 17 02017 g017
Figure 18. S/N responses for water uptake of (a) CHT and (b) EFA. Legend: A: aggregate size (mm); B: residue content (%); C: pre-sintering (°C); D: pre-sintering time (min); E: sintering (°C); F: sintering time (°C); G: water content (%).
Figure 18. S/N responses for water uptake of (a) CHT and (b) EFA. Legend: A: aggregate size (mm); B: residue content (%); C: pre-sintering (°C); D: pre-sintering time (min); E: sintering (°C); F: sintering time (°C); G: water content (%).
Sustainability 17 02017 g018
Figure 19. S/N responses for the crushing strength of (a) CHT and (b) EFA. Legend: A: aggregate size (mm); B: residue content (%); C: pre-sintering (°C); D: pre-sintering time (min); E: sintering (°C); F: sintering time (°C); G: water content (%).
Figure 19. S/N responses for the crushing strength of (a) CHT and (b) EFA. Legend: A: aggregate size (mm); B: residue content (%); C: pre-sintering (°C); D: pre-sintering time (min); E: sintering (°C); F: sintering time (°C); G: water content (%).
Sustainability 17 02017 g019
Figure 20. Contour plot of the specific mass of (a) CHT and (b) EFA.
Figure 20. Contour plot of the specific mass of (a) CHT and (b) EFA.
Sustainability 17 02017 g020
Figure 21. Contour plot of water absorption of (a) CHT and (b) EFA.
Figure 21. Contour plot of water absorption of (a) CHT and (b) EFA.
Sustainability 17 02017 g021
Figure 22. Contour plot of crushing strength of (a) CHT and (b) EFA.
Figure 22. Contour plot of crushing strength of (a) CHT and (b) EFA.
Sustainability 17 02017 g022
Table 1. Chemical composition and loss on ignition of materials.
Table 1. Chemical composition and loss on ignition of materials.
MaterialSiO2 (%)Al2O3 (%)Fe2O3 (%)CaO (%)MgO (%)Na2O (%)K2O (%)SO3
(%)
TiO2 (%)P2O5
(%)
LOI * (%)
KC52.8927.498.072.442.520.743.670.711.050.4212.13
CHT68.1523.874.450.660.650.001.450.000.770.002.65
EFA3.961.050.3364.0210.300.0014.732.120.003.4929.94
* LOI = Loss on ignition.
Table 2. Experimental program for each group studied.
Table 2. Experimental program for each group studied.
TAGUCHI METHOD–MATRIX L32 (21 × 46)
N°.Aggregate Size (mm)Residue Content (%)Pre-Heating (°C)Pre-Heating Time (min)Sintering (°C)Sintering Time (min)Water Content (%)
16.25207501010751032
26.25208001511101533
36.25208502011452034
46.25209002511802535
56.25407501011101534
66.25408001510751035
76.25408502011802532
86.25409002511452033
96.25607501511452532
106.25608001011802033
116.25608502510751534
126.25609002011101035
136.25807501511802034
146.25808001011452535
156.25808502511101032
166.25809002010751533
1712.5207502510752533
1812.5208002011102032
1912.5208501511451535
2012.5209001011801034
2112.5407502511102035
2212.5408002011452534
2312.5408501511801033
2412.5409001011451532
2512.5607502011451033
2612.5608002511801532
2712.5608501010752035
2812.5609001511102534
2912.5807502011801535
3012.5808002511451034
3112.5808501011102533
3212.5809001510752032
Table 3. Classification parameters of lightweight aggregates.
Table 3. Classification parameters of lightweight aggregates.
Particle Density (g/cm3)Water Absorption (%)Crush Strength (MPa)Application
<2.00 0–20>5.00High-strength concrete
0–20>2.30Structural lightweight concrete
0–34>1.80Lightweight mortars
10–38>1.80Geotechnical applications
10–38>1.00Gardening and landscaping;
thermal and acoustic insulation
Table 4. Classification of LWAs of the CHT and EFA group.
Table 4. Classification of LWAs of the CHT and EFA group.
Applications
Mixture N°.CHT GroupEFA Group
1*****
2*****
3**********
4*****
5****
6***
7*******
8*****
9*******
10**********
11*****
12*******
13**********
14*****
15*****
16*****
17****
18*******
19*****
20**********
21**
22**
23*****
24*
25*****
26*******
27******
28*****
29********
30******
31******
32******
Legend: (*) Does not meet pre-established criteria, (∆) high-strength concrete, (□) structural lightweight concrete, (◊) non-structural lightweight concrete, lightweight mortars, (○) geotechnical applications, (•) gardening and landscaping, thermal and acoustic insulation.
Table 5. S/N for CHT particle density.
Table 5. S/N for CHT particle density.
Experimental Control FactorMean S/N Ratio (η, Unit: dB)Δ
(Max. η–Min. η)
Rank
Level 1Level 2Level 3Level 4
Aggregate size (mm)2.86163.3242--0.46257
Residue content (%)−6.31315.98655.89156.806713.11992
Pre-sintering (°C)5.70795.93176.1595−5.427611.58703
Pre-sintering time (min)0.29515.91355.88020.28285.63086
Sintering (°C)−4.9779−5.2725−5.706328.328334.03471
Sintering time (°C)0.26445.85076.00080.25575.74515
Water content (%)6.18675.93020.10590.14886.08084
Table 6. S/N for EFA particle density.
Table 6. S/N for EFA particle density.
Experimental Control FactorMean S/N Ratio (η, Unit: dB)Δ
(Max. η–Min. η)
Rank
Level 1Level 2Level 3Level 4
Aggregate size (mm)−3.1044−2.9969--0.10757
Residue content (%)−5.0894−3.6554−2.5532−0.90464.18481
Pre-sintering (°C)−2.6299−3.3058−3.2952−2.97170.67594
Pre-sintering time (min)−3.3315−2.9621−2.8680−3.04100.46356
Sintering (°C)−2.0151−2.1141−3.3909−4.68252.66742
Sintering time (°C)−2.8473−3.1255−3.4295−2.80030.62925
Water content (%)−3.2230−3.3743−2.9322−2.67310.70133
Table 7. ANOVA analysis for CHT particle density.
Table 7. ANOVA analysis for CHT particle density.
Experimental Control FactorGLSQ SeqContributionSQ (Adj.)QM (Adj.)F Valuep-Value
Aggregate size (mm)10.08100.45%0.08100.081000.700.420
Residue content (%)33.306518.42%3.30651.102159.470.002
Pre-sintering (°C)31.37827.68%1.37820.459393.950.036
Pre-sintering time (min)30.38102.12%0.38100.127001.090.390
Sintering (°C)310.330257.56%10.33023.4433929.600.000
Sintering time (°C)30.42342.36%0.42340.141141.210.347
Water content (%)30.65123.63%0.65120.217061.870.189
Error121.39617.78%1.39610.11634--
Total3117.9474100.00%----
Table 8. ANOVA analysis for EFA particle density.
Table 8. ANOVA analysis for EFA particle density.
Experimental Control FactorGLSQ SeqContributionSQ (Adj.)QM (Adj.)F Valuep-Value
Aggregate size (mm)10.005250.14%0.005250.0052530.280.605
Residue content (%)32.0534354.87%2.053430.68447836.710.000
Pre-sintering (°C)30.116583.12%0.116580.0388612.080.156
Pre-sintering time (min)30.035010.94%0.035010.0116700.630.612
Sintering (°C)31.1703631.27%1.170360.39012020.920.000
Sintering time (°C)30.068411.83%0.068410.0228031.220.344
Water content (%)30.069461.86%0.069460.0231531.240.338
Error120.223765.98%0.223760.018647--
Total313.74227100.00%----
Table 9. S/N for water absorption of CHT.
Table 9. S/N for water absorption of CHT.
Experimental Control FactorMean S/N Ratio (η, Unit: dB)Δ
(Max. η–Min. η)
Rank
Level 1Level 2Level 3Level 4
Aggregate size (mm)−6.307−8.614--2.3077
Residue content (%)−13.064−3.564−5.122−8.0919.5003
Pre-sintering (°C)−3.533−4.661−4.840−16.80713.2742
Pre-sintering time (min)−12.009−4.180−3.567−10.0858.4425
Sintering (°C)−21.744−19.922−16.42828.25349.9971
Sintering time (°C)−11.760−3.778−3.232−11.0728.5284
Water content (%)−5.247−3.287−10.811−10.4967.5246
Table 10. S/N for EFA water absorption.
Table 10. S/N for EFA water absorption.
Experimental Control FactorMean S/N Ratio (η, Unit: dB)Δ
(Max. η–Min. η)
Rank
Level 1Level 2Level 3Level 4
Aggregate size (mm)−25.58−26.19--0.617
Residue content (%)−17.85−24.42−27.74−33.5415.691
Pre-sintering (°C)−29.57−26.54−22.59−24.846.983
Pre-sintering time (min)−24.69−26.42−25.90−26.551.866
Sintering (°C)−31.10−30.55−24.62−17.2813.822
Sintering time (°C)−25.32−27.06−24.41−26.762.665
Water content (%)−26.48−24.81−24.75−27.522.774
Table 11. ANOVA analysis for CHT water absorption.
Table 11. ANOVA analysis for CHT water absorption.
Experimental Control FactorGLSQ SeqContributionSQ (Adj.)QM (Adj.)F Valuep-Value
Aggregate size (mm)130.032.65%30.0330.0316.130.029
Residue content (%)3226.5920.02%226.5975.53015.410.000
Pre-sintering (°C)356.144.96%56.1418.7123.820.039
Pre-sintering time (min)327.792.46%27.799.2641.890.185
Sintering (°C)3690.4261.00%690.42230.14046.950.000
Sintering time (°C)325.692.27%25.698.5641.750.211
Water content (%)316.351.44%16.355.4501.110.383
Error1258.825.20%58.824.902--
Total311131.83100.00%----
Table 12. ANOVA analysis for EFA water absorption.
Table 12. ANOVA analysis for EFA water absorption.
Experimental Control FactorGLSQ SeqContributionSQ (Adj.)QM (Adj.)F Valuep-Value
Aggregate size (mm)10.050.00%0.050.050.000.962
Residue content (%)35559.8960.19%5559.891853.3096.740.000
Pre-sintering (°C)3120.651.31%120.6540.222.100.154
Pre-sintering time (min)337.110.40%37.1112.370.650.600
Sintering (°C)33088.2933.43%3088.291029.4353.740.000
Sintering time (°C)359.340.64%59.3419.781.030.413
Water content (%)3142.561.54%142.5647.522.480.111
Error12229.882.49%229.8819.16--
Total319237.77100.00%----
Table 13. S/N for crushing strength of CHT.
Table 13. S/N for crushing strength of CHT.
Experimental Control FactorMean S/N Ratio (η, Unit: dB)Δ
(Max. η–Min. η)
Rank
Level 1Level 2Level 3Level 4
Aggregate size (mm)13.9575.014--8.9436
Residue content (%)24.0216.2105.5452.16721.8542
Pre-sintering (°C)6.5145.6074.38421.43817.0543
Pre-sintering time (min)12.3605.3046.47313.8068.5027
Sintering (°C)18.88620.47621.971−23.39245.3631
Sintering time (°C)13.8977.1024.33712.6079.5604
Water content (%)4.7595.66313.34714.1739.4145
Table 14. S/N for EFA crush strength.
Table 14. S/N for EFA crush strength.
Experimental Control FactorMean S/N Ratio (η, Unit: dB)Δ
(Max. η–Min. η)
Rank
Level 1Level 2Level 3Level 4
Aggregate size (mm)14.48174.7374--9.74433
Residue content (%)18.952711.94236.96150.581818.37091
Pre-sintering (°C)10.77549.91039.02228.73042.04516
Pre-sintering time (min)9.98539.99728.71189.74401.28537
Sintering (°C)3.20505.183912.993517.055813.85082
Sintering time (°C)8.778010.398111.22618.03603.19015
Water content (%)10.531511.42148.55277.93273.48874
Table 15. ANOVA analysis for CHT resistance.
Table 15. ANOVA analysis for CHT resistance.
Experimental Control FactorGLSQ SeqContributionSQ (Adj.)QM (Adj.)F Valuep-Value
Aggregate size (mm)11340.2038.50%1340.201340.2027.320.000
Residue content (%)3745.0221.40%745.02248.345.060.017
Pre-sintering (°C)3239.146.87%239.1479.711.620.236
Pre-sintering time (min)357.611.66%57.6119.200.390.761
Sintering (°C)3392.2711.27%392.27130.762.670.095
Sintering time (°C)318,190.52%18,196.060.120.944
Water content (%)399.792.87%99.7933.260.680.582
Error12588.7116.91%588.7149.06--
Total313480.92100.00%----
Table 16. ANOVA analysis for EFA resistance.
Table 16. ANOVA analysis for EFA resistance.
Experimental Control FactorGLSQ SeqContributionSQ (Adj.)QM (Adj.)F Valuep-Value
Aggregate size (mm)1222.0316.93%222.025222.02513.590.003
Residue content (%)3414.3131.59%414.313138.1048.450.003
Pre-sintering (°C)332.852.50%32.84710.9490.670.587
Pre-sintering time (min)34.800.37%4.8021.6010.100.960
Sintering (°C)3307.4423.44%307.440102.4806.270.008
Sintering time (°C)3105.558.05%105.55035.1832.150.147
Water content (%)328.502.17%28.4969.4990.580.638
Error12196.1014.95%196.09716.341--
Total311311.57100.00%----
Table 17. Prediction of optimal values of LWAs.
Table 17. Prediction of optimal values of LWAs.
GroupPropertyMixturePredictive ValueObserved ValueError
CHTSpecific mass (g/cm3)A2B4C2D4E3F1G41.83 g/cm31.76 g/cm3−0.07 g/cm3
Water absorption (%)14.26%15.03%0.77%
Strength (MPa)7.14 MPa4.77 MPa−2.37 MPa
EFASpecific mass (g/cm3)A2B3C2D4E4F2G41.62 g/cm31.78 g/cm30.16 g/cm3
Water absorption (%)17.05%12.82%−4.23%
Strength (MPa)3.08 MPa4.97 MPa1.89 MPa
Disclaimer/Publisher’s Note: The statements, opinions and data contained in all publications are solely those of the individual author(s) and contributor(s) and not of MDPI and/or the editor(s). MDPI and/or the editor(s) disclaim responsibility for any injury to people or property resulting from any ideas, methods, instructions or products referred to in the content.

Share and Cite

MDPI and ACS Style

da Silva Neto, J.A.; dos Anjos, M.A.S.; Dutra, R.P.S.; Mendonça de Souza, M.; Pederneiras, C.M. Development of Sustainable Artificial Lightweight Aggregates with Binary Mixtures of Waste Rich in Aluminosilicate and Carbonate in Kaolinitic Clay. Sustainability 2025, 17, 2017. https://doi.org/10.3390/su17052017

AMA Style

da Silva Neto JA, dos Anjos MAS, Dutra RPS, Mendonça de Souza M, Pederneiras CM. Development of Sustainable Artificial Lightweight Aggregates with Binary Mixtures of Waste Rich in Aluminosilicate and Carbonate in Kaolinitic Clay. Sustainability. 2025; 17(5):2017. https://doi.org/10.3390/su17052017

Chicago/Turabian Style

da Silva Neto, José Anselmo, Marcos Alyssandro Soares dos Anjos, Ricardo Peixoto Suassuna Dutra, Maelson Mendonça de Souza, and Cinthia Maia Pederneiras. 2025. "Development of Sustainable Artificial Lightweight Aggregates with Binary Mixtures of Waste Rich in Aluminosilicate and Carbonate in Kaolinitic Clay" Sustainability 17, no. 5: 2017. https://doi.org/10.3390/su17052017

APA Style

da Silva Neto, J. A., dos Anjos, M. A. S., Dutra, R. P. S., Mendonça de Souza, M., & Pederneiras, C. M. (2025). Development of Sustainable Artificial Lightweight Aggregates with Binary Mixtures of Waste Rich in Aluminosilicate and Carbonate in Kaolinitic Clay. Sustainability, 17(5), 2017. https://doi.org/10.3390/su17052017

Note that from the first issue of 2016, this journal uses article numbers instead of page numbers. See further details here.

Article Metrics

Back to TopTop