Tracing Anthropogenic and Environmental Impacts on River Water Quality: Sustainable Perspective on Contrasting Environments
Abstract
1. Introduction
2. Study Areas
2.1. The River Liffey Catchment
2.2. The Andarax River Catchment
3. Methodology
3.1. Sampling and Analytical Procedures
3.2. Data Analysis
3.3. Water Quality Index (WQI)
3.4. Multiple Linear Regression (MLR) Description
4. Results and Discussion
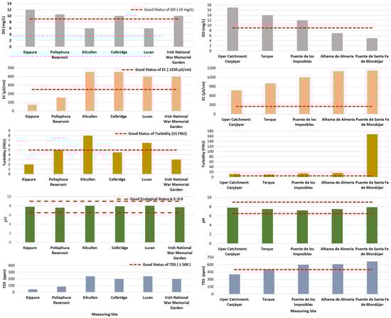
4.1. Water Quality Trends
4.2. MLR Modelling
- (i)
- Potential environmental changes or a shifted local hydroclimate where the precipitation at the upper catchment area is almost three times higher than the downstream areas;
- (ii)
- Increased anthropogenic impact in downstream areas.;
- (iii)
- Sampling differences, exact location of measurements conditions, or/and seasonal effects.
5. Conclusions
Funding
Data Availability Statement
Acknowledgments
Conflicts of Interest
References
- Li, S.-L.; Zhang, H.; Yi, Y.; Zhang, Y.; Qi, Y.; Mostofa, K.M.G.; Guo, L.; He, D.; Fu, P.; Liu, C.-Q. Potential impacts of climate and anthropogenic-induced changes on DOM dynamics among the major Chinese rivers. Geogr. Sustain. 2023, 4, 329–339. [Google Scholar] [CrossRef]
- Yavuz, V.S.; Kartal, V.; Sambito, M. Comparative Analysis of Water Quality in Major Rivers of Türkiye Using Hydrochemical and Pollution Indices. Water 2024, 16, 2676. [Google Scholar] [CrossRef]
- Rahman, M.M.; Howladar, M.F.; Hossain, M.A.; Shahidul Huqe Muzemder, A.T.M.; Al Numanbakth, M.A. Impact assessment of anthropogenic activities on water environment of Tillai River and its surroundings, Barapukuria Thermal Power Plant, Dinajpur, Bangladesh. Groundw. Sustain. Dev. 2020, 10, 100310. [Google Scholar] [CrossRef]
- Smith, A.C.; Lacey, J.H. Tracing anthropogenic climate and environmental change using stable isotopes. Quat. Sci. Rev. 2024, 346, 109028. [Google Scholar] [CrossRef]
- Carpenter, S.R.; Caraco, N.F.; Correll, D.L.; Howarth, R.W.; Sharpley, A.N.; Smith, V.H. Nonpoint pollution of surface waters with phosphorus and nitrogen. Ecol. Appl. 1998, 8, 559–568. [Google Scholar] [CrossRef]
- Allan, J.D. Landscapes and riverscapes: The influence of land use on stream ecosystems. Annu. Rev. Ecol. Evol. Syst. 2004, 35, 257–284. [Google Scholar] [CrossRef]
- Bhatt, S.; Mishra, A.P.; Chandra, N.; Sahu, H.; Chaurasia, S.K.; Pande, C.B.; Agbasi, J.C.; Ali Khan, M.Y.; Abba, S.I.; Egbueri, J.C.; et al. Characterizing seasonal, environmental and human-induced factors influencing the dynamics of Rispana River’s water quality: Implications for sustainable river management. Results Eng. 2024, 22, 102007. [Google Scholar] [CrossRef]
- Mockler, E.M.; Deakin, J.; Archbold, M.; Gill, L.; Daly, D.; Bruen, M. Sources of nitrogen and phosphorus emissions to Irish rivers and coastal waters: Estimates from a nutrient load apportionment framework. Sci. Total Environ. 2017, 601–602, 326–339. [Google Scholar] [CrossRef] [PubMed]
- Bosch, A.P.; Martos, F.S.; Vidal, J.L.M.; Navarrete, F. Groundwater problems in a semiarid area (low Andarax river, Almeria, Spain). Environ. Geol. Water Sci. 1992, 20, 195–204. [Google Scholar] [CrossRef]
- Lambán, L.J.; Martos, S.; Rodríguez-Rodríguez, M.; Rubio, J.C. Application of groundwater sustainability indicators to the carbonate aquifer of the Sierra de Becerrero (Southern Spain). Environ. Earth Sci. 2011, 64, 1835–1848. [Google Scholar] [CrossRef]
- Vallejos, A.; Sola, F.; Yechieli, Y.; Pulido-Bosch, A. Influence of the paleogeographic evolution on the groundwater salinity in a coastal aquifer. Cabo de Gata aquifer, SE Spain. J. Hydrol. 2018, 557, 55–66. [Google Scholar] [CrossRef]
- Gallagher, V.; O’Connor, P. The Avoca mine site. Biol. Environ. Proc. R. Ir. Acad. 1999, 99, 43–57. [Google Scholar]
- McGarrigle, M.; Lucey, J.; Cinnéide, M.Ó.; Castle, J. Water Quality in Ireland 2007–2009; EPA: Wexford, Ireland, 2010. [Google Scholar]
- Environmental Protection Agency. Water Quality in Ireland 2016–2021; EPA: Wexford, Ireland, 2021. [Google Scholar]
- Abushandi, E. Water Quality Assessment and Forecasting Along the Liffey and Andarax Rivers by Artificial Neural Network Techniques Toward Sustainable Water Resources Management. Water 2025, 17, 453. [Google Scholar] [CrossRef]
- Wei, H.; Rao, Y.; Liu, J.; Wang, Y.; Cao, Y. Impact on urban river water quality and pollution control of water environmental management projects based on SMS-Mike21 coupled simulation. Sci. Rep. 2024, 14, 6492. [Google Scholar] [CrossRef] [PubMed]
- Hu, H.; Wang, J.; Zhou, G.; Tong, S.; Wang, W.; Hu, T. Understanding the Water Quality Changes of the Typical Plain River Network Area Using Comprehensive Assessment Methods. Sustainability 2024, 16, 8766. [Google Scholar] [CrossRef]
- World Bank Group Climate Change Overview: Ireland. Climate Change Knowledge Portal. 2021. Available online: https://climateknowledgeportal.worldbank.org/country/ireland# (accessed on 18 July 2024).
- Irish Community Archive Network The Geology of the River Liffey. 2018. Available online: https://heritage.wicklowheritage.org/places/river_liffey_heritage_project-2/the_geology_of_the_river_liffey (accessed on 18 June 2024).
- Geological Survey Ireland Bedrock geology map of Ireland. Geological Survey Ireland. 2024. Available online: https://dcenr.maps.arcgis.com/apps/webappviewer (accessed on 12 June 2024).
- Irish Agriculture and Food Development Authority (Teagasc) Irish soil information system 2024. Available online: http://gis.teagasc.ie/soils/ (accessed on 25 August 2024).
- European Environment Agency Land Cover Types for Ireland, CORINE Land Cover Database. 2024. Available online: https://land.copernicus.eu/pan-european/corine-land-cover (accessed on 18 August 2024).
- Environmental Protection Agency (EPA). Urban Wastewater Treatment in 2020; 2020. Available online: https://www.epa.ie/publications/monitoring--assessment/waste-water/Urban-Waste-Water-Treatment-in-2020-report.pdf (accessed on 28 August 2024).
- Domínguez, I. The Desertification of Almería. El País. 2015. Available online: https://english.elpais.com/elpais/2015/12/02/inenglish/1449067788_305728.html (accessed on 28 August 2024).
- Hout, R.; Maleval, V.; Mahe, G.; Rouvellac, E.; Crouzevialle, R.; Cerbelaud, F. UAV and LiDAR data in the service of bank gully erosion measurement in Rambla de Algeciras lakeshore. Water 2020, 12, 2748. [Google Scholar] [CrossRef]
- European Environment Agent. Water Resources Problems in Southern Europe—Aquifer Exploitation. 2016. Available online: https://www.eea.europa.eu/publications/92-9167-056-1/page007.html (accessed on 27 August 2024).
- Torres, J.; Valera, D.L.; Belmonte, L.J.; Herrero-Sánchez, C. Economic and social sustainability through organic agriculture: Study of the restructuring of the citrus sector in the “Bajo Andarax” District (Spain). Sustainability 2016, 8, 918. [Google Scholar] [CrossRef]
- Instituto Geográfico Nacional. MAGNA 50—Geological Map of Spain, Scale 1:50,000. 2018. Available online: https://info.igme.es/cartografiadigital/geologica/Magna50.aspx (accessed on 17 July 2024).
- Instituto Geológico y Minero de España (IGME) Soil Types Within the Andarax Catchment Area. National Geographic Institute 2018. Available online: https://info.igme.es/catalogo/resource.aspx?portal=1&catalog=3&ctt=1&lang=eng&dlang=eng&llt=dropdown&master=infoigme&shdt=false&shfo=false&resource=66 (accessed on 28 August 2024).
- European Environment Agency. Copernicus Land Monitoring Service CORINE Land Cover (CLC) 2018, Spain. 2018. Available online: https://land.copernicus.eu/en/products/corine-land-cover (accessed on 18 August 2024).
- Horton, R.K. An index number system for rating water quality. J. Water Pollut. Control Fed. 1965, 37, 300–306. [Google Scholar]
- Brown, R.M.; McClelland, N.I.; Deininger, R.A.; Tozer, R.G. A water quality index-do we dare. Water and Sewage Work. 1970, 117, 339–343. [Google Scholar]
- Giao, N.T.; Nhien, H.T.H.; Anh, P.K.; Thuptimdang, P. Combination of water quality, pollution indices, and multivariate statistical techniques for evaluating the surface water quality variation in Can Tho City, Vietnam. Environ. Monit. Assess. 2022, 194, 844. [Google Scholar] [CrossRef] [PubMed]
- Dutta, S.; Dwivedi, A.; Suresh Kumar, M. Use of water quality index and multivariate statistical techniques for the assessment of spatial variations in water quality of a small river. Environ. Monit. Assess. 2018, 190, 718. [Google Scholar] [CrossRef] [PubMed]
- Quintas-Soriano, C.; Castro, A.J.; Castro, H.; García-Llorente, M. Impacts of land use change on ecosystem services and implications for human well-being in Spanish drylands. Land Use Policy 2016, 54, 534–548. [Google Scholar] [CrossRef]
- Lyons, W.B.; Carey, A.E.; Gardner, C.B.; Welch, S.A.; Smith, D.F.; Szynkiewicz, A.; Diaz, M.A.; Croot, P.; Henry, T.; Flynn, R. The geochemistry of Irish rivers. J. Hydrol. Reg. Stud. 2021, 37, 100881. [Google Scholar] [CrossRef]
- Sánchez-Martos, F.; Jiménez-Espinosa, R.; Pulido-Bosch, A. Mapping groundwater quality variables using PCA and geostatistics: A case study of Bajo Andarax, southeastern Spain. Hydrol. Sci. J. 2001, 46, 227–242. [Google Scholar] [CrossRef]












| Plant Name | Coordinates (Lat, Long) | Elevation | Discharge (Cubic Metres/Day) | Area Served |
|---|---|---|---|---|
| Osberstown | 53.227779°, –6.698617° | 80 | 80,000 | Naas, Newbridge |
| Leixlip | 53.363816°, –6.474420° | 26 | 80,000 | Leixlip, Maynooth |
| Ringsend | 53.338791°, –6.195616° | 4 | 1.75 million | Greater Dublin Area, Liffey outlet |
| Shanganagh | 53.244598°, –6.114825° | 6 | 65,000 | Bray, Shankill, no discharge into Liffey |
| ID | Device Name | Parameter Measured | Range |
|---|---|---|---|
| A | Milwaukee MW605 MAX waterproof galvanic dissolved oxygen meter | Dissolved oxygen (O2), % saturation, temperature | 0.0 to 45.00 mg/L, % Saturation: 0.0 to 300.0%, Temp: −20.0 to 120.0 °C/−4.0 to 248.0 °F |
| B | Milwaukee MW805 MAX 4-in-1 pH/EC/TDS/Temp. | pH, electrical conductivity (EC), total dissolved solids, temperature | pH: −2.00 to 20.00, EC: 0 to 4000 µS/cm, TDS: 0 to 2000 ppm, Temp: −20.0 to 120.0 °C |
| C | Milwaukee MI415 PRO portable turbidity meter | Turbidity (FNU) | 0.00 to 50.00 FNU, 50 to 1000 FNU |
| D | Intelligent soil tester (temperature, humidity, EC, pH, NPK) | Temperature, humidity, EC, pH, nitrogen (N), phosphorus (P), potassium (K) | Temp: −20 °C to 120 °C, EC: 0–4000 µS/cm, NPK: 0–1999 mg/kg |
| E | NPK soil meter nutrient tester soil analyser | N P K | NPK: 0–1999 mg/kg |
| WQI Range | Water Quality Description |
|---|---|
| 0–25 | Excellent—suitable for drinking with very little treatment |
| 26–50 | Good—suitable for most uses with minor treatment |
| 51–75 | Fair—more extensive treatment is generally needed for most uses |
| 76–100 | Poor—heavily polluted, generally unsuitable for most uses without intensive treatment |
| Above 100 | Very poor—severely polluted, potentially hazardous |
| Parameter | Ideal Value | Permissible Value | Unit | Description |
|---|---|---|---|---|
| Dissolved oxygen (DO) | 14 | 5 | mg/L | Ideal for supporting aquatic life. Lower values indicate pollution. |
| pH | 7 | 8.5 | Measures the acidity or alkalinity of water. | |
| Electrical conductivity (EC) | 50 | 500 | µS/cm | EC indicates the concentration of dissolved ions in water. |
| Total dissolved solids (TDS) | 50 | 500 | ppm | Higher TDS levels indicate greater concentrations of salts and minerals. |
| Turbidity | 1 | 5 | NTU | Indicates water clarity; high turbidity may suggest sediment or pollutants. |
| Temperature | 15 | 25 | °C | Ideal temperatures for aquatic ecosystems. |
| Nitrogen | 0.5 | 10 | mg/L | Higher nitrogen levels can result from pollution (e.g., agricultural runoff). |
| Phosphorus | 0.02 | 0.1 | mg/L | Excess phosphorus contributes to eutrophication. |
| Potassium | 0.1 | 2 | mg/L | Essential for plant growth but high concentrations can lead to pollution. |
| Site | WQI | WQ Classification: River Liffey | Description |
| Kippure | 1.54 | Excellent | Pristine water, minimal pollution. |
| Poulaphouca Reservoir | 7.79 | Excellent | clean water, and little to no pollution. |
| Kilcullen | 28.58 | Medium | Moderate pollution, suitable for irrigation but treatment needed for drinking. |
| Celbridge | 19.95 | Medium | Moderate pollution, suitable for general uses but treatment needed for drinking. |
| Lucan | 21.82 | Medium | Moderate pollution, suitable for general uses but treatment needed for drinking. |
| Irish National War Memorial Garden | 12.45 | Good | Good quality, minor pollution, suitable for most uses. |
| Site | WQI | WQ Classification: Andarax River | Description |
| Upper Catchment: Canjáyar | 46.91 | Medium | Moderate pollution, suitable for irrigation but not ideal for drinking. |
| Terque | 53.48 | Medium to Bad | Poor water quality, limited use without treatment. |
| Puente de los Imposibles | 73.21 | Bad | Poor water quality, not suitable for drinking or recreational purposes without treatment. |
| Alhama de Almería | 76.46 | Bad | Poor water quality, limited use, likely unsuitable for drinking or recreational purposes. |
| Puente de Santa Fe de Mondúja | 387.67 | Very Bad | Heavily polluted, not suitable for any use without significant treatment. |
Disclaimer/Publisher’s Note: The statements, opinions and data contained in all publications are solely those of the individual author(s) and contributor(s) and not of MDPI and/or the editor(s). MDPI and/or the editor(s) disclaim responsibility for any injury to people or property resulting from any ideas, methods, instructions or products referred to in the content. |
© 2025 by the author. Licensee MDPI, Basel, Switzerland. This article is an open access article distributed under the terms and conditions of the Creative Commons Attribution (CC BY) license (https://creativecommons.org/licenses/by/4.0/).
Share and Cite
Abushandi, E. Tracing Anthropogenic and Environmental Impacts on River Water Quality: Sustainable Perspective on Contrasting Environments. Sustainability 2025, 17, 2008. https://doi.org/10.3390/su17052008
Abushandi E. Tracing Anthropogenic and Environmental Impacts on River Water Quality: Sustainable Perspective on Contrasting Environments. Sustainability. 2025; 17(5):2008. https://doi.org/10.3390/su17052008
Chicago/Turabian StyleAbushandi, Eyad. 2025. "Tracing Anthropogenic and Environmental Impacts on River Water Quality: Sustainable Perspective on Contrasting Environments" Sustainability 17, no. 5: 2008. https://doi.org/10.3390/su17052008
APA StyleAbushandi, E. (2025). Tracing Anthropogenic and Environmental Impacts on River Water Quality: Sustainable Perspective on Contrasting Environments. Sustainability, 17(5), 2008. https://doi.org/10.3390/su17052008

