Next Article in Journal
Analysing Sustainability and Green Energy with Artificial Intelligence: A Turkish English Social Media Perspective
Next Article in Special Issue
Road Safety Management in Brazilian Logistics Companies: An Empirical Study of Practices, Motivators, and Barriers
Previous Article in Journal
Impact of Democratic Leadership on Employee Innovative Behavior with Mediating Role of Psychological Safety and Creative Potential
 
 
Font Type:
Arial Georgia Verdana
Font Size:
Aa Aa Aa
Line Spacing:
Column Width:
Background:
Article

Identification and Correlation of Noise Hotspots in Metro Underground with Physical Track Characteristics for Sustainable Transport Planning

by
Mohamad Ali Ridho Bin Khairul Anuar
1,
Nishanth Muniasamy
2,
Junhui Huang
1 and
Sakdirat Kaewunruen
1,*
1
Department of Civil Engineering, University of Birmingham, Birmingham B15 2TT, UK
2
Track Engineering, Transport for London (TfL), London E20 1JN, UK
*
Author to whom correspondence should be addressed.
Sustainability 2025, 17(5), 1880; https://doi.org/10.3390/su17051880
Submission received: 13 January 2025 / Revised: 15 February 2025 / Accepted: 20 February 2025 / Published: 22 February 2025
(This article belongs to the Special Issue Sustainable Transport System and Mobility in Urban Traffic)

Abstract

Millions of commuters depend on the London Underground as their primary mode of transportation in the city. Despite its historical significance, the metro’s aging infrastructure contributes to persistent noise pollution. Noise pollution undermines environmental and societal value, which are key pillars of sustainability. This study focuses on the identification and analysis of track noises present on the Northern Line of the London Underground between Camden Town and South Wimbledon. Robust data collection involves onboard noise recordings during multiple train journeys using the MOTIV mobile application. The noise data are meticulously analysed using Fast Fourier Transform (FFT) to break down complex noise recordings into constituent frequencies, allowing for accurate quantification of noise levels. Noise hotspots are graphically represented to highlight areas with disproportionately high noise levels. Correlation analysis of track geometry and noise levels reveals that tighter curves and larger cant heights often coincide with increased noise levels, with a horizontal radius of 353 m and a cant of 79 mm linked to the highest impact noise recorded at 95.98 dB. The findings offer actionable insights for targeted noise mitigation and track maintenance, emphasizing the importance of optimizing track design to reduce noise pollution and support sustainable transport infrastructure.

1. Introduction

The Tube, widely recognized as the London Underground, serves as an impressive model of modern transit infrastructure. As one of the oldest and broadest underground networks in the world, it plays a crucial role in the city’s transportation, moving millions of people through its expansive network. Featuring over 270 stations and close to 402 km of track, the Underground is a key element of London’s character and stands as a testament to the city’s dedication to urban transport [1]. However, this impressive network is not without its challenges. One of the most significant issues faced by the London Underground is noise pollution. This noise not only affects the quality of life but also poses potential health risks for those who are frequently exposed to it. The excessive railway noises can reduce passengers’ ride quality both on the train and at the platforms, and affects the quality of lives of people who live along the railway corridor. This clearly decreases the environmental and societal values of the railway networks. To mitigate railway noises, railway agencies will need to spend significant funding in addition to regular budgets, which will add a cost burden to the assets’ whole life cycle. On this ground, excessive railway noises undermine economic, environmental and societal value, which are the three pillars of sustainability.
The Northern Line route, stretching from Camden Town to South Wimbledon, features diverse track geometric parameters, including some of the sharpest horizontal curves with a radius of 100 m, and about 15% of the curves having a radius of less than 300 m. The vertical profile of this route is equally challenging, marked by its steepest curve of a 227 m radius, potentially leading to a range of distinctive noise patterns. In the United Kingdom, “Control of Noise at Work Regulations 2005” dictates that for passengers, when noise levels reach an average of 85 dB (A) daily or weekly, there is a requirement to offer hearing protection and designate specific zones with this level of noise. Furthermore, when noise levels hit 80 dB (A), there is an obligation to evaluate the potential risks to passengers’ wellbeing and ensure they are informed and educated about these risks. Additionally, there is a strict noise cap of 87 dB (A), considering any noise reduction from hearing protection, which passengers should never exceed [2]. As per the Environment Protection Authority (EPA) ‘Guidelines for the assessment of noise from rail infrastructure’, noise stemming from the interaction between the vehicle and the track can arise from various mechanisms. This is especially true with continuously welded rails and on sharp curves, where noises like wheel squeal and flanging become prominent. Since the origin of wheel-rail noise is relatively close to the ground, it is often easier to address with mitigation strategies compared to engine noise. Ensuring the track and rolling stock are in good condition is crucial for minimizing this type of noise. Table 1 outlines the permissible noise criteria as per the EPA [3].
Noise pollution significantly impacts the quality of life, especially in sensitive areas such as residential neighbourhoods, hospitals, and schools. To effectively assess and manage noise, various metrics are employed such as the following:
  • LAeq,15h and LAeq,9h equivalent noise levels, addressing the average noise exposure of a sensitive land use across the day or night period, respectively.
  • LAmax levels, addressing the maximum noise levels at a sensitive land use due to individual pass-by events.
  • LAeq,1h equivalent noise levels, addressing the worst-case average noise exposure of non-residential sensitive receivers during their hours of operation.
Furthermore, human hearing sensitivity varies across frequencies, being less sensitive to low and high-frequency sounds compared to those around 2000 Hz [3,4,5]. To address the different responses of human hearing to various amplitudes, three specific weightings are used for sound pressure measurement: A, B, and C. A-weighting is suitable for sound pressure levels up to 55 dB, B-weighting is appropriate for levels between 55 dB and 85 dB, and C-weighting is used for levels exceeding 85 dB [4]. Noise in the London Underground has a range of general effects. It disrupts life in residential areas close to the network, impacting the daily routine and peace of residents [6]. The constant noise contributes to increased wear and tear of the rail and wheel systems, leading to more frequent and costly maintenance requirements. For passengers, the persistent noise can be a source of significant discomfort and annoyance, potentially affecting their overall travel experience. Moreover, the maintenance costs for wheel and rail damage due to noise- related wear escalate operational expenses. Additionally, this noise poses occupational health risks to staff and impacts passengers’ well-being while also contributing to environmental noise pollution.
The sources of rail noise in the London Underground are attributed to several key factors. The noise generated by the trains, particularly when they traverse the curved sections of the track, can be categorized into distinct types such as impact, rolling, flanging, and squeal noises. Each of these noises arises from different interactions between the wheel and the track infrastructure. Impact noise is typically caused by the wheels striking against imperfections on the track, rolling noise is due to the contact between the wheels and rails during normal motion, flanging noise occurs when the wheel flange contacts the rail, and squeal noise is often produced by the wheels as they negotiate tight curves. These various noise types contribute to the overall soundscape of the London Underground, influencing the experience of passengers and residents alike and playing a significant role in the operational aspects of urban rail systems.
Several previous studies have explored the issue of noise pollution in the London Underground, particularly focusing on the Northern Line. Notable works include Smith and Jones [7], who provided an extensive overview of noise levels in the London Underground and highlighted the general impact on public health. While their study offered valuable insights, it primarily measured noise at specific locations and during peak hours, lacking a detailed categorization of different noise types. Christopher et al. [8] focused on the correlation between noise levels and commuter discomfort. Although their research addressed the effects of noise on passengers, the author did not investigate further into the sources of noise or their specific characteristics. Singh et al. [9] examined noise levels across various lines of the London Underground, providing a broad perspective on the issue. However, their study did not specifically address the correlation between noise levels and track geometry parameters. Garbala and Gomez [10] investigated the impact of noise pollution on operational efficiency in the London Underground. While they identified key noise hotspots, they did not employ advanced analytical techniques to break down complex noise recordings into constituent frequencies. This study addresses these gaps by employing a more detailed and systematic approach to noise analysis on the Northern Line of the London Underground. Key advancements include comprehensive noise categorization, advanced analytical techniques, correlation with track geometry, and robust data collection. Unlike previous studies, this research categorizes track noises into four main types of noise which are impact noise, rolling noise, flanging noise, and squeal noise where each with distinct characteristics and frequency ranges, allowing for a more nuanced understanding of the noise environment.
The use of Fast Fourier Transform (FFT) analysis enables the breakdown of complex noise recordings into constituent frequencies, providing accurate quantification of noise levels for each category at one-minute intervals, offering high-resolution temporal analysis. This study thoroughly examines the correlation between noise levels and various track geometry factors, identifying specific geometric features, such as smaller horizontal radii and higher cant values, that coincide with increased noise levels, providing actionable insights for targeted maintenance and design improvements. Additionally, data collection is conducted using the MOTIV mobile application, ensuring precise onboard noise recordings during multiple train journeys, capturing a comprehensive dataset that reflects real-world noise conditions experienced by commuters. Bentley’s PowerRail Track software was used to extract vital alignment data from the Underground’s track drawings to perform a correlation analysis of noise level and track geometry. To align noise data with track geometry parameters, an average train speed of 33.28 km/h, based on operational data from Transport for London (TfL), was used for this study [1]. This consistent speed ensures synchronization between noise recordings and track features, although variations in train speed were outside the scope of this analysis. Parameters including horizontal radius, cant, versine, and vertical radius were compiled at fine 5 m intervals. Relating track geometry to recorded noise levels revealed crucial insights. Tighter curves and larger cant heights tended to coincide with increased impact, rolling, and squeal noise. Defects indicated by higher versine also magnified certain noises. However, the patterns were complex, with factors like train operations still playing a role. These findings contribute to a deeper understanding of noise pollution in the London Underground and highlight the importance of targeted interventions to improve the auditory environment for millions of daily commuters.

2. Materials and Methods

2.1. Data Collection

The London Underground’s Northern Line schematic map, as shown in Figure 1 along with the track drawing as shown in Figure 2a,b, encompassing 20 stations from Camden Town to South Wimbledon, is chosen for data collection. This segment is selected for its high commuter traffic, providing an opportunity to capture diverse noise variations along the line.
To accurately represent the auditory experience of commuters, noise data are meticulously recorded from inside the train. To gain a comprehensive understanding of the noise dynamics, data collection is carried out from three specific positions:
  • The leading car of the train.
  • The middle car of the train.
  • The last car of the train.
This study examines the relationship between onboard noise levels and track geometry characteristics along the Northern Line of the London Underground. Noise data were collected from ten full train journeys, evenly divided between northbound (South Wimbledon to Camden Town) and southbound (Camden Town to South Wimbledon) directions.
An iPhone 14 was used for data collection. To ensure consistency, the device was always placed directly on the train body and floor above the bogies, maintaining a fixed position throughout all recordings. This placement allowed for direct measurement of structural vibrations and airborne noise transmission without interference from seat materials or other interior coverings.
Track geometry data were extracted using Bentley PowerRail Track software, utilizing track alignment drawings provided by Transport for London (TfL). Key parameters, including horizontal radius, vertical radius, cant, and horizontal versine, were obtained to facilitate correlation between track geometry and recorded noise levels.
The recorded audio data underwent a structured preprocessing and transformation process. Raw signals were converted into the frequency domain using Fast Fourier Transform (FFT), followed by spectral analysis and peak detection to classify noise events into four primary categories: impact noise, rolling noise, flanging noise, and squeal noise. Through this processing pipeline, the initial ten journeys were transformed into a dataset comprising 3382 discrete observations, each containing both noise level measurements and track geometric attributes.
All recordings were conducted during peak operational hours, capturing noise variations under maximum passenger loading conditions. The structured methodology ensures a statistically robust dataset, providing a high-resolution foundation for analysing the influence of track geometry on noise generation in underground railway systems.

2.2. Instrumentation and Calibration

The study utilized the MOTIV™ Audio application on an iPhone 14 to collect noise data from the London Underground’s train system, specifically capturing noise generated as trains traversed curve alignments. The sampling rate was set at 48 kHz, adhering to the ISO 3381:2021 [12] and ISO 3095:2013 [13] standards to ensure high-fidelity noise capture and compliance with established railway noise measurement methodologies.
To ensure measurement accuracy and consistency, a traceable acoustic calibrator producing 94 dB SPL at 1 kHz was used before and after each recording session to detect any microphone drift. The calibrator has an uncertainty of ±0.2 dB, ensuring that deviations remained within scientifically acceptable limits.
The MOTIV™ Audio app’s Auto Level Mode further enhanced recording consistency by automatically adjusting microphone gain. While this feature helps maintain stable recording levels, an external calibration procedure was implemented to ensure absolute accuracy, as gain adjustments alone cannot replace standardized calibration.
All noise recordings were stored in lossless WAV format, preserving the full dynamic range and preventing any compression artifacts that could compromise sound integrity.

2.3. Data Transformation

To ensure the accuracy and reliability of noise recordings while minimizing unwanted ambient interference, a structured pre-processing pipeline was implemented before data transformation. The raw noise signals were first analysed in the time domain using waveform visualization to detect anomalies and sudden spikes. A high-pass filter was applied to remove low-frequency disturbances, such as mechanical vibrations and electrical hum, ensuring that only noise relevant to wheel-rail interactions was retained.
To enhance spectral resolution, a Hanning window function was applied before FFT analysis to reduce spectral leakage and improve frequency-domain clarity. FFT transformation and spectral analysis were conducted using Python (v3.12), with NumPy (v1.26.3) and SciPy (v1.11.4), ensuring efficient and precise frequency decomposition. Peak detection algorithms identified dominant frequency components associated with impact noise, rolling noise, squeal noise, and flanging noise [14]. The noise data were further refined through decibel (dB) scaling and amplitude normalization, balancing variations caused by differences in train speeds and microphone positions.
Following pre-processing, the refined audio data were transformed into the frequency domain using Fast Fourier Transform (FFT), a widely used method for converting time-domain signals into their frequency representations. This transformation enabled detailed spectral analysis of track noise characteristics, with four primary noise types identified based on their distinct frequency ranges.
Impact Noise: Impact noise is an extreme kind of rolling noise caused by a discrete deviation in the required relative wheel-rail vertical displacement excitation [15]. Impact noise is sporadic and sudden, differing from the more continuous rolling noise. It is akin to a sudden jerk in the auditory spectrum. This noise is typically caused by anomalies like rail joints, wheel flats, or other imperfections in the wheel or rail. Due to its unexpected nature, impact noise can be particularly disturbing to both passengers inside the train and residents near the tracks.
  • Rolling Noise: The most significant source of track noise is rolling noise, which is created by wheel and rail vibrations at the wheel/rail contact. This is a continuous noise that is often perceived as a hum or drone when a train is in motion. It arises from the continuous interaction between the wheel and rail, especially when there is roughness on their surfaces.
  • Flanging: The noise created on the outer rail is caused by the flange due to wheel-rail contact. This generates a wavy, modulating sound that can be observed in the frequency spectrum [16]. In the frequency range of 250 Hz to 10 kHz, flanging noise is characterized by high-frequency, broad-spectrum, or multi-tonal noise, commonly observed on sharp curves. The contact between the wheel flange and the rail generates a distinct type of squeal noise known as flange squeal. Flange squeal typically has a significantly higher fundamental frequency and is often sporadic. The primary cause of this noise is the lateral movement or creepage on the top surface of the rail, although the frictions between the flange and longitudinal slip also contribute to the overall noise emitted when a train navigates a curved track [17].
  • Squeal Noise: Curve squeal noise is generated by the contact between the wheel and rail, distinguished by its significant tonal component. It is related to the wheel’s oscillation at one of its resonances, triggered by unstable transverse stresses during curving. Squeal noise is sharp and tonal, often likened to a high-pitched screech. It is generated during curving when the wheel’s oscillation matches one of its resonant frequencies, leading to unstable transverse stresses at the wheel-rail contact. Due to its high-pitched nature, squeal noise can be particularly jarring and is often a significant concern in areas with tight rail curves.
To mathematically define the FFT transformation applied in this study, the following equation was used [18]:
x k = n = 0 N 1 x n e i 2 π k n N
where:
  • Xk is the k-th element of the transformed data;
  • xn is the n-th element of the input data;
  • N is the number of data points;
  • i is the imaginary unit.
To ensure spectral accuracy, inverse FFT reconstruction was applied to reconstruct the filtered signals, ensuring that only relevant track noise components were preserved while minimizing unwanted ambient noise. This structured pre-processing approach, integrating FFT, frequency filtering, spectral analysis, and peak detection, enhanced the dataset’s quality, allowing for a precise examination of noise hotspots along the railway corridor.
The Hanning window was selected for FFT analysis to minimize spectral leakage and improve frequency resolution. This window function provides a balance between mainlobe width and sidelobe attenuation, making it suitable for capturing both continuous and transient track noise components. The window size was determined based on the 48 kHz sampling rate, ensuring an optimal trade-off between frequency and temporal resolution. A larger window improved frequency resolution but reduced time accuracy, while a smaller window enhanced temporal precision at the cost of frequency details. The chosen parameters effectively captured key track noise types, including impact noise (<500 Hz), rolling noise (500 Hz–2 kHz), and squeal noise (>5 kHz).
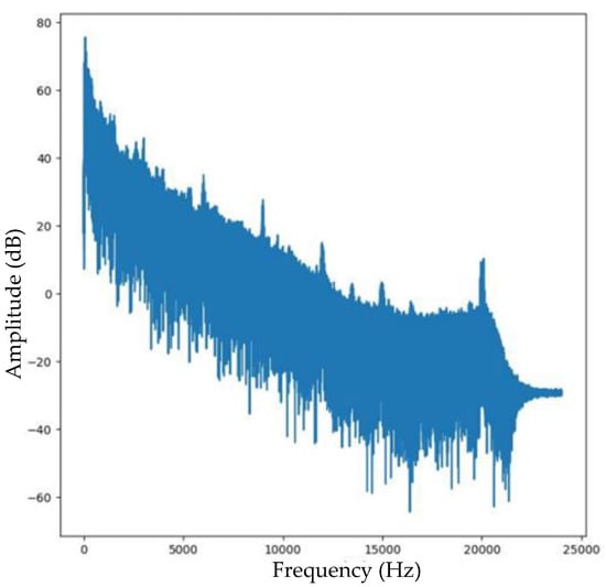
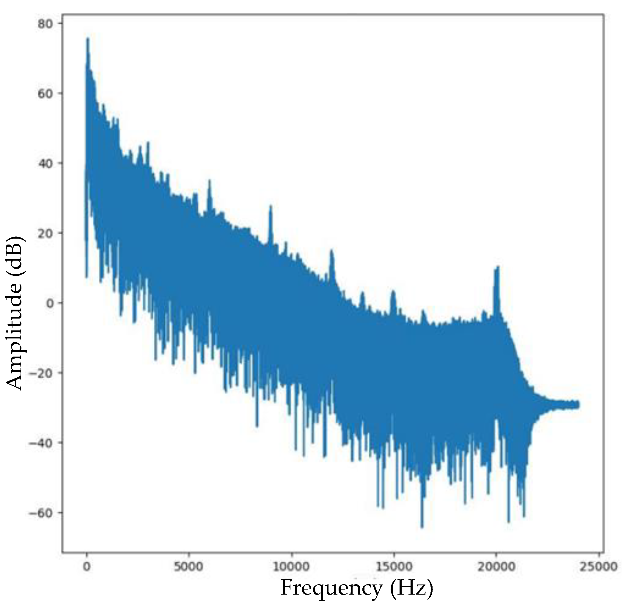
To further improve interpretability, spectrogram visualizations, as illustrated in Figure 3, provide a graphical representation of frequency intensity over time, highlighting dominant noise components and their amplitude variations. These visualizations validate the effectiveness of the FFT-based analysis in accurately distinguishing different track noise types.
The workflow for processing and analysing audio data as shown in Figure 4 begins with importing the audio files into the computer. These audio data are then visualized in the time domain, where the amplitude variations over time are plotted to provide an initial understanding of the signal’s characteristics. Following this, we apply a Fast Fourier Transform (FFT) to the audio signal, transforming it from the time domain to the frequency domain. This critical step allows us to analyse the frequency components within the audio, enabling the identification of different frequency ranges and their respective magnitudes. Finally, we visualize the results of the FFT analysis, displaying the frequency spectrum to show the magnitudes of the various frequency components. We use appropriate visualization techniques, such as FFT graphs, to interpret and present the data clearly, providing a comprehensive view of the audio signal’s frequency characteristics. This detailed workflow ensures a systematic approach to processing, analysing, and visualizing audio data, facilitating accurate and insightful analysis of the captured audio. Additionally, we stored all noise recordings in a lossless format, such as WAV, to ensure data integrity.

2.4. Digital Twin and Audio Data in Noise Hotspot

A Digital Twin is generally understood as a digital replica of physical entities and processes. While it often evokes images of sophisticated 3D models or Building Information Modelling (BIM) systems, the true essence of a Digital Twin lies in its ability to reflect real-world scenarios, providing insights and enabling the optimization of actual systems. In our study, we integrate geometric data and auditory data to accurately capture the noise environment along the railway track. The geometric alignment data, including parameters like horizontal and vertical radius, cant, and versine, were extracted from the Bentley Power Rail Track with assistance from TfL. These geometric data, exported in CSV format, provide the foundation for modelling the physical structure of the railway track.
While these geometric data give structural insight into the track’s layout, we use auditory data to mirror the dynamic noise environment. The acoustic data recorded at various track locations serve as a real-time, adaptable Digital Twin of the noise environment. Unlike traditional BIM models that emphasize visual representation, our approach uses sound data to form a detailed, evolving digital representation of the noise conditions. These acoustic data complement the geometric data, offering an enhanced understanding of how the physical environment impacts the soundscape.
By processing and analysing both the geometric and auditory data with Python, we actively engage with the data to uncover patterns and insights that can optimize real-world functionalities according to stakeholder needs. While a visually complex BIM model is not developed in this study, the integration of these data sources sets the stage for future digital modelling efforts, facilitating a more sophisticated approach in subsequent applications.

3. Noise Analysis Results

In this section, we present the results of our noise analysis conducted along the railway tracks. This analysis includes a detailed examination of the captured acoustic data, the application of Fast Fourier Transform (FFT) for frequency domain analysis, and the identification of noise characteristics. We also discuss the performance metrics and patterns observed from the data, providing insights into the noise environment and its implications for railway operations.

3.1. Noise Analysis

An analysis of noise levels throughout a 35-min transit journey reveals distinct patterns and intensities for various types of noise, including impact, rolling, flanging, and squeal. Squeal noise, known for its sharp and high-pitched quality, ranged between 53.91 dB and 81.36 dB, peaking at 81.36 dB in the 22nd min, as illustrated in Figure 5. The occurrence of squeal noise peaks and troughs underscores the influence of factors such as wheel condition, rail lubrication, and speed on the noise produced. The lowest level of squeal noise was recorded at 53.91 dB in the 17th min, indicating specific conditions under which squeal noise is minimized.
Impact noise exhibited fluctuations between approximately 79.99 dB and 95.98 dB, peaking significantly at 95.98 dB during the 29th min of the journey between Tooting Bec and Tooting Broadway, as shown in Figure 6. This peak indicates a high level of impact noise during this segment, likely due to abrupt interactions between the train and the track infrastructure. The minimum recorded impact noise level was 80.34 dB, observed in the 2nd min, highlighting the variability in noise levels encountered during different segments of the journey.
Rolling noise maintained lower levels, ranging from about 56.49 dB to 71.37 dB, with its highest point at 71.37 dB also during the 29th min as shown in Figure 6. This consistency in rolling noise levels, compared to impact noise, suggests that rolling noise is less influenced by sudden changes in the track or train dynamics and more related to the constant interaction between the train wheels and the rail surface [19].
Flanging noise, characterized by its distinctive modulating sound, demonstrated the most significant variation in levels among the noise types, ranging from 40.23 dB to 70 dB. The lowest level at 40.23 dB was noted in the 27th min, while the highest level at 70 dB occurred during the 19th min. This broad range indicates the dynamic nature of flanging noise, which occurs as the train navigates curves and turns, reflecting the varying degrees of wheel-rail interaction [20,21,22,23]. The modulation and variation in flanging noise are crucial for understanding how track geometry affects noise production.
The diversity in noise levels among these types is notable. Flanging noise exhibited the broadest range of levels, indicating significant changes in noise intensity as the train navigates different track geometries. Impact noise reached the highest peaks, particularly during segments involving more abrupt interactions between the train and the track infrastructure. Squeal noise displayed a moderate range of levels, suggesting it occurs under specific conditions but with less overall variability compared to flanging noise. Rolling noise consistently registered within the lower spectrum, implying that this type of noise is more uniform and less influenced by sudden changes in the track or train dynamics [22]. The temporal analysis of noise levels in Figure 5 and Figure 6 illustrates how noise intensity fluctuates across different segments of the train journey. These variations can be attributed to changes in operational conditions, including acceleration, deceleration, and track geometry.
Train speed is a key factor influencing track noise, as it directly affects rolling noise, impact noise, and flanging/squeal noise. While this study did not record real-time train speed variations, the London Underground operates at an average fixed speed of 33.28 km/h [1]. However, speed fluctuations still occur due to acceleration, deceleration, and station dwell times, which may contribute to observed noise variations. Train speed variations influence different types of track noise in distinct ways, affecting their intensity and frequency characteristics. These effects can be categorized as follows:
  • Rolling Noise: Rolling noise follows a logarithmic increase with speed, approximately 30 log10 V, meaning that a doubling of speed results in a 9 dB increase in rolling noise. This occurs due to greater wheel-rail contact forces and surface roughness excitation.
  • Impact Noise: Impact noise increases with train velocity, especially at rail joints, switches, and track defects, where higher speeds amplify sudden force peaks.
  • Flanging and Squeal Noise: While these noise types are primarily influenced by track curvature and wheel-rail contact pressure, higher speeds can intensify their sharpness, particularly in tight curves.
  • Squeal Noise: Typically occurs in sharp curves due to stick-slip oscillations at the wheel-rail interface. Higher speeds can prolong the duration of squeal noise, but its intensity is more strongly influenced by wheel-rail friction conditions and lateral creep forces rather than speed alone.
Although real-time speed data were not collected, the temporal noise analysis in Figure 5 and Figure 6 indirectly captures operational fluctuations that may be linked to speed changes and track conditions. Future research could integrate speed sensors to establish a direct correlation between velocity variations and noise intensity, further refining track noise models.
Analysing these varied noise levels is crucial for identifying specific time intervals or conditions where noise mitigation measures may be required. By understanding the specific characteristics and patterns of each noise type, targeted interventions can be designed to address the sources of noise. For instance, high impact noise levels might indicate the need for improved track maintenance or the installation of smoother rail joints. Elevated flanging noise levels could suggest the need for track realignment or better lubrication practices. Similarly, addressing squeal noise might involve rail dampers or lubricators to reduce friction at critical points.
Effective noise mitigation can significantly minimize the adverse impacts on passengers who may experience discomfort or annoyance from high noise levels. It also benefits nearby residents by reducing noise pollution in urban areas, contributing to a quieter and more pleasant living environment.
In summary, understanding these patterns enables the development of effective noise control strategies, ensuring a better quality of life for passengers and residents while maintaining the integrity and efficiency of the railway infrastructure.

3.2. Track Geometric Correlation

Table 2 presents a comprehensive overview of track alignment geometric characteristics compared to noise data at specific chainages. The chainage, measured in meters, serves as a reference point along the track. This table outlines the geometric properties at each chainage, including cant, horizontal versine, horizontal radius, and vertical radius, extracted from the Bentley Power Rail Track.
Based on Table 3, noise levels are strongly influenced by the horizontal radius of the track. Tight curves, such as those with radii of 179 m, 330 m, and 349 m, increase wheel-rail contact, leading to higher squeal noise levels. In contrast, sections with larger horizontal radii (e.g., 2002 m and 856 m) exhibit more stable wheel-rail contact, reducing dynamic forces and overall noise levels. Analysis of Variance (ANOVA), as shown in Table 4, confirms that horizontal radius in m significantly affects Impact Noise (p = 0.017), reinforcing the observation that tighter curves amplify wheel-rail interaction forces. However, regression analysis shows that the R2 value for horizontal radius in m remains low (R2 = 0.0017), suggesting that while curvature contributes to noise generation, additional external factors such as train speed and wheel condition also play a role.
Impact noise is particularly notable at a 353 m radius with a 79 mm cant, reaching 95.98 dB, as observed in Table 3. This suggests that track irregularities in this segment may amplify impact noise. Statistical analysis confirms that vertical radius in m significantly influences Impact Noise (p < 0.001), reinforcing the idea that sudden elevation changes increase dynamic forces at the wheel-rail interface.
Cant in mm emerges as the most significant factor influencing noise levels. As shown in Table 5, higher cant values correspond to increased flanging and squeal noises. Incorrect cant exacerbates squeal noise, particularly when excessive cant causes the inner wheel to lift, leading to unstable wheel-rail contact. ANOVA results support this observation, confirming that cant in mm significantly affects flanging noise (p < 0.001), squeal noise (p < 0.001), and impact noise (p < 0.001). Regression analysis further validates this, with cant in mm yielding the highest R2 values, indicating it explains the most variation in noise levels. The regression slope suggests a direct proportionality between cant and noise levels, emphasizing that improper cant alignment intensifies track noise.
While horizontal versine contributes to track defects, the statistical analysis did not indicate a strong relationship with noise levels (p > 0.05 for all noise types). This may suggest that other factors, such as train speed and track roughness, could play a more dominant role in noise generation, but further investigation is required to confirm this. Regarding vertical radius, straight track sections with no vertical curvature are linked to squeal noise levels of 81.36 dB, as shown in Figure 7a. ANOVA confirms that vertical radius in m significantly affects impact noise (p < 0.001), highlighting that vertical transitions influence noise production due to dynamic wheel loading variations.
Table 5 summarizes the noise levels across different track segments, emphasizing key geometric characteristics of the Northern Line corridor. The sharpest curve in the dataset, with a 100 m radius, exhibits an impact noise level of 92.17 dB, likely resulting from increased dynamic forces at the wheel-rail interface. Cant optimization emerges as a crucial noise control measure, as confirmed by its high statistical significance (p < 0.001) and relatively higher R2 values. Noise mitigation strategies should focus on rail grinding, cant adjustments, and continuous track monitoring to minimize the impact of geometric constraints on track noise.
ANOVA and regression analysis highlight cant in mm as the variable with the strongest statistical association track noise levels, while horizontal radius in m exhibits a weaker correlation. However, the relatively low R2 values across all parameters indicate that track geometry alone does not fully explain noise variations. External factors such as train speed, wheel condition, and track maintenance must be incorporated into a more comprehensive noise prediction model. These findings reinforce the importance of track realignment, cant optimization, and wheel-rail interface management for effective noise reduction. The results suggest that while track geometry plays a role, future studies should integrate additional variables, including train dynamics and environmental conditions, to develop a more accurate noise assessment framework.

4. Discussion

Table 6 provides a detailed view of the relationship between track radii (horizontal and vertical) and various types of noise (impact, rolling, flanging, and squeal) across multiple stations on the Northern Line. The statistical analysis confirms that track geometry plays a significant role in shaping noise levels, though its influence varies across different noise types. ANOVA results indicate that cant in mm exhibits the strongest statistical association with noise, particularly with flanging noise (p < 0.001) and squeal noise (p < 0.001), suggesting that track inclination affects wheel-rail interactions. The highest R2 values associated with cant in mm further indicate that variations in cant contribute to noise level fluctuations. However, the relatively low R2 values across most parameters suggest that additional factors beyond track geometry, such as train speed and wheel condition, may also influence noise generation.
The horizontal radius varies significantly across the Northern Line, ranging from 238 m (Leicester Square to Charing Cross) to 20,803 m (Oval to Stockwell). Descriptive analysis suggests that stations with smaller horizontal radii tend to exhibit higher noise levels, particularly impact and rolling noise. The highest impact noise level of 92.57 dB is recorded between Tooting Bec and Tooting Broadway, where the horizontal radius is 1202 m, indicating a potential relationship between curvature and impact noise. However, statistical validation shows that while horizontal radius in m significantly affects impact noise (p = 0.017), its R2 value remains low (R2 = 0.0017). This suggests that while curvature contributes to impact noise, other variables, such as train speed and braking dynamics, may also be influencing impact noise intensity.
Rolling noise levels generally follow a pattern similar to impact noise, reinforcing the idea that track curvature influences wheel-rail interactions. The highest rolling noise level of 70.31 dB occurs between Tooting Bec and Tooting Broadway, a segment with a small horizontal radius (1202 m). ANOVA confirms that cant in mm significantly influences rolling noise (p < 0.001), aligning with the observation that changes in track inclination affect rolling dynamics. However, the regression results show that horizontal versine in mm does not exhibit a statistically significant correlation with any noise type (p > 0.05). While horizontal versine represents track deviations, these findings indicate that other factors, such as track roughness and train load, may also play a role in noise generation.
Flanging noise remains relatively stable across stations, with levels averaging 62.12 dB, suggesting that factors beyond track curvature, such as train speed, wheel-rail lubrication, and bogie stiffness, might have a more significant influence. However, statistical analysis reveals that flanging noise is significantly correlated with cant in mm (p < 0.001). The relatively higher R2 values for these parameters suggest that cant misalignment and lateral track deviations contribute to flanging noise generation. The regression slope further indicates that increased cant leads to increased flanging noise, reinforcing the importance of cant optimization as a noise mitigation strategy.
The highest squeal noise level of 81.36 dB is observed between Stockwell and Clapham North, a segment with a large horizontal radius (12,460 m). This deviates from the trend observed for other noise types, suggesting that squeal noise may be influenced by factors such as braking, train speed, or track lubrication rather than solely by curvature. Statistical analysis supports this, showing that vertical radius in m exhibits a marginally insignificant correlation with squeal noise (p = 0.0640), suggesting that vertical curvature alone is unlikely to have a dominant effect on squeal noise.
The findings from Table 6 summarize the noise levels across different track segments, emphasizing key geometric characteristics of the Northern Line corridor. The sharpest curve in the dataset, with a 100 m radius, exhibits an impact noise level of 92.17 dB, highlighting the increased dynamic forces at the wheel-rail interface. Cant optimization emerges as a crucial noise control measure, as confirmed by its high statistical significance (p < 0.001) and relatively higher R2 values. These results suggest that adjusting cant to better match train operational speeds could mitigate noise-related issues. Additionally, further mitigation strategies such as rail grinding, lubrication systems, and the use of damping materials should be explored to minimize noise levels.
Overall, the results from ANOVA and regression analysis confirm that cant in mm and horizontal radius in m exhibit the strongest statistical relationships with track noise levels. However, the low R2 values across most parameters indicate that track geometry alone cannot fully explain noise variations. This suggests that additional factors such as train speed, wheel condition, track maintenance, and environmental conditions should be considered for a more comprehensive understanding of track noise behaviour. While track geometry provides critical insights into noise trends, future studies should integrate train dynamics and real-time operational data to refine track noise mitigation strategies.

Limitations

While this study provides valuable insights into track noise and its relationship with track geometry, certain limitations should be acknowledged. Environmental factors such as temperature, humidity, and air pressure, which can influence sound propagation, were not recorded during data collection and were therefore not considered in the analysis. Future research could incorporate these parameters to improve the accuracy of the analysis.
Additionally, train speed, passenger load, and track maintenance conditions were not explicitly controlled. Although the London Underground operates on a fixed schedule, reducing speed variability along the same route, minor fluctuations in train velocity could still impact noise measurements. Similarly, variations in passenger load may influence train weight and internal acoustic reflections, potentially affecting recorded noise levels. Since track maintenance schedules were outside the study’s scope, their influence on noise levels remains unquantified.
Noise measurements were conducted during peak hours to ensure consistency in train operations and passenger conditions. However, variations in off-peak noise levels were not analysed, meaning potential differences due to train occupancy, operational frequencies, and background noise remain unexplored. While temporal noise variations (Figure 5 and Figure 6) provide insights into fluctuations across different journey segments, a direct comparison between peak and off-peak noise conditions was beyond the study’s scope.
The study assumes that track geometry and wheel-rail interactions are the dominant contributors to noise generation, but other external factors may also play a role. Future research could expand upon this by incorporating multi-period noise measurements and real-time operational data, such as train speed monitoring and dynamic wheel-rail contact assessments. Despite these limitations, the study offers a data-driven foundation for identifying noise hotspots and improving track-related noise mitigation strategies in the London Underground system.

5. Conclusions

This study examined the relationship between track geometry and track noise levels on the Northern Line, identifying four primary noise types: impact noise, rolling noise, flanging noise, and squeal noise. Using Fast Fourier Transform (FFT) analysis, the study effectively decomposed complex noise recordings into their constituent frequencies, enabling precise noise characterization. Graphical representations highlighted specific noise hotspots, with impact and squeal noise exhibiting the highest amplitudes at key locations.
The statistical analysis revealed that track geometry significantly influences track noise, though its effects vary across noise types. The ANOVA results confirmed that cant in mm exhibited the strongest statistical relationship with noise, particularly in flanging and squeal noise. Higher cant values were associated with increased noise levels, reinforcing the importance of cant optimization in noise mitigation. The regression analysis further supported these findings, showing that cant variations contributed the most to noise level fluctuations. However, the relatively low R2 values across most parameters suggest that track geometry alone does not fully explain noise variations, indicating that additional factors such as train speed, track condition, and environmental influences may play a role.
Impact and rolling noise were more pronounced on track segments with smaller horizontal radii, supporting the hypothesis that tighter curves generate greater wheel-rail interaction forces. However, the statistical validation indicated that horizontal radius alone does not fully account for variations in noise intensity, suggesting that braking patterns, wheel roughness, and operational factors also contribute to noise generation. Flanging noise, although relatively consistent across stations, was strongly linked to cant misalignment and lateral track deviations, reinforcing the need for precise track maintenance.
Based on these findings, several targeted noise mitigation strategies are recommended. Rail grinding and surface smoothing should be prioritized at locations experiencing high impact and rolling noise, particularly for sharp curves and in transition zones. Lubrication regimes may help mitigate squeal and flanging noise, especially in areas with excessive cant. The use of rail dampers, acoustic rail grinding techniques, and wheel dampers should also be explored to further reduce noise emissions. Adjusting cant and optimizing track geometry through gradual transitions could serve as a long-term noise reduction strategy. Expanding this study to additional rail segments, real-time operational data, and environmental factors would provide a more comprehensive understanding of track noise patterns, leading to more effective and sustainable noise mitigation measures.

Author Contributions

Conceptualization, S.K.; methodology, S.K. and N.M.; software, N.M. and J.H.; validation, M.A.R.B.K.A., N.M. and J.H.; formal analysis, M.A.R.B.K.A., S.K., N.M. and J.H.; investigation, S.K. and N.M.; resources, S.K. and N.M.; data curation, N.M., J.H. and M.A.R.B.K.A.; writing—original draft preparation, M.A.R.B.K.A., N.M. and J.H.; writing—review and editing, M.A.R.B.K.A., S.K., N.M. and J.H.; visualization, N.M. and M.A.R.B.K.A.; supervision, S.K.; project administration, S.K. All authors have read and agreed to the published version of the manuscript.

Funding

This research received funding from the European Commission for H2020-RISE project no. 691135. The APC is kindly sponsored by MDPI’s Invited Paper Initiative.

Institutional Review Board Statement

Not applicable.

Informed Consent Statement

Not applicable.

Data Availability Statement

The data presented in this study are available on request from the corresponding author. The data are not publicly available due to privacy restrictions and third-party asset owner.

Acknowledgments

The authors also wish to thank the European Commission for the financial sponsorship of the H2020-RISE project no. 691135 “RISEN: Rail Infrastructure Systems Engineering Network”, which enables a global research network that addresses the grand challenge of railway infrastructure resilience and advanced sensing in extreme environments. We are very grateful to industry partners who contribute to the success of our extensive data collection (including West Midlands Combined Authority, Transport for West Midlands, Transport for London, Network Rail, Rail Safety and Standard Boards, and Hitachi Europe).

Conflicts of Interest

Nishanth Muniasamy is employed by Transport for London. The remaining authors declare that the research was conducted in the absence of any commercial or financial relationships that could be construed as a potential conflict of interest.

References

  1. Transport for London. Tube Trivia and Facts. July 2019. Available online: https://lasttrain.co.uk/transport-for-london/tube-trivia-and-facts-made-by-tfl/ (accessed on 22 July 2023).
  2. Health and Safety Executive. The Control of Noise at Work Regulations 2005. 2023. Available online: https://www.hse.gov.uk/noise/employers.htm#:~:text=The%20Control%20of%20Noise%20at,duties%20under%20the%20Regulations%20too (accessed on 23 July 2023).
  3. Environment Protection Authority. Guidelines for the Assessment of Noise from Rail Infrastructure. South Australia. May 2013. Available online: https://www.epa.sa.gov.au/files/47789_guidelines_rail_noise.pdf (accessed on 29 August 2023).
  4. Kaewunruen, S.; Remennikov, A.M. Current State of Practice in Railway Track Vibration Isolation: An Australian Overview. 10 January 2016. Available online: https://www.tandfonline.com/doi/full/10.1080/14488353.2015.1116364 (accessed on 30 August 2023).
  5. ISO 226:2003; Acoustics—Normal Equal-Loudness-Level Contours. International Organization for Standardization: Geneva, Switzerland, 2003. Available online: https://www.iso.org/standard/34222.html (accessed on 22 July 2023).
  6. Thompson, D. Railway Noise and Vibration Mechanisms, Modelling and Means of Control. 2010. Available online: https://www.sciencedirect.com/book/9780080451473/railway-noise-and-vibration (accessed on 22 July 2023).
  7. Smith, D.M.; Jones, A.P. Impact of noise levels in the London Underground on public health. In Cambridge Handbook of Psychology, Health and Medicine; Berglund, B., Lindvall, T., Eds.; Swedish Council for Building Research: Stockholm, Sweden, 2015; Volume 4, pp. 383–400. [Google Scholar]
  8. Yao, C.M.K.L.; Ma, A.K.; Cushing, S.L.; Lin, V.Y.W. Noise exposure while commuting in Toronto—A study of personal and public transportation in Toronto. J. Otolaryngol. Head Neck Surg. 2017, 46, 62. [Google Scholar] [CrossRef] [PubMed]
  9. Singh, T.; Biggs, T.; Crossley, E.; Faoury, M.; Mahmood, A.; Salamat, A.; Patterson, T.; Jayakody, N.; Dando, A.; Sipaul, F.; et al. Noise exposure on the London Underground: An observational study over a decade. Environ. Pollut. 2018, 241, 611–617. [Google Scholar] [CrossRef] [PubMed]
  10. Garbala, M.; Gomez-Agustina, L. Passenger noise exposure in London Underground. In Proceedings of the Institute of Acoustics, Harrogate, UK, 15 October 2015; Volume 37, pp. 1–6. Available online: https://openresearch.lsbu.ac.uk/item/875wy (accessed on 1 February 2025).
  11. Transport for London. Tube Noise Complaints on the Rise. May 2018. Available online: https://tfl.gov.uk/corporate/transparency/freedom-of-information/foi-request-detail?referenceId=FOI-0228-1819 (accessed on 22 July 2023).
  12. ISO 3381:2021; Railway Applications—Acoustics—Noise Measurement Inside Railbound Vehicles. ISO: Geneva, Switzerland, 2021.
  13. ISO 3095:2013; Acoustics—Railway Applications—Measurement of Noise Emitted by Railbound Vehicles. ISO: Geneva, Switzerland, 2013.
  14. Pieren, R.; Heutschi, K. Auralization of railway noise: Emission synthesis of rolling and impact noise. Appl. Acoust. 2017, 127, 34–45. Available online: https://www.sciencedirect.com/science/article/pii/S0003682X17300361 (accessed on 23 July 2023). [CrossRef]
  15. Nielsen, J.C.O.; Pieringer, A. Wheel–Rail Impact Loads, Noise and Vibration: A Review of Excitation Mechanisms, Prediction Methods and Mitigation Measures. In Noise and Vibration Mitigation for Rail Transportation Systems; Notes on Numerical Fluid Mechanics and Multidisciplinary Design; Springer: Cham, Switzerland, 2021; Volume 139, pp. 3–45. [Google Scholar] [CrossRef]
  16. Kim, J.C.; Yun, Y.S.; Noh, H.M. Analysis of Wheel Squeal and Flanging on Curved Railway Tracks. Int. J. Precis. Eng. Manuf. 2019, 20, 2077–2087. [Google Scholar] [CrossRef]
  17. Garg, N.; Sinha, O.S. Noise emissions of transit trains at curvature due to track lubrication. Indian J. Pure Appl. Phys. 2010, 48, 881–885. Available online: https://nopr.niscpr.res.in/bitstream/123456789/10625/1/IJPAP%2048%2812%29%20881-885.pdf (accessed on 26 July 2023).
  18. Cooley, J.W.; Tukey, J.W. An Algorithm for the Machine Calculation of Complex Fourier Series. Math. Comput. 1965, 19, 297–301. [Google Scholar] [CrossRef]
  19. Thompson, D.J.; Gautier, P.E. Review of research into wheel/rail rolling noise reduction. Proc. Inst. Mech. Eng. Part F J. Rail Rapid Transit 2006, 220, 385–408. [Google Scholar] [CrossRef]
  20. Vér, I.L.; Ventres, C.S.; Myles, M.M. Wheel/rail noise—Part III: Impact noise generation by wheel and rail discontinuities. J. Sound Vib. 1975, 43, 395–417. Available online: https://www.sciencedirect.com/science/article/pii/0022460X76908634 (accessed on 26 July 2023). [CrossRef]
  21. Remington, P. Wheel/Rail Noise—Part IV: Rolling Noise. June 1976. Available online: https://www.sciencedirect.com/science/article/pii/0022460X76908646 (accessed on 26 July 2023).
  22. Mackintosh, T. London Underground: Tube Noise Complaints on the Rise. BBC News. 5 April 2022. Available online: https://www.bbc.com/news/uk-england-london-60980490 (accessed on 26 July 2023).
  23. Huang, J.; Liu, H.; Xi, W.; Kaewunruen, S. Automated Prognostics and Diagnostics of Railway Tram Noises Using Machine Learning. IEEE Access 2024, 12, 183555–183563. [Google Scholar] [CrossRef]
Figure 1. Northern Line Underground schematic map [11].
Figure 1. Northern Line Underground schematic map [11].
Sustainability 17 01880 g001
Figure 2. Northern Line Underground track drawing.
Figure 2. Northern Line Underground track drawing.
Sustainability 17 01880 g002
Figure 3. Frequency spectrum of train noise (expressed in dB SPL). Frequencies below 100 Hz may be subject to microphone response limitations.
Figure 3. Frequency spectrum of train noise (expressed in dB SPL). Frequencies below 100 Hz may be subject to microphone response limitations.
Sustainability 17 01880 g003
Figure 4. Workflow for noise data analysis.
Figure 4. Workflow for noise data analysis.
Sustainability 17 01880 g004
Figure 5. Temporal analysis of noise levels at 22nd min of the journey.
Figure 5. Temporal analysis of noise levels at 22nd min of the journey.
Sustainability 17 01880 g005
Figure 6. Temporal analysis of noise levels at 29nth min of the journey.
Figure 6. Temporal analysis of noise levels at 29nth min of the journey.
Sustainability 17 01880 g006
Figure 7. (a) Horizontal radius vs. impact noise in Northern Line; (b) horizontal radius vs. rolling noise in Northern Line; (c) horizontal radius vs. flanging noise in Northern Line; (d) horizontal radius vs. squeal noise in Northern Line.
Figure 7. (a) Horizontal radius vs. impact noise in Northern Line; (b) horizontal radius vs. rolling noise in Northern Line; (c) horizontal radius vs. flanging noise in Northern Line; (d) horizontal radius vs. squeal noise in Northern Line.
Sustainability 17 01880 g007aSustainability 17 01880 g007b
Table 1. The permissible noise criteria as per the EPA.
Table 1. The permissible noise criteria as per the EPA.
PeriodNoise Criteria, dB (A)New Sensitive Developments near Existing Railway Line
Rail Infrastructure Developments
New Railway LineUpgraded Existing Railway Line
Day, 7 a.m. to 10 p.m.60 LAeq, 15h
80 LAmax
65 LAeq, 15h
85 LAmax
60 LAeq, 15h
80 LAmax
Night, 10 p.m. to 7 a.m.55 LAeq, 9h
80 LAmax
60 LAeq, 15h
85 LAmax
55 LAeq, 9h
80 LAmax
Table 2. Correlated track geometric and the corresponding noise data.
Table 2. Correlated track geometric and the corresponding noise data.
StationsChainage
(mm)
Cant
(mm)
Horizontal
Versine (mm)
Horizontal
Radius (mm)
Vertical
Radius (mm)
Different Noises
(dB)
ImpactRollingFlangingSqueal
Camden Town
To Mornington Crescent
0.00.00.0StraightStraight85.6668.4647.3361.37
5.03.00.0Straight626185.6668.4647.3361.37
10.02.04.03487624085.6668.4647.3361.37
Table 3. Maximum and minimum noise in the corridor and their corresponding track geometrics.
Table 3. Maximum and minimum noise in the corridor and their corresponding track geometrics.
Cant (mm)Horizontal Versine (mm)Horizontal Radius (mm)Vertical Radius (mm)Impact Noise (dB)Rolling Noise (dB)Flanging Noise (dB)Squeal Noise (dB)
793535312,50495.98---
251485612,07779.99---
75383306249-56.49--
793535312,504-71.37--
9620023125--64.29-
72363491467--40.23-
25121033Straight---81.36
81171791563---53.91
Table 4. Analysis of Variance (ANOVA) for noise levels and track parameters.
Table 4. Analysis of Variance (ANOVA) for noise levels and track parameters.
Noise TypeTrack FeatureR-Squaredp-ValueSlope
Impact NoiseCant in mm0.00230.0053−0.0052
Impact NoiseHorizontal versine in mm<0.00010.98550.0001
Impact NoiseHorizontal radius in m0.00170.0170<0.0001
Impact NoiseVertical radius in m0.0090<0.00010.0001
Rolling NoiseCant in mm0.00470.0001−0.0073
Rolling NoiseHorizontal versine in mm<0.00010.7367−0.0019
Rolling NoiseHorizontal radius in m0.00070.1360<0.0001
Rolling NoiseVertical radius in m0.00190.0115<0.0001
Flanging NoiseCant in mm0.0318<0.0001−0.0477
Flanging NoiseHorizontal versine in mm0.0118<0.0001−0.0878
Flanging NoiseHorizontal radius in m0.0075<0.00010.0002
Flanging NoiseVertical radius in m<0.00010.9039<0.0001
Squeal NoiseCant in mm0.0076<0.00010.0203
Squeal NoiseHorizontal versine in mm0.00010.61530.0061
Squeal NoiseHorizontal radius in m<0.00010.8915<0.0001
Squeal NoiseVertical radius in m0.00100.06400.0001
Table 5. Noise levels corresponding to key geometric factors on the Northern Line corridor.
Table 5. Noise levels corresponding to key geometric factors on the Northern Line corridor.
DescriptionCant (mm)Horizontal
Versine (mm)
Horizontal Radius (mm)Vertical Radius (mm)Impact Noise
(dB)
Rolling Noise
(dB)
Flanging Noise
(dB)
Squeal Noise
(dB)
Sharp curve11131100624892.1768.9657.1472.17
Max versine107107117500085.8763.0648.9871.61
Max cant13824132104082.5560.517081.27
Sharp curve51718522785.6668.4647.3361.37
Table 6. Average noise levels across stations on the Northern Line.
Table 6. Average noise levels across stations on the Northern Line.
StationsAverage of
Horizontal Radius (m)Vertical Radius (m)Impact Noise
(dB)
Rolling Noise (dB)Flanging Noise (dB)Squeal Noise (dB)
Balham to Tooting Bec111365886.5164.167076.38
Camden Town to Mornington Crescent3180448685.6668.4647.3361.37
oval to Stockwell19,803192081.5162.667059.06
Clapham Common to Clapham South1996634385.8763.0648.9871.61
Clapham North to Clapham Common6953312592.1768.9657.1472.17
Clapham South to Balham45256891.7660.3740.2375.05
Colliers Wood to South Wimbledon36896188.7969.67059.01
Embankment to Waterloo3378208387.4965.747062.03
Euston to Warren Street392228288.6664.5852.4175.26
Goodge Street to Tottenham Court Road693712,50283.5863.827064.01
Kennington to Oval2911625592.4167.5655.4261.68
Leicester Square to Charing cross238312582.5560.517081.27
Mornington Crescent To Euston2002312580.3462.9564.2977.53
Oval to Stockwell2073167289.3469.697062.62
Stockwell to Clapham North12,460499492.3965.2756.2581.36
Tooting Bec to Tooting Broadway120261092.5770.3150.3857.59
Tooting Broadway to Colliers Wood423500191.5370.687061.35
Tottenham Court Road to Leicester Square3439277888.5868.567058.31
Warren Street to Goodge Street11,691154185.0258.597075.95
Waterloo to Kennington3730277887.4268.577059.14
Average of Northern Line4237334087.7165.7162.1267.65
Disclaimer/Publisher’s Note: The statements, opinions and data contained in all publications are solely those of the individual author(s) and contributor(s) and not of MDPI and/or the editor(s). MDPI and/or the editor(s) disclaim responsibility for any injury to people or property resulting from any ideas, methods, instructions or products referred to in the content.

Share and Cite

MDPI and ACS Style

Bin Khairul Anuar, M.A.R.; Muniasamy, N.; Huang, J.; Kaewunruen, S. Identification and Correlation of Noise Hotspots in Metro Underground with Physical Track Characteristics for Sustainable Transport Planning. Sustainability 2025, 17, 1880. https://doi.org/10.3390/su17051880

AMA Style

Bin Khairul Anuar MAR, Muniasamy N, Huang J, Kaewunruen S. Identification and Correlation of Noise Hotspots in Metro Underground with Physical Track Characteristics for Sustainable Transport Planning. Sustainability. 2025; 17(5):1880. https://doi.org/10.3390/su17051880

Chicago/Turabian Style

Bin Khairul Anuar, Mohamad Ali Ridho, Nishanth Muniasamy, Junhui Huang, and Sakdirat Kaewunruen. 2025. "Identification and Correlation of Noise Hotspots in Metro Underground with Physical Track Characteristics for Sustainable Transport Planning" Sustainability 17, no. 5: 1880. https://doi.org/10.3390/su17051880

APA Style

Bin Khairul Anuar, M. A. R., Muniasamy, N., Huang, J., & Kaewunruen, S. (2025). Identification and Correlation of Noise Hotspots in Metro Underground with Physical Track Characteristics for Sustainable Transport Planning. Sustainability, 17(5), 1880. https://doi.org/10.3390/su17051880

Note that from the first issue of 2016, this journal uses article numbers instead of page numbers. See further details here.

Article Metrics

Back to TopTop