Evaluation of the Endowment of Geothermal Resources and Its Impact on Regional Industrial Structure: A Case Study of Qinghai Province (China)
Abstract
1. Introduction
2. Study Area
2.1. Physical Geography
2.2. Geological Structure
2.3. Geothermal Background
3. Methods and Parameters
3.1. Evaluation Method
3.2. Vector Autoregression Model
3.3. Parameters
3.3.1. Geothermal Parameters
3.3.2. Social Parameters
3.4. Research Route
4. Result and Discussion
4.1. Geothermal Resources Evaluation
4.2. Geothermal Resource Endowment Degree
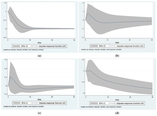
4.3. The Influence of Geothermal Resources on Industrial Structure
5. Conclusions
Supplementary Materials
Author Contributions
Funding
Institutional Review Board Statement
Informed Consent Statement
Data Availability Statement
Conflicts of Interest
References
- Cataldi, R.; Geothermal Resources Council; International Geothermal Association (Eds.) Stories from a Heated Earth: Our Geothermal Heritage; Geothermal Resources Council: Sacramento, CA, USA, 1999; ISBN 978-0-934412-19-3. [Google Scholar]
- Dickson, M.H.; UNESCO (Eds.) Geothermal Energy: Utilization and Technology; Renewable Energies Series; UNESCO: Paris, France, 2003; ISBN 978-92-3-103915-7. [Google Scholar]
- Rizzo, E.; Giampaolo, V.; Capozzoli, L.; De Martino, G.; Romano, G.; Santilano, A.; Manzella, A. 3D Deep Geoelectrical Exploration in the Larderello Geothermal Sites (Italy). Phys. Earth Planet. Inter. 2022, 329–330, 106906. [Google Scholar] [CrossRef]
- Li, Y.; Long, X.; Lu, J. Evaluation of Geothermal Resources Potential in the Uplifted Mountain of Guangdong Province Using the Monte Carlo Simulation. Front. Earth Sci. 2023, 11, 1233026. [Google Scholar] [CrossRef]
- Shi, W.; Ma, L.; Huang, Z.; Wang, G.; Wang, C.; Li, L.; Ji, Y.; Liu, L.; Xiao, C. Application of Well Logging Technology in Geothermal Resource Evaluation: A Case Study of Geothermal Water Wells in the Qianjiang Sag, Jianghan Basin. Sci. Prog. 2023, 106, 00368504231183587. [Google Scholar] [CrossRef] [PubMed]
- Hu, Z.; Gao, Z.; Xu, X.; Fang, S.; Zhou, L.; Ji, D.; Li, F.; Feng, J.; Wang, M. Suitability Zoning of Buried Pipe Ground Source Heat Pump and Shallow Geothermal Resource Evaluation of Linqu County, Shandong Province, China. Renew. Energy 2022, 198, 1430–1439. [Google Scholar] [CrossRef]
- Wang, Y.; Wang, L.; Bai, Y.; Wang, Z.; Hu, J.; Hu, D.; Wang, Y.; Hu, S. Assessment of Geothermal Resources in the North Jiangsu Basin, East China, Using Monte Carlo Simulation. Energies 2021, 14, 259. [Google Scholar] [CrossRef]
- Shah, M. Using Monte Carlo Simulation to Estimate Geothermal Resource in Dholera Geothermal Field, Gujarat, India. Multiscale Multidiscip. Model. Exp. Des. 2018, 1, 83–95. [Google Scholar] [CrossRef]
- Chen, H.; Zheng, F.; Song, R.; Zhang, C.; Dong, B.; Zhang, J.; Zhang, Y.; Wu, T. Geothermal Resource Assessment and Development Recommendations for the Huangliu Formation in the Central Depression of the Yinggehai Basin. Sustainability 2024, 16, 7104. [Google Scholar] [CrossRef]
- Zhang, J.; Xiao, C.; Yang, W.; Liang, X.; Zhang, L.; Wang, X. Probabilistic Geothermal Resources Assessment Using Machine Learning: Bayesian Correction Framework Based on Gaussian Process Regression. Geothermics 2023, 114, 102787. [Google Scholar] [CrossRef]
- Dalampakis, P.; Papachristou, M.; Neofotistos, P. Geothermal Resources Assessment Using Temperature–Depth Relationships in the Fault-Controlled Hydrothermal System of Aristino-Traianoupolis Area, Northern Greece. Geotherm Energy 2022, 10, 22. [Google Scholar] [CrossRef]
- Sun, Y.; Zuo, Y.; Zhang, L.; Zhang, C.; Wang, Y.; Zhang, T.; Li, X.; Yang, M.; Yan, K.; Cui, L. Geothermal Resource Evaluation of the Middle Permian Qixia-Maokou Formation in the Southern Sichuan Basin, China. Geothermics 2024, 122, 103073. [Google Scholar] [CrossRef]
- Zuo, Y.; Sun, Y.; Zhang, L.; Zhang, C.; Wang, Y.; Jiang, G.; Wang, X.; Zhang, T.; Cui, L. Geothermal Resource Evaluation in the Sichuan Basin and Suggestions for the Development and Utilization of Abandoned Oil and Gas Wells. Renew. Energy 2024, 225, 120362. [Google Scholar] [CrossRef]
- Zhou, X. Examining the Representativeness Heuristic and Anchoring Effects in China’s Carbon Markets. J. Clean. Prod. 2023. [Google Scholar] [CrossRef]
- Zhong, Z.; Chen, Y.; Fu, M.; Li, M.; Yang, K.; Zeng, L.; Liang, J.; Ma, R.; Xie, Q. Role of CO2 Geological Storage in China’s Pledge to Carbon Peak by 2030 and Carbon Neutrality by 2060. Energy 2023, 272, 127165. [Google Scholar] [CrossRef]
- Zhang, C.; Huang, R.; Qin, S.; Hu, S.; Zhang, S.; Li, S.; Zhang, L.; Wang, Z. The High-Temperature Geothermal Resources in the Gonghe-Guide Area, Northeast Tibetan Plateau: A Comprehensive Review. Geothermics 2021, 97, 102264. [Google Scholar] [CrossRef]
- Yang, Y.; Chen, F.; Yu, S.; Zheng, Y.; He, S.; Zeng, Y.; Xie, X.; Zhu, J.; Luo, N. Investigating the Formation of Hot-Dry Rock in Gonghe Basin, Qinghai, China. Minerals 2023, 13, 1103. [Google Scholar] [CrossRef]
- Zhu, Y.-Q.; Li, D.-Q.; Zhang, Q.-X.; Zhang, X.; Liu, Z.-J.; Wang, J.-H. Characteristics of Geothermal Resource in Qiabuqia, Gonghe Basin: Evidence from High Precision Resistivity Data. Ore Geol. Rev. 2022, 148, 105053. [Google Scholar] [CrossRef]
- Davies, J.H.; Davies, D.R. Earth’s Surface Heat Flux. Solid Earth 2010, 1, 5–24. [Google Scholar] [CrossRef]
- Fuchs, S.; Beardsmore, G.; Chiozzi, P.; Espinoza-Ojeda, O.M.; Gola, G.; Gosnold, W.; Harris, R.; Jennings, S.; Liu, S.; Negrete-Aranda, R.; et al. A New Database Structure for the IHFC Global Heat Flow Database. Int. J. Terr. Heat Flow Appl. 2021, 4, 1–14. [Google Scholar] [CrossRef]
- Liu, J.; Han, S.; Xiang, H.; Yue, D.; Yang, F. The Resource Potential and Zoning Evaluation for Deep Geothermal Resources of the Dongying Formation in Tianjin Binhai New Area. Sustainability 2023, 15, 12357. [Google Scholar] [CrossRef]
- DZ/T 0331-2020; Specification for estimation and evaluation of geohtermal resources. Ministry of Natural Resources of the Peoples Republic of China: Beijing, China, 2020.
- Sims, C.A. Macroeconomics and Reality. Econometrica 1980, 48, 1–48. [Google Scholar] [CrossRef]
- Li, S.; Hu, S. How Does the Value of Ecological Restoration Techniques Affect Ecosystem Carbon Density: A Resource Endowment-Based Perspective. Sustain. Futures 2024, 8, 100353. [Google Scholar] [CrossRef]
- Qinghai Provincial Bureau of Statistics. Total Energy Consumption and Composition of Qinghai Province (1980–2022); National Tibetan Plateau/Third Pole Environment Data Center: Beijing, China, 2021.
- Zhu, Y.; Ke, J.; Wang, J.; Liu, H.; Jiang, S.; Blum, H.; Zhao, Y.; He, G.; Meng, Y.; Su, J. Water Transfer and Losses Embodied in the West–East Electricity Transmission Project in China. Appl. Energy 2020, 275, 115152. [Google Scholar] [CrossRef]
- Shang, X.-G.; Yu, X.-H.; Li, C.-Y.; Chai, H.-P.; Jiang, N.-J. Geochemical Characteristics of Geothermal Water in Weiyuan Geothermal Field, Huzhu County, Qinghai Province. J. Groundw. Sci. Eng. 2015, 3, 59–69. [Google Scholar] [CrossRef]
- Miao, L.; Yan, H.; Liu, M. Power Increase Potential of Coal-Fired Power Plant Assisted by the Heat Release of the Thermal Energy Storage System: Restrictions and Thermodynamic Performance. Energy 2024, 312, 133509. [Google Scholar] [CrossRef]
- Zhang, B.; Dong, W.; Yao, J. Research on the Income Distribution Effect of Factor Allocation Efficiency Changes among China’s Three Major Industries. PLoS ONE 2023, 18, e0292927. [Google Scholar] [CrossRef] [PubMed]
- Tu, C.; Mu, X.; Chen, J.; Kong, L.; Zhang, Z.; Lu, Y.; Hu, G. Study on the Interactive Relationship between Urban Residents’ Expenditure and Energy Consumption of Production Sectors. Energy Policy 2021, 157, 112502. [Google Scholar] [CrossRef]







| Application | Energy Conversion Efficiency |
|---|---|
| Electricity Production | 10–25% |
| Geothermal Heating | 90–100% |
| Industrial Production | 80–90% |
| Agricultural Production | 80–90% |
| Tourism and Wellness | 100% |
| Field | Hot Spring Flow (L/s) | Geothermal Reserves (J) | Standard Coal Equivalent (t) | Geothermal Static Reserves (J) | Available Geothermal Resources (J) | Standard Coal Equivalent (t) | Temperature (°C) |
|---|---|---|---|---|---|---|---|
| QH01 | 14.23 | 1.99 × 1017 | 1.13 × 107 | 1.50 × 108 | 1.50 × 1016 | 8.51 × 105 | 76 |
| QH02 | 6.23 | 1.51 × 1017 | 8.57 × 106 | 1.20 × 108 | 1.13 × 1016 | 6.43 × 105 | 61.2 |
| QH03 | 6.42 | 1.57 × 1017 | 8.92 × 106 | 1.20 × 108 | 1.18 × 1016 | 6.70 × 105 | 62.7 |
| QH04 | 10.23 | 1.89 × 1017 | 1.07 × 107 | 1.20 × 108 | 1.42 × 1016 | 8.06 × 105 | 75.6 |
| QH05 | 2.25 | 2.20 × 1017 | 1.25 × 107 | 1.00 × 108 | 1.65 × 1016 | 9.37 × 105 | 98.2 |
| QH06 | 24.56 | 2.21 × 1017 | 1.26 × 107 | 1.20 × 108 | 1.66 × 1016 | 9.45 × 105 | 92.8 |
| QH07 | 2.18 | 3.42 × 1017 | 1.95 × 107 | 1.00 × 108 | 2.57 × 1016 | 1.46 × 106 | 151.9 |
| QH08 | 0.84 | 2.01 × 1017 | 1.14 × 107 | 1.00 × 108 | 1.51 × 1016 | 8.58 × 105 | 91.1 |
| QH09 | 7.89 | 3.18 × 1017 | 1.81 × 107 | 1.00 × 108 | 2.39 × 1016 | 1.36 × 106 | 140.3 |
| QH10 | 0.91 | 3.77 × 1017 | 2.15 × 107 | 1.50 × 108 | 2.83 × 1016 | 1.61 × 106 | 143.2 |
| QH11 | 1.05 | 1.16 × 1017 | 6.58 × 106 | 1.20 × 108 | 8.68 × 1015 | 4.94 × 105 | 48.2 |
| QH12 | 2.03 | 2.37 × 1017 | 1.35 × 107 | 1.20 × 108 | 1.78 × 1016 | 1.01 × 106 | 95.1 |
| QH13 | 0.01 | 2.14 × 1017 | 1.21 × 107 | 1.20 × 108 | 1.60 × 1016 | 9.12 × 105 | 85.6 |
| QH14 | 22.16 | 1.72 × 1017 | 9.77 × 106 | 1.50 × 108 | 1.29 × 1016 | 7.33 × 105 | 65 |
| QH15 | 1.00 | 1.53 × 1017 | 8.68 × 106 | 1.50 × 108 | 1.14 × 1016 | 6.51 × 105 | 55.9 |
| QH16 | 7.28 | 1.63 × 1017 | 9.30 × 106 | 1.50 × 108 | 1.23 × 1016 | 6.98 × 105 | 59.9 |
| QH17 | 13.00 | 1.21 × 1017 | 6.87 × 106 | 1.50 × 108 | 9.06 × 1015 | 5.16 × 105 | 47.2 |
| QH18 | 1.50 | 1.70 × 1017 | 9.66 × 106 | 1.50 × 108 | 1.27 × 1016 | 7.25 × 105 | 65.3 |
| QH19 | 10.09 | 3.58 × 1017 | 2.04 × 107 | 1.00 × 108 | 2.69 × 1016 | 1.53 × 106 | 156.1 |
| QH20 | 0.55 | 1.56 × 1017 | 8.85 × 106 | 1.00 × 108 | 1.17 × 1016 | 6.64 × 105 | 67.5 |
| Years | Total Consumption of Geothermal Resources (104 tec) | The Proportion of Total Geothermal Resources Consumption (%) | |||
|---|---|---|---|---|---|
| Coal | Petroleum | Natural Gas | Electricity | ||
| 2000 | 897.23 | 30.18 | 18.96 | 4.83 | 46.03 |
| 2001 | 989.38 | 28.02 | 18.05 | 7.52 | 46.41 |
| 2002 | 1018.83 | 26.42 | 15.77 | 13.25 | 44.56 |
| 2003 | 1122.70 | 28.72 | 13.47 | 15.07 | 42.74 |
| 2004 | 1364.38 | 27.56 | 14.07 | 15.79 | 42.58 |
| 2005 | 1830.48 | 44.20 | 8.63 | 8.00 | 39.17 |
| 2006 | 2085.84 | 45.18 | 7.75 | 8.46 | 38.61 |
| 2007 | 2295.91 | 47.56 | 8.09 | 8.29 | 36.06 |
| 2008 | 2497.74 | 43.72 | 8.95 | 12.20 | 35.13 |
| 2009 | 2573.44 | 42.99 | 7.79 | 12.69 | 36.53 |
| 2010 | 2814.57 | 34.14 | 7.61 | 11.21 | 47.04 |
| 2011 | 3145.28 | 28.58 | 10.68 | 12.97 | 47.77 |
| 2012 | 3475.88 | 31.43 | 9.40 | 14.60 | 44.57 |
| 2013 | 3768.16 | 31.67 | 8.24 | 13.95 | 46.14 |
| 2014 | 3991.70 | 29.77 | 8.21 | 12.86 | 49.16 |
| 2015 | 4124.97 | 31.60 | 9.11 | 14.75 | 44.54 |
| 2016 | 4101.36 | 43.37 | 10.13 | 15.00 | 31.50 |
| 2017 | 4193.10 | 37.87 | 11.46 | 15.97 | 34.70 |
| 2018 | 4364.22 | 31.68 | 10.29 | 15.93 | 42.10 |
| 2019 | 4235.23 | 29.15 | 10.87 | 16.38 | 43.60 |
| 2020 | 4150.36 | 27.06 | 10.95 | 14.79 | 47.20 |
| Years | Primary Industry (104 tec) | Secondary Industry (104 tec) | Tertiary Industry (104 tec) | Domestic Consumption (104 tec) | Proportion (%) | |||
|---|---|---|---|---|---|---|---|---|
| Primary Industry | Secondary Industry | Tertiary Industry | Domestic Consumption | |||||
| 2000 | 399.16 | 2487.01 | 391.88 | 595.36 | 10.31 | 64.21 | 10.12 | 15.37 |
| 2001 | 373.10 | 2620.11 | 506.26 | 646.64 | 9.00 | 63.19 | 12.21 | 15.60 |
| 2002 | 366.17 | 2941.77 | 574.75 | 653.70 | 8.07 | 64.85 | 12.67 | 14.41 |
| 2003 | 340.44 | 3281.97 | 626.80 | 641.84 | 6.96 | 67.10 | 12.82 | 13.12 |
| 2004 | 317.60 | 3961.00 | 718.23 | 618.06 | 5.66 | 70.54 | 12.79 | 11.01 |
| 2005 | 329.39 | 4569.86 | 835.39 | 694.41 | 5.12 | 71.08 | 12.99 | 10.80 |
| 2006 | 326.41 | 5077.11 | 893.04 | 729.08 | 4.65 | 72.27 | 12.71 | 10.38 |
| 2007 | 339.17 | 5497.25 | 949.54 | 751.74 | 4.50 | 72.93 | 12.60 | 9.97 |
| 2008 | 306.53 | 5815.52 | 1011.55 | 782.30 | 3.87 | 73.47 | 12.78 | 9.88 |
| 2009 | 317.20 | 6100.98 | 1072.48 | 946.48 | 3.76 | 72.31 | 12.71 | 11.22 |
| 2010 | 278.76 | 6562.44 | 1315.79 | 922.26 | 3.07 | 72.28 | 14.49 | 10.16 |
| 2011 | 295.82 | 7231.83 | 1493.58 | 924.13 | 2.97 | 72.72 | 15.02 | 9.29 |
| 2012 | 285.48 | 7882.22 | 1659.87 | 1011.18 | 2.63 | 72.72 | 15.31 | 9.33 |
| 2013 | 281.52 | 7527.33 | 1635.01 | 1033.31 | 2.69 | 71.85 | 15.61 | 9.86 |
| 2014 | 299.35 | 7572.73 | 1819.29 | 1168.54 | 2.76 | 69.73 | 16.75 | 10.76 |
| 2015 | 334.95 | 7251.68 | 1963.43 | 1279.71 | 3.09 | 66.96 | 18.13 | 11.82 |
| 2016 | 326.45 | 7425.30 | 2101.19 | 1278.09 | 2.93 | 66.71 | 18.88 | 11.48 |
| 2017 | 326.83 | 7796.70 | 2164.42 | 1280.70 | 2.83 | 67.40 | 18.71 | 11.07 |
| 2018 | 330.04 | 8005.13 | 2300.46 | 1359.47 | 2.75 | 66.74 | 19.18 | 11.33 |
| 2019 | 334.16 | 8375.69 | 2480.12 | 1372.77 | 2.66 | 66.67 | 19.74 | 10.93 |
| 2020 | 341.05 | 9205.91 | 2401.68 | 1438.38 | 2.55 | 68.77 | 17.94 | 10.74 |
| Variable | Test Type | ADF Value | 1% Significance Level | 5% Significance Level | 10% Significance Level | AIC | SC | HQ | p | Result |
|---|---|---|---|---|---|---|---|---|---|---|
| lnS | C,T,0 | −0.7776 | −3.7672 | −2.9657 | −2.5909 | −3.0206 | −2.8217 | −2.9869 | 0.6719 | unsteady |
| dlnS | C,T,0 | −12.8313 | −2.6281 | −1.8959 | −1.5428 | −3.0796 | −3.0299 | −3.0712 | 0.0001 | steady |
| lnE | C,T,0 | 0.1189 | −3.7237 | −2.9481 | −2.5818 | −2.2988 | −2.1994 | −2.2773 | 0.7273 | unsteady |
| dlnE | C,T,0 | −6.4866 | −2.6281 | −1.8959 | −1.5428 | −1.8544 | −1.8047 | −1.8460 | 0.0001 | steady |
| Order | LogL | LR | FPE | AIC | SC | HQ |
|---|---|---|---|---|---|---|
| 0 | 15.6778 | NA | 0.00008816 | −1.5373 | −1.4393 | −1.5275 |
| 1 | 55.0067 | 64.8414 | 0.00000806 | −5.6936 | −5.3996 | −5.6644 |
| 2 | 55.5411 | 0.8186 | 0.00001406 | −5.2859 | −4.7958 | −5.2372 |
| 3 | 69.7355 | 16.7637 | 0.0003026 | −6.4853 | −5.7991 | −6.4171 |
| 4 | 86.4282 | 15.7751 * | 0.0000056 * | −7.9785 * | −7.0963 * | −7.8908 * |
| 5 | 89.7453 | 2.4057 | 0.00029911 | 8.0268 | 6.9485 | 7.9196 |
| Root | Modulus |
|---|---|
| 0.928833 | 0.92883284 |
| 0.59126864 | 0.59136084 |
| −0.295627 | 0.295627 |
| 0.04690284 | 0.046903 |
| Number of Periods | Variance Decomposition of lnS | Variance Decomposition of lnE |
|---|---|---|
| 0 | 0.00000 | 0.000000 |
| 1 | 0.757493 | 0.000000 |
| 2 | 0.875665 | 0.496583 |
| 3 | 0.899694 | 0.496669 |
| 4 | 0.90582 | 0.493746 |
| 5 | 0.904547 | 0.490642 |
| 6 | 0.902361 | 0.488821 |
| 7 | 0.901354 | 0.488264 |
| 8 | 0.901729 | 0.488537 |
| 9 | 0.902985 | 0.489214 |
| 10 | 0.904602 | 0.490012 |
Disclaimer/Publisher’s Note: The statements, opinions and data contained in all publications are solely those of the individual author(s) and contributor(s) and not of MDPI and/or the editor(s). MDPI and/or the editor(s) disclaim responsibility for any injury to people or property resulting from any ideas, methods, instructions or products referred to in the content. |
© 2025 by the authors. Licensee MDPI, Basel, Switzerland. This article is an open access article distributed under the terms and conditions of the Creative Commons Attribution (CC BY) license (https://creativecommons.org/licenses/by/4.0/).
Share and Cite
Zhao, Z.; Qin, G.; Yan, B.; Han, C. Evaluation of the Endowment of Geothermal Resources and Its Impact on Regional Industrial Structure: A Case Study of Qinghai Province (China). Sustainability 2025, 17, 1751. https://doi.org/10.3390/su17041751
Zhao Z, Qin G, Yan B, Han C. Evaluation of the Endowment of Geothermal Resources and Its Impact on Regional Industrial Structure: A Case Study of Qinghai Province (China). Sustainability. 2025; 17(4):1751. https://doi.org/10.3390/su17041751
Chicago/Turabian StyleZhao, Zhen, Guangxiong Qin, Baizhong Yan, and Chuanlong Han. 2025. "Evaluation of the Endowment of Geothermal Resources and Its Impact on Regional Industrial Structure: A Case Study of Qinghai Province (China)" Sustainability 17, no. 4: 1751. https://doi.org/10.3390/su17041751
APA StyleZhao, Z., Qin, G., Yan, B., & Han, C. (2025). Evaluation of the Endowment of Geothermal Resources and Its Impact on Regional Industrial Structure: A Case Study of Qinghai Province (China). Sustainability, 17(4), 1751. https://doi.org/10.3390/su17041751

