A Method for Estimating Tree Growth Potential with Back Propagation Neural Network
Abstract
1. Introduction
2. Materials and Methods
2.1. Overview of the Study Area
2.2. Data Collection
2.3. Establishment of BPNN Model for Predicting Growth Potential
2.3.1. Introduction to the BPNN Algorithm
2.3.2. Evaluation Indicators
- True Positive (TP): The actual class is positive, and the model predicts it as positive;
- False Positive (FP): The actual class is negative, but the model predicts it as positive;
- False Negative (FN): The actual class is positive, but the model predicts it as negative;
- True Negative (TN): The actual class is negative, and the model predicts it as negative.
2.3.3. Modeling Training
2.3.4. Hyperparameter Adjustment
3. Results
3.1. Results of Network Structure Adjustment
3.2. Results of Other Hyperparameters Adjustment
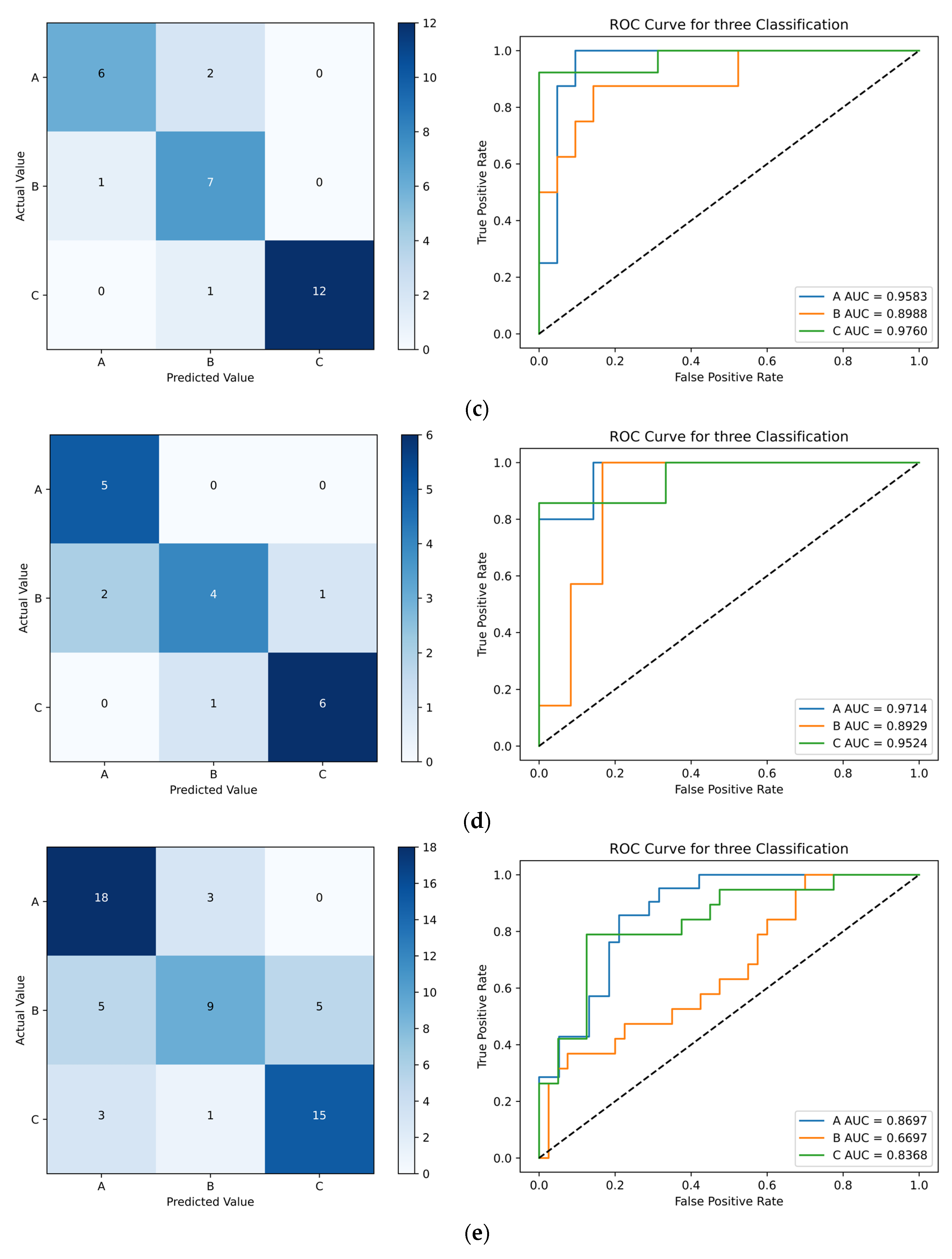
3.3. Analysis of Model Classification Performance
4. Discussion
5. Conclusions
Author Contributions
Funding
Institutional Review Board Statement
Informed Consent Statement
Data Availability Statement
Conflicts of Interest
References
- Li, L.; Zou, S.; Yu, Z.; Wang, B.; Yang, L.; Zhou, L. Evaluation of growth potential of Ginkgo biloba and Viburnum vulgare in road green space in Chongqing. Hubei Agric. Sci. 2020, 59, 111–115. [Google Scholar] [CrossRef]
- Ding, Y.; Lü, C.; Han, B.; Pu, H.; Wu, M. Relationship between tree growth potential, Monochamus alternatus population density and pine wood nematode disease severity. Chin. J. Appl. Ecol. 2001, 3, 351–354. [Google Scholar]
- Zarzosa, P.S.; Herraiz, A.D.; Olmo, M.; Ruiz-Benito, P.; Barrón, V.; Bastias, C.C.; De La Riva, E.G.; Villar, R. Linking functional traits with tree growth and forest productivity in Quercus ilex forests along a climatic gradient. Sci. Total Environ. 2021, 786, 147468. [Google Scholar] [CrossRef]
- Larson, J.; Vigren, C.; Wallerman, J.; Ågren, A.M.; Appiah Mensah, A.; Laudon, H. Tree growth potential and its relationship with soil moisture conditions across a heterogeneous boreal forest landscape. Sci. Rep. 2024, 14, 10611. [Google Scholar] [CrossRef]
- Weis, A.E.; Simms, E.L.; Hochberg, M.E. Will plant vigor and tolerance be genetically correlated? Effects of intrinsic growth rate and self-limitation on regrowth. Evol. Ecol. 2000, 14, 331–352. [Google Scholar] [CrossRef]
- Maes, S.; Perring, M.; Vanhellemont, M.; Depauw, L.; Bulcke, J.; Brūmelis, G.; Brunet, J.; Decocq, G.; Ouden, J.; Härdtle, W.; et al. Environmental drivers interactively affect individual tree growth across temperate European forests. Glob. Change Biol. 2018, 25, 201–217. [Google Scholar] [CrossRef] [PubMed]
- Steckel, M.; Moser, W.K.; del Río, M.; Pretzsch, H. Implications of Reduced Stand Density on Tree Growth and Drought Susceptibility: A Study of Three Species under Varying Climate. Forests 2020, 11, 627. [Google Scholar] [CrossRef]
- Trouvé, R.; Bontemps, J.; Seynave, I.; Collet, C.; Lebourgeois, F. Stand density, tree social status and water stress influence allocation in height and diameter growth of Quercus petraea (Liebl.). Tree Physiol. 2015, 35, 1035–1046. [Google Scholar] [CrossRef] [PubMed]
- Coomes, D.; Allen, R. Effects of size, competition and altitude on tree growth. J. Ecol. 2007, 95, 1084–1097. [Google Scholar] [CrossRef]
- Yang, H.; He, H.; Huang, L.; You, W.; Tang, W.; Zhu, G. Natural canopy model of Quercus hunanensis based on competition and site effect. J. Cent. South Univ. For. Technol. 2024, 44, 92–101+155. [Google Scholar] [CrossRef]
- Chaturvedi, R.; Raghubanshi, A.; Singh, J. Leaf attributes and tree growth in a tropical dry forest. J. Veg. Sci. 2011, 22, 917–931. [Google Scholar] [CrossRef]
- Zhao, T. Effects of Shengguan Jujube Scion on Root Growth and Physiological characteristics of Sour Jujube Rootstock. Master’s Thesis, Central South University of Forestry and Technology, Changsha, China, 2022. [Google Scholar] [CrossRef]
- Mao, J.; Zhao, H.; Yao, J. Development and application of artificial neural networks. Electron. Des. Eng. 2011, 19, 62–65. [Google Scholar]
- Yang, R.; Yang, Q.; Zeng, L.; Chen, Y. Evaluation of rural land ecological security and analysis of influencing factors based on BP-ANN model–taking Fengdu County of Chongqing as an example. Res. Soil Water Conserv. 2017, 24, 206–213. [Google Scholar] [CrossRef]
- Wang, H.; LI, W.; Niu, J.; Liu, D. An improved land price evaluation method based on artificial neural network and fuzzy mathematics. J. Xinyang Norm. Univ. (Nat. Sci. Ed.) 2020, 33, 76–82. [Google Scholar]
- Ren, S.; Chen, Z.; Deng, X.; Fan, Y.; Sun, A. A preliminary study of vascular sclerosis identification based on wavelet scattering neural network. J. Biomed. Eng. 2023, 40, 244–248. [Google Scholar]
- Deng, X.; Liu, Q.; Deng, Y.; Mahadevan, S. An improved method to construct basic probability assignment based on the confusion matrix for classification problem. Inf. Sci. 2016, 340–341, 250–261. [Google Scholar] [CrossRef]
- Zhang, S.; Xie, X.; Xu, Y. Intrusion detection method based on dCNN. J. Tsinghua Univ. (Nat. Sci. Ed.) 2019, 59, 44–52. [Google Scholar]
- Liu, S.; Cao, J.; Sun, T.; Hu, J.; Fu, Y.; Zhang, S.; Li, S. Inverse kinematics analysis of redundant manipulator based on BP neural network. China Mech. Eng. 2019, 30, 2974–2977. [Google Scholar]
- Yao, J.; Wu, Z.; Hu, X.; Sun, Y.; Tian, W.; Lu, Y.; Li, X. Multi-feature backpropagation artificial neural network method for micro-drill resistance tree-ring identification. J. Xinyang Norm. Univ. (Nat. Sci. Ed.) 2024, 37, 460–469. [Google Scholar]
- Fu, S.; Tang, F.; Hou, L.; Shi, N.; Jin, Y.; Zhang, X. Research on compressive strength prediction of fly ash concrete based on grid search and support vector regression. J. Jiangsu Univ. Sci. Technol. (Nat. Sci. Ed.) 2024, 38, 73–79. [Google Scholar] [CrossRef]
- Wu, J.; Chen, S.; Chen, X.; Zhou, R. Model selection and hyperparameter optimization based on reinforcement learning. J. Univ. Electron. Sci. Technol. China 2020, 49, 255–261. [Google Scholar]
- Waring, R.H.; Thies, W.G.; Muscafo, D.; Wang, Y.M. Trunk growth per unit of leaf area—A measure of tree growth potential. Shaanxi For. Sci. Technol. 1980, 5, 76–79. [Google Scholar]
- Hatch, C.R.; Gerrard, D.J.; Tappeiner, J.C., II. Exposed Crown Surface Area: A Mathematical Index of Individual Tree Growth Potential. Can. J. For. Res. 1975, 5, 224–228. [Google Scholar] [CrossRef]
- Wang, H.; Fu, T.; Du, Y.; Gao, W.; Huang, K.; Liu, Z.; Chandak, P.; Liu, S.; Van Katwyk, P.; Deac, A.; et al. Scientific discovery in the age of artificial intelligence. Nature 2023, 620, 47–60. [Google Scholar] [CrossRef]
- Ofosu-Ampong, K. Artificial intelligence research: A review on dominant themes, methods, frameworks and future research directions. Telemat. Inform. Rep. 2024, 14, 100127. [Google Scholar] [CrossRef]
- Liu, Y.; Jiang, C.; Lu, C.; Wang, Z.; Che, W. Increasing the Accuracy of Soil Nutrient Prediction by Improving Genetic Algorithm Backpropagation Neural Networks. Symmetry 2023, 15, 151. [Google Scholar] [CrossRef]
- Xiao, M.; Luo, R.; Chen, Y.; Chen, Y.; Ge, X. Prediction model of asphalt pavement functional and structural performance using PSO-BPNN algorithm. Constr. Build. Mater. 2023, 407, 133534. [Google Scholar] [CrossRef]
- Wang, K.; Huang, H.; Deng, J.; Zhang, Y.; Wang, Q. A spatio-temporal temperature prediction model for coal spontaneous combustion based on back propagation neural network. Energy 2024, 294, 130824. [Google Scholar] [CrossRef]
- Anwaier, G.; You, L.; Ye, G.; Nie, S.; Xu, Z.; Chen, F. Construction of Aboveground Biomass Estimation Model for Different Age Groups of Casuarina Equisetifolia. J. For. Environ. Sci. 2024, 1–11. Available online: http://kns.cnki.net/kcms/detail/35.1327.S.20241014.1412.004.html (accessed on 14 November 2024).
- Gong, R.; Zhang, H.; Lu, X.; Wan, H.; Zhang, Y.; Luo, X.; Zhang, J.; Xie, R. An integrated UAV growth monitoring model of Cinnamomum camphora based on whale optimization algorithm. PLoS ONE 2024, 19, e0299362. [Google Scholar] [CrossRef]
- Zheng, S.; Gao, P.; Zhou, Y.; Wu, Z.; Wan, L.; Hu, F.; Wang, W.; Zou, X.; Chen, S. An Accurate Forest Fire Recognition Method Based on Improved BPNN and IoT. Remote Sens. 2023, 15, 2365. [Google Scholar] [CrossRef]







| Tree Species | Number of Trees | Tree Age Range (a) | Growth Potential Type | Tree Height (m) | Average Crown Width (m) | DBH (cm) | |||
|---|---|---|---|---|---|---|---|---|---|
| Mean | Standard Deviation | Mean | Standard Deviation | Mean | Standard Deviation | ||||
| Pinus tabuliformis | 60 | 44~46 | strong | 9.645 | 0.987 | 2.103 | 0.443 | 15.276 | 2.025 |
| medium | 8.455 | 1.019 | 1.972 | 0.368 | 13.150 | 1665 | |||
| weak | 7.590 | 1.348 | 1.787 | 0.488 | 12.545 | 2.056 | |||
| Platycladus orientalis | 60 | 34~36 | strong | 8.402 | 1.025 | 1.430 | 0.420 | 11.675 | 1.892 |
| medium | 7.929 | 0.793 | 1.213 | 0.372 | 9.850 | 1.787 | |||
| weak | 7.713 | 1.227 | 1.115 | 0.392 | 8.130 | 1.425 | |||
| Pinus massoniana | 95 | 41~53 | strong | 24.347 | 4.289 | 3.165 | 0.811 | 39.266 | 6.755 |
| medium | 21.250 | 4.196 | 2.490 | 0.817 | 30.208 | 7.245 | |||
| weak | 17.197 | 4.350 | 2.030 | 0.848 | 19.374 | 6.319 | |||
| Cunninghamia lanceolate | 60 | 34~49 | strong | 19.757 | 2.164 | 2.706 | 1.036 | 33.705 | 4.824 |
| medium | 17.100 | 3.212 | 1.781 | 0.624 | 24.255 | 4.688 | |||
| weak | 11.185 | 2.434 | 1.766 | 0.788 | 14.140 | 5.404 | |||
| Hyperparameter | Default | GS Hyperparameters |
|---|---|---|
| Activation | Relu | [identity, logistic, tanh, relu] |
| Solver | Adam | [sgd, adam] |
| Alpha | 0.0001 | [0.01, 0.001, 0.0001, 0.00001] |
| Learning_rate | Constant | [constant, invscaling, adaptive] |
| Max_iter | 200 | - |
| Random_state | None | - |
| Model | Hidden_Layer_Sizes | Precision (%) | Recall (%) | F1 (%) | Accuracy (%) |
|---|---|---|---|---|---|
| BPNN-11 | (3) | 68.33 | 64.29 | 63.26 | 63.16 |
| BPNN-12 | (5) | 70.37 | 63.49 | 64.96 | 63.16 |
| BPNN-13 | (9) | 71.30 | 69.84 | 68.18 | 68.42 |
| BPNN-21 | (3, 3) | 68.89 | 69.84 | 67.58 | 68.42 |
| BPNN-22 | (3, 9) | 65.74 | 63.49 | 62.73 | 63.16 |
| BPNN-23 | (13, 9) | 72.22 | 69.05 | 69.86 | 68.42 |
| Model | Hidden_Layer_Sizes | Precision (%) | Recall (%) | F1 (%) | Accuracy (%) |
|---|---|---|---|---|---|
| BPNN-11 | (5) | 63.89 | 65.71 | 63.90 | 66.67 |
| BPNN-12 | (7) | 59.37 | 60.16 | 59.49 | 61.11 |
| BPNN-13 | (45) | 69.44 | 69.68 | 69.26 | 72.22 |
| BPNN-21 | (3, 5) | 71.03 | 70.48 | 69.05 | 72.22 |
| BPNN-22 | (3, 11) | 84.44 | 74.44 | 74.28 | 77.78 |
| BPNN-23 | (5, 3) | 75.79 | 75.24 | 74.10 | 77.78 |
| Model | Hidden_Layer_Sizes | Precision (%) | Recall (%) | F1 (%) | Accuracy (%) |
|---|---|---|---|---|---|
| BPNN-11 | (7) | 73.81 | 71.47 | 71.21 | 72.41 |
| BPNN-12 | (9) | 79.06 | 75.64 | 75.02 | 75.86 |
| BPNN-13 | (13) | 79.26 | 79.81 | 78.66 | 79.31 |
| BPNN-21 | (11, 63) | 82.32 | 80.77 | 80.37 | 82.76 |
| BPNN-22 | (41, 3) | 81.67 | 82.37 | 81.48 | 82.76 |
| BPNN-23 | (61, 3) | 85.24 | 84.94 | 84.59 | 86.21 |
| Model | Hidden_Layer_Sizes | Precision (%) | Recall (%) | F1 (%) | Accuracy (%) |
|---|---|---|---|---|---|
| BPNN-11 | (3) | 69.31 | 71.43 | 65.71 | 68.41 |
| BPNN-12 | (5) | 73.02 | 74.29 | 73.33 | 73.68 |
| BPNN-13 | (7) | 79.05 | 80.95 | 78.57 | 78.95 |
| BPNN-21 | (3, 5) | 68.42 | 69.31 | 71.43 | 65.71 |
| BPNN-22 | (3, 11) | 74.40 | 76.19 | 72.39 | 73.68 |
| BPNN-23 | (5, 15) | 79.05 | 80.95 | 78.57 | 78.95 |
| Model | Hidden_Layer_Sizes | Precision (%) | Recall (%) | F1 (%) | Accuracy (%) |
|---|---|---|---|---|---|
| BPNN-11 | (9) | 63.78 | 62.74 | 62.77 | 62.71 |
| BPNN-12 | (15) | 63.64 | 63.83 | 63.40 | 64.41 |
| BPNN-13 | (57) | 65.93 | 65.41 | 64.40 | 66.10 |
| BPNN-21 | (9, 35) | 64.74 | 65.91 | 64.16 | 66.10 |
| BPNN-22 | (19, 39) | 70.17 | 67.33 | 66.28 | 67.80 |
| BPNN-23 | (33, 45) | 71.15 | 70.68 | 69.92 | 71.19 |
| Hyperparameter | P. tabuliformis | P. orientalis | P. massoniana | C. lanceolate | Generalized Model |
|---|---|---|---|---|---|
| activate | Relu | Relu | Relu | Relu | Relu |
| solver | Adam | Adam | Adam | Adam | Adam |
| alpha | 0.0001 | 0.0001 | 0.0001 | 0.0001 | 0.0001 |
| learning_rate | Constant | Constant | Constant | Constant | Constant |
| Model | Precision (%) | Recall (%) | F1 (%) | Accuracy (%) |
|---|---|---|---|---|
| Pinus tabuliformis | 72.22 | 69.05 | 69.86 | 68.42 |
| Platycladus orientalis | 84.44 | 74.44 | 74.28 | 77.78 |
| Pinus massoniana | 85.24 | 84.94 | 84.59 | 86.21 |
| Cunninghamia lanceolate | 79.05 | 80.95 | 78.57 | 78.95 |
| Generalized model | 71.15 | 70.68 | 69.92 | 71.19 |
Disclaimer/Publisher’s Note: The statements, opinions and data contained in all publications are solely those of the individual author(s) and contributor(s) and not of MDPI and/or the editor(s). MDPI and/or the editor(s) disclaim responsibility for any injury to people or property resulting from any ideas, methods, instructions or products referred to in the content. |
© 2025 by the authors. Licensee MDPI, Basel, Switzerland. This article is an open access article distributed under the terms and conditions of the Creative Commons Attribution (CC BY) license (https://creativecommons.org/licenses/by/4.0/).
Share and Cite
Yao, J.; Zhao, C.; Hu, X.; Jin, Y.; Li, Y.; Cai, L.; Li, Z.; Li, F.; Liang, F. A Method for Estimating Tree Growth Potential with Back Propagation Neural Network. Sustainability 2025, 17, 1411. https://doi.org/10.3390/su17041411
Yao J, Zhao C, Hu X, Jin Y, Li Y, Cai L, Li Z, Li F, Liang F. A Method for Estimating Tree Growth Potential with Back Propagation Neural Network. Sustainability. 2025; 17(4):1411. https://doi.org/10.3390/su17041411
Chicago/Turabian StyleYao, Jianfeng, Cancong Zhao, Xuefan Hu, Yingshan Jin, Yanling Li, Liming Cai, Zhuofan Li, Fang Li, and Fang Liang. 2025. "A Method for Estimating Tree Growth Potential with Back Propagation Neural Network" Sustainability 17, no. 4: 1411. https://doi.org/10.3390/su17041411
APA StyleYao, J., Zhao, C., Hu, X., Jin, Y., Li, Y., Cai, L., Li, Z., Li, F., & Liang, F. (2025). A Method for Estimating Tree Growth Potential with Back Propagation Neural Network. Sustainability, 17(4), 1411. https://doi.org/10.3390/su17041411

